Abstract
Grimace scales have been used to assess pain in various animal species. This study aimed to develop the calf grimace scale (CGS), evaluate its responsiveness and the effect of external factors (change of environment and dam separation, and restraint) on CGS. Sixty-nine Angus calves, 6–8 weeks old, were randomly allocated into castrated (n = 34) and sham castrated (n = 35) groups. Images were extracted from videos pre- (M1-M4), during- (M5), and post-castration/sham castration (M6, M7). Six facial action units (FAUs) were identified: ear position, orbital tightening, tension above the eye, nostril dilation, straining of chewing muscle, and mouth opening. Final CGS median scores increased after castration (P < 0.001) for both non-restrained (M7 versus M2) and restrained (M6 versus M3) calves, indicating scale responsiveness. Final CGS median scores increased (P < 0.001) when calves were subjected to external factors before castration (M1 [baseline] versus M2 and M3). However, there was no difference (P > 0.05) in CGS median scores before and after sham castration, regardless of restraint (M3 versus M6, and M2 versus M7), indicating that the external factors may have reached a maximum effect. The CGS is composed of six FAUs, responsive to acute pain and can identify stress unrelated to pain.
Similar content being viewed by others
Introduction
The welfare of farm animals is compromised when they experience pain due to injuries, diseases, or routine painful procedures associated with husbandry1. Pain is an aversive experience that includes sensory and emotional components, accompanied by actual or potential tissue damage2. If left unmitigated, pain can have detrimental physical and mental effects on animals3. Pain hurts animals4 and can lead to disrupted sleep patterns5, decreased grooming activities6, and less play behaviour7. In addition, pain reduces food and water intake, which negatively affects cattle productivity8.
Pain assessment is crucial for evaluating its severity and improving management. However, pain assessment in cattle is challenging9. It is widely believed that cattle, as prey species, avoid expressing pain to reduce their vulnerability to predation10, which makes pain identification and management a significant welfare problem11. Current methods for pain assessment in cattle have limitations. Physiological parameters such as heart rate or blood biomarkers need specific equipment, usually require physical restraint, and their measurement may be intrusive12. Changes in behaviours such as activity, locomotion, and vocalization are commonly used for pain assessment in animals13,14 but require long observation periods. Hence, there is a need for a fast, easy to use, and reliable measure to assess pain in beef calves.
Recent studies conducted on various species, such as mouse15, horses16, sheep17, piglets18, and cattle19,20,21 have revealed that animals exhibit specific facial action units (FAUs), such as change in orbital tightening or ear position, in response to pain. Facial expression (“grimace”) scales, which quantify pain by scoring FAUs according to their prominence on a scoring system22, have been proven reliable and valid measures for assessing pain in a variety of species23.
Grimace scales have been developed for Holstein, Nellore, and crossbred cattle breeds19,20,21. Variations in facial expressions between Nellore and crossbred cattle21 underscore the need to investigate the use of facial expressions as a pain assessment tool across different breeds. Variations in facial expressions in response to painful stimuli have been reported in horse breeds24 and mouse strains25. Pain expression in animals also varies depending on their age26. The development of grimace scales has thus far been limited to adult cattle19,20,27. Management practices that cause pain are often applied to young calves, and pain expression at this age remains unexplored. The lack of a reliable measure for assessing cattle pain at an early age and the limited development and use across breeds demands the development of a grimace scale for black Angus calves, which is the most common beef breed in Canada.
The Consensus-based Standards for the Selection of Health Measurement Instruments (COSMIN) guidelines defined various measurement properties that should be evaluated for any developed scale28. Responsiveness is one of these properties and refers to the ability of the scale to detect changes over time in the measured construct. Despite its importance, only grimace scales studies for cats, kittens, and Holstein cattle have explicitly reported responsiveness19,29,30.
Facial expressions associated with pain are not always absent at the baseline. Facial expressions also respond to affective states distinct from pain26, such as stressful events31,32, fear33, and frustration34. The effect of stress factors on facial expressions is documented in humans35. Various stressors can significantly affect the expression of pain in animals36; therefore, stress-related facial expressions should be differentiated from those related to pain. Previous studies that developed grimace scales in animals have not explicitly studied the impact of external stressful factors on facial expressions, except human presence in rabbits and rodents37,38, and restraint in sheep39. The assumption that cattle facial expressions only reflect pain states is oversimplified, highlighting the importance of evaluating the effect of other stressful factors on facial expressions.
This study aims to develop a grimace scale for assessing acute pain and stress in Angus beef calves, including detailed behavioural descriptions for each FAU, scale responsiveness, and the determination of external stressful factors unrelated to pain that may affect FAUs.
Methods
Ethical considerations
The study was approved by the University of Calgary’s Veterinary Sciences Animal Care Committee (protocol number AC21-0058). All methods were performed in accordance with relevant guidelines and regulations, and carried out in compliance with the ARRIVE guidelines.
Study location and animals
This study was conducted in June 2021 at the University of Calgary research farm (W.A Ranches), located near Madden, Alberta, Canada. The farm is owned by the University of Calgary, which granted full approval and agreement for data collection on its premises. A total of 69 Angus beef calves, 6–8 weeks of age, were enrolled in this study. Calves were alternatively allocated into two groups: castrated (CAST) and sham castrated (SHAM). All animals belonged to the same management group and were kept in the same pasture with their dams from birth until castration day.
