Abstract
To establish an indirect competitive ELISA (ci-ELISA) for the detection of guanidino acetic acid (GAA) residues in animal feed, in this study, GAA was coupled to carrier proteins via the active ester method to obtain an anti-GAA complete antigen (GAA-BSA) and a detection antigen (GAA-OVA). BALB/c mice were immunized with GAA-BSA, after which anti-GAA monoclonal antibodies were prepared via hybridoma and other techniques. An ic-ELISA method was developed by optimizing the reaction conditions and the accuracy, precision and specificity of the method were determined. The results showed that GAA was successfully coupled to the carrier protein; a hybridoma cell line (2C4) against GAA was obtained, and the IC50 value of the monoclonal antibody was 4.65 µg/kg; The average recovery rate of GAA spiked in animal feed by this method was 87.4%, and its intra-assay coefficients of variation were greater than the inter-assay coefficients of variation in all assays; no cross-reaction with the other competing reactants was detected. The indirect competitive ELISA method developed in this study was able to fulfil the requirements for the determination of GAA r esidues in animal feed.
Similar content being viewed by others

Introduction
Guanidino acetic acid [GAA, glycocyamine, guanidoacetic acid], is a precursor of creatine. Creatine phosphate, which has high phosphate group transfer potential, is widely present in muscle and nerve tissues and is the main energy source in animal muscle tissues1,2,3,4. The addition of guanidine acetic acid enables the body to produce a large amount of phosphate group transfer substances (creatine phosphate), thereby providing power for the efficient work of muscles, brain, gonads and other tissues, and promoting the continuous distribution of energy to muscle tissues5,6,7,8. Because GAA can improve energy utilization in cows, sheep, swine, and poultry, accelerate animal growth, and improve meat quality and feed utilization, some manufacturers in China add excessive amounts of GAA to maximize profits9,10,11,12,13,14. Excessive intake of GAA can deplete the body’s methyl donor reserves, promote hyperhomocysteinaemia, and neurotoxicity, aggravate ethanol-induced liver damage, stimulate osteoclast formation, produce reactive oxygen species and regulate cerebral cortical potentials15,16,17,18. GAA has been approved for use as a nutritional additive in animal feed by the European Union (EU/2016/1768), the U. S. Food and Drug Administration (No. 2021–15070), and the Ministry of Agriculture, Forestry and Fisheries, Japan (NO. G/SPS/N/JPN/619)19. The Ministry of Agriculture of China recommends 300 mg/kg GAA in growing-fattening pig feed, with a maximum limit of 500 mg/kg (Announcement No. 2572). At present, since the application of guanidine acetic acid in animal production is still in its infancy, its addition time, dosage and effect as a feed additive need further research. However, the powerful effect, relatively low price and simple synthesis process of guanidine acetic acid indicate that it will be widely used in animal production in the near future. It is therefore imperative to monitor the amount of guanidine acetic acid added to the animal feed.
Many methods for detecting GAA include high-performance liquid chromatography (HPLC)20,21,22,23, HPLC with fluorescence detector (FLD)24,25, ultra-violet (UV) detection26, HPLC with mass spectrometry (HPLC-MS)27,28,29,30, gas chromatographic mass spectrometry (GC-MS)31,32 and thin-layer chromatography33. Although these methods are rather accurate and sensitive for detecting GAA, they require expensive instruments, complex sample pretreatment, and skilled professionals 34. Compared with the chromatographic analyses, ELISA has the advantages of being simple to perform, rapid, sensitive, and specific. ELISAs have been used in veterinary drugs35, pesticide36, bacteria37, and viruses38. To our knowledge, no ELISA has been reported for the GAA residue in animal feed so far.
In this study, we aimed to develop an ic-ELISA for the detection of GAA in animal feed. GAA was conjugated with the carrier protein through the activated ester method. The anti-GAA monoclonal antibody (mAb) was produced via hybridoma technology. The ic-ELISA was developed based on optimization of relevant conditions and its performance was characterized. This method facilitates real-time monitoring of GAA in animal feed.
