Abstract
Adverse life events (e.g., severe accidents, violence/abuse, organic disorders) can elicit traumatic responses characterized by intrusive thoughts, hyperarousal, and avoidance—highlighting the need for sound assessment tools. Also, these traumatic components could heighten anxiety and depression symptoms. This study aims included to: (1) assessing the psychometric properties of the Post-Traumatic Symptom Questionnaire (PTSQ) and delineating clinical cut-offs; (2) investigating how distinct trauma components contribute to anxiety and depression symptoms. Involving 761 participants who experienced a traumatic event, Part I tested the PTSQ psychometric properties, defining clinical cut-offs. Part II tested the impact of traumatic components on anxiety and depression symptoms, using a multiple multivariate latent regression model. PTSQ exhibited exemplary fit indices and robust psychometric properties. Clinically relevant cut-offs were identified. The differential contributions of intrusion, avoidance, and hyperarousal to anxiety and depression symptoms were evaluated, elucidating the strength and nature of these relationships. This study reaffirms the PTSQ as a psychometrically sound and reliable instrument. It underscores the effects of intrusion, avoidance, and hyperarousal on anxiety and depression symptoms in individuals with traumatic experiences. These insights advocate for evidence-based interventions aimed at alleviating the psychological suffering associated with trauma components, fostering adaptation and supporting psychological health.
Similar content being viewed by others
Introduction
Traumatic events can disrupt individuals' lives, threatening sense of security and well-being, causing significant harm to individuals and society, resulting in human and economic costs1,2. Traumatic events with the associated psychological impact can occur at different life stages either personally or vicariously through third-party experiences, such as witnessing someone else's trauma3. Traumatic events encompass a wide range of occurrences (e.g., surviving life-threatening situations, near-fatal injuries, sexual violence, wars, tortures, natural disasters)4,5,6. Additionally, traumatic events can be acute, occurring suddenly, or chronic and prolonged, as seen in cases of neglect, abuse, or enduring life-threatening conditions like cancer7,8,9. Moreover, according to recent literature10,11, it is important to differentiate between traumatic event(s) and traumatic experience(s). On one hand, a traumatic event is a specific critical episode associated with a major threat or harm to one’s sense of integrity. On the other hand, a traumatic experience refers to the individual emotional reaction and psychological response following an event. Noteworthy, this subjective traumatic experience may occur even if the event itself is not considered critical but is appraised as such. By focusing on traumatic experiences rather than just traumatic events, it is possible to consider a wider range of situations that may trigger post-traumatic stress symptoms (PTSS) and/or post-traumatic stress disorder (PTSD), beyond the most obvious or severe circumstances10.
Post-traumatic stress
Experiencing traumatic events has a potentially detrimental effect on mental health: traumatic events are a pivotal risk factor for the development and maintenance of post-traumatic stress symptoms (PTSS) which can lead to various psychological difficulties2 including post-traumatic stress disorder (PTSD), anxiety and depression symptoms12,13. Notably, reactions to traumatic events vary widely, and following exposure to a traumatic event, approximately one-third of individuals experience clinically significant post-traumatic reactions14,15. According to a recent review16, the point prevalence rates of PTSD in the general population varied between 8.0 and 56.7%, the 1-year prevalence rates ranged from 2.3 to 9.1%, and the lifetime prevalence between 3.4 and 26.9%.
In the diagnostic literature, the International Classification of Disease-11 (ICD-11)17 and Diagnostic Statistic Manual-5 text revised (DSM-5-TR)11 both share three components/clusters of symptoms of post-traumatic stress: intrusive re-experiencing of the event, avoidance, and hyperarousal4,18. The DSM-5-TR also encompasses a fourth component referring to "negative alterations in cognition and mood." However, literature suggests that its exclusion allows for enhanced diagnostic precision concerning symptoms that overlap with other disorders, particularly anxiety and depression symptoms. Additionally, this component may be considered not as a core symptom of PTSD but rather as a consequence of it19. Thus, the three components shared by ICD-11 and DSM-5TR can be considered the core symptoms specific to PTSD20. Given the importance of differentiating and assessing the trauma components distinctly, recently the Post-traumatic symptoms questionnaire (PTSQ)13, a new promising self-report questionnaire, was developed and validated to measure with precision the three core components of PTSS and revealed excellent psychometric properties. According to the original development and validation study, the factorial structure for the PTSQ was a hierarchical second-order model, consisting of three first-order factors corresponding to the three dimensions of post-traumatic stress symptoms (i.e., intrusion, avoidance, and hyperarousal), each measured by four items, for a total of 12 items. These three components can be summed to form a second-order general factor of post-traumatic symptoms, with higher scores indicating more severe symptomatology, which demonstrated an excellent fit to the data and optimal internal consistency values13.
Core trauma components and pathways to adverse psychological consequences
Each of the three core component/symptoms’ clusters of the psychological reactions to trauma may lead to adverse psychological symptoms such as anxious and depressive ones21.
Intrusion is the first cluster of symptoms (or component of PTSD), it is related to a specific form of memory dysfunction and consists of persistent and involuntary reminders of the traumatic experience which make individuals reexperience it, thus triggering intense distress22. Intrusiveness occurs along a continuum ranging from the low extreme where memories and thoughts are described as vivid and intrusive to the upper extreme with flashbacks or trauma-related nightmares23. A review found that intrusion was positively associated with anxiety24, possibly because the unwanted adverse memories of the traumatic experience are so vivid and real that one can experience the fear of the event as if it was imminent and the anxiety that it will happen again22. Intrusion is also related to depressive symptoms, indeed attributing a negative interpretation and meaning to intrusive memories may lead to ruminative responses (as a form of cognitive avoidance) then leading to increased depressive symptoms25,26.
Avoidance is the strong and active tendency to suppress or distance the trauma reminders consisting in potential threats and stimuli—both internal (e.g., thoughts, emotions, memories) and external (e.g., places, situations)—related to the traumatic experience27. In the short term, avoidance may provide temporary relief from distress but in the long term can hinder the ability to process and heal from the trauma, prolonging symptoms28. About the link from avoidance to anxiety, although avoidance represents a strategy for evading feared stimuli in the short-term, it is not effective in the long-term because to cognitively avoid something one has to constantly have that trauma-related stimuli always present in mind, thinking and worrying about that. Thus, avoidance inadvertently activates a threat-monitoring strategy in which the thoughts to avoid become the new threat, and selective attentive processes make threatening stimuli more likely to be detected29. Avoidance can also lead to depression because to evade overwhelming trauma-related emotions people may engage in increased avoidance in different ways (emotional, social, and behavioral)28,30, which in turn, may sustain the development of depressive symptoms31.
Hyperarousal is the third cluster/component of PTSS/PTSD, referring to a persistent state of increased physiological and psychological arousal following a traumatic experience, characterized by hypervigilance, irritability, and exaggerated startle response11. The hyperarousal subtype of PTSD accounts for approximately 70% of cases and evidence from neuroscience and psychiatric findings suggests that the amygdala is a crucial brain region involved in peritraumatic hyperarousal processes and symptoms32. Hyperarousal symptoms following a short, sudden natural disaster are more strongly associated with psychopathology and functional impairment than other posttraumatic stress symptoms33. Hyperarousal is linked to anxiety through the hyperactivity of the amygdala causing heightened activation of the sympathetic system, involving higher heart rate variability and skin conductance32. Hyperarousal can lead to depressive symptoms possibly via its negative effect on interpersonal functioning34 and/or because is strongly associated with aggressive and impulsive behaviors35, and suicidality36.