The CAST group (n = 34) was surgically castrated by trained farm personnel in a tilt table and received Bovine Virus Diarrhea Vaccine-Mannheimia Haemolytica Toxoid (One Shot BVD, Zoetis), Bovine Rhinotracheitis-Parainfluenza3-Respiratory Syncytial Virus Vaccine (Inforce 3, Zoetis), Synovex-C Implant (100 mg Progesterone, 10 mg Estradiol benzoate, Zoetis), and a single oral dose of meloxicam (1.0 mg/kg body weight) immediately post-castration, following the farm protocol. The SHAM group (n = 35) experienced the same handling procedures as the CAST calves but did not undergo castration or receive any vaccination, implant, or meloxicam administration. During the sham castration procedure, calves were restrained inside a tilt table, and the testicles were handled to mimic the castration procedure. Additionally, a finger was inserted inside each animal’s mouth and nostrils to mimic the oral vaccination and meloxicam administration, and ears were touched to simulate implant administration.
Experimental design
Habituation period: A drone equipped with a camera (MAVIC 2 ZOOM, LIZ, DJI Technology, Guangdong, China) was used to record calves at the first timepoint, considered as a baseline (M1) so that facial expressions could be captured with minimal human interference. Before data collection, calves were habituated to the presence of the drone and two observers, one piloting the drone and the other serving as co-pilot, over five days before beginning the experiment. On the first day, the drone flew above the animals at a 30 m height, then the height decreased gradually over the five days period to 25, 20, 15, 13, 10, 7, 5 and 3 m at the end of the habituation period. Previous studies on animal behaviour involving tracking animal movements have used drones operating at altitudes of 80–100 m40,41. The drone flights were initiated at an altitude where cows did not react to the drone’s sound. To capture detailed images of the calves’ faces, the drone’s altitude progressively lowered. This gradual approach allowed calves to become habituated to the drone’s presence without causing distress. The habituation process to the drone and the observers was performed as follows: on the first day, the drone started in a fixed position for 5-min periods at 30 m height. Once cows and calves were not reactive (i.e., stopped changing their position or location) to the drone’s presence at a stationary position, the drone started moving at a fixed speed of 2 m/s at that same height. Then, the drone flew at alternative periods of moving and non-moving until animals were not reactive to its presence at each specific height (25, 20, 15, 13, 10, 7, 5 and 3 m). When the distance of the drone from the ground decreased, the moving time gradually increased from 5 to 60 min. When the calves were not reactive to the presence of the drone and observers (pilot and co-pilot), they were considered habituated.
Video recording
To capture facial expressions before, during and after castration/sham castration, high-resolution cameras (FDR-AX53, SONY, Tokyo, Japan) were used during various timepoints (M1–M7) (Supplementary material). The drone was used only during the first timepoint. Video recordings were done for front and side views (M4 and M5 have side images only) for 30 s except M2 and M7 that were recorded for 3 min.
M1: Baseline, pasture before castration/sham castration
Immediately after the habituation period and two days before castration. The goal of this observation period was to record FAUs baseline, without any intervention. At this timepoint, calves were in the pasture with their dams.
M2: Holding pen, one day before castration/sham castration
Cows and calves were moved to a holding pen the day before castration. Calves were separated from their dams and individually moved and kept in a holding pen (~ 9 × 16 m). Calves were reunited with their dams and returned to the pasture after ~ 5–6 h. The objective of this timepoint was to record facial expressions after separation from their dams.
M3, M4: Tilt table before castration/sham castration
On castration day, calves were separated from dams and individually moved and restrained on a tilt table by the farm staff. Initially, calves were in a standing position (M3). Then, they were positioned in lateral recumbency (M4). The objective was to record facial expressions during restraint immediately before castration.
M5, M6: Tilt table during and after castration/sham castration
Faces were recorded in two positions, using three cameras, while in the tilt table: lateral recumbency, during the surgical castration/sham castration procedure (M5), and in a standing position immediately after castration/sham castration (M6). The objective was to record facial expressions during and immediately after castration/sham castration with the animal restrained.
M7: Holding pen after castration/sham castration
Calves were individually moved and kept in the holding pen immediately after castration/sham castration. The objective was to record facial expressions after castration/sham castration. Calves were reunited with their dams after these final observations. The time required to finish the entire group (i.e., from the first to the last calf) was ~ 3.5–4 h.
Development of the calf grimace scale
All videos were uploaded to a computer. Then, the reference observer (MF, referred to as RO) attempted to extract an image every 5–10 s from the videos to avoid selection bias (e.g., selecting images with intense signs of pain42), but this was not possible due to the frequent movement of the calves. Instead, RO extracted multiple images (1–10) from the beginning, middle, and end of each video using commercial software (Cyberlink Power Director 365, Cyberlink Corp, New Taipei, Taiwan) whenever the calf was positioned with the face clearly visible. Then, three front and three side images for each calf at every observation period were selected based on quality. The number of images for each calf at each observation period used varied from 1 to 3, depending on image quality (Fig. 1).
Flowchart illustrating the corresponding front and side images used for each analysis. FAU: facial action unit, RO: reference observer, CAST: castrated calves, SHAM: sham castrated calves, M1: calves at the pasture before castration, M2: calves in the holding pen before castration, M3: calves in the tilt table before castration-standing position, M6: calves in the tilt table after castration, M7: calves in the holding pen after castration.
All images were cropped so that only the head and part of the shoulders were visible, to prevent observer bias by the body of the animal and the background when looking at each image. Additionally, the brightness of dark images was increased to enhance image quality. A digital black box was placed over the calf ID tag number in each image to prevent the observer from identifying the animal. Image extraction and processing were done by RO, who was responsible for developing the scale and was not blind to the study timepoints. All images were then randomized using a random number generator (Excel, Microsoft 365, Microsoft® Corp, Washington, USA), and renamed by a third party so that RO could not identify the timepoint or group from which images were taken. Images used for evaluating reliability, responsiveness, and external factors were randomized and carried no identification information.