Materials and methods
Chemicals and materials
GAA, N-hydroxy succinimide (NHS), Freund’s adjuvant, Na2B4O7, tetramethylene oxide, 1-(3-(dimethylamino) propyl)-3-ethylcarbodiimide hydrochloricde (EDC), tributylamine, isobutyl chlorocarbonate, and a mouse monoclonal antibody isotyping kit were purchased from Sigma (St Louis, MO, USA). Betaine hydrochloride, dihydropyridine, formamidine acetate, arginine and sarcosine were purchased from Macklin Biochemical Co., Ltd (Shanghai, China), bovine serum albumin (BSA) and ovalbumin (OVA) were obtained from Yuanye Biotechnology Co., Ltd (Shanghai, China). Horseradish peroxidase (HRP)-conjugated goat-anti-mouse immunoglobulin G was purchased from Sino-American Biotechnology Co., Ltd (Luoyang, China).
Preparation of GAA-BSA and GAA-OVA
GAA-BSA was synthesized via the active ester method25. Then, 35.2 mg GAA was dissolved in 4.0 mL of double distilled water (DDW), and 46.6 mg of EDC and 34.5 mg of NHS were added. After complete dissolution, 2.0 mL of DDW was added. The mixture was reacted in the dark for 14 h to obtain the GAA intermediate reaction product (liquid A). A total of 199.4 mg of BSA was fully dissolved in 2.0 mL of PBS solution (liquid B). In an ice bath, liquid A was added dropwise to liquid B and the reaction continued for 12 h. The above mixture was placed in a dialysis bag and dialyzed with PBS solution for 72 h. The dialysate was changed twice a day. The immunogen (GAA-BSA) was harvested and the detection antigen (GAA-OVA) was prepared in this way. The mixture was subsequently centrifuged at 3900 r/min for 5 min and stored at −20 °C for later use. The specific reaction route is shown in Fig. 1.
Synthesis of guanidine acetic acid-BSA via the activated ester method. EDC: 1-(3-(dimethylamino) propyl)-3-ethylcarbodiimide hydrochloricde, NHS: N-hydroxy succinimide.
Identification of GAA immunogens via UV scanning: GAA, BSA, and GAA-BSA were uniformly adjusted to 0.8 mg/mL. The three substances were measured separately via a nucleic acid protein analyser in the wavelength range of 200–350 nm. The number of GAA residues conjugated to the carrier molecules was estimated according to the ultraviolet scanning spectrum of GAA, carrier proteins, and conjugates as follows: \(\frac{{\left( {A~conjugation - A~protein} \right)/\varepsilon ~GAA}}{{A~protein/\varepsilon ~protein}}\)
where A and ε are the absorbance (200 nm) and molar extinction coefficient of the analyte, respectively.
The characteristic peaks of BSA and GAA-BSA immunogens were compared to determine whether GAA and the carrier protein (BSA) were successfully coupled26. SDS–PAGE identification: A 5% (v/v) stacking gel and a 12% (v/v) separation gel were prepared. The marker, BSA, and GAA-BSA were added to the sample wells of the stacking gel in turn. The voltages of the stacking gel and separation gel were 70 and 82 V, respectively. After electrophoresis, further staining and decolorization were performed. The successful coupling of GAA and BSA was determined by comparing the migration rates of BSA and GAA-BSA.
Production of the anti-GAA mAb
After fully emulsifying with 300.0 µL of PBS (containing 240.0 µg of GAA-BSA) and 300.0 µL of Freund’s complete adjuvant (FCA), three BALB/c mice (at the animal experimental Centre of Zhengzhou University, Zhengzhou, China) were immunized via multiple subcutaneous injections on the back. After an interval of 21 days, GAA-BSA was emulsified with the same dose of Freund’s incomplete adjuvant (FIA), and the animal were immunized via the same immunization route, with an interval of 18 days each. After the four immunization procedures were completed, blood was collected from the tail vein of each mouse, diluted with PBS and centrifuged to obtain GAA polyclonal antibody serum (pAbs). The titre and sensitivity of GAA pAbs were tested by indirect ELISA and ic-ELISA respectively. Indirect ELISA to determine the titer of pAbs: (1) 4.0 µg/mL detection antigen (GAA-OVA) was coated onto the ELISA plate at 50 µL/well and incubated at 37 °C for 2 h; (2) 5% porcine serum (v/v) was added to the ELISA plate at 50.0 µL/well and blocked at 37 °C for 1 h; (3) GAA polyclonal antibody was added at serial dilutions (2.0 × 102, 4 × 102, 8 × 102, 1.6 × 103, 3.2 × 103, 6.4 × 103, 1.28 × 104), and negative control and blank control were set up, and incubated at 37 °C for 15 min. (4) 50.0 µL of HRP-conjugated goat-anti-mouse immunoglobulin G (1:1000 dilution) was added to each well and incubated at 37 °C for 30 min. Plates were washed four times after each step (1) to (4). (5) 50.0 µL/well of colorimetric solution was added, and after 7 min, the stop solution (2.0 mol/L H2SO4) was added to each well and immediately placed in the ELISA reader for determination. Indirect competitive ELISA was used to determine the sensitivity of pAbs. The half-maximal inhibitory concentration of pAbs against GAA was used. The operation method was the same as that of indirect ELISA. The main difference was step (3). After the plate was coated, a series of serial dilutions of GAA standard (160, 80, 40, 20, 10, 5, 0 µg/kg) and GAA pAbs with an OD450 nm value of approximately 1.0 were added to each well. The mice with the best titre and inhibition rate were selected, intraperitoneally injected with 100.0 µg GAA-BSA, and killed 3 days later. After 3 days, mice were euthanized using isoflurane anesthesia for three minutes, cervical dislocation, and then splenectomy was performed.