Research gap and present research
As previously stated, both the clinical and research practice raised the need to accurately evaluate the degree of severity of the three core components of PTSS. However, to date, the psychometric properties of the PTSQ structural validity was only tested in young adults (age range 18–30 years old) and there are not yet cut-off points for its clinical use. Moreover, despite a growing amount of scientific literature focused on the effects of trauma (in general) on mental health, a smaller amount investigated the relationships of the specific core trauma components—intrusion, avoidance, hyperarousal—with other psychological constructs33 such as anxiety and depression symptoms, and the role of the three core trauma components is still not clear.
Considering this background, the present research had a two-fold aim. First, it aimed at testing the psychometric properties of the PTSQ defining the clinical cut-offs for the clinical and research practice (Part I) in a large sample of adults with traumatic experiences. Second, it aimed at testing the relationship from the three PTSQ components—intrusion, hyperarousal, avoidance—to anxiety and depression symptoms (Part II).
The following research hypotheses (RH) were formulated:
-
RH#1: all the measured constructs—intrusions, avoidance, hyperarousal, anxiety and depression symptoms—are positively related among each other;
-
RH#2: each trauma component—intrusions, avoidance, hyperarousal—is positively related with anxiety symptoms—controlling for the other trauma components;
-
RH#3: each trauma component—intrusions, avoidance, hyperarousal—is positively related with depression symptoms—controlling for the other trauma components.
Methods
Procedure and Sample size determination
The snowball sampling method37 was employed to enroll participants from the general population through social media platforms such as Facebook and Twitter. Inclusion criteria involved: (A) having faced at least one traumatic experience, of which a vivid memory is still present; (B) being 18 years or older, (C) being a native Italian speaker, (D) having no impediments to completing the assessment, (E) providing complete responses, and (F) signing a written informed consent. The Study was approved by the Ethics Committee of the University of Padua (protocol n° 114-c).
The sample size was determined a priori on the basis of main statistical analysis (see dedicated section, part II) using the “n:q criterion”38—namely, the ratio of the number of participants (n) to the number of model parameters (q). Following guidelines38,39, a minimum of 10 participants per parameter was enrolled to ensure sufficient statistical power for the proposed model. Consequently, considering that the tested model had 67 parameters, a minimum of 670 participants were guaranteed.
Participants
A sample of 761 participants was enrolled: each reported having faced at least one traumatic experience of which they still have a vivid memory. According to the inclusion/exclusion criteria, none of the observations had missing data. The sample included 194 males (25.5%) and 567 females (74.5%), aged between 18 and 76 years (mean = 44.66, SD = 12.23). More details are reported in Table 1.
Measures
The presence of traumatic experiences was determined by asking participants to fill out a qualitative list detailing the types of experiences they faced and when (e.g., childhood/adolescence, adulthood). This list is provided in the supplementary materials.
Post-traumatic symptom questionnaire (PTSQ)
The PTSQ13 is a brief, accurate, solid, and reliable self-report questionnaire consisting of two sections that can be used together and/or independently of each other (see Supplementary Material). The first section includes a checklist (PTSQ-CL; 0 = No; 1 = Yes) that assesses the presence of traumatic experiences during childhood/adolescence and adulthood: higher scores correspond to a greater number of traumatic experiences. The second section includes 12 items designed to assess three core domains associated with the impact of traumatic experiences: (A) intrusivity, (B) avoidance, and (C) hyperarousal. Intrusivity (INTR) assesses the intensity of intrusive thoughts, images, and negative emotions resembling the traumatic experience faced by individuals. Avoidance (AV) evaluates how much individuals steer clear of triggers like situations, people, thoughts, and actions associated with the traumatic incident. Lastly, hyperarousal (HY.AR) quantifies the level of heightened reactions, including hypervigilance, fear, and increased alertness in daily life after a traumatic experience. Participants rate the occurrence of each sentence/symptom using a 5-point Likert scale, ranging from 1 (= "not at all") to 5 (= "extremely") with higher scores indicating greater severity within each domain. Additionally, a total score (i.e., post-traumatic symptoms; PTS) can be computed. In the present study only the second section was used.
Impact of event scale revised (IES-R)
The IES-R40,41 comprises 22 self-report items designed to assess PTS symptoms in individuals who have experienced a traumatic event. It comprises three different dimensions: hyperarousal, avoidance, and intrusion. It is also possible to calculate a total score. Participants rate each item on a 5-point Likert scale, ranging from 0 (= "not at all") to 4 (= “extremely”). In this study, the IES-R demonstrated good internal consistency across its dimensions and the total score: hyperarousal: McDonald’s Omega = 0.908; avoidance: McDonald’s Omega = 0.819; intrusion: McDonald’s Omega = 0.881, and total score: McDonald’s Omega = 0.941.
Post-traumatic stress disorder checklist for DSM 5 (PCL-5)
The PCL-542,43 is a self-reported assessment tool designed for screening PTSD. Comprising 20 items, the PCL-5 delineates symptoms of PTSD based on the DSM-5. Respondents evaluate the extent to which each item has affected them over the past month using a 5-point Likert scale ranging from 0 (= "not at all") to 4 (= "extremely")—higher scores reflect the presence and severity of PTSD symptoms. In this study, the PCL-5 showed good internal consistency: McDonald’s Omega = 0.956.
Generalized anxiety disorder 7 (GAD-7)
The GAD-744,45 is a questionnaire evaluating physical, cognitive, and psychological manifestations of anxiety. It comprises 7 items and respondents rate the frequency and the severity of their symptoms on a 4-point Likert-type scale ranging from 0 (= "never") to 3 (= "almost every day"), with higher scores indicating greater presence and severity of anxiety. In this study, the GAD-7 exhibited good internal consistency value: McDonald’s Omega = 0.891.
Patient health questionnaire 9 (PHQ-9)
The PHQ-946,47 is a self-report measure aimed at assessing somatic, cognitive, and emotive facets of depression. It comprises 9 items and respondents rate the frequency and the severity of their symptoms on a 4-point Likert-type scale ranging from 0 (= "never") to 3 (= "almost every day"), with higher scores indicating greater presence and severity of depression. In this study, the PHQ-9 showed good internal consistency values: McDonald’s Omega = 0.870.
Statistical analysis
Statistical analyses were performed using the software R.
Considering the first objective of this study, the structural validity of the PTSQ was assessed through confirmatory factor analysis (CFA). In line with the original validation study13 a second-order factorial structure with three first order factors and one general factor was specified. The Diagonally Weighted Least Squares (DWLS) estimator was used38,39. Model fit was evaluated using traditional goodness-of-fit indices (S-Bχ2, RMSEA, CFI, SRMR) and adhered to recommended cutoff values: (A) non-significant χ2, (B) RMSEA below 0.08, (C) CFI exceeding 0.95, and (D) SRMR below 0.08. Internal consistency of the PTSQ was assessed with McDonald’s omega48. Item-total correlation (adjusted) and Pearson correlation coefficient were calculated to evaluate convergent validity—interpreted using Cohen’s benchmarks49: r < 0.10, trivial; r from 0.10 to 0.30, small; r from 0.30 to 0.50, moderate; r > 0.50, large. Moreover, overall accuracy and validity of the PTSQ were evaluated using the area under the ROC curve (AUC; 5000 stratified bootstrap resamples)—interpreted using Swets’ benchmarks50: AUC = 0.50, null; AUC from 0.51 to 0.70, small; AUC from 0.71 to 0.90, moderate; AUC from 0.91 to 0.99, large; and AUC = 1.00, indicating perfect accuracy. Additionally, sensitivity, specificity, and accuracy of the PTSQ were examined against the two gold standard questionnaires measuring PTSS and PTSD—respectively, IES-R and PCL-5.