Identification of the facial action units
To identify FAUs composing the CGS, RO observed 240 front and side images from 20 CAST calves (Fig. 1). The RO identified FAUs that presented a change (increase in scores from 0 to 1 or 2) in these images. Percentages of change of each FAU at all periods were recorded as recommended by McLennan et al.,23 (Table 1). During FAUs identification, a three-point scoring system was used (0 = FAU is absent, 1 = FAU is moderately present, 2 = FAU is obviously present). The RO based the identification of the FAUs in previous studies that have reported FAUs in various species16,19,20,21,27. Seven FAUs were initially proposed: ear position, orbital tightening, tension above the eye, straining of chewing muscle, nostril dilation, mouth opening and pronounced chin. Detailed definitions of each FAU were developed (Table 2). It is recommended to establish a threshold percentage of FAU occurrence to justify its inclusion in any developed pain scale23. Therefore, a 10% cut-off percentage was established for FAUs inclusion in the present scale.
Reliability of the reference observer
After identifying and developing the descriptor of each FAU, 50 images (Fig. 1) from all timepoints were scored twice, with a two-week interval between assessments, to evaluate RO intra-observer reliability. An additional trained observer (MCC) also assessed the same images to evaluate the inter-observer reliability. These images were randomized at each assessment, and observers did not know the timepoint or the calf group to which each image belonged.
Calf grimace scale responsiveness evaluation
To evaluate CGS responsiveness, front and side images from CAST calves (n = 34) were compared under two conditions: inside the holding pen (M2 versus M7) and restrained inside the tilt table (M3 versus M6) (Fig. 1). Comparisons were made for front and side images separately. Differences between these periods were attributed to acute pain induced by the castration procedure. To identify which FAUs were more responsive to pain stimulation, each FAU was compared separately between periods (M2 versus M7, and M3 versus M6).
Evaluation of the external factors
The fact that animals are placed in stressful situations before any painful procedure is often ignored when grimace scales are developed. The present study design included various periods that allowed the evaluation of the effect of external stressful factors, unrelated to acute pain, on FAUs expression. Two factors were investigated: (1) Separation from the dam and change of environment from pasture to holding pen, and (2) Restraint in the tilt table. These factors were evaluated using images of all CAST and SHAM calves (n = 69 animals). They were in the same pain-free conditions before castration or sham castration at M1, M2, and M3. To assess the first factor, impact of dam separation and environment change, front and side images of calves in the pasture with their dams (M1) were compared to front and side images in the pen (M2) (Fig. 1). To evaluate restraint effect, the same front and side images from M1 were compared to front and side images from calves in the tilt table before castration (M3) (Fig. 1).
To identify the highest scores that could be obtained during handling stress at different periods, SHAM calves were compared when under two different conditions: inside the holding pen (M2 and M7) and restrained inside the tilt table (M3 and M6) before and after sham castration (Fig. 1). Comparisons were made for front and side images separately.
Statistical analyses
All statistical analyses were performed using RStudio software (version 4.2.2, 2022.03.0, PBC, Boston, MA, USA). P-values were considered significant when P < 0.05. The normality of the data was evaluated using histograms and Shapiro-Wilk normality test (“Swilk” function of package: stats). The data were non-normally distributed, and transformations (logarithm, square root, and cubic root) were performed, but transformed data did not attain normality. Therefore, nonparametric statistical tests were used.
A descriptive analysis for all FAUs for both front and side views was performed, and medians (interquartile range [IQR = 75th percentile − 25th percentile]) were presented. Inter- and intra-observer reliabilities for each FAU and the total CGS score were evaluated using Weighted kappa coefficient (kw) (“cohen.kappa” function of package: psych) and Intraclass Correlation Coefficient (ICC) two-way mixed effect model with absolute agreement (“icc” function of package: irr), respectively. Interpretation of kw and ICC: very good 0.81–1.0; good 0.61–0.80; moderate 0.41–0.60; reasonable 0.21–0.40; and poor < 0.2043.
Responsiveness of the CGS was evaluated comparing final scores of CAST calves at M2 versus M7 (non-restrained) and M3 versus M6 (restrained) using Wilcoxon signed rank test (“wilcox.test” function of package: stats). Comparisons were done for front and side images separately. The responsiveness of each FAU (M2 versus M7, and M3 versus M6) was evaluated using the medians of both front and side views combined using Wilcoxon signed-rank test.
The effects of the external factors on CGS score were evaluated by comparing final scores of M1 versus M2 (factor 1) and M1 versus M3 (factor 2) of all calves (SHAM and CAST) using Wilcoxon signed-rank test. Additionally, the highest stress score was evaluated by comparing final scores of M3 versus M6, and M2 versus M7 of SHAM calves using Wilcoxon signed-rank test. All previous comparisons were done for front and side images separately.
Results
Development of the scale
Six FAUs were identified and used to compose the CGS: ear position, orbital tightening, tension above the eye, nostril dilation, straining of chewing muscle, and mouth opening (Table 3). Pronounced chin was excluded as it was not possible to score due to the presence of the dewlap. The FAU straining of chewing muscle was excluded from the scale when using front images, as its assessment was not reliably visible from this view. Each identified FAU could attain a maximum score of 2. Consequently, the maximum score for front images is 10 (5 FAUs identified from this view). The maximum score for side images is 12 (six FAUs identified from this view). The final CGS score was calculated as the sum of FAUs scores divided by the maximum possible score. Consequently, the final score ranged from 0 to 1 (e.g. 6/10 = 0.6 for front images, and 6/12 = 0.5 for side images). Detailed definitions of each FAU were developed (Table 2).
