Abstract
The purpose of this study was to investigate the associations of physical activity trajectories with maternal fatigue. Pregnant women provided objectively assessed physical activity data by Pregnancy Physical Activity Questionnaire four times. Fatigue scale-14 was used to assess fatigue during pregnancy. Growth mixture modelling characterized physical activity trajectories across pregnancy. The generalized estimating equations was used to analyze the relationship between different physical activity profiles and fatigue in pregnant women. A total of 626 pregnant women were included in analysis in a teaching hospital in Nantong city. Fatigue (total, mental and physical) was not different between two groups based on total energy expenditure of PA (constantly high vs. constantly low). The pregnant women in “constantly high household PA” group had the higher fatigue compared to “constantly low household PA” (P < 0.05) and “constantly medium household PA” (P < 0.05). The pregnant women in “constantly high sport PA” group had lower fatigue compared to “constantly low sport PA” (P < 0.05). Household PA and sport PA were still an independent influencing factor for fatigue after controlling for confounding variables. Specifically, we observed that higher household PA and lower sport PA were associated with higher fatigue during pregnancy.
Similar content being viewed by others
Introduction
Physical activity (PA) is any deliberate muscle movement that uses energy1. Certain studies have found that sufficient physical activity during pregnancy significantly reduces the probability of developing anxiety and distress2. Meta-analyses, reviews, and recent randomized trials show promising findings regarding the use of PA in treating depression among cancer survivors3. In detail, physical activity can be part of work, leisure time, or any other movement in daily life. There are different types of physical activity, but most people tend to focus on one type of activity. Some articles separated physical activity into five types: household/caregiving, sports/exercise, transportation, occupational, and inactivity. Each type of physical activity brings its own health benefits4. Pregnant women with employment had higher risk of adverse pregnancy outcomes than those who were not employed5. Some studies found a statistically significant decrease in postpartum depressive symptoms among women engaging in aerobic exercise6.
Pregnancy fatigue is a commonly reported complaint among childbearing women7. Fatigue has physical and mental effects on an individual. Mental fatigue involves exhaustion of cognitive processes, such as attention and memory, while physical fatigue is related to the depletion of physical energy and muscle strength. Pregnancy fatigue could increase rates of pregnant morbidity, cesarean section, preterm birth, and even postpartum depression8. However, longitudinal data on maternal fatigue during pregnancy are limited. By exploring various types of physical activity, this study seeks to elucidate the intricate relationship between maternal fatigue and physical activity behaviors. Understanding this relationship has the potential to positively impact maternal mental health.
Physical activities and fatigue have changes at different trimesters of pregnancy. Fewer studies have assessed pregnancy physical activity trajectories over time and subsequent risks of maternal fatigue9. To reduce the reliance on conventional methods10, growth mixture modeling (GMM) has been suggested for identifying groups with diverse physical activity trajectories11. This method has recently been employed in physical activity research with old adults, linking the identified groups to various health outcomes12. Both these time periods and discrete time points are different for changes of pregnancy physical activities, which may also be important for maternal fatigue. Therefore, this study also aims to utilize an individual-based trajectory analysis technique to characterize pregnancy PA trajectories, and to examine their associations with maternal fatigue.
Methods
Our study was a longitudinal study of pregnant women with singleton pregnancy, ongoing since November 2021. Follow-up examinations through mobile phones took place at different stages of pregnancy. Women were enrolled during their first trimester of pregnancy (gestational weeks 11–13). The inclusion criteria at enrollment were: (1) age greater than or equal to 18 years and (2) ability to speak and understand Chinese. Those having (1) cancer, renal, cardiac dysfunction and other types of diseases that may affect physical activity, (2) prenatal diagnosis of depression or fatigue; (3) threatened abortion; or (4) mobility impairment due to injury or illness affecting the limbs were excluded from the study. Threatened abortion participants were removed from the analysis due to their inability to continue physical activity.
Physical activity was assessed using the Pregnancy Physical Activity Questionnaire (PPAQ), a validated self-report questionnaire. The original questionnaire, which has been widely used and validated in many countries13,14. Yan Zhang et.al translated the PPAQ into Chinese15. The content validity was 0.94; the test–retest reliability was 0.944. Each activity’s intensity is quantified in terms of energy expenditure, which is assessed using metabolic equivalent of task (MET) units (MET-h week−1). The total energy expenditure of PA is generated by summing the energy expenditure of 31 activities. In addition, the 31 activities were also categorized into four types: household PA, occupational PA, sport PA, transportation PA.