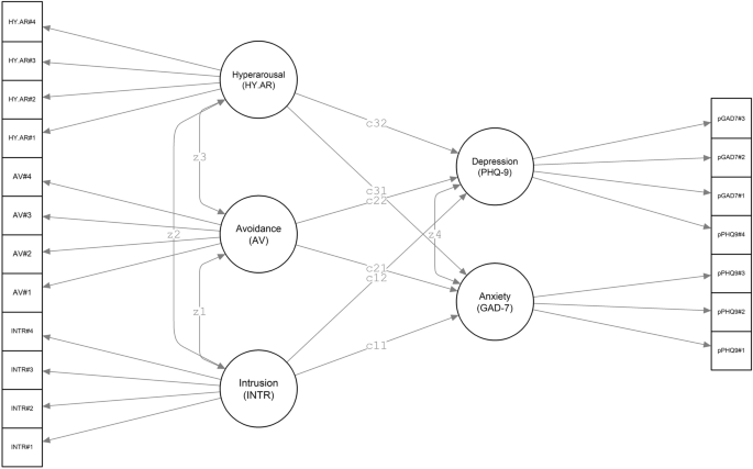
To achieve the second objective of this study, several phases were run. First, before carrying out the main analyses of the study, preliminary analyses were performed to assess the intensity of the relationships between the observed variables51. Also, model assumptions were tested and no violations were detected38,51 (see Supplementary material). Second, the measurement model of each scale was evaluated to confirm that the structural validity of the questionnaires had a good fit to the data—using fit indices (i.e., χ2, RMSEA, CFI, SRMR) and their recommended cutoff values38,39. Third, the common method bias was tested52. Fourth, a multiple-multivariate regression model with latent variables (MMLR model) was specified. In detail, the three components (namely, INRT, AV and HY.AR, respectively, X1, X2, and X3) delineating the impact of traumatic experiences were regressed on anxiety (Y1) and depression (Y2) symptoms (see Fig. 1). Fifth, latent factors of the MMLR model were defined by using parcels as indicators to obtain more precise and robust estimates of the effects53,54 and research indicates that parceling methods are superior to alternative approaches. Indeed, parcels are more reliable and less likely to violate assumptions (e.g., normality)53,54, minimize the risk of excessive statistical power55, exhibit a higher ratio of common-to-unique variance, reduce sampling error, decrease the number of freely estimated parameters, and limit the need for specifying cross-loadings or correlated error variances53,54. Considering the three components of the PTSQ (i.e., INRT, AV, and HY.AR), a fully disaggregated approach was chosen—due to the low number of items—while for the GAD-7 and the PHQ-9 a partially disaggregated item-parcel approach was chosen, relying on an item-to-construct balance strategy. Sixth, to carry out the MMLR model, the maximum likelihood (ML) estimator was used with a 10,000 bootstrap resampling procedure with the Bollen–Stine method to deal with non-perfect normality of parcels. Even in this case, model fit was assessed with the χ2 test, the RMSEA, the CFI, and the SRMR and their recommended cutoff values38,39. All regression coefficients reported in the results section were unstandardized (B). As a supplementary analysis, the difference of the strength of the associations between predictors and outcomes was evaluated by comparing the standard density bootstrap distributions (10,000 replications) of the standardized regression coefficients (β). This was done using the separation index (1-η)56,57 measuring the magnitude (effect size) of the difference of a phenomenon56,58. The 1-η-index ranges from 0 (indicating perfect overlap) to 1 (indicating perfect separation) and should be interpreted similarly to other normalized effect sizes (e.g., correlation, R2, percentages)56. The study was in accordance with the ethical standards of the Ethical Committee of the University of Padua – protocol n° 114-c.
Multiple-multivariate latent regression (MMLR) model-conceptual representation.
Results
Part I: psychometric properties of the PTSQ
PTSQ Structural validity
In line with the original validation study, a second order model was tested: a general latent factor (called: ‘Post traumatic symptoms’) loaded onto three different first-order latent factors (i.e., Intrusion, Avoidance, and hyperarousal); moreover, each of these latent factors loaded onto four different indicators. This model showed a good fit to the data. Despite the statistically significant χ2 statistic [S-Bχ2 (51) = 220.925; p < 0.001], the other fit indices showed a good fit to the data: RMSEA = 0.066; 90%CI: 0.057–0.075; p(RMSEA < 0.05) = 0.001, the CFI = 0.996, the SRMR = 0.046. First order items’ loadings ranged from 0.706 (item#7, R2 = 0.498; Avoidance) to 0.934 (item#2, R2 = 0.872; Intrusion). Moreover, second order loadings ranged from 0.533 (R2 = 0.284; Avoidance) to 0.997 (R2 = 0.995; Hyperarousal)—Table 2.
Internal consistency and convergent validity
Internal consistency analysis revealed satisfying results: for the INTR subscale, omega was 0.920, for the AV subscale omega was 0.831, for the HY.AR subscale, omega was 0.850, and for the PTS scale, omega was 0.875.
As reported in Table 3, the PTSQ total score was strongly associated with self-report questionnaires measuring the impact of the traumatic event (IES-R; r = 0.856, p < 0.001) and the presence of post-traumatic stress symptoms (PCL-5; r = 0.685, p < 0.001). Moreover, high correlations were found between the subscales of the PTSQ and the subscales of the IES-R measuring the same dimension: the correlation between the PTSQ INTR subscale and IES-R intrusion subscale was r = 0.808, p < 0.001; the correlation between the PTSQ AV subscale and IES-R avoidance subscale was r = 0.754, p < 0.001; the correlation between the PTSQ HY.AR subscale and IES-R hyperarousal subscale was r = 0.752, p < 0.001.
Accuracy of the PTSQ as a screening tool and identification of clinical cut-off
Using the IES-R cutoff for post-traumatic stress symptoms (IES-R ≤ 32 vs. IES-R ≥ 33), the PTSQ total score (i.e., post-traumatic stress, PTS) demonstrated excellent accuracy in distinguishing between participants with and without post-traumatic stress symptoms: AUC (large) = 0.923, 95%CI [0.905, 0.941]. Using a PTSQ cutoff of 32 (PTS ≥ 32), the ROC curve indicated a sensitivity of 0.913, 95%CI [0.885, 0.939], specificity of 0.732, 95%CI[0.687, 0.780], and an accuracy of 0.833, 95%CI [0.807, 0.858]. Using the cutoff score for the PTSQ (≥ 32), 32.33% of individuals (n = 246) were accurately classified as “true negative” and 50.98% (n = 388) as “true positive”, resulting in an overall correct classification rate of 83.31%. Conversely, 4.86% were identified as “false negative” (n = 37) and 11.83% as “false positive” (n = 90) resulting in a total misclassification rate of 16.69%.
