Abstract
Abnormal feeding behaviors and inadequate nutrient intake of children with autism spectrum disorder (ASD) have been reported. This study aimed to examine the plasma vitamin status of boys with autism spectrum disorder (ASD) and to analyze the association between vitamin status and symptoms of ASD. A total of 45 boys with ASD (age = 3.25 ± 0.68 years) and 45 typically developing (TD) boys (age = 3.33 ± 0.66 years) were enrolled. The developmental levels were evaluated using the Gesell Developmental Schedules (GDS), the severity of ASD was evaluated using the Childhood Autism Rating Scale (CARS). The plasma vitamin levels were determined using metabolomics method. The Vitamin B1, nicotinamide, pyridoxamine dihydrochloride and Vitamin E were found to be significantly higher in the boys with ASD compared with those without ASD. In addition, no significant differences in vitamin metabolic pathways were found between the ASD group and the TD group.The nicotinamide and pyridoxamine dihydrochloride concentration were found to be negatively correlated with GDS score. In comparison with TD boys, the plasma vitamin concentration of ASD boys was not insufficient. Further studies are required to investigate whether it is necessary to use vitamin nutritional supplements in children with ASD.
Similar content being viewed by others
Introduction
Autism Spectrum Disorder (ASD), commonly referred to as autism, is a complex neurodevelopmental disorder that typically manifests early in life. Its primary clinical features include social communication difficulties, restricted interests, and repetitive behaviors1. It is observed more frequently in males than females, with a ratio of 4–5:12. Over the past two decades, ASD has become one of the fastest-growing global health concerns. According to data from the Autism and Developmental Disabilities Monitoring (ADDM) network, approximately 1 in 54 children in the United States is diagnosed with ASD3, while in China, the prevalence of ASD is estimated to be around 1%4.
Most ASD patients are also found to have other comorbid physical illnesses and mental disorders5. Compared to individuals without ASD, ASD patients show significantly higher rates of eating behavior issues (80% vs. 25%)6 and gastrointestinal symptoms (49% vs. 26%)7. These children exhibit a markedly lower acceptance of most foods and have strong preferences for certain specific foods, sometimes even consuming non-food items (pica); other children experience symptoms such as constipation, diarrhea, abdominal pain, and vomiting. These comorbid issues have raised widespread concerns about the nutritional status of children with ASD, and nutrient deficiencies appear to be expected8.
As one of the essential environmental factors, nutrients are considered to play a role in regulating brain development during embryonic and early postnatal periods, potentially even contributing to the occurrence and progression of autism. Due to concerns about nutrient deficiencies, 56% of children with ASD use dietary supplements primarily composed of various vitamins and minerals9. Some studies suggest that oral supplementation with vitamins and minerals can improve nutritional status and core symptoms of ASD10. However, due to biases related to population characteristics, intervention measures, and assessment methods11, contradictory results have been observed7.
Scientific nutrition management is based on the accurate measurement of nutrients. Current related research mainly focuses on dietary intake surveys and in vivo nutrient level measurements. Nutrient intake is obtained through questionnaires and 3-day food records, while nutrient levels in the body are mostly determined through biochemical testing12.The results of this meta-analysis indicated that children with autism spectrum disorder (ASD) consumed sufficient macronutrients. However, significant discrepancies existed regarding whether their intake of vitamins and minerals met the recommended dietary intake13,14. Additionally, studies reported considerable variations in the blood concentrations of vitamins and minerals among children with ASD15.
Metabolomics, an emerging field that began to develop in the late 1990s, enables the qualitative and quantitative analysis of small-molecule metabolites. In recent years, metabolomics is applicated in the field of nutritional science, serving as a novel tool to comprehend the relationships between nutrients and diseases16. In this study, our hypothesis posited that avoidance/restrictive eating behaviors and gastrointestinal disturbances in children with ASD could potentially impact on their vitamin intake, additionally, various endogenous and/or exogenous factors might disrupt the body’s metabolism of vitamins.To test this hypothesis, first, we used targeted metabolomic techniques based on ultra-high-performance liquid chromatography-triple quadrupole mass spectrometry (UPLC-QQQ-MS) and ultra-high-performance liquid chromatography-triple quadrupole/linearion trap mass spectrometry (UPLC-Qtrap-MS) to quantitatively determine both water-soluble and fat-soluble vitamins in children with ASD. Second, we utilized non-targeted metabolomic techniques based on ultra-high-performance liquid chromatography-mass spectrometry (UPLC-MS/MS) to identify differential metabolites related to vitamins in plasma. Then, we conducted functional annotations and metabolic pathway analyses of these differential metabolites using online databases (https://www.genome.jp/kegg/)17,18,19. Additionally, we performed correlation analysis between plasma vitamin levels and clinical phenotypic data.
Methods
Subjects
Inclusion and exclusion criteria
This study recruited children aged 2 to 5 years with typical development or ASD in Wuxi City, east region of China. In the ASD group, the inclusion criteria consisted of male children aged 2 to 5 years, meeting the diagnostic criteria for autism as defined in the 5th edition of the Diagnostic and Statistical Manual of Mental Disorders (DSM-5)20. Diagnoses were established by a psychologist from Jiangnan University Affiliated Wuxi Children’s Hospital and two pediatricians specializing in child healthcare development. Exclusion criteria: other developmental disorders, neurological or psychiatric illnesses, genetic metabolic disorders, significant physical ailments, and recent (within the last 3 months) special diets or the use of nutritional supplements.
