Abstract
Okra (Abelmoschus esculentus) is a prominent vegetable crop in Asia, confronting persistent threats from pests such as leafhoppers, whiteflies, and shoot and fruit borers. Conventional chemical control methods, despite their adverse ecological effects, remain the primary approach for pest management. Indiscriminate chemical use has led to reduced biodiversity among natural predators and the disruption of food webs in ecosystems. To address these challenges, this study assessed the efficacy of integrated (IM) and biointensive (BM) pest management modules in comparison to conventional chemical methods (CM) for mitigating insect damage to okra leaves and fruits, and subsequently, their impact on okra yield. Our result revealed that the BM exhibited the least effectiveness but outperformed untreated control plots significantly. In contrast, both IM and CM significantly reduced damage from sap-sucking insects and borer pests. Notably, plots treated with the chemical module found decreased populations of natural enemies. The IM demonstrated the lowest fruit infestation rate (5.06%), yielding the highest crop production (8.97 t ha−1), along with the maximum net return (Indian Rupees: 44,245) and incremental cost–benefit ratio (3.31). Thus, the study suggested that the implementation of integrated pest management practices can result in higher okra yields and greater economic benefits. These findings shed light on the potential of sustainable agricultural practices as a safer and more economically viable alternative to chemical-intensive pest control in okra cultivation.
Similar content being viewed by others
Introduction
Agriculture serves as a critical pillar of the Asian economy, contributing substantially to income, employment opportunities, and food security. With the global population growing rapidly, there is a pressing need for heightened efforts to ensure the sustainable expansion of agricultural production1,2. This is essential to meet the increasing global food demands, reduce food losses, and ensure that those facing hunger and malnutrition have access to nutritious food3. In response to these challenges, sustainable agricultural methods have gained traction as an alternative to conventional farming practices4.
Okra, scientifically known as Abelmoschus esculentus (L.) Moench and commonly referred to as bhindi or lady’s finger, is a vegetable crop cultivated in tropical and subtropical regions globally, and it too faces the challenges posed by pests. In India, commercial okra cultivation encompasses an extensive area of 0.53 million hectares, yielding approximately 6.46 million tonnes annually5. India’s production of okra contributes significantly, accounting for 62% of the global output6. Okra plays a vital role in meeting the country’s vegetable demand7. However, this crop is notably susceptible to various insect pests and diseases, necessitating vigilant and timely management. Indian agriculture, with its rich heritage and biodiversity, exemplifies centuries of traditional farming and diverse crop varieties, yet faces significant challenges from biotic stresses like pests, diseases, and invasive species. These threats to crop yields and food security result in economic losses and impact the livelihoods of millions of farmers, underscoring the need for innovative and sustainable pest management strategies8,9
The major threats to okra crops come from a variety of insect pests. These include the shoot and fruit borer, Earias insulana (Boisd.) and Earias vittella (Fab.), as well as the leafhopper, Amrasca biguttula biguttula (Ishida). Additionally, there is the leaf roller (Sylepta derogata Fab), the whitefly (Bemisia tabaci, Genn.), the aphid (Aphis gossypii Glover), and the mite (Tetranychus cinnabarinus, Boisduval)10. The larvae of the shoot and fruit borer target the terminal branches, floral elements, and fruits of okra, causing damage that leads to withering and drying of affected shoots, leaves, and extensive shedding of floral buds and flowers. Reports indicate that these infestations result in significant losses, reducing marketable okra output by almost 48.97%11,12. Sap-sucking insects, such as leafhoppers, deplete chlorophyll from okra leaves and disrupt the plant’s photosynthesis process. This leads to observable effects like cupping, yellowing, and bronzing of the leaves, which adversely affect the crop’s growth13. Leafhoppers have been associated with production losses estimated to range from 50.00 to 63.41%14. In addition to their direct sap-sucking damage, whiteflies also act as carriers of viral diseases like okra yellow vein mosaic and okra enation leaf curl, which result in severe plant deterioration and substantial yield losses, often up to 90%15. The nymphs and adults of the red spider mite further compound the problem, causing fruit production to decline by 7–48%16. Within the okra ecosystem, there are natural enemies present, including ants, coccinellids, Encarsia species, and Chrysoperla species. These natural predators play a vital role in reducing the population of insect pests17.
To mitigate pest damage effectively and avoid the adverse consequences associated with synthetic pesticides, alternative pest control methods should be adopted. The indiscriminate use of synthetic pesticides has led to significant issues, including food poisoning, reduced diversity among natural enemies, and disruptions in local food chains and ecosystems8,9,11,18,19,20,21. Despite these risks, farmers often rely on synthetic pesticides to control pests, thereby endangering environmental and public health. Farmers growing okra typically apply 10–12 pesticide sprays per season to mitigate losses from the okra shoot and fruit borer. Consequently, the fruits harvested at short intervals are likely to retain high levels of pesticide residues, posing a significant hazard to consumers. Henceforth, sustainable practices including Integrated Pest Management (IPM) in not only desirable but also indispensable for a healthy environment.
IPM represents a well-established approach to pest control that prioritizes three crucial factors: societal acceptance, environmental safety, and economic feasibility22,23. IPM encompasses an extensive range of cost-effective alternative methods for pest control, including cultural, mechanical, genetic, physical, legislative, biological strategies and chemical control should be employed as the last resort when all other methods fail to prevent pests from reaching the economic injury level24,25. This approach specifically underscores the utilization of plant-based bio-pesticides and pesticides such as neem formulations derived from Azadirachta indica, with the aim of maintaining pest populations below economically detrimental thresholds26,27. Similarly traps such as Pheromone traps and yellow sticky traps are indispensable for monitoring and controlling pest populations by effectively attracting and capturing specific insects, thus significantly reducing their numbers and mitigating crop damage28. Entomopathogenic fungi viz., the utilization of Beauveria bassiana and Lecanicillium lecanii in okra serves as a sustainable approach for controlling insect pests i.e., aphids, whiteflies, leafhoppers and fruit borers effectively, reducing the reliance on chemical pesticides and promoting a more sustainable approach to pest control in okra cultivation29. In integrated pest management, at the end the judicious use of insecticides that have a low impact on non-target organisms compared to older, broad-spectrum insecticides is considered crucial30. The current research encompassed three distinct module designs, each incorporating a range of strategies. These strategies included varietal tolerance, the use of mechanical traps such as yellow sticky traps and pheromone traps, the employment of biocontrol agents like Beauveria bassiana and Lecanicillium lecanii, the application of botanical solutions like neem oil, neem soap, and pongamia soap, as well as the judicious prophylactic use of pesticides like Flonicamid, Spinetoram, Spiromesifen, Diafenthiuron, and Emamectin benzoate. Timely and appropriate control measures are imperative for managing insect pest infestations and ensuring the production of high-quality crops.