Using the PCL-5 cutoff for post-traumatic stress disorder (i.e., PTSD) (PCL-5 ≤ 32 vs. PCL-5 ≥ 33), the PTSQ total score (i.e., post-traumatic stress, PTS) demonstrated high accuracy in distinguishing between participants without risk of PTSD and those with higher risk of PTSD: AUC (moderate-high) = 0.845, 95%CI [0.817, 0.873]. Using a PTSQ cutoff of 36 (≥ 36), the ROC curve indicated a sensitivity of 0.815, 95%CI [0.762, 0.863], specificity of 0.717, 95%CI[0.676, 0.755], and an accuracy of 0.746, 95%CI[0.713, 0.777]. Using the cutoff score for the PTSQ (≥ 36), 50.33% of individuals (n = 383) were accurately classified as “true negative” and 24.31% (n = 185) as “true positive”, resulting in an overall correct classification rate of 74.64%. Conversely, 5.51% were identified as “false negative” (n = 42) and 19.84% as “false positive” (n = 151) resulting in a total misclassification rate of 25.35%.
Part II: a multiple-multivariate latent regression model
Preliminary analysis
The correlation analyses indicated varying degrees of association, ranging from small to large, among the psychological variables implicated in the MMLR model (Table 3).
Measurement models
As previously shown, the PTSQ revealed adequate goodness-of-fit indices (see section "PTSQ Structural validity"). Also, the GAD-7 scale showed adequate goodness-of-fit indices: S-Bχ2(14) = 46.485; p < 0.001; RMSEA = 0.055; 90%CI[0.038, 0.073]; p(RMSEA < 0.05) = 0.285 ns, CFI = 0.999, SRMR = 0.032. Lastly, the PHQ-9 showed adequate fit indices: S-Bχ2(27) = 92.754; p < 0.001; RMSEA = 0.057; 90%CI[0.044, 0.069]; p(RMSEA < 0.05) < 0.181 ns, CFI = 0.995, SRMR = 0.046.
Harman’s single-factor test
The common method bias has not found empirical verification. The correlated factors model provided adequate fit indices: χ2 (340) = 752.732; p < 0.001; RMSEA = 0.040; 90%CI[0.036, 0.044]; p(RMSEA < 0.05) = 1 ns, CFI = 0.996, SRMR = 0.043. On the contrary, the single-factor model provided poor fit indices: χ2 (350) = 10,026.293; p < 0.001; RMSEA = 0.191; 90%CI[0.188, 0.194]; p(RMSEA < 0.05) < 0.001, CFI = 0.914, SRMR = 0.145. Model comparison showed the absence of the ‘common method bias’: Δχ2 (10) = 9273.6, p < 0.001; |ΔRMSEA|= 0.151, and |ΔCFI|= 0.083.
Multiple-multivariate latent regression model with parcels indicators
Each parcel showed a statistically significant relationship with the designated latent factor, with a standardized factor loading exceeding the optimal threshold of 0.5—specifically, they varied from a minimum of 0.722 to a maximum of 0.903 (Table 4).
The MMLR model (Figs. 1 and 2) provided good fit indices: χ2 (142) = 408.612; p < 0.001; RMSEA = 0.050; 90%CI[0.044, 0.055]; p(RMSEA < 0.05) < 0.528 ns, CFI = 0.972, SRMR = 0.040 (Table 5).
Results of the multiple-multivariate latent regression (MMLR) model (standardized regression coefficients).
The three core components of the impact of traumatic experiences—INTR (X1), AV (X2), and HY.AR (X3)—were positively associated with each other. In particular, the relationship between INTR (X1) and AV (X2) was: B = 0.338 (SE = 0.040) [95%CI: 0.257; 0.414], z = 8.477, p < 0.001. Moreover, the relation between INTR (X1) and HY.AR (X3) was: B = 0.709 (SE = 0.025) [95%CI: 0.659; 0.755], z = 28.914, p < 0.001. Lastly, the association between AV (X2) and HY.AR (X3) was: B = 0.483 (SE = 0.036) [95%CI: 0.410; 0.551], z = 13.518, p < 0.001. In addition, the two outcomes (Y1 and Y2) were positively associated with each other: B = 0.739 (SE = 0.026) [95%CI: 0.686; 0.789], z = 28.011, p < 0.001.
Controlling for AV and HY.AR, the first component, INTR (X1) was positively associated with anxiety symptoms (Y1), path c11: B = 0.171 (SE = 0.069) [95%CI: 0.035; 0.306], z = 2.469, p = 0.014. At the same time, INTR (X1) was positively associated with depression symptoms (Y2), path c12: B = 0.173 (SE = 0.068) [95%CI: 0.039; 0.307], z = 2.529, p = 0.011.
However, controlling for INTR and HY.AR, the second component, AV (X2) was not associated with anxiety symptoms (Y1), path c21: B = − 0.013 (SE = 0.057) [95%CI: − 0.127; 0.094], z = − 0.237, p = 0.813 ns. Moreover, AV (X2) was not associated with depression symptoms (Y2), path c22: B = 0.097 (SE = 0.054) [95%CI: − 0.009; 0.200], z = 1.800, p = 0.072 ns.
Lastly, controlling for INTR and AV, the third component, HY.AR (X3) was positively associated with anxiety symptoms (Y1), path c13: B = 0.565 (SE = 0.085) [95%CI: 0.409; 0.744], z = 6.659, p < 0.001. At the same time, HY.AR (X3) was positively associated with depression symptoms (Y2), path c23: B = 0.461 (SE = 0.084) [95%CI: 0.305; 0.635], z = 5.522, p < 0.001.
The degree of explained variance was 32.3% (R2 = 0.323) for anxiety symptoms and 29.6% (R2 = 0.296) for depression symptoms.
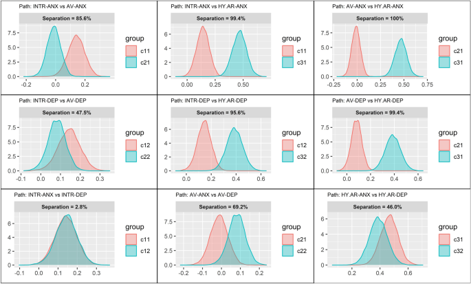
Separation index
The separation index (1-η) revealed small-to-large differences between the estimated densities of the standardized regression coefficients (Fig. 3). In particular, a negligible difference emerged when comparing the effects of intrusions on anxiety symptoms (path c11) and on depression symptoms (path c12): 1-η = 2.8%. Differently, a moderate difference appeared when comparing the effects of hyperarousal on anxiety symptoms (path c31) and on depression symptoms (path c32): 1-η = 46.0%.
Results of the standardized regression coefficients comparisons (separation index) via bootstrapped kernel density distribution.
Discussion
Given the severe impact of trauma on mental health, it is essential to assess it both in clinical contexts to provide and plan prompt psychological interventions and in research contexts to account for its effects on other constructs. The present research aimed at testing the psychometrics properties of the PTSQ, defining clinical cut-offs, and testing the relationship from the three trauma components to anxious and depressive symptoms.
Discussion of Part I
Findings of Part I confirmed that the PTSQ has strong psychometric properties and once again confirmed through CFA its internal factor structure based on a hierarchical model with one general factor and three first order components, with excellent fit and internal consistency13.
