Abstract
In beef cattle, estrous synchronization aiming a second artificial insemination (AI) requires a reliable estimation of the pregnancy status 20 days (D20) after the first AI. The hypothesis is that the expression of interferon-stimulated genes (ISGs; ISG15, OAS1, RSAD2, and IFI44) and cytokines (IL1β and IL10) in mononuclear (PBMC) and polymorphonuclear (PMN) cells is regulated by interferon-τ (IFN-τ) and predicts the pregnancy status. PBMC and PMN were isolated from non-pregnant beef cows (N = 9), 10–12 days post-ovulation (D0), and stimulated with 100 ng/mL recombinant ovine (ro) IFN-τ or with pooled uterine flush (UF) from D18 pregnant cows. Both roIFNT and UF stimulated the expression of ISG15, RSAD2, and IFI44 in PBMC and PMN. Expression of IL1β was reduced by UF in both PBMC and PMN. On another experiment, PMN were isolated, and luteal blood perfusion was measured on D20 post-timed-AI in beef females. The accuracy of ISG expression and luteal blood perfusion to predict the pregnancy outcome was determined by ROC curve analysis. All gene combinations were tested, and the best association for increased accuracy (92.7%) and reduction of false-negative results (0.9%, 2/233) was obtained through the combination of the four ISGs (ISG15, OAS1, RSAD2, and IFI44). The criterion was that if the expression levels of at least one of the four genes were greater than the predefined cutoffs, the animal would be considered pregnant. In conclusion, the expression of ISGs and IL1β was upregulated by roIFNT and UF from pregnancy cows. The combined PMN expression of classical (ISG15 and OAS1) and unusual (RSAD2 and IFI44) ISGs provided the greatest predictive accuracy of the pregnancy status on D20 in females with active CL by Doppler and is a potential tool to be used in reproductive programs for beef cattle.
Similar content being viewed by others
Introduction
In cow-calf operations that employ timed-AI (TAI), there is interest in re-insemination of females that did not become pregnant to the first AI1. To that end, open females must be identified as soon as possible for a new service. The most common method of pregnancy diagnosis in cattle is transrectal ultrasonography in B-mode, which achieves 100% accuracy between 28 and 32 days after TAI by the visualization of the viable embryo. Considering that non-pregnant females return to estrus around 21 days after TAI2, it is advantageous to determine the pregnancy status ≤ 20 days post-TAI to allow for quick re-insemination. Recently, color-Doppler (Doppler-US) has been used as a tool for early pregnancy diagnosis by the verification of sustained luteal blood perfusion between days 20 and 22 after TAI with an accuracy greater than 90%3,4,5. The advantage of this technique is the sensitivity approaching 100%, which results in very few false-negative diagnoses; however, this method may result in up to 15% false-positive diagnoses in beef and 40% in dairy cattle5,6. Thus, the development of methods capable of identifying pregnancy by detecting the conceptus or using conceptus-specific markers could reduce false-positive prevalence and improve the accuracy of pregnancy diagnosis methods during the first three weeks after TAI.
In domestic ruminants, interferon-τ (IFN-τ) is the main conceptus-derived cytokine responsible for the maternal recognition of pregnancy (MRP)7. During MRP, IFN-τ inhibits the endometrial pulsatile release of prostaglandin F2α (PGF2α), preventing regression of the corpus luteum (CL). This maintains the synthesis of progesterone (P4) necessary for the continuation of pregnancy8,9. When this sequence of events occurs successfully, pregnancy continues. However, on average, 50% of beef cattle fail to remain pregnant after day 16 after artificial insemination (AI)10. Studies suggest that conceptus alloantigens alter maternal immune function both locally at the embryonic-maternal junction and systemically in the peripheral blood circulation to prevent embryonic immune rejection11,12. This is achieved through the modulation of maternal immune cells that direct the balance of cytokines towards the Th2 anti-inflammatory pathway13. Immunological tolerance displayed by immune cells can be triggered by several molecules such as hormones, cytokines, and enzymes14. Thus, IFN-τ is one of the cytokines responsible for the functional communication between the maternal immune system and the developing embryo in ruminants. The bovine embryo on day 4 of development is already capable of signaling its presence through the modulation of IFN-τ-sensitive genes, regulating the local immune environment in the oviduct15. Furthermore, bovine embryos at day 7 communicate with epithelial and immune cells, possibly mediated in part by IFN-τ16.
The IFN-τ is also known to induce the expression of interferon-stimulated genes (ISGs) in the liver, endometrium, luteal cells, and peripheral blood mononuclear (PBMC) and polymorphonuclear (PMN) cells during early pregnancy in cows3,16,17,18,19. Genes commonly stimulated by IFN-τ include ubiquitin-like modifier 15 (ISG15), 2’−5’-oligoadenylate synthetase 1 (OAS1), MX dynamin-like GTPase 1 (MX1) and 2 (MX2). These are classical ISGs as they are stimulated by the activation of the canonical JAK-STAT pathway20, and are the most studied during early pregnancy in ruminants. The transcriptional profile of these genes is closely related to the secretion of IFN-τ by the conceptus3,16,17,18,19. In cattle, the expression of ISGs peaks between days 18 and 20 of pregnancy and returns to basal levels around day 253,21. Moreover, the expression of mRNA for ISGs in bovine peripheral blood leukocytes is greater in pregnant cows compared to non-pregnant cows on days 18 and 20 after AI3.
The practical implication is that ISG expression in immune cells may be used for early detection of pregnancy, as well as pregnancy failures3,21. The expression of classical ISGs in peripheral immune cells is a diagnostic method for detecting pregnancy on day 20 in both heifers and cows. However, the accuracy ranged from 62 to 80%, regardless of cell type (PBMC or PMN)3,22. In this context, Rocha et al.23 used transcriptomic approaches to identify novel genes induced by early pregnancy in PBMCs and PMNs on day 18 post-TAI, beyond the most used classical ISGs above mentioned. Thus, classical and non-classical ISGs recently reported in this study could be stronger markers of the conceptus signaling during MRP, and the use of its expression associated with the Dopller-US may represent a more effective tool to determine the pregnancy status ≤ 20 days post-TAI. Two unusual ISGs, RSAD2 and IFI44, were strongly upregulated in peripheral immune cells of pregnant beef heifers18. However, it is still not known how these novel pregnancy markers respond to conceptus stimulus at MRP and the accuracy of using these markers associated to Doppler-US for pregnancy diagnosis. Thus, the general objective of this paper is to provide initial in vitro validation of RSAD2 and IFI44, as potential biomarkers of the pregnancy status of cows.
The hypothesis is that the expression of RSAD2 and IFI44, and cytokines (IL1β and IL10) in PBMCs and PMNs is regulated by the conceptus signaling at the third week of gestation and may predict the pregnancy status with greater accuracy than the commonly used ISG15. The study aimed to: (1) compare the expression of ISG15, RSAD2, IFI44, IL1β, and IL10 in PBMCs and PMNs to IFN-τ (Experiment 1) or uterine flushes (UF) from pregnant cows collected on day 18 after TAI (Experiment 2); and (2) evaluate the accuracy of RSAD2 and IFI44 expression in PMNs associated or not to the Doppler-US to predict the pregnancy status in cattle (Experiment 3).
Materials and methods
Ethics statement
The present study was conducted at the Animal Reproduction Department of the University of São Paulo, in Pirassununga, Brazil. Animal welfare guidelines and handling procedures recommended by the São Paulo State (Brazil) law number 11.977 were strictly followed. That experiment was approved by the Animals Ethics Committee of the School of Veterinary Medicine and Animal Science (CEUA-FMVZ number: 8192280317), and was conducted by the ARRIVE guidelines.
