Abstract
This study uses the Das magnitude scale (Mwg) to improve probabilistic seismic hazard assessment (PSHA) in Northeast India, where traditional M scales introduce inaccuracies for events below M 7.5. The M scale is mathematically flawed in this range, being based on an equation derived for Ms ≲ 7.0—an inconsistency evident in the observed data. Using a unified earthquake catalog of 9,968 events, calibrated to Mwg, in conjunction with region-specific seismogenic zones and observed-data-validated ground motion models, hazard spectra were derived for 475- and 2475-year return periods. The resulting PSHA indicates maximum peak ground accelerations (PGA) of 0.908 g and 1.5405 g for 10% and 2% exceedance probabilities over 50 years, respectively. Comparative analysis revealed significant discrepancies between M and Mwg, with M overestimating ground motion by up to 40% for the 475-year return period and 20% for The 2475-year return period, particularly in regions prone to medium-range earthquakes. This overestimation of the M scale (mainly for smaller and medium earthquakes) was previously reported by Choy and Boatwright in 1995 using the Gutenberg–Richter energy equation. This issue can be effectively addressed by adopting the Mwg scale, which provides a more accurate representation of seismic energy. Furthermore, M scale underestimated PGA by up to 10% for very large magnitude events. These discrepancies, particularly overestimation in smaller and medium earthquake ranges, have critical implications for structural design. The adoption of Mwg provides a more accurate seismic hazard representation, necessitating a reevaluation of current building codes and emergency response protocols in Northeast India.
Similar content being viewed by others
Introduction
The northeastern part of India, situated near the Himalayan mountains, is considered one of the country’s most seismic-prone areas based on the Indian building code. Over the centuries, this territory has faced numerous devastating earthquakes, that have significantly affected its landscape and history. The most well-documented historical earthquakes in this area include the earthquake on June 12, 1897 (Mwg = 8.7) and the one that occurred in Assam on August 15, 1950 (Mwg= 8.1), which partially destroyed several cities in Northeast India. These two earthquakes rank among the most powerful globally to have shaken the area within the past 128 years. The high seismicity of Northeast India is primarily driven by the tectonic interactions of the Indian Plate, which collides with the Tibetan Plate to the north and the Burmese landmass to the east. Early seismic research (e.g.1,) identified a seismic void located between the epicenters of the earthquakes from 1897 and 1950, referred to as the "Assam Gap," signaling an elevated risk of future destructive earthquakes. The region is also home to several critical national projects involving multi-billion-dollar investments, making a comprehensive seismic hazard assessment essential to mitigate risks using advanced scientific methods.
Seismic hazard maps are widely regarded as fundamental tools in shaping public policies related to emergency preparedness, insurance policies, construction guidelines, and land-use management (e.g.2,). A significant part of these assessments utilizes the PSHA approach, which has been applied in various regions around the world. However, there remain ongoing challenges in refining PSHA methodologies (e.g.3,). In addition, some researchers have explored alternative approaches, such as deterministic or neo deterministic strategies, to measure seismic hazards (e.g4.). Numerous seismic hazard assessment studies focusing on Northeast India have been performed by several investigators5,6,7,8,9. These studies provide important foundational insights into the region’s seismic risks. However, there remains significant scope for improvement, particularly in incorporating more advanced datasets, modern methodologies, and validated ground motion models, which could further enhance the accuracy and reliability of seismic hazard assessments in this region.
PSHA typically relies on earthquake catalogs (e.g., seismic size), earthquake source models, and ground motion models (GMMs). Nevertheless, many existing seismic hazard maps for Northeast India have given limited attention to the creation of seismic event listings and the uncertainties related with them. Numerous studies (e.g.10,11,) have shown that seismic activity metrics derived from improperly treated earthquake catalogs can introduce significant biases. Recent research (e.g.12,13,14,15,) has indicated that the M scale may not be appropriate for smaller and medium magnitudes earthquakes globally, suggesting the need for alternative magnitude scales like the Das Magnitude scale (Mwg)13,15,16. Das et al.16 derived the Mwg scale, which closely aligns with the observed mb scale for earthquakes with magnitudes below 7.017 and with the Ms scale for magnitudes between 5.0 and 8.0, providing a better representation of seismic radiated energy for smaller, medium, large and very large earthquakes.
This research aims to enhance the accuracy of seismic hazard assessments by incorporating the Mwg magnitude scale into PSHA. This integration is intended to reduce the significant discrepancies between observed energy and estimated energy using Gutenberg and Richter18. The reduction of the discrepancy is important because use of M scale leads to biased in seismic hazard evaluations and other seismological investigations.
The structure of this paper is presented as follows: “Preparation for unified earthquake catalog” section begins by examining magnitude scale considerations for earthquake size analysis, proceeds to describe the statistical methods utilized in the creation of a homogenous earthquake catalog calibrated to Mwg, and concludes with a detailed account of the declustering and completeness assessment performed on the catalog. “Derivation seismicity parameters and seismic source zonation” section delineates the seismicity parameter estimation and seismic source zonation. “Strong ground-motion-model” section focuses on strong ground motion models. “Seismic hazard assessment for northeast India” section presents the results of the PSHA, while “Summary and conclusion” section provides a comprehensive Summary and Conclusions.
Preparation for unified earthquake catalog
Seismic catalogs, vital for earthquake activity records, often suffer from inconsistencies in earthquake size assignments due to magnitude scale variations. As earthquake magnitude is critical for accurate seismic hazard assessment, these discrepancies hinder the understanding of earthquake energy and regional hazard evaluation. To enhance catalog reliability, a comprehensive understanding of magnitude scales is essential. Therefore, this study critically examines the scientific background of the M and Mwg magnitude scales to provide a clearer understanding of this issue.
Magnitude issue
Recent investigations have unequivocally highlighted the limitations of M scales and provided compelling evidence in support of adopting the Mwg scale12,13,14,15,16,19,20,21,22. Below, we briefly outline some of the limitations of M scale.
