Abstract
SARS-CoV-2, the virus responsible for the COVID-19 pandemic, has undergone various genetic alterations due to evolutionary pressures exerted by host cells, including intracellular antiviral mechanisms such as targeting by human microRNAs (miRNAs). This study investigates the impact of miRNAs hsa-miR-3132 and hsa-miR-4650 on the viral genome. Sequence alignment revealed conserved mutations in the binding sites of these miRNAs in adapted strains compared to the original Wuhan-Hu-1 strain, leading to their deletion. Despite modest expression of these miRNAs in SARS-CoV-2 target tissues, their efficacy against mutant strains is reduced due to the loss of binding sites. Structural analysis indicates that the mutant genome is more stable than the Wuhan-Hu-1 genome. Luciferase and virus titration assays demonstrate that hsa-miR-3132 and hsa-miR-4650 effectively target the Nsp3 gene in the Wuhan-Hu-1 strain but not in mutant strains lacking their binding sites. These findings suggest that the observed mutations help the virus evade selective pressure from human miRNAs, contributing to its adaptation
Similar content being viewed by others
Introduction
The Coronaviridae family is a group of positive-sense, enveloped RNA viruses ranging in size from 80 to 120 nm. As of 2019, SARS-CoV-2 was identified as the causative agent of COVID-19 in humans. This virus belongs to the genus Betacoronavirus of the Coronaviridae family. In December 2019, the outbreak of the disease was initially recognized in Wuhan, China, and subsequently expanded to 225 countries, resulting in a pandemic owing to the disease's widespread prevalence globally. Until February 2023, the World Health Organization has documented a total of over 678,870,000 cases of infection and over 6,790,000 deaths worldwide (https://www.worldometers.info/coronavirus/#countries).
In addition, the bat was the primary host of the Middle East respiratory syndrome coronavirus (MERS-CoV), while the camel was the intermediate host. Since its discovery in Saudi Arabia and many European countries in 2012, the Middle East respiratory syndrome coronavirus (MERS-CoV) has spread throughout the Middle East, infecting 2,494 individuals and killing 858. Approximately 34% of those infected with this virus die from this condition. Earlier in 2003, SARS-CoV was discovered as the primary agent of severe acute respiratory syndrome (SARS) in humans. SARS-CoV originated in bats and was transmitted to individuals via cats. This virus has also infected 8,422 individuals in China, resulting in 916 deaths. The documented mortality rate owing to this condition is 11%1.
What is remarkable about the SARS-CoV-2 virus is its adaptability to diverse host cells, influenced by selective pressures within the host. These pressures, including intracellular antiviral pathways, can lead to permanent changes in the viral genome that are passed to subsequent generations. One such selective pressure is RNA interference (RNAi), where host microRNAs (miRNAs) hybridize to the viral genome to inhibit its activity. This process provides a defense mechanism against various viruses in several eukaryotes, including plants and invertebrates, and is also significant in mammalian cells2.
Frequently, the host cells used a variety of defensive mechanisms to inhibit the multiplication and invasion of viruses. One of these defensive systems is RNA interference (RNAi), which includes the spontaneous hybridization of host microRNA (miRNA) to the viral genome, therefore inhibiting virus activity. This process is recognized as a source of protection in several eukaryotes, including plants and invertebrates, against viruses or mobile elements3,4. According to research, miRNAs have a role in viral defense systems in mammalian cells5. microRNAs are 20–30 nucleotide RNA molecules that vary in sequence and quantity in various cells. Host cell miRNAs may recognize large foreign RNA molecules, such as the viral genome or mRNAs, and generate a double-stranded RNA molecule, which is subsequently degraded by activating the RNase enzyme6,7,8. Some viruses include anti-RNAi mechanisms that allow them to avoid detection by the host's immune system9. miRNA complementary sites on the target mRNA or genome including canonical and non-canonical. Canonical binding types include one 6mer, two 7mers, and one 8mer. The 6mer is the perfect 6-nt match to the miRNA seed (miRNA nucleotides 2–7). The best 7mer site, referred to here as the 7mer-m8 site, contains the seed match augmented by a match to miRNA nucleotide 8 Also effective is another 7mer, the 7mer-A1 site, which contains the seed match augmented by an A at target position 1. The 8mer site comprises the seed match flanked by both the match at position 8 and the A at position 110.
Several well-characterized miRNAs have been shown to restrict viral replication. For example, miR-122 binds to the 5' untranslated region (UTR) of the Hepatitis C Virus (HCV) genome, stabilizing the RNA and enhancing viral replication, a mechanism that has been targeted for therapeutic intervention11. miR-32 inhibits Primates Foamy Virus (PFV) replication by binding to its genome and blocking viral gene expression12. miR-199a-3p targets the Hepatitis B Virus (HBV) genome, reducing viral replication13. miR-24 targets the 3' UTR of the Human Immunodeficiency Virus (HIV) genome, inhibiting viral replication by reducing the levels of viral RNA14. miR-155 inhibits Dengue Virus (DENV) replication by targeting the viral genome and modulating the host immune response15. miR-296 targets the Vesicular Stomatitis Virus (VSV) genome, leading to decreased viral replication and spread16. miR-34a targets the Enterovirus 71 (EV71) genome, reducing viral replication by interfering with viral protein synthesis17.