Experimental model
Initially, to characterize the responsiveness of PBMCs and PMNs to pregnancy factors, these immune cells were isolated from the peripheral blood of Nelore heifers (N = 12) and stimulated with 100 ng/mL recombinant ovine interferon-τ (roIFNT, Experiment 1) or UF from day 18 of pregnant cows (Experiment 2) in an in vitro culture cell system. Endpoint was the expression of ISGs (ISG15, RSAD2, and IFI44), pro- (IL1B) and anti-inflammatory (IL10) cytokines, measured by quantitative PCR (qPCR). The main purpose was to determine whether the responsiveness of RSAD2 and IFI44 to pregnancy factors resembled that of a commonly used classical ISG (ISG15). Next, based on the responses obtained in the in vitro studies, the expression of ISGs (ISG15, OAS1, RSAD2 and IFI44) in PMNs 20 days after TAI was tested for the accuracy in predicting the pregnancy outcomes of females of different parities (i.e., nulliparous, primiparous or pluriparous) compared to ultrasound pregnancy diagnosis (gold standard) on 30 days after TAI (Experiment 3).
Experimental design of experiments 1 and 2
Twelve Nelore beef heifers (Bos taurus indicus) located at the Animal Reproduction Department of the University of São Paulo (Pirassununga, Brazil), cycling, non-pregnant, with a body condition score between 3 and 4 (on a 1–5 scale)24 and between 23 and 26 months of age, were maintained on Brachiaria brizantha pastures with free access to water and mineral supplementation. On a random day of the estrous cycle, all animals received 2 mL i.m. of PGF2α (500 µg; of sodium cloprostenol; Sincrocio; Ouro Fino Saúde Animal) for estrous synchronization. In the following five days, the females were evaluated daily through ultrasound examinations in B-mode (MyLab Delta Vet Gold; Esaote Healthcare; Italy) to detect ovulation. Ovulations were determined by the disappearance of the pre-ovulatory follicle. Between 10 and 12 days post-ovulation, blood samples (25 mL) were collected from the jugular vein into sodium-heparinized tubes (BD Vacutainer; São Paulo; Brazil) for the isolation of immune cells (Fig. 1A). Only animals presenting luteal blood perfusion ≥ 25% (i.e., bearing an active CL) were submitted to blood collection3. CL blood perfusion was evaluated by a pulse wave color-Doppler ultrasound instrument (MyLab Delta Vet Gold; Esaote Healthcare; Italy) equipped with a multifrequency linear transducer (3.5–7.5 MHz) in B-mode (RES-A, gain 50%, P 74 mm, X/M, PRS 1) and Doppler-mode (gain 61%, PRF 730 Hz, frequency 6.3 MHz, WF 4, PRS 3, PRC M/2).
Schematic representation of the experimental model. (A) In the Exp. 1 and 2, non-pregnant Nelore heifers (N = 12) were submitted to blood sampling collection between D10-D12 post-ovulation (D0 = day of ovulation), for the isolation of mononuclear (PBMC) and polymorphonuclear (PMN) cells. Isolated PBMC and PMN were stimulated with roIFNT (100 ng/mL, IFNT group) or uterine flush from day 18 pregnant cows (UF-Conceptus) for 24 h (PBMC) or 3 h (PMN) at 37 °C in 5% CO2. The groups without treatment [Control or UF from cows on day 18 of the diestrus phase (UF-Control)] served as controls. After the incubation, the cells were directed to RNA extraction, and gene expression of ISGs (ISG15, RSAD2, and IFI44) was determined by qPCR. (B) For Exp. 3, Nelore females (nulliparous, N = 103; primiparous, N = 53; pluriparous, N = 91) were submitted to timed-AI (TAI) on day 0. On D20 post-TAI, PMN was isolated from the peripheral blood of inseminated and non-inseminated cows. After isolation, PMN was directed to RNA extraction, and gene expression of ISGs (ISG15, OAS1, RSAD2, and IFI44) was determined by qPCR for the accuracy of pregnancy predictors. Illustration created using the Biorender software (https://www.biorender.com/).
Isolation of immune cells from peripheral blood
The PBMC and PMN were isolated by density gradient centrifugation using a Ficoll-Paque solution (GE Healthcare, Ref.17144003)3,25. For each cell isolation, whole blood was mixed with an equal volume of PBS in a 50-mL conical tube, and the solution was layered onto 15 mL Ficoll-Paque solution and centrifuged at 1100 g for 30 min at 20 °C. After centrifugation, the blood fractions segregated in the following sequence: plasma, buffy coat, and red blood cells together with PMN. The buffy coat was utilized for PBMC isolation, as described by Pugliesi et al.3 and the last layer containing the granulocytes and red blood cells was utilized for PMN isolation, as described by Jiemtaweeboon et al.25, with some modifications. The PBMC and PMN were subjected to successive lyses steps with hypertonic solutions to lyse the red blood cells until a clean cell pellet was obtained. At the end of the isolation process, the cell pellet was re-suspended in medium according to treatments assigned by design. The purity of PBMC and PMN was verified by staining freshly isolated samples with the quick panoptic protocol. Samples were considered pure when 95% of the 200 cells counted were mononuclear and polymorphonuclear cells, respectively. In addition, cell viability was assessed pre- and post-culture with Trypan blue (0.4%, Sigma-Aldrich, Ref. T6146) reagent in a Neubauer camera, where only samples that showed viability greater than 85% were used in the study. (Supplementary Tables 1 and 2).
Collection of UF on day 18 of pregnancy or the estrous cycle
After estrus, Holstein (Bos taurus taurus; N = 10) non-lactating cows were subjected to AI with semen from a single sire (N = 3) or remained as non-inseminated controls (N = 3). On D18 post-estrus, all females were slaughtered and the reproductive tract (cervix, uterus, and ovaries) was collected, and immediately transported on ice to the laboratory. The uterine horns of each reproductive tract were flushed simultaneously with 20 mL of phosphate-buffer saline (PBS). When a conceptus was present, it was removed from the flush; then, the UF was centrifuged at 300 g for 10 min. The supernatant was collected and centrifuged at 2000 g for 10 min, and the resulting supernatant at 16,500 g for 30 min. All centrifugations were at 4 °C. The supernatant from the final centrifugation was stored at −80 °C for later use in cell culture experiments. The UF obtained from cows with a conceptus was denominated UF-Conceptus and the UF from non-inseminated cows was used as a control (UF-Control). For cell culture experiments, a UF-Conceptus pool and a UF-Control group pool were built by combining UF from three cows from each group, respectively.
Experiment 1: stimulation of immune cells with RoIFNT
Isolated PBMC (N = 9 cows; 7 × 106 cells/mL) and PMN (N = 10 cows; 5 × 106 cells/mL) were cultured in 6-well plates in simplicates (Kasvi, Ref. K12-006) in RPMI-1640 medium (Sigma-Aldrich; Ref. 22400071) containing 0.1% FBS (LGC; Ref. 10-bio-500) and Penicillin-Streptomycin (10 µL/mL; Gibco™, Ref. 15140122) in combination with 0 (control) or 100 ng/mL of roIFNT26 in a humidified atmosphere at 37 °C in 5% CO2. PMNs were cultured for 3 h while PBMCs were cultured for 24 h. The cell incubation period for both experiments was determined according to the plasma half-life of each cell type and based on previous studies obtained in the literature to ensure post-incubation cell integrity27,28. The concentrations of roIFNT used in the present study were determined based previous studies2,29,30, and validated in dose-response study (10, 100, or 1000 ng/mL roIFNT; data not shown). After the incubation, the samples were centrifugated at 700 g for 8 min at 25 °C. Then, the supernatants were removed and cells were directed to RNA extraction and subsequent gene expression analysis by qPCR.