Limitations of the M Scale below 7.5: When scientists had fewer instruments and less data, Kanamori23 introduced the Mw scale, a significant advancement that resolved the issue of magnitude ‘saturation’ (where very large earthquakes appear to have the same magnitude). However, the methods used to extend the Mw scale, designated as the M scale17, to lower and medium magnitudes (specifically, below magnitude 7.5) contain mathematical flaws12,15,19,20,21. In the abstract of Hanks and Kanamori17, it is explicitly stated that the M scale was defined for magnitudes greater than 3.0, considering the close coincidence of three equations: (1) log M0 = 1.6Mw + 16.1, (2) Eq. (1) of Purcaru and Berckhemer24, and (3) the equation log M0 = 1.6ML + 16.1 presented by Thatcher and Hanks25. However, Purcaru and Berckhemer24 clearly defined the applicability of their equation, Log M₀ = 1.5 Ms + 16.1, to magnitudes strictly below Ms ≲ 7.0, specifically within the interval 5.0 ≤ Ms ≲ 7.0. Conversely, Hanks and Kanamori17 erroneously attributed a broader range of 5.0 ≤ Ms ≤ 7.5 to this equation (as evidenced on Page 2348 of Hanks and Kanamori17, where they state, “Which is remarkably coincident with the M0-Ms relationship empirically defined by Purcaru and Berckhemer24 for 5 ≲ Ms ≲ 7.5: LogM0 = 1.5 Ms + 16.1 (± 0.1)”). This misrepresentation underscores the inherent limitations of the M scale for earthquakes below magnitude 7.5, a fact demonstrably supported by observational data (refer to Figures S2 and 3 of Das et al.16, published in BSSA, and Figure S5 of Das et al.15). In contrast to the M scale, which exhibits these mathematical deficiencies at magnitudes below 7.5, the Mwg scale removes the mathematical flaw of M scale using below 7.5. The foundation of Mwgscale is given in many literatures (e.g.15,16,).
Regional validation of M scale: While the Mw scale for magnitudes greater than 7.5 was globally validated (see Tables S1, 2 of Kanamori23), the M scale introduced by Hanks and Kanamori17 was only validated for the Southern California region. This lack of global validation is also evident in various datasets, where significant deviations between the Log Mo, and Ms or mb (Figures S1, S2 and S3 of Das et al.16).
Use of constant values in Gutenberg energy equation: M scale was derived using constant values in Gutenberg energy equation, note that this constant value is applicable for shallow earthquakes. The inclusion of a constant term (5 × 10⁻5) in the Gutenberg energy equation makes the Mw or M scale highly selective, as this constant can vary significantly. Bormann and Di Giacomo (2010) reported that the constant term can range (− 7 θk − 3), whereas Kanamori adopted a value of θk = − 4.3. Consequently, the Mw and M scales face significant limitations due to the assumption of a fixed Es/Mo value of 5 × 10⁻5.
Overestimation of energy: Choy and Boatwright26 demonstrated that the Gutenberg-Richter energy equation tends to overestimate energy, primarily due to its reliance on M scale below 7.5 (see Figure S4 of Choy and Boatwright26). Similar conclusions were reached by Das and colleagues using global datasets (Figure S4 of Das et al.13,16, and Figure S4 of Das and Das15).
Issue with surface wave-based magnitude scale: Gutenberg and Richter18 recommended developing a magnitude scale based on body waves rather than surface waves, as surface waves do not accurately represent the seismic source. This limitation arises because surface waves are influenced by regional geological conditions and propagation effects, making them less reliable for characterizing the true energy release of an earthquake.
Addressing misconceptions of Gasperini and Lolli27 about the Mwg scale
Recent critiques of the Mwg scale, such as those by Gasperini and Lolli27, rely on inaccurate and misleading claims, a point thoroughly refuted in existing literature and further addressed in the forthcoming work by Das and Das15. A key issue with these critiques is their misrepresentation of the original M formulation by Purcaru and Berckhemer24, where Gasperini and Lolli27 incorrectly advocate for extending the applicability of Eq. (1) given by Purcaru and Berckhemer24 beyond its originally intended limit of Ms ≲7.0. Furthermore, it is noteworthy that these same authors have a history of offering inappropriate commentary on all of our methodological approaches13, including our adoption of Corrected General Orthogonal Regression (GOR1)—despite our documented justifications in Geophysical Journal International, the Bulletin of the Seismological Society of America (BSSA), and Seismological Research Letters (SRL) since 2012, and more recently, their 2024 commentary on our 2019 Das Magnitude Scale publication in BSSA. Specifically regarding GOR (General Orthogonal Regression), they asserted it was the best method considering the error variance ratio \(\eta = \frac{{\sigma_{y} }}{{\sigma_{x} }}\), a statement that contradicts established statistical literature by overlooking equation error in estimation of \(\eta\)28.
Following The 2024 publication of their critique of our 2019 work, we address the critical inaccuracies of their arguments within Das et al.20. The following section addresses several critical inaccuracies found within these critiques.
No evidence for advocating adequacy of the M scale: Gasperini and Lolli27 assert the adequacy of the M scale; however, this claim lacks scientific substantiation. While the M scale demonstrates reliability for earthquakes with magnitudes of M ≥ 7.5, its validation is geographically restricted to Southern California, also acknowledged by Gasperini and Lolli27 themselves. This limited validation highlights a critical need for a globally applicable magnitude scale, such as Mwg. Furthermore, the M scale’s complete reliance on surface waves (e.g., Log Es = 1.5 Ms + 11.8, Log Mo = 1.5 Ms + 16.1) not only limits its ability to accurately characterize earthquake sources but also renders it ineffective for measuring earthquakes at intermediate and deeper depths. Recognizing surface wave limitations, Gutenberg and Richter18 advocated for the development of a magnitude scale based on body waves rather than surface waves15.