Splenocytes from immunized mice were prepared under sterile conditions, and SP2/0 myeloma cells (provided by the Key Laboratory of Animal Immunology of Henan Province) and spleen cells were fused with polyethylene glycol (PEG) 2000 to produce hybridoma cells. Monoclonal hybridoma strains with anti-GAA were screened via limiting dilution screening and cloning of positive hybridomas and were then intraperitoneally injected into BALB/c mice pretreated with liquid paraffin. Ascites was obtained 10 days later, and was further purified by precipitation with saturated (NH4)2SO4 and stored at −20 °C for testing.
Development of the ic-ELISA
The reaction steps of indirect competitive ELISA was as follows: (a) The detection antigen (GAA-OVA) was diluted with carbonate/bicarbonate buffer solution (pH 9.6) to a concentration of 4.0 µg/mL, coated with 50.0 µL/well, incubated at 37 °C for 2 h, the ELISA plate was washed 5 times with PBST, 5% porcine serum (v/v) was added at 220.0 µL/well, the mixture was incubated at 4 °C for 12 h, and the plate was subsequently washed 4 times; (b) 50.0 µL of PBS was added to each well of the coated ELISA reaction plate, 320.0 ng/mL GAA standard was added to the first well of the coated plate at 50.0 µL and a series of GAA standards diluted in multiples to make the final concentrations 160.0, 80.0, 40.0, 20.0, 10.0, and 5.0 ng/mL, respectively. No GAA standard was added to the last well. Fifty microliters of mAbs with a titer of 2.4 × 105 to was added to each well, the mixture was incubated at 37 °C for 15 min, and the plate was washed 4 times with PBST; (c) 50.0 µL/well of 1:1000 diluted HRP-conjugated goat-anti-mouse immunoglobulin G was added, the mixture was incubated at 37 °C for 30 min, and the plate was washed 6 times with PBST; (d) the TMB solution was added, and after 7 min, the stop solution was added, and the ELISA plate was immediately placed into the microplate reader for measurement.
Optimization of experimental conditions for indirect competitive ELISA detection of GAA
Matrix titration test to determine the optimal working concentrations of GAA-OVA and the mAb: GAA-OVA and anti-GAA mAb were diluted in series and added to the 96-well ELISA plate horizontally and vertically, respectively. The OD450 nm value of each reaction well was measured, and the GAA-OVA concentration and anti-GAA mAb dilution factor corresponding to the well with a value of approximately 1.0 and a large change in adjacent values were selected as the optimal GAA-OVA coating concentration and anti-GAA mAb working concentration.
GAA-OVA was coated on the ELISA plate according to the determined optimal coating concentration. Experimental conditions such as GAA-OVA coating time (37 °C for 60 min, 37 °C for 120 min, 4 °C for 540 min), blocking conditions [0.5% (w/v) PEG 6000, 5% (v/v) skim milk powder, 5% (v/v) porcine serum, no blocking], dilution of HRP-conjugated goat-anti-mouse immunoglobulin G (1:500, 1:1000, 1:2000, and 1:4000) and 3,3’,5,5’-tetramethylbenzidine (TMB) colour development time (3 min, 5 min, 7 min, and 9 min) were used. The OD450 nm value was determined three times via indirect ELISA. The P/N value was calculated according to the determined reaction concentrations (P and N represent the OD450 nm values of the positive well and negative well, respectively). The working condition with the highest P/N value was selected as the best.
