Abstract
Movement therapy using Rhythmic Auditory Stimulation (RAS) has been proven beneficial in Parkinson’s disease (PD). However, research regarding RAS-therapy using wearable devices in all neurological disorders is needed. The aim of this study is to investigate the effectiveness of RAS-therapy using wearable devices on movement in individuals with neurological disorders. Systematic review and meta-analysis. Data sources June 27, 2024. PubMed, Web of Science, Medline, PEDro and ScienceDirect were searched. Following PRISMA-guidelines 2020. Inclusion criteria: all neurological disorders, Rhythmic auditory stimulation, wearable devices, movement parameters, studies written in Dutch or English. Exclusion criteria: non-neurological disorders, children, animals, healthy individuals, other interventions, EMG and EEG outcome parameters, patient reported outcome parameters, systematic reviews, meta-analyses, and other languages besides Dutch or English. Risk of bias was assessed using the QualSyst tool. 7993 articles after double-blind screening; thirty studies were included in the review and fifteen in the meta-analysis. Results showed improvements in stride length, step length, gait velocity, double support time, arm swing peak velocity and arm swing ROM. The meta-analysis confirmed significant improvements in gait velocity and stride length within a longitudinal design as well as when compared to a control group. Improvement in cadence was only significant in a longitudinal design but non-significant when compared to a control group (p = 0.247). RAS-therapy can be implemented for rehabilitation of PD, MS and stroke.
Similar content being viewed by others
Introduction
Due to the increasing life expectancy, the population of elderly people amongst the general population has begun (and will continue) to grow, leading to an increase in neurological disorders and thus a growing number of people with movement-related disorders. In a study of J.P. Bach et al. (2011)1, it was predicted that the prevalence of movement disorders would increase considerably between 2010 and 2050 with the greatest increase in Lewy Body Dementia. Interestingly, the authors suggested that the prevalence of Parkinson’s disease could double in some countries. In 2022, the World Health Organisation projected a two-fold increase of the sixty-plus population by 2050 (up to 2.1 billion). Additionally, an increase of the eighty-plus population of up to 436 million by 2050, was also estimated2. Consequently, the pressure on society to accommodate the increasing amount of those suffering with movement disorders will continue to rise3. Movement disorders can manifest themselves in several ways, of which tremor being the most common symptom worldwide4. Besides this, they may occur in various parts of the body. Upper extremity dysfunctions appear to be very common amongst stroke survivors5. Gait deviations also appear a common result of certain neurological disorders6. To clarify, gait disturbances are described as any deviation from the normal gait pattern, which may be outed in several ways due to the wide range of potential aetiologies at the root of these deviations7. Moon et al.6 concluded that among various neurological pathological groups, gait variability had increased compared to healthy individuals. These gait disorders have been directly correlated with poor quality of life and increased mortality8. A study of Varghese et al.9 showed that subjects with a neurological gait, had an increased risk of falls. Recurrent falls had also been associated with a neurological gait pattern in contrast to the population of subjects with non-neurologic disorders10. Depending on their nature, falls might lead to additional burdens for the diagnosed individual as well as the caregivers and by extension, the general healthcare system11. Thus, it is crucial to develop adequate treatment options to improve general movement among this population. Music therapy based on Rhythmic Auditory Stimulation (RAS) could potentially improve the gait and movement of those suffering with neurological disorders. RAS is a safe, inexpensive, free of adverse health effects and non-invasive neurological Music Therapy technique that synchronizes gait movements with predictable time cues to facilitate the rehabilitation of intrinsically rhythmic movements12,13,14. RAS can be applied in daily life using a musical stimulus to enhance the adherence to physical activity15. When applied to gait training, RAS could be provided in the form of regular isochronous auditory pulses like metronome clicks or metrical acoustical beat incorporated music, mostly matched to the preferred cadence of the subject14. RAS can be gradually increased or decreased to accommodate for the optimal cadence, velocity and stride length of the subjects in question14,16. Mostly, studies use a fixed-tempo RAS stimulus (e.g., metronome sound), to which the subjects have to synchronize their steps to, thus demanding a certain amount of attention from the subject12. However, RAS could also be implemented as an adaptive, interactive cueing system which adjusts (in real-time) to the subjects movements and gait pattern, potentially being more effective than the fixed-tempo RAS intervention12. Currently, reviews regarding the effects of RAS or musical therapy on neurological disorders already exists. Zhou et al.17 concluded that the music-based movement therapy is an effective treatment for improving several parameters including: motor function, balance, freezing of gait (FOG), gait velocity and mental health in subjects with Parkinson’s disease. Ye et al.18 supported these findings and concluded that RAS improved the stride length, gait speed, FOG and UPDRS-III19 in subjects with PD. Furthermore, López-Ortiz et al.20 concluded that dance and RAS provided beneficial effects in terms of balance, gait and walking for patients with Cerebral Paresis (CP). These reviews are often limited to one group of neurological disorders like PD and generally lack the use of wearable devices. There is still a gap in the literature regarding the use those wearable devices in combination with RAS-therapy targeted at the greater population of subjects with neurological disorders. Wearable systems such as inertial measurement units or wearable foot pressure insole, could overcome the limitations of non-wearable devices when it comes to data capturing during motion or gait. The use of such system makes it possible to continuously capture data outside the clinical setting, thus providing more accurate and complete data on the movements21. Wearable devices such as headphones could be used to provide the rhythmical beats to the subjects during RAS interventions. The usage of RAS on neurological patients using wearable devices has already been studied in a previous systematic review of Scataglini et al.22. Subjects included in this study suffered from either PD, MS, stroke or spinal cord injuries. The authors discovered that RAS in combination with these wearable devices was both effective and favourable as an intervention during the rehabilitation phase. However, few included articles covered neurological disorders other than PD22. There is still a need for further research in the field of wearable technology and the role it plays in RAS interventions for other neurological disorders. Therefore, the aim of this systematic review is to compile all available evidence regarding the effectiveness of RAS therapy using wearable devices for providing stimuli in persons diagnosed with a neurological disorder. Additionally, a meta-analysis will be conducted to provide a clearer and more comprehensive understanding of the effect of RAS-therapy. Furthermore, it is possible to reveal variations in outcomes between different gait parameters.
Materials and methods
This systematic review and meta-analysis were conducted according to the PRISMA guidelines set in 202023 and registered into PROSPERO International Prospective Register of Systematic Review (n = CRD42024527928).
Eligibility criteria
To be included, studies had to explore the effect of wearable RAS interventions on individuals with a neurological disorder (all neurological disorders were included). Following definition based on the research of Choi et al.24 was used to describe wearable devices: Wearables based on-body that can stimulate (RAS) and/or monitor physical characteristics (such as spatiotemporal gait parameters). Effects regarding the motoric system of subjects were included. All other outcome measures not pertaining to the motoric system were excluded. Comparisons made with other interventions or population groups were not considered. No limitations regarding date of publication. A visual summary of the eligibility criteria according to the PICOST method can be found in Table 1.
Information sources
A systematic search of five electronic databases (PubMed, Web of Science, PEDro, Medline and ScienceDirect) was carried out on June 27, 2024. Subsequently the articles were transferred to Endnote 2025.
Search strategy
Each database was searched using a search strategy specifically designed for that respective database (Table 2). The search strategies used, consisted of keywords related to various neurological disorders, rhythmic auditory stimulation and motoric parameters. Some databases required multiple separate search strategies to find all relevant articles.