Misrepresentation of Eq. (1) of Purcaru and Berckhemer24 to support adequacy of M scale below 7.5: Gasperini and Lolli27 made a demonstrably false claim regarding the scope of Purcaru and Berckhemer’s24 work. They attributed a magnitude range of 5 ≤ Ms ≤ 7.5 to Purcaru and Berckhemer’s Eq. (1), stating, “whereas Purcaru and Berckhemer24 from earthquakes with 5 ≤ Ms ≤ 7.5 recorded all over the world obtained log10 M0 = 1.5Ms + 16.1.” However, this is a direct misquotation and misrepresentation. Purcaru and Berckhemer24 explicitly defined their equation’s applicability to moderate to large earthquakes considering ranges of Ms and Mo (Ms ≲7, M0 ≲1027 dyn.cm), further specifying, “In the range of moderate to large earthquakes (Ms ≲7, M0 ≲1027 dyn.cm), where Ms is a reliable measure, the relation between Log M0 and Ms is linear and average relation see Fig. 4:
Log M0 = (16.1 ± 0.1) + 1.5Ms—(1) is established to give the best fit with the observed data”, Purcaru and Berckhemer24, p. 189). Consequently, Gasperini and Lolli’s27 assertion of Ms ≤ 7.5 significantly and unjustifiably expands the magnitude range (Ms ≲ 7) delineated by Purcaru and Berckhemer24.
Based on the preceding discussion, the assertion by Gasperini and Lolli27 that the M scale is sufficient and requires no further refinement is incorrect.
Justifications on linear relations for magnitude scale development: The development of magnitude scales, including Mw, M, Me, and Mwg, commonly employ linear relationships between Log Mo and magnitude. For instance, the M scale’s development utilized the linear relationship Log Mo = 1.5 ML + 16.125, based on Mo and ML. Hanks and Kanamori17 recommended using ML and mb for magnitudes below 7.0 due to their 1-s wave basis, leading to a linear Log Mo vs. mb relationship in that range. Das and Das15 further substantiate the theoretical basis for these linear relationships, aligning with the principles outlined by Kanamori and Anderson29. However, Das et al.16 in page 1545 clarified that their aim was not to get the best fitting linear relationship between Log Mo and mb within a specific range, but rather to develop an unsaturated magnitude Mwg that consistently aligns with observed body and surface wave magnitudes across low, medium, and high magnitude ranges, thereby providing a suitable scale for all magnitude ranges.
Justifications against Infinite Scaling (Gasperini and Lolli 2024): Gasperini and Lolli27 argument about infinite number of magnitude scales based on calculated average differences and standard deviations between seismic energy and arbitrarily generated ‘dummy magnitudes’. However, this proposition lacks scientific foundation. The ‘dummy magnitudes’ employed are not derived from established seismological methodologies and exhibit significant deviations from scales like M or Mw above magnitude 7.5, thus violating the fundamental properties of these established scales. Specifically, the M scale is designed for accuracy above 7.5, a criterion the ‘dummy magnitudes’ fail to meet (see Figure S4 of Das and Das15). Moreover, Gasperini and Lolli's27 methodology relies solely on minimizing average differences and standard deviations, disregarding established standards and norms used in developing robust magnitude scales. Unlike Das et al.16, who utilized rigorous statistical tests, Gasperini and Lolli27 did not provide statistically significant validation for their proposed approach. Conversely, the development of Mwg, is justified by the documented limitations of the M and Mw scales, particularly below magnitude 7.5, and for global scales and earthquakes at intermediate and deep depths. Mwg addresses these limitations by providing a more accurate representation of seismic energy and is validated by rigorous statistical tests. Furthermore, the development of improved moment magnitude scale (Mwg) utilizing body waves aligns with the recommendations of Gutenberg and Richter18 and addresses the limitations of surface-wave based scales.
In their 2024 critique, Gasperini and Lolli raised the concern of a potentially infinite magnitude scale specifically regarding the Mwg scale. However, this concern is not only applicable to Mwg but also relevant to M, Mw, and Me, as documented in Das and Das15. Furthermore, the argument of an infinite magnitude scale is not pertinent when considering scale improvements and corrections. Unlike the M scale, Mwg exhibits no inherent mathematical flaws or constancy issues. Mwg has also been validated worldwide and offers a simpler methodology. Furthermore, Mwg scale improves seismic energy estimation though Gutenberg-Richter equation.
In their critique on the Das scale, Gasperini and Lolli27 employed incorrect mathematics, misused citations, and misrepresented quotations, significantly undermining the validity of their arguments. Below, we highlight these critical errors so that these errors cannot propagate further.
-
1.
Incorrect Mathematics: Gasperini and Lolli27 incorrectly used the value − 4.7 in their calculations, whereas the correct term is − 4.8. This mathematical error has a direct impact on their results and conclusions, rendering their analysis flawed and unreliable. Such inaccuracies raise serious concerns about the rigor of their critique15.
-
2.
Misuse of Citations: Gasperini and Lolli27 inaccurately cited Kanamori and Anderson29, claiming that they recommended using mb < 5. However, a thorough review of Kanamori and Anderson29 work reveals that they did not make any such statement regarding mb. This misrepresentation of prior research undermines the credibility of Gasperini and Lolli’s critique.
-
3.
Misquotation of Purcaru and Berckhemer24: Gasperini and Lolli27 asserted that Purcaru and Berckhemer24 developed their equation for the magnitude range 5 ≤ Ms ≤ 7.5 on a global scale. However, upon re-examination, it is evident that Purcaru and Berckhemer explicitly stated that their equation (Eq. 1) was primarily valid for magnitudes below 7.0 (Ms ≲ 7.0). This is because events below 7.0 Ms are considered more reliable for their formulation. Gasperini and Lolli’s overestimation of the applicable range misrepresents the original work and introduces inaccuracies into their critique.
These errors in mathematics, citations, and quotations demonstrate a lack of attention to detail and rigor in Gasperini and Lolli’s27 critique. Readers are urged to approach their critique with caution and to refer to the original works, such as15, for a more accurate and reliable understanding of the Mwg scale.