The overarching goal of this study was to support sustainable agriculture and contribute to the economic well-being of the agrarian economy. Specifically, the research sought to assess the interplay between pest populations and their natural enemies in relation to prevailing weather conditions. It also aimed to design and evaluate the effectiveness of pest management options, considering economic efficiency and eco-efficiency as crucial factors, with the ultimate objective of mitigating okra pests. Therefore, the present study sheds light on adopting sustainable practices would lead to assure enhance food security, protect environmental health, and bolster economic stability while mitigating the adverse impacts of pest infestations on okra cultivation.
Materials and methods
Experimental site
The experiment was performed at the Central Research Station of Odisha University of Agriculture and Technology, which is located at a latitude of 20° 15’ N and a longitude of 85° 52’ E, with an elevation of approximately 25.9 m above sea level. This research site is located 64 km to the west of the Bay of Bengal, within the North East and South Eastern Coastal Plains, classified as Agroclimatic Zone 431. The site has a subtropical climate and experiences an average annual rainfall of 1500 mm. In the kharif season, the monsoon typically begins in the second week of July and peaks in August or September.
Seed sowing and agricultural practices
Hybrid okra (Abelmoschus esculentus L. cv. Arka Anamika) seeds were procured from the local supplier in Bhubaneswar, Odisha. Upon obtaining the seeds, they were soaked in water for a duration of 24 h before being planted in the field. To ensure optimal plant density, any gaps in the field were filled with healthy seedlings grown in polybags. Throughout the growth cycle, regular irrigation, weeding, and necessary intercultural activities were carried out. The recommended quantities of organic manure (20 tonnes per hectare of cow dung) and fertilizers (100 kg per hectare of Urea, 60 kg per hectare of Single Super Phosphate, and 80 kg per hectare of Muriate of Potash) were applied.
Experimental setup
Our study followed a Randomized Complete Block Design (RCBD) with five replications during the kharif seasons (July–October) of both 2019 and 2020. Okra seeds were sown in the third week of July for the 2019 kharif season and in the first week of July for the 2020 kharif season. The entire experimental field was partitioned into five blocks of equal dimensions, with a 1-m gap between each block. Within each block, four plots were created. Each individual plot had dimensions of 5 m in length and 4 m in width, with rows spaced at 45 cm apart and plants within the rows spaced at 30 cm from each other.
Treatments
The okra yellow vein mosaic virus-tolerant Arka Anamika cultivar was employed as a host plant resistance. The specifics of the treatments, including their dosages and the timing of application, are displayed in Table 1. The yellow sticky traps (25 × 25 cm) were set up on 25 days after sowing at 30 cm above the crop canopy for monitoring of sucking pests viz., leafhoppers, whiteflies and aphids. The pheromone traps containing Ervit lure were installed 30 days after sowing at 30 cm above the crop canopy and the data on the population of the E. vittella adults were recorded at weekly intervals. The height of the pheromone traps was adjusted according to the plant height periodically. Insecticides were applied using a Knapsack sprayer having hollow cone nozzle, with each application requiring a total of five litres of spray volume to cover five plots. The frequency of these applications varied according to the specific treatment module as the number of sprays varies across different treatments. To ensure comprehensive coverage of the plants, the spray materials were evenly distributed on both the upper and abaxial surfaces of the leaves and shoots. Spraying was consistently conducted in the afternoon to minimize the risk of sunburn, prevent insecticide drift, and safeguard pollinating wild bees and other beneficial insects. All spraying equipment is well maintained and calibrated for accurate insecticide application. We also maintained an optimal spray height keeping the nozzle as close to the plant parts as possible without compromising coverage and maintained a 30 cm buffer zone to prevent pesticidal drift and ensure accurate data. Special precautions were taken to prevent any drift of insecticides into neighbouring plots during application. The specifics of the treatments, including their quantities and timing, mentioned in Table 1.
Observation on sucking insect pests
The undersides of selected leaves were meticulously examined with a 10 × pocket magnifying glass for the presence of nymphs and adults of leafhoppers (Amrasca biguttula biguttula), whiteflies (Bemisia tabaci) adults, and nymph and adults of aphids (Aphis gossypii). Samples were collected from the top, middle, and bottom canopies of three leaves (as a whole) from five randomly chosen plants. These assessments were conducted in the morning, before 8 a.m., at the pre-treatment stage (30 DAS) and at five and ten day intervals after each treatment (35, 40, 45, 50, 55, 60, 65, 70, 75, and 80 DAS). The number of insects per plant was counted according to the method described by Randhawa and Pandey14. Similarly, the population of the two-spotted spider mite, Tetranychus urticae, was quantified on three leaves from the top, middle, and bottom canopy of each plant using a 1 cm2 window cut out of cardboard. This assessment was performed at three different locations on each leaf, following the approach outlined by Nain et al.32.
Observation on fruit infestation
Fruits were harvested every other day, and the quantity and weight of both unblemished and damaged fruits (displaying signs such as small holes, curved shapes, or excrement-filled fruit) were documented to determine the extent of fruit infestation by the shoot and fruit borer (Earias vittella). The extent of fruit borer infestation was assessed by employing the following formula.
Following each observation, the damaged fruits were promptly removed and disposed of observations commenced upon the first appearance of pest symptoms and extended until the crop reached maturity. The percentage of population reduction concerning the shoot and fruit borer was determined using the formula as described by Roy et al.33.
where T = Population in treatment; C = Population in untreated control.
Observation of natural enemies
Throughout the study, natural predators such as coccinellid beetles and spiders were observed. These were quantified by selecting five plants randomly from each plot one day before and 5 and 10 days after each spraying. Any specimens encountered in the field were collected and subsequently brought to the laboratory for species identification.
Yield
The yield of undamaged fruits was documented for each plot during each harvest from all the treatments. The data from various harvests within each treatment were combined, and the overall plot yield was expressed in terms of tonnes per hectare (t/ha). The percentage increase in yield compared to the control and the percentage of yield loss that could have been avoided were computed using the subsequent formula.
Incremental cost benefit ratio calculation
To determine the Incremental Cost–Benefit Ratio (ICBR), we considered the overall crop expenses and the net profits associated with each treatment. In this study, the ICBR was computed for one hectare of land. The expenses were calculated by aggregating all labour expenses and resources related to each treatment throughout the entire crop growth cycle, including the control plots. The yield for each treatment was subsequently transformed into metric tonnes per hectare (t/ha) while maintaining originality in the sentence.
Meteorological data
The daily meteorological data such as the maximum and minimum temperature, morning and afternoon relative humidity, rainfall, bright sunshine hours and wind velocity were gathered from the agro-meteorological observatory of Odisha University of Agriculture and Technology, Bhubaneswar and were further converted to weekly mean values for the analysis purpose. Instruments viz., Ordinary rain gauge, Campbell stroke sunshine recorder and anemometer were used to record the rainfall, bright sunshine hours and wind speed, respectively. Stevenson screen was employed to measure the maximum and minimum temperature as well as relative humidity (morning and afternoon).