The inclusion criteria for the TD group: age and gender matching with the ASD children. They underwent health assessments at the Department of Child Healthcare at Jiangnan University Affiliated Wuxi Children’s Hospital. All control subjects were deemed healthy, without developmental disorders, and shared the same exclusion criteria as the ASD group.
Participation in this study was voluntary, and informed consent was obtained from all participants or their legal guardians. The study protocol received approval from the Institutional Review Board of Jiangnan University Affiliated Wuxi Children’s Hospital.
Behavioral and developmental assessment
Gesell Developmental Schedules (GDS)21: This scale was used to evaluate the development of children aged 0–6.The scale covers five parts, namely adaptive behavior, gross motor skills, fine motor skills, language development, and personal-social behavior. Assessment results were expressed in terms of Developmental Quotient (DQ), with a DQ total score of < 75 indicating developmental delay. Lower scores indicated more severe developmental delay.
Childhood Autism Rating Scale (CARS)22: This scale was used to assess the severity of ASD.There are 15 items in the scale, and each item is evaluated with 1–4 levels. The total score for each ASD child reflects the severity of symptoms. Higher scores indicate more severe symptoms.
Autism Behavior Checklist (ABC)23: This checklist was used to assess behavioral characteristics in ASD children. There are 57 items in the scale, encompassing five factors, such as sensory stimuli, relating, body and object use, language, and social and self-help skills. The higher the total score, the severer the disease symptoms.
Metabolite assays
Blood samples were collected from both ASD children and healthy control children through venipuncture. Sample collection requirements included a fasting period of 6–8 h and avoidance of vigorous physical activity. After centrifugation for 10 min (1000 rpm, 4 °C), plasma was separated and stored at -80 °C for subsequent metabolic analysis.
Targeted metabolite analysis
Metabolite extraction
Water-Soluble Vitamin Extraction: A total of 100 µL of plasma sample was extracted using 300 µL of extraction solvent (0.1% formic acid). After ultrasonication and centrifugation, the extract was concentrated to dryness. Following reconstitution with 200 µL of a 50% acetonitrile-water solution, the mixture was centrifuged for 15 min (12000 rpm, 4 °C), and the supernatant was transferred to LC-MS vials. Detection was performed using liquid chromatography (Waters Acquity UPLC) and mass spectrometry (AB SCIEX 5500 Qtrap -MS), with the method of UPLC-QQQ- MS. Chromatographic separation conditions were set as follows: column temperature at 40 °C, flow rate at 0.350 mL/min, and mobile phase composition A (water with 0.1% formic acid) and B (acetonitrile with 0.1% formic acid). The total runtime was 8 min, with an injection volume of 5 µL. The sample gradient elution program was set as follows: 0 min, 1% B; 0.5 min, 1% B; 2.5 min, 8% B; 5 min, 90% B; 6 min, 90% B; 6.1 min, 1% B; 8 min, 1% B. Mass spectrometry conditions included a flow rate of 0.5 mL/min, ESI ion source, curtain gas at 35 arb, collision gas at 9 arb, ionspray voltage at 3500 V, ion source temperature at 400 °C, ionsource gas 1 at 55 arb, and ionsource gas 2 at 55 arb.
Fat-Soluble Vitamin Extraction: A total of 60 µL of plasma sample was extracted using 440 µL of ethanol solution (0.025 M KOH), 100 µL of methanol solution (0.1% formic acid), and 800 µL of n-hexane. After ultrasonication and centrifugation, the extract was concentrated to dryness. Following reconstitution with 200 µL of a 50% acetonitrile-water solution, the mixture was centrifuged for 15 min (12000 rpm, 4 °C), and the supernatant was transferred to LC-MS vials. Data was collected by using liquid chromatography (Waters Acquity UPLC) and mass spectrometry (AB SCIEX 5500 Qtrap -MS). The chromatographic column used was Acquity UPLC HSS T3 (1.8 μm, 2.1 mm * 100 mm). Chromatographic separation conditions were set as follows: column temperature at 30 °C, flow rate at 0.30 mL/min, and mobile phase composition A (water with 0.1% formic acid) and B (methanol). The total runtime was 10 min, with an injection volume of 6 µL. The sample gradient elution program was set as follows: 0 min, 95% B; 2 min, 95% B; 2.1 min, 100% B; 8 min, 100% B; 8.1 min, 95% B; 10 min, 95% B. Mass spectrometry conditions included ESI ion source, curtain gas at 35 arb, collision gas at 9 arb, ionspray voltage at 4000 V, ion source temperature at 400 °C, ionsource gas 1 at 55 arb, and ionsource gas 2 at 55 arb.