Scientific benefits of adopting the Mwg scale over M15
In Das and Das15, we provided a comprehensive analysis highlighting the advantages of the Mwg scale over the M scale. For the convenience of readers, we briefly summarize these benefits below to facilitate a clearer understanding of the Mwg scale’s superiority in accurately estimating radiated seismic energy.
Mathematical consistency: Unlike the M scale, Mwg is free from inherent mathematical flaws and exhibits consistent applicability across all magnitude ranges, eliminating the discontinuity (7–7.4) observed in M. In PSHA, using a scientifically accurate magnitude scale as input is crucial—correct inputs lead to correct outputs. The adoption of the Mwg scale ensures more reliable and accurate seismic hazard estimates, improving the overall integrity of PSHA results.
Direct seismic moment consideration: Mwg is developed through the direct consideration of seismic moment values, avoiding the assumption of a constant stress drop (Es/M0) inherent in the M scale (2/3Log Mo-10.7) derivation. The M scale’s sensitivity to constant values (e.g., Kanamori23, used θk = − 4.3) introduces variability based on the chosen constants, a problem absents in Mwg.
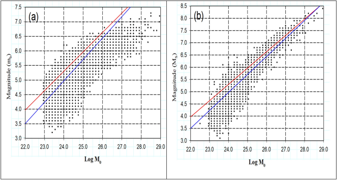
Enhanced Energy Quantification: Mwg provides an improved understanding of earthquake energy compared to the Mw scale as shown in Fig. 1. (see Figure S4 of Choy and Boatright 1995, Figure S4 and Tables S1, 2 and 3 of Das et al.16, Figure S1 of Das et al.13, and Figure S4 of Das and Das15). Our analysis reveals that 76% of the observed radiated energy of global data values align more closely with estimates from the Mwg scale, while only 24% align with those from the Mw scale. This statistically significant difference suggests that the Mwg scale provides a more accurate representation of radiated energy across diverse seismic events. These findings highlight the limitations of the Mw scale and support the adoption of the Mwg scale for improved energy estimation.
Comparison of Seismic Energy Estimates Between Mw and Mwg Scales. The figure demonstrates that the Mw or M scales tends to overestimate seismic energy in the lower and medium magnitude ranges, as reported by Choy and Boatwright26. Our datasets also show similar results. However, for large magnitude events, both the Mw and Mwg scales provide comparable energy estimates. The overestimation observed with the Mw scale (Green solid line) can be mitigated by using the Mwg scale (Blue solid line).
Improved Global Alignment: Mwg shows closer alignment with mb and Ms globally compared to M, ensuring consistent energy distribution and improving the accuracy of Gutenberg-Richter parameters, deformation analyses, and related seismological studies (Figures S1, S2, and S3 and Table S1 of Das et al.16, Figure S5 of Das and Das15). The average difference between observed and estimated values is − 0.32 ± 0.31 (mb–M) and 0.007 ± 0.30 (mb–Mwg), while for Ms, it is − 0.44 ± 0.28 (Ms–M) and − 0.11 ± 0.21 (Ms–Mwg). This alignment is crucial for maintaining energy consistency in seismic analysis (Fig. 2).
The above figure clearly illustrates the comparison between the M scale (Red Solid Line) and the Mwg scale. The Mwg scale (Blue solid line) shows a closer alignment with observed mb in its applicable range (up to 7.0) and Ms in its applicable range (5.0–8.3). In contrast, the M scale demonstrates a significant deviation from both mb and Ms, particularly within their respective applicable ranges. This deviation is statistically significant and leads to inconsistencies in energy quantification, resulting in biased seismic hazard assessments15.
Spectral analysis and high-frequency estimation: Due to the reliance of the M scale on long-period surface wave magnitudes, it is inadequate for accurately estimating high-frequency or strong-motion amplitude data, which are essential for evaluating the potential destructive effects of real-world earthquakes. Conversely, Mwg is derived from the analysis of both low- and high-frequency spectral components of seismic signals and correlates better with seismic damage potential.
Global validation: Mwg has been validated globally, whereas the M scale’s validation is primarily limited to Southern California.
Depth independence: Mwg is not constrained by surface wave limitations, enabling accurate magnitude determination for intermediate and deeper earthquakes, a limitation presents in the M scale.
In summary, the Mwg scale corrects the inherent errors of the M scale, offering improved consistency, global applicability, and improved energy quantification. Its use in PSHA ensures more precise inputs, leading to statistically robust and scientifically reliable seismic hazard assessments compared to the traditional M scale.
Regression relations
When creating a uniform earthquake catalog for an area with high seismic activity, the regression equations used to convert various magnitude types into a preferred magnitude scale are critical. Any bias introduced during this conversion can propagate errors in the Gutenberg-Richter frequency-magnitude distribution and ultimately affect the estimates of seismic hazard.
Standard linear regression (SLR)
Standard Linear Regression (SLR) is a widely utilized technique for developing a standardized earthquake catalog when one variable is assumed to be error-free or has a negligible error compared to the error in the other variable. However, using SLR is not suitable for converting earthquake magnitudes since both variables are subject to errors. Instead, the General Orthogonal Regression (GOR) approach is recommended, as it considers errors present in both the independent and dependent variables10,28,30. Unfortunately, the GOR technique has been misapplied in seismic research10,11,28. A corrected GOR method, GOR1 (Das et al.10) has been introduced in seismic studies to address the overestimation issue associated with conventional GOR (GOR2). The GOR1 procedure adopted in this study is explained in Das et al.10, so we will not repeat it here.
Following the methodology described in Das et al.10, GOR1 relationships were established with η = 0.2 to transform mb,ISC to Mwg,GCMT for magnitudes between 4.5 and 6.9, and for mb,NEIC to Mwg,GCMT for magnitudes from 4.4 to 6.9. These relationships were developed using datasets that included 290 and 239 events, respectively, covering the timeframe from 1976 to 2021. Furthermore, we derived regression equations for Ms,ISC and Mwg,GCMT, as well as for Ms,NEIC and Mw,GCMT, utilizing the newly introduced GOR method from Das et al.10 which involved 110 events in the range of 3.6 ≤ Ms,ISC ≤ 7.2 and 33 events in the range of 4.6 ≤ Ms,NEIC ≤ 7.2 (Fig. 3).
