Abstract
Long-term meteorological droughts disrupt hydrological balances and lead to agricultural droughts that affect crop yield. This study uses remote sensing techniques to analyze agricultural droughts in Punjab, Pakistan, over two decades. From MODIS satellite data, three drought indices, such as vegetation condition index (VCI), temperature condition index (TCI), and vegetation health index (VHI), were generated to identify drought years and assess agricultural impacts during the rabi and kharif cropping seasons from 2001 to 2020. Standardized Yield Residual Series (SYRS) and Standardized Drought Residual Series (SDRS) were used to evaluate the impact of agriculture droughts on rabi crops (wheat, barley, gram) and kharif crops (sugarcane, rice, maize, cotton) and to compute Crop Drought Resilience (CDR). Results showed that Punjab experienced extreme to mild droughts from 2001 to 2018, notably in 2002 and 2008, with yield losses of 39% for rice, 34% for sugarcane, and 25% for wheat. The Mann-Kendall (MK) test indicated a significant (p < 0.001) upward trend in VHI for both cropping seasons, with trend breakpoints in 2009 and 2010. Stepwise linear regression found VHI was most predictive for gram yield (R2 = 0.49), while VCI was most predictive for sugarcane (R2 = 0.56) and rice (R2 = 0.29). Polynomial regression demonstrated that SYRSgram is highly influenced by all drought indices, especially SDRSVHI (R2 = 0.49), followed by SDRSVCI (R2 = 0.44) and SDRSTCI (R2 = 0.28). SYRSsugarcane and SYRSrice crops were primarily affected by SDRSVCI, with correlation coefficients of R2 = 0.62 for sugarcane and R2 = 0.33 for rice. This study concludes that gram, sugarcane, and wheat exhibit high to moderate non-resilience under extreme drought conditions, highlighting the vulnerability of these crops to climate variability. These findings are essential for developing targeted adaptation strategies to mitigate yield loss and ensure sustainable agriculture.
Similar content being viewed by others
Introduction
Climate change exacerbates extreme drought events, increasing their intensity and frequency, which in turn affect the ecology, environment, natural vegetation, and agricultural productivity1,2. Drought is a significant environmental disaster that greatly impacts water resources, agriculture, and livestock3,4. The adverse impacts of droughts are particularly evident in the agrarian countries in tropical and subtropical areas5. Drought results from insufficient or delayed rainfall and high evapotranspiration due to extreme temperatures6,7. It can be categorized based on its impact on various sectors: a deficiency in precipitation leads to a meteorological drought, a lack of soil moisture causes an agricultural drought, deficits in runoff and water storage create a hydrological drought, and socio-economic drought results in food shortages and negative impacts on the agrarian economy8. Droughts are among the severe natural disasters, affecting population, agriculture, and economies, and more severe global and regional droughts are expected due to climate change in the future9,10.
Researchers have developed several indices based on catalyst parameters, such as rainfall, temperature, evapotranspiration, and soil moisture, as well as response parameters, including river flow, reservoir levels, groundwater levels, and vegetation health, for monitoring meteorological, hydrological, and agricultural drought1,11. These indices measure the magnitude and severity of drought events12. Meteorological stations’ data are more precise, but in most of the areas, they are sparsely distributed, which limits their suitability for regional-scale drought monitoring7,13while remote sensing data offer a solution by minimizing the challenges of location-specific drought monitoring. Remote sensing provides real-time, high temporal and spatial resolution observations that allow more comprehensive drought monitoring and assessment, and has thus attracted agricultural experts, hydrologists, environmentalists, and climate scientists due to its reliability in drought studies14. In this study, agricultural drought is assessed by evaluating vegetation stress using long-term normalized difference vegetation index (NDVI) and land surface temperature (LST) data to calculate VCI, TCI, and VHI drought indices in order to characterize the agricultural drought occurrences over time7.
Pakistan’s economy largely depends on agriculture, and the country is frequently affected by drought and flooding15. Over the past 20 years, several studies have focused on monitoring meteorological droughts in various regions of Pakistan, including Punjab16,17,18,19,20,21. Punjab is the second-largest province in Pakistan and contributes the largest share of the country’s agricultural production22. Approximately 46% of Pakistan’s cropped land is located in Punjab22,23. All regions of Pakistan, including Punjab, experienced frequent severe to extreme drought events in the past decades. For instance, Waseem, et al.24 reported 2002, 2004 to 2006, 2007, 2010, and 2019 as moderate to severe drought years in different zones of Punjab, reporting a significant correlation with wheat yield loss. Similar findings were reported by Ali et al.25 with severe drought impacts in Mianwali, Multan, Faisalabad, and Sargodha. Previously, Anjum, et al.26 also reported the impact of the long drought spell of 2001–2004 on the agriculture production and food security of the region. Recently, Rahman, et al.27 also reported more than 1 trillion hectare yield loss in the Bahawalpur region attributed to severe agriculture droughts in the same past decades. Another study by Aslam, et al.28 revealed an expected loss of approximately USD 8 billion, over the next 60 years due to droughts in the southern Punjab of Pakistan. A recent study by Arshad, et al.29 reported a significant correlation between wheat yield and agriculture drought indices (NDVI, NDWI, VCI, and DSI), indicating drought induced wheat yield loss in many districts of South Punjab. Overall, an extensive review of past studies shows that agriculture droughts are more likely to affect the country’s agricultural economy. However, most of the previous research has focused on single or one season crop analysis, ignoring more detailed analysis of multiple crops. Moreover, station-based drought calculation does not provide an aerial estimation of drought affected areas. Therefore, to fill these gaps, the current research aimed to evaluate and analyze the remote sensing-based agriculture droughts monitoring and its impacts across two crop seasons of Pakistan (rabi and kharif). Particularly, the study focused on assessing agricultural droughts in the Punjab Province of Pakistan using VCI, TCI, and VHI drought indices from 2000 to 2020. The study aimed to identify and quantify the spatiotemporal extent of remote sensing-based agricultural droughts for the rabi and kharif seasons at the provincial scale in Pakistan. To compute and analyze the crop loss and gain using standardized crop residual series (SYRS) during these seasons. Lastly, the drought impacts on rabi and kharif crops will be analyzed using linear and quadratic statistical approaches, along with the computation of crop drought resilience (CDR) for each crop, based on the driest year within the time series.
Materials and methods
Study area
The Punjab province is geographically bounded by India to the east, Khyber Pakhtunkhwa and Azad Jammu and Kashmir to the north, Baluchistan and Khyber Pakhtunkhwa to the west, and Sindh province to the south (Fig. 1).
(a) Location of the study area in Pakistan. (b) Topography of the study region. (c) Modified ESRI land use data for land use mapping of Punjab which was accessed and downloaded from https://livingatlas.arcgis.com/landcover/ website. (d) Cropping pattern.
The province is experiencing extreme weather, with clear seasonal variations between summer and winter, as well as differences in temperature in the northern and southern regions. The annual temperature typically ranges from − 2 °C in winter to 45 °C in summer30. Most of the province is experiencing arid and semi-arid climatic conditions characterized by hot summers and cool-to-cold winters. However, a small portion of northern Punjab, located in the Himalayan region, experiences a humid climate. The province receives rainfall from the summer monsoon and light rain during winter. The province is largely covered by the fertile floodplain of the Indus River and its tributaries (Fig. 1c). The northern region of Punjab includes parts of the Siwalik range (the lower Himalayas), the Salt Range, and the Potohar plateau, extends over the districts of Attock, Rawalpindi, Chakwal, and Jhelum (Fig. 1b).