Importantly, results from Part I successfully identified the optimal clinical cut-offs of the PTSQ as a screening tool for PTSS and PTSD. The PTSQ was compared with two gold standard tools, the IES-R assessing the components of post-traumatic symptoms and the PCL-5 assessing the risk of PTSD50.
Comparing the PTSQ with the IES-R, it was suggested a cut-off score of 32 (PTSQ total score ≥ 32) indicating moderate-severe symptomatology requiring clinical attention and a possible PTSD diagnosis to be confirmed after careful clinical evaluation. Considering the IES-R, the AUC was very high with optimal values and a good classification ability, there is also high sensitivity (ability to identify positive cases, what is needed for a screening test as this one) and good specificity (ability to identify negative cases), and satisfactory accuracy50. A cutoff value emphasizing a high sensitivity was chosen because the PTSQ is a screening questionnaire designed to identify all the individuals who may have high PTSS. The very high correlation between IES-R and PTSQ (r = 0.856) suggested they are measuring the same construct as their correlation exceeds the critical threshold51,59,60, but the PTSQ does it with a lower number of items, supporting the PTSQ high precision.
Comparing the PTSQ with the PCL-5, a cutoff of ≥ 36 (PTSQ total score ≥ 36) indicated a higher risk of PTSD. With the PCL-5, the AUC was moderate-high and the sensitivity, specificity, and classification ability were satisfactory. The moderate-high correlation between PTSQ and PCL-5 (r = 0.685) suggested that there is a good overlap between the measures, despite some features not being shared (e.g., affectivity, sleep difficulties). These values were good but not optimal as for the IES-R, probably because the PCL-5 also measures components typical of affective disorders (e.g., sleep difficulties, mood disturbances) which are not exclusively typical of PTSD—and is one of the reasons why the PTSQ has been structured as it is.
Overall, findings of Part I suggest that the PTSQ is a self-report measure of the core symptoms of PTSS/PTSD, with high precision and well-structured items. Its clinical cutoffs are extremely useful in clinical practice to identify the individual severity level and delineate subsequent psychological interventions with the optimal level of intensity and assistance (e.g., low, medium, high).
Discussion of part II
Findings from Part II shed light on the relationships from the three trauma components to anxiety and depression symptoms, through a multiple multivariate latent regression model. As expected, the three trauma components were reciprocally associated with moderate-to-high positive and statistically significant relationships, supporting their cohesion in structuring the psychological reactions to trauma12. Also anxiety and depression symptoms had a strong positive and statistically significant association.
Coming to the impact of traumatic components on mental health, it emerged that: (1) the relationships from intrusion to both anxiety and depression symptoms were positive and statistically significant, and their strength was nearly the same (separation index was only 2.8%); (2) the relationship from avoidance to both anxiety and depression symptoms was not statistically significant probably because of the high correlation of avoidance and the other trauma components. Although not statistically significant, the relationship from avoidance to depression symptoms was stronger than from avoidance to anxiety symptoms (the separation index was 69.2%). However, these relationships were not statistically significant, thus their interpretation requires caution, it is purely speculative, and needs to be supported or disconfirmed by future studies despite being in line with cognitive literature pointing out avoidance as a core feature of depression; (3) the relationships from hyperarousal to both anxiety and depression symptoms were positive and statistically significant, and their strength was almost comparable (separation index was 46%).
Findings from Part II showed that not all of the three trauma components had a statistically significant association with anxiety and depression symptoms, intrusion and hyperarousal did, but avoidance did not. This is possibly due to the fact that avoidance is both a dysfunctional reaction to trauma but also a strategy that in the short term allows to suppress various stimuli, which otherwise would be able to trigger adverse psychological symptoms of anxiety and depression28,29. Differently, according to scientific literature, intrusions and hyperarousal are traumatic symptoms which are only dysfunctional and solely related with discomfort and negative psychological symptoms, without any functional role or strategy nor in the short or long term23,32.
The strength of the impact of intrusions and hyperarousal was compared relying on the separation index. When compared to intrusion, hyperarousal had a stronger impact on both anxiety (separation index = 99.4%) and depression (separation index = 95.6%) symptoms—meaning that the strength of their standardized beta was extremely different. This finding is in line with evidence from scientific literature stressing the importance of a hyperarousal-subtype of post-traumatic reactions and disorder32. Moreover, intrusions, despite being extremely unpleasant, are still something that can undergo the subjective appraisal and cognitive processing, thus not necessarily generating anxious and depressive symptoms24,26. Differently, hyperarousal entails a somatic component that has a more direct effect on anxious and depressive symptoms—with which also shares some features (e.g., being fidgety or restless).
Limitations and future research
This research is not free of limitations. First, it relied on self-report tools and there were no clinical interviews to ascertain the impact of trauma nor a formal PTSD diagnosis. However, all the assessment tools about trauma are well-validated and all provided congruent results in detecting trauma symptoms. Second, in this cross-sectional research design no causal relationships can be proved, but the reliable statistical methodologies allowed testing the hypotheses of associations and directed influences among constructs. Future research may use longitudinal designs to investigate the impact of trauma over time61. Third, this study considered a limited number of variables, and third confounding variables may have an effect (e.g., anxiety sensitivity, difficulties in emotion regulation, social support)62, which could be tested by future studies. Fourth, the sample is quite unbalanced in terms of sex in favor of females, thus more research is needed to fully elucidate the complex sex-specific mechanisms. Indeed, the available evidence points to sex differences in the risk, presentation, and underlying mechanisms of PTSD, with higher prevalence in women compared to men, due to an interaction of sex differences in trauma exposure, stress response, coping, and neurobiology63,64. Future studies may also consider gender and ethnic differences65. Another limitation is in the methods used for identifying clinical cut-off points66. In fact, the accuracy of ROC analysis depends on the quality of the gold standard67, and in this sense, a clinical interview and/or judgment might be much more accurate in determining which individuals have a particular condition. However, an increasing number of studies suggest that self-report methods can be considered superior to clinician-administered interview reports68 due to the potentially higher levels of clinician influence/error in the latter. For these reasons, future studies will integrate the use of self-report gold-standard instruments with clinical judgment and/or a diagnostic interview as a reference.
Beyond the aim of this study, an important aspect of trauma research for the future involves trauma susceptibility factors61,69—such as genetic, biological, neuroendocrine, epigenetic influences, cognitive, and psychological70. Factors affecting vulnerability to PTSD include not only clear preexisting mental health conditions but also subclinical transdiagnostic elements like negative attributional styles, intolerance of uncertainty, looming cognitive styles, and emotional regulation71,72,73.
Strengths
Despite these limitations, this research displays several strengths. First, the use of a large sample with individuals of different ages who had traumatic experiences. Second, the precise and sound methodology and statistical analysis relying on corroborated procedures. Fourth, the identification of cut-offs of the PTSQ, which are useful for the clinical and research practice to distinguish different severity levels of PTSS. Fifth, re-confirming the factorial structure of the PTSQ and its sound psychometric properties (also in adults above 30 years old), together with the possibility to shed light on the relationships between the three core trauma components and the symptoms of anxiety and then depression.
Implications for clinical and research practice
The implications of the present research are relevant both for the research and clinical practice. It is important to rely on accurate and reliable assessment tools for estimating the presence, severity, and prevalence of psychological issues—such as PTSS—even in clinical and research contexts. To give some examples, in research contexts may be useful to rely on a brief and sound measurement tool to estimate the comorbidities among psychological issues. In clinical practice, it is important to screen for PTSS in order to give more clinical attention to individuals with higher scores (e.g., above the cut-offs), set a clinical interview for the diagnostic process and then choose the most suitable psychological and/or psychiatric interventions.