Preparation of standard solutions and standard curve construction
In accordance with the aforementioned chromatography and mass spectrometry conditions, standard solutions for both water-soluble and fat-soluble vitamins were prepared. A standard stock solution of 1000ng/mL was prepared by diluting the standard substance in 50% acetonitrile-water. This stock solution was then used to prepare a series of standard solutions at varying concentrations, all in 50% acetonitrile-water (dilution). Standard curves were constructed by plotting the peak areas of the standards at different concentrations. Integration and quantitative analysis were performed using the MultiQuant software based on the standard curves.
Non-targeted metabolite analysis
Metabolite extraction
A total of 50 µL of plasma was extracted using 1000 µL of extraction solvent (acetonitrile-methanol-water, 2:2:1, with internal standards). After vortexing for 30 s, the samples were homogenized and subjected to three cycles of sonication. Subsequently, the samples were incubated at -20 °C for 1 h and then centrifuged for 15 min (12000 rpm, 4 °C). The resulting supernatant was transferred to LC-MS vials and stored at -80 °C until UHPLC-QE Orbitrap/MS analysis. Quality control (QC) samples were prepared by mixing an equal volume of supernatant from all samples.
LC-MS/MS analysis
LC-MS/MS analysis was performed using a UHPLC system (1290, Agilent Technologies) coupled with a UPLC HSS T3 column (2.1 mm × 100 mm, 1.8 μm) and a Q Exactive Orbitrap MS (Thermo). The mobile phase A consisted of 0.1% formic acid in water (positive ionization) and 5 mmol/L ammonium acetate in water (negative ionization), while mobile phase B was acetonitrile. The elution gradient was set as follows: 0 min, 1% B; 1 min, 1% B; 8 min, 99% B; 10 min, 99% B; 10.1 min, 1% B; 12 min, 1% B. The flow rate was 0.5 mL/min, and the injection volume was 2 µL. The QE mass spectrometer was employed to acquire MS/MS spectra during LC/MS experiments using information-dependent acquisition (IDA). The ESI source conditions were as follows: sheath gas flow rate of 45 Arb, auxiliary gas flow rate of 15 Arb, capillary temperature of 320 °C, full MS resolution of 70,000, MS/MS resolution of 17,500, collision energies of 20/40/60 eV in the NCE model, and spray voltages of 3.8 kV (positive) or -3.1 kV (negative).
Data processing and analysis
The analysis process is summarized in Fig. 1.
Flowchart of the study process.
For continuous data that followed a normal distribution, it was represented as mean ± standard deviation (x ± s), and group differences were assessed using the t-test. Non-normally distributed data were presented as median and interquartile range, and group differences were assessed using the Mann-Whitney U test. A significance level of P < 0.05 was considered statistically significant. Data analysis was conducted using the R (R version 4.2.1).
For targeted metabolite analysis, quantitative data were integrated using the MultiQuant software, and concentrations were calculated using standard curves.The R2 value of standard curve was used to identify the linear relationship. R2 > 0.99 was considered as a good linear correlation.
For non-targeted metabolite analysis, MS raw data files (.raw) were converted to mzML format using ProteoWizard, and processed by the R package XCMS (version 3.2). In order to search for metabolites that best distinguish between two groups, multivariate and univariate analysis were used. For multivariate analysis, discriminant analysis using partial least squares-discriminant analysis (PLS-DA) was used to distinguish metabolic features between groups. Metabolites were ranked based on Variable Importance in Projection (VIP) scores obtained from PLS-DA models. For univariate analysis, T-test was conducted.Metabolites with VIP ≥ 1 and a t-test p-value < 0.05 were considered differential metabolites between the two groups. Differential metabolites were mapped to metabolic pathways using the KEGG database24. The calculated p-values were subjected to False Discovery Rate (FDR) correction, and pathways with FDR ≤ 0.05 and an enrichment factor > 0.1 were defined as significantly enriched pathways among the differential metabolites.
Results
Demographic data and behavioral development assessment
A total of 45 children with ASD and 45 TD children were included in the final analysis. The mean age of subjects in the ASD group was 3.25 ± 0.68 years, while in the TD group, it was 3.33 ± 0.66 years. There was no statistically significant difference in the age of subjects between the two study groups (P > 0.05). Due to limited blood sample availability, the ASD and TD groups were further subdivided randomly into ASD group 1, ASD group 2, TD group 1, and TD group 2, with a 2:1 ratio.ASD group 1 (15 children, 3.11 ± 0.79 years), ASD group 2 (30 children, 3.33 ± 0.62 years), TD group 1 (15 children, 3.22 ± 0.46 years), and TD group 2 (30 children, 3.39 ± 0.78 years) exhibited no statistically significant age differences between groups (P > 0.05).
ASD children had DQ scores ranging from 31 to 68, CARS scores ranging from 32.5 to 44, and ABC scores ranging from 43 to 171. When comparing developmental levels between ASD group 1 and ASD group 2, there were no statistically significant differences in DQ total score, adaptive behavior score, gross motor score, fine motor score, and personal-social behavior score (p > 0.05). However, there was a statistically significant difference in language score between ASD group 1 and ASD group 2 (p < 0.05). When comparing CARS scores and ABC scores between ASD group 1 and ASD group 2, no statistically significant differences were observed (p > 0.05). Please refer to Table 1.