These examples demonstrate how host miRNAs serve as barriers against viral infection from various virus strains. However, it is still unknown how host miRNA influences coronavirus evolution under natural conditions. miRNAs regulate physiological activities, including proliferation, metabolism, differentiation, and apoptosis18. In addition, modification of the expression of host miRNAs under conditions of viral infection may affect many signaling pathways and protein expression, thereby affecting the immune system of the host organism19. Human miRNAs have also been shown to be capable of targeting SARS-COV-2 viral genes such as N, M, E, S, ORF1ab, ORF3a, ORF7a, ORF8, ORF6, and ORF10. As a result, these human miRNAs may have antiviral activity against coronaviruses20,21,22. miRNAs bind selectively with mRNAs of target genes or genomes and may impede the translation of the target gene to suppress its expression23,24. In general, host miRNAs are involved in the antiviral response in the early stages of viral infections. Host miRNAs directly or indirectly target viral genomes and mRNAs that interfere with viral replication, transcription, or translation processes. Some viruses may alter the expression pattern of host miRNAs to evade the immune system and promote replication by eliminating or suppressing host miRNA maturation. Considering the potential of miRNAs as biological indicators and therapeutic agents, it is important to determine whether known human miRNAs can target viral genes. The SARS-COV-2 gene might be targeted by 479 of the 2654 adult human miRNAs sequenced in the miRbase version 22.1 database. ORF1ab seems to be targeted by 369 mature human miRNAs, while the coat genes and ORF6 are targeted by a single miRNA (hsa-miR-190a-5p). The number of targets is proportional to the length of the gene, as predicted22. Viruses may also use host miRNAs. Consequently, elucidating the molecular mechanism of miRNAs in virus-host interaction may provide a better knowledge of virus pathogenesis and potentially contribute to the development of an efficient antiviral treatment strategy. Although investigations on viral replication and their interaction with the innate host immune system have been conducted, the significance of miRNA-mediated RNA silencing in SARS-COV-2-induced viral infection is yet unknown22.
The target sequence of miRNA 197-5p has been identified as lost by the conserved synonymous Nsp3 C3037U mutation25. The SARS-COV-2 polyproteins are cleaved by protease enzymes encoding papain-like proteases (PLpro) and a serine-type Mpro (chymotrypsin-like protease (3CLpro). Also, pp1ab is subsequently cleaved into nonstructural proteins (NSPS) 1–16. Nsps plays a crucial function in a variety of viral and host cell activities26,27.
In this study, we seek to investigate conserved mutations of the ORF1a gene and analyze whether these mutations are the result of targeting by human microRNAs.
Results
Identification of microRNAs targeting SARS-CoV-2 recurrence mutations
This study investigated the effects of upregulating hsa-miR-3132 and hsa-miR-4650-3p using data from the RNA22 and IntaRNA databases. According to the results presented in Tables 1 and 2, both microRNAs target the Nsp3 gene in the wild-type coronavirus through canonical binding. However, due to a mutation at position 3037 (*C3037U) (as illustrated in Fig. 1), the binding sites for these microRNAs have been deleted.
RNA secondary structure
The impact of the point mutation on the local RNA secondary structure, spanning over 500 bp around the mutation site (250 bp upstream and 250 bp downstream), was assessed. Comparing the measurement of mRNA folding energy (MEF) between the Wuhan-Hu-1 (− 153.10 kcal/mol) and the mutant variant (− 153.70 kcal/mol) revealed that the secondary structure of the mutant mRNA was more stable (as depicted in Fig. 2a). Additionally, data from the RNAsnp database, showing p values for the mutation's effect on RNA structure (mode-1 = 0.1937, mode-2 = 0.1644), indicated a significant impact of the *C3037U mutation. This mutation notably increased the Watson–Crick base pair probability in adjacent regions, leading to a more stable predicted RNA secondary structure (as shown in Fig. 2b). Additionally, the effect of the C3037U mutation on the RNA secondary structure of the entire Nsp3 subgenome is presented in supplementary Figure S1.
The impact of C3037U mutation on local RNA secondary structure of Nsp3. (a) RNA secondary structures of Wuhan-Hu-1 Nsp3 (MFE structure: − 153.10 kcal/mol—centroid structure: − 145.80 kcal/mol) and mutant Nsp3 (*C3037U) (MFE structure: − 153.70 kcal/mol—centroid structure: − 143.60 kcal/mol) using RNAfold tool. (b) Prediction of *C3037U effect on local RNA secondary structure by RNAsnp (p values based on RNAsnp were as follows: mode-1 = 0.1937, mode-2 = 0.1644, If the p-value is greater than 0.2 is not so significant structural change).
MicroRNA expression analysis in different human tissues
The expression levels of both human miRNAs, potentially targeting sites across the wild-type SARS-CoV-2 Nsp3 gene, were identified using separate databases. As illustrated in Fig. 3, hsa-miR-3132 exhibits moderate expression across all human tissues, while hsa-miR-4650 shows expression primarily in the kidneys and liver, which are known target organs for the coronavirus.
(A)The relative expression level of both miRNAs in different human tissues. Data were obtained from the IMOTA database. Darker blue indicates the higher expression and grey color shows undetectable expression in those tissues. (B) hsa-miR-3132 and (C) has-miR-4650 expression in different human tissues obtained from TissueAtlas.