There are two major deserts in Punjab: the Thal Desert, covering approximately 10,000 square kilometers in the Bhakkar, Khushab, and Mianwali districts, and the Cholistan Desert, which spans over 25,800 square kilometers in the Rahim Yar Khan, Bahawalnagar, and Bahawalpur districts. The western parts of the Dera Ghazi Khan and Rajanpur districts feature piedmont plains of the Sulaiman Kirthar Range (Fig. 1b). Agricultural practices across the province vary according to regional topography. In the Potohar Plateau, the major cultivated crops include wheat, maize, and groundnuts. In the Thal desert, pulses and chickpeas are commonly grown, whereas in areas with higher monsoonal rainfall and access to irrigation, rice is cultivated. In the northeastern districts, rice and wheat dominate, while cotton and wheat are the major crops in southern Punjab (Fig. 1d).
Data sources
To achieve the objective of the study, MODIS data (LST and NDVI) for the period 2001–2020 were utilized to derive the VCI, TCI, and VHI. The MODIS data products were downloaded from the Atmosphere Archive and Distribution System Distributed Active Archive Center (LAADS DAAC) via https://ladsweb.modaps.eosdis.nasa.gov/search/. The products include the Land Surface Temperature (MOD11A2) version 6 product with a spatial resolution of 1 km and temporal resolution of 8 days, and the vegetation index data (MOD13Q1) version 6 with a spatial resolution of 250 m and temporal resolution of 16 days. The LST data were resampled to 250 m resolution for further analysis. Since the focus of this research was on agricultural drought assessment, the NDVI and LST MODIS products were masked to vegetative areas. To ensure the correct identification of vegetated areas, ESRI ESA Sentinel-2 land use land cover (LULC) data with a 10-meter resolution downloaded from https://livingatlas.arcgis.com/landcover/ was used.
Crop yield data were collected from the online Crop Reporting Service of Punjab, Government of Pakistan, available at agriPunjab.gov.pk. The rabi crops selected for analysis included wheat, barley, and gram, while the kharif crops included sugarcane, maize, rice, and cotton. All crop yields were measured in tons per acre. The datasets used in this study are listed in Table 1.
Methods
Drought indices
The VCI, TCI, and VHI drought indices are used in this study to assess vegetation stress and its response to prevailing weather and climatic conditions31. The VCI quantifies the impact of environmental changes on vegetation health over a given area32. The mean NDVI for the rabi season (December to April) and kharif season (May to October) was calculated for each year. The minimum and maximum NDVI values were determined for each year to compute the VCI. The VCI is particularly useful for identifying the onset, duration, and intensity of agricultural droughts33.
In Eq. (1), NDVI represents the current year’s NDVI, while \(\:{\text{N}\text{D}\text{V}\text{I}}_{\text{m}\text{i}\text{n}}\) and \(\:{\text{N}\text{D}\text{V}\text{I}}_{\text{m}\text{a}\text{x}}\) are the minimum and maximum NDVI pixel values during the entire study period34. The VCI values range from 0 to 100%, where low values indicate vegetation stress and high values reflect drought-free vegetation areas.
The TCI assesses thermal stress and has been extensively used for temperature-related drought conditions monitoring35. In drought periods, temperature usually remains high, resulting in a reduction in soil moisture, which leads to vegetation stress, and TCI is significantly applicable in monitoring such conditions36. The TCI is calculated using the following equation:
In Eq. (2), LST represents the current year’s LST, while \(\:{\text{L}\text{S}\text{T}}_{\text{m}\text{a}\text{x}}\) and \(\:{\text{L}\text{S}\text{T}}_{\text{m}\text{i}\text{n}}\) are the maximum and minimum LST values at each pixel during the entire study period.
VHI assesses moisture availability and vegetation thermal conditions, combining the TCI and VCI, thus effectively characterizes the spatial extent, severity, and magnitude of agricultural droughts. It has been found effective for studies of the impacts of weather on vegetation and agricultural land14,37,38,39.
In Eq. (3), α is a constant and its value is set to 0.5.
The drought years and affected areas were quantified based on the threshold values, adopted from Zeng, et al.40 as shown in Table 2. The values of these indices (VCI, TCI, and VHI), ranging from 0 to 10%, represent extreme drought, while values between 11 and 20% denote severe drought. Index values from 21 to 30% indicate moderate drought, and those between 31 and 40% represent mild drought conditions (Table 2). Values above 40 suggest no drought in the study area.
Further, the mean values of VCI, TCI, and VHI for each year were calculated to represent the provincial level, with drought years identified based on the established thresholds. These annual mean values were then used to detect time series trends and examine the impacts of droughts on both rabi and kharif crops.
Trend detection of agriculture drought indices and crop yield
After identifying the spatiotemporal patterns of agricultural droughts at the provincial level, a trend analysis was performed using the Mann–Kendall trend test and Sen’s slope estimator on drought indices and crop yields. The Mann–Kendall test assesses the significance of drought trends based on the Kendall (tau) value (Eq. 6), which measures the strength of the trend, and the z-score (Eq. 8), where a positive z-score indicates an increasing trend, while the P-value determines the statistical significance of the results41. The Sen’s slope estimator calculates the magnitude of trend42.
The positive Sen’s slope value reveal an increasing trend and negative values indicate a decreasing trend in the variables43.
The \(\:{x}_{j}\:\text{a}\text{n}\text{d}\:{x}_{k}\:\)express the data at the time \(\:j\:\text{a}\text{n}\text{d}\:k,\) where\(\:\:j>k\). The median of \(\:N\) is Sen’s slope which is expressed as:
The Sen’s slope \(\:\left({Q}_{i}\right)\) is expressed in units of the variable as slope magnitude per annum. Moreover, trend change point detection was identified based on the Buishand Range (BR) test44 which operates under the alternate assumption of a mean change or shift in the time series. This test is particularly sensitive in identifying breakpoints or shifts in the mean of the time series45.
Standardized yield residual series (SYRS) and standardized drought residual series (SDRS)
The SYRS was calculated for all selected rabi and kharif crops in Punjab, Pakistan. Several factors contribute to increasing agricultural production and crop yield in this region, including the expansion of agricultural land, technological developments, and improved irrigation facilities. The original yield time series was detrended using linear regression to minimize the influence of non-climatic factors24. Once the detrended yield was obtained, the SYRS was derived using the following formula:
where \(\:{Y}_{dy\:}\) represents the detrended yield, \(\:{\stackrel{-}{Y}}_{dy}\) represents the mean of detrended yield and \(\:{\sigma\:}_{dy}\) is the standard deviation of the detrended yield. This procedure was applied to all kharif crops, with the final results presented as SYRSwheat, SYRSgram, SYRSbarley, SYRSsugarcane, SYRSrice, SYRSmaize, and SYRScotton. The final SYRS values show the yield loss and gain associated with droughts in the rabi and kharif seasons and the threshold values for this is presented in Table 3 adopted from Mohammed, et al.46.
The standardized drought residual series (SDRS) is computed based on linear regression to the drought indices to calculate their detrended values.
where \(\:{X}_{dd\:}\) is the detrended drought index, \(\:{\stackrel{-}{X}}_{dd}\) is the mean of the detrended drought index, and \(\:{\sigma\:}_{dy}\) is the standard deviation. This process is carried out for each agricultural drought index, like SDRSVCI, SDRSTCI, and SDRSVHI, which were subsequently used for further analysis.