Sample pretreatment for ic-ELISA
An appropriate amount of animal feed sample (dry basis, accurate to 0.0001 mg), was accurately weighed, dissolved in sample treatment solution [0.01 M disodium hydrogen phosphate buffer (pH 3.1): acetonitrile (86:14, v/v)], ultrasonicated for 10 min, mixed well, and diluted to 100 mL. The concentration of the sample stock solution was 1000 µg/mL. The 1000 µg/mL sample stock solution was diluted with the sample treatment solution such that the final concentration of guanidine acetic acid was 40 µg/mL. The solution was then filtered through a microporous filter membrane.
Performance measurement of the method
The accuracy of the method was determined via an addition recovery test. The accuracy was determined on the basis of the recovery rate and the coefficient of variation (CV). The intra-assay and interassay errors were measured to determine the precision of the method. The concentrations of the GAA standard were set at 5.0, 10.0, and 47.0 µg/kg, 6 replicates were performed in the same batch, and the operation was repeated for 6 batches.
The specificity of the anti-GAA mAb is expressed by the cross-reactivity rate (CR%), and the IC50 (50% concentration of inhibition) values of its analogs (betaine hydrochloride, dihydropyridine, formamidine acetate, arginine and sarcosine) were determined via indirect competitive ELISA. The calculation formula was as follows: CR (%) = (GAA IC50 value/other compound IC50 value) × 100%.
Authenticity of ic-ELISA
Animal feed samples, with three different GAA concentrations (8.5, 23.5, and 60.5 µg/kg), were confirmed to be negative by LC‒MS/MS. These samples were detected three times in parallel by ic-ELISA and HPLC. HPLC was performed for the analytical determination of GAA via Diamonsil C18 (250 mm × 4.6 mm × 5 μm) (Dima, China). The mobile phase was a 0.01 M disodium hydrogen phosphate buffer (pH 3.1): acetonitrile (86:14, v/v), the flow rate was 0.6 mL/min, the column temperature was 30 °C, and GAA was monitored at 200 nm.
Data processing
Excel 2019 was used for tables; GraphPad Prism 8 was used to generate the standard curve; Chem Draw Pro 22 was used for chemical structures.
Results and discussion
Identification results of GAA-BSA
UV scanning results of GAA-BSA: The absorption peaks of BSA and GAA are at 280 and 200 nm, respectively. Compared with the UV absorption curves of BSA and GAA, the absorption peak of GAA-BSA has the UV absorption characteristics of both BSA and GAA, and shifts to a long wavelength band, indicating that GAA and BSA are successfully coupled. According to the formula stated in the method, the estimated coupling ratios of GAA-BSA and GAA-OVA were 13.8 and 11.5, respectively. SDS‒PAGE identification results shows that the downwards migration rate of BSA is slightly greater than that of GAA-BSA. The molecular weight of the analyte is inversely proportional to the electrophoretic band movement rate, which further confirms the successful coupling of BSA with GAA.
Identification of GAA polyclonal antibodies
Titre identification of GAA pAbs: After the immunization procedure for the GAA-BSA-immunized BALB/c mice was completed, the titre of GAA pAbs was detected via indirect ELISA. Table 1 shows that the titres of pAbs in both No. 2 and No. 3 mice were above 6.4 × 103, and that those in No. 1 mice reached more than 1.28 × 104, indicating that the conjugate (GAA-BSA) had good immunogenicity, anti-GAA pAbs had high sensitivity. Table 1 shows that the inhibition of the No. 1 mouse immune system was the best. The horizontal axis is the logarithm of the dilution concentration of GAA, and the vertical axis is the B/B0 value. The linear regression equation is: y = −0.4419x + 1.1909, R2 = 0.9922. The IC50 of the anti- GAA pAbs was 36.60 µg/kg.
Preparation of the anti-GAA mAb
The spleen cells of GAA-BSA immunized mice were fused with SP2/0 myeloma cells. After being cultured in HAT medium for 11 days, the cell supernatant of each well was collected and the strongly positive wells (OD450 nm value > 2.0) were screened via indirect ELISA. The strongly positive wells were further screened via ic-ELISA. The strongly positive wells with good inhibition ability were subcloned via limiting dilution method. The 1E3, 2C4, 2D7, and 4E6 better hybridoma cell lines were screened out. Finally, the hybridoma cell line 2C4 was harvested and an anti-GAA mAb was obtained via the ascites induction method at a titre of 2.4 × 105.