During FAU identification in 20 CAST calves, there were changes (increase in scores from 0 to 1 or 2) of FAUs across different timepoints (Table 1). Before castration (M1, M2, M3, M4), ear position presented a change in 40, 75, 15, and 15% of calves at M1, M2, M3, and M4, respectively. Orbital tightening presented a change in 20, 10, 0, and 0% of calves at M1, M2, M3, and M4, respectively. Tension above the eye presented a change in 70, 95, 95, and 100% of calves at M1, M2, M3, and M4, respectively. Nostril dilation presented a change in 100% of calves during all these periods. Straining of chewing muscle presented a change in 90, 100, 100, and 95% of calves at M1, M2, M3, and M4, respectively. Mouth opening did not present any change (0%) in the calves in these periods.
During (M5) and after castration (M6, M7), ear position presented a change in 15, 70, and 95% of calves at M5, M6, and M7, respectively. Orbital tightening presented a change in 35, 25, and 45% of calves at M5, M6, and M7, respectively. Tension above the eye presented a change in 100, 95, and 100% of calves at M5, M6, and M7, respectively. Nostril dilation presented a change in 100, 100, and 95% of calves at M5, M6, and M7, respectively. Straining of chewing muscle presented a change in 100% of the calves in all these periods. Mouth opening presented a change in 40, 15, and 10% of calves at M5, M6, and M7, respectively. All FAUs changes in all timepoints are reported in Table 1.
The RO inter- (with MCC) and intra-observer reliabilities were 0.97 (0.94–0.98) and 0.96 (0.93–0.98) for the total CGS scores, respectively. For individual FAUs, the inter- (with MCC) and intra-observer reliabilities, respectively, were 0.82 (0.66–1.0) and 0.92 (0.80–0.98) for ear position, 0.95 (0.88–1.0) and 1.0 (1.0–1.0) for orbital tightening, 0.87 (0.80–0.95) and 0.86 (0.73–0.98) for tension above the eye, 0.98 (0.92–1.0) and 0.98 (0.93–1.0) for nostril dilation, 0.87 (0.67–0.93) and 0.84 (0.72–1.0) for straining of chewing muscle, and 1.0 (1.0–1.0) and 1.0 (1.0–1.0) for mouth opening.
Responsiveness of the scale
The final CGS scores for CAST calves were higher in the holding pen (M7 compared to M2), and in the tilt table (M6 compared to M3) for both front and side views (P < 0.001) (Fig. 2). Changes observed in FAUs during the timepoints used to evaluate responsiveness (M2, M3, M6, and M7) revealed that some FAUs were more responsive to pain induced by castration than others.
Responsiveness of the calf grimace scale (CGS). Box plots illustrating comparisons of the CGS final scores at M2 (pre-castration) versus M7 (post-castration) in holding pen, and M3 (pre-castration) versus M6 (post-castration) in tilt table for front (A and B) and side (C and D) views. The top and bottom box lines represent the interquartile range (25 to 75%), the line within the box represents the median, and the extremes of the whiskers represent the minimum and maximum values. Different letters (a - b) indicate significant result (P < 0.05). M2: calves in the holding pen before castration, M3: calves in the tilt table before castration-standing position, M6: calves in the tilt table after castration, M7: calves in the holding pen after castration.
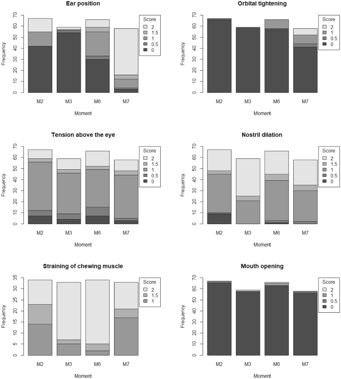
In the holding pen, the median values (IQR) for ear position, orbital tightening, and nostril dilation were higher (P < 0.01) after castration at M7 [2 (0.5), 0 (0.5), 1 (1)] compared to before castration at M2 [0 (1), 0 (0), 1 (1)], respectively. Similarly, in the tilt table, the median values (IQR) of these three FAUs differed (P < 0.01) after castration at M6 [0.75 (1), 0 (0), 1 (1)] compared to before castration at M3 [0 (0), 0 (0), 2 (1)], respectively.
Conversely, the median values (IQR) for tension above the eye, straining of chewing muscle, and mouth opening did not differ (P > 0.05) after castration for both the holding pen M7 [1 (1), 1 (1), 0 (0)] and tilt table M6 [1 (0.5), 1 (1), 0 (0)] compared to before castration at M2 [1 (1), 1.5 (1), 0 (0)] and M3 [1 (1), 2 (0), 0 (0)], respectively. Representative images of all FAUs changes across timepoints are presented in Fig. 3.
Bar charts illustrate the change of facial action units (FAU) (front and side views combined) across moments. Frequency: number of calves. Score: median scores (collected from 1–3 front and 1–3 side images) for every FAU. M2: calves in the holding pen before castration, M3: calves in the tilt table before castration-standing position, M6: calves in the tilt table after castration, M7: calves in the holding pen after castration.
The CGS median values (IQR) for all CAST and SHAM calves from front and side views are reported in Table 4.
External factors
The final CGS scores of all calves (CAST and SHAM) increased from baseline when separated from their dams and moved from the pasture to the holding pen (M1 versus M2). Median values (IQR) of front image scores increased from 0.03 (0.10) at M1 to 0.20 (0.08) at M2 (P < 0.001). Median values (IQR) of side image scores increased from 0.31 (0.14) to 0.42 (0.13) between the same periods (P < 0.001).
The same pattern was observed when calves were restrained in the tilt table (M1 versus M3). Median values (IQR) of front image scores increased from 0.03 (0.10) at M1 to 0.20 (0.10) at M3 (P < 0.001). Median values (IQR) of side image scores increased from 0.31 (0.14) to 0.41 (0.06) between the same periods (P < 0.001).