Comparison of microRNA effect on wild type and mutant Nsp3 gene expression in SARS CoV-2 C3037U
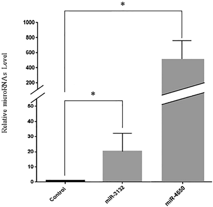
Following significant overexpression of hsa-miR-3132 and hsa-miR-4650 in transfected HEK293T cells, as confirmed by real-time PCR (Fig. 4), their impact on the gene expression of both the wild-type and mutant (*C3037U) Nsp3 genes was assessed using a dual-luciferase assay. The expression of the wild-type Nsp3 gene was reduced by 21.36% (p < 0.01) in response to hsa-miR-3132, and by 12.23% (p < 0.001) for the mutant (*C3037U) Nsp3 gene. Furthermore, the reduction ratio of wild-type Nsp3 expression significantly increased by more than 1.5-fold (p < 0.05) with hsa-miR-3132 (Fig. 5a). Hsa-miR-4650 also significantly decreased the expression of the wild-type Nsp3 gene by 60.16% (p < 0.001) and the mutant Nsp3 gene by 3.24 times (p < 0.01) compared to the control group. Moreover, the reduction percentage of wild-type Nsp3 expression was more than 8 times (p < 0.001) greater than that of mutant Nsp3 expression with hsa-miR-4650 (Fig. 5b).
Evaluation of the effect of the overexpression of both microRNAs on the expression of the wild type (WT) and mutant type (MT) Nsp3 gene. (a) The effect of hsa-miR-3132 overexpression on the expression of WT Nsp3 and MT Nsp3. (b) The effect of hsa-miR-4650 overexpression on the expression of WT Nsp3 and MT Nsp3. *p < 0.05, **p < 0.01 and ***p < 0.001.
Reduction of viral titer as a result of microRNA overexpression in Vero E6 cells
We conducted viral titer measurements to assess the effectiveness of human microRNAs (hsa-miR-3132 and hsa-miR-4650) in inhibiting the propagation of the Wuhan-Hu-1. Our results indicated a substantial decrease (2-log reduction) (p < 0.01) in the viral titer of the Wuhan-Hu-1 when recombinant Vero cells overexpressed human microRNAs (miR-3132 and miR-4650). However, the overexpression of microRNAs did not significantly affect the viral titer of VOC Omicron GRA (B.1.1.529 + BA.*) as a mutant variant (Fig. 6).
Analyzing the effect of miR-3132 and miR-4650 on viral reproduction of Wuhan-Hu-1 and mutant strains of SARS-CoV-2 was measured by virus titration assay. Overexpression of miR-3132 and miR-4650 dropped viral titer of the Wuhan-Hu-1 compared with the control groups including scramble-miR and Vero E6 cells. And also, the Wuhan-Hu-1 virus titer was lower than the mutant virus titer in microRNA-overexpressed groups. **p < 0.01.
Discussion
One significant mutation observed in the RBD is D614G. Recent studies have linked the A23403G (G614D) mutation, which alters the conformational shape of the S protein, potentially enhancing viral infection, to the C3037U mutation28,29,30. In late January 2020, the D614G (Asp614-to-Gly) mutation was initially identified in Germany and China31. Subsequently, as a mutated variant, it disseminated globally. The D614G mutation, arising from the substitution of Asp614 with Gly in the wild-type S protein, emerged as the most prominent sequence modification32,33. Two separate mutations were present alongside the D614G strain. The initial mutation involved a cytosine-thymine (CT) alteration, causing silencing, in the Nsp3 gene at position 3037. The second mutation resulted in a cytosine-thymine (CT) alteration, leading to RdRp P323 L at position 14409, inducing an amino acid change34. The D614G mutation led to heightened resistance against host proteolytic cleavage and improved transduction across various cell types, such as those found in the colon, liver, and lungs. As a result, it exhibits 4–9 times greater contagiousness,35 though it does not qualify as an escape mutation20. The most prevalent and conserved mutations are thought to be 241C > T in the 5' untranslated region (UTR), 3037C > T in Nsp3, 14408C > T in Nsp12, and 23403A > G in S36,37.
The stability of mRNA secondary structure and folding energy significantly influences the processes of polypeptide translation and folding. RNA structures that are more stable tend to have slower translation rates, which in turn prevent "ribosomal traffic" and facilitate the proper folding of newly translated peptides. This dynamic relationship ensures that the translation process occurs at an optimal pace, allowing for the accurate and efficient folding of polypeptides into their functional three-dimensional structures38. Consequently, the sequence and secondary structure of viral mRNA impact the natural selection pressure for optimal mRNA translation within host cells39. Recent studies have demonstrated that RNA mutations affect the selectivity and efficacy of miRNA target binding40. Therefore, it was expected that the Nsp3 mutation might influence how would be targeted by miR-3132 and miR-4650-3p.
Mutations in viral genomes can arise due to several factors, including error-prone viral replication, immune pressure, and adaptation to different host environments. For instance, the high mutation rate of RNA viruses like SARS-CoV-2 is partly due to the lack of proofreading mechanisms in their RNA-dependent RNA polymerase (RdRp). This results in frequent errors during replication, which can lead to advantageous mutations. The C3037U mutation in the Nsp3 gene is a synonymous mutation, meaning it does not change the amino acid sequence of the resulting protein. However, synonymous mutations can still affect viral fitness by altering mRNA structure, stability, and translation efficiency. For example, a synonymous mutation might change the local mRNA secondary structure, potentially affecting how efficiently ribosomes translate the viral RNA into proteins. This can have downstream effects on viral replication and pathogenicity.