Maternal fatigue was evaluated by the fatigue scale-14 (FS-14), which was used to assess maternal fatigue severity widely16,17. The FS-14 employed in this study comprises 14 items, encompassing both mental and physical fatigue. The score range for physical fatigue is from 0 to 8, while for mental fatigue is from 0 to 6. Referred to as the FS-14, this scale aims to capture the participants’ subjective experience of fatigue over the preceding two weeks through self-evaluation. A higher score on the scale corresponds to a more pronounced level of fatigue. The internal consistency of each item, as measured by Cronbach's alpha, falls within the range of 0.88–0.90, while the split-half reliability is determined to be 0.8618. The sensitivity and specificity of the scale are reported as 75.5 and 74.5%, respectively.
We collected information on women and their partners’ age, educational level, household income, parity, history of diabetes, sleep quality and depression score at recruitment. Height and weight were measured using a portable stadiometer and scales. The Pittsburgh Sleep Quality Index was used to measure maternal sleep quality19. Maternal depressive symptoms were evaluated utilizing the Edinburgh Postnatal Depression Scale20.
Pregnancy physical activity and fatigue underwent repeated measurements at four-time points: T1 (1st trimester 11–13 gestational weeks), T2 (2nd trimester 20–22 gestational weeks), T3 (3rd trimester 30–32 gestational weeks) and T4 (full-term after 37 gestational weeks). We used these data to identify different physical activity profiles throughout pregnancy.
Sample size calculations were performed using PASS 15.0. Based on previous study, a statistical difference was observed in the fatigue score between different exercise groups (3.52 ± 1.1 vs 3.08 ± 1.0, P = 0.04)21. We calculated the sample size based on the means and standard deviations of fatigue score between two groups. A sample size of 200 for each of the two groups achieves 80% power with a significance level (alpha) of 0.05. Given a dropout of 20%, the sample size was fixed at 500 participants.
GMMs were estimated using M plus 8.0 to identify trajectories of physical activities across pregnancy. The extraction of profiles as part of GMM was conducted using M plus 8.0. The best-fit model is based on model fit indices: (1) the Akaike Information Criterion (AIC), Bayesian Information Criterion (BIC), and adjusted Bayesian information criterion (aBIC) are smaller; (2) the entropy values are closer to 1; (3) Lo–Mendell–Rubin likelihood ratio test (LMR) and bootstrap likelihood ratio test (BLRT) are both significant. Collectively, the 2-class model was identified based on total energy expenditure of PA. Subsequently, the model with the greatest parsimony, encompassing various types of PA trajectories, was identified (see Supplementary Methods).
Analyses were performed using SPSS 25.0. The selected groups of physical activities (in accordance with the profiles distinguished through GMM) were compared in terms of the results of maternal fatigue. Generalized estimating equations (GEE) were also used to examine the inter-relationship between pregnancy physical activity and maternal fatigue over time. Based on clinical experience and previous reports, covariates potentially associated with PA and fatigue were controlled for. Confounders were determined by a directed acyclic graph (DAG). Finally, maternal age22,23, household income24, education level, occupation, sedentary employment hours, moderate to vigorous employment hours, parity25, depression, sleep quality26, IVF, pre-pregnancy BMI, and gestational diabetes were controlled as confounding variables during the analysis of the relationship between PA and fatigue during pregnancy.
Ethical approval
The research was performed in accordance with the Declaration of Helsinki and the protocol was approved by the Ethics Committee of Affiliated Maternity and Child Health Care Hospital of Nantong University (Y2021036). This project was registered in the Chinese Clinical Trial Registry (ChiCTR2100053966). Written informed consent was obtained from all participants. Participants were free to withdraw at any time.
Results
In total, 715 women were assessed for eligibility. Of this, 26 women did not meet the inclusion criteria, 63 dropped out during three follow-up surveys. Finally, a total of 626 participants were included in this longitudinal analysis (Fig. 1).
Total physical activity
The mean total energy expenditure during pregnancy was 184.35 ± 38.78 MET-h week−1. Table 1 showed the GMM of one to five fatigue trajectory classes. Based on the BIC values, the 4-class model fitted the PA trajectory data better than the 2-class, 3-class, and 5-class models. However, based on the entropy value, the 2-class model fitted the data better than the 3-class and 4-class models. The 2-class model was presented in Fig. 2. The majority of the sample of pregnant women (n = 374; 59.7%), based on their high overall total energy expenditure of PA, fell within a class that was labeled “constantly high”. The second class (n = 252; 40.3%) was labeled the “constantly low” class.