The highest CGS scores associated with external factors unrelated to acute pain were observed when sham calves were restrained in the tilt table (M3). No significant increase was observed in CGS scores before and after sham castration procedures for restrained (M3 versus M6, P (front view) = 0.36, P (side view) = 0.48) and non-restrained (M2 versus M7, P (front view) = 0.22, P (side view) = 0.58) conditions (Fig. 4).
External factors highest effect on the calf grimace scale (CGS) of sham castrated calves. Box plots illustrating comparisons of final grimace scores of M2 (pre-castration) versus M7 (post-castration) in holding pen, and M3 (pre-castration) versus M6 (post-castration) in tilt table of the sham calves for front (A and B) and side (C and D) views. The top and bottom box lines represent the interquartile range (25 to 75%), the line within the box represents the median, and the extremes of the whiskers represent the minimum and maximum values. Different letters (a - b) indicate significant result (P < 0.05). M2: calves in the holding pen before castration, M3: calves in the tilt table before castration-standing position, M6: calves in the tilt table after castration, M7: calves in the holding pen after castration.
Discussion
The CGS comprises five FAUs when applied to front view images, and six FAUs when side view images are used. It presented responsiveness, identifying changes associated with pain induced by castration. The CGS can also identify the effect of two external factors unrelated to acute pain: change of environment including dam separation and restraint in tilt table.
During the development of a grimace scale, it is recommended to include FAUs that present changes in at least 25% of the evaluated animals across observation periods23. During FAUs selection to compose the CGS, some of them were included despite presenting changes (increasing scores from 0 to 1 or 2) in a few calves during certain pain periods. Ear position presented changes only in 15% (3 out of 20) of calves at M5. However, it was included in the scale as it presented changes in most of the calves at M6 and M7 (70% and 95%, respectively). The low percentage of changes in ear position at M5 may be due to the calves lying in lateral recumbency in the tilt table, which could have affected the position or ease of movement of the ears. Similarly, mouth opening presented changes only in a few calves at M6 and M7 (15% and 10%, respectively). Nevertheless, it was included in the scale as it presented changes in 40% of the calves at M5. In addition, mouth opening was not observed in any calves at pre-castration timepoints, making it a good indication of acute pain21. Nostril dilation, tension above the eye, and straining of chewing muscle were included in the scale despite presenting changes at most timepoints. This decision was made because these FAUs presented a higher frequency of score 2 compared to score 1 at post-castration timepoints, as illustrated in Fig. 3. In addition, this scale also aims to identify both pain and stress; and as they also changed from baseline to other pre-castration timepoints, these FAUs can also reflect the influence of external stress factors. Tension above the eye, for example, had a high frequency of score 1 compared to score 2 during most time periods, suggesting the moderate presence of this FAU during less aversive conditions rather than pain. Although it is recommended to report the percentage of FAUs changes in animals in response to the painful stimulation to justify their inclusion23, few grimace scales reported the percentage of FAUs changes. For instance, ferret and piglet grimace scales incorporated FAUs that occurred in 25% and 50% of observations periods, respectively44,45. The FAUs expressed in less than 5% of the videos were excluded from the recently developed grimace scale for adult Holstein cattle, because they were considered too rare19.
In order to control for individual differences, within (same calves before and after castration) animal comparisons were used, similar to other studies19,39. The six FAUs composing the CGS have been reported in previous grimace scales in different breeds and species16,17,19,21, except mouth opening, which was only reported in Nellore cattle21, Japanese macaques26, and humans46. Muller et al.,21 used hot branding to study pain in cattle, implying that cattle may have presented mouth opening in acute pain conditions47. Mouth opening in cattle could be due to vocalizations, which increase during painful conditions47. Multiple studies have demonstrated that surgical castration is painful, even in the presence of analgesics48,49. Castration provides a controlled and reliable model for studying pain, in contrast to diseases such as mastitis and foot rot, where pain levels fluctuate depending on the stage of the disease23. In Canada, pain mitigation is mandatory for castrating calves older than six months50. Therefore, surgical castration without anaesthesia is a common procedure in Canadian beef cattle production systems. At the farm where the study was conducted, castration was performed without anaesthesia, and analgesics were administered immediately after the procedure.
We created definitions for each FAU in both front and side views to make its applicability comprehensive and objective, as not using an explicit definition of what will be scored makes establishing descriptive criteria to be provided to observers difficult and thus may reduce inter-observer reliability51. To our knowledge, only one cattle study has developed extended FAU descriptions19, with short definitions reported in other cattle studies20,21.
Scoring drift among observers when using pain scales has been well-documented52. Intra-observer reliability of the reference observer varied from 0.32 to 1 in the Nellore20, Holstein19 and sow53 grimace scales, while the inter-observer reliability varied from 0.42 to 0.77 for the Holstein19 and sow53 grimace scales. RO, who was responsible for scoring the images for the subsequent analyses, achieved high inter and intra-observer reliability (ICC > 0.8), confirming that the scoring is accurate, yielding consistent results both between different observers and across repeated observations by the same observer. This result implies pain assessment in farm animals could be as accurate and reliable as in other species, such as cats and ferrets, where the inter- and intra-observer reliabilities were above 0.8029,45.
A significant increase in the final CGS scores after castration indicates the scale is responsive to acute pain induced by castration. Prior reported pain scales used timepoints several hours after analgesic intervention to evaluate the responsiveness of the scale to an analgesic effect54,55. Responsiveness is an important measure for any developed scale according to COSMIN guidelines28; nonetheless, only a few studies on cats, kittens, and cattle have explicitly reported the scale’s responsiveness19,29,30. Future studies, using the CGS should include an assessment of responsiveness to an analgesic effect to identify if the CGS could be used to assess the efficacy of an analgesic intervention.