Correlation and regression analysis between SYRS and SDRS
The Pearson correlation, stepwise linear regression, and polynomial (quadratic) regression were used in order to examine the impacts of droughts on crop yield to identify the best models that demonstrate significant impacts. Pearson correlation is widely used in drought and crop yield studies to determine the strength of significant linear relationships (p < 0.05, p < 0.01, p < 0.001) between predictors and response variables47,48.
where \(\:{x}_{i}\) and \(\:{y}_{i}\) represent the independent (drought indices) and dependent (crop yields) variables, \(\:\stackrel{-}{x}\) and \(\:\stackrel{-}{y}\) are the means of \(\:{x}_{i}\) and \(\:{y}_{i}\) over time, and n is the sample size of observations.
Stepwise regression follows a sequence of multiple linear regression steps where significant predictors are added and non-significant predictors are removed to develop an optimal prediction model. The stepwise linear regression was applied to determine the impact of agricultural droughts on rabi and kharif crops, and the final significant models were selected based on the highest R and R2 values.
The second-order Polynomial (quadratic) regression models for rabi and kharif crops were applied independently for rabi and kharif crops to explore the individual relationships between agricultural droughts and crop yields49,50.
where \(\:{Y}_{pred}\) is the expected predicted variable, \(\:{\beta\:}_{1}\) and \(\:{\beta\:}_{2}\) are the coefficients of predictors (X) in relation to Y, \(\:{\beta\:}_{0}\) is the intercept, \(\:K\) is the degree of polynomial (i.e., 2) and \(\: \varepsilon\) is the residual error term51,52,53. Quadratic polynomials provide a good fit for data without the risk of overfitting54.
Crop drought resilience (CDR)
Crop drought resilience was calculated for measuring the ability of crops to sustain droughts in the driest years, as outlined in a study by Mohammed et al.46. It is calculated using the following formula:
where \(\:{Y}_{dt}\) is the trended yield in the driest or extreme drought year, and \(\:{Y}_{dy}\) is the detrended yield in the same year. The CDR output was analyzed based on the thresholds Mohammed et al.46 provided in Table 4.
Results
Spatiotemporal distribution of VCI, TCI, and VHI in the rabi season
The spatiotemporal analysis of VCI during the rabi seasons identified the period from 2001 to 2004 as the longest drought spell in the time series, impacting a significant proportion of Punjab province in Pakistan. This was followed by extreme to moderate droughts in 2006, 2008, 2010, and 2012. The spatial characteristics of VCI revealed that in 2010, agriculture droughts predominantly affected the northern districts, particularly the Thal region, while in 2012, the southern and central districts of the province were most severely impacted (Fig. 2a).
Furthermore, the drought area assessment revealed that during the 2001 rabi season, over 60% of the province was affected by extreme to severe drought, with an additional 17% experiencing mild to moderate droughts. The results also indicated that more than 50% of Punjab’s agricultural land was affected by droughts during the years 2001–2003, 2006, 2008, and 2012. After 2012, the extent of agricultural land affected by extreme to moderate droughts significantly decreased. However, it is also worth noting that no year in the time series was entirely free from drought-affected areas in the province (Fig. 2b).
The spatial pattern of the TCI over the 20-year period showed that the entire province was severely affected by drought between 2001 and 2003. The drought event in 2008 and 2012 significantly affected central and southern Punjab (Fig. 3).
Similarly, VHI-based spatial and temporal patterns of agricultural drought revealed drought occurrences, with mild to moderate droughts observed in 2002, 2004, 2006, 2008, and 2010 and severe droughts in 2001 (Fig. 4a). Approximately 75% of the province’s agricultural land was under severe to extreme drought, while 15% was experiencing mild to moderate drought in 2001. In 2002, over 25% of the province’s agricultural land was affected by severe to extreme droughts, and 46% was affected by mild to moderate droughts (Fig. 4b). Moreover, the years 2005, 2013, 2014–2017, 2019–2020 were among the least affected, experiencing only mild agricultural droughts in VHI results.
Spatiotemporal distribution of VCI, TCI, and VHI in the kharif season
Similar to the rabi season analysis, the spatiotemporal pattern of remote sensing-based agricultural droughts in the kharif season revealed the years 2001–2004 as the longest drought spell during the last two decades. The spatiotemporal pattern of VCI (Fig. 5a) showed mild droughts in 2004–2006 and 2009, while 2001 was identified as a moderate drought year and 2002 as an extreme drought year for the kharif season. Furthermore, the VCI spatial pattern showed that more than 90% of agricultural land in 2002 was uniformly affected by mild to extreme droughts, with 70% of the area experiencing extreme drought. Additionally, in 2003 and 2004, the central and northern districts were affected by 15–28% severe to extreme droughts, and the entire province faced 20–30% mild to moderate droughts. Approximately 28% of the agricultural land was affected by the VCI-identified agricultural drought in 2018 (Fig. 5b).
The TCI-based agricultural drought analysis identified 2006 and 2020 as mild drought years, while 2009 was classified as an extreme drought year (Fig. 6). The VHI-based assessment further supported these findings, confirming 2002 as a mild drought year and 2009 as a severe drought year. The agricultural drought-affected area analysis revealed that approximately 50% of agricultural land experienced VHI-based severe to extreme drought in 2009, followed by 25–35% in 2002, 2005, and 2006, primarily in the central and southern parts of the region (Fig. 7a,b).
Temporal evolution and trend analysis of crops and agricultural droughts
Before analyzing the effects of agricultural droughts on kharif and rabi crops, the temporal evolution and linear trend analysis were performed. The results of rabi crops revealed an increase in the yield of wheat, while barley and gram showed a decreasing trend at Provincial scale in Pakistan (Fig. 8). Among kharif crops, sugarcane and maize showed a sharp increase, while rice and cotton revealed a slight, non-significant increase in yield at the provincial level (Fig. 8). Furthermore, the linear trend of the drought indices (VCI, TCI, and VHI) showed an increasing trend, suggesting a decrease in the frequency of agricultural droughts in recent years.
The Mann-Kendall trend and Sen’s slope analyses revealed a significant (p < 0.05, p < 0.0001) rising trend for values of rabi (VCI, TCI, and VHI) and kharif (VCI, VHI) agriculture drought indices with Tau values ranging from 0.34 to 0.70. The highest z-score of 4.31 was observed for the VCI of the kharif season, followed by 3.34 and 3.27 for the VHI and VCI of rabi crops, respectively. Moreover, change point detection from the Buishand range test identified 2012, 2011, and 2010 as trend-changing years in the rabi season, and 2009 as the trend-changing year in the kharif season. In the rabi season, 2010 was found to be a significant trend-changing year, marked by a rapid rise in wheat (tau = 0.68, SS = 0.01) and a decline in barley (tau = − 0.32, SS = − 0.001). For the kharif season, 2009 and 2010 were significant change points for increasing trends in rice (tau = 0.77, SS = 0.01) and sugarcane (tau = 0.87, SS = 0.52) crops, as shown in Table 5.
Furthermore, 5% of extreme agricultural drought events were observed during the kharif season based on VCI, TCI, and VHI, followed by 20%, 10%, and 5% of mild drought events according to the respective agricultural drought indices. In the rabi season, 5% of the extreme drought events were detected by VHI, while 20% of moderate and mild drought events were observed using VCI and TCI (Fig. 9).