Targeted vitamin levels
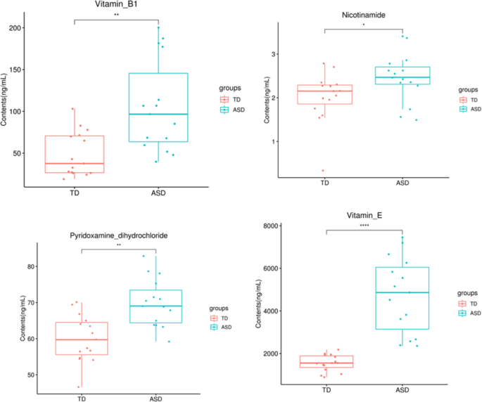
ASD group 1 and TD group 1 underwent targeted absolute quantification of vitamins using UPLC-QQQ-MS and UPLC-Qtrap-MS methods. A total of 8 water-soluble vitamins and 3 fat-soluble vitamins were detected, including Vitamin B1, Vitamin B2, nicotinamide, pyridoxal hydrochloride, pyridoxamine dihydrochloride, D-Pantothenic acid, Vitamin H, folic acid, Vitamin A, Vitamin E, and 25-Hydroxyvitamin D2. All vitamin standard curves had R² values greater than 0.99, indicating good linearity. The vitamin levels between the groups were calculated using standard curves, and the results for comparative vitamin levels between ASD group 1 and TD group 1 are as follows. In ASD group 1, the plasma levels of 4 vitamins were lower than those in TD group 1, including Vitamin B2 [5.67 (4) ng/ml,6.33 (3) ng/ml], D-Pantothenic acid [40.70 (19) ng/ml,42.56 (14) ng/ml], folic acid [0.64 (1) ng/ml,0.86 (1) ng/ml], and 25-Hydroxyvitamin D2 [4.51 (3) ng/ml,4.67 (1) ng/ml]. On the other hand, 7 vitamins exhibited higher levels in ASD group 1 compared to TD group 1, including Vitamin B1 [96.61 (118) ng/ml,37.59 (45) ng/ml], nicotinamide [2.47 (1) ng/ml,2.15 (1) ng/ml], pyridoxal hydrochloride [0.65 (1) ng/ml, 0.41 (0) ng/ml], pyridoxamine dihydrochloride [69.04 (12) ng/ml,59.72 (10) ng/ml], Vitamin H [14.14 (15) ng/ml,12.18 (37) ng/ml], Vitamin A [681.50 (238) ng/ml,589.38 (275) ng/ml], and Vitamin E [4.86 (3.6) mg/ml,1.55 (0.7) mg/ml]. Significant statistical differences in Vitamin B1, nicotinamide, pyridoxamine dihydrochloride, and Vitamin E levels were observed between the groups (P < 0.05).(Fig. 2).
Vitamins with significant statistical differences in plasma between ASD group 1 and TD group 1. Note: *indicates p-value < 0.05, **indicates p-value < 0.01, **** indicates p-value < 0.0001. Dots in each plot represent the concentrations of selected features from all samples.
Non-targeted metabolite identification
ASD group 2 and TD group 2 underwent non-targeted metabolite analysis using LC-MS/MS method.PLS-DA analysis was performed on plasma samples from two groups. Figure 3 displays the permutation test plot of PLS-DA (R²X = 0.434, R²Y = 0.989, Q²=0.873). ASD and TD groups showed a trend of intra-group clustering and inter-group separation, with statistically significant separation of metabolites between the groups.
PLS-DA analysis of non-targeted metabolite identification in plasma.
Based on the VIP scores and p value, 1058 differential metabolites were identified. In the positive ion detection mode, there were 152 upregulated metabolites and 534 downregulated metabolites in ASD group compared to TD group. In the negative ion detection mode, there were 202 upregulated metabolites and 170 downregulated metabolites (Fig. 4). A total of 25 differential metabolites related to vitamin metabolism were revealed.
Volcano plot of differential metabolites between ASD group 2 and TD group 2. Note: Total 1058 differential (VIP ≥ 1 and p < 0.05) metabolites (354 upregulated and 704 down-regulated).
In the analysis of metabolic pathways, differential metabolites were annotated to multiple metabolic pathways (Figs. 5 and 6). 25 differential metabolites related to vitamin were dispersed across multiple vitamin metabolic pathways. No significant differences were found in vitamin metabolic pathways between ASD group and TD group(P > 0.05).
KEGG pathway annotation.
Top 20 of KEGG enrichment.
Correlation Analysis between Vitamin Levels and Developmental and Behavioral Characteristics in ASD Group 1.
Pearson correlation analysis was conducted to explore the correlation between plasma vitamin levels and GDS scores, CARS scores, and ABC scores in children from ASD group 1. A network relationship graph was established based on correlation values greater than 0.5 (filter value ≥ 0.5), with red indicating positive correlations and blue indicating negative correlations. The thickness of the lines represents the degree of correlation(Fig. 7).
Network graph depicting the correlation between plasma vitamin levels and GDS scores, CARS scores, and ABC scores in ASD group 1. Note: Red represents positive correlations, blue represents negative correlations, and line thickness indicates the degree of correlation.