Regarding the cut-offs’, they have extreme utility for the clinical contexts. With the increasing gap between mental health needs and resources, it is important to optimize the allocation of health-professional resources towards individuals most at risk of PTSD. To do so, self-report screening questionnaires are useful and effective tools to help identify individuals reporting highest PTSS and more likely to display a PTSD4. Then, formulating a formal diagnosis of PTSD is a delicate process that only a clinician can perform through a clinical interview requiring dedicated time and efforts. Then, evidence-based clinical interventions for PTSD should be planned.
Furthermore, the present research discloses some fruitful practical applications of the PTSQ for the clinical practice. Measurement-based care (MBC) and evidence-based assessment (EBA) are essential for advancing the treatment of post-traumatic stress disorder (PTSD), enhancing the effectiveness of clinical interventions. MBC systematically utilizes standardized measurements and fosters collaboration between patients and clinicians, thus improving clinical decision-making and allowing for personalized adjustments based on patient outcomes74. EBA involves the use of validated tools to assess PTSD symptoms and monitor treatment progress. Adherence to evidence-based psychotherapies correlates with improved patient outcomes, and stricter adherence to quality standards in psychotherapy for PTSD was associated with better symptom improvement75. The integration of MBC and EBA in PTSD treatment leads to more effective and tailored care; by systematically monitoring patient progress and employing validated assessment tools, clinicians can enhance treatment outcomes and ensure that interventions are responsive to individual patient needs75.
In this framework, metanalytic evidence showed the effectiveness of psychotherapy treatments in reducing PTSD symptoms76, including the Eye Movement Desensitization Reprocessing (EMDR) therapy77. EMDR has been identified among the recommended treatments by major health organizations, including the American Psychiatric Association and the World Health Organization, as a frontline treatment for PTSD78.Research has consistently shown that EMDR is effective in reducing PTSD symptoms, often yielding rapid results. Studies indicate that many patients experience significant improvements in a relatively short timeframe, sometimes within just a few sessions. A recent systematic review showed that in all the considered studies EMDR improved the PTSD symptoms in adults inpatients79. Overall, EMDR therapy is recognized as a highly effective treatment for PTSD, facilitating emotional healing and cognitive restructuring through its unique approach to processing traumatic memories.80 Scientific evidence highlighted that the mechanisms of action of EMDR rely on modifications of neuroanatomical pathways81,82 and the re-encoding of aversive traumatic memory83. Its rapid efficacy and adaptability make it a valuable option for those suffering from trauma-related conditions84, supporting the use of evidence-based treatments for PTSD in psychotherapy85.
Conclusion
Summarizing, overall, findings from this research study support the psychometric and clinical usefulness of the PTSQ both in clinical and research studies, as it is a brief, strong and sound tool to measure the core components of the psychological impact of traumatic experiences, and it is also useful to model their relationships with other key psychological constructs, such as anxiety and depression. This study provides useful preliminary evidence about the PTSQ by anchoring its scores to other two measures of PTSD that offer a measure of the risk of the diagnosis. These findings highlight the importance of PTSS and their components in influencing the subsequent psychological issues related to mental health, underlying the key role of PTSS and thus the importance of measuring it.
In conclusion, the PTSQ is a sound and valid assessment tool suitable to measure the core post-traumatic stress symptoms, also providing clinical cut-offs to determine a higher risk of PTSD. Moreover, it is important to consider the relations from the core trauma components of hyperarousal, intrusion and avoidance with the anxious and depressive symptoms to inform clinical interventions aimed at reducing the impact of traumatic events on the mental health of individuals.
Data availability
The datasets presented in this article are not readily available because due to privacy restrictions, data were available from the corresponding author on a reasonable request.
References
Von Der Warth, R., Dams, J., Grochtdreis, T. & König, H.-H. Economic evaluations and cost analyses in posttraumatic stress disorder: A systematic review. Eur. J. Psychotraumatol. 11, 1753940 (2020).
Watson, P. PTSD as a public mental health priority. Curr. Psychiatry Rep. 21, 61 (2019).
Greinacher, A., Derezza-Greeven, C., Herzog, W. & Nikendei, C. Secondary traumatization in first responders: A systematic review. Eur. J. Psychotraumatol. 10, 1562840 (2019).
Bryant, R. A. Post-traumatic stress disorder: A state-of-the-art review of evidence and challenges. World Psychiatry 18, 259–269 (2019).
Taccini, F., Rossi, A. A. & Mannarini, S. Women’s EmotionS, Trauma and EmpowErMent (W-ES.T.EEM) study protocol: A psychoeducational support intervention for victims of domestic violence—A randomised controlled trial. BMJ Open 12, e060672 (2022).
Taccini, F., Rossi, A. A. & Mannarini, S. Understanding the role of self-esteem and emotion dysregulation in victims of intimate partner violence. Family Process.
Righy, C. et al. Prevalence of post-traumatic stress disorder symptoms in adult critical care survivors: A systematic review and meta-analysis. Crit. Care 23, 213 (2019).
Swartzman, S., Booth, J. N., Munro, A. & Sani, F. Posttraumatic stress disorder after cancer diagnosis in adults: A meta-analysis. Depress. Anxiety 34, 327–339 (2017).
Rossi, A. A., Marconi, M., Taccini, F., Verusio, C. & Mannarini, S. Screening for distress in oncological patients: The revised version of the psychological distress inventory (PDI-R). Front. Psychol. 13, 859478 (2022).
Gradus, J. L. & Galea, S. Moving from traumatic events to traumatic experiences in the study of traumatic psychopathology. Am. J. Epidemiol. 192, 1609–1612 (2023).
American Psychiatric Association. Diagnostic and Statistical Manual of Mental Disorders (5th Ed.). (Washington, DC, 2013).
Cloitre, M. et al. ICD-11 posttraumatic stress disorder and complex posttraumatic stress disorder in the United States: A population-based study. J. Trauma. Stress 32, 833–842 (2019).
Rossi, A. A., Panzeri, A., Taccini, F., Parola, A. & Mannarini, S. The rising of the shield hero. Development of the Post-Traumatic Symptom Questionnaire (PTSQ) and assessment of the protective effect of self-esteem from trauma-related anxiety and depression. J. Child Adol. Trauma https://doi.org/10.1007/s40653-022-00503-z (2024).
McLaughlin, K. A. et al. Subthreshold posttraumatic stress disorder in the World Health Organization World Mental Health Surveys. Biol. Psychiatry 77, 375–384 (2015).
Ressler, K. J. et al. Post-traumatic stress disorder: Clinical and translational neuroscience from cells to circuits. Nat. Rev. Neurol. 18, 273–288 (2022).
Schein, J. et al. Prevalence of post-traumatic stress disorder in the United States: A systematic literature review. Curr. Med. Res. Opin. 37, 2151–2161 (2021).
World Health Organization. ICD-11 for Mortality and Morbidity Statistics. (2018).
Pai, A., Suris, A. & North, C. Posttraumatic stress disorder in the DSM-5: Controversy, change, and conceptual considerations. Behav. Sci. 7, 7 (2017).
Maercker, A. et al. Proposals for mental disorders specifically associated with stress in the International Classification of Diseases-11. The Lancet 381, 1683–1685 (2013).