Impacts of remote sensing-based agriculture droughts on rabi and kharif crops
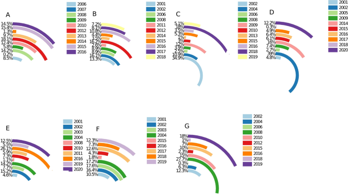
The standardized yield residual series (SYRS) of all rabi and kharif crops provides a clearer picture of yield loss and gain over the 20-year study period. Among the rabi crops, wheat experienced a significant yield loss in 2002, 2004, 2006, 2008, 2010, 2012, 2015, 2016, 2018, and 2019 due to drought events. The highest yield loss (YL) % was recorded in 2008 (27%), 2010 (15%), and 2002 (12%) (Fig. 11G). Barley showed an increasing trend in yield loss over time, with the highest loss of 18% in 2012. In contrast, the trend analysis for gram yield did not indicate a similar increase in yield loss, although the highest yield losses of 16% were observed for barley in 2002 and 2016 (Figs. 10 and 11A).
For kharif crops, rice experienced the highest YL at 39% (SYRS = − 2.7), followed by sugarcane with a YL of 34% (SYRS = − 2.5) in 2002. Other significant yield losses for sugarcane were recorded in 2018 (17%, SYRS = − 1.3) and 2004 (10%, SYRS = − 0.79). Rice also experienced a 39% YL (SYRS = − 2.7) in 2002 and a 15% YL (SYRS = − 1.12) in 2014. Cotton’s highest YL was 26% (SYRS = − 2.10) in 2016, followed by a 15% YL (SYSR = − 1.2) in 2002. Maize experienced major losses during the largest drought spell from 2001 to 2004, with the highest YL of 17% (SYRS = − 1.4) in 2003 and 2004, followed by 16% (SYRS = − 1.3) in 2002 and 10% in 2001 (Figs. 10 and 11).
The standardized drought residual series (SDRS) also reflected the severity of drought, with high negative values corresponding to major drought years (Fig. 10). The intensity of yield loss presented by SYRS showed that 5% of wheat crops had high and extreme yield residuals over the 20-year period. Barley crops had 15% high yield residuals, while gram crops exhibited 15% moderate yield residuals in the rabi season. Among kharif crops, 4.8% of sugarcane and rice crops had extreme yield residuals, with 5% high and extreme yield residuals observed for maize and cotton crops (Fig. 10).
The impacts of SDRS of all drought indices SDRSVCI, SDRSTCI, and SDRSVHI on SYRS of rabi and kharif crops (SYRSwheat, SYRSgram, SYRSbarley, SYRSsugarcane, SYRSrice, SYRSmaize, and SYRScotton) were explored using Pearson correlation and stepwise linear and quadratic (polynomial) regressions. Table 6 presents the significant models derived from the stepwise linear regression method, which systematically adds significant predictors and removes non-significant ones to optimize the regression coefficient.
Among the rabi crops, wheat and gram were significantly impacted by agricultural droughts. VHI emerged as the most significant predictor for rabi crops, yielding the highest correlation (R = 0.7) and R2 = 0.49 for gram, followed by wheat with an R-value of 0.52 and R2 = 0.27. In these cases, VCI and TCI were excluded from the final regression models. For the kharif crops, sugarcane and rice were found to be most affected by agricultural droughts at the provincial level. In contrast to the rabi crops, VCI was identified as the most significant predictor included in the stepwise regression models, with a strong correlation (R = 0.75) and R2 = 0.56 for sugarcane, and R = 0.53 with R2 = 0.29 for rice crops (Table 6).
Quadratic (polynomial) regression revealed the strength of the nonlinear relationship between the SYRS of all crops and the SDRS of drought indices. For rabi crops, nine independent quadratic models were built, of which five were found to be significant (p < 0.05, p < 0.01, p < 0.001). The SDRSVCI had a significant impact on SYRSwheat (p < 0.05), with R = 0.54, and R2 = 0.29, followed by SDRSVHI with R = 0.53 and R2 = 0.28. Furthermore, SYRSgram was significantly impacted by all drought indices, with the strongest relationship from SDRSVHI, showing R = 0.70, and R2 = 0.49 (p < 0.001), followed by SDRSVCI, with R = 0.66 and R2 = 0.44 (p < 0.01), and SDRSTCI with R = 0.53 and R2 = 0.28 from (Table 7; Fig. 12).
For kharif crops, 12 independent quadratic models were built, of which only two were found to be significant (p < 0.05, p < 0.001), indicating that kharif crops are less affected by agricultural droughts than rabi crops. SYRSsugarcane and SYRSrice crops were significantly affected by SDRSVCI, with R = 0.79 and 0.57 and R2 = 0.62 and 0.33, respectively. The results derived from both linear and nonlinear relationships indicate that VHI is the most significant predictor for rabi crops, while VCI is a significant predictor for kharif crops (Table 8; Fig. 13).
Crop drought resilience analysis from agricultural droughts
After evaluating the agricultural drought impacts on rabi and kharif crops in the province, crop drought resilience (CDR) from the driest years identified from all drought indices was computed (Table 9). The lowest CDR = 0.03 was computed for the kharif maize crop, indicating that it was severely non-resilient to TCI and VHI during the driest year of 2009. However, the linear trend of YL% indicated a decreasing trend, which can be attributed to a resilience factor of 1.32 for VCI. Among the kharif crops, sugarcane was identified as severely non-resilient in the driest year of 2009, with a CDR of 0.5 and the lowest TCI and VHI values recorded at 7 and 21%, respectively (Fig. 11). In 2002, another drought year, sugarcane was moderately non-resilient, with a CDR of 0.85 and the lowest VCI at 14%.
For rabi crops, barley showed a decreasing yield trend over the past 20 years and showed a moderately weak correlation (0.3) with drought indices (Fig. 7; Table 7). The yield loss percentage (YL%) for barley (Fig. 11) also showed an increasing trend in recent years, suggesting that additional factors, such as crop replacement, may contribute to the decline in yield, which needs to be addressed in future studies. However, drought resilience analysis revealed that barley was resilient, with a CDR of 1.4 in the driest year of 2001. In contrast, wheat was moderately non-resilient, with a CDR of 0.8 during the same year, when the lowest VCI, TCI, and VHI values were 22, 4, and 13, respectively. Both linear and nonlinear regression analyses revealed that gram was significantly impacted by drought indices, showing severely non-resilient behavior with a CDR of 0.3 in the driest year (Table 9).
Discussion
Meteorological causes of agricultural droughts in Punjab
The remote sensing-based agricultural drought assessment in our study identified a series (2001–2004, 2006, 2008, 2010, 2012, and 2018) of moderate to extreme drought spells over the past two decades, which had significant impacts on crop yields. Multifaceted reasons for meteorological droughts have been reported over the past decades, which range from short-term variations in temperature and precipitation patterns to broader climatic shifts. It led to frequent moderate to extreme drought events across the regions, causing significant loss of agricultural productivity. A recent study by Rafiq et al. (2024) also reported that reductions in the southeastern monsoon are a main contributor to droughts in southern parts of Pakistan. Similar findings were previously reported by Ali et al. (2023), explaining the monsoon variations and drought severity in the Indus Basin region of Pakistan. Hence, the findings of our research are aligned with previous studies identifying a similar drought pattern and trend over Pakistan25,55,56. For instance, Hina et al.57 and Saleem et al.58 explained El Niño Southern Oscillations (ENSO) in the Pacific region as the major drivers of cyclic drought events, contributing to the vulnerability of this region to recurring droughts. Moreover, our research revealed a notable and prolonged agricultural drought spell from 1998 to 2004 (Figs. 2, 3, 4, 5, 6 and 7), during which the YL% of both rabi and kharif crops was particularly high (Figs. 10 and 11). This drought spell was widely observed across Asia, largely caused by large-scale oceanic and atmospheric variability, which weakened monsoon rains, thereby triggering meteorological droughts with prolonged effects in the form of agricultural droughts59,60,61.