Experiment 2: culture of immune cells in UF
Isolated PBMC (N = 10 cows; 7 × 106 cells/mL) and PMN (N = 8 cows; 5 × 106 cells/mL) were cultured in a 6-well plate in simplicates (Kasvi, Ref. K12-006) in UF-Control or UF-Conceptus containing 0.1% FBS (LGC, Ref. 10-bio-500) in a humidified atmosphere at 37 °C in 5% CO2, according to the methodology described by Rashid et al.27, with some modifications. PMNs were cultured for 3 h while PBMCs were cultured for 12 h. After the incubation, samples were centrifugated at 700 g for 8 min at 25 °C, supernatants were removed and cells were directed to RNA extraction and subsequent gene expression analysis by qPCR.
Experimental design of experiment 3: accuracy of pregnancy markers in PMN
The PMN samples used in this experiment were obtained from a previous study conducted by Dalmaso de Melo et al.22, where, nulliparous (N = 103), primiparous (N = 53), and pluriparous (N = 91) Nelore (Bos taurus indicus) cows were subjected to an estradiol (E2) and P4 based protocol for synchronization of ovulation and TAI (TAI = day 0 [D0]). On D20, the animals were evaluated for CL blood perfusion by color-Doppler ultrasound (MyLab Delta Vet Gold; Esaote Healthcare; Italy) and blood samples (25 mL) were collected from the jugular vein into sodium-heparinized tubes (BD Vacutainer; São Paulo; Brazil) for the isolation of PMN (Fig. 1B). PMN were isolated as described in the Experiments 1 and 2. After isolation, PMN were stored at −80 °C for subsequent RNA extraction and gene expression analysis by qPCR. The purity of PMN was checked using the quick panoptic protocol as described previously. Thirty days (D30) after TAI, pregnancy status was verified by the presence of a viable embryo with a heartbeat by B-mode ultrasonography. Ultrasound pregnancy diagnosis on D30 was considered as the gold standard for comparison with the ISG expression and Doppler methods.
RNA extraction, cDNA synthesis, and quantitative polymerase chain reaction (qPCR)
The PBMC and PMN obtained on Experiments 1 and 2 were thawed on ice and the RNA was extracted using PureLink™ RNA Mini Kit (Invitrogen™, Ref. 12183018 A). Briefly, the PBMC and PMN pellets were dissolved using the lysis solution and immediately entered the RNA washing procedures as per manufacturer’s instructions. For Experiment 3, the isolated PMN was extracted by a modified protocol using Trizol™ (Thermo Fisher Scientific, Ref. 15596018) reagent associated with the DirectZol-RNA kit (Zymo Research, Ref. R2052), as described in detail by Dalmaso de Melo et al.22.
Total RNA concentration and purity were measured using a NanoVue™ Plus spectrophotometer (GE Healthcare, UK), and samples with a 260/280 ratio ranging from 1.7 to 2.0 were used for transcript abundance analyses. The isolated RNA from samples in both studies were treated with DNase I (DNase I Amplification Grade; Life Technologies, Ref. 18068015) to avoid genomic DNA contamination, as per the manufacturer’s instructions. Next, the RNA isolated was subjected to reverse transcription using the High-Capacity cDNA Reverse Transcription Kit (Life Technologies, Ref. 4368814), according to the manufacturer’s instructions, and the cDNA of each sample was stored at −20 °C until qPCR analysis. Analyses of the relative abundance of transcripts were performed using SYBR Green PCR Master Mix (Life Technologies, Ref. A25742) for amplification reactions in the Step One Plus thermocycler (Applied Biosystems Real-Time PCR System; Life Technologies, Ref. 4376600). The samples were run in triplicate and the maximum CV accepted among the replicates was 0.1. Specific primers for each gene (Table 1) were selected according to previous studies3,23,30,31,32. All newly designed primers were evaluated for sequence specificity using BLAST (http://www.ncbi.nlm.nih.gov/tools/primer-blast/). Furthermore, GeNorm software (https://genorm.cmgg. be) was used to select reference genes. Glyceraldehyde-3-Phosphate Dehydrogenase (GAPDH) and Actin Beta (ACTB) were the most stable genes in PMN, and GAPDH and Ciclofilin (PPIA) were the most stable genes on PBMC. We used LinRegPCR software to determine qPCR efficiency and quantification cycle (Cq) values per sample. Quantification was performed after normalization of the target gene expression values by the geometric mean of the endogenous control expression values, as described by Pfaffl33.
Statistical analyses
The data were evaluated for detection of outliers using the Dixon test and the significant (P < 0.05) outliers detected were excluded from the analyses. The data that were not normally distributed according to the Shapiro–Wilk test were transformed with normal logarithm, rank, and square root. The abundance of gene transcript for all experiments was analyzed by analysis of variance (ANOVA) using the PROC MIXED procedure of SAS (Version 9.2; SAS Institute). Pearson’s correlation between ISG and cytokines expression was analyzed by the GraphPad Prism software (Version 5.0) for both studies. For the Experiment 1 and 2, animal was considered as a random effect and the treatments (roIFNT or UF) as fixed effects in the model. Fold change was calculated by the ratio between the gene expression of each sample in the treated group (roIFNT or UF-Conceptus) and the average expression of the control group for each cell type. For the Experiment 3, animal was considered as a random effect, and the fixed effects of group (pregnant or non-pregnant 30 days after TAI), category (nulliparous, primiparous, or pluriparous), and group-by-category interaction were included in the model. The accuracy of the pregnancy diagnosis methods by ISG expression was calculated by the frequency of false-negative and false-positive observations, negative predictive value, positive predictive value, specificity, and sensitivity, as previously described by Pugliesi et al.3. A cutoff value for the expression of each ISG, to distinguish pregnant from non-pregnant animals, was determined from a Receiving Operator Characteristic (ROC) curve that was calculated using GraphPad Prism software. This software was also used to determine the area under the curve (AUC) of the sensitivity by specificity plot for the expression of each gene. The results are reported as arithmetic mean ± SEM. The probability ≤ 0.05 indicated that the effect was significant and between 0.05 and 0.10 suggested that the effect approached significance.
Results
Experiments 1 and 2
RoIFNT modulates the expression of ISGs and cytokines in cultured PBMCs and PMNs
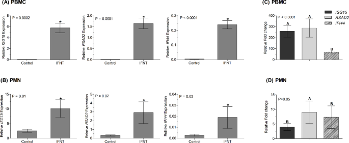
To detect the magnitude of response of PBMC and PMN treated with roIFNT in vitro, the specific immune-related genes including ISGs (ISG15, RSAD2, and IFI44), pro-inflammatory (IL1β), and anti-inflammatory (IL10) cytokines were analyzed by qPCR. In both PBMC and PMN, the treatment with 100 ng/mL of roIFNT stimulated mRNA expression of ISG15, RSAD2, and IFI44 (P < 0.05) compared to the Control group (Fig. 2A, B). When comparing the relative fold change of each gene to the Control group, in PBMC treated with roIFNT, a greater (P < 0.0001) stimulus was observed in the ISG15 and RSAD2 genes than in the IFI44 gene (Fig. 2C). For PMN, the relative fold change showed a greater (P = 0.05) stimulus in the RSAD2 gene compared to other genes (Fig. 2D).
Experiment 1. Mean ± SEM for relative expression (reference genes, PBMC: GAPDH/PPIA; PMN: GAPDH/ACTB) and fold change of ISG15, RSAD2, and IFI44 genes by qPCR in PBMC (Panel A and C; N = 9) cultured for 24 h and PMN (Panel B and D; N = 10) cultured for 3 h, and treated (100 ng/mL roIFNT) or untreated (Control) with recombinant ovine interferon-τ (roIFNT). *AB An asterisk or different letters above the bar indicates a significant difference (P ≤ 0.05) between the groups or the transcripts.
In PBMC, expression of IL1β tended to be less in the IFNT group (P = 0.10); however, IL10 expression was not affected (P = 0.11) (Fig. 3A). In PMN, the expression of IL1β (P = 0.15) and IL10 (P = 0.85) was not affected by roIFNT treatment (Fig. 3B). When the relative fold change between the IFNT-treated group and the Control group was calculated, a greater fold change was detected for IL10 (1.8-fold) compared to IL1β (0.5-fold) in PBMC (P = 0.005) (Fig. 3C). In PMN, the relative fold change did not differ significantly (P = 0.14) between treatments (Fig. 3D).