Baseline characteristics of participants according to total energy expenditure of PA are presented in Table 2. GEE analyzed the relationship between PA trajectories and maternal fatigue. Total fatigue (P = 0.927), mental fatigue (P = 0.407) and physical fatigue (P = 0.537) showed no statistical difference among the two classes.
Household physical activity
The selection of household PA trajectories followed a similar process as described above. Based on the entropy values, the 3-class model fitted the household PA trajectories data better than the 2-class, 4-class, and 5-class models. The 3-class model also offered more detailed and informative subgroup classification compared to the 2-class model. As a result, the 3-class model was chosen as the preferred approach for characterizing household PA trajectories. (eTable 1 in Supplement 1).
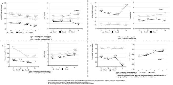
Based on GMM analysis, three household PA trajectory groups emerged as the most optimal for capturing the longitudinal data: constantly high household PA (n = 434; 69.3%), constantly low household PA (n = 38; 6.1%) and constantly medium household PA (n = 154; 24.6%).
Comparisons of baseline characteristics between the household PA groups were presented in eTable 2 in Supplement 1. Figure 3A demonstrated the three distinct trajectories of household PA and the results of the generalized estimating equations. Compared with women from the constantly low household PA group, women in the constantly high household PA group (P < 0.001) and the constantly medium household PA group (P < 0.001) had significantly higher total fatigue. Women in the constantly low household PA group had the lowest total fatigue (P < 0.001), mental fatigue (P < 0.001), and physical fatigue (P < 0.001), independently of maternal age, household income, education level, occupation, sedentary employment hours, moderate to vigorous employment hours, parity, depression, sleep quality, IVF, pre-pregnancy BMI, and gestational diabetes.
Total fatigue across trajectories of different types of PA. Note: Adjusted for maternal age, household income, education level, occupation, sedentary employment hours, moderate to vigorous employment hours, parity, depression, sleep quality, IVF, pre-pregnancy BMI, and gestational diabetes. P: Results of generalized estimating equation model used to assess the effect of condition. (A) Household PA was still an independent influencing factor for total fatigue after controlling for all covariates. (B) After adjustment for all covariates, the association between transportation PA and total fatigue was no longer observed. (C) Sport PA were still an independent influencing factor for total fatigue after controlling for all covariates. (D) No significant correlations were found between total fatigue and occupational PA.
Transportation physical activity
Based on the BIC values, the 5-class model fit the transportation PA trajectory data better than the 2-class, 3-class, and 4-class models. However, one class in both the 3-, 4- and 5-class model represented less than 5% of the total sample, indicating a spurious class. In comparison, the 2-class model demonstrated better fitted indices with better entropy values for transportation PA (eTable 3 in Supplement 1). Figure 3B illustrated transportation PA trajectory classes: constantly high transportation PA (n = 82; 13.1%) and constantly low transportation PA (n = 544; 86.9%).
Detailed baseline demographic characteristics and clinical data of the two groups were presented in eTable 4 in Supplement 1. Compared with the constantly low transportation PA group, pregnant women in constantly high transportation PA group showed higher total fatigue (P = 0.047) and mental fatigue (P = 0.021). After controlling for maternal age, household income, education level, occupation, sedentary employment hours, moderate to vigorous employment hours, parity, depression, sleep quality, IVF, pre-pregnancy BMI, and gestational diabetes, this association was no longer observed.
Sport physical activity
Based on the BIC values, the 3-class model fitted the sport PA trajectory data better than the 2-class, 4-class, and 5-class models. However, the LMR-LRT test for the 3-class model was not significant. In comparison, the 2-class model demonstrated better fit indices due to its relatively stable population (eTable 5 in Supplement 1). Based on the GMM analysis, two distinct sport PA trajectory groups emerged as the most optimal model for characterizing the longitudinal data: constantly high sport PA (n = 471; 75.2%) and constantly low sport PA (n = 155; 24.8%). (Fig. 3C).
Detailed baseline characteristics were presented in eTable 6 in Supplement 1. As expected, compared with the constantly low sport PA group that maintained low sport PA levels, constantly high sport PA had lower levels of total fatigue (P < 0.001), mental fatigue (P < 0.001) and physical fatigue (P < 0.001). These associations persisted to be significant even after controlling for maternal age, household income, education level, occupation, sedentary employment hours, moderate to vigorous employment hours, parity, depression, sleep quality, IVF, pre-pregnancy BMI, and gestational diabetes.