Discussion
Vitamins are essential nutrients, and it is important to deepen our understanding of vitamin status and the potential mechanisms associated with ASD. Due to the higher prevalence of selective diets among young boys25, we selected this specific population as the subjects for this study. We obtained absolute quantification of plasma vitamins through targeted metabolomics detection, utilized non-targeted metabolomics to screen for vitamin-related differential metabolites and performed pathway analysis, and conducted correlation analysis to explore the association between vitamin levels and clinical phenotype data. Batch effects were excluded to ensure the reliability of the findings. The following sections will discuss the results in detail.
Thiamine
In this study, plasma thiamine(Vitamin B1) levels were determined through targeted metabolomics, and the results showed that the Vitamin B1 levels in the plasma of ASD children were 2.57 times higher than those in the TD group, with a statistically significant difference between the groups (P < 0.01).
Thiamine is a water-soluble vitamin containing sulfur, and it cannot be synthesized endogenously. The only available source is dietary intake, primarily from foods such as beef, poultry, grains, nuts, and legumes26. Despite the abundance of thiamine in the diet, modern industrial rice milling and processing techniques can destroy thiamine in rice bran, and the consumption of foods rich in tannins or those containing caffeine and theobromine can deactivate thiamine in the diet26. ASD children have a strong preference for processed foods, snacks, and starches27 and consume less whole grains28.One study from Spain analyzed dietary intake and found that ASD children did not meet the recommended thiamine intake29. However, there are conflicting findings as well, with a meta-analysis suggesting that ASD children may have sufficient thiamine intake, even exceeding the recommended levels15. These studies relied on indirect dietary surveys. In this study, absolute quantification of thiamine in plasma was obtained through targeted metabolomics, and the results indicated a significantly elevated thiamine level in the plasma of ASD children.
Anwar A, et al. had also reported an elevation in plasma thiamine levels among children with ASD, suggesting a potential association with abnormal tissue handling of TPP and/or intestinal microbiome absorption mechanisms30. In the human body, 90% of VB1 exists in the form of TPP. TPP not only participates in the production of NADPH but also in the synthesis of ribose-5-phosphate, playing a crucial role in biosynthesis30. VB1 may influence ASD by reducing TPP levels in plasma and through the oxidative stress reactions in which it participates. In this study, using non-targeted metabolites analysis, there were four differential metabolites enriched within the thiamine metabolic pathway; however, no significant differences were observed in the expression of thiamine’s primary active forms, such as TPP and TTP, between ASD group and TD group (P > 0.05). Correlation analysis revealed no significant associations (p > 0.05) between plasma thiamine levels in ASD children and their GDS scores, CARS scores, or ABC scores.The interactions between dietary intake, gut microbiota, and metabolic processes affecting thiamine are complex. Our study did not find evidence of thiamine deficiency or related metabolic disorders in children with ASD. Further research is necessary to evaluate the potential use of thiamine as a nutritional supplement for ASD treatment.
Nicotinate and nicotinamide
In this study, we observed that plasma nicotinamide levels in ASD children were higher than those in the TD group, with a statistically significant difference between the groups (P < 0.05). Extreme cases with particularly low nicotinamide levels were not found. Despite inadequate intake of green vegetables and dairy products in ASD children28,31, there has been an increase in the consumption of meat and processed foods, both of which are rich in or fortified with nicotinic acid32. Reports have indicated that the average nicotinic acid intake in ASD children exceeds the Dietary Reference Intakes (DRI)32, and selective eating habits in ASD children could be a contributing factor to the elevated nicotinamide levels.
Nicotinamide is a component of coenzyme I (Nicotinamide Adenine Dinucleotide, NAD) and coenzyme II (Nicotinamide Adenine Dinucleotide Phosphate, NADP). High levels of nicotinamide alter cellular methyl metabolism and affect DNA and protein methylation, leading to changes in the transcriptome and proteome; meanwhile, increased NAD + pools alter cellular energy metabolism33.
Non-targeted metabolomics revealed that three differential metabolites were enriched in the nicotinate and nicotinamide metabolism pathway, but the entire pathway did not show significant differences. No differences were found in the NAD + and NADP + cycling between the groups. Correlation analysis results showed that nicotinamide was negatively correlated with fine motor skills in ASD children, but no significant associations were found with CARS scores, ABC scores, overall DQ scores, or other DQ scores of sub energy regions.
Vitamin B6
Vitamin B6 (VitB6) consists of pyridoxal, pyridoxine, and pyridoxamine. Pyridoxal-5-phosphate (PLP), the bioactive form, plays an essential role in metabolism, acting as a coenzyme in over 160 different enzyme activities, including the formation of various neurotransmitters34,35.
Several studies have reported a risk of insufficient vitamin B6 intake in children with autism31. VitB6 has been implicated in the development of social deficits in ASD36, and VitB6 supplementation has been shown to reduce neurobehavioral disorders in autistic mice37.