Data analysis
The data collected from the field experiment were analyzed using R programming software (version 4.3.1). The data for both kharif seasons in 2019 and 2020 were combined before conducting any statistical analysis using appropriate mathematical formulas34. We conducted a Pearson correlation analysis between insect pests, their natural enemies, and prevailing weather parameters using the same software, with a sample size of n = 14. The data associated with the impact of pest management strategies on insect pest populations and their natural enemies were subjected to square root transformation (\(\sqrt{x}+1\)) prior to performing ANOVA analysis (including zero values). Analysis of variance (ANOVA) was carried out for various parameters, including leafhopper, whitefly, aphid, shoot and fruit borer infestation, coccinellid and spider populations, as well as yield (comprising individual fruit weight, yield per plot, and yield per hectare) to determine significant differences between the treatments using F tests at a significance level of p ≤ 0.05. The data on sucking pests were categorized into two groups based on the plant growth stages: the vegetative phase (30–55 days after sowing) and the reproductive phase (60–80 days after sowing), to enhance clarity and understanding. Furthermore, the data on okra shoot and fruit borer infestation and yield across different treatments were analyzed and separated using Fisher’s Protected LSD test at a significance level of p ≤ 0.05. Data analysis using violin plots in the same software was performed with the ggplot2 package35, which visualizes distribution and density for a comprehensive overview of data variability and central tendencies.
Results
Correlation between insects and natural enemies with prevailing abiotic factors
The study examined the relationships between insect pests, including leafhopper, whitefly, aphid, and two-spotted spider mite, and their natural enemies, such as coccinellid beetles and spiders, in relation to various abiotic factors, including maximum temperature, minimum temperature, morning relative humidity, evening relative humidity, rainfall, bright sunshine hours, and wind velocity (Fig. 1). The results indicated a significant negative correlation between two-spotted spider mites and minimum temperature (r = − 0.715, p = 0.004) as well as wind velocity (r = − 0.558, p = 0.03). Wind velocity also showed a significant negative correlation with the leafhopper (r = − 0.621, p = 0.017) and spider (r = − 0.561, p = 0.036) populations. In contrast, the remaining abiotic factors did not exhibit a significant effect on any of the insect populations.
Our analysis of correlation between natural enemies and pest population revealed a strong positive correlation between coccinellid populations and leafhoppers (r = 0.803, p = 0.001), whiteflies (r = 0.741, p = 0.002), aphids (r = 0.939, p = 0.00), and two-spotted spider mites (r = 0.618, p = 0.019). Similarly, the spider population also showed significant positive correlations with leafhoppers (r = 0.868, p = 0.00), whiteflies (r = 0.716, p = 0.004), aphids (r = 0.663, p = 0.01), and two-spotted spider mites (r = 0.692, p = 0.006).
Impact on sucking pest complex
The effects of various pest management modules on okra sucking pest complex during the vegetative stage (30–55 days after sowing) and reproductive stage (60–80 days after sowing) are presented in Figs. 2 and 3, respectively. During the vegetative stage, the infestation by leafhopper, whitefly, and aphids were recorded (Fig. 2). The application of the IM and CM reduced the mean leafhopper, whitefly, and aphid population compared to Untreated control and to treatment with BM (Leafhopper; F(3, 116) = 43.83, whitefly; F(3, 116) = 47.65, aphid; F(3, 116) = 36.47, all P < 0.001). The maximum number of leafhoppers was observed in the untreated control plot (4.30), whereas the minimum number of leafhoppers was recorded in the CM (3.00) which was statistically identical to the IM (3.14). Based on the number of whitefly population the lowest was recorded in the IM (2.79), however it was statistically at par with CM (2.82) and the maximum population was observed in the untreated control plots (4.05). Similar trend in aphid population was also observed with the maximum number found in the untreated control plots (5.53), whereas the minimum (3.49 each) was recorded in CM as well as in IM. Amongst the treatments the BM was the least effective one with maximum number of leafhopper (3.71), whitefly (3.51) and aphid (4.52) population.
Sucking pest infestations in okra over vegetative stages (30–55 days after sowing) under different pest management modules. Violin Plot showing the mean number of sucking pests per plant (a) leafhopper (mean = blue dot); (b) whitefly (mean = red dot); (c) aphid (mean = green dot); IM integrated module, BM biointensive module, CM chemical module, UC untreated control. The mean value indicates that the average number of sucking pests per plant is highest for UC pest management module. The bars represent the standard deviation. The shape (sharp tapering at each end and wide in the middle) of violin plot reveals that number of sucking pests per plant is highly concentrated around the mean for CM pest management module.
Sucking pest infestations in okra over reproductive stages (60–80 days after sowing) under different pest management modules. Violin Plot showing the mean number of sucking pests per plant (a) leafhopper (mean = blue dot), (b) whitefly (mean = red dot), (c) aphid (mean = green dot), (d) two spotted spider mite (TSSM mean = violet dot); IM integrated module, BM biointensive module, CM chemical module, UC untreated control. The mean value indicates that the average number of sucking pests per plant is highest for UC pest management module. The bars represent the standard deviation. The shape (sharp tapering at each end and wide in the middle) of violin plot reveals that number of leafhoppers or TSSM per plant is highly concentrated around the mean for BM pest management module while for whitefly and aphid, it is CM pest management module.
During the reproductive phase (60–80 days after sowing) of okra crop the sucking pest population increased in numbers in all the treatments as compared to the vegetative phase. However, during the reproductive phase the infestation of two-spotted spider mite was observed which did not attack the okra crop in vegetative stage (Fig. 3). All treatments reduced the sucking pest population compared to the untreated control plot (Leafhopper; F(3, 96) = 87.84, whitefly; F(3, 96) = 37.03, aphid; F(3, 96) = 14, two-spotted spider mites; F(3, 96) = 10.11, all P < 0.001). The maximum number of leafhopper (5.38), whitefly (3.82), aphid (5.80) and two-spotted spider mite (5.03) was found in the untreated control plot. The lowest number of leafhopper (4.13) was observed in CM which varied significantly to the IM (4.30) and BM (4.75) treated plots. Based on the whitefly numbers the lowest was observed in the CM (2.58) which was statistically at par with the IM (2.64) and varied significantly with BM (3.27). The highest number of aphid (4.85) and two-spotted spider mite (4.57) amongst the modules was recorded in BM however, it was statistically similar with IM (aphid = 4.21 and two-spotted spider mite = 4.15). However, the IM was statistically similar with CM treated plots with respect to aphid (3.74) and two-spotted spider mite (4.02) population.
