Abstract
Emotional appraisals of political stimuli (e.g., videos) have been shown to drive shared neural encoding, which correspond to shared, yet divisive, interpretations of such stimuli. However, mindfulness practice may entrain a form of emotion regulation that de-automatizes social biases, possibly through alteration of such neural mechanisms. The present study combined a naturalistic neuroimaging paradigm and a randomized controlled trial to examine the effects of short-term mindfulness training (MT) (n = 35) vs structurally equivalent Cognitive Reappraisal training (CT) (n = 37) on politically-situated emotions while evaluating the mechanistic role of prefrontal cortical neural synchrony. Participants underwent functional near-infrared spectroscopy (fNIRS) recording while viewing inflammatory partisan news clips and continuously rating their momentary discrete emotions. MT participants were more likely to respond with extreme levels of anger (odds ratio = 0.12, p < 0.001) and disgust (odds ratio = 0.08, p < 0.001) relative to CT participants. Neural synchrony-based analyses suggested that participants with extreme emotion reactions exhibited greater prefrontal cortical neural synchrony, but that this pattern was less prominent in participants receiving MT relative to CT (CT > MT; channel 1 ISC = 0.040, p = 0.030).
Similar content being viewed by others
Introduction
American citizens have shown an upward trend in political polarization, characterized in part by the perceived division of moral values along party lines1. This moralization of political identity has contributed to the escalation of negative emotions (e.g., fear, anger, and hatred) directed towards political outgroup members, which further reinforce partisan identities2 and strengthen intergroup partisan prejudices3. Although negative emotions are potent motivators of political intolerance, these emotions are nevertheless subject to regulation4,5. Accordingly, there has been a recent increase in research examining the regulation of political intergroup emotions6; however, interventions designed to promote emotion regulation have yielded mixed results7,8,9. The present study explored the effects of mindfulness—an emotion regulation skill rarely studied in the context of political polarization—on partisan intergroup emotions. Probing neural mechanisms associated with intergroup affect and information processing, we further examined if mindfulness altered prefrontal cortical neural synchrony while viewing inflammatory political videos.
How socio-political systems influence emotion
While Western psychology has historically conceptualized emotion as an individual experience, emerging theories with a basis in systems ecology suggest that emotion operates as a systems-level phenomenon, such that the meaning of emotion is dependent on social, cultural, and institutional contexts10,11,12. An implication of these theories is that the human brain interprets cultural signals (e.g., language and gestures) as a means of establishing shared understanding among multiple individuals. This mechanism enables emotions to be felt at the group level, thereby motivating important cooperative behaviors13. However, such “group-based emotions” can also serve as the basis for intergroup prejudices when emotions become negatively directed towards other social groups1,14.
How do humans navigate an environment of complex socio-political systems and high-stakes intergroup relations? Neuroimaging research suggests that humans have the capacity to establish a ‘generalized shared reality’15 through the alignment of internal, neural processes15,16,17. This brain-to-brain coupling—otherwise referred to as interpersonal neural synchrony—occurs when the neural activation of two or more individuals becomes temporally correlated, leading to the synchronization of ongoing perceptions and cognitions18. Notably, interpersonal neural synchrony is not limited to dyads, but rather appears to scale to the level of social groups19,20,21,22. In general, participants who are shown complex naturalistic stimuli (e.g., audiovisual films) will exhibit robust within-group synchrony23; however, when stimuli contain divisive political content, the meaning of the stimuli—and by extension, the trajectory of neural responses—becomes dependent on a participant’s political affiliations and ideologies20,21.
By way of illustration, Leong et al.21 observed that neural synchrony within the dorsomedial prefrontal cortex (dmPFC)—a region implicated in narrative interpretation—significantly differed between liberal and conservative participants who viewed the same political videos. This phenomenon, which Leong et al.21 refer to as “neural polarization”, likewise predicted attitude polarization, such that participants who were more neurally “in sync” with their political ingroup were more likely to shift their attitudes to match their own party’s position. While this evidence underscores that intergroup prejudices are powerfully influenced by emotional processes, it also suggests that partisan biases may be altered through the regulation of such emotions.
Interventions for intergroup emotion regulation
Evidence is clear that partisan information can provoke strong emotional reactions associated with threats to personal identity and moral ideology2; however, this picture is incomplete without considering emotion regulation in the scope of partisan politics24. Among emotion regulation techniques, cognitive reappraisal has been framed as a generally adaptive strategy in terms of affective, physiological, and social outcomes25. By definition, cognitive reappraisal involves the deliberate modulation of thoughts26, and in a political context, may manifest as rationalization of the status quo27, minimization of perceived impact, or reframing of events as meaning-making opportunities28. While research suggests that cognitive reappraisal is a common and effective practice for the management of chronic political stress8, cognitive reappraisal is not without its limitations. Reappraisal requires deliberate manipulation of thoughts, which—in terms of cognitive operations—is relatively time-consuming and difficult to deploy in the midst of a distressing event29. Consequently, the ability to engage in reappraisal may fail in high-arousal contexts30, and even when effective, may fail to address identity-based motivations that sustain intergroup conflict6 or otherwise demotivate constructive political engagement.7,8 Notably, very few studies have examined political action as a form of problem-focused emotion regulation. Initial evidence suggests that feelings of anger may galvanize collective action31 or in contrast, promote avoidance of outgroup partisans32, depending on the target of one’s anger. These limitations have invited the investigation of alternative mental practices to ameliorate intergroup conflict.
Mindfulness, a concept with roots in Buddhism, has been defined as a mental state or mental quality of attention to present-moment emotions, thoughts, and sensations with an orientation of non-judgemental acceptance33. According to an innatist perspective34, individuals vary in their natural capacity for mindfulness33. Yet mindfulness skills can be enhanced through standardized secular training programs (spanning days or weeks in length), which guide participants through formal mindfulness practices35. To date, very few studies have tested the effects of mindfulness-based interventions on political intergroup emotions36,37,38,39. One such study, situated in the Israeli-Palestinian conflict, observed that mindfulness training increased support for conciliatory policies, and this effect was uniquely attributed to the effect of mindfulness on reducing negative emotions and perceptions of threat36. Similar findings were reported in the context of a highly polarized U.K. electorate, with results showing that negative attitudes about partisan rivals were reduced following mindfulness training37. While initial findings are promising, this line of research is still nascent, and it remains unclear if and how mindfulness targets emotion-related processes implicated in intergroup prejudice.
Mindfulness and intergroup emotions
Over three decades of research has documented the impact of mindfulness40, with research predominantly focusing on the application of secular mindfulness practices for promoting wellbeing at the individual level. However, contemplative theories have long acknowledged the value of mindfulness for interpersonal purposes41, a position which has been corroborated by emerging empirical research42,43,44. Initial studies suggest that trait mindfulness and mindfulness-based practices may promote compassionate behavior, reduce aggressive retaliation45, and may even attenuate intergroup bias46,47,48. While at first glance it may seem unclear why the intrapersonal benefits of mindfulness would extend to intergroup relations, these effects may be explained by interrogating well-known mechanisms of mindfulness-based practices.
Unlike other forms of emotion regulation that aim to alter the expression or duration of emotion, mindfulness indirectly supports emotional functioning by fostering meta-awareness, defined as the ability to recognize the experience of having an emotional reaction (among other mental events) as it occurs in real time49. Meta-cognitive models of mindfulness posit that meta-awareness supports emotion regulation through a number of possible pathways50,51,52. For example, greater awareness of emotional experiences may operate as a form of exposure, thereby reducing the intensity of emotions through inhibitory learning53. Moreover, recognizing emotions as they initially arise can disrupt habitual cognitive elaborations (i.e., rumination, cognitive distortions) that tend to perpetuate and amplify emotional distress54, and absent such habitual responses, may enable more flexible selection of emotion regulation strategies55,56. A notable consequence of such meta-awareness is that emotional states may be observed with a sense of psychological distance—otherwise referred to as disidentification—such that emotions no longer feel objectively true or experientially fused with one’s sense of self57. In the context of partisan triggers, meta-awareness and disidentification may function synergistically to disrupt habitual, biased responses (i.e., biased perceptions of partisan others) and mitigate perceived threat to personal ideologies.
This meta-cognitive framework receives support from converging neuroimaging research, although very few neuroimaging studies have tested these theories in the social domain (e.g., Kirk et al.58; Laneri et al.59; Quaglia et al.60). Meta-awareness, which theoretically extends from improvements in executive functioning, has been linked to enhanced activity in regions of the frontoparietal control network (FPCN) (e.g., dorsal and ventral portions of the lateral prefrontal cortex) following mindfulness training50,61. Such improvements in executive functioning are thought to stabilize present-moment attention, and contribute to the suppression of default mode network (DMN) regions (e.g., dorsomedial and ventromedial PFC, posterior cingulate), broadly associated with functions such as self-reflection, narrative processing, and interpretation of social content62,63. In the context of mindfulness, such DMN down-regulation has been associated with disidentification from experience; however, this mechanism may also have unexplored implications for interpersonal neural synchrony. Evidence shows that interpersonal neural synchrony is commonly localized to the core regions of the DMN, namely dorsal and ventromedial PFC regions, and is especially prominent when naturalistic stimuli evoke negative emotions23,64. Emerging theories suggest that the DMN may play a crucial role in synchronizing mental states, given its dual involvement in the integration of self knowledge and the interpretation of ongoing social cues17. Whether or not mindfulness training can alter this neural mechanism has yet to be experimentally tested.
The present study: rationale for an interdisciplinary approach
The current project adopts a research approach described by Wilson-Mendenhall and Holmes65 as use-inspired basic research, which aspires to the complementary integration of basic and applied research to simultaneously deepen affective science while advancing positive social change. In alignment with this framework, we pursued a research paradigm poised to clarify the mechanisms of partisan intergroup emotions while investigating the applied use of validated interventions to address such emotions. This overarching goal was accomplished through the synthesis of a neural synchrony approach, achieved using functional near-infrared spectroscopy (fNIRS), and a randomized controlled trial comparing brief mindfulness training against cognitive reappraisal training. Specifically, we posed three mutually informative research questions. First, we sought to examine how discrete emotions were associated with neural representations of politically partisan video content. Second, we aimed to determine if negative emotions, which have been linked to partisan biases, could be reduced by training in mindfulness versus cognitive reappraisal. Third, we sought to determine whether neural synchrony was differentially expressed by participants who completed either mindfulness training or cognitive reappraisal training. Finally, as an ancillary aim, we explored whether mindfulness training compared to cognitive reappraisal training influenced biased attitudes about political outgroup members.