In this study, targeted metabolite analysis was used to quantitatively determine plasma pyridoxine hydrochloride and pyridoxamine dihydrochloride levels. The results showed elevated levels of both VitB6 forms in the plasma of ASD children compared to the TD group, with statistically significant differences observed in pyridoxamine dihydrochloride levels (p < 0.05). Non-targeted metabolite profiling identified two differentially enriched metabolites within the VitB6 metabolic pathway, with pyridoxine 5’-phosphate(PNP) being higher in the ASD group compared to the typically developing group. However, no significant differences were observed in the overall VitB6 metabolic pathway. The enrichment of PNP suggests the possibility of enzymatic activity abnormalities leading to altered substance conversion. Adams JB, et al. reported similar results, suggesting that plasma VB6 levels in children with ASD were significantly higher than in the control group, while the activity of pyridoxal kinase and PLP levels were very low. They speculated that a low conversion rate of pyridoxal and pyridoxine to PLP led to low PLP levels38. Correlation analysis in this study revealed a significant negative association between pyridoxamine dihydrochloride levels and ASD children’s GDS total scores, fine motor function, and personal social behavior scores.
Vitamin E
In this study, we observed that plasma Vitamin E(VE) levels of ASD boys were significantly increased, three times higher than those of the TD group.VE is widely distributed in plant oils and grains, and there is almost no deficiency of VE among the population in developed countries.Some research results suggested the inadequacy VE intake39,40 and lower plasma concentrations of VE in children with autism41. However, Hyman S. L reported opposite findings through dietary analysis, and our research results are consistent with Hyman S. L’s42.
Furthermore, studies have suggested that VE, as a crucial antioxidant, may be related to the pathophysiology of ASD9,43. However, this study did not identify significant correlations between VE levels and GDS scores, ABC scores and CARS scores through correlation analysis. Non-targeted metabolite analysis also did not uncover any differential metabolite enrichment within the VE metabolic pathway.
In summary, plasma VE levels in ASD children were adequate and higher than those in typically developing children. No association was found between elevated VE levels, metabolic pathway disturbance, and clinical phenotypes. Increased intake may be a potential explanatory factor.
Others
Vitamin A (VA) deficiency is a common nutritional deficiency among children with ASD in inland Chinese cities, particularly in Chongqing9. The team of Li T suggested that VA deficiency may exacerbate ASD symptoms and neurodevelopmental disorders41,44.
However, in a nationwide multicenter study, no difference in VA levels was observed between preschool children with ASD and the control group, nor was there a significant correlation between VA levels and ASD symptoms45.
In this study, the absolute content of plasma VA was increased in ASD boys compared with TD Boys. Non-targeted metabolite analysis did not reveal any differential metabolite enrichment in the VA pathway. Correlation analysis indicated a positive correlation between VA levels and GDS total scores, personal social behavior scores, adaptability scores, and fine motor function scores in ASD children, meaning that higher developmental levels were associated with higher VA levels. No associations were found with CARS scores and ABC scores. These results suggested that the VA levels in ASD children are not lower than those in typically developing children and that there is no evidence of VA metabolic pathway abnormalities or explainable evidence related to neurodevelopmental disorders. The variability in research outcomes may be attributed to regional differences, age differences in study subjects, and variations in research methodologies.
Furthermore, our study results also indicate that Vitamin B2 (VB2), pantothenic acid, and Vitamin D2 (VD2) levels were relatively low but did not show statistically significant differences between groups. No differential metabolic pathways were observed, and there were no correlations found between these vitamins and GDS scores, CARS scores, or ABC scores.
Conclusion
Plasma vitamin levels differed between boys with ASD and typically developing (TD) boys. Aside from a negative correlation observed between the levels of specific vitamins (nicotinamide and pyridoxamine) and social skills and fine motor function, no associations were found with ASD clinical characteristics, nor were there significant differences in vitamin metabolic pathways. The elevated levels of certain vitamins in children with ASD may result from highly selective eating habits. Given the lack of observed effects on core ASD symptoms and metabolism, the necessity of using vitamin supplements in children with ASD requires further investigation. A unique aspect of this work is the utilization of metabolomics methods for vitamin in autistic children. It offers a profile of the objective vitamin content in the plasma of ASD boys, explores differences in vitamin-related metabolic pathways, enhances our understanding of the relationship between vitamin content and clinical phenotype, and provides recommendations on vitamin nutritional management for children with ASD.
Limitations
Several limitations should be considered in this study. First of all, the sample size was small, and the results need to be validated in larger cohorts. Secondly, we focused on a specific group of ASD boys aged 2 to 5 years, which may impact the generalizability of the current findings. Thirdly, ASD is a highly heterogeneous disorder, and genetic-environment interactions may influence the variability in study outcomes. Future study should consider more factors to enhance the universality of the results. Additionally, larger sample sizes and diverse data collection methods could be employed in future studies. In conclusion, more work is needed to expand and refine our study.
Data availability
All data generated or analysed during this study are included in this published article.
References
Gerhant, A., Olajossy, M. & Olajossy-Hilkesberger, L. [Neuroanatomical, genetic and neurochemical aspects of infantile autism]. Psychiatr Pol. 47, 1101–1111 (2013).
RI, K. HS W. Gut microbiota and gender in Autism Spectrum disorders. Curr. Pediatr. Rev. 16 (2020).