Occupational physical activity
Based on the BIC values, the 5-class model fitted the data better than the 2-class, 3-class, and 4-class models (eTable 7 in Supplement 1). However, the 3-, 4- and 5-class model contained a small proportion of participants (< 5%). Therefore, the 2-class model was selected as the best model (Fig. 3D).
The baseline demographic characteristics and clinical data of the two groups were shown in eTable 8 in Supplement 1. After excluding women who were not employed (n = 121), there were 505 women in the GEE analysis to examine the relationship between occupational PA and pregnancy fatigue over time. There were no significant correlations between the occupational PA and total fatigue (P = 0.874), mental fatigue (P = 0.689), and physical fatigue (P = 0.980) in the two groups.
Discussion
In this longitudinal study of pregnant women, we characterized the trajectories of different types of physical activity during pregnancy. We identified two trajectories of total energy expenditure of PA: constantly high PA and decreasing PA. These profiles did not exhibit any significant association with maternal fatigue across the observed time period.
Compared with the constantly low household PA group, women in the constantly high household PA group and the constantly medium household PA group had significantly more severe fatigue over time. On the contrary, pregnant women in the constantly high sport PA group had lower levels of total fatigue than those in the constantly low sport PA group. These associations were still significant after controlling for confounding variables. But no significant association was observed for occupational PA and transportation PA.
Total energy expenditure of PA
Enhancing the levels of physical activity among women of childbearing age during and after pregnancy, holds significant importance27. However, a considerable number of pregnant women fail to meet current physical activity recommendations, remaining inactive during pregnancy28. The mean total energy expenditure during pregnancy in our research was lower than a longitudinal Healthy Start study in Colorado29, but higher than a prospective cohort study in Vietnam30. This finding is consistent with prior research that physical activity typically declines throughout pregnancy31.
Previous research has shown that physical activity is a potentially promising method for preventing postpartum fatigue and depression, but very little scientific attention has been paid to exploring the association of PA and fatigue from a longitudinal perspective32. Using GMM, we identified two trajectories of total energy expenditure of PA over time. However, our studies found there was no association between total energy expenditure of PA and fatigue. Previous study recommended assessing physical activity in diverse situations including occupation, exercise, transportation and domestic life33. Therefore, we next explored the relationship between different types of PA and maternal fatigue.
Household PA
In our population, household PA was the largest proportion of energy expenditure. We identified three trajectories of household PA over time. One household PA trajectory showed PA levels that remained constantly high across time. The second household PA trajectory that emerged showed constantly low across time. The third household PA trajectory reached a medium level. Even if energy expenditure of household PA decreases across gestation for all pregnancies, our results indicate that severe fatigue is influenced by a high energy expenditure on household PA.
Household PA includes preparing meals, taking care of children, watching TV or a video, sitting or reading and so on34. Earlier studies have indicated that women’s housework still takes more time than partners’ during pregnancy35,36. Housework division plays an important role in repeated muscle actions and fertility anxiety, which may lead to physical fatigue and mental fatigue individually37. High levels of sedentary time during pregnancy might induce the mental health problem of pregnant women38. Social support during pregnancy is necessary during pregnancy to reduce women’s housework-related fatigue. It is also important to advice that less sedentary lifestyle, such as reduce the time spent watching TV, can contribute to relieve mental fatigue.
In our research, the multiparas appeared more likely than the primiparas to have constantly low or medium household PA. A previous study found that their primiparas were higher unemployed than multiparas39. Primiparas were generally of a younger age and had poor level of knowledge and practice. They may spend more time at household PA, such as playing with pets, shopping (for food, clothes, or other items), watching TV and so on. This discovery is thought provoking and worth studying in the future.
Sport PA
The maternal fatigue (total, physical and mental) differed between constantly high sport PA group and constantly low sport PA group in our study, suggesting that the low percentage of sport PA might be responsible for severe fatigue. The concepts of sport and physical activity are different. Sport PA includes walking slowly for fun, jogging, dancing, and so on, which is a subcategory of physical activity. It is widely accepted that women undertook high levels of sport activities to maintain physical and mental fitness40. There are also clear positive effects on depression, anxiety, and stress during pregnancy. Engaging in sports activities like running, swimming, playing ball, and walking may be beneficial ways to encourage people to be physically active and help relieve mental fatigue while ensuring sufficient rest41. Aerobic exercise has a beneficial impact on both physical fatigue and mental fatigue42. Women in constantly low sport PA group are likely strong candidates for early intervention. Special attention should be given to identifying and addressing barriers to physical activity during pregnancy, as well as addressing the preferences expressed by pregnant individuals for diverse and customizable activity options43.