Participants, who were liberal-leaning and Democratic voting community adults, were randomized to receive one of two validated 14-day stress reduction programs: Mindfulness (n = 35) or a structurally equivalent Active Coping program (n = 37) emphasizing cognitive reappraisal66. Prior to randomization and immediately following training, participants completed a laboratory session during which neuroimaging data were collected via functional near-infrared spectroscopy (fNIRS), a non-invasive neuroimaging device designed to record brain activity as blood-oxygen-level dependent (BOLD) signal. FNIRS acquisition took place while participants completed a novel, naturalistic viewing paradigm, during which participants viewed a series of politically partisan videos and rated their momentary emotional reactivity across five emotions: joy, anger, fear, disgust, and sadness. From this data, we were able to infer neural representations via intersubject correlation and intersubject representational similarity analysis, and evaluate the interrelations between such neural signals and emotions, as well as neural and subjective outcomes of mindfulness training.
Results
Neural responses to partisan content reflect discrete emotion states
To address the first aim of the study, namely, to examine how neural representations are correlated with discrete emotion reactions to politically partisan content, a series of intersubject representational similarity analyses (IS-RSAs) were computed to identify regional sources of neural signal that contributed to shared emotion response to political videos, measured here as anger, disgust, sadness, fear, and joy reactivity. First, subject-by-subject intersubject similarity matrices were constructed for self-reported anger reactivity and fNIRS time courses across each of 20 fNIRS channels, distributed across regions of the prefrontal cortex (PFC). A paired-sample t-test and scatterplot examination indicated that an Anna Karenina (AnnaK) similarity model was a superior fit for structuring the data, such that participants with relatively high anger scores exhibited greater time course neural similarity while those with relatively low anger scores exhibited greater temporal idiosyncrasy. The correlation coefficients between the upper triangles of the brain and behavior similarity matrices were tested non-parametrically (5000 permutations; p < 0.05). This procedure was repeated for all discrete emotion scores. Using the AnnaK similarity model, IS-RSA identified a significant relationship between anger reactivity and intersubject neural synchrony in the bilateral ventrolateral PFC (channel 4, r = 0.09, p = 0.041; channel 19, r = 0.12, p = 0.013). A significant relationship between disgust reactivity and intersubject neural synchrony was identified within the left ventromedial PFC (channel 11, r = 0.082, p = 0.047) and the right ventrolateral PFC (channel 19, r = 0.10, p = 0.039). Sadness was also associated with intersubject neural synchrony within the left ventromedial PFC (channel 11, r = 0.09, p = 0.02). Significant brain-behavior relations for anger, disgust, and sadness are displayed in Fig. 1. The AnnaK similarity model also revealed a negative relation between joy similarity scores and neural time signatures within the right vmPFC (channel 15, r = − 0.099, p = 0.017), suggesting that participants who reacted with relatively greater joy showed greater temporal idiosyncrasy. Permutation tests did not reveal any relationships between fear and neural similarity within any regions.
IS-RSA results collapsed across both groups at post-training using the AnnaK similarity model. Anger scores corresponded to bilateral ventrolateral PFC synchrony (channel 4, r = 0.09, p = 0.041; channel 19, r = 0.12, p = 0.013). Disgust scores corresponded to synchrony within left ventromedial PFC (channel 11, r = 0.082, p = 0.047) and the right ventrolateral PFC (channel 19, r = 0.10, p = 0.039). Sadness scores corresponded to synchrony within the left ventromedial PFC (channel 11, r = 0.10, p = 0.02). Brain images were rendered using Surf Ice software.
Impact of mindfulness versus cognitive reappraisal training on emotion reactivity
Addressing the second aim of the study, we examined the effect of mindfulness training relative to cognitive reappraisal training on negative emotion reactivity. We likewise investigated the differential effects of the training programs on all discrete emotions. Emotional reactions to the stimuli were skewed toward greater intensity for all emotions except fear, with numerous participants showing such extreme reactions as zero joy and the highest possible level of sadness, anger, and disgust (see Fig. 2).
The results of Zero-inflated Gaussian mixed models indicated that mindfulness training led to overall greater joy (b = 0.23, p = 0.028), however it also increased the odds of selecting zero joy (odds ratio = 0.16, p < 0.001). Similarly, MT participants were significantly more likely to select the highest values of anger (odds ratio = 0.12, p < 0.001) and disgust (odds ratio = 0.08, p < 0.001). MT did not affect less extreme anger and disgust responses (p’s > 0.065). There was no effect on either extreme (p = 0.238) or less extreme sadness responses (p = 0.606) and no effect on fear (p = 0.063). Detailed model results are presented in Tables 1 and 2.
Comparing neural synchrony between mindfulness and cognitive reappraisal
Between-group intersubject correlation analysis
Addressing the third aim, which sought to determine if emotion-linked neural synchrony (identified by IS-RSA) varied between participants who received mindfulness and those who received cognitive reappraisal training, an intersubject correlation (ISC) analysis was conducted. ISC was computed using fNIRS signals recorded during the post-training naturalistic viewing paradigm. Initial similarity analyses detected within-group neural synchrony within 25–95% of analyzed channels. A leave-one-out approach was used to estimate individual-level ISC values for each channel. Between-group comparisons were tested using subject-wise permutations over 5000 iterations.67 This approach identified channels with significant within- versus between-group synchrony while controlling for false positive rate (FPR). Two-sample ISC analysis indicated between-group differences in neural synchrony localized to the left dorsomedial PFC (channel 1; ISC = 0.040, p = 0.030). Relative to mindfulness participants, control participants exhibited greater neural synchrony within the dorsolateral PFC, a region associated with socio-emotional interpretation, when viewing emotionally provocative political videos (see Fig. 3). Complete statistical results are reported in Table S1.
Within-group analysis of brain-behavior relationships
To examine whether mindfulness training and cognitive reappraisal training differentially influenced the mechanisms by which emotions relate to neural encoding of politically partisan material, intersubject representational similarity analysis (IS-RSA) was repeated using the above protocol with the modification that participants receiving mindfulness training (MT) and cognitive reappraisal training (CT) were analyzed separately. A complete report of RSA results is available in Tables S2–S4. Notably, dividing analysis by group increased the magnitude of brain-behavior relationships across all emotion categories. Moreover, MT and CT exhibited different patterns of neural similarity in terms of brain-behavioral similarity structure. For example, CT participants showed a significant relationship between anger reactivity and right ventrolateral PFC synchrony (Channel 19, r = 0.157, p = 0.047), with high anger participants showing greatest neural similarity and low anger participants showing greatest idiosyncrasy (i.e., an Anna Karenina similarity structure). In contrast, MT participants showed a relationship between anger and neural similarity within the left ventromedial PFC (Channel 5, r = 0.10, p = 0.037; Channel 6, r = 0.11, p = 0.031) such that low anger participants were neurally synchronized with other low anger participants and high anger participants were neurally synchronized with other high anger participants (i.e., a Nearest Neighbor Similarity structure). This pattern of group-based neural similarity was found across all measured discrete emotions, with the exception of fear, which was not significantly related to neural synchrony for either group. IS-RSA results specific to anger and disgust reactivity are illustrated in Fig. 4, and the complete report of IS-RSA findings by training group are displayed in Table 3.
IS-RSA within-group results specific to anger and disgust reactivity. Scatterplots show R values for each channel calculated using an AnnaK and NN similarity structure, indicating that AnnaK similarity structure was a superior fit to the CT data and NN similarity structure was a superior fit to the MT data. CT participants showed a significant relationship between anger reactivity and right vlPFC synchrony (Channel 19, r = 0.157, p = 0.047), and disgust and neural similarity within the right vlPFC and vmPFC (Channel 12, r = 0.152, p = 0.033; Channel 13, r = 0.197, p = 0.021; Channel 19, r = 0.223, p = 0.0034). MT participants showed a relationship between anger and neural similarity within the left ventromedial PFC (Channel 5, r = 0.10, p = 0.037; Channel 6, r = 0.11, p = 0.031), and disgust and neural similarity within the vmPFC (Channel 12, r = 0.115, p = 0.021). Brain images were rendered using Surf Ice software. Scatterplots were rendered via matplotlib’s pyplot interface.
Impact of training on explicit intergroup attitudes
To explore whether the participants in the two training conditions differed in their attitudes about political outgroup members, we used the Mann Whitney U test to disclose whether MT and CT participants exhibited different levels of affective prejudice and social distancing to both ingroup (Democrats) and outgroup members (Republicans). The non-parametric test was selected because the data were not normally distributed. Instead of observed values, the Mann Whitney U test uses observation ranks to evaluate whether two samples come from the same or different populations. We did not find statistically significant differences between CT and MT groups in any of intergroup attitudes, measured as affective prejudice towards Democrats (MedianMT = 77.5, MedianCT = 70.0) and Republicans (MedianMT = 26.0, MedianCT = 21.0), and social distancing towards Democrats (MedianMT = 92.17, MedianCT = 87.00) and Republicans (MedianMT = 27.17, MedianCT = 40.00) (p’s > 0.166). [lower scores indicate greater affective prejudice and greater desire for social distance]. In addition to testing for group differences, we tested for equivalence using the two one-sided tests (TOST)68. Equivalence testing provides support for the absence of a meaningful effect by testing the observed effect size against a prespecified smallest effect size of interest (SESOI) as a null hypothesis instead of zero (no effect), as in traditional significance tests. To perform TOST, we set the SESOI to r = 0.3 [rank-biserial correlation] which corresponds to a small to medium effect size benchmark recommended by In and Lee68. The results showed that affective prejudice and social distance to both Democrats and Republicans yielded a non-equivalent result, meaning that even though a significant effect was not observed, we cannot reject the hypothesis that the true effect is at least as large as r = 0.3 (p’s > 0.141).
Discussion
The present study offers a novel approach to testing the effectiveness of mindfulness as a theoretically and empirically supported means for reducing political intergroup biases while probing the mechanisms through which such biases may be attenuated. Results reported here suggest that when viewing inflammatory partisan media, mindfulness training may amplify negative emotions such as anger and disgust while supporting coping through increased positive appraisal. Divergent emotional responses between groups may reflect training-based changes in the neural encoding of videos, as suggested by training-based differences in neural synchrony. Herein, we summarize our findings emerging from this approach and elaborate upon its strengths and weaknesses. We likewise reflect upon opportunities to advance this research through interdisciplinary methodologies, and critically examine mindfulness training as a tool to buffer the impact of political polarization.