For instance, Aadhar and Mishra62in their study on South Asian droughts using soil moisture simulations, identified 2002 as the worst drought of the decade, characterized by its severity, duration, and the large area it affected, which led to significant declines in crop yields across South Asia. The critical role of climatic factors, such as precipitation and temperature, in driving moisture stress and drought is well established63. Moreover, crop seasonal trend prediction of agricultural droughts revealed 2010 and 2011 as a trend-breaking year, indicating more droughts in the first decade (2001–2010). A recent research by Hassan et al.64 also identified more severe droughts in the same decade. For instance, Khan, et al.65 also examined these drought years in the Songhua and Indus River basins of South Asia using meteorological indices, while Ullah, et al.66 explored the spatiotemporal characteristics of agricultural droughts in Pakistan using the standardized precipitation index (SPEI), concluding that drought severity during the rabi and kharif seasons was influenced by multiple climatic factors, including temperature, rainfall, relative humidity, and geopotential height.
Remote Sensing-based agriculture drought indices with impacts on crop yield
The application of individual remote sensing indices (VCI, TCI, VHI) or in combination with meteorological indices (e.g., SPI, SPEI) has been effectively used in agricultural drought assessment67 and its impact on crop yield68. For instance, Waseem et al.24 demonstrated the close relationship between the SPI and SYRS of wheat crops at various growth stages, highlighting the direct effect of agricultural drought on the region’s agricultural potential. Similarly, our findings revealed a significant relationship between VCI and rabi crops, particularly wheat, as validated by Amin et al.69 (Table 7; Fig. 12). Currently, our findings reported a total of yield loss of -7.3 tons/acre for wheat and − 8 tons/acre for gram in drought years, with the highest wheat yield loss (27%) occurring in 2008 (Fig. 10), a year identified as a drought year by VCI, TCI, and VHI. These results are also supported by the findings of Rahman et al.27who reported a substantial economic loss in wheat crops during past drought spells. Our research findings are also aligned with the Arshad et al. (2023a) reporting a significant correlation of wheat yield loss with several remote sensing-based indices in South Punjab. Additionally70, found a significant correlation between rabi pulse crops and remote sensing-based composite drought indices derived from VCI and TCI. The link between crop yield loss and remote sensing drought indices can be attributed to climatic factors such as high temperature and unprecedented rainfall during critical growth stages like grain filling, which reduce yields71. Prodhan et al.72 further reported significant yield loss for wheat, rice, and maize crops in South Asia under future climate change scenarios.
Among kharif crops, sugarcane, rice, and maize experienced yield losses of -7 tons/acre and − 8 tons/acre, respectively, in drought years (Fig. 10). Stepwise linear regression identified VCI as the most significant predictor of sugarcane and rice yield, accounting for 62% and 33% of the yield variability in the quadratic yield prediction model (Tables 6 and 8). These crops were also classified as moderately non-resilient during the driest years (Table 9). Dubey et al.73 similarly reported VCI as a statistically significant predictor of sugarcane yield using stepwise linear regression. Guga et al.74 highlighted VCI and SPEI as dynamic indicators for assessing drought risk in sugarcane crops, while Bazkiaee et al.75 estimated significant rice yield gaps at the regional level in Iran using integrated remote sensing drought indices. Our study provides a comprehensive analysis of the linear and quadratic relationship between remote sensing-based agricultural drought indices and their impact on the major crop yields of both the rabi and kharif seasons. The key findings identified wheat, gram, sugarcane, and rice as the most significantly affected crops by agricultural droughts over the past 20 years.
Limitations and future research directions
Potential limitations of utilizing remote sensing indices for agriculture drought assessments include compromised spatial resolution of MODIS, which can limit the ability to detect short-term agriculture droughts76. Hence, a combination of remote sensing and meteorological indices could be utilized in the future for validation. Moreover, several environmental constraints also limit the findings of current research. For example, spatiotemporal variations in land cover/land use and soil moisture conditions may also lead to regional differences in results. Moreover, remote sensing indices may also not detect drought’s impact in irrigated conditions77. Hence, future studies must explore these results further by using more sensitive and integrated remote sensing indices such as the Evaporative Stress Index78Composite or Combined Drought Index70and Drought Severity Index79,80,81. Moreover, advanced statistical approaches such as LASSO or Ridge regression could be used in future research for multivariate drought analysis. Additionally, the findings of this study provide direction for future research on drought-affected and drought-non-resilient crops in the region, integrating remote sensing data with meteorological factors. This can be achieved using advanced machine learning and deep learning algorithms82,83,84. This study could be expanded to evaluate the impacts of drought on specific crops at various growth stages for a more detailed understanding of drought impacts on agricultural productivity.
Conclusion
This research identified agricultural drought years and the affected areas over the past two decades using remote sensing-based drought indices in the most productive agricultural province of Pakistan. The region experienced more than 10 drought years in the past two decades, with the most prolonged drought spell occurring from 2001 to 2004. Mann–Kendall trend and Sen’s slope revealed a significant rise in remote drought, with Sen’s slope values ranging from 1.8 to 2.6 for rabi and 0.05 to 2.5 for kharif. The SYRS demonstrated significant crop yield losses during drought years, where wheat in the rabi season suffered the highest YL of 25% in 2008, while rice (39%) and sugarcane (34%) in the kharif season faced the most significant yield losses in 2002. Stepwise linear regression revealed that wheat and gram were significantly affected by the VHI, and sugarcane and rice by the VCI drought indices. Furthermore, nonlinear quadratic models revealed a significant (p < 0.001) relationship between SYRS of wheat and gram and SDRS of VCI, VHI, and TCI, while kharif crops, sugarcane, and rice showed a significant (p < 0.001) relationship between SYRS and SDRS of VCI. Finally, crop drought resilience (CDR) analysis revealed that, under drought conditions, gram, sugarcane, and maize are severely non-resilient, wheat and rice are moderately non-resilient, and barley and cotton are resilient or slightly non-resilient. These findings provide a scientific basis for integrating drought resilience into agricultural policy for climate change adaptation planning and could support the development of region-specific mitigation strategies to safeguard agriculture and food security.
Data availability
The MODIS NDVI and LST datasets, along with the derived VCI, TCI, and VHI results data from the current study, are available from the corresponding author upon reasonable request.
References
Moazzam, M. F. U., Lee, B. G., Rahman, G. & Waqas, T. Spatial rainfall variability and an increasing threat of drought, according to climate change in uttaradit province, thailand. Atmos. Clim. Sci. 10, 357. https://doi.org/10.4236/acs.2020.103020 (2020).
Javed, T. et al. Drought characterization across agricultural regions of China using standardized precipitation and vegetation water supply indices. J. Clean. Prod. 313, 127866 (2021).
Moisa, M. B., Merga, B. B. & Gemeda, D. O. Multiple indices-based assessment of agricultural drought: A case study in gilgel gibe Sub-basin, southern ethiopia. Theor. Appl. Climatol. 148, 455–464. https://doi.org/10.1007/s00704-022-03962-4 (2022).