Although current literature emphasizes the significance of exercise during pregnancy44,45, prevalence of sport PA during pregnancy is known to be generally low in China15. Exercise requirements increase in the latter trimester of pregnancy to more effectively suppresses body fat accumulation and weight gain46. In Poland, many pregnant women or greatly reduce their regular exercise routine because of the potential risks26. Our study found that there was a dramatic increase in sport PA in the fourth trimester, but energy expenditure was still below the recommended value specified in the guidelines47. This result may be related to the Chinese social and cultural background. The phenomena in this research hint that exercise intervention in the latter trimester of pregnancy can be better implemented.
Transportation PA
This study could not possibly give a suggestion on transportation PA. There is limited evidence regarding the prospective association of transportation PA (e.g., walking or cycling to work) with mental health. But moderate transportation PA in fact provides important health benefits. Regular transportation PA helps improve heart and lung function, reduces the risk of heart disease, and lowers blood pressure48. With urbanisation, changes in transportation have reduced physical activity, such as walking or other modes49,50. It is documented that individuals in China tend to not view transportation PA as a viable means for enhancing their health. Previous study had found that there was a change towards less active transportation PA in early pregnancy compared to pre-pregnancy, because of increasing usage of private transportation51. Furthermore, these individuals perceive walking and cycling to work as obligatory rather than voluntary endeavors. Transportation PA could be beneficial for mental health, which is of great public health significance, and needs further investigation.
Occupational PA
Finally, no relationship was found between occupational PA and maternal fatigue. The effect of occupational PA (e.g., heavy manual work, manual work, and standing occupation) on health is yielding conflicting results. However, most studies mainly concentrated on evaluating leisure-time physical activity as the primary exposure and claimed that occupational PA had a non-negligible health impact52. But other studies did not find that the occupational PA was associated with health benefits53. The scarcity and heterogeneity of existing literature on occupational PA may need for further studies that employ rigorous assessments of PA in the workplace. These studies would help elucidate the association in question.
Pregnancy period provides a challenge to the entire maternal body, every woman has a different experience of nausea or fatigue. It is also possible that maternal fatigue impact pregnancy physical activity. During the first trimester, maternal body undergoes many changes. Hormonal changes and metabolic during pregnancy can impact several organ systems, leading to symptoms that may arise as early as the initial weeks of pregnancy54. However, many of these discomforts tend to diminish as the pregnancy advances. Nausea and fatigue, in particular, are commonly reported to subside during the second and third trimesters. Then, many women find breathing difficult because of pressure on organs. And they may experience during this period include hemorrhoids, urinary incontinence, varicose veins and sleeping problems. Physical activity may be influenced by factors like those experiences of uncomfortable sensation.
Limitations and future study
This study was one of the first to use the GMM approach to identify the trajectories of different types of PA across time. Unlike previous studies that employed categorical variables, our analysis utilized continuous physical activity variables. Moreover, we acknowledge that variations in the types of physical activity may exist across the populations under investigation.
The presented study is not free from limitations. Firstly, the sample of this study was only from one hospital, which failed to include women from other areas and did not explore geographical characteristics. Secondly, physical activity dropped worldwide during COVID-19, which should be taken into consideration by future researchers.
Conclusion
The hypothesis of the present study posited that distinct PA trajectories have varying effects on maternal fatigue. In summary, using GMM, we found that higher household PA and lower sport PA were associated with higher fatigue during pregnancy. The displacement of household PA with sport PA in pregnant women necessitates focused attention physical activity guidelines and public health interventions. Such measures aim to mitigate the prevalence of fatigue and should provide direct and specific recommendations.
Data availability
The data and materials used for the current study are available from the corresponding author upon reasonable request.