Experiment 1. Mean ± SEM for relative expression (reference genes, PBMC: GAPDH/PPIA; PMN: GAPDH/ACTB) and fold change of pro-inflammatory (IL1β) and anti-inflammatory (IL10) cytokine genes by qPCR in PBMC (Panel A and C; N = 9) cultured for 24 h and PMN (Panel B and D; N = 10) cultured 3 h, and treated (100 ng/mL roIFNT) or untreated (Control) with recombinant ovine interferon-tau (roIFNT). #A hatch tag above the bar indicates a tendency to significance (0.05 < P ≤ 0.1) between the transcripts. AB Different letters above the bar indicates a significant difference (P ≤ 0.05) between the groups or the transcripts.
UF from pregnant cows modulated the expression of ISGs and IL1β cytokine in cultured PBMCs and PMNs
In this experiment, we tested whether UF from pregnant cows induced the expression of ISG and immune genes in PBMC and PMN. The treatment with UF from pregnant cows (UF-Conceptus) induced expression of ISG15, RSAD2, and IFI44 (P < 0.05) in PBMC and PMN (Fig. 4A, B). When comparing the relative fold change, a greater stimulus was observed in the ISG15 and RSAD2 genes than in the IFI44 gene for both, PBMC (P = 0.02) and PMN (P = 0.01) cultured with UF-Conceptus compared to UF-Control (Fig. 4C, D).
Experiment 2. Mean ± SEM for relative expression (reference genes, PBMC: GAPDH/PPIA; PMN: GAPDH/ACTB) and fold change of ISG15, RSAD2, and IFI44 genes by qPCR in PBMC (Panel A and C; N = 10) cultured for 12 h and PMN (Panel B and D; N = 8) cultured for 3 h in UF from day 18 of pregnant cows (UF-Conceptus) or UF from non-pregnant cows (UF-Control). *AB An asterisk or different letters above the bar indicates a significant difference (P ≤ 0.05) between the groups or the transcripts.
Regarding cytokines, a lesser expression of IL1β in PBMC (P = 0.007) and PMN (P = 0.01) was detected in the UF-Conceptus group compared to the UF-Control (Fig. 5A, B). However, the expression of IL10 in PBMC (P = 0.14) and PMN (P = 0.44) did not differ between the UF-Conceptus and UF-Control groups (Fig. 5A, B). When the relative fold change of the UF-Conceptus group was compared to the UF-Control group, a greater fold change was detected for IL10 (1.3-fold) compared to IL1β (0.3-fold) in PMN (P = 0.005) (Fig. 5D). In PBMC, the relative fold change did not differ significantly (P = 0.15) between treatments (Fig. 5C).
Experiment 2. Mean ± SEM for relative expression (reference genes, PBMC: GAPDH/PPIA; PMN: GAPDH/ACTB) and fold change of pro-inflammatory (IL1β) and anti-inflammatory (IL10) cytokine genes by qPCR in PBMC (Panel A and C; N = 10) cultured for 12 h and PMN (Panel B and D; N = 8) cultured for 3 h in UF from day 18 of pregnant cows (UF-Conceptus) or UF from non-pregnant cows (UF-Control). *AB An asterisk or different letters above the bar indicates a significant difference (P ≤ 0.05) between the groups or the transcripts.
UF and RoIFNT stimulated co-expression of ISGs in immune cells
In PBMC, there were strong positive correlations (r > 0.8) between expression of ISGs (ISG15 vs. RSAD2, ISG15 vs. IFI44, and RSAD2 vs. IFI44) in cells stimulated with either roIFNT or UF (Table 2). There were no significant (P > 0.1) correlations detected between the expression of cytokines (IL1β vs. IL10).
In PMN, there were strong positive correlations between expression of ISGs in cells stimulated with roIFNT (ISG15 vs. RSAD2, ISG15 vs. IFI44, and RSAD2 vs. IFI44) and in cells treated with UF (ISG15 vs. RSAD2 and ISG15 vs. IFI44) (Table 2). The association between RSAD2 vs. IFI44 in PMN treated with UF generated a moderate (0.6 < r < 0.8) positive correlation. For the association between cytokines, a moderate positive correlation (0.6 < r < 0.8) was observed for IL1β vs. IL10 in cells treated with roIFNT. No other significant (P > 0.1) correlations were detected.
As expected, the strong correlations found between ISGs in both treaments and cell types, demonstrate that these genes are possibly co-modulated by the same activation pathway, such as IFN-τ signaling. For the association between cytokines, the presence of correlations was also expected, since there is a balance between the Th1 (IL1β) and Th2 (IL10) immune responses mediated by the factors (cytokines) that these cells produce. However, we only observed a moderate and significant correlation between cytokines in PMN treated with IFNT. To look for potential co-regulation targets, correlation analysis was performed between the expression of ISGs and cytokines. However, no significant correlation was detected (data not shown).
Experiment 3
Pregnancy stimulated the expression of ISGs (RSAD2 and IFI44) in PBMCs and PMNs on D20 post-TAI
The main effects of group, parity order category, and the group-by-category interaction were significant for the RSAD2 gene (Fig. 6). Interpretation of the group-by-category interaction was that RSAD2 expression was similar for pregnant females in all parity categories, whereas in non-pregnant females, expression was lower in pluriparous compared to nulliparous and primiparous females. RSAD2 abundance was 3.2, 4.4, and 8.5-fold greater (P < 0.007) in the pregnant than non-pregnant nulliparous, primiparous and pluriparous females, respectively. The IFI44 abundance was 3.8-fold greater in the pregnant group compared to the non-pregnant (P < 0.0001; Fig. 6). A parity category effect (P < 0.0001) indicated that expression of IFI44 was greatest in nulliparous, followed by pluriparous and the lowest in primiparous cows.
Experiment 3. Mean ± SEM for relative expression (reference genes, PMN: GAPDH/ACTB) of RSAD2 and IFI44 genes by qPCR in PMN from pregnant and non-pregnant nulliparous (N = 103), primiparous (N = 53), and pluriparous (N = 91) bovine females 20 days post-timed-AI (TAI). The main effects of group (G), category (Cat), and interaction group*category (G*Cat) that were significant are shown. XY Bars with a different letter indicate a significant difference (P ≤ 0.05) among the parity order in non-pregnant animals. ABC Bars with a different letter indicate a significant difference (P ≤ 0.05) among the parity order, regardless of the pregnancy status.
Pregnancy stimulated co-expression of ISGs in PMN 20 days post-TAI
In nulliparous cows, there was one strong (ISG15 vs. OAS1), three moderate (ISG15 vs. RSAD2, OAS1 vs. RSAD2, and RSAD2 vs. IFI44), and two weak (ISG15 vs. IFI44 and OAS1 vs. IFI44) correlations observed (Table 3). In primiparous and pluriparous cows, the correlations were similar, with one strong (ISG15 vs. OAS1), one moderate (RSAD2 vs. IFI44), and two weak (ISG15 vs. IFI44 and OAS1 vs. IFI44) correlations. There were no other significant (P > 0.10) correlations detected.
