Abstract
In sub-Saharan Africa, approximately 85% of the population uses polluting cooking fuels (e.g. wood, charcoal). Incomplete combustion of these fuels generates household air pollution (HAP), containing fine particulate matter (PM2.5 ) and carbon monoxide (CO). Due to large spatial variability, increased quantification of HAP levels is needed to improve exposure assessment in sub-Saharan Africa. The CLEAN-Air(Africa) study included 24-h monitoring of PM2.5 and CO kitchen concentrations (npm2.5 = 248/nCO = 207) and female primary cook exposures (npm2.5 = 245/nCO = 222) in peri-urban households in Obuasi (Ghana), Mbalmayo (Cameroon) and Eldoret (Kenya). HAP measurements were combined with survey data on cooking patterns, socioeconomic characteristics and ambient exposure proxies (e.g. walking time to nearest road) in separate PM2.5 and CO mixed-effect log-linear regression models. Model coefficients were applied to a larger study population (n = 937) with only survey data to quantitatively scale up PM2.5 and CO exposures. The final models moderately explained variation in mean 24-h PM2.5 (R2 = 0.40) and CO (R2 = 0.26) kitchen concentration measurements, and PM2.5 (R2 = 0.27) and CO (R2 = 0.14) female cook exposures. Primary/secondary cooking fuel type was the only significant predictor in all four models. Other significant predictors of PM2.5 and CO kitchen concentrations were cooking location and household size; household financial security and rental status were only predictive of PM2.5 concentrations. Cooking location, household financial security and proxies of ambient air pollution exposure were significant predictors of PM2.5 cook exposures. Including objective cooking time measurements (from temperature sensors) from (n = 143) households substantially improved (by 52%) the explained variability of the CO kitchen concentration model, but not the PM2.5 model. Socioeconomic characteristics and markers of ambient air pollution exposure were strongly associated with mean PM2.5 measurements, while cooking environment variables were more predictive of mean CO levels.
Similar content being viewed by others
Introduction
Globally, 2.4 million people depend on polluting fuels (e.g., firewood, charcoal, crop waste) to meet their cooking, heating and lighting needs1. The burning of solid fuels in open fires and inefficient stoves generates household air pollution (HAP), which was responsible for an estimated 3.2 million deaths in 20201. Exposure to HAP from polluting fuels is associated with multiple harmful health effects2, including cardiovascular disease3, chronic obstructive pulmonary disease4, adverse pregnancy outcomes5,6, elevated blood pressure7,8and asthma9, among others. The health burdens from HAP exposure are disproportionately borne by women due to gendered cooking roles10. HAP is also a major contributor to ambient air pollution11, greenhouse gas emissions12and associated with local environmental degradation13,14.
Sub-Saharan Africa (SSA) has the highest proportion (84%) of the population relying on polluting fuels for cooking15and thus one of the highest burdens of HAP-related disease16. For many SSA countries, HAP exposure measurements are scarce due to the high cost and intensive resource allocation needed. Consequently, exposure to HAP in epidemiological studies is often indirectly assessed using self-reported information on cooking fuel type from surveys17,18. This practice leads to exposure misclassification19 due to the substantial variability in PM2.5 and CO concentrations20,21,22,23,24,25.
To help reduce exposure misclassification from the sole use of survey data, questionnaires have been combined with HAP measurements in regression models to establish predictors of exposure19,26,27. For example, in the Global Burden of Disease (GBD) study, HAP exposures are estimated using a Bayesian model that links certain cooking environment and socioeconomic status (SES) characteristics to PM2.5 exposures28. Several further studies have identified other drivers of HAP levels, relating to fuel choices, cooking behaviour (e.g., time spent cooking, type of food cooked) and kitchen/household characteristics (e.g., ventilation conditions, kitchen size, household layout)27,29,30,31. A multinational study also used survey data to scale up quantitative HAP measurements across eight countries, including in SSA (Tanzania and Zimbabwe)32. The study highlighted the substantial variability in PM2.5 concentrations between countries, which could be attributed to factors such as stove type, primary cooking fuel type, number of household members and socioeconomic factors, such as household income32.
To date, most studies measuring HAP have been conducted in Asia or Latin America, with a notable dearth of monitoring data in SSA26. This underscores the need for understanding determinants of HAP levels on the African continent to help researchers and decision-makers better quantify HAP-attributable disease burdens and develop more robust interventions and policies33,34. In this study, we leveraged HAP monitoring and survey data on cooking environment and socioeconomic factors from peri-urban communities in Cameroon, Ghana, and Kenya to characterize determinants of PM2.5 and CO kitchen concentrations and female cook exposures.
Methods
Study setting
This study was conducted as part of the CLEAN-Air(Africa) programme, which was carried out in three peri-urban communities in Cameroon (Mbalmayo), Ghana (Obuasi), and Kenya (Eldoret). Briefly, this study involved a population-based survey of 2,000 primary cooks in each of the three communities in 2019 (Phase 1)35. This was followed by additional surveys that included further questions on household energy use and cooking behaviours (including questions from the WHO harmonised household energy survey: WHO, 2019) administered to 400 individuals in each community (Phase 2)36. Phase 3 included 24-h HAP monitoring of kitchen concentrations and female cook and child exposures conducted among 248 households (77 in Mbalmayo, 76 in Obuasi and 95 in Eldoret) (Phase 3)37. Due to a 50% lower sample size (n = 124), child exposures were not included in this study.
Measurements
PM2.5 kitchen concentrations and cook exposures were measured using the MicroPEM personal exposure monitor (Research Triangle International (RTI), Research Triangle Park, USA), which collects a sample filter for offline gravimetric analysis as well as real-time PM2.5 measurements at 10-s intervals. Gravimetric and real-time PM2.5 measurements were collected by the MicroPEM at a flow rate of 0.40 L/min using a 25 mm PTFE filter (Measurement Technology Laboratories, Minneapolis, MN). CO kitchen concentrations and cook exposures were measured using the USB-EL-CO monitor (Lascar Electronics, Wiltshire, UK). Before use, a subset (n = 3) of CO monitors were calibrated by Thermosense (Bourne End, UK) via span gas to UK Accreditation Service standards at concentrations of 100–500 parts per million (ppm); the remaining CO monitors were tested and their concentrations were statistically compared to that of the calibrated CO monitors to ensure measured levels were within 15% of each other. Both monitors were placed approximately 1 m away from the main cookstove at a height of 1.5 m. Monitors were worn by participants in the upper chest area to remain in proximity to their breathing zone. Monitors could be worn in a harness or apron at the participant’s discretion. More detailed information on HAP measurement protocols are described elsewhere37.