Abbreviations
- AIC:
-
Akaike information criterion
- aBIC:
-
Adjust Bayesian information criterions
- BIC:
-
Bayesian information criterions
- BMI:
-
Body mass index
- CFI:
-
Confirmatory fit index
- DAG:
-
Directed acyclic graph
- FS-14:
-
Fatigue scale-14
- GEE:
-
Generalized estimating equations
- GMM:
-
Growth mixture modeling
- IVF:
-
In vitro fertilization
- MET:
-
Metabolic equivalent of task
- PPAQ:
-
Pregnancy Physical Activity Questionnaire
- WHO:
-
World Health Organization
References
Bull, F. C. et al. World Health Organization 2020 guidelines on physical activity and sedentary behaviour. Br. J. Sports Med. 54, 1451–1462 (2020).
Hassdenteufel, K. et al. Reduction in physical activity significantly increases depression and anxiety in the perinatal period: A longitudinal study based on a self-report digital assessment tool. Arch. Gynecol. Obstet. 302, 53–64 (2020).
Law, C., Yu, T. & Chen, T. Effectiveness of aerobic and resistance exercise in cancer survivors with depression: A systematic review and meta-analysis of randomized controlled trials. J. Psychosom. Res. 173, 111470 (2023).
Watkins, V. Y. et al. The impact of physical activity during pregnancy on labor and delivery. Am. J. Obstet. Gynecol. 225, 431–437 (2021).
Kim, C. B. et al. Risk of adverse pregnancy outcomes by maternal occupational status: A national population-based study in South Korea. J. Occup. Health 65, e12380 (2023).
Nakamura, A. et al. Physical activity during pregnancy and postpartum depression: Systematic review and meta-analysis. J. Affect. Disord. 246, 29–41 (2019).
Liu, N. et al. Effects of exercise on pregnancy and postpartum fatigue: A systematic review and meta-analysis. Eur. J. Obstet. Gynecol. Reprod. Biol. 253, 285–295 (2020).
Baattaiah, B. A. et al. The relationship between fatigue, sleep quality, resilience, and the risk of postpartum depression: An emphasis on maternal mental health. BMC Psychol. 11, 10 (2023).
Mitro, S. D. et al. Longitudinal changes in physical activity during pregnancy: National Institute of Child Health and Human Development fetal growth studies. Med. Sci. Sports Exerc. 54, 1466–1475 (2022).
Elhakeem, A. et al. Leisure-time physical activity across adulthood and biomarkers of cardiovascular disease at age 60–64: A prospective cohort study. Atherosclerosis 269, 279–287 (2018).
Cheval, B. et al. Association between physical-activity trajectories and cognitive decline in adults 50 years of age or older. Epidemiol. Psychiatr. Sci. 30, e79 (2021).
Laddu, D. R. et al. Physical activity trajectories and associated changes in physical performance in older men: The MrOS study. J. Gerontol. A Biol. Sci. Med. Sci. 75, 1967–1973 (2020).
Chasan-Taber, L. & Schmidt, M. D. Pregnancy physical activity questionnaire. Can. J. Public Health 106, e563 (2016).
Sattler, M. C. et al. Physical activity questionnaires for pregnancy: A systematic review of measurement properties. Sports Med. 48, 2317–2346 (2018).
Zhang, Y. et al. Physical activity level of urban pregnant women in Tianjin, China: A cross-sectional study. PLoS One 9, e109624 (2014).
Tian, F. et al. The mediating role of psychological capital in the relationship between occupational stress and fatigue: A cross-sectional study among 1,104 Chinese physicians. Front. Public Health 8, 12 (2020).
Zhu, Z. et al. Waterfall forest environment regulates chronic stress via the NOX4/ROS/NF-κB signaling pathway. Front. Neurol. 12, 619728 (2021).
Jing, M. et al. Reliability and construct validity of two versions of chalder fatigue scale among the general population in mainland China. Int. J. Environ. Res. Public Health 13, 147 (2016).
Kaur, S. et al. Circadian rhythm and its association with birth and infant outcomes: Research protocol of a prospective cohort study. BMC Pregnancy Childbirth 20, 96 (2020).
Rohder, K. et al. Maternal-fetal bonding among pregnant women at psychosocial risk: The roles of adult attachment style, prenatal parental reflective functioning, and depressive symptoms. PLoS One 15, e239208 (2020).
Haakstad, L. A. H., Torset, B. & Bø, K. What is the effect of regular group exercise on maternal psychological outcomes and common pregnancy complaints? An assessor blinded RCT. Midwifery 32, 81–86 (2016).
Zhou, T. et al. Factors influencing physical inactivity status among chinese pregnant women: A cross-sectional study. BMC Public Health 22, 2310 (2022).