Expression of ISGs in PMNs generated accurate predictions of pregnancy outcomes
The cutoff values of expression for ISG genes (RSAD2, IFI44, ISG15, and OAS1) to distinguish between pregnant and non-pregnant cows were established through ROC curve analysis (Fig. 7). Different cutoff values were established for nulliparous (RSAD2 = 0.92, IFI44 = 0.0086, ISG15 = 1.27 and OAS1 = 0.53), primiparous (RSAD2 = 0.48, IFI44 = 0.0048, ISG15 = 1.04 and OAS1 = 0.48) and pluriparous cows (RSAD2 = 0.79, IFI44 = 0.0058, ISG15 = 0.31 and OAS1 = 0.53). In nulliparous heifers, the accuracy for the IFI44 gene was greater when compared to the RSAD2 gene (86% vs. 79%, respectively; Table 4). In this case, the expression of IFI44 had a lower frequency of false-positives (7/100) and false-negatives (7/100) and, consequently, greater positive (85.7%) and negative (86.3%) predictive values, and sensitivity (85.7%) and specificity (86.3%) when compared to the frequency of false-positives (11/100) and false-negatives (10/100) of RSAD2. In primiparous females, the accuracy was greater for the RSAD2 when compared to the IFI44 gene (92% vs. 84%). The expression of RSAD2 in this category showed the least possible frequency of false-negatives (0/50) and, consequently, a perfect negative predictive value (100%) and sensitivity (100%) when compared to the frequency of false-negatives for IFI44 (4/50). However, the frequency of false-positives (4/50) and, consequently, the specificity (82.6%) was the same for both genes. In pluriparous cows, the accuracy was similar for both ISGs (RSAD2 = 92.8% vs. IFI44 = 91.6%), as well as the frequency of false-negatives, negative predictive value, and sensitivity (Table 4). However, the frequency of false positives (RSAD2 = 1/83 vs. IFI44 = 3/83) was lower for RSAD2, which increased the specificity (RSAD2 = 97% vs. IFI44 = 90.9%) and the positive predictive value (RSAD2 = 97.8% vs. IFI44 = 93.9%) for this gene.
Experiment 3. ROC (Receiver Operating Characteristic) curves of the ISGs on D20 post-timed-AI (TAI) in nulliparous (N = 103), primiparous (N = 53), and pluriparous (N = 91) bovine females. The horizontal and vertical axes represent false positive rate (1 - specificity) and sensitivity, respectively. RSAD2 and IFI44 provided the most adequate prediction of pregnancy when compared to classical usual ISGs (ISG15 and OAS1) in primiparous and pluriparous bovine females.
Association of Doppler-US with ISG expression optimized accuracy of pregnancy prediction
Considering that there are less than 0.5% false-negatives results when using Doppler ultrasonography, but false-positives are often greater than 10%12,17,18, the combination of Doppler-US and ISG expression was attempted to maximize the accuracy of early pregnancy diagnostic in beef females. The approach consisted of applying the cutoff values for ISGs (each individually or combinations) to females with a functional CL (blood perfusion > 25%) on D20. Females that did not have a functional CL on D20 were automatically considered non-pregnant. In nulliparous females, there was a similar accuracy when using combinations of two (RSAD2/IFI44, accuracy: 90%) or four (RSAD2/IFI44/ISG15/OAS1, accuracy: 91%) ISGs (Table 5). The combination of four ISGs yielded less false-negatives (1/100), and, consequently, greater negative predictive value (97.7%) and sensitivity (98%) when compared to the combination of two ISGs. However, the combination of two ISGs yielded less false positives (5/100) and, consequently, greater positive predictive value (89.8%) and specificity (84.3%) compared with the combination of four ISGs. In primiparous cows, accuracy was equivalent when using only the RSAD2 gene (accuracy: 98%) or when using the combination of two ISGs (RSAD2/IFI44, accuracy: 98%). Moreover, the frequency of false-positives was minimal (1/50), and there were no false-negatives (0/50), resulting in a perfect negative predictive value (100%) and sensitivity (100%) in both cases. In pluriparous cows, the greatest accuracy was obtained using two ISGs (RSAD2/IFI44, accuracy: 94%); however, the combination of four ISGs generated the lowest frequency of false-negative (1/83), and consequently, a greater negative predictive value (96.5%) and sensitivity (98%) than when two ISGs were used.
The same approach of applying ISG cutoff values to females with a functional CL on D20 was implemented, regardless of parity category (Table 6). The accuracy was similar between all ISG combinations. However, the combination of four ISGs (RSAD2/IFI44/ISG15/OAS1) generated the lowest frequency of false-negatives (2/233), and consequently, the greatest negative predictive value (97.9%) and sensitivity (98.4%), compared to other combinations. Nevertheless, the frequency of false-positives remains elevated (6.4%; 15/233), even when this combination is employed.
Discussion
The expression of ISGs in circulating immune cells has been used for pregnancy diagnosis in cattle, as it indirectly signals the presence of the peri-implantation conceptus3,34,35,36; however, the accuracy of this method using commonly used classical ISGs did not exceed 80%, regardless of cell type. Consequently, the validation of other ISGs as candidates for potential use as biomarkers of pregnancy status could contribute to the improvement of beef and dairy cattle production systems. Here, we reported for the first time the direct effects of pregnancy-related factors using UF from day 18 pregnant cows on the expression of ISGs in PBMC and PMN. To our knowledge, no previous study has used UF from the second to the third week of pregnancy as culture medium for immune cells. This temporal distinction is critical, as our study focuses on day 18, a crucial stage for the establishment of pregnancy, making our approach physiologically relevant. We determined that ISG15 and RSAD2 were the most responsive marker of bovine conceptus signaling in PBMC and PMN. Furthermore, we combined ISG expression data with luteal blood perfusion information to optimize the accuracy of early pregnancy outcome prediction. We demonstrated that the association of classical usual (ISG15 and OAS1) and unusual (RSAD2 and IFI44) ISGs with the color-Doppler diagnosis is an advanced method to differentiate with high accuracy (> 90%) pregnant and non-pregnant Bos indicus beef heifers and cows on day 20 post-TAI.
The expression of ISGs in PBMC and PMN was stimulated in vitro with roIFNT or UF from pregnant cows. To the best of our knowledge, the use of a conceptus-conditioned medium on day 18 of pregnancy has never been attempted previously to investigate the physiological stimulus generated by the conceptus on immune cells. Recent results from our group suggested novel candidate genes for pregnancy prediction based on a transcriptome analysis in PBMC and PMN on day 18 of pregnancy23. Moreover, such novel biomarkers may be more accurate in predicting early pregnancy when compared to classical ISGs3,22. Therefore, we selected one commonly used ISG (ISG15) and two unusual ISGs (RSAD2 and IFI44) to evaluate gene expression, and subsequent sensitivity and specificity analysis as potential early pregnancy markers. Both for PBMC and PMN, treatment with roIFNT or UF from pregnant cows stimulated the expression of all the ISGs evaluated (ISG15, RSAD2, and IFI44). Although expected, it was reassuring that the upregulation of ISGs observed in immune cells harvested from the peripheral blood of pregnant cows could be recapitulated in vitro. This effect was due to the direct effect of the exogenous addition of IFN-τ and likely because of its presence in the UF from pregnant cows. Also, the fold change analysis showed that ISG15 and RSAD2 were the most stimulated ISGs in vitro. These findings confirm previous studies reporting that treatment with increasing doses of recombinant bovine (rbIFNT; 0.1–10 ng/mL) and ovine IFN-τ (roIFNT; 100 ng/mL or 1 µg/mL) induced mRNA expression of classical usual (ISG15 and OAS1) and unusual (IFIT2, SAMD9 and USP18) ISGs in immune cells and bovine endometrial cells in vitro2,30. Similarly, Rashid et al.27 reported upregulation of ISG15 and OAS1 in PBMC cultured with UF from day 7 pregnant cows. The present results demonstrate that the response of RSAD2 and IFI44 to IFN-τ stimulus induced a response similar to other classical ISGs in peripheral blood immune cells. This opened the possibility of using these uncommon ISGs to predict pregnancy in cattle earlier than currently.