Geocene Stove Usage Monitors (SUMs) (Geocene Inc., Berkeley, USA) were placed on cookstoves (approximately 15 cm from the flame) in a subset of study households and measured temperature every five minutes. The temperature data was converted to cooking time during the 24-h HAP monitoring period using machine learning techniques38.
Statistical analysis
Separate log-linear regression models were built to predict 1) PM2.5 kitchen concentrations, 2) PM2.5 cook exposures, 3) CO kitchen concentrations, and 4) CO cook exposures, across the three study settings using survey data on socioeconomic and cooking environment variables. All PM2.5 and CO measurements were log-transformed to meet assumptions of normality (see Supplementary Figure S1-S4). Models were evaluated using fivefold cross-validation, with the model that minimized the root mean square error (RMSE) and mean absolute error (MAE), while preserving sample size, selected.
Variables tested for potential inclusion in the modelling were selected from CLEAN-Air(Africa) Phase 1 and 2 surveys if they were hypothesised a priori to be associated with HAP kitchen concentrations and personal exposures. Bivariate analysis assessing the association between each predictor and the outcome (PM2.5 or CO levels) was conducted separately for each community. For categorical variables, an analysis of variance (ANOVA) was also conducted to assess their association with each of the outcome variables. Any variable with a correlation coefficient of 0.15 or above, or a p-value < 0.15 in the ANOVA in at least one of the three communities was tested for inclusion in the overall three-country model (see Supplementary Table S1-S8). Some continuous variables were converted into tertiles due to a lower sample size, therefore some variables (e.g., age) are also presented in ANOVA tables.
Explanatory variables tested for inclusion included cooking environment characteristics (cooking fuel, cooking location, cooking time). For cooking fuel type, we combined primary and secondary fuels used into three categories: 1) exclusively using LPG, 2) ‘fuel stackers’: use of LPG as a primary fuel and a polluting secondary fuel, or vice versa, and 3) exclusively using polluting fuels. Fuel stackers using LPG as a primary or secondary fuel were combined together in the modelling due to the low sample of individuals using LPG as a secondary fuel (n = 12). A small number of households (n = 2) using electricity as their primary fuel were excluded in order to have one consistent clean cooking fuel type (LPG).
We also tested several socio-demographic indicators for inclusion in the modelling, including age, sex, highest education-level of household head, marital status, number of rooms in the household, number of household occupants, number of children under 5 living in the home, authority over the type of cooking fuel used by the household (‘Who in your household makes the decision on what fuel is used or purchased for cooking?’), presence of an electricity connection (yes/no), whether they own or rent their home (‘Do you own or rent the house you live in?’) and household financial security (‘Do you feel you have enough money available for your weekly required expenditure?’). Research has shown that individuals of lower SES may be exposed to more polluted environments (e.g., through occupational exposure, poorer housing, more polluting outdoor neighbourhood environments)39. We also included other survey variables to serve as proxies for ambient air pollution such as self-reported walking time to a major road (“How close of a walk is your house to the major road in the community?”) and times left house (“During the monitoring period, how many times did you leave your house?”). More time spent outside the house and closer distance to roads may signal greater exposure to ambient pollution from traffic, other commercial emissions due to a high density of shops, and air pollution generated by other households (where neighbours may also cook with polluting fuels) in the peri-urban study communities40. Exposure to ambient air pollution may increase participants’ overall PM2.5 and CO exposures41.
We tested objective measures of cooking time obtained from the Geocene SUMs. The cooking time data however was limited to sensitivity analysis to preserve sample size, as this was only available for a limited subset of Phase 3 households. The proxies of ambient exposure were only collected for Phase 3 households, hence they were unable to be included for prediction.
Model performance and effects of sensitivity analyses are presented in Supplementary Table S9-S12.
Results
Characteristics of CLEAN-Air(Africa) phase 2 households
A total of 937 households (Mbalmayo: 353, Obuasi: 256, Eldoret: 328) that completed Phase 2 surveys were included in the analysis (Table1). Approximately half (54%) of Phase 2 respondents had received a secondary level education. Three quarters (76%) of households had access to electricity for lighting. Approximately one-third (35%) of households had 1–4 household members, 44% had 5–7 household members and 21% had 8 or more household members. Half (48%) of households stated that they had ‘not quite enough’ money available for their weekly required spending, while 27% responded ‘definitely not enough’ and 25% responded ‘enough to buy everything needed’.
Characteristics of CLEAN-Air(Africa) phase 3 households
The final sample of Phase 3 households included 248 PM2.5 kitchen concentration, 245 PM2.5 cook exposure, 207 CO kitchen concentration and 222 CO cook exposure measurements. CLEAN-Air(Africa) households were split relatively uniformly across Eldoret, Kenya (38%, n = 95), Mbalmayo, Cameroon (31%, n = 77) and Obuasi, Ghana (31%, n = 76). The geometric mean (GM) 24-h PM2.5 kitchen concentration and female cook exposure was 119 µg/m3 (Eldoret = 170 µg/m3; Mbalmayo = 143 µg/m3; Obuasi = 62.9 µg/m3) and 64 µg/m3 (Eldoret = 83.4 µg/m3; Mbalmayo = 53.2 µg/m3; Obuasi = 55.1 µg/m3), respectively. The GM for CO kitchen concentrations and female cook exposures was 1.98 ppm (Eldoret = 4.67 ppm; Mbalmayo = 2.43 ppm; Obuasi = 0.77 ppm) and 0.78 ppm (Eldoret = 2.07 ppm; Mbalmayo = 0.38 ppm; Obuasi = 0.60 ppm), respectively. Due to stratified sampling, roughly half (47%) of households primarily cooked with LPG, and the other half cooked primarily with wood (35%) or charcoal (16%). A small percentage (17%) of households cooked exclusively with LPG; 36% of households stacked clean and polluting fuels, and 48% of households exclusively cooked with polluting fuels.
PM2.5 kitchen concentrations
The PM2.5 kitchen concentration model (Table 2; Supplementary Eq. 1) performed moderately well (marginal R2 = 0.40). Primary and secondary cooking fuel type, cooking location, number of household members, and whether the home was owned or rented were significant predictors (p < 0.05) of PM2.5 kitchen concentrations in the final multivariable model. The inclusion of proxies of ambient air pollution exposure (travel time to nearest road, times leaving the household) did not substantially improve the overall predictive power of the PM2.5 kitchen concentration model (marginal R2 = 0.41); however travel time to nearest road was a significant predictor (p < 0.05) of 24-h mean PM2.5 kitchen concentration. Including cooking time during the 24-h HAP monitoring period obtained from SUMs slightly improved model performance (marginal R2 from 0.40 to 0.42). Including both cooking time and ambient air pollution exposure proxies further increased the explained variance by approximately 10% (marginal R2 = 0.45).