Effati-Daryani, F., Mohammad-Alizadeh-Charandabi, S., Mohammadi, A., Zarei, S. & Mirghafourvand, M. Fatigue and sleep quality in different trimesters of pregnancy. Sleep Sci. 14, 69–74 (2021).
Slack, E., Pears, K. A., Rankin, J., Newton, J. L. & Pearce, M. Identifying, synthesising and appraising existing evidence relating to myalgic encephalomyelitis/chronic fatigue syndrome and pregnancy: A mixed-methods systematic review. BMJ Open 13, e70366 (2023).
Hailemariam, T. T., Gebregiorgis, Y. S., Gebremeskel, B. F., Haile, T. G. & Spitznagle, T. M. Physical activity and associated factors among pregnant women in Ethiopia: Facility-based cross-sectional study. BMC Pregnancy Childbirth 20, 92 (2020).
Yu, H., He, J. & Szumilewicz, A. Pregnancy activity levels and impediments in the era of COVID-19 based on the health belief model: A cross-sectional study. Int. J. Environ. Res. Public Health 19, 3283 (2022).
Dipietro, L. et al. Benefits of physical activity during pregnancy and postpartum: An umbrella review. Med. Sci. Sport. Exer. 51, 1292–1302 (2019).
Harrison, C. L., Brown, W. J., Hayman, M., Moran, L. J. & Redman, L. M. The role of physical activity in preconception, pregnancy and postpartum health. Semin. Reprod. Med. 34, e28–e37 (2016).
Harrod, C. S. et al. Physical activity in pregnancy and neonatal body composition: The healthy start study. Obstet. Gynecol. 124, 257–264 (2014).
Nguyen, P. et al. Physical activity during pregnancy is associated with improved breastfeeding outcomes: A prospective cohort study. Int. J. Environ. Res. Public Health 16, 1740 (2019).
Soroka, A., Godlewska, A., Krzecio-Nieczyporuk, E. & Koziol, P. Identification of motives and barriers to physical activity of polish young mothers. BMC Womens Health 20, 197 (2020).
Maples, J. M. et al. Metabolic flexibility and weight status may contribute to inter-individual changes in breastmilk lipid content in response to an acute bout of exercise: Preliminary findings from a pilot study. Int. J. Exerc. Sci. 13, 1756–1769 (2020).
Arshad, R., Younis, B. B., Masood, J., Tahira, M. & Khurhsid, S. Pattern of physical activity among persons with type 2 diabetes with special consideration to daily routine. Pak. J. Med. Sci. 32, 234–238 (2016).
Chasan-Taber, L. et al. Development and validation of a pregnancy physical activity questionnaire. Med. Sci. Sports Exerc. 36, 1750–1760 (2004).
Firouzan, V., Noroozi, M., Mirghafourvand, M. & Farajzadegan, Z. Participation of father in perinatal care: A qualitative study from the perspective of mothers, fathers, caregivers, managers and policymakers in Iran. BMC Pregnancy Childbirth 18, 297 (2018).
Gashaw, M. et al. Level of activity limitations and predictors in women with pregnancy-related pelvic girdle pain: Prospective cross-sectional study. Ann. Med. Surg. 78, 103754 (2022).
Zhang, J. & Tian, Y. Housework division and second-child fertility anxiety among couples in China: The urban and rural differences. Int. J. Environ. Res. Public Health 16, 3910 (2019).
Rodriguez-Ayllon, M. et al. Associations of physical activity, sedentary time, and physical fitness with mental health during pregnancy: The GESTAFIT project. J. Sport Health Sci. 10, 379–386 (2021).
Azzeh, F. & Refaat, B. Iodine adequacy in reproductive age and pregnant women living in the western region of Saudi Arabia. BMC Pregnancy Childbirth 20, 370 (2020).
Kong, Z. et al. Tai Chi as an alternative exercise to improve physical fitness for children and adolescents with intellectual disability. Int. J. Environ. Res. Public Health 16, 1152 (2019).
Hyun, A. H., Cho, J. Y. & Koo, J. H. Effect of home-based tele-pilates intervention on pregnant women: A pilot study. Healthcare 10, 125 (2022).
Zhao, S., Chi, A., Wan, B. & Liang, J. Differential metabolites and metabolic pathways involved in aerobic exercise improvement of chronic fatigue symptoms in adolescents based on gas chromatography-mass spectrometry. Int. J. Environ. Res. Public Health 19, 2377 (2022).