Christensen, D. L. et al. Prevalence and characteristics of autism spectrum disorder among children aged 8 years–autism and developmental disabilities monitoring network, 11 sites, United States, 2012. MMWR Surveill Summ. 65, 1–23 (2016).
X S. Autism prevalence in China is comparable to western prevalence. Mol. Autism 10 (2019).
Hirota, T. & King, B. H. Autism spectrum disorder: A review. Jama 329, 157–168 (2023).
Kodak, T. & Piazza, C. C. Assessment and behavioral treatment of feeding and sleeping disorders in children with autism spectrum disorders. Child Adolesc Psychiatr Clin N Am. 17, 887–905, x-xi (2008).
Bjørklund, G. et al. Gastrointestinal alterations in autism spectrum disorder: What do we know? Neurosci. Biobehav Rev. 118, 111–120 (2020).
Identification Management principles of common comorbidities in children with autism spectrum disorder. Chin. J. Pediatr. 56, 174–178 (2018).
Chen, L. et al. Oxidative stress marker aberrations in children with autism spectrum disorder: A systematic review and meta-analysis of 87 studies (N = 9109). Transl Psychiatry 11, 15 (2021).
Adams, J. B. et al. Comprehensive nutritional and dietary intervention for autism spectrum disorder-a randomized, controlled 12-Month Trial. (2018). Nutrients.10.
Weitlauf, A. S., Goode, R. H. & Warren, Z. Do We have evidence for dietary and nutritional interventions for autism spectrum disorder? Pediatrics. 144 (2019).
Ranjan, S. & Nasser, J. A. Nutritional status of individuals with autism spectrum disorders: Do we know enough? Adv. Nutr. 6, 397–407 (2015).
Stewart, P. A. et al. Dietary supplementation in children with autism spectrum disorders: Common, insufficient, and excessive. J. Acad. Nutr. Diet. 115, 1237–1248 (2015).
LI, T. Principles of monitoring and intervention for micronutrient deficiency in children with autism spectrum disorder. Chin. J. Child. Health Care. 29, 1–4 (2021).
Esteban-Figuerola, P., Canals, J., Fernández-Cao, J. C. & Arija Val, V. Differences in food consumption and nutritional intake between children with autism spectrum disorders and typically developing children: A meta-analysis. Autism 23, 1079–1095 (2019).
Yan, X. H. Molecular nutrition: Basic understanding of the digestion, absorption, and metabolism of nutrients. J. Zhejiang Univ. Sci. B 16, 413–416 (2015).
Kanehisa, M. & Goto, S. KEGG: kyoto encyclopedia of genes and genomes. Nucleic Acids Res. 28, 27–30 (2000).
Kanehisa, M. Toward understanding the origin and evolution of cellular organisms. Protein Science: Publication Protein Soc. 28, 1947–1951 (2019).
Kanehisa, M., Furumichi, M., Sato, Y., Kawashima, M. & Ishiguro-Watanabe, M. KEGG for taxonomy-based analysis of pathways and genomes. Nucleic acids research. 51, D587–d92 (2023).
First, M. B. Diagnostic and statistical manual of mental disorders, 5th edition, and clinical utility. J Nerv Ment Dis. 201, 727-9 (2013).
A. G & C S. Developmental diagnosis. J. Nerv. Mental Disease 101, 24–30 (1945).
Schopler, E., Reichler, R. J., DeVellis, R. F. & Daly, K. Toward objective classification of childhood autism: Childhood Autism Rating Scale (CARS). J. Autism Dev. Disord. 10, 91–103 (1980).
Volkmar, F. R. et al. An evaluation of the autism behavior checklist. J. Autism Dev. Disord 18, 81–97 (1988).
Kanehisa, M. et al. KEGG for linking genomes to life and the environment. Nucleic Acids Res. 36, D480–D484 (2008).
Bandini, L. G. et al. Food selectivity in children with autism spectrum disorders and typically developing children. J. Pediatr. (2010). 157, 259 – 64.
Dhir, S., Tarasenko, M., Napoli, E. & Giulivi, C. Neurological, Psychiatric, and biochemical aspects of Thiamine Deficiency in children and adults. Front. Psychiatry 10, 207 (2019).
Valenzuela-Zamora, A. F., Ramírez-Valenzuela, D. G. & Ramos-Jiménez, A. Food selectivity and its implications associated with gastrointestinal disorders in children with autism spectrum disorders. Nutrients. 14 (2022).
Zhu, J. et al. Nutritional status and symptoms in preschool children with autism spectrum disorder: A two-Center comparative study in Chongqing and Hainan Province, China. Front. Pediatr. 8, 469 (2020).
Marí-Bauset, S., Llopis-González, A., Zazpe, I., Marí-Sanchis, A. & Morales Suárez-Varela, M. Comparison of nutritional status between children with autism spectrum disorder and typically developing children in the Mediterranean Region (Valencia, Spain). (2017). Autism.21,310 – 22.
Anwar, A. et al. Quantitation of plasma thiamine, related metabolites and plasma protein oxidative damage markers in children with autism spectrum disorder and healthy controls. Free Radic Res. 50, S85–s90 (2016).