Table 1 provides the magnitude conversion parameters for the respective regression relationships. Figure 4 illustrates a seismicity map for the northeastern region of India, showing earthquakes with a magnitude of Mwg ≥ 4.
A procedure for homogenization of regional magnitudes into das magnitudes Mwg
A proposed methodology describes how different types of magnitude can be transformed into a single moment magnitude, referred to as Mwg.
-
1.
The magnitudes in Bapat et al.’s (1983)31 catalog that have not been assigned are classified as Ms (Das and Meneses 2021).
-
2.
Magnitudes from the catalog by Gupta et al.32 that do not have specific designations are regarded as Ms, following the approach of Das and Meneses (2021)
-
3.
For events where magnitude types such as mb and Ms are available, preference is given to the magnitude type derived from data collected from a greater number of stations.
-
4.
If the body wave magnitude scale is insufficient for regional relationships, we rely on the corresponding global correlation13.
-
5.
In cases where only MMI intensity data is available for an event, the intensity can be applied to the Mw,GCMT relationship, as outlined in Pallavi et al.21.
Declustering
The Poissonian distribution serves as the fundamental assumption for the Cornell-McGuire approach in PSHA. Foreshocks and aftershocks must be removed from the homogenized earthquake catalog to ensure data consistency. Multiple seismic events take place within a short period, typically linked to the main earthquake. The seismic events connected to the main event are referred to as aftershocks. Similarly, earthquake events that precede a major earthquake are generally called foreshocks. The delustering procedure, aimed at filtering out foreshocks and aftershocks, was implemented through a time–space window approach (Fig. 5). The choice of reference Uhrhammer33 was based on its simplicity and widespread use. The initial earthquake count stood at 9968, but after the removal of foreshocks and aftershocks, it was reduced to 7,745.
Completeness analysis of the catalog
To ensure the catalog’s completeness, we meticulously followed the methodology outlined in Stepp34. According to this approach, the average earthquake rate in the catalog demonstrates an inverse relationship with the quantity of observed data within the catalog. To derive a precise estimate of the sample mean variance, the earthquake sequence was modeled using a Poisson distribution.
Let’s consider X1, X2, …, Xn to indicate the count of seismic occurrences within a specific time frame. Therefore, the average estimate of earthquakes for each time segment can be represented as:
where ‘n’ represents the total count of time intervals. Assuming the Poisson process to be stationary, the standard deviation within the subinterval of the \(\frac{1}{\sqrt T }\).
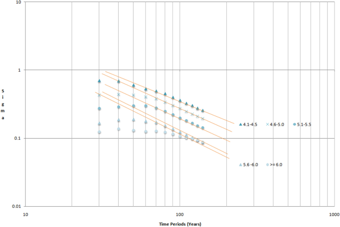
Our observations indicate that the completeness periods for various magnitude ranges are as follows: for magnitudes between 3.1 and 3.5, the completeness period is thirty years; for magnitudes ranging from 3.6 to 4.0, it is forty years; for magnitudes between 4.1 and 4.5, the completeness period extends to fifty years; for magnitudes from 4.6 to 5.0, it is sixty years; for magnitudes ranging from 5.1 to 5.5, the completeness period is sixty-five years; for magnitudes between 5.6 and 6.0, it extends to one hundred years; and for magnitudes ≥ 6.0, the completeness period is one hundred thirty years (Fig. 6). Notably, for lower earthquake magnitude intervals, the completeness period is shorter, reflecting the limited instrumentation available during those times. Consequently, we estimated seismicity parameters utilizing the complete portion of the catalog.
Estimation of Mmax
A crucial variable in evaluating seismic hazards is the maximum magnitude (Mmax). It reflects the largest potential earthquake a fault or thrust can unleash, exceeding the limitations of historical and instrumental records. Mmax denotes the maximum possible earthquake size within a particular area and serves as a clear boundary, beyond which no larger earthquakes are anticipated. The current approaches for estimation are grouped into two primary types: deterministic and probabilistic. In the deterministic approach, Mmax typically relies on observed relationships linking earthquake magnitude to fault characteristics. Various efforts have been made to explore these relationships, as reported by Wells and Coppersmith35. Kijko36 offers a robust and flexible approach for estimating Mmax. It allows for various statistical distribution models and accommodates different levels of available seismicity data.Tested with synthetic and real earthquake catalogs, the method has proven its applicability and reliability in estimating Mmax, particularly evident in results from Southern California. Notably, the non-parametric nature of this approach enhances the Mmax estimate’s reliability by avoiding assumptions about the specific magnitude distribution. Following the generic equation provided by Kijko36, the maximum magnitude (Mmax) is calculated for every seismic zone.
Derivation seismicity parameters and seismic source zonation
Seismic source zones and seismicty parameters
Seismic events in Northeast India predominantly stem from the collision of the Indian Plate with the Eurasian Plate. This seismicity is intricately linked to the Himalayan seismic belt, occurring within the zones of the Main Boundary Thrust (MBT) and the Main Central Thrust (MCT). Shallow seismic events are common along the MCT and MBT, stretching from Sikkim to Arunachal Pradesh. In contrast, seismic occurrences beneath the Indo-Burma ranges are generally at greater depths.
To carry out seismic hazard evaluations, identifying specific sources of seismicity is crucial. Despite differences in methodology, numerous researchers have focused on this area because of its notable seismic events. Based on local geological features, tectonic activity, and seismic patterns, the four main zones initially identified by Dutta37 were expanded to include nine distinct seismic zones (e.g., Das et al. 2016), as illustrated in Fig. 7. In this study we used unified catalog data in terms of Mwg scale, faults and focal plane solution, and define the following nine seismic source zones.