Optimization and establishment of reaction conditions for indirect competitive ELISA detection of GAA
The coating antigen concentration and mAb dilution corresponding to the wells with OD450 nm values approximately 1.0 and large changes with adjacent OD450 nm values were selected. The main reasons for choosing an OD450 nm value of 1.0 as the optimal concentration were as follows: being in the appropriate interval of the detection range (0.2–2.0), achieving reasonable binding of antigen and antibody, and reducing the impact of nonspecific binding. Table 2 shows that the value of 1.009 determined by the square array titration method meets the above conditions. Finally, the optimal coating concentration of GAA-OVA for ELISA was determined to be 4.0 µg/mL and the dilution of the anti-GAA mAb was 1:3.2 × 104.
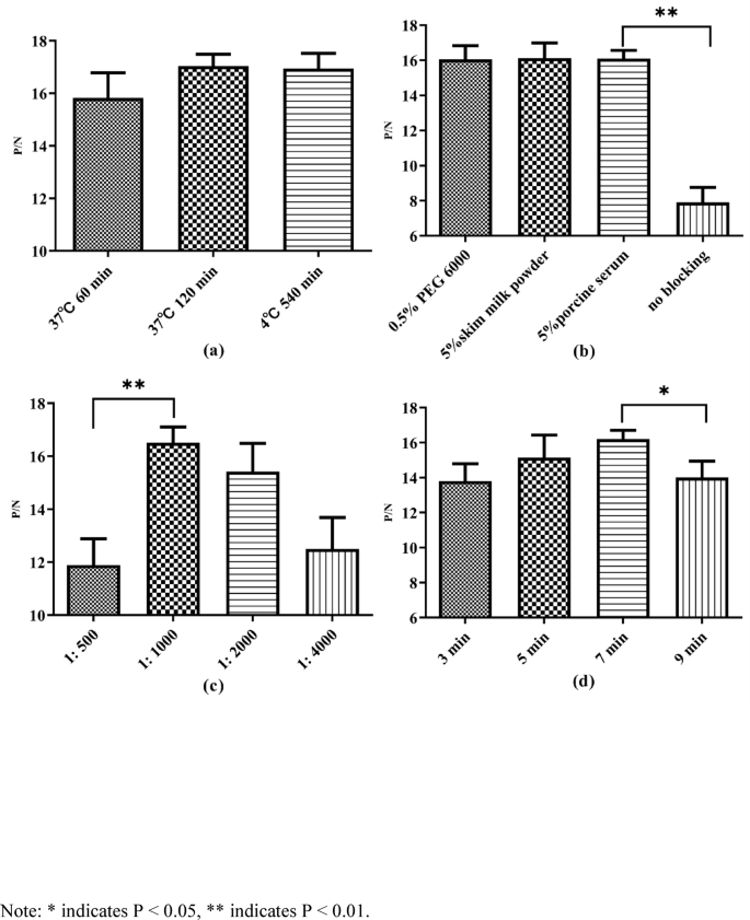
Combined with the optimal reaction conditions of the anti-GAA mAb concentration and GAA-OVA envelope, the coating condition with the highest P/N value was selected as the optimal GAA-OVA coating condition. Figure 2a shows that the P/N values of the GAA-OVA incubated at 37 °C for 60 min, 37 °C for 120 min, and 4 °C for 540 min were not significantly different (P > 0.05). The P/N value was the highest when the mixture was incubated at 37 °C for 120 min, which was determined to be the optimal GAA-OVA coating condition. Figure 2b shows that there is a very small difference between the P/N values of the three blocking solutions (P > 0.05), and there is a very significant difference from the nonblocking condition (P < 0.01), but the P/N value of the 5% (v/v) porcine serum was the maximum, so it was selected as the best blocking solution. HRP-conjugated goat-anti-mouse immunoglobulin G was selected at different dilutions for comparative experiments. The P/N value was largest when the dilution concentration was 1:1000 or 1:2000, with a significant difference in P/N value from the dilution ratios of 1:500 and 1:4000 (P < 0.01). The optimal HRP-conjugated goat-anti-mouse immunoglobulin G concentration was determined to be 1:1000 (Fig. 2c). At room temperature, after adding the chromogenic solution, as the colour development time increased, both the P and N values continued to increase. When the action time is 7 min, the P/N value is the largest (Fig. 2d), and there is no significant difference from the P/N value with an action time of 5 min (P > 0.05); however, there is a significant difference from the P/N value with action times of 3 and 9 min (P < 0.05), and the action time of the chromogenic solution was finally determined to be 7 min.