CO kitchen concentrations
The CO kitchen concentration model (Table 2; Supplementary Eq. 2) did not perform as well as the PM2.5 kitchen concentration model (marginal R2 = 0.26). Primary/secondary cooking fuel type, cooking location, age, and number of household members were significant predictors of CO kitchen concentrations in the final multivariable model. Including cooking time from the SUMs data substantially improved model performance (marginal R2 = 0.41), increasing explained variability by 52%. However, including proxies of ambient air pollution did not increase model performance (marginal R2 = 0.27).
PM 2.5 female cook exposures
In the final PM2.5 cook exposure model (Table 3; Supplementary Eq. 3), primary/secondary cooking fuel type, cooking location and financial security were significant predictors. The explained variance of the PM2.5 cook exposure model (marginal R2 = 0.27) was less than that of the PM2.5 kitchen concentration model (marginal R2 = 0.40). Including the SUMs cooking time variable increased model performance by 19% (marginal R2 = 0.32). Including ambient exposure proxies did not improve model performance (marginal R2 = 0.28); however, the number of times the participant reported leaving the house during the HAP monitoring period was a significant predictor of PM2.5 cook exposure. Including both cooking time and ambient proxies markedly improved overall model performance by 37% (marginal R2 = 0.37).
CO female cook exposures
In the final CO cook exposure model (Table 3; Supplementary Eq. 4), primary/secondary cooking fuel type was the only significant (p < 0.05) predictor. The final CO cook exposure model had the lowest performance of all models (marginal R2 = 0.14). Including cooking time measurements, proxies of ambient exposure, or both, did not substantially improve model performance (marginal R2 = 0.16).
Predicting PM 2.5 kitchen concentrations
Modelled mean kitchen PM2.5 concentrations varied four-fold among primary cooking fuel types (LPG = 62.1 µg/m3 (95%CI:[58.8,65.4]), charcoal = 91.6 µg/m3 (95%CI:[84.7,99.1]), wood = 271 µg/m3 (95%CI:[252.7,290.9])). A low proportion (6%; n = 57) of study households had modelled 24-h kitchen PM2.5 concentrations below the WHO Interim-1 Target (35 µg/m3)42, and of these, 83% (n = 47) used LPG as their primary cooking fuel, and 9% (n = 5) used LPG as their secondary cooking fuel.
There was substantial between-community variation in mean PM2.5 kitchen concentrations among primary LPG users (Fig. 1); the modelled mean PM2.5 kitchen concentration was lowest in Obuasi (46 µg/m3), followed by Mbalmayo (67 µg/m3) and Eldoret (73 µg/m3). Among households cooking exclusively with LPG, 24-h kitchen PM2.5 concentrations ranged from 15 to 106 µg/m3 in Obuasi, Ghana, 40 to 300 µg/m3 in Eldoret, Kenya and 42 to 375 µg/m3 in Mbalmayo, Cameroon (Fig. 2).
Predicted geometric mean kitchen PM2.5 concentration (µg/m3) by primary cooking fuel type and community.
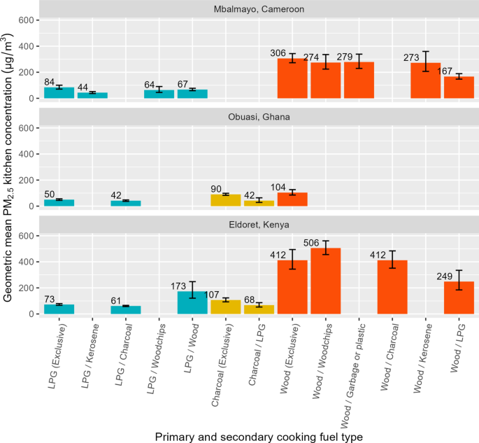
Predicted geometric mean kitchen PM2.5 concentrations (µg/m3) by primary and secondary cooking fuel type, by community (where n ≥ 10).
In households cooking exclusively with wood, modelled mean 24-h kitchen PM2.5 concentrations were approximately double those of households stacking wood (primary cooking fuel) with LPG (secondary cooking fuel) (306 µg/m3 compared to 167 µg/m3 in the Cameroonian community; 412 µg/m3 compared to 249 µg/m3 in the Kenyan community) (Fig. 2). Similarly, in households exclusively using charcoal for cooking, modelled mean 24-h kitchen PM2.5 concentrations were approximately double that of households stacking charcoal with LPG as a secondary cooking fuel (90 µg/m3 compared to 42 µg/m3 in the Ghanaian community, and 107 µg/m3 compared to 68 µg/m3 in the Kenyan community) (Fig. 2).
Predicting CO kitchen concentrations
Modelled mean CO kitchen concentrations varied eight-fold among primary cooking fuel types (LPG = 0.89 ppm (95%CI:[0.81,0.98]), charcoal = 1.89 ppm (95%CI:[1.63,2.20]), wood = 6.72 ppm (95%CI:[5.93,7.62])). Three-quarters (77%) of all study households had average 24-h CO kitchen concentrations below the WHO Interim-1 target for 24-h CO (~ 6.11 ppm)42. Of the households that did not achieve the WHO Interim-1 target 82% used wood as their primary cooking fuel, with 10% using charcoal and 8% using LPG as their primary cooking fuel. Two-thirds (65%) of households were below the WHO recommended AQG level (3.5 ppm).
Among households cooking exclusively with LPG (n = 180) average 24-h CO kitchen concentrations (GM = 0.76 ppm) ranged from 0.092 to 11.04 ppm. Although we observed an increasing concentration gradient from households primarily cooking with LPG to charcoal to wood in all communities (Fig. 3), there was considerable variation in CO levels between communities. In Mbalmayo, Cameroon, average 24-h kitchen CO concentrations among households cooking exclusively with LPG (GM = 0.45 ppm; range: 0.092 to 2.13 ppm) did not exceed the WHO AQG and were lower than in the other two communities; among households cooking exclusively with LPG in Obuasi, the average 24-h kitchen CO concentration (GM = 0.95 ppm) ranged from 0.12 to 11.04 ppm, and in Eldoret, Kenya (GM = 1.13 ppm) ranged from 0.18 to 10.82 ppm.
Predicted geometric mean kitchen CO concentrations (ppm) by primary cooking fuel type and community.
Modelled mean 24-h kitchen CO concentrations in households cooking exclusively with charcoal (GM = 1.95 ppm) and wood (GM = 8.72 ppm) were more than double and triple that of households using the same primary cooking fuel but also using LPG as a secondary cooking fuel (0.81 and 2.43 ppm, respectively) (Fig. 4).
Predicted geometric mean kitchen CO concentrations (ppm) by primary and secondary cooking fuel type, by community (where n ≥ 10).