Additionally, synonymous mutations can impact the interaction of viral mRNA with host miRNAs. The C3037U mutation in Nsp3 removes binding sites for hsa-miR-3132 and hsa-miR-4650-3p, which might allow the virus to evade miRNA-mediated silencing and enhance its replication efficiency in host cells. This mutation may also alter the folding energy of the mRNA, impacting the translation process and protein folding dynamics, which can affect viral assembly and infectivity. For example, the D614G mutation in the spike protein of SARS-CoV-2 has been associated with enhanced viral entry and increased infectivity. This mutation improves the virus's ability to bind to the ACE2 receptor on host cells, thereby facilitating more efficient entry and replication41,42
Although Dorp et al. found that this mutation site in the Nsp3 gene was significantly associated with the virus transmission28. There is limited evidence to suggest that the Nsp3 *C3037U mutation in SARS-CoV-2 has a noticeable effect on transmission, replication, or viral load. This research also highlights the direct targeting of Nsp3 by hsa-miR-3132 and hsa-miR-4650-3p, with the Nsp3 synonymous C3037U mutation in the D614G strain eliminating potential binding sites for miR-4650-3p and miR-3132. The Wuhan-Hu-1, containing a microRNA binding site, experienced a significant reduction in viral titration with the overexpression of hsa-miR-3132 and hsa-miR-4650, while the mutant variant's viral titration remained unaffected. Additionally, these microRNAs exhibit moderate expression levels in the kidneys and liver, two target organs for SARS-CoV-2. Therefore, it is conceivable that this mutation arose to evade the host's intracellular immune system. Human miRNAs have the ability to target abnormal mRNA, including viral transcripts, potentially serving as intracellular defense mechanisms against viral infection43,44,45. They could also play crucial roles in gene regulation. Another advancement in achieving host-cell-specific attenuation of live vaccines involves the potential incorporation of host miRNA binding sites into the genome of live-attenuated viruses. For example, identifying miRNA target sites in viral pathogens opens avenues for further research into viral host cell tropism or the creation of vaccines targeting specific viruses46,47,48,49
There is no well-documented evidence that hsa-miR-3132 and hsa-miR-4650 specifically target viruses other than SARS-CoV-2. If further research reveals new findings in this area, it would be valuable to reassess the potential broader antiviral roles of these miRNAs. However, as of now, the available data do not support a known role for hsa-miR-3132 and hsa-miR-4650 in targeting other viruses.
The precise mechanism behind the emergence of these synonymous recurrence mutations remains unclear. Observations, including our own, indicate that most SARS-CoV-2 mutations involve C/G to U substitutions50, which are likely not solely due to replication processes51. It is believed that the majority of C to U mutations result from the action of the APOBEC RNA editing machinery, while G to U mutations are likely driven by reactive oxygen species (ROS) activity50,51. There is a well-established link between RNA editing machinery and the assembly of the miRNA RISC complex52. Thus, it is plausible that the interaction of miRNAs with viral genes may facilitate the recognition and mutation of these regions by RNA editing machinery. This could account for the high frequency and recurrence of these mutations. Numerous studies have demonstrated interactions between viruses and host miRNA machinery53. While some viruses exploit miRNAs to enhance or regulate their replication, most interactions result in either the virus's inability to infect specific cell types (e.g., miR-142-3p and EEV) or reduced viral replication. Coronaviruses, with their large genomes (~ 30 kb), might be recognized by host miRNAs with 6–8 bp complementary regions after jumping to a new host. In this study, we used strong bioinformatic and experimental evidences to present the first evidence of miR-3132 and miR-4650-3p binding to the SARS-CoV-2 genome, along with the synonymous recurrence mutations that may help the virus evade miRNA recognition.
Conclusion
We investigated the impact of human microRNAs on the development of conserved mutations in the SARS-CoV-2 genome, which influence virus infection. Our research revealed that in the Wuhan-Hu-1, Nsp3 serves as a target for various human microRNAs, including hsa-miR-3132 and hsa-miR-4650. These microRNAs potentially affect the viral life cycle because Nsp3, the largest protein of SARS-CoV-2, plays a crucial role in viral replication and modulation of the host immune response. Our findings indicate that hsa-miR-3132 and hsa-miR-4650 can suppress viral replication and reduce the viral load in Wuhan-Hu-1. Consequently, the virus develops conserved mutations in the Nsp3 region, specifically at the binding sites of these microRNAs, allowing it to evade the host's intracellular immune system.
Materials and methods
Sequence alignment
The reference sequence for the SARS-CoV-2 virus was obtained from NCBI (NC 045512.2), along with 20,000 sequences from more than 11,000,000 sequences in NCBI or GISAID databases up to June 2022. We covered a variety of countries with sequences accessible until June 2022. Multiple sequence alignments were carried out using MEGA X.