Sultana, M. S., Gazi, M. Y. & Mia, M. B. Multiple indices based agricultural drought assessment in the northwestern part of Bangladesh using geospatial techniques. Environ. Chall. 4, 100120. https://doi.org/10.1016/j.envc.2021.100120 (2021).
González-Orozco, C. E., Porcel, M., Velásquez, D. F. A. & Orduz-Rodríguez, J. O. Extreme climate variability weakens a major tropical agricultural hub. Ecol. Indic. 111, 106015. https://doi.org/10.1016/j.ecolind.2019.106015 (2020).
Payus, C. et al. Impact of extreme drought climate on water security in north borneo: case study of sabah. Water 12, 1135–1153. https://doi.org/10.3390/w12041135 (2020).
Alahacoon, N., Edirisinghe, M. & Ranagalage, M. Satellite-based meteorological and agricultural drought monitoring for agricultural sustainability in sri lanka. Sustainability 13, 1–28. https://doi.org/10.3390/su13063427 (2021).
Rahman, G., Jung, M. K., Kim, T. W. & Kwon, H. H. Drought impact, vulnerability, risk assessment, management and mitigation under climate change: A comprehensive review. KSCE J. Civ. Eng. 100120 (2024).
Moazzam, M. F. U., Rahman, G., Munawar, S., Farid, N. & Lee, B. G. Spatiotemporal rainfall variability and drought assessment during past five decades in south korea using SPI and SPEI. Atmos. 13, 292. https://doi.org/10.3390/atmos13020292 (2022).
Fiaz, A., Rahman, G. & Kwon, H. H. Impacts of climate change on the south asian monsoon: A comprehensive review of its variability and future projections. J. Hydro-Environ. Res. 59, 1–14. https://doi.org/10.1016/j.jher.2025.100654 (2025).
Keyantash, J. & Dracup, J. A. The quantification of drought: an evaluation of drought indices. Bull. Am. Meteorol. Soc. 83, 1167–1180. https://doi.org/10.1175/1520-0477-83.8.1167 (2002).
Vicente-Serrano, S. M., Beguería, S. & López-Moreno, J. I. A multiscalar drought index sensitive to global warming: the standardized precipitation evapotranspiration index. J. Clim. 23, 1696–1718. https://doi.org/10.1175/2009JCLI2909.1 (2010).
Tang, Q. & Oki, T. Terrestrial Water Cycle and Climate Change: Natural and human-induced Impacts, vol. 221 (Wiley, 2016).
Gidey, E., Dikinya, O., Sebego, R., Segosebe, E. & Zenebe, A. Analysis of the long-term agricultural drought onset, cessation, duration, frequency, severity and spatial extent using vegetation health index (VHI) in raya and its environs, northern ethiopia. Environ. Syst. Res. 7, 1–18. https://doi.org/10.1186/s40068-018-0115-z (2018).
Rahman, G. et al. Trend analysis of historical and future precipitation projections over a diverse topographic region of khyber pakhtunkhwa using SDSM. J. Water Clim. Change. 13, 3792–3811. https://doi.org/10.2166/wcc.2022.160 (2022).
Sheikh, M. M. in COMSATS 1st Meeting on Water Resources in the South: Present Scenario and Future Prospects, Islamabad.
Adnan, S. et al. Comparison of various drought indices to monitor drought status in Pakistan. Clim. Dyn. 51, 1885–1899. https://doi.org/10.1007/s00382-017-3987-0 (2018).
Jamro, S., Dars, G. H., Ansari, K. & Krakauer, N. Y. Spatio-temporal variability of drought in Pakistan using standardized precipitation evapotranspiration index. Appl. Sci. 9, 1–20. https://doi.org/10.3390/app9214588 (2019).
Ahmed, K., Shahid, S. & Nawaz, N. Impacts of climate variability and change on seasonal drought characteristics of Pakistan. Atmos. Res. 214, 364–374. https://doi.org/10.1016/j.atmosres.2018.08.020 (2018).
Rafiq, M. et al. Spatial and temporal fluctuation of rainfall and drought in Balochistan province, Pakistan. Arab. J. Geosci. 15, 1–12. https://doi.org/10.1007/s12517-022-09514-4 (2022).
Rafiq, M. et al. Spatio-Statistical analysis of temperature and trend detection in Baluchistan, Pakistan. Ecol. Quest. 33, 1–21. https://doi.org/10.12775/EQ.2022.020 (2022).
Rahman, G., Anwar, M. M., Ahmed, M., Ashraf, H. & Zafar, U. Socio-economic damages caused by the 2014 flood in Punjab province, Pakistan. Proc. Pak. Acad. Sci. B Life Environ. Sci. 54, 365–374 (2017).
Mustafa, D. Structural causes of vulnerability to flood hazard in Pakistan. Econ. Geogr. 74, 289–305. https://doi.org/10.1111/j.1944-8287.1998.tb00117.x (1998).
Waseem, M. et al. Spatiotemporal analysis of drought and agriculture standardized residual yield series nexuses across Punjab, Pakistan. Water 14, 496. https://doi.org/10.3390/w14030496 (2022).
Ali, S. M., Khalid, B., Akhter, A., Islam, A. & Adnan, S. Analyzing the occurrence of floods and droughts in connection with climate change in Punjab province, Pakistan. Nat. Hazards. 103, 2533–2559. https://doi.org/10.1007/s11069-020-04095-5 (2020).
Anjum, S. A., Wang, L., Salhab, J., Khan, I. & Saleem, M. An assessment of drought extent and impacts in agriculture sector in Pakistan. J. Food Agric. Environ. 8, 1359–1363 (2010).
Rahman, K. U. et al. Analysis of production and economic losses of cash crops under variable drought: A case study from Punjab province of Pakistan. Int. J. Disaster Risk Reduct. 85, 103507. https://doi.org/10.1016/j.ijdrr.2022.103507 (2023).
Aslam, A. Q., Ahmad, S. R., Ahmad, I., Hussain, Y. & Hussain, M. S. Vulnerability and impact assessment of extreme climatic event: A case study of southern Punjab, Pakistan. ScTEn. 580, 468–481. https://doi.org/10.1016/j.scitotenv.2016.11.155 (2017).
Arshad, S., Kazmi, J. H., Prodhan, F. A. & Mohammed, S. Exploring dynamic response of agrometeorological droughts towards winter wheat yield loss risk using machine learning approach at a regional scale in Pakistan. Field Crops Res. 302, 109057. https://doi.org/10.1016/j.fcr.2023.109057 (2023).
Saqib, F. & Gill, M. I. A historical analysis of temperature and rainfall patterns of Punjab, Pakistan. Pak. Geograph. Rev. 74, 74–89 (2019).
Quiring, S. M. & Ganesh, S. Evaluating the utility of the vegetation condition index (VCI) for monitoring meteorological drought in texas. Agric. Meteorol. 150, 330–339. https://doi.org/10.1016/j.agrformet.2009.11.015 (2010).
Kogan, F. N. Remote sensing of weather impacts on vegetation in non-homogeneous areas. Int. J. Remote Sens. 11, 1405–1419. https://doi.org/10.1080/01431169008955102 (1990).
Kogan, F. N. Application of vegetation index and brightness temperature for drought detection. Adv. Space Res. 15, 91–100. https://doi.org/10.1016/0273-1177(95)00079-T (1995).