Predicting PM2.5 cook exposures
Modelled mean PM2.5 cook exposures varied nearly two-fold among primary cooking fuel types (LPG = 43.4 µg/m3 (95%CI:[42.1,44.7]), charcoal = 66.6 µg/m3 (95%CI:[63.6,69.8]), wood = 89.4 µg/m3 (95%CI:[85.2,93.9])). In all communities, individuals cooking primarily with LPG had the lowest predicted PM2.5 exposures (Fig. 5).
Predicted geometric mean female cook PM2.5 exposures (µg/m3) by primary cooking fuel type and community.
Among households cooking exclusively with LPG (n = 166), average 24-h personal PM2.5 exposures (GM = 48. 7 µg/m3) ranged from 20 µg/m3 to 95 µg/m3 (Fig. 6). There was substantial variability in mean PM2.5 cook exposures among households exclusively cooking with LPG, with average 24-h PM2.5 personal exposures ranging from 25 to 85 µg/m3 in Mbalmayo, Cameroon (GM = 46.3 µg/m3), 32 to 95 µg/m3 in Eldoret, Kenya (GM = 52.7 µg/m3), and 20 to 93 µg/m3 in Obuasi, Ghana (GM = 46.7 µg/m3).
Predicted geometric mean female cook PM2.5 exposures (µg/m3) by primary and secondary cooking fuel type, by community (where n ≥ 10).
Average 24-h personal PM2.5 exposures were approximately 10 µg/m3 higher in households cooking exclusively with LPG, than in households using LPG as their primary cooking fuel and charcoal as a secondary cooking fuel in Obuasi and Eldoret (Fig. 6). Among households cooking exclusively with charcoal, modelled 24-h PM2.5 cook exposures (GM = 70.6 µg/m3) were almost two times higher than in households using charcoal as their primary cooking fuel and LPG as their secondary cooking fuel (GM = 42.6 µg/m3). Among households cooking exclusively with wood, modelled 24-h PM2.5 cook exposures (GM = 100.2 µg/m3) were similarly around two times higher than in households using wood as their primary cooking fuel and LPG as a secondary cooking fuel (GM = 54.3 µg/m3).
Only 12% of PM2.5 cook exposures were below the WHO Interim-1 Target (35 µg/m3). Of these, 93% were from households using LPG as their primary cooking fuel and the remaining 7% used LPG as their secondary cooking fuel.
Predicting CO cook exposures
Nearly all (98%) personal exposures were below the WHO-Interim-1 target for 24-h CO (6.1 ppm); 92% were below the WHO recommended AQG level (~ 3.5 ppm). All mean CO cook exposures that exceeded the AQG level were from households using either charcoal or wood as their primary cooking fuel. Modelled mean CO exposures varied three-fold among primary cooking fuel types (LPG = 0.44 ppm (95%CI:[0.40,0.48]), charcoal = 1.31 ppm (95%CI:[1.16,1.48]), wood = 1.06 ppm (95%CI:[0.93,1.20])) (Fig. 7). Greater mean CO exposures among cooks primarily using charcoal was largely driven by high exposures in Eldoret, Kenya (GM = 2.89 ppm).
Predicted geometric mean female cook CO exposures (ppm) by primary cooking fuel type and community.
Among households cooking exclusively with LPG (n = 172), the average 24-h personal CO exposure ranged from 0.046 to 2.55 ppm (Fig. 8). Modelled 24-h female cook CO exposures in households cooking exclusively with wood (GM = 1.18 ppm) were over two times higher than households cooking primarily with wood but using LPG as a secondary fuel (GM = 0.45 ppm) (Fig. 8). Similarly, we observed female cook CO exposures to be over twice as high in households cooking exclusively with charcoal (GM = 1.41 ppm) than households cooking with charcoal and using LPG as a secondary cooking fuel (GM = 0.65 ppm) (Fig. 8).
Predicted geometric mean female cook CO exposures (ppm) by primary and secondary cooking fuel type, by community (where n ≥ 10).
Discussion
This study characterised cooking environment and socioeconomic determinants of PM2.5 and CO kitchen concentrations and personal exposures across three peri-urban communities in SSA. In all settings, we observed PM2.5 and CO kitchen concentrations and female cook exposures to be lower among households cooking primarily with LPG compared to those cooking primarily with charcoal or wood. Households using wood as a primary cooking fuel with LPG as a secondary cooking fuel also had up to 45% (Fig. 2) and 70% (Fig. 4) lower PM2.5 and CO kitchen concentrations, respectively, than those exclusively using wood as a primary cooking fuel. This highlighted the potentially substantial PM2.5 exposure reductions associated with even partial LPG use.
We also observed significant between-community variation in predicted PM2.5 concentrations and exposures. PM2.5 and CO kitchen concentrations and female cook exposures were higher in Eldoret than the other two communities among all primary cooking fuel types. This may be due to women in Eldoret being more likely to cook indoors, which minimised pollutant dispersion. Previous research has found a reduction in PM2.5 and CO kitchen concentrations and personal exposures as the cooking location shifts from inside to outside43. Similarly, higher CO levels among households cooking with wood compared with charcoal despite charcoal stoves typically having higher CO emissions44may be due to wood being more commonly used indoors in more poorly ventilated spaces in Eldoret, while charcoal stoves were more frequently used outdoors on a veranda in Obuasi. As described in a previous measurement study, in Eldoret and Mbalmayo, wood is predominantly cooked in separate enclosed rooms behind the main house, with women in Eldoret using a mud stove (chepkube) whereas women in Mbalmayo predominantly cook over open fires37. Similarly, between-community variation could be partly explained by different preferences in cooking style or meals prepared, which can influence HAP45,46, however this type of information was not available for this study.
Households in Mbalmayo that were exclusively cooking with LPG but had elevated predicted PM2.5 kitchen concentrations (above 300 µg/m3) all had no access to electricity, were financially insecure, and had only primary level or no formal education. This suggests that factors related to lower SES, potentially including higher occupational PM2.5 exposures and smaller household sizes, likely indicative of poorer ventilation47, may have also been driving up overall PM2.5 cook exposures in the peri-urban community. In urban sub-Saharan Africa, studies have documented that lower SES individuals are typically exposed to higher levels of ambient PM2.5 pollution48. Accordingly, while uptake of LPG can deliver HAP exposure reductions, addressing additional sources of outdoor PM2.5 emissions will be crucial to further decrease PM2.5 exposures to meet WHO targets37,49.
Average predicted kitchen PM2.5 concentrations for LPG (62 µg/m3 vs 45 µg/m3) and for wood (271 µg/m3 vs 109 µg/m3) were higher than those measured in other peri-urban communities predominantly located in Asia (India and China)50. The higher PM2.5 concentrations in SSA relative to other regions matches with results of other global modelling studies that find the highest HAP levels on the African continent26,51.