Intersubject neural synchrony is modified by discrete emotions
We conducted a series of intersubject representational similarity analyses (IS-RSAs) to evaluate how discrete emotions, particularly negative emotions, were associated with neural synchrony among participants. In other words, we sought to understand how emotions contributed to shared neural encoding of politically partisan news clips, a phenomenon that has previously been associated with polarized attitudes and moral-emotional appraisals19,20,21,69. Analysis of post-training fNIRS recordings suggested that negative emotions were associated with prefrontal cortical neural synchrony. Anger reactivity was associated with neural synchrony within the ventrolateral PFC, disgust was associated with ventrolateral PFC and ventromedial PFC synchrony, and sadness was associated with ventromedial PFC synchrony. These findings broadly align with prior research linking the ventromedial PFC (vmPFC) and ventrolateral PFC (vlPFC) to emotion representation and regulation70,71,72,73.
The vmPFC is centrally involved in the generation of affective meaning, and has been mechanistically linked to the construction of interpersonal anger and disgust74,75, as well as perpetuation of socio-cognitive biases74. Similarly, our research suggests that the vmPFC is involved in encoding emotional responses to politically partisan videos, which may in turn shape how partisans collectively interpret such information. Like the vmPFC, the vlPFC is associated with emotion generation and regulation73 and research demonstrates that the right and left vlPFC may be differentially linked to action- and avoidance-based anger coping strategies76,77. For example, right vlPFC stimulation has been shown to attenuate negative emotions and aggression provoked by frustration and social exclusion77, but in situations when individuals feel unable to express anger, right vlPFC activity may actually enhance anger rumination as an avoidance-based coping method76. Such motivational nuances have important implications for anger regulation in socio-political contexts and additional research is needed to clarify the biological basis of ecologically specific emotion processes.
Performance of AnnaK behavioral similarity models suggested that participants who responded with relatively high levels of anger, disgust, and sadness showed greater neural similarity but that those with relatively lower levels of these emotions were neurally idiosyncratic, exhibiting neural signatures dissimilar from either high-emotion or low-emotion participants78. The opposite pattern was observed for joy, such that participants scoring higher in joy showed greater neural idiosyncrasy. These findings align with previous research on the emotional basis of neural synchrony, which have shown negative, high arousal stimuli to reliably synchronize the time courses of neural activity in higher-level evaluative regions (e.g., lateral and medial PFC areas)64. This phenomenon has been attributed to a fight-or-flight response to threat in which negative emotions effectively limit cognitive and behavioral repertoires79,80. Based on prior neuroimaging evidence64, it is plausible that negative emotions also confine neural responses in ways that are prototypical of one’s social group, particularly when it feels like the moral ideologies of one’s group are under attack21.
Effects of mindfulness training versus cognitive reappraisal
Discrete emotion reactivity
As anticipated, participants across both groups and time points reacted to politically partisan videos with strong, negatively valenced emotions. Although mindfulness training is predominantly associated with the downregulation of negative emotion81, our findings suggest that short-term mindfulness training may increase the likelihood of responding to videos with extreme levels of anger and disgust. Mindfulness training is intended to heighten awareness of thoughts and feelings—negative and positive—without feeling the need to control them35. Accordingly, mindfulness training may actually enhance negative emotions in complex, real-life scenarios81, possibly through developing awareness of emotions that are habitually suppressed. Other research proposes that mindfulness may heighten negative emotions in moral contexts82,83, and may specifically increase moral outrage when experiencing vicarious injustice83. Due to the moralized nature of partisan politics, it is possible that mindfulness training similarly enhanced moral-emotional reactivity of participants in the present study. Future research may explore if negative emotions, when amplified through mindfulness, motivate prosocial behaviors such as civic engagement or antisocial behaviors such as intergroup aggression.
Another intriguing possibility is that mindfulness training enhanced emotion reactivity without necessarily increasing biased intergroup attitudes. While heightened emotion reactivity is an antecedent to intergroup bias, the non-judgemental skills central to mindfulness may enable triggered individuals to identify and accept negative emotions without placing judgment on partisan others47. The current study did not identify significant differences between the mindfulness and cognitive reappraisal training group for measures of affective prejudice or social distancing towards ingroup or outgroup members. Nevertheless, equivalence tests suggested that differences between groups may yet be detected with greater power. Comparison of medians revealed mixed findings, with the mindfulness group reporting greater affiliation with ingroup partisans (expressed as low affective prejudice and social distancing), lower affective prejudice towards outgroup partisans, and greater desire for social distancing from outgroup partisans. Mixed findings may reflect the need to develop and test a multidimensional construct of intergroup bias, which will serve as a valuable next step for future research to determine if and how emotion regulation practices such as mindfulness can support political engagement without contributing to polarization.
Mindfulness training also increased positive emotion (i.e., joy reactivity) towards experimental videos, despite the evidence indicating that these videos were unambiguously negative. Previous research offers possible explanations for why mindfulness training may enable positive appraisals of stressful events56. Converging self-report and behavioral evidence suggests that mindfulness training may enhance cognitive flexibility needed to selectively disengage from negative appraisals55,84,85. In turn, such de-automatization affords greater capacity to observe stressful events with heightened clarity. In the case of triggering political events, an individual may realize that their distress signifies a commitment to their ideological values, and that these values offer a sense of personal meaning.
Training-related differences in neural synchrony
ISC analysis revealed significant group differences in neural synchrony when viewing partisan videos such that within-group ISC exceeded between-group ISC within the left dorsolateral prefrontal cortex (dlPFC). In this case, divergent dlPFC synchrony was attributed to greater synchrony within the CT group relative to the MT group. Neural synchrony studies have repeatedly linked political polarization to the dmPFC19,20,21,69, and early research suggests that dmPFC synchrony may be reduced by interventions tailored to increase open-mindedness86. As part of the mentalization network17, the dmPFC is a plausible neural target for intervention; however, our findings suggest that the dlPFC may alternatively mediate intervention-related perceptual changes. Situated within the frontoparietal control network87, the dlPFC is well-known for its role in facilitating goal-oriented cognitions and voluntary emotion regulation. While the dlPFC is considered ‘domain-general’, it has been associated with socially-specific functions such as moral decision-making and shared interpretations of socio-emotional stimuli88,89,90, and multiple studies have observed dlPFC synchronization in intergroup contexts91,92.
Notably, dlPFC synchrony has been implicated in both supporting and overriding intergroup biases. For example, the role of dlPFC synchrony in intergroup hostility has previously been documented in lab-based simulations of intergroup conflict and competition91,92, with studies suggesting that alignment of dlPFC activity may facilitate leader–follower behavioral coordination92, and may underlie support for hostile intergroup action91. However, when motivated to overcome biases, dlPFC engagement may instead override implicit prejudices in the service of egalitarian goals93. In contrast to previous research linking perspective-taking and open-mindedness interventions to the disruption of dmPFC synchrony86,93, the present study suggests that interventions designed to enhance self-regulation via cognitive manipulation (e.g., CT) may upregulate dlPFC synchrony, possibly as a facilitator of affiliative goals. Although the current experimental design limits capacity to untangle the overlapping effects of MT and CT, future research incorporating a passive control condition may clarify whether or not CT and MT comparably reduce dmPFC synchrony and its associated behavioral outcomes.
When examining how high arousal negative emotions—specifically, anger and disgust—were associated with neural synchrony, the CT group exhibited right lateralized vmPFC and vlPFC neural synchrony that was related to high levels of emotion, while low levels of emotion did not significantly influence shared neural activity (i.e., fitting and Anna Karenina structure). Conversely, MT participants deviated from this pattern. Anger and disgust-related neural synchrony were localized to the left and midline vmPFC, and such synchrony was equally distributed across the spectrum of emotion intensity (i.e., fitting a Nearest Neighbor structure). These group-related differences offer insight on the possible mechanisms underlying MT’s effect on extreme emotional responses motivated by political identity. While negative high arousal emotions typically enforce shared neural encoding, we speculatively suggest that bringing mindful awareness to such situations may modulate the impact of emotion on neural encoding regardless of the degree of emotion intensity.
Limitations and future directions
The present study used an ecologically-valid viewing paradigm to model the kinds of emotionally provocative content featured on social media platforms94. As anticipated, participants—across both laboratory sessions and both training groups—overwhelmingly reported negative emotions towards these videos. While this paradigm approximates how partisan information is exchanged online, we did not measure participants’ prior exposure to politically polarizing media, a factor which may influence affective and ideological rigidity95,96,97. Recognizing the complexities inherent to political intergroup emotions, we advocate for further advancement of naturalistic approaches that balance realism with experimental control. One promising approach includes the use of video-chat platforms (i.e., Zoom) for hosting face-to-face cross-ideological conversations between opposing partisans98. Future research may continue to elucidate the nature of politically situated emotions and their implications for intergroup behavior by integrating video-chat with methodologies such as those reported from the current study. Indeed, functional near-infrared spectroscopy (fNIRS) may be suitably adapted for face-to-face conversations and other naturalistic settings given its portability and high motion tolerance99.
As previously mentioned, this study was limited in its abilities to measure the breadth and depth of subjective experiences pertaining to political polarization, as well as the complex motivations guiding intergroup perceptions and behaviors. Here, we measured subjective experiences via validated self-report measures of intergroup emotions and attitudes; however, such methods impose theoretical assumptions about the nature of subjective experiences. Our naturalistic imaging paradigm included two conditions: an experimental condition with emotionally evocative and politically contextualized videos and a control condition, comprising emotionally and politically neutral videos. However, this experimental design lacked emotionally charged yet politically neutral videos, limiting the ability to conclude that participants’ emotional responses were specific to political contexts. Thus, we cannot conclusively rule out that participants responded to a different salient feature of experimental videos, such as moral language or social conflict. Naturalistic neuroimaging has long grappled with the psychometric challenge of balancing experimental control against ecological validity100, given that mental representations of ecological interest arise from multidimensional, socially-specific contexts101. We suggest that future research continue to interrogate naturalistic designs by carefully modeling stimuli and observer characteristics with sensitivity to naturally emerging social conditions100.
Alternatively, transdisciplinary methods, described as a synthesis of qualitative and empirical approaches, may further clarify the situated nature of emotions in politically-salient contexts. A central principle of transdisciplinary mixed methods is that complicated phenomena cannot be fully understood through reductionist approaches but rather necessitate inquiry of the meaning individuals attribute to such phenomena102. Reactions to political events are in part shaped by partisan identities, but they are also shaped by racial/ethnic identities103,104,105, beliefs about equity and freedom106,107, and moral narratives communicated via mass media108. By interviewing participants about their identities, belief systems, and their understandings of political media, we may begin to grasp how constellations of meaning arise from biopsychosocial dimensions of emotion.
Limitations related to the intervention programs, featuring mindfulness-based and cognitive reappraisal-based training, should also be considered. Researchers theorize that the mechanisms of mindfulness and cognitive reappraisal are not mutually exclusive109,110, and studies directly comparing mindfulness and cognitive reappraisal have reported their equal impact on managing negative emotions111,112. These similarities pose a problem for the present study, which did not include a passive control condition (e.g., waitlist control) due to funding limitations. Thus, the mechanisms and salutary effects of mindfulness and cognitive reappraisal may be difficult to disentangle absent comparison against a passive control.