Selection process
The selection process was carried out in two stages using the online screening tool Rayyan26, which allowed double blinding during each stage of the process. The selection process was conducted by three independent reviewers (LJ, LVE and CVL), with each researcher reviewing two-thirds of the total number of articles, ensuring that each article was screened at least twice. Firstly, articles were screened based on their titles as well as their abstracts to quickly assess their relevance to the research question. Secondly, articles underwent a secondary screening based on their full texts. Following each stage, any conflicts were discussed, and a unanimous decision was made. Thirty articles were included in the review. The reasons leading to the exclusion of certain studies included; study design, language, topic, population (no neurological disorders), incorrect interventions (no rhythmic auditory stimulation and/or no wearable devices and/or no headphones) and lastly no motoric parameters as outcome. Articles were excluded if RAS was not provided using a wearable device, such as headphones (Table 3).
Data collection process
The task of extracting data from the included studies was evenly divided amongst the three authors. Each researcher screened their portion of the included articles, independently (Fig. 1). Disagreements were resolved by the decision of a third reviewer. The extracted data can be consulted in Table 4.
Data items
The extracted data consisted of several components; (1) general information about the article such as author, publication year and study design; (2) population information including the type of neurological disorder, sample size, number of dropouts, mean age and gender ratio; (3) data on the intervention and wearables used; (4) results regarding RAS intervention and motoric parameters.
Methodology study risk of bias assessment
The risk of bias of the included articles was assessed under double-blind conditions by all three investigators. Any disagreements between the researchers regarding the risk of bias, was resolved via consensus. A summary of this process is described on Table 5. The quality of the included articles was assessed using the QualSyst tool27. This tool can be used for a variety of primary research articles and is made up of two systems. The first of these two systems is used for qualitative research, whilst the other is used to assess quantitative studies. Due to the nature of this review, only the quantitative analysis system was used to assess all potential studies. A score indicating the internal validity of the article can be calculated based on fourteen questions listed in Table 3. The score corresponds to the percentage of confidence and can be calculated by a formula based on the number of times researchers provided certain answers during the assessment of each article. A higher percentage indicates a lower risk of bias.
Methodology meta-analysis
Fifteen articles were included in the meta-analysis. However, only articles reporting data on gait were included in the meta-analysis due to the insufficient number of studies providing outcome data related to the upper limb. The parameters assessed in the meta-analysis concerning gait were gait velocity, stride length, and cadence. The included articles provided data on individuals who received RAS-therapy (experimental group) compared to control group and/or data on pre-intervention versus post-intervention outcomes. The data was firstly entered manually into Microsoft Excel and then exported to IBM SPSS Statistics (version 29.0.2.0) for the analysis of the data. The aforementioned parameters were statistically examined in a longitudinal design using a random effects model. Additionally, heterogeneity was assessed using the I2 statistic and Cochran’s Q test.
Results
Study selection
In total, 7993 records were found in multiple databases. After removing duplicates, the remaining 4157 articles were screened based on their title and abstract. Following the initial screening process, a secondary full-text screening of the remaining eighty-three articles left thirty studies to be included in the final systematic review. The references pertaining to the included studies can be found within the bibliography. In addition, the study selection process can be referred to in Fig. 1.
Risk of bias within studies
The thirty articles included in this review were assessed using the QualSyst risk of bias tool. Table 5 provides a detailed description of the assessment. Risk of bias is determined based on several factors including; blinding, outcome measures, analysing process, estimation of variance and lastly identification of confounding factors. Thirteen papers are randomized controlled trails (RCT)13,28,29,30,31,32,33,34,35,36,37,38,39 of which six13,28,29,30,34,39 have a percentage of confidence higher than ninety percent, indicating a very low risk of bias. Li et al.32 and Mainka et al.33 have a percentage between eighty and ninety percent. Kim et al.31 achieves an internal validity of sixty-four percent, making it the article with the lowest score of all RCT studies. The remaining four RCTs35,36,37,38 have a score ranging between seventy and eighty percent. The other seventeen articles have scores ranging from seventy to a hundred percent. Chomiak et al.40, Ginis et al.41, Ginis et al.42 and Moumdjian et al.43 have achieved a hundred percent internal validity.
Study characteristics
In Table 6, a summary of characteristics (incl. study design, sample size, mean age, gender ratio, duration of intervention, type of RAS, used wearable devices and overall outcome) of the included studies is shown. Refer to Table 4 for detailed information regarding intervention procedures and results.
Study demographics
In the six studies on stroke30,31,33,35,44,45, 68 participants are men, while 39 participants are women. The youngest reported mean age of participants is 53 years35 while the oldest reported mean age is 67 years30. The studies have been conducted in the United States of America (Massachusetts)44,45, Germany30,33 and Republic of Korea31,35. The disease duration, defined as the time since the stroke occurred, ranges from 1.4 months to 99.5 months (8.3 years).
The distribution of sex in the multiple sclerosis studies by Baram et al.46, Conklyn et al.29, Moumdjian et al.43, and Shahraki et al.36 shows that eighty-two participants are women, while only thirty-two are men. The reported mean ages of participants were 49 years29,46, 54 years43, and 39 years36. The studies are conducted in Israel46, Ohio29, Belgium43 and Iran36, covering multiple continents of the world. The mean disease duration lays between 9 and 17 years amongst the studies. The expanded disability status scale (EDSS) reported by Baram et al.46 ranges from a score of three and a half to six, while Shahraki et al.36 reported a range from three to six.
For Parkinson’s disease, a total of 596 participants of which 358 male and 200 female were examined within RAS conditions amongst 20 studies. Only one study by Murgia et al.33 didn’t mention the gender ratio. Within the studies, 61 years27 was the lowest mean age, whilst 75 years48 was the oldest. Like within the subgroups of MS and stroke, the studies were conducted around the world in different continents except for Africa and Oceania. The studies were conducted in Germany28, Canada13,40, France47, Italy34,42,48,49, Belgium41,50, Portugal and Spain51, Japan38,52,53, China32, Brazil54 and the United States of America37,55,56 All studies were conducted on participants with a Hoehn and Yahr scale between one and four.
Results of the individual studies – intervention
Looking at all the included studies, different modalities and types of RAS are used. On one hand, fixed-tempo RAS are used (e.g., metronomic beats matching the subjects´ cadence). On the other hand, an adaptive RAS (real-time adaptive stimulus interacting with the subjects´ gait pattern) could be implemented. Wearable systems such as BeatWalk47 and WalkMate38 have recently been invented, making it possible to investigate this type of RAS. BeatWalk includes an application that adapts the tempo of music in order encourage the synchronisation of the subjects´ gait with the auditory stimulus47. The WalkMate system (used in the studies of Hove et al.52 and Uchitomi et al. (2016 and 2013)38,53), generates rhythmic cues, interacting interpersonally with the individual gait rhythm of the participants. However, WalkMate uses pressure sensors in the shoes of the subjects and a real-time computer to either speed up or slow down the provided stimulus based on the speed of the subjects´ footsteps. This, in turn, has an impact on the gait timing52. The point of interest is to report the results of adaptive RAS versus fixed-tempo RAS to create an overview of any notable differences in the results. As mentioned in the introduction, the adaptive RAS might be more effective.