During early pregnancy establishment, a delicate balance between pro- and anti-inflammatory cytokines are required to promote maternal tolerance towards the semi-allogeneic embryo37. IFN-τ is known to regulate the secretion of bovine granulocyte chemotactic protein 2 in the endometrium, regulating cytokine networks in the uterus of pregnant cows38; however, the direct role of IFN-τ in regulating this cytokine balance throughout early pregnancy is unknown. Here, we investigated the response of pro- (IL1β) and anti-inflammatory (IL10) cytokines to stimulation of roIFNT or conceptus-conditioned medium on day 18 of pregnancy. UF from pregnant cows suppressed the expression of the IL1β cytokine in PBMC and PMN but did not affect IL10 expression. Similarly, the effect of roIFNT to reduce IL1β cytokine transcripts in PBMC approached significance. Expression of IL10 in PBMC treated with roIFNT was not changed significantly, but at least numerically, it followed the same direction of upregulation of anti-inflammatory cytokines reported in earlier studies27,28,30. In addition, the analysis of fold change indicated opposite directions in the expression of IL10 (upregulated) and IL1β (downregulated) in both PMN and PBMC. The findings of the present study corroborate with Rashid et al.27 and Fiorenza et al.28, that verified downregulation of pro-inflammatory cytokines (IL1β and TNFα) and upregulation of anti-inflammatory cytokines (IL10 and TGFβ1) in PBMC and PMN, and bovine uterine epithelial cells stimulated with UF from day 7 of pregnant cows or rbIFNT, respectively. Thus, the analysis of pro- and anti-inflammatory cytokine transcripts in this study suggests that the environment conditioned by the conceptus likely modulated the immunological status of the uterus to accept the semi-allogeneic embryo and induced initially a state of immunological tolerance through the suppression of IL1β, essential for embryo survival and establishment of pregnancy; however, the analysis of transcripts of other pro- and anti-inflammatory cytokines is necessary to confirm these results.
Pregnancy diagnosis between days 18 and 20 after AI is possible due to differences in immune cell-ISG expression between pregnant and non-pregnant animals14. In that window, the least overlap of ISG expression levels between pregnant and non-pregnant animals, compared to other time intervals, has been reported. The greater ISG expression in pregnant animals is due to stimulation from conceptus-secreted IFN-τ, which increases throughout the third week of pregnancy, associated with the growth of the trophectoderm39,40. Although the most commonly used cell type used for pregnancy diagnosis is the PBMC, the present research provided evidence that the expression of ISGs in both PMNs and PBMCs could be used for early detection of pregnant bovine females. This is because the response to IFN-τ stimulation was similar between PMN and PBMC. Here, we showed that the expression of RSAD2 and IFI44 in PMN can predict pregnancy at D20 post-TAI accurately. The PMN samples used in this study were obtained in a prospective study by Dalmaso de Melo et al.22. They determined the accuracy of pregnancy prediction by the abundance of classical ISGs (ISG15 and OAS1). The results presented here extended the assessment of PMNs at D20, indicating a greater abundance of the two ISGs tested (RSAD2 and IFI44) in pregnant females compared to non-pregnant females. These results are consistent with the expression of classical ISGs in PBMC and whole blood immune cells reported in beef cattle3,34 and heifers, dairy cows35,41,42,43 and buffalo cows44.
Furthermore, in non-pregnant females, the abundance of RSAD2 was higher in nulliparous and primiparous than in pluriparous females. For IFI44, transcript abundance was higher in nulliparous, followed by pluriparous and primiparous cows, regardless of gestational status. The reason for the difference in ISG response between parity categories is unspecified, but could be related to size of the embryo, body size and metabolism, differences in immune function or embryo mortality between different parity order45,46. However, the findings of the herein study are adverse, since, the effects of parity order did not follow the same pattern in RSAD2 and IFI44 genes. In this regard, previous studies reported that the expression of the RSAD2 gene in the ovine uterus47, and in PBMCs of beef cows48 are regulated by P4 concentrations; however, whether this regulation is positive or negative remains contradictory between studies.
Based on previous studies3,22,49 the ROC curve was established to determine the efficiency of pregnancy prediction through the expression of the classical ISGs (ISG15 and OAS1) obtained in the study by Dalmaso de Melo et al.22; and the other ISGs (RSAD2 and IFI44) obtained in the present study. The ROC curve (Fig. 7) showed that all ISGs were considered significant predictors of pregnancy with an accuracy exceeding 70%; and in primiparous and pluriparous cows, RSAD2 and IFI44 were considered the most accurate genes. When RSAD2 expression was compared between parity categories, greater and similar accuracies (92%) were observed in primiparous and pluriparous compared to nulliparous females (Table 4). These findings are contrary to those observed by Dalmaso de Melo et al.22, in which the accuracy of the ISG15 and OAS1 genes was greater in heifers (81%) compared to cows (72%). Pugliesi et al.3 described an accuracy close to 80% when this method was performed on PBMCs on the 20 th day of pregnancy in beef cows, but sensitivity ranged from 66 to 78%. Yoshino et al.49 reported for ISG expression PMN of dairy cows, accuracies ranging from 57 to 86% between days 20 and 22 of pregnancy. Here, we reported greater predictive accuracy for RSAD2 and IFI44 compared to previous studies that used only classical an usual ISGs, mostly because of the lower frequency of false-positive and false-negative and, consequently greater positive and negative predictive value.
Color-Doppler methodology in commercial beef cattle operations for detecting non-pregnant females increased recently50. Although this technology frequently achieves 100% sensitivity, its main limitation is the frequency of false-positive results. Here, we combined this method with the expression of ISGs in PMN, in an attempt to further increase the accuracy of pregnancy prediction. Specifically, the cutoff value of each gene analyzed individually or together (RSAD2, IFI44, RSAD2/IFI44, or RSAD2/IFI44/ISG15/OAS1) was applied only in females with a functional CL on D20 (i.e., females diagnosed as pregnant by the Doppler method) (Table 5). Females with a non-functional CL on D20 were automatically classified as non-pregnant. Overall, the combined method increased the accuracy of the diagnosis (e.g., accuracy = 98% using only RSAD2 or RSAD2/IFI44 expression in primiparous cows) due to the reduction in false-positive results, but the false-negative results were still frequent for same associations (1 to 10%). Pugliesi et al.3 and Dalmaso de Melo et al.22 reported an accuracy between 84 and 90% when combining the use of two genes (OAS1/MX2 or ISG15/OAS1) in females with a functional CL on day 20 of pregnancy.
Finally, the expression of ISGs in animals with an active CL on D20 regardless of the parity category was evaluated, and all possible combinations of ISGs were performed (Table 6). The combination of all four ISGs (RSAD2/IFI44/ISG15/OAS1) yielded the lowest proportion of false-negative (0.9%; 2/233). The persisting inaccuracy for the prediction of pregnancy status associated with false-negative results may be related to animals in which IFN-τ does not signal enough to stimulate the expression of ISGs. In this context, it is known that the size of the conceptus is directly associated with the amount of IFN-τ released51. On the other hand, the inaccuracy related to false-positive results can occur as an outcome of early embryonic mortality between Doppler-US + ISG expression diagnosis on D20 and confirmatory B-mode diagnosis on D30 (gold standard method for pregnancy status). In addition, another related factor may be due to the induction of ISGs by other types of stimuli. Interferon receptors (IFNAR) are non-selective receptors and can be stimulated by any type 1 interferon, which means that other interferons can bind to it and stimulate the expression of ISGs, as, for example, in viral infections3,22,42,52.
Although Doppler-US is an excellent predictor of pregnancy that provides immediate results, it is not effective in assessing conceptus viability and predicting embryonic mortality between 20 and 30 days in cattle with active CL. Thus, the molecular methods proposed in the present study serve as a complementary approach to Doppler-US, since ISGs respond directly to signals derived from the conceptus. However, the field applicability of this method in resynchronization programms is still a limitation, emphasising the need for future development of rapid commercial diagnostic PCR tests. Nevertheless, this study represents an important initial step towards achieving greater diagnostic accuracy, a goal that has not yet been fully achieved with current techniques.