Impact on natural enemy
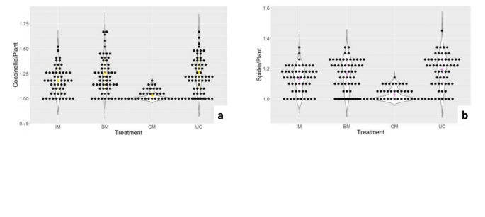
Natural enemies i.e., coccinellid beetles (Coccinella transversalis, Micraspis discolor, Cheilomenes sexmaculata and Brumoides suturalis) and mixed population of predatory spiders were found associated and preying upon the sucking pests during the cropping season. The mean abundance of coccinellid predators in different treatments varied over time [F(3,216) = 33.15, P < 0.001] and it was significantly lower (1.03) in the CM whereas the maximum population was found in Untreated control plots (1.27) which was statistically similar with BM (1.25) (Fig. 4). The IM plots recorded relatively lower coccinellid beetle population (1.18) and varied significantly with all other treatments. A similar pattern was observed in the mean number of spider population [F(3, 216) = 39.55, P < 0.001]. The abundance of predatory spiders was maximum (1.20) in untreated control plots and the minimum (1.03) number in CM treated plots.
Natural enemies’ prevalence in okra under different pest management modules. Violin Plot showing the mean number of natural enemies per plant (30–80 days after sowing) (a) coccinellid (mean = golden dot); (b) spider (mean = violet dot); IM integrated module, BM biointensive module, CM chemical module, UC untreated control. The mean value indicates that the average number of natural enemies per plant is highest for UC pest management module. The bars represent the standard deviation. The shape (sharp tapering at each end and wide in the middle) of violin plot reveals that number of natural enemies per plant is highly concentrated around the mean for CM pest management module.
Fruit infestation by okra shoot and fruit borer
All the applied treatments demonstrated a notable decrease in fruit infestation when compared to the untreated control group (Table 2). Notably, the untreated control plot exhibited the highest incidence of infested fruits, tallying at 184.80, whereas the IM treatment yielded the lowest infestation rate, recording 103.60 [F(3, 16) = 46.57, P < 0.001]. The IM treatment also produced the maximum number of healthy fruits, reaching 1947.20, while the untreated control treatment yielded the minimum, at 1463.80 [F(3, 16) = 15.22, P < 0.001]. In terms of the total fruit count, the IM treatment yielded the highest number, totalling 2050.80, with the untreated control plot exhibiting the lowest figure of 1648.20 [F(3, 16) = 9.83, P = 0.0006]. The IM-treated plot recorded the lowest percentage of fruit infestation, standing at 5.06%, which was significantly lower compared to the other treatments. In contrast, the untreated control plot exhibited the highest percentage of fruit infestation, at 11.21%, followed by the BM-treated plots at 7.47% and the CM-treated plots at 5.92% [F(3, 16) = 9.28, P < 0.001]. It is worth noting that all the treatments markedly reduced fruit damage when compared to the untreated control (Table 2). Specifically, the IM, BM, and CM treatments led to substantial reductions in fruit infestation, corresponding to 54.85, 33.34, and 47.16%, respectively, in comparison to the untreated control. The BM-treated plots exhibited the smallest reduction at 33.34%, while the most significant reduction of 54.85% was achieved in the IM-treated plot.
Yield associated metrics
The various treatments exerted a pronounced influence on the individual fruit weight of okra (Table 3). Notably, the IM-treated plot yielded the highest individual fruit weight at 14.73 g, which was statistically comparable to the CM treatment at 14.04 g. Conversely, the untreated control treatment yielded the lowest individual fruit weight, measuring 11.28 g [F(3, 16) = 7.11, P = 0.0029]. In terms of yield per plot, the IM treatment produced the most substantial yield, reaching 17.94 kg, which was statistically akin to the CM treatment at 16.97 kg. In contrast, the untreated control plot yielded the lowest per-plot yield, amounting to 14.10 kg [F(3, 16) = 14.50, P < 0.001]. When considering yield per hectare of land, the maximum yield, 8.97 t/ha, was attained in the IM treatment, a figure akin to the CM-treated plot at 8.49 t/ha [F (3, 16) = 14.49, P < 0.001]. The minimum yield of 7.05 t/ha was observed in the untreated control plot, closely followed by the BM-treated plot, which yielded 7.87 t/ha.
Incremental cost benefit ratio (ICBR) analysis
The Incremental Cost–Benefit Ratio (ICBR) was determined by considering the costs associated with pest control and the value of the crop obtained for each treatment (Table 4). It’s important to highlight that the expenses considered here are solely related to pest control. The findings indicate that the Index of Cost–Benefit Ratio (ICBR) reached its zenith at 3.31 for the IM treatment, with CM following closely at 1.52. In contrast, the BM treatment yielded the lowest ICBR, measuring just 0.76.
Discussion
Insect pests present a substantial menace to agricultural production, and climatic factors play a crucial role in influencing the population dynamics of many pests. Our study has revealed a negative correlation between the two-spotted spider mite and certain weather factors, specifically minimum temperature and wind velocity. This revelation corresponds with the outcomes documented in the studies conducted by Gulati36 and Mohansundaram and Sharma37, where they, too, identified an adverse influence of low minimum temperatures on the proliferation of the two-spotted spider mite. In contrast, both the leafhopper and spider showed a negative correlation with wind velocity, which is consistent with previous research findings reported by Sindhu et al.38 and Challa et al.39. However, our research produced contrasting outcomes, indicating a non-favorable association between the leafhopper population and wind speed with reference to the data presented in Fig. 1. These findings may indicate regional variations or specific environmental conditions that influence the relationship between leafhoppers and wind speed.
The observed significant positive correlations between coccinellid populations and various pest species, including leafhoppers, whiteflies, aphids, and two-spotted spider, underscore the intricate relationships within the agroecosystem. Similarly, the significant positive correlations between spider populations and the same pest species further emphasize the importance of predators in pest control which is consistent with previous research findings reported by Lal et al.40. These findings highlight the role of coccinellids, commonly known as lady beetles, as effective natural enemies of these pests, whose presence indicates a natural regulatory mechanism that can be leveraged in integrated pest management (IPM) strategies, while spiders, being generalist predators, can also suppress pest populations effectively, contributing to the stability and health of the crop environment. These findings correspond with the outcomes documented in the studies conducted by Pervez41 and Kshitiz and Koranga42. The significant correlation between aphids and both coccinellids (r = 0.939) and spiders (r = 0.663) is especially important. Aphids, with their rapid reproduction and potential for considerable damage, elicit a strong predatory response from coccinellids. This indicates a substantial predatory pressure that can be advantageous in biological control programs. Promoting the presence of these natural predators can enhance agroecosystem resilience and decrease dependence on chemical controls. These correlations suggest that enhancing the habitat to support these beneficial predators could be a viable strategy for pest management.