Mutational analysis
We acquired all 1917 stem-loop microRNA sequences from miRbase (v22.1) and tested their ability to bind the canonical genome of a wild-type coronavirus. The RNA22 and IntaRNA databases was used to examine the binding specificity of microRNAs to their target locations in the SARS-COV-2 wild-type genome. Thereafter, sequence alignments, including the microRNA binding site, were analyzed for alterations. The term "conserved" was used to describe mutations found in numerous sequences from different countries.
RNA secondary structure
We predicted the secondary structure of both wild-type and mutant RNA sequences using established techniques. The RNAfold tool was used to predict RNA secondary structures by estimating minimum free energy (MFE) structures54 and centroid structures55. Through the use of RNAfold and RNAsnp, we were able to assess how mutations affected RNA secondary structure56.
MicroRNA expression analysis in different tissues
Selected miRNAs expressed in SARS-CoV-2 target organs include the lung, esophagus, kidney, liver, and small intestine 57. The expression levels of miRNA in target cells and tissues were determined by TissueAtlas (https://ccb-web.cs.uni-saarland.de/tissueatlas2)58, IMOTA (https://ccb-web.cs.uni-saarland.de/imota/)59, TISSUES (https://tissues.jensenlab.org/Search)60, or using published data61.
Lines and culture
The HEK293 and Vero E6 cell lines were utilized in this research and were obtained from the Iranian Biological Resource Center (IBRC, Tehran, Iran). In a 5% CO2 incubator at 37 °C, this cell line was cultured in high-glucose DMEM (4.5 g/l) (Bio Idea, Tehran, Iran) supplemented with 10% fetal bovine serum (FBS; Gibco) and antibiotics (100 U/mL penicillin,100 mg/mL streptomycin). These cells were passaged every 2 or 3 days.
Cloning of genes and miRNAs
Primers and Taq DNA polymerase (CinnaGen) were used to perform PCR amplification of miR-3132 and miR-4650 genes (Table S1). Finally, they were cloned into the pEGFP-C1 and pCDH-CMV-MCS-EF1-cGFP-T2A-puro vectors (Addgene, USA). Using PCR on total SARS-Cov-2 cDNA obtained from a patient, the target region of microRNAs on the mutated Nsp3 gene (500 bp upstream and 500 bp downstream of the mutation site) was amplified (Table S1). A PCR fragment downstream of the Renilla luciferase gene was cloned into the dual luciferase reporter plasmid psiCHECK-2 (Promega, Madison, WI, USA). A generic vector was used to generate reference Nsp3 with the Wuhan-Hu-1 sequence, and this vector was further subcloned into the dual luciferase reporter plasmid psiCHECK-2. It was sequenced to confirm that the cloned gene fragment from the patient had the necessary mutation.
Reverse transcription-quantitative polymerase chain reaction (RT-qPCR)
In order to measure miR-4650 and miR-3132 expression, single-stranded cDNA was synthesized using M-MLV reverse transcriptase (Thermofisher), and qPCR was performed using RealQ Plus 2 × Master Mix Green with high ROXTM (Ampliqon). Both of their expression levels were evaluated in relation to the SNORD47 gene. Table S1 shows the primers used in this investigation for cDNA synthesis and real-time PCR. The 2 − ΔΔCt method technique was used to determine relative expression.
Luciferase reporter assay
Briefly, cells were transfected with miR-3132, miR-4650, or a scramble-miR according to the manufacturer's instructions, and then luciferase reporter assays were performed using either wild-type or mutant Nsp3, and the Lipofectamine 2000 transfection reagent (Invitrogen, Company). After 48 h, luciferase activity was measured using a Dual-Luciferase reporter assay kit (Promega), according to the manufacturer's instructions. The level of luciferase activity in fireflies was utilized as a reference point.
Virus titration assay
Establishment of stable Vero E6 cell lines expressing microRNAs
The electroporation technique is used as the best way to improve transfection efficiency. In this method, cells are placed in a transient high-pressure current pulse environment. The shock causes the formation of nanometer-sized micropores in cell membranes, and these micropores allow genetic material to enter the cytoplasm. For Vero electroporation, voltage was set to 300 V, capacitance flow to 850 µF, resistance to 100 Ω, cell concentration to 1 × 106 cells/ml, and DNA dosage to 4 µg. PBS without antibiotics and serum was used as a buffer for electroporation (Gene Pulser Xcell™ Electroporation System, Bio-Rad). The volume of the electrotransfection cup was 0.8 ml. Cell suspension (0.3 ml, 1 × 106/ml) was mixed with microRNA plasmids (pCDH-CMV-MCS-EF1-cGFP-T2A-puro) separately for electrotransfection. The cells were given one pulsated shock for 20 ms. After electroporation, the fresh DMEM culture medium containing 20% FBS was added. Cells were placed at 37 °C in a 5% CO2 incubator.
48 h after electroporation, puromycin (3 µg/ml) was added to culture media in order to select the Vero cells that received the microRNA gene. Individual puromycin-resistant cell colonies were picked and subcultured in the culture medium with puromycin.
Virus culture and titration assay
All procedures with viruses were conducted in a biosafety level 3 (BSL-3) facility, and approved standard operating procedures were followed when working with live SARS-CoV-2. For virus cultivation, we utilized a strain from the original Wuhan lineage, referred to as “Wuhan-Hu-1” for consistency. Additionally, we employed the VOC Omicron GRA (B.1.1.529 + BA.*) [hCoV-19/Iran/NIC-OM/2021] as a mutant variant.