Optimization of indirect competitive ELISA experimental conditions. (a) Screening of guanidine acetic acid-ovalbumin coating conditions; (b) screening of horseradish peroxidase-conjugated goat-anti-mouse immunoglobulin G dilution. PEG: polyethylene glycol; (c) screening of coating blocking solution; (d) screening of colour development solution action time. Note: * indicates P < 0.05, ** indicates P < 0.01.
The standard curve of ic-ELISA based on anti-GAA mAb was drawn with the ratio of the positive OD450 nm value (B) to the negative value (B0) as the ordinate and the logarithm of the standard solution concentration as the abscissa. The regression equation of the standard curve was obtained: y =−0.2688x + 0.6795, R2= 0.9938 (Fig. 3); the IC50 was 4.65 µg/kg, and the linear range was 0.36–60.79 µg/kg.
Standard curve for indirect competitive ELISA of anti-guanidine acetic acid mAb. B: positive OD450 nm value, B0: negative value.
Identification results of the indirect competitive ELISA method
Results of precision identification of the method. The intra-assay CV of the negative animal feed samples was between 5.4% and 8.3%, with an average intra-assay CV of 6.7%; the interassay CV was between 5.9% and 9.6%, with an average CV of 7.6%. The interassay CV was greater than the average intra-assay CV, and none of them exceeded 10% (Table 3), indicating that the precision of the method was good. In the same ic-ELISA assay procedure, there is a negative bias in the results, which may be due to the complex composition of feed and the matrix (protein, inorganic salts, minerals, pigments and organic acids) in the feed samples interfering with the detection results of ic-ELISA.
Method specificity identification results. There was no CR with competitors such as betaine hydrochloride, dihydropyridine, formamidine acetate, arginine and sarcosine (Table 4), which further indicated that the specificity of this method was good.
Comparison of ic-ELISA with HPLC
GAA in the animal feed samples was determined via ic-ELISA and HPLC. There was no significant difference between the ic-ELISA and HPLC results (Table 5). With the detection results of HPLC as the horizontal coordinate and the detection results of ic-ELISA as the vertical coordinate, the correlation linear regression equation was obtained: y = 0.95x− 0.02, R2 = 0.9999. These fully show that the values tested by ic-ELISA were credible.
Conclusions
In this study, the six single-factor reaction conditions for the indirect competitive ELISA method for detecting GAA were optimized, and the optimal GAA indirect competitive ELISA method was established. The recoveries from the animal feed samples ranged from 82.2 to 94.4% within an assay (intra-assay) and from 80.8 to 91.5% between assays (interassay). This method can be used for the detection of GAA residues in animal feed and can meet the latest relevant determination requirements.
Data availability
Data is provided within the manuscript or supplementary information files.
References
Ostojic, S. M. Advanced physiological roles of guanidinoacetic acid. Eur. J. Nutr. 54, 1211–1215 (2015).
Liu, Y. J. et al. Effects of guanidinoacetic acid and coated folic acid supplementation on growth performance, nutrient digestion and hepatic gene expression in Angus bulls. Br. J. Nutr. 126, 510–517 (2021).
M Ostojic, S. Cataloguing guanidinoacetic acid content in various foods. Int. J. Vitam. Nutr. Res. 92, 158–160 (2022). (2022).
Yi, S. M. et al. Effect of guanidinoacetic acid supplementation on growth performance, rumen fermentation, blood indices, nutrient digestion, and nitrogen metabolism in Angus steers. Anim. (Basel). 14, 401 (2024).
He, D. T. et al. Effects of guanidinoacetic acid on growth performance, creatine and energy metabolism, and carcass characteristics in growing-finishing pigs. J. Anim. Sci. 96, 3264–3273 (2018).
Lu, Y. F. et al. Dietary guanidinoacetic acid improves the growth performance and skeletal muscle development of finishing pigs through changing myogenic gene expression and myofibre characteristics. J. Anim. Physiol. Anim. Nutr. (Berl). 104, 1875–1883 (2020).
Cui, Y. Y. et al. Guanidine acetic acid alters tissue bound amino acid profiles and oxidative status in finishing pigs. Anim. (Basel). 13, 1626 (2023).
Sánchez-Villasana, J. et al. Influence of dietary supplementation of guanidinoacetic acid on growth performance and blood chemistry profile of growing steers. J. Agri Food Res. 18, 101327 (2024).