Adaptive RAS
Up until now, literature investigating adaptive RAS has been focussed solely on its impact on gait patterns. Baram et al.46 provided subjects with an auditory stimulus in the form of a ‘click’ every time the subject takes a step. The goal of this approach is to encourage subjects to create an even, rhythmic pattern, leading to an improved gait, significant for gait velocity and stride length. Cochen De Cock et al.47 used BeatWalk to improve the subjects´ cadence. The results of the 6MWT showed statistically significant improvements related to distance, cadence, gait velocity and stride length. Collimore et al.44 also studied the effect of adaptive RAS on the subjects´ gait, showing a significant statistical reduction in gait asymmetry, stance time asymmetry, swing time asymmetry and step time asymmetry (no significant reduction in neither step length asymmetry nor cadence was mentioned). Ginis et al.41 investigated both types of RAS (adaptive vs. fixed). Participants are subjected to either intelligent cueing (ten beats corresponding to the reference cadence) or intelligent feedback (verbal commands to either increase or decrease their tempo). Both feedback and cueing are provided when the mean of five consecutive left and right strides deviate more than five percent compared to the reference cadence. Participants receiving these stimuli show fewer gait deviations than those receiving neither cueing nor feedback. Hove et al.52 found that the Detrended Fluctuation Analysis of the fractal scaling exponent was significantly greater during and post-treatment (using the WalkMate system) when compared to silent control and fixed-tempo RAS trials. Uchitomi et al. (2016)53 determined that the rates of change in stride interval are significantly greater during and after the interactive WalkMate condition when compared to the pre-interaction condition where subjects walked without RAS. In another study, Uchitomi et al. (2013)38 demonstrated how the gait relearning effect in fractal scaling of stride intervals increased significantly following the interactive WalkMate trials, whereas no significant effects were observed in those receiving no cue, fixed cues and/or 1/f fluctuation cues. Furthermore, significant stride interval synchronisation was observed only in the interactive WalkMate intervention group. Hutchinson et al.45 used a sensor to measure the cadence of the subjects and subsequently applied specific algorithms, modifying the auditory stimulus in such a way to set a new target cadence. As a result, the subject is encouraged to adapt to the newly set target cadence by adjusting their gait pattern. Following one session, subjects demonstrated a statistically significant increase in both standard as well as fast gait velocity. Those participants who completed all three sessions had significantly increased both their standard as well as their fast cadence and walking velocity. Moumdjian et al.43 adopted the use of D-Jogger, an adaptive media player in which the tempo of the musical beats and metronomic ‘ticks’ are altered to match the tempo of the individual using this system. The use of this program lead to significant improvements regarding participant cadence when compared to receiving no stimulus. Interestingly, gait velocity was measured to be slower when walking to metronomic beats than when walking to music. In addition, stride length was shorter when walking to music than when walking to a metronomic stimulus. Hutin et al.41 used both types of RAS, the participants walked with a constant metronome stimulation and with an adaptive spatial auditory cue. In the adaptive cueing, they receive a verbal instruction to lengthen their steps if the threshold of 110 percent of the patient’s stride length is not achieved. For both types of interventions, the gait velocity, step length and cadence increased significantly comparing before the intervention and 20 min after the end of the intervention. But remarkable is that the 20-min walking distance is 15% higher while using adaptive spatial auditory cue comparing to a simple rhythmic auditory cue.
Fixed-tempo RAS
In general, most studies used a fixed tempo RAS, which could be a music track, or a metronomic beat. In some studies, the beat of the song is accentuated to make it clearer. Chomiak et al.40 demonstrated a significantly higher dual task step automaticity in subjects who trained using musical stimuli compared to those using stimuli such as podcasts. A multitude of recent studies have shown that training with RAS results in a significant increase in gait velocity, cadence, and stride length. Having said this, Mainka et al.33 and Shahraki et al.36 have all similarly demonstrated this effect. Furthermore, Li et al.32 and Lopez et al.54 have also shown the positive impact of being exposed to a RAS intervention when comparing intervention groups (RAS groups) to non-intervention groups. Although research into these RAS interventions appears promising, not all gait parameters are equally influenced, leading to some parameters enjoying statistically significant improvements, whilst others do not. Looking at parameters such as gait velocity, cadence and stride length, Murgia et al.34 demonstrated statistically significant improvements in regard to both gait velocity and cadence but not stride length. Park et al. (2015)35 found there to be an increase in gait velocity and bilateral stride length. This was especially significant when subjects were tested on a treadmill instead of normal pavement. Park et al. (2021)55 went on to show that gait velocity, stride length and cadence all improved when being exposed to familiar musical stimuli. In addition, Park et al. (2020)56 suggested that, based on their research, neutral musical stimuli lead to non-significant improvements in terms of gait velocity and stride length, pleasant musical stimuli lead to significant improvements in gait velocity and stride length and unpleasant musical stimuli lead to non-significant improvements to gait velocity, but significant improvements to stride length. Calvano et al.28 showed no effect of binaural beats and/or conventional acoustic stimulation on walking. Elsner et al.30 also showed no significant differences between the RAS intervention group and the non-intervention group.
Results of the individual studies—population
The research question included all neurological disorders. However, following the selection process, neurological disorders were limited to the following; PD, MS and stroke. Twenty articles specifically investigated PD, six articles investigated stroke and four articles investigated MS.
Effect of RAS in multiple sclerosis
When reviewing the results of Baram et al.46, Conklyn et al.29, Moumdjian et al.43 and Shahraki et al.36, different outcome measurements were identified and subsequently analysed. Certain outcome measures are consistent across several studies such as gait velocity, cadence, and stride length. Baram et al.46 aimed their study at investigating the impact of auditory feedback cues within a closed-loop system (in response to the steps of the patient) on gait management and rehabilitation. Both gait velocity and stride length were improved. Conklyn et al.29 focused on the evolution of gait parameters when RAS interventions are applied. A significant improvement of the double support time was observed when comparing baseline measurements with those taken after three weeks of RAS training. When effects were analysed after one week, significant improvements were identified in relation to cadence, stride length, gait velocity, step length and normalized gait velocity. The double support time was not significantly decreased after one week of the intervention. Furthermore, Moumdjian et al.43 found there to be a significant improvement in cadence when using music or a metronome in comparison to the absence of auditory stimuli. In addition, the authors demonstrated a significantly greater increase in gait velocity when musical beats were applied as well as in the absence of auditory stimuli (this in comparison to metronomic stimulation). However, stride length improved more when metronomic stimulation was applied in comparison to musical stimulation. Shahraki et al.36 demonstrated a significant increase in stride length, cadence and gait speed when subjects were exposed to metronomic stimuli. Stride time and double support time also significantly decreased when exposed to the same stimulus.