Average predicted PM2.5 female cook exposures in this study were comparable to those measured in another study conducted in peri-urban communities among households primarily cooking with LPG (43 µg/m3 vs. 48 µg/m3) and wood (89 µg/m3 vs. 78 µg/m3)50. Predicted mean PM2.5 female cook exposures in Obuasi in our study were approximately twice as high as female exposures measured in Accra, Ghana52 among households cooking exclusively with LPG (47 µg/m3 vs 24 µg/m3) and exclusively with charcoal (68 µg/m3 vs 30 µg/m3). The stark differences in HAP levels in the two different communities may be due to seasonal variability in ambient air pollution in West Africa; a recent study in Accra reported a four-fold increase in ambient PM2.5 concentrations during the dry/Harmattan season (November-March) compared to the wet/non-Harmattan season (May–October)53. The Delapena et al. study occurred during the wet/non-Harmattan season, where ambient PM2.5 levels were substantially lower (26.5 µg/m348-h average)52 than levels measured during the dry/Harmattan season (90.3 µg/m3)53, when exposures in our study were measured.
Differences between PM2.5 and CO models
Proxies of ambient air pollution, such as travel time to nearest major road, were only significant predictors in PM2.5 exposure models. The lower influence of ambient air pollution on indoor CO levels is supported by a stronger association between cooking time and CO kitchen concentrations (improving R2 by 52%) compared to PM2.5 kitchen concentrations. This suggests that ambient air pollution is a more important driver of PM2.5 levels as opposed to CO concentrations in rapidly urbanising communities in SSA. These findings may explain why average 24-h personal PM2.5 exposures were higher in households cooking exclusively with LPG, than in households cooking with LPG and charcoal in Obuasi and Eldoret (Fig. 6). Moreover, the greater influence of ambient air pollution on PM2.5 levels may partially explain why CO and PM2.5 exposures frequently diverge in HAP measurement studies54,55,56. Indeed, use of polluting fuels in neighbouring households57and road traffic48,58 have been identified as prominent sources of ambient PM2.5 pollution in SSA. Previous research has further concluded that traffic emissions affect indoor air quality on the continent59,60,61. A study conducted in the US showed that outdoor sources contributed to 52% of residential PM2.5 concentrations62.
We also find that sociodemographic variables (household financial security) were only significant predictors of PM2.5 kitchen concentration and cook exposure models. This led to PM2.5 kitchen concentration and female cook exposure models performing better than the equivalent CO models. This may broadly indicate that SES is a stronger determinant of PM2.5 levels than CO concentrations due to a greater amount of outdoor PM2.5 exposure sources distributed inequitably by income. Additional measurements of PM2.5 and CO in indoor and outdoor settings can help further disentangle the contribution of HAP to overall exposures and better characterise the health and environmental impacts of HAP.
Model performance
The R2of our models are comparable with other predictive models developed from studies conducted in peri-urban China63and India64. In China, mixed-effects models explained 20–46% of variance in PM2.5 personal exposures, with cooking fuel type, smoking status, season, and ambient PM2.5 levels being significant predictors63. In South India, models explained 38–53% of variance in personal PM2.5 exposures, with cooking activities (e.g., use of biomass, time spent cooking, ventilation), smoking status, and occupation being significant predictors64. Our models did not however perform as well as those developed by Johnson et al. when predicting personal PM2.5 exposure in Kenya (R2= 0.23–0.76)65. While predictive modelling of CO is less frequently reported than PM2.5 66, a study conducted in Paraguay similarly found primary cooking fuel, indoor PM2.5 concentrations and cooking time to be significantly associated with kitchen CO concentrations in rural households67.
Strengths and limitations
This study leveraged a large set of variables for prediction of quantitative HAP exposures via comprehensive surveys administered through the CLEAN-Air(Africa) programme. By collecting detailed information on cooking characteristics (e.g. primary and secondary cooking fuel type, cooking time), we were able to assess the impact of multiple fuel combinations (i.e., stacking) on HAP exposures; previous studies have typically incorporated data on primary cooking fuel type only26. By accounting for fuel stacking, which is prevalent across SSA68, we reduced potential exposure misclassification69. The study also benefits from the use of objective cooking time measures38 in the modelling, although these measurements were not available for the full sample.
Although we did not directly measure ambient air pollution levels, we used proxies that were more easily and cost effectively obtained from surveys, such as self-reported walking time to the nearest major road, and whether or not study participants left their house during HAP monitoring. Given the strong association of these two variables with mean PM2.5 cook exposures, these data would be useful to collect in future studies when ambient air monitoring is not feasible.
Our study results may not apply outside of peri-urban communities which exhibit different cooking behaviours70and consumption patterns71,72,73. Furthermore, ambient air pollution also differs according to urbanicity, with peri-urban settings more likely to have higher levels of outdoor air pollution than rural settings54. This study is limited in its use of 24-h measurements of both kitchen concentrations and cook exposures, which may not be representative of long-term levels due to substantial day-to-day variability in HAP exposures56,74,75. As measurements were also only collected during one season, we were unable to investigate seasonal variation in exposures. Seasonality is important to consider in future studies as it can influence cooking fuel choice and availability76, cooking location56and ambient air pollution levels, particularly in West Africa53.
Conclusion
While primary cooking fuel type was associated with mean 24-h PM2.5 and CO levels in peri-urban SSA, other socioeconomic characteristics and outdoor air pollution indicators were important predictors of PM2.5 exposure variability, signalling the importance of contextual drivers of HAP levels. The substantial between-community variation in determinants of PM2.5 and CO levels across sub-Saharan Africa underscores the need for additional exposure monitoring across different settings. Ultimately, understanding the relationship between HAP and contextual drivers such as ambient air pollution will be necessary to deliver effective clean cooking interventions37. To supplement additional monitoring, conducting predictive HAP exposure modelling is useful for cost-effectively scaling up exposure assessment and improving our knowledge of drivers of exposure differences across communities.
As ambient air pollution levels are increasing across Africa77, future HAP measurement studies should also include quantitative measures of ambient PM2.5 levels to help elucidate their contribution to overall PM2.5 exposures. This improved exposure assessment can, in turn, help reduce uncertainty in effect estimates of HAP-related disease burden19, which is particularly important in SSA where epidemiological data is limited.
Data availability
The air pollution monitoring and survey data presented in this study is currently under use by CLEAN-Air(Africa) for other research. The data can be made available to researchers upon reasonable request directed to the corresponding author.
References
WHO, 2023. Household air pollution. Fact sheet. 15 December, 2023. https://www.who.int/news-room/fact-sheets/detail/household-air-pollution-and-health (accessed 5 Feb, 2024).