Kogan, F. World droughts in the new millennium from AVHRR-based vegetation health indices. Eos Trans. Am. Geophys. Union. 83, 557–563. https://doi.org/10.1029/2002EO000382 (2002).
Tian, M., Wang, P. & Khan, J. Drought forecasting with vegetation temperature condition index using ARIMA models in the guanzhong plain. Remote Sens. 8, 690. https://doi.org/10.3390/rs8090690 (2016).
Dabrowska-Zielinska, K., Kogan, F., Ciolkosz, A., Gruszczynska, M. & Kowalik, W. Modelling of crop growth conditions and crop yield in poland using AVHRR-based indices. Int. J. Remote Sens. 23, 1109–1123. https://doi.org/10.1080/01431160110070744 (2002).
Liu, Q., Zhang, S., Zhang, H., Bai, Y. & Zhang, J. Monitoring drought using composite drought indices based on remote sensing. Sci. Total Environ. 711, 134585. https://doi.org/10.1016/j.scitotenv.2019.134585 (2020).
Gomes, A. C. C., Bernardo, N. & Alcântara, E. Accessing the southeastern brazil 2014 drought severity on the vegetation health by satellite image. Nat. Hazards. 89, 1401–1420. https://doi.org/10.1007/s11069-017-3029-6 (2017).
Kölle, W., Martínez Salgueiro, A., Buchholz, M. & Musshoff, O. Can satellite-based weather index insurance improve the hedging of yield risk of perennial non‐irrigated olive trees in spain?? Aust J. Agric. Resour. Econ. 65, 66–93. https://doi.org/10.1111/1467-8489.12403 (2021).
Zeng, J. et al. Improving the drought monitoring capability of VHI at the global scale via ensemble indices for various vegetation types from 2001 to 2018. Weather Clim. Extremes. 35, 100412. https://doi.org/10.1016/j.wace.2022.100412 (2022).
Nejadrekabi, M., Eslamian, S. & J. Zareian, M. Spatial statistics techniques for SPEI and NDVI drought indices: a case study of khuzestan province. IJEST 19, 6573–6594. https://doi.org/10.1007/s13762-021-03852-8 (2022).
Dawood, M., Rahman, A., Ullah, S., Rahman, G. & Azam, K. Spatio-temporal analysis of temperature variability, trend, and magnitude in the hindu kush region using monte carlo and sen’s slope approaches. Arab. J. Geosci. 11, 471. https://doi.org/10.1007/s12517-018-3823-9 (2018).
Rahman, K. U., Shang, S. & Zohaib, M. Assessment of merged satellite precipitation datasets in monitoring meteorological drought over Pakistan. Remote Sens. 13, 1662. https://doi.org/10.3390/rs13091662 (2021).
Buishand, T. A. Some methods for testing the homogeneity of rainfall records. J. Hydrol. 58, 11–27. https://doi.org/10.1016/0022-1694(82)90066-X (1982).
Yildirim, G. & Rahman, A. Homogeneity and trend analysis of rainfall and droughts over southeast Australia. Nat. Hazards. 112, 1657–1683. https://doi.org/10.1007/s11069-022-05243-9 (2022).
Mohammed, S. et al. Assessing the impacts of agricultural drought (SPI/SPEI) on maize and wheat yields across Hungary. Sci. Rep. 12, 8838. https://doi.org/10.1038/s41598-022-12799-w (2022).
Ribeiro, A. F. S., Russo, A., Gouveia, C. M. & Páscoa, P. Modelling drought-related yield losses in iberia using remote sensing and multiscalar indices. Theor. Appl. Climatol. 136, 203–220. https://doi.org/10.1007/s00704-018-2478-5 (2019).
Tuvdendorj, B., Wu, B., Zeng, H., Batdelger, G. & Nanzad, L. Determination of appropriate remote sensing indices for spring wheat yield estimation in Mongolia. Remote Sens. 11, 2568. https://doi.org/10.3390/rs11212568 (2019).
Diaz, V. et al. Machine-learning approach to crop yield prediction with the spatial extent of drought. Hydrol. Earth Syst. Sci. Discuss. 2021, 1–33. https://doi.org/10.5194/hess-2021-600 (2021).
Quiring, S. M. & Papakryiakou, T. N. An evaluation of agricultural drought indices for the canadian prairies. Agric. Meteorol. 118, 49–62. https://doi.org/10.1016/S0168-1923(03)00072-8 (2003).
Bradley, R. A. & Srivastava, S. S. Correlation in polynomial regression. Am. Stat. 33, 11–14. https://doi.org/10.1080/00031305.1979.10482644 (1979).
Bera, D., Chatterjee, N. D. & Bera, S. Comparative performance of linear regression, polynomial regression and generalized additive model for canopy cover estimation in the dry deciduous forest of West Bengal. Remote Sens. Appl. 22, 100502. https://doi.org/10.1016/j.rsase.2021.100502 (2021).
Gertner, G., Wang, G., Fang, S. & Anderson, A. B. Mapping and uncertainty of predictions based on multiple primary variables from joint co-simulation with landsat TM image and polynomial regression. Remote Sens. Environ. 83, 498–510. https://doi.org/10.1016/S0034-4257(02)00066-4 (2002).
Lu, J., Carbone, G. J. & Gao, P. Detrending crop yield data for spatial visualization of drought impacts in the united states, 1895–2014. Agric. Meteorol. 237–238, 196–208. https://doi.org/10.1016/j.agrformet.2017.02.001 (2017).
Latif, M., Shireen, H., Adnan, S., Ahmed, R. & Hannachi, A. Drought variability in Pakistan: navigating historical patterns in a changing climate with global teleconnections. Theoret. Appl. Climatol. 155, 8379–8400. https://doi.org/10.1007/s00704-024-05138-8 (2024).
Ullah, I. et al. Recent and projected changes in water scarcity and unprecedented drought events over southern Pakistan. Front. Earth Sci. 11. https://doi.org/10.3389/feart.2023.1113554 (2023).
Hina, S., Farhan, S., Arfan, A., Alina, H., Ullah, I. & and Droughts over Pakistan: possible cycles, precursors and associated mechanisms. Geomat. Nat. Hazards Risk. 12, 1638–1668. https://doi.org/10.1080/19475705.2021.1938703 (2021).
Saleem, F., Zeng, X., Hina, S. & Omer, A. Regional changes in extreme temperature records over Pakistan and their relation to pacific variability. Atmos. Res. 250, 105407. https://doi.org/10.1016/j.atmosres.2020.105407 (2021).
Mishra, V. et al. Drought and famine in india, 1870–2016. Geophys. Res. Lett. 46, 2075–2083. https://doi.org/10.1029/2018GL081477 (2019).
Singh, D., Ghosh, S., Roxy, M. K. & McDermid, S. Indian summer monsoon: extreme events, historical changes, and role of anthropogenic forcings. WIREs Clim. Change. 10, e571. https://doi.org/10.1002/wcc.571 (2019).
Ullah, I. et al. Evaluating the meteorological drought characteristics over Pakistan using in situ observations and reanalysis products. Int. J. Climatol. 41, 4437–4459. https://doi.org/10.1002/joc.7063 (2021).
Aadhar, S. & Mishra, V. On the occurrence of the worst drought in south asia in the observed and future climate. Environ. Res. Lett. 16, 024050. https://doi.org/10.1088/1748-9326/abd6a6 (2021).