Effect of RAS in Parkinson’s disease
Cross-study results exhibit discrepancies concerning gait velocity. Both positive and negative effects have been documented. Erra et al.49 provided various different RAS tempos and found differing results. The authors concluded that individualized RAS treatment is needed to achieve optimal results. In most studies, stride length was increased32,34,37,42,48,49,54,55,56. However, this increase was not always statistically significant. Step length was also improved both significantly (RAS 110) and non-significantly (RAS 90 and RAS 100) in the study of Erra et al.49 for in two studies. Murgia et al.34 also found significant results for step length. Furthermore, the cadence parameter was increased but these increases were often not of any statistical significance13,32,34,37,42,47,54,55. Interestingly, Erra et al.49 discovered (in their study) that the cadence of both the ON- and OFF-group decreased when participants were sorted into RAS 90 groups (significant) and RASS 100–110 groups (non-significant). De Bartolo et al.48, Erra et al.49 and Park et al. (2021)55 additionally investigated stride length. Erra et al.49 reported non-significant increases in stepping time for some subgroups, whilst remaining subgroups demonstrated significant decreases in terms of the same parameter. Arm swing peak velocity and arm swing ROM were also both investigated by Park et al. in both 202056 and 202155. Although the results of their study appeared to be positive, various inconsistencies were identified regarding statistical significance. Thaut et al. (2019)13 examined the ROM of dorsiflexion and demonstrated improvements of both the left and right ankles. In addition, fall index, BBS57 and TUG58 were also investigated. BBS improved non-significantly, whilst both significant and non-significant results were shown in relation to the TUG parameter due to the applied RAS intervention. The fall index was determined at week 16 and had significantly improved. Remaining results related to the fall index were determined to be of no statistical significance. Chomiak et al.40, Li et al. and31urgia et al. 34 examined the impact of RAS interventions on freezing of gait (FOG). Majority of these studies reported decreases in in FOG-related incidents, with the exception of the study carried out by Chomiak et al.40 (no significant effect). Chomiak et al.40, Cochen De Cock et al.47 and Murgia et al.34 focussed their efforts on examining the effects of RAS interventions on the Falls Efficacy Scale (FES). Both the studies carried out by Cochen De Cock et al.47 and Murgia et al.34 identified significant improvements, while Chomiak et al.40 were unable to demonstrate any improvements to the FES following the application of their RAS intervention. The Movement Disorders Society Unified Parkinson’s Disease Rating Scale (MDS-UPDRS)59 examined by Li et al.32 and Murgia et al.34 showed significant improvement. Cochen De Cock et al.47 were unable to demonstrate any significant improvements to the MDS-UPDRS score. In relation to the double support time parameter, statistically significant reductions were identified by both Li et al.32 and Murgia et al.34 Furthermore, De Bartolo et al.48 also showed significant reductions in terms of double support time when exposed to musical stimuli, whereas the reductions observed in the remaining subgroups were of no statistical significance. Ginis et al. (2017)41 compared the effect of different types of cueing and feedback on gait deviations. Continuous cueing resulted in decreased gait deviations in comparison intelligent feedback and omission of feedback/cueing. In addition, continuous cueing was shown to be more effective than intelligent cueing at achieving decreased gait deviation. Ginis et al. (2017)41 also showed how both intelligent cueing and intelligent feedback lead to fewer gait deviations than when no stimulus was provided. Uchitomi et al. (2016)53 provided interactive rhythmic cues generated by the WalkMate system and examined their effect on different study groups. The authors concluded that those subjects with a festinating gait possess the ability to relearn a stable gait pattern. The authors also demonstrated that the WalkMate system can aid subjects in this process. These conclusions were made based on changes in subjects´ stride intervals. Uchitomi et al. (2013)38 conducted an RCT investigating the effect of interactive rhythmic cues on gait relearning. Interactive WalkMate appeared to be more effective in improving gait relearning effects in fractal scaling of stride interval and stride interval synchronization than no cues, fixed cues and 1/f fluctuation tempo cues, alike. In the pilot-RCT of Huntin et al. (61) similar effects on walking at free speed between the interventions are found. A significant increase in gait velocity and step length is found for both types of cueing before the intervention compared to just after the intervention and compared to 20 min after the intervention. The increase in cadence is only significant when comparing before and 20 min after the intervention. The total walking distance after 20 min of walking is significant higher for adaptive spatial auditory cueing compared to rhythmic auditory cueing.
Effect of RAS in stroke
The majority of studies30,31,33,35,45 suggest (based on their results) that gait velocity significantly increases following a RAS the intervention in subjects who have suffered a stroke. Three studies30,31,33, demonstrated a statistically significant improvement in relation to stride length. Additionally, a significant increase in cadence was found in a series of studies investigating the effect of RAS on this parameter31,33,45. Collimore et al.44 observed no significant changes to cadence. Walking distance of subjects who had suffered a stroke increased (p < 0.05) following the aforementioned intervention in studies conducted by Elsner et al.30, Mainka et al.33 and Park et al. (2015)35. Park et al. (2015)35 interestingly noted a difference between those walking on treadmills and those walking on pavement. RAS group subjects walking on treadmills showed significant improvements, whilst RAS group subjects walking on pavements only experienced non-significant improvements. Additional studies30,31,35,44 included in this review demonstrated significant improvements in regard to the asymmetry index, step time asymmetry, stance time asymmetry, swing time asymmetry, Berg Balance Scale (BBS), Dynamic Gait Index (DGI), Four Square Step Test (FSST), cycle time, Functional Gait Assessment (FGA), peak acceleration and the Fugl-Meyer Assessment (FMA). Both significant as unsignificant improvements were found for the timed up and go (TUG) test, symmetry in swing ratios, movement time and movement units. For the TUG,31 was significant, but35 was not.
Results meta-analysis
Three gait parameters are examined in the meta-analysis: gait velocity, stride length and cadence, all investigated using a random-effects model. Furthermore, the studies could be divided into two main groups: studies within a longitudinal design, comparing performance before and after the application of RAS stimuli and studies that used a control group. Therefore, when discussing data, a division was made between these two. In the forest plots, Cohen’s d, p-value, weight and weight (%) can be found for each individual study as well as Cohen’s d and p-value for the overall effect.
Gait velocity
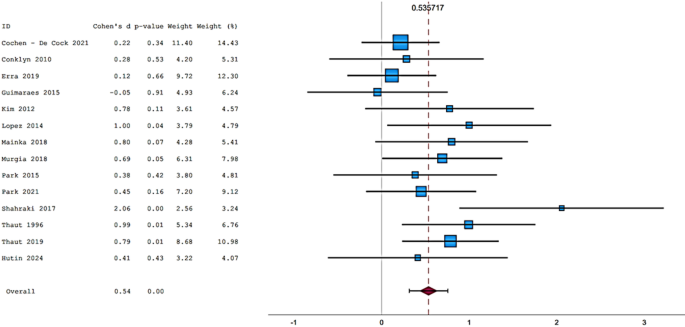
For gait velocity in a longitudinal design, 14 trials including results of 231 participants pre and 222 participants post participants were investigated. A significant mean difference in gait velocity was found, favouring rhythmic auditory stimulation compared to pre-RAS values of the same participants suffering from neurological disorders (95% CI = [0.32; 0.76], p < 0.001; Fig. 2), with a low heterogeneity (I2 = 21.1%, \(\tau^{2}\)= 0.04, H2 = 1.27, Q = 17.57, df = 13, p = 0.175).
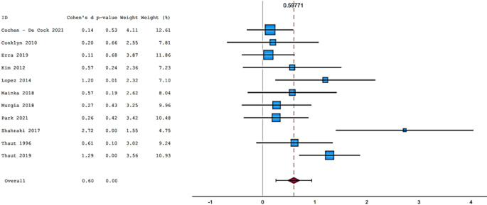
For gait velocity using RAS, compared to a control group, 6 trials including results of 92 experimental participants and 88 control participants were investigated. A significant mean difference in gait velocity was found, favouring rhythmic auditory stimulation within neurological patients, compared to a control group (95% CI = [0.39; 1.11], p < 0.001; Fig. 3), with a low heterogeneity (I2 = 24.2%, \(\tau^{2}\)= 0.05, H2 = 1.32, Q = 7.27, df = 5, p = 0.202).