Recombinant Vero E6 cells expressing miR-3132 and miR-4650 were seeded at 24 well plate separately and subsequently, Wuhan-Hu-1 and VOC Omicron GRA (B.1.1.529 + BA.*) [hCoV-19/Iran/NIC-OM/2021] were cultured on these recombinant cells and also, were cultured on Vero E6 cell line transfected with Scramble-miR vector and non-transfected Vero E6 cells as control groups. Then, a 50% Tissue Culture Infectious Dose (TCID50) assay was used to quantify virus titers by investigating the cytopathic effects of a virus on an inoculated host cell culture.
Statistical analysis
The difference between the groups was analyzed by the student’s t-test, and the calculations were performed by GraphPad Prism 6.0 software. The statistical analysis of the data obtained from real-time PCR was analyzed by REST 2009 software developed by Qiagen Company. The values are expressed as the means and standard deviation (mean ± SD). The level of statistical significance was set at p < 0.05.
Data availability
All data supporting the findings of this study are available within the paper and its Supplementary Information, and no additional source data are required.
References
Wang, N. et al. Structure of MERS-CoV spike receptor-binding domain complexed with human receptor DPP4. Cell Res. 23(8), 986–993 (2013).
Ali Hosseini Rad, S. M. & McLellan, A. D. Implications of sars-cov-2 mutations for genomic rna structure and host microrna targeting. Int. J. Mol. Sci. 21(13), 1–18 (2020).
Meng, Q. et al. Roles of host small RNAs in the evolution and host tropism of coronaviruses. Brief Bioinform. 22(2), 1096–1105 (2021).
Ding, S. W. & Voinnet, O. Antiviral immunity directed by small RNAs. Cell. 130(3), 413–426 (2007).
Maillard, P. V., van der Veen, A. G., Poirier, E. Z. & Reis-Sousa, C. Slicing and dicing viruses: Antiviral RNA interference in mammals. EMBO J. 38(8), 1–13 (2019).
Guo, Z., Li, Y. & Ding, S. W. Small RNA-based antimicrobial immunity. Nat. Rev. Immunol. 19(1), 31–44. https://doi.org/10.1038/s41577-018-0071-x (2019).
Li, Y., Lu, J., Han, Y., Fan, X. & Ding, S. W. RNA interference functions as an antiviral immunity mechanism in mammals. Science (80-). 342(6155), 231–4 (2013).
Ghildiyal, M. & Zamore, P. D. Small silencing RNAs: An expanding universe. Nat. Rev. Genet. 10(2), 94–108 (2009).
Berkhout, B. RNAi-mediated antiviral immunity in mammals. Curr. Opin. Virol. 32, 9–14. https://doi.org/10.1016/j.coviro.2018.07.008 (2018).
Lewis, B. P., Burge, C. B. & Bartel, D. P. Conserved seed pairing, often flanked by adenosines, indicates that thousands of human genes are microRNA targets. Cell. 120(1), 15–20 (2005).
Jopling, C. L., Norman, K. L. & Sarnow, P. Positive and negative modulation of viral and cellular mRNAs by liver-specific MicroRNA miR-122. Cold Spring Harb Symp. Quant. Biol. 71, 369–376 (2006).
Lecellier, C. H. et al. A cellular microRNA mediates antiviral defense in human cells. Science (80-). 308(5721), 557–60 (2005).
Zhang, G. et al. Suppression of hepatitis B virus replication by microRNA-199a-3p and microRNA-210. Antiviral Res. 88(2), 169–75. https://doi.org/10.1016/j.antiviral.2010.08.008 (2010).
Nathans, R. et al. Cellular MicroRNA and P bodies modulate Host-HIV-1 interactions. Mol Cell. 34(6), 696–709. https://doi.org/10.1016/j.molcel.2009.06.003 (2009).
Arboleda, J. F., Fernandez, G. J. & Urcuqui-Inchima, S. Vitamin D-mediated attenuation of miR-155 in human macrophages infected with dengue virus: Implications for the cytokine response. Infect. Genet. Evol. 69, 12–21. https://doi.org/10.1016/j.meegid.2018.12.033 (2019).
Otsuka, M. et al. Hypersusceptibility to vesicular stomatitis virus infection in Dicer1-deficient mice is due to impaired miR24 and miR93 expression. Immunity. 27(1), 123–134 (2007).
Ho, B. C. et al. Enterovirus-induced miR-141 contributes to shutoff of host protein translation by targeting the translation initiation factor eIF4E. Cell Host Microbe. 9(1), 58–69. https://doi.org/10.1016/j.chom.2010.12.001 (2011).
Rodrigues, D. V. S. et al. MicroRNAs in cell cycle progression and proliferation: Molecular mechanisms and pathways. Non-Coding RNA Investig. https://doi.org/10.21037/ncri.2018.04.06 (2018).
Bruscella, P. et al. Viruses and miRNAs: More friends than foes. Front Microbiol. 8(MAY), 1–11 (2017).
Khan, M. A. A. K., Sany, M. R. U., Islam, M. S. & Islam, A. B. M. M. K. Epigenetic regulator miRNA pattern differences among SARS-CoV, SARS-CoV-2, and SARS-CoV-2 world-wide isolates delineated the mystery behind the epic pathogenicity and distinct clinical characteristics of pandemic COVID-19. Front Genet. 11, 765 (2020).