In summary, we conclude that immune cells respond promptly to IFN-τ and/or conceptus stimulus, which may favor the use of PBMC or PMN in novel methods for the detection of pregnancy in cattle (Fig. 8). Furthermore, the presence of the bovine conceptus in the uterine environment possibly induces a state of maternal immune tolerance essential for embryonic survival and the establishment of pregnancy. The greater abundance of RSAD2 and IFI44 in PMN on day 20 post-TAI in pregnant beef heifers and suckled cows allowed a high-accuracy method to detect pregnancy, but false-negative results were not eradicated. In addition, our study reports that the association between the expression of four classical ISGs can be used to obtain a more accurate method of pregnancy prediction in bovine females with functional CL at early pregnancy.
Summary of Results. In the Experiments 1 and 2 (in vitro studies), relative expression indicated that the treatments upregulated the ISGs (ISG15, RSAD2, and IFI44) and downregulated the pro-inflammatory cytokine IL1β in PBMC and PMN immune cells. According to the in vivo study Experiment 3 (in vivo study), we propose that an association between the expression of classical usual (ISG15 and OAS1) and unusual (RSAD2 and IFI44) ISGs in females with active CL through Doppler ultrasonography can be used as a high-accurate predictor of pregnancy in cows on day 20 post-timed-AI (TAI). Blue arrows represent downregulation and red arrows represent upregulation of genes. Illustration created using the Biorender software (https://www.biorender.com/).
Data availability
All data generated or analyzed during this study are included in this published article [and its supplementary information files].
References
Sales, J. N. S. et al. Evolution over the last 40 years of the assisted reproduction technologies in cattle - the Brazilian perspective I - timed artificial insemination. Anim. Reprod. 21 (3), e20240034 (2024).
Forde, N. et al. Conceptus-induced changes in the endometrial transcriptome: how soon does the cow know she is pregnant? Biol. Reprod 85 (1), 144–156 (2011).
Pugliesi, G. et al. Conceptus-induced changes in the gene expression of blood immune cells and the ultrasound-accessed luteal function in beef cattle: how early can we detect pregnancy? Biol. Reprod 91 (4), 1–12 (2014).
Motta, I. G. et al. Increased pregnancy rate in beef heifers resynchronized with estradiol at 14 days after TAI. Theriogenology 15 (147), 62–70 (2020).
Siqueira, L. G. et al. Color doppler flow imaging for the early detection of nonpregnant cattle at 20 days after timed artificial insemination. J. Dairy. Sci. 96 (10), 6461–6472 (2013).
Pugliesi, G. et al. Use of doppler ultrasonography in embryo transfer programs: feasibility Ans field results. Anim. Reprod. 15, 239–246 (2018).
Forde, N., Bazer, F. W., Spencer, T. E. & Lonergan, P. Conceptualizing’ the endometrium: identification of Conceptus-Derived proteins during early pregnancy in cattle. Biol. Reprod. 92 (6), 156 (2015).
Imakawa, K. et al. Interferon-like sequence of ovine trophoblast protein secreted by embryonic trophectoderm. Nature 330, 377–379 (1987).
Bazer, F. W., Spencer, T. E. & Ott, T. L. Interferon Tau: a novel pregnancy recognition signal. Am. J. Reprod. Immunol. 37, 412–420 (1997).
Reese, S. T. et al. Pregnancy loss in beef cattle: A meta-analysis. Anim. Reprod. Sci. 212, 106251 (2020).
Bulla, R., Fischetti, F., Bossi, F. & Tedesco, F. Feto-maternal immune interaction at the placental level. Lupus 13, 625–629 (2004).
Bianchi, D. W., Zickwolf, G. K., Weil, G. J., Sylvester, S. & DeMaria, M. A. Male fetal progenitor cells persist in maternal blood for as long as 27 years postpartum. Proc. Natl. Acad. Sci. ; 93: 705–708. (1996).
Morelli, S. S., Mandal, M., Goldsmith, L. T., Kashani, B. N. & Ponzio, N. M. The maternal immune system during pregnancy and its influence on fetal development. Res. Rep. Biol. 6, 171–189 (2015).
Bonney, E. A. Immune regulation in pregnancy: a matter of perspective? Obstet. Gynecol. Clin. 43, 679–698 (2016).
Talukder, A. K. et al. Oviduct epithelium induces interferon-tau in bovine day-4 embryos, which generates an anti-inflammatory response in immune cells. Sci. Rep. 8, 7850 (2018).
Talukder, A. K. et al. Bovine embryo induces an anti-inflammatory response in uterine epithelial cells and immune cells in vitro: possible involvement of interferon Tau as an intermediator. J. Reprod. Dev. 63, 425–434 (2017).
Meyerholz, M. M. et al. ISG-15 and MX-1 gene expression is detected in the liver of holstein–friesian heifers during late peri-implantation period. Reprod. Domest. Anim. 51, 175–177 (2015).
Sponchiado, M. et al. Pre-hatching embryo-dependent and – independent programming of endometrial function in cattle. PLoS ONE. 12 (4), e0175954 (2017).
Bridi, A. et al. Parthenogenetic bovine embryos secrete type I interferon capable of stimulating ISG15 in luteal cell culture. Anim. Reprod. 15 (4), 1268–1277 (2018).
Hansen, T. R., Sinedino, L. D. P. & Spencer, T. E. Paracrine and endocrine actions of interferon Tau (IFNT). Reproduction 154 (5), F45–F59. https://doi.org/10.1530/REP-17-0315 (2017).
Soumya, N. P. Differential expression of ISG 15 mRNA in peripheral blood mononuclear cells of nulliparous and multiparous pregnant versus non-pregnant Bos indicus cattle. Reprod. Domest. Anim. 52, 97–106 (2017).
Dalmaso de Melo, G. et al. Applied use of interferon-tau stimulated genes expression in polymorphonuclear cells to detect pregnancy compared to other early predictors in beef cattle. Theriogenology 152, 94–105 (2020).
Rocha, C. C. et al. Early pregnancy-induced transcripts in peripheral blood immune cells in Bos indicus heifers. Sci. Rep. 10, 13733 (2020).
Houghton, P. L., Lemenager, R. P., Hendrix, K. S., Moss, G. E. & Stewart, T. S. Effects of body composition, pre- and postpartum energy intake and stage of production of energy utilization by beef cows. J. Anim. Sci. 68 (5), 1447–1456 (1990).
Jiemtaweeboon, S. et al. Evidence that polymorphonuclear neutrophils infiltrate into the developing corpus luteum and promote angiogenesis with interleukin-8 in the cow. Reprod. Biol. Endocrinol. 8 (9), 79 (2011).
Ott, T. L., Van Heeke, G., Johnson, H. M. & Bazer, F. W. Cloning and expression in Saccharomyces cerevisiae of a synthetic gene for the type-I trophoblast interferon ovine trophoblast protein-1: purification and antiviral activity. J. Interferon Res. 11 (6), 357–364 (1991).
Rashid, M. B. et al. Evidence that interferon-tau secreted from Day-7 embryo in vivo generates anti-inflammatory immune response in the bovine uterus. Biochem. Biophys. Res. Commun. 500 (4), 879–884 (2018).
Fiorenza, M. F. et al. Neutrophils recognize and amplify IFNT signals derived from day 7 bovine embryo for stimulation of ISGs expression in vitro: A possible implication for the early maternal recognition of pregnancy. Biochem. Biophys. Res. Commun. 553, 37–43 (2021).
Antoniazzi, A. Q. et al. Endocrine delivery of interferon Tau protects the corpus luteum from prostaglandin F2 alpha-induced luteolysis in Ewes. Biol. Reprod. 88 (6), 144 (2013).
Shirasuna, K. et al. Upregulation of interferon-stimulated genes and interleukin-10 in peripheral blood immune cells during early pregnancy in dairy cows. J. Reprod. Dev. 58 (1), 84–90 (2012).