Stride length
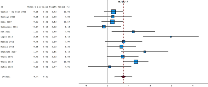
For stride length in a longitudinal design, 11 trials including results of 202 participants pre and 194 participants post participants were investigated. A significant mean difference in stride length was found, favouring RAS compared to pre-RAS values of the same participants suffering from neurological disorders (95% CI = [0.26; 0.94], p < 0.001; Fig. 4), with a moderate to moderate heterogeneity (I2 = 60.8%, \(\tau^{2}\)= 0.19, H2 = 2.55, Q = 26.30, df = 10, p = 0.003).
For stride length using RAS, compared to a control group, 6 trials including results of 92 experimental participants and 88 control participants were investigated. A significant mean difference in stride length was found, favouring rhythmic auditory stimulation within neurological patients, compared to a control group (95% CI = [0.18; 0.78], p = 0.002; Fig. 5), with a low heterogeneity (I2 = 0.00%, \(\tau^{2}\)= 0.00, H2 = 1.00, Q = 2.82, df = 5, p = 0.728).
Cadence
For cadence in a longitudinal design, 12 trials including results of 202 participants pre and 193 participants post participants were investigated. A significant mean difference in cadence was found, favouring RAS compared to pre-RAS values of the same participants suffering from neurological disorders (95% CI = [0.34; 1.14], p < 0.001; Fig. 6), with a moderate heterogeneity (I2 = 70.2%, \(\tau^{2}\)= 0.33, H2 = 3.35, Q = 33.28, df = 11, p < 0.001).
For cadence using RAS, compared to a control group, 6 trials including results of 92 experimental participants and 88 control participants were investigated. A non-significant mean difference in cadence was found, favouring rhythmic auditory stimulation within neurological patients, compared to a control group (95% CI = [-0.25; 0.97], p = 0.247; Fig. 7), with a moderate to high heterogeneity (I2 = 73.7%, \(\tau^{2}\)= 0.42, H2 = 3.80, Q = 21.07, df = 5, p < 0.001).
Discussion
The purpose of this systematic review and meta-analysis was to sum up the evidence concerning the topic of wearable rhythmic auditory stimulation (RAS) to enhance the movement of a broad neurological population. The search strategy was not limited to certain neurological disorders. Remarkably, only results related to stroke, multiple sclerosis and Parkinson’s disease were systematically obtained. Currently, only studies that examined the effect of RAS combined with wearable devices in the population of participants with stroke, multiple sclerosis and Parkinson’s disease are published.
All included studies examining the impact of RAS interventions on subjects suffering from MS29,36,43,46 demonstrated significant improvements regarding both gait velocity as well as stride length. Additionally, significant improvements were made to the cadence of said subjects29,36,43. Both metronomic as well as musical stimulation have been shown to be effective and it can be inferred that RAS is a good intervention for those suffering with MS.
A total of twenty studies investigating the effect of RAS interventions on movement (using wearable devices) of subjects suffering with Parkinson’s disease (PD) were included in this review. Analysis revealed conflicting evidence regarding parameters such as gait velocity, double support time and the MDS-UPDRS59. All evidence relating to stride length and step length leaned towards a general positive trend, with some of the included evidence being considered statistically significant for stride length32,37,42,48,49,54,55,56 and for step length34,39,49. Cadence improved in majority of the included studies where RAS interventions were implemented. However, Erra et al.49 showed the opposite, producing results leaning towards decreased cadence. Arm swing peak velocity was studied by Park et al. in both 202056 and 202155. Their results suggested that arm swing peak velocity increased significantly. In 202155, they also succeeded in demonstrating that a musical stimulus familiar to the subject did not lead to significant increases in either peak arm swing velocity or arm swing ROM (in session two of the experiment). Similarly, exposure to unfamiliar musical stimuli also failed to produce significant increases in these parameters. All in all, literature specifically related to both peak arm swing velocity and arm swing ROM is limited. Therefore, data should be interpreted with caution and further research carried out. Furthermore, studies concerning the effects of RAS interventions on the falls efficacy scale60, Murgia et al.34 and Chomiak et al.40 showed improvements. However, only Murgia et al.34 were able to produce statistically significant results. Lastly, the greater proportion of included studies investigating the effects of RAS interventions suggested that RAS therapy lead to improvements in regards to FOG32,34,40.
A total of six studies30,31,33,35,44,45 investigating the effect of RAS using wearable devices on subjects who had suffered a stroke were included in this review. Four of these30,35,44,45 specifically focussed on chronic stroke subjects, whereas one study31 investigated RAS interventions on subacute stroke subjects. Overall, subjects who had suffered a stroke experienced significant improvements in terms of gait velocity, step length, cadence and walking distance. One of the four studies investigating cadence failed to produce any significant differences in cadence following the implementation of a RAS intervention44.
The lack of information regarding RAS interventions on neurological disorders other than PD, MS, and stroke (using wearable devices) is too great to make any conclusions regarding the effect of this type of intervention on other neurological conditions, not mentioned in this review and meta-analysis. Future research could be useful to highlight the benefits of RAS interventions in other central and peripheral neurological disorders, thus potentially allowing professionals to help a greater population of those suffering from a neurological disorder.
As shown Table 6, a total of seven studies39,43,44,45,46,47,53 researched the effects of an adaptive-RAS intervention on subjects diagnosed with a neurological disorder using wearables. Four studies38,41,42,52 included both types of RAS interventions. The remaining nineteen studies13,28,29,30,31,32,33,34,35,36,37,40,48,49,50,51,54,55,56 used a fixed-RAS intervention. All thirty studies included in this review were effective at improving the target parameters. Both forms of RAS appear to be effective at improving various outcome measures, including gait and movement. All studies corroborate to this effect, except for two fixed-RAS studies, which failed to demonstrate any improvement to their respective outcome measures28,30. In conclusion, neither fixed nor adaptive RAS interventions can be favoured when attempting to improve movement-related parameters as both types of RAS are shown to improve various outcome measures. Further research is needed to compare the effect of adaptive RAS and fixed-tempo RAS.
All included studies included the use of wearable devices. Wearable headphones were used in every study to provide auditory stimuli to the test subjects. Other wearable devices used by the included studies, were smartphones, MP3-players, glasses or specific smartphone applications31,38,39,45,47,52,53,54. Besides those, motion sensing wearable systems were used. For example, hand and foot sensors or any sensor attached to an extremity to capture the movement of a patient measuring the angular rate or body’s specific force used to monitor movements such as gait61. These sensors were commonly used to retrieve the information of the patient’s movements to see whether the RAS-intervention improved those movements Cho et al.62 found that an inertial measurement unit-based system could potentially be a reliable alternative to a camera-based system in the assessment of clinical body motion as well as gait. Some studies used the sensor input (real-time gait pattern analysis) to adapt the given auditory cues.