Puzzolo, E. et al. Estimated health effects from domestic use of gaseous fuels for cooking and heating in high-income, middle-income, and low-income countries: a systematic review and meta-analyses. Lancet Respir. Med. https://doi.org/10.1016/S2213-2600(23)00427-7 (2024).
Adekoya, A. et al. Effects of Household Air Pollution (HAP) on Cardiovascular Diseases in Low-and Middle-Income Countries (LMICs): A Systematic Review and Meta-Analysis. Int. J. Environ. Res. Public Health 19(15), 9298 (2022).
Pathak, U., Gupta, N. C. & Suri, J. C. Risk of COPD due to indoor air pollution from biomass cooking fuel: a systematic review and meta-analysis. Int. J. Environ. Health Res. 30(1), 75–88 (2020).
Younger, A., Alkon, A., Harknett, K., Louis, R. J. & Thompson, L. M. Adverse birth outcomes associated with household air pollution from unclean cooking fuels in low-and middle-income countries: a systematic review. Environmental research 204, 112274 (2022).
Amegah, A. K., Quansah, R. & Jaakkola, J. J. Household air pollution from solid fuel use and risk of adverse pregnancy outcomes: a systematic review and meta-analysis of the empirical evidence. PloS one 9(12), e113920 (2014).
Tawiah, T. et al. The Association between Household Air Pollution and Blood Pressure in Obuasi Municipality. Ghana. Atmosphere 13(12), 2033 (2022).
Arku, R. E. et al. Elevated blood pressure and household solid fuel use in premenopausal women: Analysis of 12 Demographic and Health Surveys (DHS) from 10 countries. Environmental research 160, 499–505 (2018).
Olaniyan, T. et al. Asthma-related outcomes associated with indoor air pollutants among schoolchildren from four informal settlements in two municipalities in the Western Cape Province of South Africa. Indoor air 29(1), 89–100 (2019).
Okello, G., Devereux, G. & Semple, S. Women and girls in resource poor countries experience much greater exposure to household air pollutants than men: Results from Uganda and Ethiopia. Environment international 119, 429–437 (2018).
Chowdhury, S., Pillarisetti, A., Oberholzer, A., Jetter, J., Mitchell, J., Cappuccilli, E., Aamaas, B., Aunan, K., Pozzer, A. and Alexander, D., 2023. A global review of the state of the evidence of household air pollution’s contribution to ambient fine particulate matter and their related health impacts. Environment International, p.107835.
DeWitt, H. L. et al. Seasonal and diurnal variability in O 3, black carbon, and CO measured at the Rwanda Climate Observatory. Atmospheric Chemistry and Physics 19(3), 2063–2078 (2019).
Sedano, F. et al. The impact of charcoal production on forest degradation: a case study in Tete. Mozambique. Environmental Research Letters 11(9), 094020 (2016).
Hosonuma, N. et al. An assessment of deforestation and forest degradation drivers in developing countries. Environmental Research Letters 7(4), 044009 (2012).
Stoner, O. et al. Household cooking fuel estimates at global and country level for 1990 to 2030. Nature communications 12(1), 5793 (2021).
Health Effects Institute. 2022. The State of Air Quality and Health Impacts in Africa. A Report from the State of Global Air Initiative. Boston, MA:Health Effects Institute.
Odo, D. B., Yang, I. A. & Knibbs, L. D. A systematic review and appraisal of epidemiological studies on household fuel use and its health effects using demographic and health surveys. International journal of environmental research and public health 18(4), 1411 (2021).
Smith, K. R. et al. Millions dead: how do we know and what does it mean? Methods used in the comparative risk assessment of household air pollution. Annual review of public health 35, 185–206 (2014).
Clark, M. L. et al. Health and household air pollution from solid fuel use: the need for improved exposure assessment. Environmental health perspectives 121(10), 1120–1128 (2013).
Musyoka, D. & Muindi, K. A Descriptive Assessment of Household Air Pollution in Rural Kitchens in Kenya. Atmosphere 13(12), 2115 (2022).
Shezi, B., Jafta, N., Asharam, K., Tularam, H., Jeena, P. and Naidoo, R.N., 2022. Maternal exposure to indoor PM2. 5 and associated adverse birth outcomes in low socio‐economic households, Durban, South Africa. Indoor air, 32(1), p.e12934.
Mabonga, F. et al. Exposure to air pollution in rural malawi: impact of cooking methods on blood pressure and peak expiratory flow. International Journal of Environmental Research and Public Health 18(14), 7680 (2021).
Tamire, M., Kumie, A., Addissie, A., Ayalew, M., Boman, J., Skovbjerg, S., Andersson, R. and Lärstad, M., 2021. High levels of fine particulate matter (Pm2. 5) concentrations from burning solid fuels in rural households of Butajira, Ethiopia. International Journal of Environmental Research and Public Health, 18(13), p.6942.
Kabera, T., Bartington, S., Uwanyirigira, C., Abimana, P. and Pope, F., 2020. Indoor PM2. 5 characteristics and CO concentration in households using biomass fuel in Kigali, Rwanda. International Journal of Environmental Studies, 77(6), pp.998–1011.
Nakora, N., Byamugisha, D. & Birungi, G. Indoor air quality in rural Southwestern Uganda: particulate matter, heavy metals and carbon monoxide in kitchens using charcoal fuel in Mbarara Municipality. SN Applied Sciences 2, 1–16 (2020).
Shupler, M. et al. Global estimation of exposure to fine particulate matter (PM2. 5) from household air pollution. Environment international 120, 354–363 (2018).
Balakrishnan, K., Ghosh, S., Ganguli, B., Sambandam, S., Bruce, N., Barnes, D.F. and Smith, K.R., 2013. State and national household concentrations of PM2. 5 from solid cookfuel use: results from measurements and modeling in India for estimation of the global burden of disease. Environmental Health, 12(1), pp.1–14.
Bennitt, F. B., Wozniak, S. S., Causey, K., Burkart, K. & Brauer, M. Estimating disease burden attributable to household air pollution: new methods within the Global Burden of Disease Study. The Lancet Global Health 9, S18 (2021).
Lenz, L. et al. Releasing the killer from the kitchen? Ventilation and air pollution from biomass cooking. Development Engineering 8, 100108 (2023).
Shi, S., Yang, J. and Liang, Y., 2023, February. Indoor distribution and personal exposure of cooking-generated PM2. 5 in rural residences of China: A multizone model study. In Building Simulation (pp. 1–17). Beijing: Tsinghua University Press.
Kumar, P. et al. In-kitchen aerosol exposure in twelve cities across the globe. Environment International 162, 107155 (2022).
Shupler, M., Hystad, P., Birch, A., Chu, Y.L., Jeronimo, M., Miller-Lionberg, D., Gustafson, P., Rangarajan, S., Mustaha, M., Heenan, L. and Seron, P., 2022. Multinational prediction of household and personal exposure to fine particulate matter (PM2. 5) in the PURE cohort study. Environment International, 159, p.107021.