The effects of the cognitive reappraisal program were likewise confounded by a multicomponent curriculum, which included four ‘problem-solving’ lessons (in experimental contrast to the mindfulness acceptance-based coping lessons). The addition of adjuvant strategies invariably introduces noise, and may have unanticipated impact given that problem-focused strategies may be more adaptive than cognitive reappraisal in situations where stress is relatively controllable113. To date, scarce research has examined action-oriented regulation of politically situated emotions, with such studies predominantly focusing on emotion regulation as an antecedent to political action. For example, Green et al.31 found that individuals who engaged in strategies similar to cognitive reappraisal were less likely to participate in solidarity-based collective action relative to those who immersed themselves in feelings of moral outrage. Further, Wolak and Sokhey32 found that feelings of anger may increase political engagement within one’s group, but decrease willingness to engage in cross-partisan dialogue. This initial work suggests that interventions designed to promote constructive political action may be more efficacious when paired with appropriate emotion regulation strategies.
Another limitation of our study design concerns the absence of emotion recovery metrics, previously measured as the change in emotion levels during an emotion challenge task, immediately following the task, and following a period of brief rest114. Prior research demonstrates that while mindfulness training may not immediately attenuate emotion reactivity115 or may even enhance emotion response114, mindfulness may confer its regulatory benefits in the form of enhanced emotional recovery. Whether or not such emotion recovery extends to political contexts cannot be ascertained in the present study. Relatedly, our study did not include repeated measures of ingroup or outgroup attitudes, which were excluded from the baseline survey in order to conceal the genuine objective of the study: to test the effects of training political intergroup emotions and attitudes. This decision was intended to reduce bias associated with demand characteristics42; however, it precluded us from evaluating within-person change over time and intervention effects. While it is possible that both training programs reduced outgroup prejudices, it is equally possible that neither training program conferred prosocial benefits, as suggested by the relatively high levels of post-intervention negative outgroup attitudes. Scholars continue to debate the extent to which mindfulness training can promote prosocial behavior42,43,116, and it is possible that such effects are only detectable at higher doses of mindfulness training, as illustrated by studies reporting reduced intergroup prejudice following 8 weeks of MBSR compared to a passive control condition36,37.
The present study was exploratory in nature with little precedent for hypothesis testing or sample size estimation. Thus, conclusions drawn from this study are limited by a small sample size, which was based on power estimations to detect between-group effects in neural synchrony. Finally, the study design may also present limitations to generalizability, given that the study population included only Democratic-voting, liberal-leaning participants in order to limit sources of variability attributed to party-based ideological differences. Replication with diverse political orientations is warranted given that research has shown partisan groups to differ in ideologically-motivated information processing117 and patterns of dmPFC neural synchrony19,20. Such replication work will critically inform whether emotion regulation interventions are equally effective for individuals across the political spectrum39, or instead require tailoring to diverse political identities.
Conclusion
This project was motivated to clarify the biopsychosocial mechanisms contributing to political polarization while evaluating the potential for mindfulness training to target partisan intergroup emotions and biases. Animus between U.S. Republican and Democratic partisans continues to escalate during a historical moment in which bipartisan action is increasingly critical for overcoming social, ecological, and financial crises (e.g., novel pandemics, climate change, global conflict, etc.). Political polarization however, undermines political power by decreasing trust in and compliance with public authorities118, while increasing preference for antidemocratic policies119 and avoidance of intergroup cooperation120,121. This problem is complex, and cannot be fully understood or rectified using the research reported here. However, it is our hope that this research will open the door for continued interdisciplinary investigations to creatively examine and resolve complex social issues. Ultimately this line of research could inform interventions aimed at reducing political polarization by, for example, integrating mindfulness or reappraisal training into civic education or conflict resolution programs.
Methods
Participants
The study design and hypotheses were pre-registered with clinical trials identifier NCT04190030 (19/07/2021) and OSF registries (https://osf.io/htdc7). All study stimuli and procedures were approved by the Virginia Commonwealth University Institutional Review Board and were performed in accordance with the institute’s guidelines and regulations. Data collection took place between July 2021 and June 2022. Given the novelty of this line of research, power for sample size determination was based on analyses of the proposed neural outcomes. Recent fNIRS research suggests that sample sizes of 60–75 are powered to detect two-group differences in PFC neural synchrony19,20.
Participants were 72 healthy community adults recruited from the Richmond, Virginia area (see Table 4 for baseline characteristics). Prospective participants were screened for inclusion via an internet-administered survey. Inclusion criteria included proficiency in the English language, Democrat candidate-voting status, smartphone ownership (iOS or Android OS), absence of a new (non-acute) diagnosis of a medical or psychiatric condition within the last 3 months, and limited prior exposure to cognitive- or mindfulness-based training (practice < 2 times per week within the past 3 months). Prospective participants were excluded if they reported substance abuse/dependence or baseline stress levels < 5 on the 4-item Perceived Stress Scale (PSS)122. All participants provided written informed consent prior to enrollment in the study.
Prior to data collection, condition randomization was conducted using block randomization (https://www.randomizer.org/) by a research team member who did not interact with any participant (KWB). Program allocations were written and stored in separate sealed envelopes labeled with a study ID number only. Program assignment was revealed to the participant in the first lab session following pre-training data acquisition, during which an undergraduate research assistant (RA) or graduate research assistant (GRA) opened the appropriate envelope. Program assignment was then recorded in an encoded dataform and the envelope was destroyed. See Fig. 5 for a CONSORT flowchart.
To introduce participants to their training program and to equalize training expectancies, each participant viewed the same 5-min introductory video explaining how to prepare for and what to expect in their training program. Immediately after viewing the video, each participant completed a brief self-report survey of training expectancies, the Credibility Expectancy Questionnaire (CEQ; Devilly and Borkovec123). Preliminary analysis determined that MT and CT groups did not differ significantly in credibility/expectancy, t(70) = 0.542, p = 0.589.
Procedure
Following successful enrollment, participants completed a baseline lab visit, including study orientation, provision of informed consent, and completion of self-report questionnaires that included demographic characteristics, as well as measures of dispositional differences in emotion regulation. Such measures included the Affective Styles questionnaire124, the Emotion Regulation Goals scale125, the Beliefs about Emotions scale126, and the Anger-related Reaction and Goals Inventory127. As the MT and CT groups did not differ significantly on any of the demographic characteristics (see Table 4), as well as these baseline measures, they were excluded from models to preserve statistical power. A detailed description of the dispositional emotion regulation measures and the results of group equivalency testing are provided in the Supplemental Materials available in the study’s OSF repository. Hemodynamic responses were then recorded via fNIRS while participants underwent a naturalistic viewing task. Upon completing all baseline measures, participants were randomized to one of two structurally equivalent 14-day digital interventions (MT or CT). Following training completion (< 3 days after completing final lesson), participants attended a second lab session, during which they again underwent continuous fNIRS recording to assess cortical hemodynamic responses during a naturalistic viewing paradigm. Finally, participants completed a survey packet through which explicit attitudes towards political outgroup members were assessed.
Naturalistic viewing paradigm
The present study adapted an ecologically valid viewing paradigm7 in which participants viewed a series of inflammatory political partisan videos selected from publically available video streaming sources. All videos were prepared and validated for emotionality using the following procedure. Video editing software was used to edit video clips to a duration of 1–3 min and conceal logos shown on the screen (given the potential for network or product logos to bias participant responses). A total of 10 experimental and 10 control video stimuli were prepared and examined for validity. Stimulus validation was assessed using a sample of 203 Democratic-voting U.S. citizens recruited through Prolific (prolific.co). Participants passively viewed and rated all video clips for emotionality (i.e., arousal, pleasure) using a sliding scale (0–100). Exploratory factor analyses (EFA) were conducted to identify videos fitting a two-factor structure (i.e., experimental and control). Prior to analyses, variables were checked for univariate and multivariate normality and outliers of ± 3 SD were winsorized. Two EFAs were performed using a Promax rotation including 12 items to assess the structure of emotional arousal and 12 items to assess the structure of emotional (dis)pleasure. Inspection of scree plots and factor loadings suggested a two factor structure with 8 items loading meaningfully onto each factor (eigenvalues exceeding 0.50) (DeVellis and Thorpe128). Thus, we identified 8 experimental and 8 control videos; half of which were presented at the pre-training lab and the other half were presented at follow-up.
The naturalistic viewing task consisted of four emotionally neutral and four emotionally negative video clips (approximately 1–3 min in length), which were block-order randomized (at the participant-level) and presented to participants sequentially. Audio was delivered via headphones. Immediately following each video, participants rated emotion reactivity across five emotions—joy, anger, fear, disgust, sadness—via a digital affective slider (scaled 0–100)129. To test the specificity of the stimuli on emotional reactions and to reduce pre-post-training carryover effects, the political video stimuli were embedded in a brief series of neutral video stimuli. Video order randomization, stimuli delivery and behavioral data acquisition were completed using PsychoPy® software130.
Functional near-infrared spectroscopy (fNIRS)
Neural responses to video stimuli were assessed using fNIRS (NIRSport imaging unit from NIRx; nirx.net/nirsport), a neuroimaging modality suited to detect hemodynamic response as a spatially-sensitive indicator of brain function. Like fMRI, fNIRS records brain activity as blood-oxygen-level-dependent (BOLD) signal but does so by detecting optical properties of hemoglobin concentration change19. Relative to fMRI, fNIRS is not as spatially resolved and is restricted to sampling activity from 1 to 2 cm of surface cortex. Nevertheless, fNIRS excels in detecting activity within prefrontal cortical structures, which are of particular interest to emotion regulation131, and has been used with success in prior naturalistic viewing paradigms19,20.
Spatial positioning of light sources and detectors was standardized using the 10–10 UI external positioning system and light intensity data was collected at wavelengths of 760 and 850 nm and a sampling rate of 7.8 Hz. An elastic cap was used to affix eight light sources and eight detectors positioned according to a 20-channel prefrontal cortical montage, optimally suited for detecting activation from dorsolateral and medial prefrontal cortical structures. Positioning of nodes and approximate anatomical location of each channel in 3D cortical space are displayed in Fig. 6. NirsLAB software was used to test optode saturation levels and ensure signal quality prior to data acquisition.