A previous systematic review by Scataglini et al.22 showed that wearable devices have potential to contribute to RAS-therapy. In their study, they found that they can quantify the effect of a music-based therapy in external, non-clinical environments. This current systematic review has produced similar conclusions based on the overwhelming positive effects of RAS interventions using wearable devices. These findings could potentially pave the way towards providing both training and rehabilitation in environments that are more native (familiar) to the subject. Previous systematic reviews demonstrated the effectiveness of RAS interventions in subjects suffering from various neurological disorders. For example, in the systematic review and meta-analysis of Wang et al.63, it was concluded that RAS interventions improved the gait parameters, gait function and balance of subjects who had suffered a stroke. Additionally, in another study, Wang et al.64 found RAS interventions to be an effective option to improve motor performance. These results are in line with the findings of the current systematic review – an overall improvement in gait parameters and movement (whilst integrating a wearable device). Thus, by integrating a wearable device, the therapy remains effective. This current review is the first to include all neurological disorders in the search strategy, gathering all existing evidence on the topic. Compared to other studies concerning the topic of RAS, this review and meta-analysis investigates the effect of RAS using wearable devices like in previous research of Scataglini et al.22. However, this current study is the first meta-analysis investigating the effect of RAS using wearable devices on movement parameters, including all neurological disorders, thus giving a broad population.
When examining the clinical characteristics of the studies, two-thirds of the participants suffering from a stroke were male, in contrast to the predominantly female participants in the MS studies. An analysis of the mean ages suggests that the participants range from middle-aged to older adults, which is expected given that stroke most commonly occurs at older ages. The geographical locations of the conducted studies are limited, which suggests that a broader range of regions is needed to improve the generalizability of the results around the world. The wide range in disease duration indicates that the effect of RAS has been studied at different stages of post-stroke recovery, ranging from the acute phase to the more chronic phase.
Upon closer examination of the sex distribution of participants in the studies on MS conducted by Baram et al.46, Conklyn et al.29, Moumdjian et al.43, and Shahraki et al.36, it is evident that a disproportionate number of participants are female. Generalizability of the findings is limited due to the underrepresentation of male participants across the studies. On the other hand, the high number of female participants can provide valuable insights into the female population with MS. Additionally, age can be an important moderating factor when assessing the effects of RAS on MS symptoms. The mean ages suggest that most participants were middle-aged people. Age-related variability in disease progression and symptom severity may influence the differential responses observed in the studies. Therefore, further research is needed to assess the effects of RAS in studies with older and younger participants to improve the generalizability of the findings. Taking a closer look at the geographical locations where the studies were conducted, it is evident that a wide range of regions around the world are represented, enhancing the generalizability of the findings. However, Africa and Australia are not represented, which could limit the applicability of the results in these regions. When looking at the mean disease duration is only reported by three articles29,36,46. It can be concluded that the effects of RAS only have been investigated in people who have had MS for a relatively long period of time. Additionally, the range of the expanded disability status scale (EDSS) reported by the studies is logical, as a lower score is associated with no walking disabilities, while a higher score indicates an inability to walk. Therefore, RAS could not have been applied to participants with higher EDSS scores. However, the effect of RAS could have been studies in the lower score range of the EDSS, though this would be likely less relevant.
Lastly, for the population of participants with PD, there were more male subjects than female, with a ratio of 1.8/1 (male/female), comparable to an actual ratio of 2/1 within the general, healthy population65. For age, there was a narrow range of 61 to 75 years of age, which makes that the interpretation and comparison of these studies should lead to more similar results. However, there is a difference in disease severity measured by the Hoehn and Yahr scale amongst the studies, making them less comparable to one another. As of demographics, studies were conducted in Europe, North America, South America and Asia. No studies were found for the continents of Africa, Oceania, or Antarctica.
For the meta-analysis, three gait parameters could be researched: gait velocity, stride length and cadence. A division is made between de studies researching the effect of RAS within one group of participants with neurological disorders and the studies researching the effect of RAS within a group of participants compared to a healthy control group. This division between the studies makes it difficult to statistically compare the effect of RAS on these gait parameters between all studies.
Looking at the funnel plots of each separate meta-analysis concerning the effect of RAS on gait velocity and cadence within a longitudinal design, each plot seems to be symmetrical suggesting that there is no evidence of any publication bias. On the other hand, within the other three funnel plots looking at the effect of RAS on these gait parameters within a group of participants compared to a control group, the number of included articles was too low (< 10) to draw any conclusions out of the funnel plots. An overview of all these funnel plots can be found in Table 7.
Four test situations demonstrated highly significant results (p < 0.001). This for gait velocity when compared to a control group and gait velocity, stride length and cadence in a longitudinal design. For stride length compared to a control group, a significant (p < 0.002) difference was found favouring RAS. Lastly, for cadence, when compared to a control group, no significant difference (p = 0.247) could be observed between a RAS and a control group. Within this comparison, it’s noticeable that only the study of Li et al.32 showed that the cadence was slower post-intervention when compared to a control group, which can be explained by a significant improvement in step length within a RAS experimental group. Overall, these findings align with expectations from the conducted systematic review and the earlier review of Scataglini et al.22.
This review and meta-analysis provide clinically relevant results for exploring the effects of RAS-therapy using wearable devices, focusing on three central neurological disorders; PD, MS, and stroke. Although the current evidence is limited to these conditions, it establishes a foundation for future research that includes other central and peripheral neurological disorders to explore potential therapeutic benefits. Establishing a standardized protocol regarding the intervention and use of wearable devices for studies investigating RAS-therapy would be beneficial for enhancing the results related to movement outcomes. Wearable devices facilitate the implementation of home-based therapy, offering an alternative to rehabilitation in clinical centers or private practices66. Several of the included studies have investigated home-based programs13,29,34,40,47. However, future research is required to assess the implementation of these programs.
Conclusion
This review and meta-analysis provide clinically relevant results for exploring the effects of RAS-therapy using wearable devices, focusing on three central neurological disorders; PD, MS, and stroke. The systematic review reveals clinically relevant improvements in stride length, step length, gait velocity, and double support time. The meta-analysis confirmed significant improvements in gait velocity and stride length within a longitudinal design as well as when compared to a control group. Improvement in cadence was only significant in a longitudinal design but non-significant when compared to a control group (p = 0.247). Future perspectives should be addressed to consider RAS-therapy using wearable technology for peripheral neurological disorders in clinical and home-based therapy.
Data availability
The datasets generated and/or analysed during the current study are not publicly available due to privacy (Rayyan, SPSS) but are available from the corresponding author on reasonable request.
References
Bach, J. P., Ziegler, U., Deuschl, G., Dodel, R. & Doblhammer-Reiter, G. Projected numbers of people with movement disorders in the years 2030 and 2050. Mov. Disord. 26(12), 2286–2290 (2011).
WHO. Ageing and health 2022 [Available from: https://www.who.int/news-room/fact-sheets/detail/ageing-and-health.
Deuschl, G. et al. The burden of neurological diseases in Europe: An analysis for the Global Burden of Disease Study 2017. Lancet Public Health. 5(10), e551–e567 (2020).
van de Jaron, W. et al. Systematic clinical approach for diagnosing upper limb tremor. J. Neurol. Neurosurg. Psych. 91(8), 822 (2020).
Shi, L., Wang, R., Zhao, J., Zhang, J. & Kuang, Z. Detection of Rehabilitation Training Effect of Upper Limb Movement Disorder Based on MPL-CNN. Sensors. 24(4), 1105 (2024).
Moon, Y., Sung, J., An, R., Hernandez, M. E. & Sosnoff, J. J. Gait variability in people with neurological disorders: A systematic review and meta-analysis. Hum. Mov. Sci. 47, 197–208 (2016).