Mustapha, A., Amegah, A. K. & Coker, E. S. Harmonization of epidemiologic research methods to address the environmental and social determinants of urban slum health challenges in Sub-Saharan Africa. International Journal of Environmental Research and Public Health 19(18), 11273 (2022).
Amegah, A. K. & Agyei-Mensah, S. Urban air pollution in Sub-Saharan Africa: Time for action. Environmental Pollution 220, 738–743 (2017).
Shupler, M. et al. Modelling of supply and demand-side determinants of liquefied petroleum gas consumption in peri-urban Cameroon, Ghana and Kenya. Nat Energy 6, 1198–1210. https://doi.org/10.1038/s41560-021-00933-3 (2021).
Shupler, M. et al. Multiple aspects of energy poverty are associated with lower mental health-related quality of life: A modelling study in three peri-urban African communities. SSM - Mental Health 2, 100103. https://doi.org/10.1016/j.ssmmh.2022.100103 (2022).
Shupler, M. et al. Household concentrations and female and child exposures to air pollution in peri-urban sub-Saharan Africa: measurements from the CLEAN-Air(Africa) study. The Lancet Planetary Health 8, e95–e107. https://doi.org/10.1016/S2542-5196(23)00272-3 (2024).
Wilson, D. L., Williams, K. N. & Pillarisetti, A. An integrated sensor data logging, survey, and analytics platform for field research and its application in HAPIN, a multi-center household energy intervention trial. Sustainability 12(5), 1805 (2020).
Jabin, N. et al. Social inequality influences the impact of household air pollution on birth outcomes. Science of The Total Environment 822, 153405 (2022).
Weaver, A. M. et al. Air pollution dispersion from biomass stoves to neighboring homes in Mirpur, Dhaka, Bangladesh. BMC Public Health 19, 1–12 (2019).
Saleh, S., Sambakunsi, H., Makina, D., Chinouya, M., Kumwenda, M., Chirombo, J., Semple, S., Mortimer, K. and Rylance, J., 2022. Personal exposures to fine particulate matter and carbon monoxide in relation to cooking activities in rural Malawi. Wellcome Open Research, 7.
WHO, 2021. WHO global air quality guidelines. Particulate matter (PM2.5 and PM10), ozone, nitrogen dioxide, sulfur dioxide and carbon monoxide. Geneva: World Health Organization; 2021. Licence: CC BYNCSA 3.0 IGO.
Sidhu, M. K., Ravindra, K., Mor, S. & John, S. Household air pollution from various types of rural kitchens and its exposure assessment. Science of the Total Environment 586, 419–429 (2017).
Bhattacharya, S. C., Albina, D. O. & Salam, P. A. Emission factors of wood and charcoal-fired cookstoves. Biomass and bioenergy 23(6), 453–469 (2002).
Giwa, S. O., Nwaokocha, C. N. & Odufuwa, B. O. Air pollutants characterization of kitchen microenvironments in southwest Nigeria. Building and Environment 153, 138–147 (2019).
Chen, C., Zhao, Y. & Zhao, B. Emission rates of multiple air pollutants generated from Chinese residential cooking. Environmental science & technology 52(3), 1081–1087 (2018).
Piedrahita, R. et al. Exposures to and origins of carbonaceous PM2. 5 in a cookstove intervention in Northern Ghana. Science of The Total Environment 576, 178–192 (2017).
Alli, A.S., Clark, S.N., Hughes, A., Nimo, J., Bedford-Moses, J., Baah, S., Wang, J., Vallarino, J., Agyemang, E., Barratt, B. and Beddows, A., 2021. Spatial-temporal patterns of ambient fine particulate matter (PM2. 5) and black carbon (BC) pollution in Accra. Environmental Research Letters, 16(7), p.074013.
Pope, D. et al. Are cleaner cooking solutions clean enough? A systematic review and meta-analysis of particulate and carbon monoxide concentrations and exposures. Environmental Research Letters 16(8), 083002 (2021).
Shupler, M. et al. Household and personal air pollution exposure measurements from 120 communities in eight countries: results from the PURE-AIR study. The Lancet Planetary Health 4(10), e451–e462 (2020).
Mohajeri, N. et al. Urban–rural disparity in global estimation of PM2· 5 household air pollution and its attributable health burden. The Lancet Planetary Health 7(8), e660–e672 (2023).
Delapena, S. et al. Using personal exposure measurements of particulate matter to estimate health impacts associated with cooking in peri-urban Accra, Ghana. Energy for Sustainable Development 45, 190–197 (2018).
Alli, A.S., Clark, S.N., Wang, J., Bennett, J., Hughes, A.F., Ezzati, M., Brauer, M., Nimo, J., Bedford-Moses, J., Baah, S. and Cavanaugh, A., 2023. High-resolution patterns and inequalities in ambient fine particle mass (PM2. 5) and black carbon (BC) in the Greater Accra Metropolis, Ghana. Science of The Total Environment, 875, p.162582.
Carter, E. et al. Assessing exposure to household air pollution: a systematic review and pooled analysis of carbon monoxide as a surrogate measure of particulate matter. Environmental health perspectives 125(7), 076002 (2017).
Klasen, E. M. et al. Low correlation between household carbon monoxide and particulate matter concentrations from biomass-related pollution in three resource-poor settings. Environmental research 142, 424–431 (2015).
Dionisio, K. L. et al. The exposure of infants and children to carbon monoxide from biomass fuels in The Gambia: a measurement and modeling study. Journal of exposure science & environmental epidemiology 22(2), 173–181 (2012).
Salje, H. et al. Impact of neighborhood biomass cooking patterns on episodic high indoor particulate matter concentrations in clean fuel homes in D haka. B angladesh. Indoor air 24(2), 213–220 (2014).
Wang, J. et al. Nitrogen oxides (NO and NO2) pollution in the Accra metropolis: Spatiotemporal patterns and the role of meteorology. Science of the Total Environment 803, 149931 (2022).
Manshur, T. et al. A citizen science approach for air quality monitoring in a Kenyan informal development. City and Environment Interactions 19, 100105 (2023).
Singh, A. et al. Air quality assessment in three East African cities using calibrated low-cost sensors with a focus on road-based hotspots. Environmental Research Communications 3(7), 075007 (2021).
Zhou, Z. et al. Chemical composition and sources of particle pollution in affluent and poor neighborhoods of Accra. Ghana. Environmental Research Letters 8(4), 044025 (2013).