Our results provided evidence that certain FAUs better reflect the presence of pain than others. Specifically, ear position, orbital tightening, and nostril dilation exhibited better responsiveness to pain compared to straining of chewing muscles, tension above the eye, and mouth opening. During and after castration, calves tended to retract their ears backward, close their eyes, and widen their nostrils more than before castration. Increased scores for these FAUs were documented in Nellore bulls following castration20. Similarly, in Holstein cattle with induced mastitis, backward ears, dilated nostrils, and a motionless muzzle were displayed. However, in contrast to our study using Angus beef calves, orbital tightening was not responsive to pain in Holstein cattle19. Straining of chewing muscles and tension above the eyes had high scores before castration, suggesting that external factors may have triggered these responses. Mouth opening displayed a significant increase in response to pain stimulation during castration (M5); nonetheless, its frequency returned to the pre-castration level at M6 and M7, suggesting that while mouth opening may be an effective indicator of acute pain, it may not be a reliable measure of pain over time. It is noteworthy that the short duration of the videos recorded during some timepoints (~ 30 s), along with the frequent movement of the calves, limited the number of images captured, which could have influenced our results. Variation in the responsiveness of FAUs to acute pain necessitates further work to refine the CGS following refinement protocols in other scales14,54.
Factors which may have caused handling stress before pain assessment using grimace scales have not been evaluated. Such factors could include sources of stress unrelated to acute pain31,32, such as restraint or change in the environment. Our results demonstrate that change of environment and dam separation, and restraint in the tilt table increased CGS scores. This result is consistent with a previous study developing the lamb grimace scale, where observers scored restrained lambs higher than free moving lambs39. Another pertinent external factor warranting evaluation in future research is the influence of the observer presence on calf facial expression. Although calves in the current study were habituated to observer presence, their presence could have influenced facial expressions, as previously reported in rats and rabbits37,38.
When studying external factors in SHAM calves, the highest scores were obtained when calves were initially placed in a tilt table. Additionally, final CGS scores observed before and after sham castration procedure did not differ. This suggests the existence of a point beyond which external factors no longer exert a significant influence on calf facial expression. To our knowledge, the highest scores for facial expressions that can be obtained under certain conditions have not been reported in animals, but have been reported for adult humans56 and infants, in cases of joy, anger and sadness57,58.
Facial expressions observed during external factors reveal that the CGS is not limited to a tool for identifying pain. Instead, it can be used to identify acute castration pain as well as other factors unrelated to pain. This observation reflects that in other species. For example, facial expressions changed in response to positive and aversive taste and touch in mice59. Changes in ear position were associated with excitement and frustration in dairy cattle34, fear in horses33, and anger and frustration in sheep60.
The development of the CGS is considered a first step. Further work is needed to validate the scale in accordance with COSMIN guidelines28. CGS reliability and validity need to be investigated, and the following measurement properties should be reported: inter- and intra-observer reliability, construct and criterion validities, specificity, and sensitivity. In addition, establishing a threshold score for differentiating between pain and stress conditions is essential, as has been done for other facial expression scales to indicate the requirement for analgesia29,61,62,63.
Conclusion
This study successfully identified six FAUs composing the CGS. The CGS demonstrated responsiveness to pain induced by castration, and the ability to evaluate external factors such as environment change, dam separation and restraint in the tilt table. The CGS emerges as a valuable addition to the tools used for pain assessment in Angus beef calves. However, the impact of these external factors should be considered when applying the CGS to assess pain. Further research is needed to refine and further validate the scale and investigate its application in different breeds and contexts.
Data availability
The dataset generated during the current study is available from the corresponding author upon reasonable request.
References
Masłowska, K. Qualitative behavioural assessment of pain in castrated lambs. Appl. Anim. Behav. Sci. 233, 105–143 (2020).
International Association for the Study of Pain (ISAP). (2024). https://www.iasp-pain.org (Accessed 20 Mar).
Flecknell, P., Leach, M. & Bateson, M. Affective state and quality of life in mice. Pain. 152, 963–964 (2011).
Hosseini, M. et al. Simultaneous intrathecal injection of muscimol and endomorphin-1 alleviates neuropathic pain in rat model of spinal cord injury. Brain Behav. 10, e01576 (2020).
Ohayon, M. M. Relationship between chronic painful physical condition and insomnia. J. Psychiatr. Res. 39, 151–159 (2005).
Ellen, Y., Flecknell, P. & Leach, M. Evaluation of using behavioural changes to assess Post-operative Pain in the Guinea Pig (Cavia porcellus). PLoS One. 11, e0161941 (2016).
Mintline, E. M. et al. Play behavior as an indicator of animal welfare: disbudding in dairy calves. Appl. Anim. Behav. Sci. 144, 22–30 (2013).
Sepúlveda-Varas, P., Proudfoot, K. L., Weary, D. M. & von Keyserlingk, M. A. G. Changes in behaviour of dairy cows with clinical mastitis. Appl. Anim. Behav. Sci. 175, 8–13 (2016).
McLennan, K. Why pain is still a welfare issue for farm animals, and how facial expression could be the answer. Agriculture. 8, 127 (2018).
Anil, S. S., Anil, L. & Deen, J. Challenges of pain assessment in domestic animals. J. Am. Vet. Med. Assoc. 220, 313–319 (2002).
Remnant, J. G., Tremlett, A., Huxley, J. N. & Hudson, C. D. Clinician attitudes to pain and use of analgesia in cattle: where are we 10 years on? Vet. Rec.. 181, 400–400 (2017).
Mormède, P. et al. Exploration of the hypothalamic–pituitary–adrenal function as a tool to evaluate animal welfare. Physiol. Behav. 92, 317–339 (2007).