Ataullah AHM, De Jesus O. Gait Disturbances. StatPearls. Treasure Island (FL): StatPearls Publishing Copyright © 2024, StatPearls Publishing LLC.; 2024.
Fasano, A. & Bloem, B. R. Gait disorders. Continuum Minneap Minn. 19, 1344–1382 (2013).
Verghese, J., Ambrose, A. F., Lipton, R. B. & Wang, C. Neurological gait abnormalities and risk of falls in older adults. J Neurol. 257(3), 392–398 (2010).
Mahlknecht, P. et al. Prevalence and burden of gait disorders in elderly men and women aged 60–97 years: A population-based study. PLoS ONE 8(7), e69627 (2013).
Stolze, H. et al. Falls in frequent neurologicaldiseases. J. Neurol. 251(1), 79–84 (2004).
Ashoori, A., Eagleman, D. M. & Jankovic, J. Effects of Auditory Rhythm and Music on Gait Disturbances in Parkinson’s Disease. Front Neurol. 6, 234 (2015).
Thaut, M. H., Rice, R. R., Braun Janzen, T., Hurt-Thaut, C. P. & McIntosh, G. C. Rhythmic auditory stimulation for reduction of falls in Parkinson’s disease: A randomized controlled study. Clin Rehabil. 33(1), 34–43 (2019).
Braun Janzen, T., Koshimori, Y., Richard, N. M. & Thaut, M. H. Rhythm and music-based interventions in motor rehabilitation: Current evidence and future perspectives. Front. Hum. Neurosci. 15, 789467 (2021).
Alter, D. A. et al. Synchronized personalized music audio-playlists to improve adherence to physical activity among patients participating in a structured exercise program: A proof-of-principle feasibility study. Sports Medicine - Open. 1(1), 23 (2015).
Koshimori, Y. & Thaut, M. H. Rhythmic auditory stimulation as a potential neuromodulator for Parkinson’s disease. Parkinsonism Relat. Disord. 113, 105459 (2023).
Zhou, Z., Zhou, R., Wei, W., Luan, R. & Li, K. Effects of music-based movement therapy on motor function, balance, gait, mental health, and quality of life for patients with Parkinson’s disease: A systematic review and meta-analysis. Clin. Rehabil. 35(7), 937–951 (2021).
Ye, X., Li, L., He, R., Jia, Y. & Poon, W. Rhythmic auditory stimulation promotes gait recovery in Parkinson’s patients: A systematic review and meta-analysis. Front. Neurol. 13, 940419 (2022).
Movement Disorder Society Task Force on Rating Scales for Parkinson’s D. The Unified Parkinson’s Disease Rating Scale (UPDRS): Status and recommendations. Movement Disorders. 2003; 18(7):738–50.
López-Ortiz, C., Gaebler-Spira, D. J., McKeeman, S. N., McNish, R. N. & Green, D. Dance and rehabilitation in cerebral palsy: a systematic search and review. Dev. Med. Child Neurol. 61(4), 393–398 (2019).
Celik, Y., Stuart, S., Woo, W. L. & Godfrey, A. Gait analysis in neurological populations: Progression in the use of wearables. Med. Eng. Phys. 87, 9–29 (2021).
Scataglini, S. et al. Effect of music based therapy rhythmic auditory stimulation (RAS) using wearable device in rehabilitation of neurological patients: A systematic review. Sensors (Basel). 23(13), 5933 (2023).
Page, M. J. et al. PRISMA 2020 explanation and elaboration: updated guidance and exemplars for reporting systematic reviews. BMJ 372, n160 (2021).
Choi, J.-Y. et al. Health-Related Indicators Measured Using Earable Devices: Systematic Review. JMIR Mhealth Uhealth. 10(11), e36696 (2022).
Gotschall, T. EndNote 20 desktop version. J. Med. Libr. Assoc. 109(3), 520–522 (2021).
Ouzzani, M., Hammady, H., Fedorowicz, Z. & Elmagarmid, A. Rayyan—a web and mobile app for systematic reviews. Syst. Rev. 5(1), 210 (2016).
Kmet L, Lee R. Standard Quality Assessment Criteria for Evaluating Primary Research Papers from a Variety of FieldsAHFMRHTA Initiative20040213. HTA Initiative. 2004; 2.
Calvano, A., Timmermann, L., Loehrer, P. A., Oehrn, C. R. & Weber, I. Binaural acoustic stimulation in patients with Parkinson’s disease. Front Neurol. 14, 1167006 (2023).
Conklyn, D. et al. A home-based walking program using rhythmic auditory stimulation improves gait performance in patients with multiple sclerosis: a pilot study. Neurorehabil. Neural. Repair. 24(9), 835–842 (2010).
Elsner, B., Schöler, A., Kon, T. & Mehrholz, J. Walking with rhythmic auditory stimulation in chronic patients after stroke: A pilot randomized controlled trial. Physiother. Res. Int. 25(1), e1800 (2020).
Kim, J. H. et al. Effects of the combination of rhythmic auditory stimulation and task-oriented training on functional recovery of subacute stroke patients. J. Phys. Ther. Sci. 24(12), 1307–1313 (2012).
Li, K. P. et al. Effect of music-based movement therapy on the freezing of gait in patients with Parkinson’s disease: A randomized controlled trial. Front Aging Neurosci. 14, 924784 (2022).
Mainka, S., Wissel, J., Völler, H. & Evers, S. The use of rhythmic auditory stimulation to optimize treadmill training for stroke patients: A randomized controlled trial. Front Neurol. 9, 755 (2018).
Murgia, M. et al. The use of footstep sounds as rhythmic auditory stimulation for gait rehabilitation in Parkinson’s disease: A randomized controlled trial. Front Neurol. 9, 348 (2018).
Park, J., Park, S. Y., Kim, Y. W. & Woo, Y. Comparison between treadmill training with rhythmic auditory stimulation and ground walking with rhythmic auditory stimulation on gait ability in chronic stroke patients: A pilot study. NeuroRehabilitation 37(2), 193–202 (2015).
Shahraki, M., Sohrabi, M., Taheri Torbati, H. R., Nikkhah, K. & NaeimiKia, M. Effect of rhythmic auditory stimulation on gait kinematic parameters of patients with multiple sclerosis. J. Med. Life. 10(1), 33–37 (2017).
Thaut, M. H. et al. Rhythmic auditory stimulation in gait training for Parkinson’s disease patients. Mov. Disord. 11(2), 193–200 (1996).
Uchitomi, H., Ota, L., Ogawa, K., Orimo, S. & Miyake, Y. Interactive rhythmic cue facilitates gait relearning in patients with Parkinson’s disease. PLoS ONE 8(9), e72176 (2013).
Hutin, E., Poirier, T., Meimoun, M., Mardale, V. & Ghédira, M. Model-based cueing-as-needed for walking in Parkinson’s disease: A randomized cross-over study. Rev. Neurol. (Paris). 180(8), 798–906 (2024).
Chomiak, T., Watts, A., Meyer, N., Pereira, F. V. & Hu, B. A training approach to improve stepping automaticity while dual-tasking in Parkinson’s disease: A prospective pilot study. Medicine (Baltimore) 96(5), e5934 (2017).