Ardalan, M. et al. Effects of guanidinoacetic acid supplementation on nitrogen retention and methionine flux in cattle. J. Anim. Sci. 99, skab172 (2021).
Wang, L. et al. Dietary guanidinoacetic acid supplementation improves water holding capacity and lowers free amino acid concentration of fresh meat in finishing pigs fed with various dietary protein levels. Anim. Nutr. 11, 112–120 (2022).
Ma, C. et al. Effects of Guanidino acetic acid and betaine supplementation on growth, dietary nutrient digestion and intestinal creatine metabolism in sheep. Vet. Med. Sci. 10, e1470 (2024).
Zhang, B. L. et al. Guanidino-Acetic acid: A scarce substance in biomass that can regulate postmortem meat Glycolysis of broilers subjected to Pre-slaughter transportation. Front. Bioeng. Biotechnol. 8, 631194 (2021).
Wu, H. Z. et al. Effects of guanidinoacetic acid supplementation on liver and breast muscle fat deposition, lipid levels, and lipid metabolism-related gene expression in ducks. Front. Vet. Sci. 11, 1364815 (2024).
Tossenberger, J., Rademacher, M., N´emeth, K., Halas, V. & Lemme, A. Digestibility and metabolism of dietary Guanidino acetic acid fed to broilers. Poult. Sci. 95, 2058–2067 (2016).
Ostojic, S. M. Safety of dietary guanidinoacetic acid: A villain of a good guy? Nutrients 14, 75 (2021).
Ostojic, S. M., Niess, B., Stojanovic, M. & Obrenovic, M. Creatine metabolism and safety profiles after six-week oral guanidinoacetic acid administration in healthy humans. Int. J. Med. Sci. 2, 141–147 (2013).
Ostojic, S. M. Guanidinoacetic acid as a performance-enhancing agent. Amino Acids 48, 1867–1875 (2016).
Ostojic, S. M., Niess, B., Stojanovic, M. & Obrenovic, M. Co-administration of Methyl donors along with guanidinoacetic acid reduces the incidence of hyperhomocysteinaemia compared with guanidinoacetic acid administration alone. Br. J. Nutr. 110, 865–870 (2013).
Cui, Y. Y. et al. Guanidine acetic acid supplementation altered plasma and tissue free amino acid profiles in finishing pigs. Porcine Health Manag. 8, 24 (2022).
Kandhro, A. J. & Khuhawar, M. Y. HPLC determination of Guanidino compounds in serum of uremic patients using pyridoin as derivatizing reagent. J. Liq Chromatogr. R T 36, 2279–2291 (2013).
Carducci, C. et al. Automated high-performance liquid chromatographic method for the determination of guanidinoacetic acid in dried blood spots: A tool for early diagnosis of Guanidinoacetate methyltransferase deficiency. J. Chromatogr. B Biomed. Sci. Appl. 755, 343–348 (2001).
Hanai, T., Inamaoto, Y. & Inamoto, S. Chromatography of Guanidino compounds. J. Chromatogr. B Biomed. Sci. Appl. 747, 123–138 (2000).
Tabatabaei Yazdi, F., Golian, A., Zarghi, H. & Varidi, M. Effect of wheat-soy diet nutrient density and guanidine acetic acid supplementation on performance and energy metabolism in broiler chickens. Ital. J. Anim. Sci. 16, 593–600 (2017).
Gatti, R. & Gioia, M. G. Anisoin: a useful pre-chromatographic derivatization fluorogenic reagent for LC analysis of Guanidino compounds. J. Pharm. Biomed. Anal. 42, 11–16 (2006).
Buchberger, W. & Ferdig, M. Improved high-performance liquid chromatographic determination of Guanidino compounds by precolumn dervatization with ninhydrin and fluorescence detection. J. Sep. Sci. 27, 1309–1312 (2004).
Zinellu, A. et al. Assay for the simultaneous determination of guanidinoacetic acid, creatinine and creatine in plasma and urine by capillary electrophoresis UV-detection. J. Sep. Sci. 29, 704–708 (2006).
Ostojic, S. M., Vranes, M., Loncar, D., Zenic, N. & Sekulic, D. Guanidinoacetic acid and creatine are associated with cardiometabolic risk factors in healthy men and women: A cross-sectional study. Nutrients 10, 87 (2018).
Saigusa, D. et al. Simultaneous determination of guanidinosuccinic acid and guanidinoacetic acid in urine using high performance liquid chromatography/tandem mass spectrometry. Anal. Chim. Acta. 677, 169–175 (2010).