Flecknell, P. Analgesia from a veterinary perspective. BJA Br. J. Anaesth. 101, 121–124 (2008).
Taffarel, M. O. et al. Refinement and partial validation of the UNESP-Botucatu multidimensional composite pain scale for assessing postoperative pain in horses. BMC Vet. Res. 11, 1–12 (2015).
Langford, D. J. et al. Coding of facial expressions of pain in the laboratory mouse. Nat. Methods. 7, 447–449 (2010).
Dalla Costa, E. et al. Development of the Horse Grimace Scale (HGS) as a Pain Assessment Tool in horses undergoing routine castration. PLoS One. 9, e92281 (2014).
McLennan, K. M. et al. Development of a facial expression scale using footrot and mastitis as models of pain in sheep. Appl. Anim. Behav. Sci. 176, 19–26 (2016).
Viscardi, A. V., Hunniford, M., Lawlis, P., Leach, M. & Turner, P. V. Development of a piglet grimace scale to evaluate piglet pain using facial expressions following castration and tail docking: a pilot study. Front. Vet. Sci. 4, (2017).
Ginger, L. et al. A six-step process to explore facial expressions performances to detect pain in dairy cows with lipopolysaccharide-induced clinical mastitis. Appl. Anim. Behav. Sci. 264, 105951 (2023).
Yamada, P. H. et al. Pain assessment based on facial expression of bulls during castration. Appl. Anim. Behav. Sci. 236, 105258 (2021).
Müller, B. R., Soriano, V. S., Bellio, J. C. B. & Molento, C. F. M. Facial expression of pain in Nellore and crossbred beef cattle. J. Vet. Behav. 34, 60–65 (2019).
Matsumiya, L. C. et al. Using the mouse grimace scale to reevaluate the efficacy of postoperative analgesics in laboratory mice. J. Am. Assoc. Lab. Anim. Sci. 51, 42–49 (2012).
McLennan, K. M. et al. Conceptual and methodological issues relating to pain assessment in mammals: the development and utilisation of pain facial expression scales. Appl. Anim. Behav. Sci. 217, 1–15 (2019).
Haussler, K. K. & Erb, H. N. Mechanical nociceptive thresholds in the axial skeleton of horses. Equine Vet. J. 38, 70–75 (2006).
Miller, A. L. & Leach, M. C. The mouse Grimace Scale: a clinically useful tool? PLoS One. 10, e0136000 (2015).
Paterson, E. A. et al. Development and validation of a cynomolgus macaque grimace scale for acute pain assessment. Sci. Rep. 13, 3209 (2023).
Gleerup, K. B., Andersen, P. H., Munksgaard, L. & Forkman, B. Pain evaluation in dairy cattle. Appl. Anim. Behav. Sci. 171, 25–32 (2015).
Mokkink, L. B. et al. The COSMIN checklist for assessing the methodological quality of studies on measurement properties of health status measurement instruments: an international Delphi study. Qual. Life Res. 19, 539–549 (2010).
Evangelista, M. C. et al. Facial expressions of pain in cats: the development and validation of a Feline Grimace Scale. Sci. Rep. 9, 19128 (2019).
Cheng, A., Malo, A., Garbin, M., Monteiro, B. & Steagall, P. Construct validity, responsiveness and reliability of the Feline Grimace Scale in kittens. J. Feline Med. Surg. 25, (2023).
Dalla Costa, E., Bracci, D., Dai, F., Lebelt, D. & Minero, M. Do different Emotional States affect the horse grimace scale score? A pilot study. J. Equine Vet. Sci. 54, 114–117 (2017).
Mogil, J. S., Pang, D. S. J., Silva Dutra, G. G. & Chambers, C. T. The development and use of facial grimace scales for pain measurement in animals. Neurosci. Biobehav. Rev. 116, 480–493 (2020).
von Borstel, U. U. et al. Impact of riding in a coercively obtained Rollkur posture on welfare and fear of performance horses. Appl. Anim. Behav. Sci. 116, 228–236 (2009).
Lambert, H. & Carder, G. Positive and negative emotions in dairy cows: can ear postures be used as a measure? Behav. Process. 158, 172–180 (2019).
Mayo, L. & Heilig, M. In the face of stress: interpreting individual differences in stress-induced facial expressions. Neurobiol. Stress. 10, 100166 (2019).
Carstens, E. & Moberg, G. P. Recognizing pain and distress in laboratory animals. ILAR J. 41, 62–71 (2000).
Pinho, R. H. et al. Effects of human observer presence on pain assessment using facial expressions in rabbits. J. Am. Assoc. Lab. Anim. Sci. JAALAS. 62, 81–86 (2023).
Sorge, R. E. et al. Olfactory exposure to males, including men, causes stress and related analgesia in rodents. Nat. Methods. 11, 629–632 (2014).
Guesgen, M. J. et al. Coding and quantification of a facial expression for pain in lambs. Behav. Process. 132, 49–56 (2016).
Kays, R. et al. Hot monkey, cold reality: surveying rainforest canopy mammals using drone-mounted thermal infrared sensors. Int. J. Remote Sens. 40, 407–419 (2019).
Koger, B. et al. Quantifying the movement, behaviour and environmental context of group-living animals using drones and computer vision. J. Anim. Ecol. 92, 1357–1371 (2023).
Fischer-Tenhagen, C., Meier, J. & Pohl, A. Do not look at me like that: is the facial expression score reliable and accurate to evaluate pain in large domestic animals? A systematic review. Front. Vet. Sci. 9, (2022).
Landis, J. R. & Koch, G. G. The measurement of observer agreement for categorical data. Biometrics. 33, 159–174 (1977).