Oliveira, J. F. et al. Expression of interferon (IFN)-stimulated genes in extrauterine tissues during early pregnancy in sheep is the consequence of endocrine IFN-t release from the uterine vein. Endocrinology 149, 1252–1259 (2008).
Araújo, E. R. et al. Spatio-specific regulation of endocrine-responsive gene transcription by periovulatory endocrine profiles in the bovine reproductive tract. Reprod. Fertil. 28, 1533–1544 (2016).
Pfaffl, M. W. A new mathematical model for relative quantification in real-time RT-PCR. Nucleic Acids Res. 29, e45 (2001).
Melo, G. D. et al. Type I interferon receptors and interferon-τ-stimulated genes in peripheral blood mononuclear cells and polymorphonuclear leucocytes during early pregnancy in beef heifers. Reprod. Fertil. Dev. 32 (11), 953–966 (2020).
Gifford, C. A. et al. Regulation of interferon-stimulated genes in peripheral blood leukocytes in pregnant and bred, nonpregnant dairy cows. J. Dairy. Sci. 90 (1), 274–280 (2007).
Yankey, S. J. et al. Expression of the antiviral protein Mx in peripheral blood mononuclear cells of pregnant and bred, non-pregnant Ewes. J. Endocrinol. 170 (2), R7–11 (2001).
Wegmann, T. G., Lin, H., Guilbert, L. & Mosmann, T. R. Bidirectional cytokine interactions in the maternal-fetal relationship: is successful pregnancy a TH2 phenomenon? Immunol. Today 14 (7), 353–356 (1993).
Teixeira, M. G. et al. Bovine granulocyte chemotactic protein-2 is secreted by the endometrium in response to interferon-tau (IFN-tau). Endocrine 6 (1), 31–37 (1997).
Thatcher, W. W., Meyer, M. D. & Danet-Desnoyers, G. Maternal recognition of pregnancy. J. Reprod. Fertil. Suppl. 49, 15–28 (1995).
Roberts, R. M., Chen, Y., Ezashi, T. & Walker, A. M. Interferons and the maternal–conceptus dialog in mammals. Semin Cell. Dev. Biol. 19, 170–177 (2008).
Han, H., Austin, K. J., Rempel, L. A. & Hansen, T. R. Low blood ISG15 mRNA and progesterone levels are predictive of non-pregnant dairy cows. J. Endocrinol. 191, 505–512 (2006).
Green, J. C., Okamura, C. S., Poock, S. E. & Lucy, M. C. Measurement of interferon-tau (IFN-tau) stimulated gene expression in blood leukocytes for pregnancy diagnosis within 18-20d after insemination in dairy cattle. Anim. Reprod. Sci. 121 (1–2), 24–33 (2010).
Cheng, L. et al. Duplex quantitative polymerase chain reaction of ISG15 and RSAD2 increases accuracy of early pregnancy diagnosis in dairy cows. Ann. Anim. Sci. 19 (2), 383–401 (2019).
Casano, A. B. et al. Interferon Tau (IFNt) and Interferon-Stimulated genes (ISGs) expression in peripheral blood leukocytes and correlation with Circulating pregnancy-Associated glycoproteins (PAGs) during Peri-Implantation and early pregnancy in Buffalo cows. Animals 12 (22), 3068 (2022).
Berg, D. K., Van Leeuwen, J., Beaumont, S., Berg, M. & Pfeffer, P. L. Embryo loss in cattle between days 7 and 16 of pregnancy. Theriogenology 73, 250–260 (2010).
National Academies of Sciences. Engineering, and Medicine. Nutrient Requirements of Beef Cattle: Eighth Revised Edition (National Academies, 2016).
Gray, C. A. et al. Identification of endometrial genes regulated by early pregnancy, progesterone, and interferon Tau in the ovine uterus. Biol. Reprod. 74 (2), 383–394 (2006).
Rocha, C. C. et al. Viperin (RSAD2) gene expression in peripheral blood mononuclear cells of pregnant crossbred beef cows is altered by Bos indicus genetics. Theriogenology 209, 226–233 (2023).
Yoshino, H. et al. A predictive threshold value for the diagnosis of early pregnancy in cows using interferon-stimulated genes in granulocytes. Theriogenology 107, 188–193 (2018).
Pugliesi, G., Guimarães da Silva, A., Viana, J. H. M., Siqueira, L. G. B. & Review Current status of corpus luteum assessment by doppler ultrasonography to diagnose non-pregnancy and select embryo recipients in cattle. Animal 1, 100752 (2023).
Spencer, T. E., Forde, N. & Lonergan, P. Insights into conceptus elongation and establishment of pregnancy in ruminants. Reprod. Fertil. Dev. 29 (1), 84–100 (2016).
Ferraz, P. A. et al. Feasibility and accuracy of using different methods to detect pregnancy by conceptus-stimulated genes in dairy cattle. JDS Commun. 2 (3), 153–158 (2021).
Acknowledgements
The authors would like to thank all students from the Molecular Endocrinology Physiology Laboratory (LFEM-FMVZ-USP). Also, we thank Dr. Fuller W. Bazer (Tex-as A & M University) for gently providing recombinant ovine IFN-τ. We thank the Pi-rassununga Campus of the University of São Paulo for their structure and animals. We acknowledge the Coordination for the Improvement of Greater Education Personnel (CAPES) for awarding a PhD scholarship. This research was funded by the São Paulo Research Foundation (FAPESP) (grant number 2015/10606-9) and National Council of Scientific and Technological Development (CNPq) - INCT grant (#406866/2022-8).
Author information
Authors and Affiliations
Contributions
Isabella Rio Feltrin: conceived the study, performed reproductive management and PCR analyses, and wrote the manuscript. Gabriela Dalmaso de Melo: conducted the previous study where the samples used in the present study were obtained. Pedro Pisani Freitas: assisted with reproductive management, collection and pro-cessing of samples in the laboratory.Karine Galhego Morelli: assisted with reproductive management, collection and pro-cessing of samples in the laboratory.Mario Binelli: assisted with expertise in experimental design, and correction of the manuscript. Claudia Maria Bertan Membrive: supervisor and assisted with expertise in experi-mental design, and correction of the manuscript. Guilherme Pugliesi: co-supervisor, provided the project administration, financial sup-port, expertise in experimental design, statistical analysis, and corrected the manuscript.
Corresponding author
Ethics declarations
Competing interests
The authors declare no competing interests.
Additional information
Publisher’s note
Springer Nature remains neutral with regard to jurisdictional claims in published maps and institutional affiliations.
Electronic supplementary material
Below is the link to the electronic supplementary material.
Rights and permissions
Open Access This article is licensed under a Creative Commons Attribution-NonCommercial-NoDerivatives 4.0 International License, which permits any non-commercial use, sharing, distribution and reproduction in any medium or format, as long as you give appropriate credit to the original author(s) and the source, provide a link to the Creative Commons licence, and indicate if you modified the licensed material. You do not have permission under this licence to share adapted material derived from this article or parts of it. The images or other third party material in this article are included in the article’s Creative Commons licence, unless indicated otherwise in a credit line to the material. If material is not included in the article’s Creative Commons licence and your intended use is not permitted by statutory regulation or exceeds the permitted use, you will need to obtain permission directly from the copyright holder. To view a copy of this licence, visit http://creativecommons.org/licenses/by-nc-nd/4.0/.
About this article
Cite this article
Feltrin, I.R., Melo, G.D., Freitas, P.P. et al. Conceptus signaling markers in immune cells enhance pregnancy prediction in beef cattle. Sci Rep 15, 17548 (2025). https://doi.org/10.1038/s41598-025-01996-y
Received:
Accepted:
Published:
Version of record:
DOI: https://doi.org/10.1038/s41598-025-01996-y