Illustration of the Seismic Source Regions Included in the Analysis for Northeast India. The red solid line indicates lineaments, “Neotec_Fault” denotes neotectonic faults, and “MFT” represents the Main Frontal Thrust. The figure also shows the distribution of normal, reverse, and strike-slip faults.
Zone 1. Covers parts of Assam, the entire Mizoram, and parts of Manipur. The highest recorded magnitude of an earthquake in this area was 6.8 and it took place on August 16, 1938. The structural feature in this area is marked by prominent anticlinal ridges and synclinal valleys formed by Surmas and Tipams from the Miocene epoch, alongside significant north–south oriented strike faults. The mean depths of earthquakes in this region is approximately 76 km, and the primary fault type identified here is mainly a reverse fault38.
Zone 2. The seismic activity in this region predominantly exhibits a thrust faulting mechanism, with the thrusts oriented towards the southeast. This area is located within the northern Indo-Burma fold belt. The most recent significant earthquake in this region registered a magnitude of 7.1 on August 6, 1988. The longest interval between large earthquakes (Mwg ≥ 7.0) has been recorded as 31 years. Since 1988, a period of low seismic activity has been observed, continuing to the present. The structural orientation of the orogenic belt in this zone primarily trends NE–SW, beginning in Arunachal Pradesh and gradually shifting to NNE–SSW. The average depth of seismic events in this zone is estimated to be around 70 km.
Zone 3. This region includes Myanmar and is defined by the prominent north–south trending Saging fault system. The latest notable earthquake in this area registered a magnitude of 7.8 and took place on May 23, 1912. The estimated average focal depth of seismic events in this zone is around 66 km.
Zone 4. The area in question is known as the Mishmi Massif, a geological feature that trends from northwest to southeast. The highest magnitude earthquake recorded in this region was Mwg 8.5, which occurred on August 15, 1950. Seismic activity here is linked to various geological formations, including the Mishmi thrust, Lohit thrust, Tiding suture, Pochu Fault, and multiple lineaments. These structures are crucial in influencing the seismic behavior of the area. The average depth of earthquakes in this region is approximately 42 km.
Zone 5. The area in question pertains to the Tibetan Plateau. The average focal depth for earthquakes in this region is estimated to be about 37 km. This indicates that seismic events in the Tibetan Plateau typically occur at an average depth of roughly 37 km below the Earth’s surface. It is essential to recognize that this information is derived from existing data and research. Ongoing studies and continuous monitoring are vital for enhancing our understanding of seismic activity and the related hazards in the Tibetan Plateau.
Zone 6. This area corresponds to the Himalayan Mountain Belt. It includes the eastern segment of the Main Central Thrust (MCT). The highest recorded magnitude in this region is Mwg 6.4. The primary seismogenic structures here are the Main Boundary Thrust (MBT) and MCT. The average depth of seismic events in this zone is around 39 km.
Zone 7. This region is known as the Shillong Plateau. The highest magnitude earthquake recorded here was Mwg 8.6, which struck on June 26, 1897. The Dauki Fault, a significant geological feature extending approximately 450 km, is considered the probable cause of the major earthquake in 1897. The average depth of seismic activity in this area is estimated to be around 37 km.
Zone 8. Situated in the Bengal Basin, encompasses Tripura and certain areas of Bangladesh. It is characterized by the presence of an important tectonic feature known as the Sylhet fault. Within this zone, the highest reported earthquake reached a magnitude of Mwg 7.4 and occurred on July 8, 1918. The average focal depth of seismic events in this zone is estimated to be approximately 35 km.
Zone 9. The specified region is situated in the Himalayan Mountain belt and displays features that trend from northeast to southwest. The highest recorded earthquake magnitude in this area was Mwg 7.5, which took place on July 29, 1947. The average depth for seismic events in this region is estimated to be about 44 km, suggesting that seismic activity generally occurs at this average depth beneath the Earth’s surface.
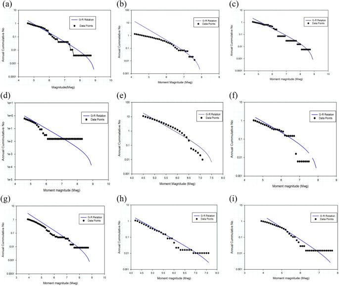
A homogeneous declustered catalog has been compiled for each seismogenic zone, with an estimated magnitude of completeness (Mc) assigned to each zone. This comprehensive catalog allows for the accurate estimation of seismicity parameters. The maximum magnitude (Mmax) for all zones is determined using the generic equation provided by Kijko36. The seismicity of the region can be characterized by the frequency-magnitude recurrence law proposed by Gutenberg and Richter39, expressed as log10 λ(m) = a–bm. Here, λ(m) represents the cumulative number of events with a magnitude greater than or equal to m, while ‘a’ and ‘b’ denote the seismicity parameters of the region. Seismicity parameters, such as ‘b’ and ‘a’, essential for PSHA, are derived using the maximum likelihood estimation technique as described by Aki40 and Weichert41. The parameter ‘a’ is specifically calculated using Eq. (10) from Weichert41 with the assistance of the method outlined by Step (1972). These parameters (‘b’, ‘a’) capture the overall seismicity and the distribution of magnitude sizes within the seismic region. Figures 8 and 9 illustrates the Gutenberg-Richter relationship for the nine seismic source zones in the Northeast India region. Additionally, the figure presents a comparison between the Gutenberg-Richter relationship and the observed seismicity for each zone.
Das Magnitude Scale (Mwg) versus moment magnitude (Mw) relationship (Anbazhagan · Harish Thakur42).
The seismicity parameters, which include ‘a’, ‘b’, Mc, Mmax, and the average focal depth (D), play a vital role in estimating seismic hazard assessment and are presented in Table 2. To facilitate comparisons of seismicity parameters (Mc, ‘b’, ‘a’) for the homogenized Northeast India catalog, we have compiled Table 3, which details values using both Mw and Mwg magnitude scales.