In this study, we have demonstrated the efficacy of an environmentally friendly IM approach as a viable alternative to CM and BM for reducing damage to okra plants and increasing marketable fruit yield, all while achieving a higher Incremental Cost–Benefit Ratio (ICBR). The extent of damage to untreated okra leaves and fruits was meticulously quantified. Our results clearly indicate that all the treatments resulted in reduced infestations by both sucking pests (such as leafhoppers, whiteflies, aphids, and two-spotted spider mites) and borer pests (shoot and fruit borers), leading to a higher economic yield when compared to the untreated control group. Among these treatments, CM and IM emerged as the most effective and promising methods against all pests, whereas BM was the least effective10. The limited incidence of leafhopper, whitefly, and aphid infestation during the initial phases of crop growth, specifically at 30 days after sowing (DAS), within the IM and CM plots, can be ascribed to the application of imidacloprid (Gaucho 600 FS) as a seed treatment, administered at a rate of 9 ml per kilogram of seed. However, due to the severe toxicity of imidacloprid to important crop pollinators, and considering the principles of sustainability and biodiversity preservation, it is recommended for use as a seed dressing insecticide for controlling sucking pests, rather than as a foliar spray when the crop is in the flowering stage43,44,45. The effectiveness of seed treatment with imidacloprid in managing the sucking pest population in CM was enhanced by the subsequent application of flonicamid 50WG, diafenthiuron 50WP, spiromesifen 22.9 SC, and emamectin benzoate 5 SG at 30, 40, 50, and 60 DAS, respectively. The insecticides and acaricides employed during the initial growth stages of the crop have been specifically formulated to impede the feeding of insects possessing piercing-sucking mouthparts, including leafhoppers, aphids, whiteflies, and two-spotted spider mites46,47. Flonicamid 50WG and Diafenthiuron 50 WP are effective against aphids and also exhibit rapid and high activity against whiteflies48. New insecticidal molecules like spiromesifen 22.9 SC have proven effective in managing whiteflies and also act as effective acaricides against mite pests44,49,50,51,52. The prompt reactivity exhibited by these products can be ascribed to their inherent attributes, encompassing their wide-ranging efficacy, swift mechanism of action, and systemic properties, which enable mobility within plant tissues. These features collectively render them exceptionally potent against sap-sucking pests53,54,55.
In contrast, the BM, which involved foliar sprays with neem and pongamia soap, 5% Neem Seed Kernel Extract (NSKE), and the application of entomopathogenic fungi i.e., Lecanicillium lecanii and Beauveria bassiana at ten-day intervals, proved to be the least effective among the treatments. Both neem and pongamia soaps tested in this study demonstrated some effectiveness but not to the extent of synthetic chemical pesticides. While there isn’t published research specifically testing neem and pongamia soaps against sucking pests of okra, they are known to have certain insecticidal properties. Azadirachtin, the active ingredient found in neem and used here as 5% NSKE, primarily acts as an antifeedant56,57. This is advantageous for smallholder or resource-poor farmers in many regions since neem seed kernel extract can be easily produced at home from neem seeds and applied with repeated spraying over a few days. However, in the present study, both the entomopathogenic fungi, L. lecanii and B. bassiana, were found to be less effective. This could be ascribed to the prevailing climatic conditions in the specific geographic area, characterized by high temperatures and low relative humidity that persisted for an extended period, rendering both fungi less effective58.
The observed reduction in the occurrence of leafhoppers, whiteflies, and aphids in the IM treated plots can be attributed to various factors. Seed treatment with imidacloprid 600FS, the use of yellow sticky traps, and the application of azadirachtin 0.03%, flonicamid 50WG, and spinetoram 11.7 SC have likely played a significant role in influencing these pest populations59,60,61. The yellow sticky trap is instrumental in trapping the winged (alate) forms of aphids and whiteflies in the initial phases of crop development44,62,63. The effectiveness of IM in diminishing the leafhopper and two-spotted spider mite populations could be attributed to the repellent, oviposition deterrent, and ovicidal properties of azadirachtin45. These factors, combined with the integrated pest management approach, contribute to the overall success of pest control in the IM treatment.
The effectiveness of IM as a treatment for controlling okra shoot and fruit borer directly translates to a significant reduction in fruit damage attributed to Earias vittella. In the IM treatment, the incidence of fruit damage was only 5.06%, compared to the high 11.21% observed in the untreated control group. The other treatment modules, which recorded fruit damage ranging from 5.92 to 7.47%, exhibited a moderate level of effectiveness in controlling the occurrence of E. vittella. This is a notable improvement, as previous studies by Birah and Raghuraman64 and Rahman et al.65 reported much higher levels of fruit infestation by E. vittella, ranging from 10.05 to 14.98% and 18.89 to 37.74%, respectively. In the case of IM, mechanical control involving the installation of pheromone traps and the use of bio-rational insecticides like Spinetoram 22.9 SC attained the highest level of reduction in the prevalence of fruit borer within okra crops. The field efficacy of three sprayings of spinetoram at fortnightly intervals at a rate of 45 g of active ingredient per hectare led to a reduction in fruit borer damage by 81.60 and 82.20% in two seasons, respectively as reported by Vishnupriya and Muthukrishnan66. Additionally, emamectin benzoate 5 SG, a component in CM, was highly effective in limiting fruit damage to only 5.92%. This insecticide is broad-spectrum and is used to manage lepidopteran pests, including Helicoverpa armigera, Plutella xylostella, Earias vittella, and Spodoptera frugiperda67. In terms of fruit yield, it was evident that the plot treated with IM achieved the most substantial yield at 8.97 tonnes per hectare (t/ha). This remarkable yield can be attributed to the effective reduction in fruit infestation by the okra shoot and fruit borer in the treatment. Hence, the harm inflicted by Earias spp. on okra seed crops can be effectively controlled by integrating measures like seed treatment with imidacloprid, foliar application of Spinetoram 11.7 SC or Emamectin benzoate 5 SG, combined with the deployment of pheromone traps. This integrated approach not only minimizes pest damage but also maximizes the overall yield of okra crops.
Our research reveals that the elements comprising the pest management systems exert a substantial impact on the populations of both spiders and ladybugs (coccinellids), within okra fields. The most substantial reduction in the populations of these beneficial predators was observed in the CM treatment. In contrast, both BM and IM were relatively safer for natural enemies, as the populations of coccinellids and spiders remained high at various sampling intervals throughout the study. The application of pesticides such as flonicamid 50WG, diafenthiuron 50WP, spiromesifen 22.9 SC, and emamectin benzoate 5 SG likely had persistent contact toxicity and had a significant adverse effect on the populations of spiders and coccinellids in the CM treatment. The adverse consequences stemming from the extensive application of insecticides within the okra habitat have influenced the populations of predatory fauna68. The selective systemic action of neonicotinoid seed treatments appeared to have retained a moderate predator population during the initial stages of crop enhancement69. The non-hazardous effect of neem-derived products for spiders and coccinellids, owing to their unique mode of action, contributed to higher populations of these beneficial predators in the IM and BM treatments70,71. Overall, biopesticides are generally considered safe for natural enemies and have no detrimental effects on the ecosystem and biodiversity68. This suggests that a more ecologically friendly approach to pest management can help preserve and promote the populations of beneficial insects in agricultural systems.