Barbano, A. C. et al. Clinical implications of the proposed ICD-11 PTSD diagnostic criteria. Psychol. Med. 49, 483–490 (2019).
Cloitre, M. et al. A developmental approach to complex PTSD: Childhood and adult cumulative trauma as predictors of symptom complexity. J. Trauma. Stress 22, 399–408 (2009).
Laposa, J. M. & Rector, N. A. The prediction of intrusions following an analogue traumatic event: Peritraumatic cognitive processes and anxiety-focused rumination versus rumination in response to intrusions. J. Behav. Ther. Exp. Psychiatry 43, 877–883 (2012).
Bar-Haim, Y. et al. Intrusive traumatic reexperiencing: Pathognomonic of the psychological response to traumatic stress. Am. J. Psychiatry 178, 119–122 (2021).
Iyadurai, L. et al. Intrusive memories of trauma: A target for research bridging cognitive science and its clinical application. Clin. Psychol. Rev. 69, 67–82 (2019).
Ehlers, A. & Steil, R. Maintenance of intrusive memories in posttraumatic stress disorder: A cognitive approach. Behav. Cogn. Psychother. 23, 217–249 (1995).
Starr, S. & Moulds, M. L. The role of negative interpretations of intrusive memories in depression. J. Affect. Disord. 93, 125–132 (2006).
Ball, T. M. & Gunaydin, L. A. Measuring maladaptive avoidance: From animal models to clinical anxiety. Neuropsychopharmacology 47, 978–986 (2022).
Orcutt, H. K., Reffi, A. N. & Ellis, R. A. Chapter 14. Experiential avoidance and PTSD. In Emotion in Posttraumatic Stress Disorder (eds Tull, M. T. & Kimbrel, N. A.) 409–436 (Academic Press, 2020). https://doi.org/10.1016/B978-0-12-816022-0.00014-4.
Wells, A. & Sembi, S. Metacognitive therapy for PTSD: A preliminary investigation of a new brief treatment. J. Behav. Ther. Exp. Psychiatry 35, 307–318 (2004).
Scoglio, A. A. J. et al. Social functioning in individuals with post-traumatic stress disorder: A systematic review. Trauma Violence Abuse 23, 356–371 (2022).
Forbes, C. N. et al. Emotional avoidance and social support interact to predict depression symptom severity one year after traumatic exposure. Psychiatry Res. 284, 112746 (2020).
Weston, C. Posttraumatic stress disorder: A theoretical model of the hyperarousal subtype. Front. Psychiatry 5, 37 (2014).
Heir, T., Piatigorsky, A. & Weisæth, L. Posttraumatic stress symptom clusters associations with psychopathology and functional impairment. J. Anxiety Disord. 24, 936–940 (2010).
Beck, J. G., Grant, D. M., Clapp, J. D. & Palyo, S. A. Understanding the interpersonal impact of trauma: Contributions of PTSD and depression. J. Anxiety Disord. 23, 443–450 (2009).
Kwon, A., Lee, H. S. & Lee, S.-H. The mediation effect of hyperarousal symptoms on the relationship between childhood physical abuse and suicidal ideation of patients with PTSD. Front. Psychiatry 12, 613735 (2021).
Briere, J., Godbout, N. & Dias, C. Cumulative trauma, hyperarousal, and suicidality in the general population: A path analysis. J. Trauma Dissoc. 16, 153–169 (2015).
Johnson, T. P. Snowball sampling: Introduction. In Wiley StatsRef: Statistics Reference Online (Wiley, 2014). https://doi.org/10.1002/9781118445112.stat05720.
Kline, R. B. Principles and Practice of Structural Equation Modeling (The Guilford Press, 2023).
Brown, T. A. Confirmatory Factor Analysis for Applied Research xvii, 462nd edn, 462 (The Guilford Press, New York, 2015).
Craparo, G., Faraci, P., Rotondo, G. & Gori, A. The Impact of Event Scale—Revised: Psychometric properties of the Italian version in a sample of flood victims. NDT 9, 1427–1432 (2013).
Weiss, D. S. The impact of event scale: Revised. In Cross-Cultural Assessment of Psychological Trauma and PTSD (eds Wilson, J. P. & Tang, C. S.) 219–238 (Springer, 2007). https://doi.org/10.1007/978-0-387-70990-1_10.
Weathers, F. W. et al. The PTSD checklist for DSM-5 (PCL-5). Scale available from the National Center for PTSD at www.ptsd.va.gov. (2013).
Di Tella, M., Romeo, A., Zara, G., Castelli, L. & Settanni, M. The Post-Traumatic Stress Disorder Checklist for DSM-5: Psychometric properties of the Italian version. Int. J. Environ. Res. Public Health 19, 5282 (2022).
Spitzer, R. L., Kroenke, K., Williams, J. B. W. & Löwe, B. A brief measure for assessing generalized anxiety disorder: The GAD-7. Arch. Intern. Med. 166, 1092–1097 (2006).
Shevlin, M. et al. Measurement invariance of the Patient Health Questionnaire (PHQ-9) and Generalized Anxiety Disorder scale (GAD-7) across four European countries during the COVID-19 pandemic. BMC Psychiatry 22, 154 (2022).
Mazzotti, E. et al. The Patient Health Questionnaire (PHQ) for the screening of psychiatric disorders: A validation study versus the Structured Clinical Interview for DSM-IV axis I (SCID-I). Italian J. Psychopathol. 9, 235–242 (2003).
Kroenke, K., Spitzer, R. L. & Williams, J. B. W. The PHQ-9. J. Gen. Intern. Med. 16, 606–613 (2001).
McDonald, R. P. Test Theory: A Unified Treatment xi, 485 (Lawrence Erlbaum Associates Publishers, 1999).
Cohen, J. Statistical Power Analysis for the Behavioral Sciences (Lawrence Erlbaum Associates, Hillsdale, 1988).
Swets, J. A. Measuring the accuracy of diagnostic systems. Science 240, 1285–1293 (1988).
Tabachnick, B. G. & Fidell, L. S. Using Multivariate Statistics (Pearson, 2014).
Podsakoff, P. M., MacKenzie, S. B., Lee, J.-Y. & Podsakoff, N. P. Common method biases in behavioral research: A critical review of the literature and recommended remedies. J. Appl. Psychol. 88, 879–903 (2003).
Little, T. D., Cunningham, W. A., Shahar, G. & Widaman, K. F. To parcel or not to parcel: Exploring the question, weighing the merits. Null 9, 151–173 (2002).
Little, T. D., Rhemtulla, M., Gibson, K. & Schoemann, A. M. Why the items versus parcels controversy needn’t be one. Psychol. Methods 18, 285–300 (2013).
Bagozzi, R. P. & Heatherton, T. F. A general approach to representing multifaceted personality constructs: Application to state self-esteem. Struct. Equ. Model. Multidiscip. J. 1, 35–67 (1994).
Pastore, M. & Calcagnì, A. Measuring distribution similarities between samples: A distribution-free overlapping index. Front. Psychol. 10, 1089 (2019).
Wen, Z. & Fan, X. Monotonicity of effect sizes: Questioning kappa-squared as mediation effect size measure. Psychol. Methods 20, 193–203 (2015).
Huberty, C. J. & Lowman, L. L. Group overlap as a basis for effect size. Educ. Psychol. Meas. 60, 543–563 (2000).