Interventions
The Mindfulness Training and Active Coping training programs were developed and validated as part of a three-pronged randomized controlled trial that aimed to isolate monitoring and acceptance components of mindfulness while controlling for nonspecific training features66,132. Both interventions were structurally equivalent and delivered by the same instructor. Each program included daily audio lessons of 15–20 min in length and daily brief, experiential homework assignments (3–10 min per day). Each audio lesson trained specific techniques through didactic explanation, guided practice, and self-guided practice. Research assistants contacted participants by phone on days 3 and 9 of the intervention program to address difficulties or training-specific questions and encourage participant adherence. Research assistants also monitored daily progress through the program to ensure lesson compliance, and participants were encouraged to text or call the study hotline to ask questions or resolve technical issues. If participants failed to complete a lesson, they were instructed to complete the previous day’s lesson before continuing with the scheduled lesson. Participants who missed two consecutive lessons were instructed to follow a two-lesson schedule for two days. Participants who missed three consecutive lessons were contacted to determine possible discontinuation from the study. Using this procedure, 71 of 72 participants completed the full 14-day lesson schedule.
Mindfulness training (MT)
Mindfulness participants first learned foundational concentration skills that enabled them to (1) monitor their present-moment body experience (in the lessons, this skill was referred to as ‘sensory clarity’) while (2) welcoming and accepting each experience (referred to as ‘equanimity’). Monitoring (‘sensory clarity’) was explained in terms of two dimensions: resolution (discriminating types of experiences; e.g., pleasant, unpleasant, neutral; physical vs. emotional) and sensitivity (i.e., detecting subtle sensations). Acceptance (‘equanimity’) was trained through three tangible strategies that embodied the attitude of acceptance: participants were encouraged to (a) maintain a state of global body relaxation, (b) mentally welcome all physical and emotional body experiences, and (c) use a gentle, matter-of-fact tone of voice (an ‘equanimity tone’) while labeling these experiences.
Active coping training (CT)
The Active Coping program was developed to parallel the structure of Mindfulness training without encouraging focus on or acceptance of present experience. Instead, participants were instructed to reframe or reappraise past and anticipated events (with past and future emphasis contrasting present-focused monitoring, and change strategies contrasting acceptance strategies), and analyze and solve personal problems (again encouraging active change rather than acceptance of momentary experiences). The active coping program was designed to be useful for managing stress (reinforcing common reappraisal and problem solving strategies) without promoting mindful emotion regulation strategies.
Behavioral outcomes
Discrete emotions
Immediately after each video, the Discrete Emotions Questionnaire133, delivered via the validated Affective Slider digital scale129, was used to assess anger, disgust, fear, sadness, and joy. The sliding scale was presented on screen with the anchors, 0 (no emotion) to 100 (an extreme amount of emotion), and tick marks placed at 10 point increments. Participants were allotted 5 s to rate each emotion before proceeding to the next scale. To ensure understanding of and compliance with the procedure, participants completed a practice round in which they viewed and rated emotional reactions to the classic Charlie Chaplin ‘Roller Skating’ scene from the film, Modern Times.
Intergroup attitudes
Attitudes towards political ingroup (i.e., Democrat) and outgroup (i.e., Republican) members were measured using an affective prejudice measure and a social distancing scale. Affective prejudice towards Democrat and Republican group members was assessed using a validated sliding scale134, in which participants rated feelings of warmth towards target groups on a scale of 0 (cold/unfavorable) to 100 (very warm/favorable). Target groups included Democrats, Republicans, and distractor groups (Americans, undocumented migrants, and Europeans). The social distancing scale, adapted from Moore-Berg et al.134 examined desire to remain separate from political outgroup members. Participants answered three items to indicate how comfortable they would feel if a political outgroup member was their doctor, their child’s teacher, or their child’s best friend. The sliding scale ranged from 0 (not at all comfortable) to 100 (very comfortable). Thus, higher scores reflected lower desire for social separation.
Data analyses
fNIRS preprocessing
Neural time courses for each video were trimmed and concatenated by video type, resulting in 2 neural time courses for concatenated political and neutral video clips. Raw fNIRS data were preprocessed using a Matlab wrapper function (Burns and Lieberman99; MIT License) with Homer2 analysis package dependencies135. The preprocessing pipeline first trimmed the time course to remove additional scan time before or after the presentation of stimuli. Then, channels with excessive noise were identified and channels were labeled “unusable” if detector saturation occurred for more than 2 s or if the signal’s power spectrum resembled white noise (i.e., the quartile coefficient of dispersion < 0.1). NIRS data were then filtered using a bandpass filter of 0.005–0.5 Hz and were corrected for motion artifacts via a PCA algorithm. The resulting signals were converted to hemoglobin concentrations relative to baseline using the Modified Beer Lambert Law and z-scored. Finally, a Pearson’s correlation was used to examine remaining measurement errors among signals of each channel. Neuroimaging analyses were conducted on standardized total oxygenated-deoxygenated hemoglobin (HbO—Hb) concentrations. After exclusion of data with excessive channel noise, data from 64 participants (MT n = 31; CT n = 33) were used for neural synchrony-based analyses.
A probabilistic registration method136 was used to estimate approximate MNI coordinates for each channel position. This method has previously been used to localize fNIRS data to common 3D brain space, thus enabling cross-modal comparison with data obtained through fMRI137. All brain imaging figures were rendered by converting data to *img files using xjView and overlaid on a 3D cortical surface via Surf Ice software.
Neural synchrony approach
An intersubject correlation (ISC) approach was used to determine if training groups exhibited significantly different patterns of neural synchrony while viewing highly emotional politically partisan videos. ISC is a data-driven technique developed to identify neural regions in which activity systematically fluctuates for participants exposed to the same time-locked stimulus23. Within a single subject, activity in a neural region, \(X_{A} \left( t \right)\), may be considered a combination of activation commonly shared across participants, \(\alpha_{A} C\left( t \right)\), idiosyncratic activity, \(\beta_{A} id_{A} \left( t \right)\), and noise driven by indeterminate sources, \(\varepsilon_{A} \left( t \right)\). This relationship is represented with the formula:
Shared activity, or synchrony, can be estimated by averaging \(X_{A} \left( t \right)\) between many pairs of subjects, producing a subject-by-subject correlation matrix. Regions with significant time-locked synchrony can be inferred as relevant for shared information processing, ranging from basic sensory perceptions to the interpretation of complex social emotional stimuli.
While such a pairwise approach is recommended as the first-level analyses prior to one-sample group-level analyses, a variation of this approach—referred to as a leave-one-out approach is ideal for two-sample tests138. In contrast to a pairwise approach, a leave-one-out approach estimates individual-level ISC values (\(X_{A}\)) using the average time course of every subject with the exception of the subject’s own time course data. Accordingly, a given group’s ISC value may be described as:
Given that the aim of this study is to identify group-level differences (i.e., mindfulness versus active coping trainees) in neural synchrony, ISCs for each channel were calculated using a leave-one-out approach139.
Group-level inferential testing is complicated due to intercorrelations of ISC coefficients, which violate assumptions of statistical independence67. To address this concern, Chen et al.68 conducted simulation analyses to test the statistical validity of a series of non-parametric approaches with respect to controllability of false positive rates (FPR) and power. Accordingly, Chen et al.68 recommended that between-group comparisons be tested indirectly by comparing the difference between within-group ISC and between-group ISC matrices:
This may be accomplished through subject-wise permutation (SWP), which compares centrality of observed data to that of a null distribution, generated by randomly reassigning group membership over a number of iterations (typically 5000). In accord with recommended procedures for FPR controllability, subject-level hypothesis testing was conducted using SWP67 in order to identify channels with significant within-group synchrony (one-sample analyses) and significant within- versus between-group synchrony (two-sample analyses).
ISC may be leveraged to capture brain activity driven by a time-locked stimulus, even when such activity reflects nuanced interpretations of complex social-emotional information18. However, the nature of such interpretations remains ambiguous without statistical approaches suited to detect brain-behavior relations. This limitation may be accounted for by adapting the logic of ISC to an individual differences framework, an approach referred to as Intersubject Representational Similarity Analysis (IS-RSA)78. Given that behavior-dependent signal may be derived from idiosyncratic activity, \(\beta_{A} id_{A} \left( t \right)\), IS-RSA is positioned to triangulate sources of idiosyncratic neural signal. More specifically, IS-RSA compares (dis)similarity structures of brain and behavior data, operationalized as the Euclidean distance between each pair of subjects’ time courses or behavioral scores. Where \(c_{1} \left( t \right)\) is the stimulus-evoked response for subject 1 and \(c_{2} \left( t \right)\) is the stimulus-evoked response for subject 2, a pairwise distance may be expressed as the following:
Iterated over all pairs of subjects, this calculation produces a Representational Dissimilarity Matrix (RDM) of intersubject Euclidean distances for the neural time course of each region and each behavioral measure of interest. It warrants noting that Euclidean distance metrics assume a particular brain-behavior similarity structure in which subjects rank-ordered by behavioral scores are most similar to their immediate neighbors78. This structure is referred to as a Nearest Neighbor (NN) model and may be contrasted with an Anna Karenina (AnnaK) model which assumes that brain-behavior similarities increase monotonically. Thus, while a NN model uses a Euclidean distance metric, an AnnaK model uses a distance metric based on absolute position (e.g., the mean of two subjects’ rank divided by the number of subjects). Determining which similarity structure (and by extension, distance metric) is most appropriate is accomplished by conducting IS-RSA with both NN and AnnaK models and inspecting models for differences in representational similarity, either statistically or visually. For example, the distribution of brain-behavioral similarities by region may be visually compared by histogram and scatter plot, or the mean of both distributions may be compared via paired-sample t-test. Finally, hypothesis testing is performed by correlating the upper triangles of brain and behavioral similarity matrices and conducting subject wise permutation (SWP), as recommended for FPR controllability78.
In the present study, inter-subject representational similarity analyses (IS-RSAs) were used to determine if neural similarities were indicative of shared social-emotional experiences or perceptions of political outgroup members. First subject-by-subject inter-subject similarity matrices were calculated from fNIRS time courses and discrete emotion ratings (i.e., joy, anger, fear, sadness, and disgust). Similarities in the structures (of variations) of behavioral pairwise correlations and neural ISC were examined using a Mantel test. Nearest neighbor (NN) and Anna Karnina (AnnaK) models were then compared for best fit using a paired-samples t-test and scatterplot examination. Finally, we tested for significant neural representation of behavioral scores using non-parametric hypothesis testing with 5000 permutations (p = 0.05, k = 5).