Abedi, F., Rezaee, R., Hayes, A. W., Nasiripour, S. & Karimi, G. MicroRNAs and SARS-CoV-2 life cycle, pathogenesis, and mutations: biomarkers or therapeutic agents?. Cell Cycle. 20(2), 143–53. https://doi.org/10.1080/15384101.2020.1867792 (2021).
Demirci, M. D. S. & Adan, A. Computational analysis of microRNA-mediated interactions in SARS-CoV-2 infection. PeerJ. 2020(6), 1–17 (2020).
Bartel, D. P. Metazoan MicroRNAs. Cell. 173(1), 20–51. https://doi.org/10.1016/j.cell.2018.03.006 (2018).
Krol, J., Loedige, I. & Filipowicz, W. The widespread regulation of microRNA biogenesis, function and decay. Nat. Rev. Genet. 11(9), 597–610. https://doi.org/10.1038/nrg2843 (2010).
Weissman, D. et al. D614G spike mutation increases SARS CoV-2 susceptibility to neutralization. Cell Host Microbe 29(1), 23-31.e4 (2021).
Chen, Y., Liu, Q. & Guo, D. Emerging coronaviruses: Genome structure, replication, and pathogenesis. J Med Virol. 92(4), 418–423 (2020).
Astuti, I. Severe acute respiratory syndrome coronavirus 2 (SARS-CoV-2): An overview of viral structure and host response. Diabetes Metab. Syndr. Clin. Res. Rev. 14(4), 407–12. https://doi.org/10.1016/j.dsx.2020.04.020 (2020).
van Dorp, L. et al. No evidence for increased transmissibility from recurrent mutations in SARS-CoV-2. Nat Commun. 11, 1. https://doi.org/10.1038/s41467-020-19818-2 (2020).
Ogawa J, Zhu W, Tonnu N, Singer O, Hunter T, Ryan AL, et al. The D614G mutation in the SARS-CoV2 Spike protein increases infectivity in an ACE2 receptor dependent manner. bioRxiv Prepr Serv Biol. 2020; http://www.ncbi.nlm.nih.gov/pubmed/32743569http://www.pubmedcentral.nih.gov/articlerender.fcgi?artid=PMC7386486
Korber, B. et al. Tracking changes in SARS-CoV-2 spike: Evidence that D614G increases infectivity of the COVID-19 virus. Cell. 182(4), 812-827.e19 (2020).
Yurkovetskiy, L. et al. Structural and functional analysis of the D614G SARS-CoV-2 spike protein variant. Cell. 183(3), 739–751. https://doi.org/10.1016/j.cell.2020.09.032 (2020).
Benton, D. J. et al. The effect of the D614G substitution on the structure of the spike glycoprotein of SARS-CoV-2. Proc. Natl. Acad. Sci. USA 118(9), 2–5 (2021).
Sen, D., Debnath, P., Debnath, B., Bhaumik, S. & Debnath, S. Identification of potential inhibitors of SARS-CoV-2 main protease and spike receptor from 10 important spices through structure-based virtual screening and molecular dynamic study. J. Biomol. Struct. Dyn. 40(2), 941–62. https://doi.org/10.1080/07391102.2020.1819883 (2022).
Koyama, T., Weeraratne, D., Snowdon, J. L. & Parida, L. Emergence of drift variants that may affect covid-19 vaccine development and antibody treatment. Pathogens. 9(5), 1–7 (2020).
Daniloski Z, Guo X, Sanjana NE. The D614G mutation in SARS-CoV-2 Spike increases transduction of multiple human cell types. bioRxiv Prepr Serv Biol. 2020;1–16.
Mercatelli, D. & Giorgi, F. M. Geographic and genomic distribution of SARS-CoV-2 mutations. Front. Microbiol. 11(July), 1–13 (2020).
Koyama, T., Platt, D. & Parida, L. Variant analysis of SARS-cov-2 genomes. Bull. World Health Organ. 98(7), 495–504 (2020).
Faure, G., Ogurtsov, A. Y., Shabalina, S. A. & Koonin, E. V. Role of mRNA structure in the control of protein folding. Nucleic Acids Res. 44(22), 10898–10911 (2016).
Peeri, M. & Tuller, T. High-resolution modeling of the selection on local mRNA folding strength in coding sequences across the tree of life. Genome Biol. 21(1), 1–20 (2020).
Zhang, L., Yang, C. S., Varelas, X. & Monti, S. Altered RNA editing in 3′ UTR perturbs microRNA-mediated regulation of oncogenes and tumor-suppressors. Sci. Rep. 6, C–13. https://doi.org/10.1038/srep23226 (2016).
Van Dorp, L. et al. Infection, genetics and evolution emergence of genomic diversity and recurrent mutations in SARS-CoV-2. Infect Genet Evol. 83, 104351. https://doi.org/10.1016/j.meegid.2020.104351 (2020).
Korber B, Fischer WM, Gnanakaran S, Yoon H, Theiler J, Abfalterer W, et al. Journal Pre-proof. 2020.
Mahajan VS, Drake A, Chen J. Virus-specific host miRNAs : Antiviral defenses or promoters of persistent infection ? 2008; 1–7.
Cullen, B. R. Viruses and microRNAs. Nat. Genet. 38, 25–30 (2006).