Rönkkö, M. & Cho, E. An updated guideline for assessing discriminant validity. Org. Res. Methods 25, 6–14 (2022).
Panzeri, A., Castelnuovo, G. & Spoto, A. Assessing discriminant validity through structural equation modeling: The case of eating compulsivity. Nutrients 16, 550 (2024).
Panzeri, A. et al. Trauma shaping the psychopathological correlates of patients with long-COVID: A 6-months longitudinal study with repeated measures mixed models. Psychiatry Res. 330, 115609 (2023).
Panzeri, A. et al. Assessment of perceived support in the context of emergency: Development and validation of the psycho-social support scale. Curr. Psychol. https://doi.org/10.1007/s12144-022-03344-z (2022).
Hiscox, L. V., Sharp, T. H., Olff, M., Seedat, S. & Halligan, S. L. Sex-based contributors to and consequences of post-traumatic stress disorder. Curr. Psychiatry Rep. 25, 233–245 (2023).
Tolin, D. F. & Foa, E. B. Sex differences in trauma and posttraumatic stress disorder: A quantitative review of 25 years of research. Psychol. Bull. 132, 959–992 (2006).
Panzeri, A. et al. Gender differences and long-term outcome of over 75 elderlies in cardiac rehabilitation: Highlighting the role of psychological and physical factors through a secondary analysis of a cohort study. Eur. J. Phys. Rehabil. Med. 57, 288–297 (2021).
Hajian-Tilaki, K. Receiver operating characteristic (ROC) curve analysis for medical diagnostic test evaluation. Caspian J. Intern. Med. 4, 627–635 (2013).
Streiner, D. L. & Cairney, J. What’s under the ROC? An introduction to receiver operating characteristics curves. Can. J. Psychiatry 52, 121–128 (2007).
Hyland, P. & Shevlin, M. Clinician-administered interviews should not be considered the ‘gold standard’ method of assessing psychological distress. New Ideas Psychol. 73, 101072 (2024).
Bomyea, J., Risbrough, V. & Lang, A. J. A consideration of select pre-trauma factors as key vulnerabilities in PTSD. Clin. Psychol. Rev. 32, 630–641 (2012).
Daskalakis, N. P., Rijal, C. M., King, C., Huckins, L. M. & Ressler, K. J. Recent genetics and epigenetics approaches to PTSD. Curr. Psychiatry Rep. 20, 30 (2018).
Beevers, C. G., Lee, H.-J., Wells, T. T., Ellis, A. J. & Telch, M. J. Association of predeployment gaze bias for emotion stimuli with later symptoms of PTSD and depression in soldiers deployed in Iraq. AJP 168, 735–741 (2011).
Boelen, P. A. Intolerance of uncertainty predicts analogue posttraumatic stress following adverse life events. Anxiety Stress Coping 32, 498–504 (2019).
Oglesby, M. E., Boffa, J. W., Short, N. A., Raines, A. M. & Schmidt, N. B. Intolerance of uncertainty as a predictor of post-traumatic stress symptoms following a traumatic event. J. Anxiety Disord. 41, 82–87 (2016).
Martin-Cook, K. et al. Setting measurement-based care in motion: practical lessons in the implementation and integration of measurement-based care in psychiatry clinical practice. Neuropsychiatr. Dis. Treat. 17, 1621–1631 (2021).
Shiner, B. et al. Measurement strategies for evidence-based psychotherapy for posttraumatic stress disorder delivery: Trends and associations with patient-reported outcomes. Adm. Policy Ment. Health 47, 451–467 (2020).
Morina, N., Hoppen, T. H. & Kip, A. Study quality and efficacy of psychological interventions for posttraumatic stress disorder: A meta-analysis of randomized controlled trials. Psychol. Med. 51, 1260–1270 (2021).
Castelnuovo, G., Fernandez, I. & Amann, B. L. Editorial: Present and future of EMDR in clinical psychology and psychotherapy. Front. Psychol. 10, 2185 (2019).
World Health Organization. Guidelines for the Management of Conditions That Are Specifically Related to Stress (World Health Organization, 2013).
Phillips, R., Pinto, C., McSherry, P. & Maguire, T. EMDR therapy for posttraumatic stress disorder symptoms in adult inpatient mental health settings: A systematic review. J. EMDR Pract. Res. 16, 4–24 (2022).
Shapiro, F. The role of eye movement desensitization and reprocessing (EMDR) therapy in medicine: Addressing the psychological and physical symptoms stemming from adverse life experiences. Perm. J. 18, 71–77 (2014).
Baek, J. et al. Neural circuits underlying a psychotherapeutic regimen for fear disorders. Nature 566, 339–343 (2019).
Pagani, M. et al. Neurobiological correlates of EMDR monitoring: An EEG study. PLoS ONE 7, e45753 (2012).
Maddox, S. A., Hartmann, J., Ross, R. A. & Ressler, K. J. Deconstructing the gestalt: Mechanisms of fear, threat, and trauma memory encoding. Neuron 102, 60–74 (2019).
Capezzani, L. et al. EMDR and CBT for cancer patients: Comparative study of effects on PTSD, anxiety, and depression. J. EMDR Pract. Res. 7, 134–143 (2013).
Balbo, M., Cavallo, F. & Fernandez, I. Integrating EMDR in psychotherapy. J. Psychother. Integr. 29, 23–31 (2019).
Acknowledgements
We thank the Associazione EMDR Italia for their generous support in covering the publication fee for this research, making its dissemination possible.
Funding
This research did not receive any specific grant from funding agencies in the public, commercial, or not-for-profit sectors.
Author information
Authors and Affiliations
Contributions
A.A.R.: conceptualization, formal analysis, methodology, writing the original draft, review, and editing. A.P.: data collection, writing the original draft, formal analysis, methodology, writing the original draft, review, and editing. I.F.: review and editing. R.I.: review and editing. F.T.: review and editing. S.M.: review and editing.
Corresponding author
Ethics declarations
Competing interests
The authors declare no competing interests.
Additional information
Publisher's note
Springer Nature remains neutral with regard to jurisdictional claims in published maps and institutional affiliations.
Supplementary Information
Rights and permissions
Open Access This article is licensed under a Creative Commons Attribution-NonCommercial-NoDerivatives 4.0 International License, which permits any non-commercial use, sharing, distribution and reproduction in any medium or format, as long as you give appropriate credit to the original author(s) and the source, provide a link to the Creative Commons licence, and indicate if you modified the licensed material. You do not have permission under this licence to share adapted material derived from this article or parts of it. The images or other third party material in this article are included in the article’s Creative Commons licence, unless indicated otherwise in a credit line to the material. If material is not included in the article’s Creative Commons licence and your intended use is not permitted by statutory regulation or exceeds the permitted use, you will need to obtain permission directly from the copyright holder. To view a copy of this licence, visit http://creativecommons.org/licenses/by-nc-nd/4.0/.
About this article
Cite this article
Rossi, A.A., Panzeri, A., Fernandez, I. et al. The impact of trauma core dimensions on anxiety and depression: a latent regression model through the Post-Traumatic Symptom Questionnaire (PTSQ). Sci Rep 14, 23036 (2024). https://doi.org/10.1038/s41598-024-72274-6
Received:
Accepted:
Published:
Version of record:
DOI: https://doi.org/10.1038/s41598-024-72274-6