Di Giminiani, P. et al. The Assessment of Facial expressions in piglets undergoing tail docking and castration: toward the development of the Piglet Grimace Scale. Front. Vet. Sci. 3, (2016).
Reijgwart, M. L. et al. The composition and initial evaluation of a grimace scale in ferrets after surgical implantation of a telemetry probe. PLoS One. 12, e0187986 (2017).
Prkachin, K. M. Assessing pain by facial expression: facial expression as nexus. Pain Res. Manag. J. Can. Pain Soc. 14, 53–58 (2009).
Watts, J. M. & Stookey, J. M. Vocal behaviour in cattle: the animal’s commentary on its biological processes and welfare. Appl. Anim. Behav. Sci. 67, 15–33 (2000).
Meléndez, D. M. et al. Effect of band and knife castration of beef calves on welfare indicators of pain at three relevant industry ages: I. Acute pain1. J. Anim. Sci. 95, 4352–4366 (2017).
Meléndez, D. M. et al. Effect of a single dose of meloxicam prior to band or knife castration in 1-wk-old beef calves: I. Acute pain. J. Anim. Sci. 96, 1268–1280 (2018).
National Farm Animal Care Council (NFACC). (2024). https://www.nfacc.ca/codes-of-practice/beef-cattle (Accessed 20 Apr).
Meagher, R. K. Observer ratings: validity and value as a tool for animal welfare research. Appl. Anim. Behav. Sci. 119, 1–14 (2009).
Campbell, W. I. & Lewis, S. Visual analogue measurement of pain. Ulster Med. J. 59, 149–154 (1990).
Navarro, E., Mainau, E. & Manteca, X. Development of a facial expression scale using farrowing as a model of pain in sows. Animals. 10, 2113 (2020).
de Oliveira, F. A. et al. Validation of the UNESP-Botucatu unidimensional composite pain scale for assessing postoperative pain in cattle. BMC Vet. Res. 10, 200 (2014).
Pinho, R. H. et al. Validation of the rabbit pain behaviour scale (RPBS) to assess acute postoperative pain in rabbits (Oryctolagus cuniculus). PLoS One. 17, e0268973 (2022).
Calder, A. J. et al. Caricaturing facial expressions. Cognition. 76, 105–146 (2000).
Izard, C. E. et al. The Ontogeny and significance of infants’ facial expressions in the First 9 months of life. Dev. Psychol. 31, 997–1013 (1995).
Pantic, M. & Rothkrantz, J. M. Automatic analysis of facial expressions: the state of the art. IEEE Trans. Pattern Anal. Mach. Intell. 22, 1424–1445 (2000).
Moëne, O. L. & Larsson, M. A new tool for quantifying mouse facial expressions. eNeuro 10, (2023).
Boissy, A. et al. Cognitive sciences to relate ear postures to emotions in sheep. Anim. Welf. 20, 47–56 (2011).
Luna, S. P. L. et al. Validation of the UNESP-Botucatu pig composite acute pain scale (UPAPS). PLoS One. 15, e0233552 (2020).
Silva, N. E. O. F. et al. Validation of the Unesp-Botucatu composite scale to assess acute postoperative abdominal pain in sheep (USAPS). PLoS One. 15, e0239622 (2020).
Oliver, V. et al. Psychometric assessment of the rat grimace scale and development of an analgesic intervention score. PLoS One. 9, e97882 (2014).
Acknowledgements
We would like to thank Karen Camille Rocha Gois, Anice Thomas, Aiden MacBean, and the staff of WA Ranches for their invaluable assistance in data collection and the Egyptian Ministry of Higher Education for the first author’s scholarship. The project was funded by the University of Calgary and additionally supported by the Anderson-Chisholm Chair in Animal Care and Welfare.
Author information
Authors and Affiliations
Contributions
Conceptualization, M.C.C.; Methodology, M.F., M.C.C., E.P., S.P.L.L., and D.P.; Investigation, M.F., M.C.C.; Formal analysis, M.F.; Resources, M.C.C.; Data curation, M.F.; Writing—original draft preparation, M.F., M.C.C, and E.P.; Writing—review and editing, M.F., M.C.C., E.P., S.P.L.L., D.P., and M.C.W.; Supervision, M.C.C and E.P.; Project administration, M.C.C; Funding acquisition, M.C.C.
Corresponding author
Ethics declarations
Competing interests
The authors declare no competing interests.
Additional information
Publisher’s note
Springer Nature remains neutral with regard to jurisdictional claims in published maps and institutional affiliations.
Electronic supplementary material
Below is the link to the electronic supplementary material.
Rights and permissions
Open Access This article is licensed under a Creative Commons Attribution-NonCommercial-NoDerivatives 4.0 International License, which permits any non-commercial use, sharing, distribution and reproduction in any medium or format, as long as you give appropriate credit to the original author(s) and the source, provide a link to the Creative Commons licence, and indicate if you modified the licensed material. You do not have permission under this licence to share adapted material derived from this article or parts of it. The images or other third party material in this article are included in the article’s Creative Commons licence, unless indicated otherwise in a credit line to the material. If material is not included in the article’s Creative Commons licence and your intended use is not permitted by statutory regulation or exceeds the permitted use, you will need to obtain permission directly from the copyright holder. To view a copy of this licence, visit http://creativecommons.org/licenses/by-nc-nd/4.0/.
About this article
Cite this article
Farghal, M., Pajor, E., Luna, S.P.L. et al. Development of the calf grimace scale for pain and stress assessment in castrated Angus beef calves. Sci Rep 14, 25620 (2024). https://doi.org/10.1038/s41598-024-77147-6
Received:
Accepted:
Published:
Version of record:
DOI: https://doi.org/10.1038/s41598-024-77147-6