Benoit, R. et al. LC-MS/MS measurements of urinary guanidinoacetic acid and creatine: Method optimization by deleting derivatization step. Clin. Chim. Acta. 493, 148–155 (2019).
Boenzi, S. et al. Simultaneous determination of creatine and Guanidinoacetate in plasma by liquid chromatography-tandem mass spectrometry (LC-MS/MS). J. Pharm. Biomed. Anal. 56, 792–798 (2011).
Majidano, S. A. & Khuhawar, M. Y. Gas chromatographic determination of Guanidino compounds in uremic patients using Glyoxal as derivatizing reagent. J. Chromatogr. Sci. 50, 380–386 (2012).
Valongo, C. et al. Age related reference values for urine creatine and guanidinoacetic acid concentration in children and adolescents by gas chromatography-mass spectrometry. Clin. Chim. Acta. 348, 155–161 (2004).
Völkl, A. & Berlet, H. H. Thin-layer chromatography of Guanidino compounds. J. Clin. Chem. Clin. Biochem. 15, 267–269 (1977).
Shang, K. S., Wang, S., Chen, S. J. & &Wang, X. Sensitivity detection of uric acid and creatinine in human urine based on nanoporous gold. Biosens. (Basel) 12, 588 (2022).
Xu, L., Zhou, J. P., Eremin, S., Dias, A. C. P. & Zhang, X. Y. Development of ELISA and chemiluminescence enzyme immunoassay for quantification of Histamine in drug products and food samples. Anal. Bioanal Chem. 412, 4739–4747 (2020).
Hu, Y. M. et al. The Preparation of polyclonal antibody against chlordimeform and establishment of detection by indirect competitive ELISA. J. Environ. Sci. Health B. 57, 114–124 (2022).
Zhu, L. J. et al. Development of a double-antibody sandwich ELISA for rapid detection of Bacillus Cereus in food. Sci. Rep. 6, 16092 (2016).
Morales, S. V. et al. Development of a quantitative NS1 antigen enzyme-linked immunosorbent assay (ELISA) for Zika virus detection using a novel virus-specific mAb. Sci. Rep. 14, 2544 (2024).
Acknowledgements
This research was supported by the Projects of the Joint Fund of Henan Province’s Science and Technology Research and Development Program (Industrial Category) (Grant No. 225101610054), and the Young and Middle-aged Backbone Teachers from Zhoukou Normal University (Grant No. 20230210).
Author information
Authors and Affiliations
Contributions
X.Y. and X.H. designed the study, and drafted the manuscript; L.L. and Z.Z. acquired the funding for this research project. Y.Q., L.W. and C.W. carried out the experiments. B.H. participated in software and data analysis; X.H. designed the experiments and reviewed drafts of the paper.
Corresponding author
Ethics declarations
Competing interests
The authors declare no competing interests.
Ethics approval
This study did not involve any human testing. The study protocol was approved by the Animal Ethics Committee of Zhoukou Normal University (ZKNU2023039) and comply with the ARRIVE guidelines. All methods were performed in accordance with the relevant guidelines and regulations concerning the ethical use of animals.
Additional information
Publisher’s note
Springer Nature remains neutral with regard to jurisdictional claims in published maps and institutional affiliations.
Electronic supplementary material
Below is the link to the electronic supplementary material.
Rights and permissions
Open Access This article is licensed under a Creative Commons Attribution-NonCommercial-NoDerivatives 4.0 International License, which permits any non-commercial use, sharing, distribution and reproduction in any medium or format, as long as you give appropriate credit to the original author(s) and the source, provide a link to the Creative Commons licence, and indicate if you modified the licensed material. You do not have permission under this licence to share adapted material derived from this article or parts of it. The images or other third party material in this article are included in the article’s Creative Commons licence, unless indicated otherwise in a credit line to the material. If material is not included in the article’s Creative Commons licence and your intended use is not permitted by statutory regulation or exceeds the permitted use, you will need to obtain permission directly from the copyright holder. To view a copy of this licence, visit http://creativecommons.org/licenses/by-nc-nd/4.0/.
About this article
Cite this article
Yang, X., Li, L., Qu, Y. et al. An indirect competitive ELISA for determination of guanidine acetic acid in animal feed. Sci Rep 15, 15325 (2025). https://doi.org/10.1038/s41598-025-00130-2
Received:
Accepted:
Published:
Version of record:
DOI: https://doi.org/10.1038/s41598-025-00130-2