Cullen, B. R. Five questions about viruses and MicroRNAs. PLoS Pathog. 6(2), 2–4 (2010).
Kelly, E. J., Hadac, E. M., Greiner, S. & Russell, S. J. Engineering microRNA responsiveness to decrease virus pathogenicity. Nat. Med. 14(11), 1278–1283 (2008).
Perez, J. T. et al. MicroRNA-mediated species-specific attenuation of influenza A virus. Nat. Biotechnol. 27(6), 572–576 (2009).
Langlois, R. A. et al. MicroRNA-based strategy to mitigate the risk of gain-of-function influenza studies. Nat. Biotechnol. 31(9), 844–848 (2013).
Barnes, D., Kunitomi, M., Vignuzzi, M., Saksela, K. & Andino, R. Article harnessing endogenous miRNAs to control virus tissue tropism as a strategy for developing attenuated virus vaccines. Cell Host Microbe 4, 239–248 (2008).
De Maio, N. et al. Mutation rates and selection on synonymous mutations in SARS-CoV-2. Genome Biol Evol. 13(5), 1–14 (2021).
Shan, K. J., Wei, C., Wang, Y., Huan, Q. & Qian, W. Host-specific asymmetric accumulation of mutation types reveals that the origin of SARS-CoV-2 is consistent with a natural process. Innovation. 2(4), 100159 (2021).
de Sousa, M. C., Gjorgjieva, M., Dolicka, D., Sobolewski, C. & Foti, M. Deciphering miRNAs’ action through miRNA editing. Int. J. Mol. Sci. 20(24), 6249 (2019).
Rad, S. M. A. H., Wannigama, D. L., Hirankarn, N. & McLellan, A. D. The impact of non-synonymous mutations on miRNA binding sites within the SARS-CoV-2 NSP3 and NSP4 genes. Sci Rep. 13(1), 1–6. https://doi.org/10.1038/s41598-023-44219-y (2023).
Zuker, M. & Stiegler, P. Information this paper presents a new computer method for folding an RNA molecule. Nucleic Acids Res. 9(11981), 133–48 (1980).
Ding, Y. E., Chan, C. & Lawrence, C. E. Bioinformatics RNA secondary structure prediction by centroids in a Boltzmann weighted ensemble. RNA 11, 1157–66 (2005).
Sabarinathan, R. et al. RNAsnp: Efficient detection of local RNA secondary structure changes induced by SNPs. Hum. Mutat. 34, 546–556 (2013).
Ni, W. et al. Role of angiotensin-converting enzyme 2 (ACE2) in COVID-19. Crit. Care 24, 1–10 (2020).
Ludwig, N. et al. Distribution of miRNA expression across human tissues. Nucleic Acids Res. 44, 3865–3877 (2016).
Palmieri, V. et al. IMOTA: An interactive multi-omics tissue atlas for the analysis of human miRNA—Target interactions. Nucleic Acids Res. 46, D770–D775 (2017).
Santos, A., Tsafou, K. & Stolte, C. Comprehensive comparison of large-scale tissue expression datasets. PeerJ 3, e1054 (2015).
Ramachandran, K. et al. Human miRNome profiling identifies MicroRNAs differentially present in the urine after kidney injury. Clin Chem. 59, 1742–1752 (2013).
Acknowledgements
This work is based upon research funded by Iran National Science Foundation (INSF) under Project No. 99019844.
Author information
Authors and Affiliations
Contributions
S.G.: Conceptualization, Methodology, Experimentation, Characterization and Analysis, Visualization, Writing original draft and editing. A.A.: Resources H.K. and F.S.: Methodology E.A.: Conceptualization, Methodology, Supervision, Resources, Manuscript reviewing.
Corresponding author
Ethics declarations
Competing interests
The authors declare no competing interests.
Additional information
Publisher's note
Springer Nature remains neutral with regard to jurisdictional claims in published maps and institutional affiliations.
Supplementary Information
Rights and permissions
Open Access This article is licensed under a Creative Commons Attribution-NonCommercial-NoDerivatives 4.0 International License, which permits any non-commercial use, sharing, distribution and reproduction in any medium or format, as long as you give appropriate credit to the original author(s) and the source, provide a link to the Creative Commons licence, and indicate if you modified the licensed material. You do not have permission under this licence to share adapted material derived from this article or parts of it. The images or other third party material in this article are included in the article’s Creative Commons licence, unless indicated otherwise in a credit line to the material. If material is not included in the article’s Creative Commons licence and your intended use is not permitted by statutory regulation or exceeds the permitted use, you will need to obtain permission directly from the copyright holder. To view a copy of this licence, visit http://creativecommons.org/licenses/by-nc-nd/4.0/.
About this article
Cite this article
Ghaemi, S., Abdoli, A., Karimi, H. et al. The impact of host microRNAs on the development of conserved mutations of SARS-CoV-2. Sci Rep 14, 22091 (2024). https://doi.org/10.1038/s41598-024-70974-7
Received:
Accepted:
Published:
Version of record:
DOI: https://doi.org/10.1038/s41598-024-70974-7
Keywords
This article is cited by
-
MicroRNA-driven evolutionary pressure in SARS-CoV-2: the role of hsa-miR-6512 in mutational dynamics
Scientific Reports (2025)