Evaluating training-based effects
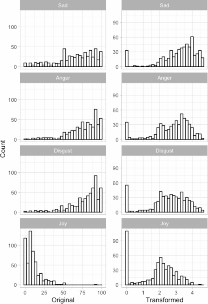
To test hypotheses for the second aim of the study—specifically, whether mindfulness training (MT) would diminish negative emotional reactions and amplify positive emotional reactions to the videos—we employed a series of mixed models. These models incorporated time (0 = pre-training, 1 = post-training), group (0 = CT, 1 = MT), and their interaction for each outcome. Sadness, anger, disgust, and joy outcomes showed notable skewness, as well as floor and ceiling effects, resulting in non-normal residuals distribution. Such model misspecification may lead to incorrect estimation of model parameters and standard errors, resulting in incorrect calculation of p-values140. In order to address these issues, we first implemented a sequence of data transformations. All negative outcome values (sadness, anger, disgust) were subtracted from the highest value in the scale, such that lower values indicated more intense emotions, while higher values indicated less intense emotions. Subsequently, all outcomes were recalibrated to have 1 as the lowest value and were then log-transformed. The distributions of initial and transformed outcomes are illustrated in Fig. 7. We did not apply any transformations on fear as its distribution did not have the above-mentioned issues.
This series of transformations served to separate extreme responses (the highest possible values of negative emotions and zero joy) from less extreme responses. To account for the zero-inflated part in sadness, anger, disgust, and joy outcomes, we employed Zero-inflated Gaussian mixed models141. Such models segregate zero and Gaussian-distributed positive values into two submodels. The first submodel constituted a logistic mixed model fitted using Penalized Quasi-Likelihood to estimate the probability of the outcome being zero (extreme response) or a positive value (non-extreme response). The second submodel was a linear mixed model fitting the non-extreme responses using Maximum Likelihood. To model mindfulness training effects on fear, we estimated a single Restricted Maximum Likelihood mixed model that did not contain a zero-inflated part. All these models accounted for within-subject correlation, a characteristic of longitudinal data. We used R version 4.4, NBZIMM R package version 1.0142 to estimate two-part zero-inflated mixed models, nlme R package version 3.1–16143 to estimate a mixed model for fear, and sjPlot R package version 2.8.16144 to create model tables145.
Data availability
The study design, procedures, and hypotheses were pre-registered with OSF registries (https://osf.io/htdc7) and are publically available. We examined preregistered aims 1–3, with specific aims 1 and 3 receiving support. Specific aim 2 proposed to examine if—relative to Cognitive Reappraisal Training (CT)—Mindfulness Training (MT) resulted in less affective prejudice and less social distancing. Because we decided to assess this outcome at post-training only, multilevel modeling (the proposed analysis approach) was no longer appropriate for analysis and we instead opted to use a Mann Whitney U test. Given that no between-group effects were observed, the influence of baseline traits was not reported here. Analysis of fNIRS data was conducted using scripts adapted from publicly available sources (https://naturalistic-data.org/content/intro.html).132 Scripts for behavioral data analysis, as well as the data, are publicly available via OSF registry: https://osf.io/68tx4/. fNIRS subject data will not be made publicly available but de-identified data may be shared with researchers upon request.
References
Finkel, E. J. et al. Political sectarianism in America. Science 370, 533–536 (2020).
Van Bavel, J. J. & Pereira, A. The partisan brain: An identity-based model of political belief. Trends Cognit. Sci. 22, 213–224 (2018).
Iyengar, S., Lelkes, Y., Levendusky, M., Malhotra, N. & Westwood, S. J. The origins and consequences of affective polarization in the United States. Ann. Rev. Polit. Sci. 22, 129–146 (2019).
Halperin, E., Sharvit, K. & Gross, J. J. Emotion and emotion regulation in intergroup conflict: An appraisal-based framework. In Intergroup Conflicts and their Resolution: A Social Psychological Perspective 83–103 (2011).
Mackie, D. M., Smith, E. R. & Ray, D. G. Intergroup emotions and intergroup relations. Soc. Personal. Psychol. Compass 2, 1866–1880 (2008).
Halperin, E. & Schori-Eyal, N. Towards a new framework of personalized psychological interventions to improve intergroup relations and promote peace. Soc. Personal. Psychol. Compass 14, e12527 (2020).
Ford, B. Q., Feinberg, M., Lam, P., Mauss, I. B. & John, O. P. Using reappraisal to regulate negative emotion after the 2016 US Presidential election: Does emotion regulation trump political action?. J. Personal. Soc. Psychol. 117, 998 (2019).
Ford, B. Q. & Feinberg, M. Coping with politics: The benefits and costs of emotion regulation. Curr. Opin. Behav. Sci. 34, 123–128 (2020).
Halperin, E., Pliskin, R., Saguy, T., Liberman, V. & Gross, J. J. Emotion regulation and the cultivation of political tolerance: Searching for a new track for intervention. J. Conflict Resolut. 58, 1110–1138 (2014).
Boiger, M. & Mesquita, B. The construction of emotion in interactions, relationships, and cultures. Emot. Rev. 4, 221–229 (2012).
Hutchins, E. The cultural ecosystem of human cognition. Philos. Psychol. 27, 34–49 (2014).
Leach, C. W. & Bou Zeineddine, F. A systems view of emotion in socio-political context. Affec. Sci. 2, 353–362 (2021).
Bou Zeineddine, F. & Leach, C. W. Feeling and thought in collective action on social issues: Toward a systems perspective. Soc. Personal Psychol. Compass 15, e12622 (2021).
Smith, E. R. & Mackie, D. M. Dynamics of group-based emotions: Insights from intergroup emotions theory. Emot. Rev. 7, 349–354 (2015).
Rossignac-Milon, M., Bolger, N., Zee, K. S., Boothby, E. J. & Higgins, E. T. Merged minds: Generalized shared reality in dyadic relationships. J. Personal. Soc. Psychol. 120, 882–911 (2021).
Hasson, U., Ghazanfar, A. A., Galantucci, B., Garrod, S. & Keysers, C. Brain-to-brain coupling: A mechanism for creating and sharing a social world. Trends Cognit. Sci. 16, 114–121 (2012).
Yeshurun, Y., Nguyen, M. & Hasson, U. The default mode network: where the idiosyncratic self meets the shared social world. Nat. Rev. Neurosci. 22, 181–192 (2021).
Hasson, U., Nir, Y., Levy, I., Fuhrmann, G. & Malach, R. Intersubject synchronization of cortical activity during natural vision. Science 303, 1634–1640 (2004).
Burns, S. M. et al. Making social neuroscience less WEIRD: Using fNIRS to measure neural signatures of persuasive influence in a Middle East participant sample. J. Personal. Soc. Psychol. 116, e1–e11 (2019).
Dieffenbach, M. C. et al. Neural reference groups: A synchrony-based classification approach for predicting attitudes using fNIRS. Soc. Cognit. Affect. Neurosci. 16, 117–128 (2021).
Leong, Y. C., Chen, J., Willer, R. & Zaki, J. Conservative and liberal attitudes drive polarized neural responses to political content. Proc. Natl. Acad. Sci. 117, 27731–27739 (2020).
Parkinson, C., Kleinbaum, A. M. & Wheatley, T. Similar neural responses predict friendship. Nat. Commun. 9, 332 (2018).
Hasson, U., Malach, R. & Heeger, D. J. Reliability of cortical activity during natural stimulation. Trends Cognit. Sci. 14, 40–48 (2010).
Čehajić-Clancy, S., Goldenberg, A., Gross, J. J. & Halperin, E. Social-psychological interventions for intergroup reconciliation: An emotion regulation perspective. Psychol. Inquiry 27, 73–88 (2016).
McRae, K. Cognitive emotion regulation: A review of theory and scientific findings. Curr. Opin. Behav. Sci. 10, 119–124 (2016).
John, O. P. & Gross, J. J. Healthy and unhealthy emotion regulation: Personality processes, individual differences, and life span development. J. Personal. 72, 1301–1334 (2004).
Laurin, K. & Jettinghoff, W. What kind of rationalization is system justification? (2019).
Uusberg, A., Taxer, J. L., Yih, J., Uusberg, H. & Gross, J. J. Reappraising reappraisal. Emot. Rev. 11, 267–282 (2019).
Mehta, A. et al. The regulation of recurrent negative emotion in the aftermath of a lost election. Cogn. Emotion 34, 848–857 (2020).
Ford, B. Q. & Troy, A. S. Reappraisal reconsidered: A closer look at the costs of an acclaimed emotion-regulation strategy. Curr. Direct. Psychol. Sci. 28, 195–203 (2019).
Green, D. J., Duker, A., Onyeador, I. N. & Richeson, J. A. Solidarity-based collective action among third parties: The role of emotion regulation and moral outrage. Anal. Soc. Iss. Public Policy 23, 694–723 (2023).
Wolak, J. & Sokhey, A. E. Enraged and engaged? Emotions as motives for discussing politics. Am. Politics Res. 50, 186–198 (2022).
Brown, K. W. & Ryan, R. M. The benefits of being present: Mindfulness and its role in psychological well-being. J. Personal. Soc. Psychol. 84, 822–848 (2003).
Dunne, J. D. Buddhist styles of mindfulness: A heuristic approach. In Handbook of Mindfulness and Self-Regulation (eds Ostafin, B. D. et al.) 251–270 (Springer, 2015).
Kabat-Zinn, J. & Hanh, T. N. Full Catastrophe Living: Using the Wisdom of Your Body and Mind to Face Stress, Pain, and Illness (Random House Publishing Group, 2009).
Alkoby, A., Halperin, E., Tarrasch, R. & Levit-Binnun, N. Increased support for political compromise in the Israeli-Palestinian conflict following an 8-week mindfulness workshop. Mindfulness 8, 1345–1353 (2017).
Simonsson, O., Bazin, O., Fisher, S. D. & Goldberg, S. B. Effects of an 8-week mindfulness course on affective polarization. Mindfulness 13, 474–483 (2022).
Simonsson, O., Goldberg, S. B., Marks, J., Yan, L. & Narayanan, J. Bridging the (Brexit) divide: Effects of a brief befriending meditation on affective polarization. PloS one 17, e0267493 (2022).
Simonsson, O., Narayanan, J. & Marks, J. Love thy (partisan) neighbor: Brief befriending meditation reduces affective polarization. Group Process. Intergroup Relat. 25, 1577–1593 (2022).
Van Dam, N. T. et al. Mind the hype: A critical evaluation and prescriptive agenda for research on mindfulness and meditation. Perspect. Psychol. Sci. 13, 36–61 (2018).
Davidson, R. J. & Harrington, A. Visions of compassion: Western scientists and tibetan buddhists examine human nature (Oxford University Press, 2002).
Berry, D. R. et al. Does mindfulness training without explicit ethics-based instruction promote prosocial behaviors? A meta-analysis. Personal. Soc. Psychol. Bull. 46, 1247–1269 (2020).
Donald, J. N. et al. Does your mindfulness benefit others? A systematic review and meta-analysis of the link between mindfulness and prosocial behaviour. Br. J. Psychol. 110, 101–125 (2019).