Lunderberg, D.M., Liang, Y., Singer, B.C., Apte, J.S., Nazaroff, W.W. and Goldstein, A.H., 2023. Assessing residential PM2. 5 concentrations and infiltration factors with high spatiotemporal resolution using crowdsourced sensors. Proceedings of the National Academy of Sciences, 120(50), p.e2308832120.
Lee, M., Carter, E., Yan, L., Chan, Q., Elliott, P., Ezzati, M., Kelly, F., Schauer, J.J., Wu, Y., Yang, X. and Zhao, L., 2021. Determinants of personal exposure to PM2. 5 and black carbon in Chinese adults: a repeated-measures study in villages using solid fuel energy. Environment International, 146, p.106297.
Sanchez, M. et al. Personal exposure to particulate matter in peri-urban India: predictors and association with ambient concentration at residence. Journal of exposure science & environmental epidemiology 30(4), 596–605 (2020).
Johnson, M. et al. Modeling approaches and performance for estimating personal exposure to household air pollution: A case study in Kenya. Indoor Air 31(5), 1441–1457 (2021).
Wei, W. et al. Machine learning and statistical models for predicting indoor air quality. Indoor Air 29(5), 704–726 (2019).
Tagle, M. et al. Monitoring and modeling of household air quality related to use of different Cookfuels in Paraguay. Indoor air 29(2), 252–262 (2019).
Pye, A. et al. Drivers of the adoption and exclusive use of clean fuel for cooking in sub-Saharan Africa: Learnings and policy considerations from Cameroon. International Journal of Environmental Research and Public Health 17(16), 5874 (2020).
Ruiz-Mercado, I. & Masera, O. Patterns of stove use in the context of fuel–device stacking: rationale and implications. EcoHealth 12, 42–56 (2015).
Lambe, F. et al. Opening the black pot: A service design-driven approach to understanding the use of cleaner cookstoves in peri-urban Kenya. Energy Research & Social Science 70, 101754 (2020).
Mangeni, J.N., Menya, D., Mwitari, J., Shupler, M., Anderson de Cuevas, R., Sang, E., Anabwani, E., Sutton, N., Nix, E., Ronzi, S. and Pope, D., 2023. Household cooking fuel choice and associated factors in a rural and peri-urban community in Western Kenya. Energy & Environment, p.0958305X231185338.
Kimutai, S. K. & Talai, S. M. Household Energy Utilization Trends in Kenya: Effects of Peri Urbanization. European Journal of Energy Research 1(2), 7–11 (2021).
Esong, M. B. et al. Distribution of sources of household air pollution: a cross-sectional study in Cameroon. BMC Public Health 21, 318 (2021).
McCracken, J.P., Schwartz, J., Bruce, N., Mittleman, M., Ryan, L.M. and Smith, K.R., 2009. Combining individual-and group-level exposure information: child carbon monoxide in the Guatemala woodstove randomized control trial. Epidemiology, pp.127–136.
Ezzati, M., Saleh, H. & Kammen, D. M. The contributions of emissions and spatial microenvironments to exposure to indoor air pollution from biomass combustion in Kenya. Environmental health perspectives 108(9), 833–839 (2000).
Shankar, A. V. et al. Everybody stacks: Lessons from household energy case studies to inform design principles for clean energy transitions. Energy Policy 141, 111468 (2020).
Fisher, S. et al. Air pollution and development in Africa: impacts on health, the economy, and human capital. The Lancet Planetary Health 5(10), e681–e688 (2021).
Acknowledgements
The authors would like to sincerely express gratitude to the staff based at Douala General Hospital in Cameroon; Moi University in Kenya and Kintampo Health Research Centre in Ghana for their contribution to study design and implementation. This research was funded by the National Institute for Health Research (NIHR) (ref: 17/63/155) as part of the CLEAN Air(Africa) Global Health Research Group (NIHR134530) using UK aid from the UK government to support global health research. The views expressed in this publication are those of the author(s) and not necessarily those of the NIHR or the UK government.
Author information
Authors and Affiliations
Contributions
Harry Williams: Formal analysis, Investigation, Methodology, Visualization, Writing – original draft. Miranda Baame: Project administration, Resources, Writing – review & editing. Federico Lorenzetti: Data curation, Project administration, Writing – review & editing. Judith Mangeni: Project administration, Resources, Writing – review & editing. Emily Nix: Project administration, Writing—review & editing. Emmanuel Betang: Project administration, Resources, Writing – review & editing. Ryan Chartier: Project administration, Software, Writing—review & editing. Edna Sang: Project administration, Resources, Writing – review & editing. Daniel Wilson: Resources, Software, Writing—review & editing. Theresa Tawiah: Project administration, Resources, Writing – review & editing. Reginald Quansah: Project administration, Resources, Writing – review & editing. Elisa Puzzolo: Funding acquisition, Project administration, Writing – review & editing. Diana Menya: Project administration, Resources, Writing – review & editing. Bertrand Hugo Mbatchou Ngahane: Project administration, Resources, Writing – review & editing. Daniel Pope: Funding acquisition, Project administration, Writing – review & editing. Kwaku Poku Asante: Project administration, Resources, Writing – review & editing. Matthew Shupler: Conceptualization, Data curation, Project administration, Supervision.
Corresponding author
Ethics declarations
Competing interests
The authors have no competing interests to declare.
Additional information
Publisher’s note
Springer Nature remains neutral with regard to jurisdictional claims in published maps and institutional affiliations.
Supplementary Information
Rights and permissions
Open Access This article is licensed under a Creative Commons Attribution 4.0 International License, which permits use, sharing, adaptation, distribution and reproduction in any medium or format, as long as you give appropriate credit to the original author(s) and the source, provide a link to the Creative Commons licence, and indicate if changes were made. The images or other third party material in this article are included in the article’s Creative Commons licence, unless indicated otherwise in a credit line to the material. If material is not included in the article’s Creative Commons licence and your intended use is not permitted by statutory regulation or exceeds the permitted use, you will need to obtain permission directly from the copyright holder. To view a copy of this licence, visit http://creativecommons.org/licenses/by/4.0/.
About this article
Cite this article
Williams, H., Baame, M., Lorenzetti, F. et al. Multinational modelling of PM2.5 and CO exposures from household air pollution in peri-urban Cameroon, Ghana and Kenya. Sci Rep 15, 6856 (2025). https://doi.org/10.1038/s41598-024-81413-y
Received:
Accepted:
Published:
Version of record:
DOI: https://doi.org/10.1038/s41598-024-81413-y
Keywords
This article is cited by
-
Topological Approach and Kernel Principal Component Analysis for Air Pollution Source Apportionment
International Journal of Environmental Research (2025)
-
Quantifying Residential Particulate Pollution and Human Exposure in Ibadan, Nigeria, Using Low-Cost Sensors
Aerosol and Air Quality Research (2025)