Arshad, S. et al. Geospatial assessment of early summer heatwaves, droughts, and their relationship with vegetation and soil moisture in the arid region of southern Punjab, Pakistan. J. Water Clim. Chang. 13, 4105–4129. https://doi.org/10.2166/wcc.2022.425 (2022).
Hassan, S. S. et al. Geospatial assessment of climate variability and drought patterns: a case study from Pakistan. Theoret. Appl. Climatol. 156, 185. https://doi.org/10.1007/s00704-025-05414-1 (2025).
Khan, M. I., Liu, D., Fu, Q. & Faiz, M. A. Detecting the persistence of drying trends under changing climate conditions using four meteorological drought indices. Meteorol. Appl. 25, 184–194. https://doi.org/10.1002/met.1680 (2018).
Ullah, I. et al. Observed changes in seasonal drought characteristics and their possible potential drivers over Pakistan. Int. J. Climatol. 42, 1576–1596. https://doi.org/10.1002/joc.7321 (2022).
Ali, S. et al. Impact assessment of drought monitoring events and vegetation dynamics based on multi-satellite remote sensing data over Pakistan. Environ. Sci. Pollut Res. https://doi.org/10.1007/s11356-022-22995-w (2022).
Shahzaman, M. et al. Remote sensing indices for spatial monitoring of agricultural drought in south asian countries. Remote Sens. 13, 2059. https://doi.org/10.3390/rs13112059 (2021).
Amin, M. et al. Monitoring agricultural drought using geospatial techniques: a case study of thal region of Punjab, Pakistan. J. Water Clim. Chang. 11, 203–216. https://doi.org/10.2166/wcc.2020.232 (2020).
Danodia, A., Kushwaha, A. & Patel, N. R. Remote sensing-derived combined index for agricultural drought assessment of rabi pulse crops in bundelkhand region, india. Environ. Dev. Sustain. 23, 15432–15449. https://doi.org/10.1007/s10668-021-01305-3 (2021).
Asseng, S. et al. Rising temperatures reduce global wheat production. Nat. Clim. Chang. 5, 143–147. https://doi.org/10.1038/nclimate2470 (2015).
Prodhan, F. A. et al. Projection of future drought and its impact on simulated crop yield over south asia using ensemble machine learning approach. Sci. Total Environ. 807, 151029. https://doi.org/10.1016/j.scitotenv.2021.151029 (2022).
Dubey, S. K., Gavli, A. S., Yadav, S. K., Sehgal, S. & Ray, S. S. Remote sensing-based yield forecasting for sugarcane (Saccharum officinarum L.) crop in india. J. Indian Soc. Remote Sens. 46, 1823–1833. https://doi.org/10.1007/s12524-018-0839-2 (2018).
Guga, S. et al. Dynamic assessment of drought risk of sugarcane in guangxi, china using coupled multi-source data. Remote Sens. 15, 1681. https://doi.org/10.3390/rs15061681 (2023).
Bazkiaee, P. A. et al. The rice yield gap estimation using integrated system approaches: a case study—Guilan province, Iran. Int. J. Environ. Sci. Technol. 19, 8451–8464. https://doi.org/10.1007/s13762-022-04093-z (2022).
Khaled, H. & Quazi, K. H. Remote sensing of agricultural drought monitoring: A state of art review. AIMS Environ. Sci. 3, 604–630. https://doi.org/10.3934/environsci.2016.4.604 (2016).
Liu, H. et al. Remote sensing monitoring and analysis ofagricultural drought in spring considering irrigation area:a case study of donglei irrigation district (Phase II). ISPRS Ann.Photogramm. Remote Sens. Spatial Inf. Sci. V–3–2020, 483–488. doi:https://doi.org/10.5194/isprs-annals-V-3-2020-483-2020 (2020).
Anderson, M. C. et al. The evaporative stress index as an indicator of agricultural drought in brazil: an assessment based on crop yield impacts. Remote Sens. Environ. 174, 82–99. https://doi.org/10.1016/j.rse.2015.11.034 (2016).
Zhang, Q., Yu, H., Sun, P., Singh, V. P. & Shi, P. Multisource data based agricultural drought monitoring and agricultural loss in china. Glob. Planet. Change. 172, 298–306. https://doi.org/10.1016/j.gloplacha.2018.10.017 (2019).
Clarke, D., Hess, T. M., Haro-Monteagudo, D., Semenov, M. A. & Knox, J. W. Assessing future drought risks and wheat yield losses in england. Agric. Meteorol. 297, 108248. https://doi.org/10.1016/j.agrformet.2020.108248 (2021).
Zhang, J., Mu, Q. & Huang, J. Assessing the remotely sensed drought severity index for agricultural drought monitoring and impact analysis in North China. Ecol. Indic. 63, 296–309. https://doi.org/10.1016/j.ecolind.2015.11.062 (2016).
Feng, P., Wang, B., Liu, D. L. & Yu, Q. Machine learning-based integration of remotely-sensed drought factors can improve the estimation of agricultural drought in South-Eastern Australia. Agric. Syst. 173, 303–316. https://doi.org/10.1016/j.agsy.2019.03.015 (2019).
Prodhan, F. A. et al. Deep learning for monitoring agricultural drought in south asia using remote sensing data. Remote Sens. 13, 1715. https://doi.org/10.3390/rs13091715 (2021).
Shen, R., Huang, A., Li, B. & Guo, J. Construction of a drought monitoring model using deep learning based on multi-source remote sensing data. Int. J. Appl. Earth Obs. Geoinf. 79, 48–57. https://doi.org/10.1016/j.jag.2019.03.006 (2019).
Acknowledgements
This work was supported by Korea Environment Industry & Technology Institute (KEITI) through Water Management Program for Drought, funded by Korea Ministry of Environment (MOE)(2480000378).
Author information
Authors and Affiliations
Contributions
G.R. and S.K.: Writing—original draft, visualization, methodology, investigation, formal analysis, conceptualization. S.A.: Validation, software, investigation, data curation. M.F.U.M.: Writing—review and editing, data curation. H.-H.K.: Writing—review and editing, supervision, resources, project administration, funding acquisition.
Corresponding author
Ethics declarations
Competing interests
The authors declare no competing interests.
Additional information
Publisher’s note
Springer Nature remains neutral with regard to jurisdictional claims in published maps and institutional affiliations.
Rights and permissions
Open Access This article is licensed under a Creative Commons Attribution-NonCommercial-NoDerivatives 4.0 International License, which permits any non-commercial use, sharing, distribution and reproduction in any medium or format, as long as you give appropriate credit to the original author(s) and the source, provide a link to the Creative Commons licence, and indicate if you modified the licensed material. You do not have permission under this licence to share adapted material derived from this article or parts of it. The images or other third party material in this article are included in the article’s Creative Commons licence, unless indicated otherwise in a credit line to the material. If material is not included in the article’s Creative Commons licence and your intended use is not permitted by statutory regulation or exceeds the permitted use, you will need to obtain permission directly from the copyright holder. To view a copy of this licence, visit http://creativecommons.org/licenses/by-nc-nd/4.0/.
About this article
Cite this article
Rahman, G., Khalid, S., Arshad, S. et al. Remote sensing-based spatiotemporal assessment of agricultural drought and its impact on crop yields in Punjab, Pakistan. Sci Rep 15, 20586 (2025). https://doi.org/10.1038/s41598-025-06095-6
Received:
Accepted:
Published:
Version of record:
DOI: https://doi.org/10.1038/s41598-025-06095-6