Strong ground-motion-model
The selection and application of strong ground motion models (GMMs) are pivotal in seismic hazard assessments, influencing the accuracy and reliability of predicted ground shaking intensities. In this study, five GMMs were carefully chosen to mitigate uncertainties inherent in prediction models. The use of GMMs based on observed data plays a critical role in understanding ground motion43,44,45. While other GMMs are primarily based on synthetic simulations, we chose not to use them because our focus is on GMMs derived from observed data and expressed in Spectral Acceleration (SA), which we believe provide a more reliable basis for our assessment. The spectral attenuation relationships developed specifically for the study region, along with those calibrated for comparable tectonic settings elsewhere, were analyzed using a logic tree approach. This methodological framework allows for the systematic integration of multiple GMMs, each contributing with varying weights based on their performance metrics and the specific seismic scenarios considered.
GMMs are primarily developed using the M scale. Since both M and Mwg are derived from the Mo, GMMs expressed in terms of M can also be applied to Mwg (See Appendix). The key difference between these scales lies in the coefficients used in their respective formulations: the M scale is defined by the equation M = 2/3logM0 − 10.717, while the Mwg scale is given by Mwg = Log Mo/1.36–12.6816. As a result, only the magnitude values need to be adjusted when applying GMMs to the Mwg scale (see Fig. , 9 and Table 4). One can use equation Mwg = 1.10 M − 0.88 for converting M to Mwg. For instance, if a ground motion equation is calibrated for a magnitude M of 6.0, a corresponding magnitude of approximately 5.7 on the Mwg scale should be used to obtain comparable results (see Table 4 below). We provided detailed explanations of using Mwg scale in existing GMM (see Appendix).
The GMMs utilized in this study include:
Each of these models was evaluated against observed strong ground motion data to assess their reliability and suitability for the study’s objectives. As there is no available observed earthquake data for large earthquakes of the study region, therefore, we used recent Turkey earthquake which has earthquake magnitude 7.8 Mwg of 18 km focal depths and available observed data (Fig. 10). While there are differences in specific tectonic settings between Northeast India and Turkey, both regions share fundamental characteristics of active tectonics, complex fault systems, and significant seismic activity with shallow focal depths. These similarities justify the comparative use of seismic data from Turkey to validate the ground motion model to enhance understanding and assessment of seismic hazards in Northeast India. When the used of global GMMs for a comprehensive assessment of seismic hazard in any local region is the standard practice then use of easily available observed ground motion data from Turkey earthquake may not be unreasonable to validate the GMM applicable for Northeast India. Validating these models with observed seismic data, such as that from Turkey, strengthens their applicability and reliability for regions where direct empirical data may be limited or unavailable. Furthermore, given the presence of a subduction zone in our study region, we incorporated observed earthquake subduction data, particularly from studies like Batias and Montalva (2016) (Fig. 10). This ensured a robust selection and application of attenuation relationships in our analysis.
However, making decisions about which GMM is better across the entire range of magnitudes (from 5.0 to 9.0) is challenging because most existing GMMs for the study region are primarily based on small to medium-sized earthquakes. It is also important to note that a GMM effective for representing smaller and medium earthquakes may not be suitable for large earthquakes, and vice versa. This remains a global challenge, highlighting the need for further improvements. Notably, while Sharma et al.49 and Gupta50 validated their models using regional observed data during development, their validation did not extend to large earthquakes. In contrast, we have validated our model with large earthquakes.
Justification of GMM Selection Criteria: (a) Seismotectonic and Geological Compatibility: The selected GMMs were chosen based on their alignment with the seismotectonic and geological characteristics of the study area, which includes considerations of regional fault structures, tectonic activity, and geological formations. (b) Database of Natural Ground Motion Records: Preference was given to models developed using extensive databases of natural ground motion records, which provide empirical support and validation for their predictive capabilities. (c) Suitability for Engineering Applications: The structural period range covered by each GMM ensures their relevance for engineering applications, facilitating accurate assessments of seismic hazard and potential impacts on infrastructure.
In a logic tree formulation, the weights assigned to various GMPEs represent the degree to which each equation is deemed to be the best predictor of earthquake ground motions in that specific area51. Figure 11 illustrates the branching structure of the logic tree along with the assigned weights for each model.
When examining the available recordings for rupture distances less than 101 km, it was found that Abrahamson46, Zhao et al.47, and Gupta50 correlate closely with the observed ground motion (Fig. 10). To evaluate the performance of different GMMs, we analyzed both the Average Absolute Deviation (AAD) and the Standard Deviation (STD) for each equation. Abrahamson et al.46 demonstrated an AAD of 0.09 and an STD of 0.11. Similarly, Zhao et al.47 exhibited an AAD of 0.08 and an STD of 0.108. Additionally, Boore et al.48 reported an AAD of 0.25 and an STD of 0.30. Sharma et al.49 recorded an AAD of 0.31 with an associated STD of 0.30. Moreover, Gupta50 observed an AAD of 0.14 along with an STD of 0.12. These values provide insights into the performance and variability of each GMM.
Abrahamson et al.46 is allocated a weight of 0.25 due to its AAD of 0.09 and STD of 0.11, indicating relatively low average differences and moderate variability. These metrics suggest that Abrahamson et al.46 study provides reasonably accurate and consistent attenuation relationships, justifying its significant influence in the weighted scheme. Boore et al.48 with an AAD of 0.25 and STD of 0.30, receives a weight of 0.15. These higher values in AAD and STD suggest more variability and potentially lower precision in its predictions compared to other studies. Thus, a lower weight is assigned to Boore et al.48's study to reflect its comparatively lesser reliability in providing precise attenuation estimates. Zhao et al.47merits a weight of 0.25 due to its AAD of 0.08 and STD of 0.108, indicating both low average differences and low variability. This suggests high accuracy and precision in Zhao et al’s47. attenuation relationships, warranting a significant influence in the weighted average. Gupta50, with an AAD of 0.14 and STD of 0.12, receives a weight of 0.20. These metrics reflect moderate average differences and variability, suggesting Gupta’s50 study offers reliable but slightly less precise attenuation relationships compared to others, hence its weight is appropriately set to balance its influence. Sharma’s49 study, with an AAD of 0.31 and STD of 0.30, is assigned a weight of 0.15. These higher AAD and STD values indicate greater variability and potentially lower reliability in Sharma’s49 predictions. Consequently, a lower weight is assigned to Sharma’s study to reflect its lower precision relative to the other studies considered. In conclusion, the weights assigned to each study are justified based on their AAD and STD values, ensuring that the weighted scheme appropriately reflects the accuracy, precision, and reliability of each attenuation relationship. This approach enables a balanced integration of diverse studies while emphasizing those with more consistent and precise seismic attenuation predictions in the overall analysis.