Ginis, P. et al. External input for gait in people with Parkinson’s disease with and without freezing of gait: One size does not fit all. J Neurol. 264(7), 1488–1496 (2017).
Ginis, P. et al. Prolonged walking with a wearable system providing intelligent auditory input in people with Parkinson’s disease. Front Neurol. 8, 128 (2017).
Moumdjian, L. et al. Continuous 12 min walking to music, metronomes and in silence: Auditory-motor coupling and its effects on perceived fatigue, motivation and gait in persons with multiple sclerosis. Mult. Scler. Relat. Disord. 35, 92–99 (2019).
Collimore, A. N. et al. Autonomous control of music to retrain walking after stroke. Neurorehabil. Neural. Repair. 37(5), 255–265 (2023).
Hutchinson, K. et al. A music-based digital therapeutic: proof-of-concept automation of a progressive and individualized rhythm-based walking training program after stroke. Neurorehabil. Neural. Repair. 34(11), 986–996 (2020).
Baram, Y. & Miller, A. Auditory feedback control for improvement of gait in patients with multiple sclerosis. J. Neurol. Sci. 254(1–2), 90–94 (2007).
Cochen De Cock, V. et al. BeatWalk: Personalized Music-Based Gait Rehabilitation in Parkinson’s Disease. Front Psychol. 12, 655121 (2021).
De Bartolo, D. et al. Effect of different music genres on gait patterns in Parkinson’s disease. Neurol. Sci. 41(3), 575–582 (2020).
Erra, C. et al. Immediate effects of rhythmic auditory stimulation on gait kinematics in Parkinson’s disease ON/OFF medication. Clin Neurophysiol. 130(10), 1789–1797 (2019).
Nieuwboer, A. et al. The short-term effects of different cueing modalities on turn speed in people with Parkinson’s disease. Neurorehabil. Neural. Repair. 23(8), 831–836 (2009).
Guimarães V, Castro R, Barros A, Cevada J, Bayés À, Garcá S, et al., editors. Development of an Auditory Cueing System to Assist Gait in Patients with Parkinson’s Disease. Bioinformatics and Biomedical Engineering; 2015 2015//; Cham: Springer International Publishing.
Hove, M. J., Suzuki, K., Uchitomi, H., Orimo, S. & Miyake, Y. Interactive rhythmic auditory stimulation reinstates natural 1/f timing in gait of Parkinson’s patients. PLoS ONE 7(3), e32600 (2012).
Uchitomi, H., Ogawa, K., Orimo, S., Wada, Y. & Miyake, Y. Effect of interpersonal interaction on festinating gait rehabilitation in patients with Parkinson’s Disease. PLoS ONE 11(6), e0155540 (2016).
Lopez, W. O. et al. Listenmee and Listenmee smartphone application: synchronizing walking to rhythmic auditory cues to improve gait in Parkinson’s disease. Hum Mov Sci. 37, 147–156 (2014).
Park, K. S., Hass, C. J. & Janelle, C. M. Familiarity with music influences stride amplitude and variability during rhythmically-cued walking in individuals with Parkinson’s disease. Gait Posture. 87, 101–109 (2021).
Park, K. S., Hass, C. J., Patel, B. & Janelle, C. M. Musical pleasure beneficially alters stride and arm swing amplitude during rhythmically-cued walking in people with Parkinson’s disease. Hum Mov Sci. 74, 102718 (2020).
Berg, K., Wood-Dauphine, S., Williams, J. I. & Gayton, D. Measuring balance in the elderly: preliminary development of an instrument. Physiother. Can. 41(6), 304–311 (1989).
Podsiadlo, D. & Richardson, S. The timed “Up & Go”: a test of basic functional mobility for frail elderly persons. J Am Geriatr Soc. 39(2), 142–148 (1991).
Goetz, C. G. et al. Movement disorder society-sponsored revision of the unified parkinson’s disease rating scale (MDS-UPDRS): Scale presentation and clinimetric testing results. Mov. Disord. 23(15), 2129–2170 (2008).
Yardley, L. et al. Development and initial validation of the falls efficacy scale-International (FES-I). Age Ageing 34(6), 614–619 (2005).
Ribeiro NF, Santos CP, editors. Inertial measurement units: A brief state of the art on gait analysis. 2017 IEEE 5th Portuguese Meeting on Bioengineering (ENBENG); 2017 16–18 Feb. 2017.
Cho, Y. S. et al. Evaluation of Validity and Reliability of Inertial Measurement Unit-Based Gait Analysis Systems. Ann Rehabil Med. 42(6), 872–883 (2018).
Wang, L., Peng, J. L., Xiang, W., Huang, Y. J. & Chen, A. L. Effects of rhythmic auditory stimulation on motor function and balance ability in stroke: A systematic review and meta-analysis of clinical randomized controlled studies. Front Neurosci. 16, 1043575 (2022).
Wang, L. et al. Effects of rhythmic auditory stimulation on gait and motor function in Parkinson’s Disease: A systematic review and meta-analysis of clinical randomized controlled studies. Front Neurol. 13, 818559 (2022).
Miller, I. N. & Cronin-Golomb, A. Gender differences in Parkinson’s disease: clinical characteristics and cognition. Mov Disord. 25(16), 2695–2703 (2010).
Junior P, Souza P, Reis K, Filoni E. Home-based physiotherapy programmes for individuals with neurological diseases: systematic review. Fisioterapia em Movimento. 2019;32.
Acknowledgements
Supported by FWO medium-scale research infrastructure: 4D scanner for Accelerating Advanced motion Analysis and Application (I002020N).
Funding
No funds, grants, or other support was received. The authors have no relevant financial or non-financial interests to disclose.
Author information
Authors and Affiliations
Contributions
All authors contributed to the study conception and design. Idea for the article: SS, ST; Literature search and data analysis: LJ, LVE, CVL; Draft and/or critical revision: SS, ST, LJ, LVE, CVL and CVB. All authors read and approved the final manuscript. The authors have no relevant financial or non-financial interests to disclose.
Corresponding author
Ethics declarations
Competing interests
The authors declare no competing interests.
Additional information
Publisher’s note
Springer Nature remains neutral with regard to jurisdictional claims in published maps and institutional affiliations.
Rights and permissions
Open Access This article is licensed under a Creative Commons Attribution-NonCommercial-NoDerivatives 4.0 International License, which permits any non-commercial use, sharing, distribution and reproduction in any medium or format, as long as you give appropriate credit to the original author(s) and the source, provide a link to the Creative Commons licence, and indicate if you modified the licensed material. You do not have permission under this licence to share adapted material derived from this article or parts of it. The images or other third party material in this article are included in the article’s Creative Commons licence, unless indicated otherwise in a credit line to the material. If material is not included in the article’s Creative Commons licence and your intended use is not permitted by statutory regulation or exceeds the permitted use, you will need to obtain permission directly from the copyright holder. To view a copy of this licence, visit http://creativecommons.org/licenses/by-nc-nd/4.0/.
About this article
Cite this article
Scataglini, S., Van Bocxlaer, C., Jansen, L. et al. Influence of wearable rhythmic auditory stimulation on Parkinson’s disease, multiple sclerosis, and stroke: a systematic review and meta-analysis. Sci Rep 15, 21432 (2025). https://doi.org/10.1038/s41598-025-05952-8
Received:
Accepted:
Published:
Version of record:
DOI: https://doi.org/10.1038/s41598-025-05952-8