Faherty, L. J. et al. Movement patterns in women at risk for perinatal depression: Use of a mood-monitoring mobile application in pregnancy. J. Am. Med. Inform. Assoc. 24, 746–753 (2017).
Baena-Garcia, L. et al. Association of objectively measured physical fitness during pregnancy with maternal and neonatal outcomes. The GESTAFIT project. PLoS One 15, e229079 (2020).
Tinius, R. et al. Maternal factors related to infant motor development at 4 months of age. Breastfeed. Med. 15, 90–95 (2020).
McDonald, S. M., Liu, J., Wilcox, S., Lau, E. Y. & Archer, E. Does dose matter in reducing gestational weight gain in exercise interventions? A systematic review of literature. J. Sci. Med. Sport. 19, 323–335 (2016).
de Castro, R., Antunes, R., Mendes, D., Szumilewicz, A. & Santos-Rocha, R. Can group exercise programs improve health outcomes in pregnant women? An updated systematic review. Int. J. Environ. Res. Public Health 19, 4875 (2022).
Du, L. et al. Patterns and demographic correlates of domain-specific physical activities and their associations with dyslipidaemia in China: A multiethnic cohort study. BMJ Open 12, e52268 (2022).
Guthold, R., Stevens, G. A., Riley, L. M. & Bull, F. C. Worldwide trends in insufficient physical activity from 2001 to 2016: A pooled analysis of 358 population-based surveys with 1.9 million participants. Lancet Glob. Health 6, e1077–e1086 (2018).
Gao, J., Kamphuis, C., Dijst, M. & Helbich, M. The role of the natural and built environment in cycling duration in the Netherlands. Int. J. Behav. Nutr. Phys. Act. 15, 82 (2018).
Skreden, M. et al. Changes in mode of transportation to work or school from pre-pregnancy to early pregnancy in the Norwegian fit for delivery study. Prev. Med. Rep. 2, 429–435 (2015).
Autenrieth, C. S. et al. Association between domains of physical activity and all-cause, cardiovascular and cancer mortality. Eur. J. Epidemiol. 26, 91–99 (2011).
Huerta, J. M. et al. Work, household, and leisure-time physical activity and risk of mortality in the EPIC-Spain cohort. Prev. Med. 85, 106–112 (2016).
Ekelin, M., Langeland, I. M., Gronbaek, B. M. & Hegaard, H. K. Not now but later—a qualitative study of non-exercising pregnant women’s views and experiences of exercise. BMC Pregnancy Childbirth 18, 399 (2018).
Acknowledgements
Thanks to the mothers, and babies in the Affiliated Maternity and Child Health Care Hospital of Nantong University for their contributions.
Funding
This work was funded by National Natural Science Foundation of China under Grant [72274100]. This work was also supported by the Funding of Science and Technology Program of Nantong City under Grant [MS22022100].
Author information
Authors and Affiliations
Contributions
S.H.Y. analyzed data and drafted the initial manuscript. H.J. and Z.Y.Y. designed study. Z.H.C. and X.Y.T. collected data. Z.F.C. and H.H.L. analyzed data. F.Z. analyzed data and finalized the manuscript.
Corresponding author
Ethics declarations
Competing interests
The authors declare no competing interests.
Additional information
Publisher's note
Springer Nature remains neutral with regard to jurisdictional claims in published maps and institutional affiliations.
Supplementary Information
Rights and permissions
Open Access This article is licensed under a Creative Commons Attribution 4.0 International License, which permits use, sharing, adaptation, distribution and reproduction in any medium or format, as long as you give appropriate credit to the original author(s) and the source, provide a link to the Creative Commons licence, and indicate if changes were made. The images or other third party material in this article are included in the article's Creative Commons licence, unless indicated otherwise in a credit line to the material. If material is not included in the article's Creative Commons licence and your intended use is not permitted by statutory regulation or exceeds the permitted use, you will need to obtain permission directly from the copyright holder. To view a copy of this licence, visit http://creativecommons.org/licenses/by/4.0/.
About this article
Cite this article
Yan, S., Jiang, H., Yang, Z. et al. Physical activity trajectory during pregnancy and associations with maternal fatigue using a growth mixture modeling approach. Sci Rep 14, 1020 (2024). https://doi.org/10.1038/s41598-024-51648-w
Received:
Accepted:
Published:
Version of record:
DOI: https://doi.org/10.1038/s41598-024-51648-w