The IM approach emerged as highly cost-effective, yielding the highest crop output and incremental cost–benefit ratio. Subsequent to IM, the CM strategy emerged as the second most advantageous choice, presenting comparatively greater financial gains for each rupee allocated to plant protection endeavors. Conversely, the BM approach demonstrated itself as the least economically viable, yielding diminished financial returns in relation to the input expenses incurred. Despite the elevated fruit yield in CM, the reduced cost-effectiveness ratio could be attributed to the increased cost associated with newer insecticides, such as flonicamid 50WG, diafenthiuron 50WP, spiromesifen 22.9 SC, and emamectin benzoate 5 SG72. Therefore, treatments with a higher incremental cost–benefit ratio are more economically advantageous for okra production. As a result, adopting the IM approach as a whole would be the most profitable, while the BM approach would be the least cost-effective method for producing okra by effectively managing the complex of sucking and borer pests.
Conclusion
Our research findings clearly demonstrate the efficacy and economic viability of the IM approach for controlling leafhoppers, whiteflies, aphids, two-spotted spider mites, and shoot and fruit borers in okra crops. IM effectively minimizes leaf and fruit damage while significantly boosting overall okra crop yields. Furthermore, due to its relative safety for beneficial insects, it is imperative to further investigate and promote the combined use of IM utilizing indigenous predators. This approach should be integrated with traditional local agricultural practices tailored to specific environments, such as crop sequencing, crop sanitation, and intercropping, as well as more contemporary harmonious technique like push–pull systems that involve the behavioral manipulation of insect pests and their natural enemies. In regions across Asia and other parts of the world where traditionally, chemical control has been the predominant method, notwithstanding its accompanying disadvantages. There is an urgent imperative to promote the adoption of ecologically friendly methods. These methods, readily available and applicable, should be promoted to ensure food security and environmental safety. It is essential to raise awareness about the benefits of sustainable pest management practices that not only protect crops but also safeguard the environment and support long-term agricultural sustainability.
Data availability
All data are available in the manuscript.
References
McGinnis, R. L., & Elimelech, M. Global challenges in energy and water supply: The promise of engineered osmosis (ACS Publications, 2008).
Saiz-Rubio, V. & Rovira-Mas, F. From smart farming towards agriculture 5.0: a review on crop data management. Agronomy.10(2), 207 (2020).
WHO. Regional Overview of Food Security in Latin America and the Caribbean: towards Healthier Food Environments that Address All Forms of Malnutrition, vol. 12 (Food & Agriculture Organisation, 2020).
Oberc, B. P., & Schnell, A. A. Approaches to sustainable agriculture. Exploring the pathways towards the future of farming (Brussels, Belgium, 2020).
FAOSTAT.2021. Available online: https://www.fao.org/faostat/en/#data/QCL (accessed on 30 January 2023).
Horticultural Statistics at a glance. Govt. Of India. Ministry of Agriculture and Farmers’ welfare. Department of Agriculture, Cooperation & Farmers’ Welfare Horticulture Statistics Division. https://nhb.gov.in/statistics/Publication/Horticulture%20Statistics%20at%20a%20Glance-2018.pdf (2018).
Rao, S. R., Nongsiang, R. H. & Devi, M. K. Okra- an important vegetable crop of India. N. East. Hill Univ. J.17(1), 126–131 (2019).
Pathak, H., Mishra, J. P. & Mohapatra, T. Indian agriculture after independence. Indian Council Agric. Res. New Delhi110(001), 426 (2022).
Pathak, V. M. et al. Current status of pesticide effects on environment, human health and it’s eco-friendly management as bioremediation: A comprehensive review. Front. Microbiol.13, 962619 (2022).
Kodandaram, M. H., Halder, J., Singh, N. & Rai, A. B. Pest management modules against major insect pests of Okra. Pesticide Res. J.29(2), 153–157 (2017).
Choudhury, M. A. R. et al. Evaluation of biological approaches for controlling shoot and fruit borer (Earias vitella F.) of Okra grown in peri-urban area in Bangladesh. Horticulturae.7(1), 7. https://doi.org/10.3390/horticulturae7010007 (2021).
Hashmi, A.A. Insect Pest Management: Cereal and Cash Crop; Pakistan Agricultural Research Council: Islamabad, Pakistan, p. 317 (1994).
Yogesh, K. H. D., Padhi, J., Rath, L. K., Sahu, G. S. & Kumari, M. Evaluation of biochemical parameters of okra germplasm for resistance against jassids, Amrasca biguttula biguttula (Ishida). Asian J. Microbiol. Biotechol. Environ. Sci.23(2), 258–264 (2021).
Randhawa, H. S. & Pandey, V. K. Efficacy of Selected Insecticides against Leaf Hopper, Amrasca biguttula biguttula (Ishida) of Okra, Abelmoschus esculentus (L.) Moench. Int. J. Curr. Microbiol. Appl. Sci.9(6), 281–287 (2020).
Mishra, G. P. et al. Biotechnological advancements and begomovirus management in Okra (Abelmoschus esculentus L): Status and perspectives. Front. Plant Sci.17(8), 360 (2017).
Rajashekharappa, K., Ambarish, S. & Onkarappa, S. Evaluation of propargite 50% + bifenthrin 5% SE against red spider mite, Tetranychus urticae in okra. J. Entomol. Res.46(4), 793–796 (2022).
Mohapatra, S., Padhi, J., Samal, T., Tripathy, P. & Kumar, S. Seasonal incidence of sucking pests and their natural enemies in Okra Abelmoschus esculentus (L.) Moench. Int. J. Environ. Climate Change.12(11), 3605–3611. https://doi.org/10.9734/ijecc/2022/v12i111408 (2022).
FAO. Production Year Book, Food; Agricultural Organization of the United Nation: Rome, Italy, 2003.
Kearns, J. The role of chemical exposures in reducing the effectiveness of water–sanitation–hygiene interventions in Bangladesh, Kenya, and Zimbabwe. Wiley Interdiscip. Rev. Water7, 1. https://doi.org/10.1002/wat2.1478 (2020).
Mamum, M. A. A., Islam, K. S., Jahan, M. & Das, G. Comparative potency of three insecticides against the infestation of brinjal shoot and fruit borer, Leucinodes orbonalis Guen. Scholars Acad. J. Biosci.2, 364–369 (2014).
Pedigo, L. P. Entomology and pest management, 4th ed., pp. 177–179 (Prentice Hall, Upper Saddle River, NJ, USA, 2002).