Luberto, C. M. et al. A systematic review and meta-analysis of the effects of meditation on empathy, compassion, and prosocial behaviors. Mindfulness 9, 708–724 (2018).
DeSteno, D., Lim, D., Duong, F. & Condon, P. Meditation inhibits aggressive responses to provocations. Mindfulness 9, 1117–1122 (2018).
Berry, D. R., Wall, C. S., Tubbs, J. D., Zeidan, F. & Brown, K. W. Short-term training in mindfulness predicts helping behavior toward racial ingroup and outgroup members. Soc. Psychol. Personal. Sci. 14, 60–71 (2023).
Oyler, D. L., Price-Blackshear, M. A., Pratscher, S. D. & Bettencourt, B. A. Mindfulness and intergroup bias: A systematic review. Group Process. Intergroup Relat. 25, 1107–1138 (2022).
Zheng, D., Berry, D. R. & Brown, K. W. Effects of brief mindfulness meditation and compassion meditation on parochial empathy and prosocial behavior toward ethnic out-group members. Mindfulness 14, 1–17 (2023).
Schooler, J. W. et al. Meta-awareness, perceptual decoupling and the wandering mind. Trends Cognit. Sci. 15, 319–326 (2011).
Hölzel, B. K. et al. How does mindfulness meditation work? Proposing mechanisms of action from a conceptual and neural perspective. Perspect. Psychol. Sci. 6, 537–559 (2011).
King, A. P. & Fresco, D. M. A neurobehavioral account for decentering as the salve for the distressed mind. Curr. Opin. Psychol. 28, 285–293 (2019).
Vago, D. R. & Zeidan, F. The brain on silent: mind wandering, mindful awareness, and states of mental tranquility. Ann. N. Y. Acad. Sci. 1373, 96–113 (2016).
Price, C. J. & Hooven, C. Interoceptive awareness skills for emotion regulation: Theory and approach of mindful awareness in body-oriented therapy (MABT). Front. Psychol. 9, 798 (2018).
Kang, Y., Gruber, J. & Gray, J. R. Mindfulness and De-Automatization. Emot. Rev. 5, 192–201 (2013).
Alkoby, A., Pliskin, R., Halperin, E. & Levit-Binnun, N. An eight-week mindfulness-based stress reduction (MBSR) workshop increases regulatory choice flexibility. Emotion 19, 593–604 (2019).
Garland, E. L., Gaylord, S. & Park, J. The role of mindfulness in positive reappraisal. EXPLORE 5, 37–44 (2009).
Bernstein, A. et al. Decentering and related constructs: A Critical review and metacognitive processes model—Amit Bernstein, Yuval Hadash, Yael Lichtash, Galia Tanay, Kathrine Shepherd, David M. Fresco. Perspect. Psychol. Sci. 10, 599–617 (2015).
Kirk, U. et al. Mindfulness training increases cooperative decision making in economic exchanges: Evidence from fMRI. NeuroImage 138, 274–283 (2016).
Laneri, D. et al. Mindfulness meditation regulates anterior insula activity during empathy for social pain. Hum. Brain Mapp. 38, 4034–4046 (2017).
Quaglia, J. T. et al. Brief mindfulness training enhances cognitive control in socioemotional contexts: Behavioral and neural evidence. PLOS ONE 14, e0219862 (2019).
Tang, Y.-Y., Hölzel, B. K. & Posner, M. I. The neuroscience of mindfulness meditation. Nat. Rev. Neurosci. 16, 213–225 (2015).
Buckner, R. L., Andrews-Hanna, J. R. & Schacter, D. L. The brain’s default network: Anatomy, function, and relevance to disease. Ann. N. Y. Acad. Sci. 1124, 1–38 (2008).
Smallwood, J. et al. The default mode network in cognition: A topographical perspective. Nat. Rev. Neurosci. 22, 503–513 (2021).
Nummenmaa, L. et al. Emotions promote social interaction by synchronizing brain activity across individuals. Proc. Natl. Acad. Sci.nces 109, 9599–9604 (2012).
Wilson-Mendenhall, C. D. & Holmes, K. J. Lab meets world: The case for use-inspired basic research in affective science. Affec. Sci. 4, 591–599 (2023).
Lindsay, E. K. et al. How mindfulness training promotes positive emotions: Dismantling acceptance skills training in two randomized controlled trials. J. Person. Soc. Psychol. 115, 944 (2018).
Chen, G. et al. Untangling the relatedness among correlations, part I: nonparametric approaches to inter-subject correlation analysis at the group level. NeuroImage 142, 248–259 (2016).
In, J. & Lee, D. K. Alternatives to the P value: Connotations of significance. Korean J. Anesthesiol. 77, 316–325 (2024).
Van Baar, J. M., Halpern, D. J. & FeldmanHall, O. Intolerance of uncertainty modulates brain-to-brain synchrony during politically polarized perception. Proc. Natl. Acad. Sci. U.S.A. 118, e2022491118 (2021).
Dixon, M. L., Thiruchselvam, R., Todd, R. & Christoff, K. Emotion and the prefrontal cortex: An integrative review. Psychol. Bull. 143, 1033–1081 (2017).
Etkin, A., Egner, T. & Kalisch, R. Emotional processing in anterior cingulate and medial prefrontal cortex. Trends Cognit. Sci. 15, 85–93 (2011).
Ochsner, K. N., Silvers, J. A. & Buhle, J. T. Functional imaging studies of emotion regulation: a synthetic review and evolving model of the cognitive control of emotion. Ann. N. Y. Acad. Sci. 1251, E1–E24 (2012).
Wager, T. D., Davidson, M. L., Hughes, B. L., Lindquist, M. A. & Ochsner, K. N. Prefrontal-subcortical pathways mediating successful emotion regulation. Neuron 59, 1037–1050 (2008).
Ciaramelli, E., Sperotto, R. G., Mattioli, F. & di Pellegrino, G. Damage to the ventromedial prefrontal cortex reduces interpersonal disgust. Soc. Cognit. Affect. Neurosci. 8, 171–180 (2013).
Gilam, G. et al. Attenuating anger and aggression with neuromodulation of the vmPFC: A simultaneous tDCS-fMRI study. Cortex 109, 156–170 (2018).
Kelley, N. J., Hortensius, R. & Harmon-Jones, E. When anger leads to rumination: induction of relative right frontal cortical activity with transcranial direct current stimulation increases anger-related rumination. Psychol. Sci. 24, 475–481 (2013).
Riva, P., Romero Lauro, L. J., DeWall, C. N., Chester, D. S. & Bushman, B. J. Reducing aggressive responses to social exclusion using transcranial direct current stimulation. Soc. Cognit. Affect. Neurosci. 10, 352–356 (2015).
Finn, E. S. et al. Idiosynchrony: From shared responses to individual differences during naturalistic neuroimaging. NeuroImage 215, 116828 (2020).
Fredrickson, B. L. The role of positive emotions in positive psychology. Am. Psychol. 56, 218–226 (2001).
Garland, E. L. et al. Upward spirals of positive emotions counter downward spirals of negativity: Insights from the broaden-and-build theory and affective neuroscience on the treatment of emotion dysfunctions and deficits in psychopathology. Clin. Psychol. Rev. 30, 849–864 (2010).
Roemer, L., Williston, S. K. & Rollins, L. G. Mindfulness and emotion regulation. Curr. Opin. Psychol. 3, 52–57 (2015).
Hülsheger, U. R., van Gils, S. & Walkowiak, A. The regulating role of mindfulness in enacted workplace incivility: An experience sampling study. J. Appl. Psychol. 106, 1250 (2021).
Kay, A. A., Masters-Waage, T. C., Reb, J. & Vlachos, P. A. Mindfully outraged: Mindfulness increases deontic retribution for third-party injustice. Org. Behav. Hum. Decis. Process. 176, 104249 (2023).
Ardi, Z., Golland, Y., Shafir, R., Sheppes, G. & Levit-Binnun, N. The effects of mindfulness-based stress reduction on the association between autonomic interoceptive signals and emotion regulation selection. Psychosom. Med. 83, 852–862 (2021).
Moore, A. & Malinowski, P. Meditation, mindfulness and cognitive flexibility. Conscious. Cognit. 18, 176–186 (2009).
Dieffenbach, M. C. Neural representations of attitude polarization and open-mindedness (University of California, 2021).
Uddin, L. Q., Yeo, B. T. T. & Spreng, R. N. Towards a universal taxonomy of macro-scale functional human brain networks. Brain Topogr. 32, 926–942 (2019).
Zhou, C., Cheng, X., Liu, C. & Li, P. Interpersonal coordination enhances brain-to-brain synchronization and influences responsibility attribution and reward allocation in social cooperation. NeuroImage 252, 119028 (2022).
Forbes, C. E. & Grafman, J. The role of the human prefrontal cortex in social cognition and moral judgment. Ann. Rev. Neurosci. 33, 299–324 (2010).
Lahnakoski, J. M. et al. Synchronous brain activity across individuals underlies shared psychological perspectives. NeuroImage 100, 316–324 (2014).
Yang, J., Zhang, H., Ni, J., De Dreu, C. K. W. & Ma, Y. Within-group synchronization in the prefrontal cortex associates with intergroup conflict. Nat. Neurosci. 23, 754–760 (2020).
Zhang, H., Yang, J., Ni, J., De Dreu, C. K. W. & Ma, Y. Leader–follower behavioural coordination and neural synchronization during intergroup conflict. Nat. Hum. Behav. https://doi.org/10.1038/s41562-023-01663-0 (2023).
Senholzi, K. B. & Kubota, J. T. The Neural Mechanisms of Prejudice Intervention. In Neuroimaging Personality, Social Cognition, and Character 337–354 (Elsevier, 2016). https://doi.org/10.1016/B978-0-12-800935-2.00018-X.
Hasell, A. Shared emotion: The social amplification of partisan news on Twitter. Digital J. 9, 1085–1102 (2021).
Levendusky, M. Partisan media exposure and attitudes toward the opposition. Polit. Commun. 30, 565–581 (2013).
Kubin, E. & Von Sikorski, C. The role of (social) media in political polarization: A systematic review. Ann. Int. Commun. Assoc. 45, 188–206 (2021).
Hasell, A. & Weeks, B. E. Partisan provocation: The role of partisan news use and emotional responses in political information sharing in social media. Hum. Commun. Res. 42, 641–661 (2016).
Binnquist, A. L., Dolbier, S. Y., Dieffenbach, M. C. & Lieberman, M. D. The Zoom solution: Promoting effective cross-ideological communication online. PLOS ONE 17, e0270355 (2022).
Burns, S. M. & Lieberman, M. The use of fNIRS for unique contributions to social and affective neuroscience. (2019).