Plaza-Diaz, J. et al. Dietary patterns, eating Behavior, and nutrient intakes of Spanish Preschool children with Autism Spectrum disorders. (2021). Nutrients. 13.
Mitchell, S. J. et al. Nicotinamide improves aspects of Healthspan, but not Lifespan, in mice. (2018). Cell Metab. 27, 667 –6.e4
Hwang, E. S. & Song, S. B. Possible adverse effects of High-Dose Nicotinamide: Mechanisms and Safety Assessment. (2020). Biomolecules. 10.
Ramos, R. J. et al. Vitamin B6 is essential for serine de novo biosynthesis. J. Inherit. Metab. Dis. 40, 883–891 (2017).
Cellini, B., Montioli, R., Oppici, E., Astegno, A. & Voltattorni, C. B. The chaperone role of the pyridoxal 5’-phosphate and its implications for rare diseases involving B6-dependent enzymes. (2014). Clin Biochem.47,158 – 65.
Li, Y. et al. The gut microbiota regulates autism-like behavior by mediating vitamin B(6) homeostasis in EphB6-deficient mice. Microbiome 8, 120 (2020).
Jennings, L., Basiri, R. & Amino Acids, B. Vitamins, and choline may independently and collaboratively influence the incidence and core symptoms of autism spectrum disorder. Nutrients. 14 (2022).
Adams, J. B., George, F. & Audhya, T. Abnormally high plasma levels of vitamin B6 in children with autism not taking supplements compared to controls not taking supplements. J. Altern. Complement. Med. 12, 59–63 (2006).
Alkhalidy, H., Abushaikha, A., Alnaser, K., Obeidat, M. D. & Al-Shami, I. Nutritional status of pre-school children and determinant factors of Autism: A case-control study. Front. Nutr. 8, 627011 (2021).
Sharp, W. G. et al. Dietary intake, nutrient status, and growth parameters in children with autism spectrum disorder and severe food selectivity: An electronic medical record review. J. Acad. Nutr. Diet. 118, 1943–1950 (2018).
Liu, X. et al. Correlation between Nutrition and symptoms: Nutritional survey of children with Autism Spectrum Disorder in Chongqing, China. (2016). Nutrients. 8.
Hyman S. L. et al. Nutrient intake from food in children with autism. Pediatrics 130 (Suppl 2), S145–S153 (2012).
Xie, J. et al. Phenanthrene induces autism-like behavior by promoting oxidative stress and mTOR pathway activation. Toxicology 461, 152910 (2021).
Guo, M. et al. Vitamin A and vitamin D deficiencies exacerbate symptoms in children with autism spectrum disorders. Nutr. Neurosci. 22, 637–647 (2019).
Tingyu, L. Advances and reflections on nutrient signalling pathways as biomarkers of autism spectrum disorders. Chin. J. Child. Health Care (2022) 30, 349 – 51.
Acknowledgements
None.
Funding
This study received financial support from the Wuxi Science and Technology Development Project (Grant No. N20192005) and the Open Fund Project of Jiangsu Population Society (Grant No. JSPA2019014).
Author information
Authors and Affiliations
Contributions
LL Z: Designed the study and drafted the manuscript.J J and YS J: Analyzed the data.Y W: Collected clinical data.L W: Conducted some experiments.RX Z: Performed neurocognitive assessments.All authors read and approved the final manuscript.
Corresponding author
Ethics declarations
Competing interests
The authors declare no competing interests.
Ethics approval and consent to participate
This work has been carried out in accordance with the Declaration of Helsinki (2000) of the World Medical Association. This study was approved by the Ethics Committee of Affiliated Children’s Hospital of Jiangnan University [WXCH2019-05-001]. Due to the retrospective analysis, the Ethics Committee of Affiliated Children’s Hospital of Jiangnan University waived the need for individual informed consent. All methods were carried out in accordance with relevant guidelines and regulations.
Consent for publication
Not applicable.
Additional information
Publisher’s note
Springer Nature remains neutral with regard to jurisdictional claims in published maps and institutional affiliations.
Rights and permissions
Open Access This article is licensed under a Creative Commons Attribution-NonCommercial-NoDerivatives 4.0 International License, which permits any non-commercial use, sharing, distribution and reproduction in any medium or format, as long as you give appropriate credit to the original author(s) and the source, provide a link to the Creative Commons licence, and indicate if you modified the licensed material. You do not have permission under this licence to share adapted material derived from this article or parts of it. The images or other third party material in this article are included in the article’s Creative Commons licence, unless indicated otherwise in a credit line to the material. If material is not included in the article’s Creative Commons licence and your intended use is not permitted by statutory regulation or exceeds the permitted use, you will need to obtain permission directly from the copyright holder. To view a copy of this licence, visit http://creativecommons.org/licenses/by-nc-nd/4.0/.
About this article
Cite this article
Zhang, L., Ji, J., Wang, Y. et al. Plasma vitamin levels and pathway analysis in boys with autism spectrum disorders. Sci Rep 14, 30344 (2024). https://doi.org/10.1038/s41598-024-82260-7
Received:
Accepted:
Published:
Version of record:
DOI: https://doi.org/10.1038/s41598-024-82260-7