Angon, P. B. et al. Integrated pest management (IPM) in agriculture and its role in maintaining ecological balance and biodiversity. Adv. Agric.5546, 373. https://doi.org/10.1155/2023/5546373 (2023).
Dara, S. K. The new integrated pest management paradigm for the modern age. J. Integr. Pest Manag.10(1), 12 (2019).
Barzman, M. et al. Eight principles of integrated pest management. Agron. Sustain. Dev.35, 1199–1215. https://doi.org/10.1007/s13593-015-0327-9 (2015).
Muhie, S. H. Novel approaches and practices to sustainable agriculture. J. Agric. Food Res.10, 100446. https://doi.org/10.1016/j.jafr.2022.100446 (2022).
Hagstrum, D. W., & Flinn, P. W. Integrated pest management. In Integrated management of insects in stored products, pp. 399–407 (CRC Press, 2018).
USEPA. Available online: https://www.epa.gov/safepestcontrol/integrated-pest-management-ipm-principles (Accessed on June 14 2023) (2022).
Mani, M. Organic pest management in horticultural crops. In: Mani, M. (eds) Trends in Horticultural Entomology. https://doi.org/10.1007/978-981-19-0343-4_7 (Springer, Singapore, 2022).
Irsad, S. M., Haq, E., Mohamed, A., Rizvi, P. Q. & Kolanthasamy, E. Entomopathogen-based biopesticides: Insights into unraveling their potential in insect pest management. Front Microbiol.14, 1208237. https://doi.org/10.3389/fmicb.2023.1208237 (2023).
Araújo, M. F., Castanheira, E. M. & Sousa, S. F. The buzz on insecticides: A review of uses, molecular structures, targets, adverse effects, and alternatives. Molecules28(8), 3641 (2023).
Nayak, A. K., Satpathy, B. S., Tripathy, R., Mohanty, S., Shahid, M., Panda, B.B., Kumar, A., Manoj, R., & Nayak, P. K. Crop planning and crop calendar for different agroclimatic zones of odisha, NRRI Research Bulletin No. 30. ICAR- National Rice Research Institute, Cuttck, Odisha, 753006, India, pp 34. https://icar-nrri.in/wp-content/uploads/2021/11/RB-30.pdf (2020).
Nain, J., Singh, R., Rathee, M. & Gulati, R. Population dynamics of two spotted spider mite, Tetranychus urticae Koch (Acarina: Tetranychidae) on okra. Indian J. Entomol.79(1), 21–26 (2017).
Roy, S. K., Ali, M. S., Mony, F. T. Z., Islam, M. S. & Matin, M. A. Chemical control of whitefly and aphid insect pest of French bean (Phaseolus vulgaris L.). J. Biosci. Agric. Res.02(02), 69–75 (2014).
Gomez, K. A. & Gomez, A. A. Statistical procedures for agricultural research 2nd edn, 680 (John Wiley and Sons, 1984).
Wickham, H. ggplot2: Elegant graphics for data analysis (Springer-Verlag, New York). ISBN 978-3-319-24277-4. https://ggplot2.tidyverse.org (2016).
Gulati, R. Incidence of Tetranychus cinnabarinus (Boisd.) infestation in different varieties of Abelmoschus esculentus (L.). Ann. Plant Protect. Sci. 12, 45–47 (2004).
Mohanasundaram, A. & Sharma, R. K. Abundance of pest complex of okra in relation to abiotic and biotic factors. Ann. Plant Protect. Sci.19, 286–290 (2011).
Sindhu, A. et al. Incidence of sucking insect pests of okra and their correlation with abiotic factors. J. Entomol. Zool. Stud.8(6), 1636–1641 (2020).
Challa, M., Sharma, A. K., Saxena, A. K., Mishra, Y. K. & Rathore, J. Population dynamics of major insects of okra in relation to weather parameters in Jabalpur district of Madhya Pradesh. Int. J. Curr. Microbiol. Appl. Sci.11, 2082–2088 (2020).
Lal, B., Singh, U. C., Bhaduaria, N. S., Tomar, S. P. S. & Singh, P. Seasonal incidence of major insect pests of okra, Abelmoschus esculentus (L.) and their natural enemies. J. Entomol. Zool. Studi.8(3), 736–740 (2020).
Pervez, A., & Omkar, M.M. Coccinellids on Crops: Nature’s Gift for Farmers. In: Chakravarthy, A. (eds) Innovative pest management approaches for the 21st century. https://doi.org/10.1007/978-981-15-0794-6_21 (Springer, Singapore, 2020).
Kshitiz, V. K. D. & Koranga, R. Role of ladybird beetles (coccinellidae: coleoptera) for the management of sucking pests in different ecosystems. Front. Life Sci.3, 43 (2021).
Javed, M., Majeed, M. Z., Luqman, M. & Afzal, M. Development and field evaluation of a biorational IPM module against okra shoot and fruit borers, Earias vittella and Helicoverpa armigera (Lepidoptera: Noctuidae). Pak. J. Agric. Res.32(1), 170–176 (2019).
Mohod, V. D., Thakare, A. Y., Kolhe, A. V. & Undirwade, D. B. Effect of Various Modules against Leafhopper, Amrasca biguttula biguttula Ishida on Okra. Int. J. Curr. Microbiol. Appl. Sci.8(7), 1389–1398 (2019).
Sarkar, S., Patra, S. & Samanta, A. Efficacy of different bio-pesticides against sucking pests of okra (Abelmoschus esculentus L. Moench). J. Appl. Nat. Sci.8(1), 333–339 (2016).
Joseph, S. V. Effect of afidopyropen against Myzus persicae (Hemiptera: Aphididae) and its predator, Adalia bipunctata (L.) in a Greenhouse. J. Entomol. Sci.55, 584–587 (2020).
Sparks, T. C. & Nauen, R. IRAC: Mode of action classification and insecticide resistance management. Pesticide Biochem. Physiol.121, 122–128 (2015).
Cremonez, P. S. G., Perier, J. D., Simmons, A. M. & Riley, D. G. Determining field insecticide efficacy on whiteflies with maximum dose bioassays. Insects.14, 510. https://doi.org/10.3390/insects14060510 (2023).
Ballikai, R. A. Bioefficacy of spiromesifen 240 SC against whitefly and mites in tomato (Lycopersicon esculentum). Farm. Manag.5(2), 75–84 (2020).
Krishnan, K. V. V. & Sreekumar, K. M. Pongamia oil soap for the management of chilli mite, Polyphagotarsonemus latus Banks and its impact on spider population. Entomon.46(1), 69–72 (2021).
Kumar, V., Jindal, V., Kataria, S. & Pathania, M. Activity of novel insecticides against different life stages of whitefly (Bemisia tabaci). Indian J. Agric. Sci.89(10), 1599–1603 (2019).