Saarimäki, H. Naturalistic stimuli in affective neuroimaging: A review. Front. Hum. Neurosci. 15, 675068 (2021).
Barrett, L. F. Emotions are real. Emotion 12, 413–429 (2012).
Deschepper, R. et al. Linking numbers to perceptions and experiences: Why we need transdisciplinary mixed-methods combining neurophysiological and qualitative data. Methodol. Innov. 10, 2059799117703119 (2017).
Nguyễn, S., Moran, R. E., Nguyen, T.-A. & Bui, L. “We never really talked about politics”: Race and ethnicity as foundational forces structuring information disorder within the Vietnamese diaspora. Politi. Commun. 40, 415–439 (2023).
Phoenix, D. L. & Arora, M. From emotion to action among Asian Americans: Assessing the roles of threat and identity in the age of Trump. Politics Groups Identities 6, 357–372 (2018).
Teixeira, C. P., Leach, C. W. & Spears, R. White Americans’ belief in systemic racial injustice and in-group identification affect reactions to (peaceful vs. destructive) ‘Black Lives Matter’ protest. Psychol. Violence 12, 280–292 (2022).
Haapanen, K. A., Christens, B. D., Speer, P. W. & Freeman, H. E. Narrative change for health equity in grassroots community organizing: A study of initiatives in Michigan and Ohio. Am. J. Community Psychol. 73, 390–407 (2023).
Hornsey, M. J. The role of worldviews in shaping how people appraise climate change. Curr. Opin. Behav. Sci. 42, 36–41 (2021).
Capurro, G., Greenberg, J., Dubé, E. & Driedger, M. Measles, moral regulation and the social construction of risk: Media narratives of “anti-vaxxers” and the 2015 Disneyland outbreak. Can. J. Soc. Cahiers Can. Soc. 43, 25–47 (2018).
Opialla, S. et al. Neural circuits of emotion regulation: A comparison of mindfulness-based and cognitive reappraisal strategies. Euro. Arch. Psychiatry Clin. Neurosci. 265, 45–55 (2015).
Troy, A. S., Shallcross, A. J., Davis, T. S. & Mauss, I. B. History of mindfulness-based cognitive therapy is associated with increased cognitive reappraisal ability. Mindfulness 4, 213–222 (2013).
Keng, S.-L., Robins, C. J., Smoski, M. J., Dagenbach, J. & Leary, M. R. Reappraisal and mindfulness: A comparison of subjective effects and cognitive costs. Behav. Res.and Therapy 51, 899–904 (2013).
Rahrig, H. et al. Punishment on pause: Preliminary evidence that mindfulness training modifies neural responses in a reactive aggression task. Front. Behav. Neurosci. 15, 689373 (2021).
Troy, A. S., Shallcross, A. J. & Mauss, I. B. A person-by-situation approach to emotion regulation: Cognitive reappraisal can either help or hurt, depending on the context. Psychol. Sci. 24, 2505–2514 (2013).
Crosswell, A. D. et al. Effects of mindfulness training on emotional and physiologic recovery from induced negative affect. Psychoneuroendocrinology 86, 78–86 (2017).
Cho, S., Lee, H., Oh, K. J. & Soto, J. A. Mindful attention predicts greater recovery from negative emotions, but not reduced reactivity. Cognit. Emot. 31, 1252–1259 (2017).
Schindler, S. & Friese, M. The relation of mindfulness and prosocial behavior: What do we (not) know?. Curr. Opin. Psychol. 44, 151–156 (2022).
Baron, J. & Jost, J. T. False equivalence: Are liberals and conservatives in the United States equally biased?. Perspect Psychol. Sci. 14, 292–303 (2019).
Milosh, M., Painter, M., Sonin, K., Van Dijcke, D. & Wright, A. L. Unmasking partisanship: Polarization undermines public response to collective risk. J. Public Econ. 204, 104538 (2021).
Kingzette, J. et al. How affective polarization undermines support for democratic norms. Pub. Opin. Q. 85, 663–677 (2021).
Dimant, E. Hate trumps love: The impact of political polarization on social preferences. Manag. Sci. 70, 1–31 (2023).
Whitt, S. et al. Tribalism in America: Behavioral experiments on affective polarization in the Trump era. J. Exp. Political Sci. 8, 247–259 (2021).
Cohen, S., Kamarck, T. & Mermelstein, R. Perceived stress scale. Meas. Stress Guide Health Soc. Sci. 10, 1–2 (1994).
Devilly, G. J. & Borkovec, T. D. Psychometric properties of the credibility/expectancy questionnaire. J. Behav. Therapy Exp. Psychiatry 31, 73–86 (2000).
Hofmann, S. G. & Kashdan, T. B. The affective style questionnaire: Development and psychometric properties. J. Psychopathol. Behav. Assess. 32, 255–263 (2010).
Eldesouky, L. & English, T. Individual differences in emotion regulation goals: Does personality predict the reasons why people regulate their emotions?. J. Personal. 87, 750–766 (2019).
Rimes, K. A. & Chalder, T. The beliefs about emotions scale: Validity, reliability and sensitivity to change. J. Psychosom. Res. 68, 285–292 (2010).
Kubiak, T., Wiedig-Allison, M., Zgoriecki, S. & Weber, H. Habitual goals and strategies in anger regulation. J. Individ. Differ. 32, 1–13 (2011).
DeVellis, R. F. & Thorpe, C. T. Scale Development: Theory and Applications (Sage publications, 2021).
Betella, A. & Verschure, P. F. The affective slider: A digital self-assessment scale for the measurement of human emotions. PloS One 11, e0148037 (2016).
Peirce, J. W. PsychoPy—Psychophysics software in Python. J. Neurosci. Methods 162, 8–13 (2007).
Morawetz, C., Bode, S., Derntl, B. & Heekeren, H. R. The effect of strategies, goals and stimulus material on the neural mechanisms of emotion regulation: A meta-analysis of fMRI studies. Neurosci. Biobehav. Rev. 72, 111–128 (2017).
Lindsay, E. K., Young, S., Smyth, J. M., Brown, K. W. & Creswell, J. D. Acceptance lowers stress reactivity: Dismantling mindfulness training in a randomized controlled trial. Psychoneuroendocrinology 87, 63–73 (2018).
Harmon-Jones, C., Bastian, B. & Harmon-Jones, E. The discrete emotions questionnaire: A new tool for measuring state self-reported emotions. PloS one 11, e0159915 (2016).
Moore-Berg, S. L., Ankori-Karlinsky, L.-O., Hameiri, B. & Bruneau, E. Exaggerated meta-perceptions predict intergroup hostility between American political partisans. Proc. Natl Acad. Sci. 117, 14864–14872 (2020).
Huppert, T. J., Diamond, S. G., Franceschini, M. A. & Boas, D. A. HomER: a review of time-series analysis methods for near-infrared spectroscopy of the brain. Appl. Opt. 48, D280–D298 (2009).
Singh, A. K., Okamoto, M., Dan, H., Jurcak, V. & Dan, I. Spatial registration of multichannel multi-subject fNIRS data to MNI space without MRI. Neuroimage 27, 842–851 (2005).
Tsuzuki, D. et al. Virtual spatial registration of stand-alone fNIRS data to MNI space. Neuroimage 34, 1506–1518 (2007).
Nastase, S. A., Gazzola, V., Hasson, U. & Keysers, C. Measuring Shared Responses across Subjects Using Intersubject Correlation. Social Cognitive and Affective Neuroscience vol. 14 667–685 (Oxford University Press, 2019).
Hall, P. & Wilson, S. R. Two guidelines for bootstrap hypothesis testing. Biometrics 47, 757–762 (1991).
Loy, A. & Hofmann, H. Diagnostic tools for hierarchical linear models. WIREs Comput. Stat. 5, 48–61 (2013).
Zhang, X., Guo, B. & Yi, N. Zero-inflated Gaussian mixed models for analyzing longitudinal microbiome data. Plos one 15, e0242073 (2020).
Zhang, X. & Yi, N. NBZIMM: Negative binomial and zero-inflated mixed models, with application to microbiome/metagenomics data analysis. BMC Bioinform. 21, 488 (2020).
Pinheiro, J. & Bates, D. Mixed-Effects Models in S and S-PLUS (Springer, 2006).
Lüdecke, D. sjPlot: Data visualization for statistics in social science. (2024).
Nakagawa, S., Johnson, P. C. & Schielzeth, H. The coefficient of determination R2 and intra-class correlation coefficient from generalized linear mixed-effects models revisited and expanded. J. R. Soc. Interface 14, 20170213 (2017).
Acknowledgements
This research was supported by the National Institute of Mental Health (NIMH) of the National Institute of Health under the award number 5T32MH018931-33 and the Mind & Life Francisco J. Varela Grant.
Author information
Authors and Affiliations
Contributions
The authors confirm contribution to the paper as follows: study conception and design: H.R., K.W.B.; investigation: H.R., C.C., K.S., M.J., E.C; methodology: H.R., C.C., K.S., M.J., E.C.; data curation: H.R., P.B., O.P.; writing—original draft: H.R.; writing—review and editing: H.R., K.W.B.; funding acquisition: H.R.; formal analysis: H.R., P.B.; software: H.R., P.B., O.P.; resources: K.W.B.; project administration: H.R., K.W.B.; supervision: K.W.B.
Corresponding author
Ethics declarations
Competing interests
The authors declare no competing interests.
Additional information
Publisher’s note
Springer Nature remains neutral with regard to jurisdictional claims in published maps and institutional affiliations.
Electronic supplementary material
Below is the link to the electronic supplementary material.
Rights and permissions
Open Access This article is licensed under a Creative Commons Attribution-NonCommercial-NoDerivatives 4.0 International License, which permits any non-commercial use, sharing, distribution and reproduction in any medium or format, as long as you give appropriate credit to the original author(s) and the source, provide a link to the Creative Commons licence, and indicate if you modified the licensed material. You do not have permission under this licence to share adapted material derived from this article or parts of it. The images or other third party material in this article are included in the article’s Creative Commons licence, unless indicated otherwise in a credit line to the material. If material is not included in the article’s Creative Commons licence and your intended use is not permitted by statutory regulation or exceeds the permitted use, you will need to obtain permission directly from the copyright holder. To view a copy of this licence, visit http://creativecommons.org/licenses/by-nc-nd/4.0/.
About this article
Cite this article
Rahrig, H., Beloborodova, P., Castro, C. et al. Examining emotion reactivity to politically polarizing media in a randomized controlled trial of mindfulness training versus active coping training. Sci Rep 15, 5209 (2025). https://doi.org/10.1038/s41598-024-84510-0
Received:
Accepted:
Published:
Version of record:
DOI: https://doi.org/10.1038/s41598-024-84510-0