Singh, R. H., Paramjit, K. & Damanpreet, A. Bioefficacy of oberon 22.9% (spiromesifen) against red spider mite, Tetranychus urticae Koch in okra and effect on its natural enemies. J. Entomol. Zool. Stud.8(2), 1740–1743 (2020).
Ahmad, M. & Khan, R. A. Field-evolved resistance of Bemisia tabaci (Hemiptera: Aleyrodidae) to carbodiimide and neonicotinoids in Pakistan. J. Econ. Entomol.110, 1235–1242 (2017).
Horowitz, A. R., Ghanim, M., Roditakis, E., Nauen, R. & Ishaaya, I. Insecticide resistance and its management in Bemisia tabaci species. J. Pest Sci.93, 893–910 (2020).
Wang, R. et al. Characterization of field-evolved resistance to Afidopyropen, a novel insecticidal toxin developed from microbial secondary metabolites, in Bemisia tabaci. Toxins.14, 453 (2022).
Akhtar, Y., Yeoung, Y. R. & Isman, M. B. Comparative bioactivity of selected extracts from Meliaceae and some commercial botanical insecticides against two noctuid caterpillars, Trichoplusia ni and Pseudaletia unipuncta. Phytochem. Rev.7, 77–88 (2008).
Dougoud, J., Toepfer, S., Bateman, M. & Jenner, W. H. Efficacy of homemade botanical insecticides based on traditional knowledge A review. Agron. Sustain. Dev.39, 37 (2019).
Quesada-Moraga, E., González-Mas, N., Yousef-Yousef, M., Garrido-Jurado, I. & Fernández-Bravo, M. Key role of environmental competence in successful use of entomopathogenic fungi in microbial pest control. J. Pest Sci.https://doi.org/10.1007/s10340-023-01622-8 (2023).
Latif, M., Abbas, M., Hafeez, F. & Hussain, D. Regulatory efficacy of novel insecticides against major pests of vegetables in Faisalabad Pakistan. Pak. J. Agric. Res.32(1), 41–45. https://doi.org/10.17582/journal.pjar/2019/32.1.41.45 (2019).
Panickar, B. Impact of integrated management approaches on insect pests of mungbean. Indian J. Plant Protect. 46(1). https://epubs.icar.org.in/index.php/IJPP/article/view/104979 (2018).
Shi, D. et al. Impact of sublethal and low lethal concentrations of flonicamid on key biological traits and population growth associated genes in melon aphid Aphis gossypii Glover. Crop Protect.152, 1. https://doi.org/10.1016/j.cropro.2021.105863 (2022).
Borkakati, R. N. & Saikia, D. K. Evaluation of IPM for the management of insect pests of Okra. J. Entomol. Zool. Stud.8(4), 2197–2200 (2020).
Nath, R. K., Begum, K. H. & Ahmed, P. Integrated pest management of Okra (Abelmoschus esculentus L.). Int. J. Curr. Microbiol. Appl. Sci.9(1), 1725–1729 (2020).
Birah, A. & Raghuraman, M. Impact of emamectin benzoate on fruit and shoot borer, Earias vittella (Fab.) in okra. Indian J. Entomol.73, 42–44 (2011).
Rahman, M. M., Uddin, M. M. & Shahjahan, M. Management of okra shoot and fruit borer, Earias vittella (Fab.) using chemical and botanical insecticides for different okra varieties. Int. Res. J. Appl. Life Sci.2, 1–9 (2013).
Visnupriya, M. & Muthukrishnan, N. Phytotonic and phytotoxic effect of newer insecticide molecule spinetoram 12 SC on Okra, Brinjal and Tomato. Chem. Sci. Rev. Lett.6(24), 2242–2249 (2017).
Zhang, X., Hu, C., Wu, L. & Chen, W. Transgenerational sublethal effects of chlorantraniliprole and emamectin benzoate on the development and reproduction of Spodoptera frugiperda. Insects.14, 537. https://doi.org/10.3390/insects14060537 (2023).
Abubakar, M., Koul, B., Chandrashekar, K., Raut, A. & Yadav, D. Whitefly (Bemisia tabaci) management (WFM) strategies for sustainable agriculture: A review. Agriculture12(9), 1317. https://doi.org/10.3390/agriculture12091317 (2022).
Kundoo, A. A. et al. Role of neonicotinoids in insect pest management: A review. J. Entomol. Zool. Stud.6(1), 333–339 (2018).
Dash, S., Pradhan, S. K., Swain, D. K. & Mohapatra, L. N. Relative safety of insecticides in combination with neem against natural enemies in rice ecosystem. Pesticide Res. J.33(1), 114–119 (2021).
Singh, S. et al. Bioefficacy, environmental safety and synergistic impacts of biorational formulations against whitefly, leafhopper and blister beetle in organic okra ecosystem. J. Agric. Sci.159(5–6), 373–384 (2021).
Tenguri, P., Gawande, S. P. & Kumar, R. The outbreak of cotton whitefly Bemisia tabaci Gennadius (Hemiptera: Aleyrodidae) and its management in North India. J. Entomol. Res.47(1), 21–27 (2023).
Acknowledgements
The authors are thankful to the Head, Department of Entomology, College of Agriculture, Odisha University of Agriculture and Technology for providing necessary facilities and guidance for this study. The co-operation from the farm labors for the present study is also highly acknowledged.
Author information
Authors and Affiliations
Contributions
SM: investigation, data curation, formal analysis, writing—original draft, JP: conceptualization, supervision, and resources, writing—review and editing, SS: writing—review and editing, formal analysis
Corresponding author
Ethics declarations
Competing interests
The authors declare no competing interests.
Ethics declaration
This study was in accordance with relevant institutional, national, and international guidelines and legislation.
Additional information
Publisher’s note
Springer Nature remains neutral with regard to jurisdictional claims in published maps and institutional affiliations.
Rights and permissions
Open Access This article is licensed under a Creative Commons Attribution-NonCommercial-NoDerivatives 4.0 International License, which permits any non-commercial use, sharing, distribution and reproduction in any medium or format, as long as you give appropriate credit to the original author(s) and the source, provide a link to the Creative Commons licence, and indicate if you modified the licensed material. You do not have permission under this licence to share adapted material derived from this article or parts of it. The images or other third party material in this article are included in the article’s Creative Commons licence, unless indicated otherwise in a credit line to the material. If material is not included in the article’s Creative Commons licence and your intended use is not permitted by statutory regulation or exceeds the permitted use, you will need to obtain permission directly from the copyright holder. To view a copy of this licence, visit http://creativecommons.org/licenses/by-nc-nd/4.0/.
About this article
Cite this article
Mohapatra, S., Padhi, J. & Singh, S. Enhancing yield and economic benefits through sustainable pest management in Okra cultivation. Sci Rep 14, 22220 (2024). https://doi.org/10.1038/s41598-024-72997-6
Received:
Accepted:
Published:
Version of record:
DOI: https://doi.org/10.1038/s41598-024-72997-6