Previous research conducted in Northeast India has predominantly focused on evaluating seismic site conditions with an emphasis on soil behavior associated with different rock types. The National Earthquake Hazards Reduction Program (NEHRP) employs a metric known as Vs30, which indicates the shear wave velocity within the upper 30 m of the soil column52. In our study, we adopted the soil classification system outlined by NEHRP, as described in Table 5.
Seismic hazard assessment for northeast India
PSHA maps for Northeast India and its surrounding region were computed with a grid interval of 0.1° × 0.1° at the surface level. The analysis utilized a ground motion equation specific to the study area and incorporated a logic tree framework to encompass various GMMs. PSHA maps were created to illustrate key ground motion parameters, including PGA and SA at 0.2- and 1.0-s spectral time periods. These maps represent both a 10% and 2% probability of experiencing these ground motion levels within a 50-year timeframe (Figs. 12, 13). For scenarios with a 10% probability of exceedance over 50 years, surface-level PGA values were observed to range from 0.05 to 0.91 g (Fig. 12). Specific estimates for cities such as Guwahati, Imphal, Agartala, Shillong, Kohima, Gangtok, Itanagar, Tezpur, and Aizawl showed PGA values ranging from 0.5694 to 0.908 g for this probability level. The Table 6 provides a comparison of PGA values at various cities for a 10% probability of exceedance over a 50-year period, drawing from different studies, including the present one. The highest ground motion value recorded is 0.908 g, and it is situated around Dibang world life century, Arunachal Pradesh, India. This location experienced the most intense ground motion. The second-highest ground motion value, 0.8931 g, occurred at Shillong, indicating another area of significant ground motion. In Guwahati, the present study also reveals significantly higher PGA values of 0.8112 g compared to most other studies, indicating a relatively heightened seismic hazard. Imphal, Agartala, and Kohima exhibit a moderate seismic hazard with PGA values of 0.6825 g, 0.6084 g, and 0.6786 g, respectively. Itanagar also exhibits a moderate seismic hazard, with a present study PGA value of 0.70 g aligns with values reported in Nath et al.55 study. Aizwal, in contrast, appears to have a lower seismic hazard with a PGA value 0.5694 g.
The results for a 2% exceedance probability over 50 years, expressed as PGA values, provide significant insights into the seismic hazard assessments for several cities in Northeast India. Among these cities, Shillong and Guwahati exhibit a relatively high seismic hazard with PGA values of 1.4547 g and 1.4235 g, respectively, indicating a notable risk of experiencing ground motion events at these levels. Itanagar, Kohima, and Tezpur are found to have seismic hazard values of 1.0686 g, 1.0569 g, and 1.3377 g, respectively. Gangtok exhibits a relatively lower seismic hazard with a PGA value of 0.897 g, and Agartala follows suit with a PGA of 0.9672 g, indicating lower seismic hazards compared to the aforementioned cities.
Crucially, the underlying geological and soil conditions play an important role in influencing those above ground motion levels and associated engineering responses. Guwahati and Tezpur, situated on alluvial deposits of the Brahmaputra Basin, are prone to amplified shaking and potential liquefaction, necessitating deep foundations and active groundwater control. In contrast, Shillong, located on hard Precambrian bedrock near active fault zones, is exposed to high-frequency shaking, requiring design strategies that focus on structural rigidity rather than soil amplification. Imphal and Agartala, underlain by lacustrine and alluvial sediments, are vulnerable to basin effects, and benefit from flexible structures and detailed micro zonation. The moderate-to-high hazard observed in Kohima and Itanagar is also consistent with their underlying geology of weathered sedimentary rocks and colluvial slopes, suggesting a combined risk from ground shaking and earthquake-induced landslides. Although Gangtok and Aizawl rest on bedrock, their steep topography within metamorphic and sedimentary terrains makes them susceptible to landslides, warranting the use of lightweight structures and slope reinforcement measures.
During The 2011 Japan earthquake, peak ground acceleration (PGA) exceeded 1 g at 20 sites, with the highest observed PGA reaching 2.9 g at the K-Net Tsukidate station. In our PSHA model, such extreme accelerations (≥ 2.9 g) correspond to return periods exceeding 10,000 years, far rarer than The 2011 event, reflecting the unique rupture dynamics of subduction zones that are not directly comparable to continental Himalayan seismicity. The 2010 Maule earthquake (Mwg 8.8) experienced a maximum acceleration of 0.93 g, which aligns closely with our modeled PGA of 0.908 g for a 10% exceedance probability in 50 years (return period ~ 475 years). The 2008 Nevada earthquake (Mwg 4.7), with a focal depth of 3.1 km, produced a PGA of 1.19 g at the MOGL station (< 1 km from the epicenter). This PGA corresponds to a return period of ~ 1100 years in our model, highlighting the localized impact of shallow, near-source earthquakes. This significant PGA due to very low focal depth indicates that intense shaking can occur near the epicenter of shallow-focus earthquakes in the eastern to western Himalayan region of India, where earthquakes predominantly have shallow focal depths. The 1897 Assam earthquake reportedly generated a PGA of 1 g57. In our model, 1 g PGA corresponds to a 10% exceedance probability in 50 years (return period ~ 475 years), suggesting such events recur ~ 1–2 times per millennium. However, paleoseismic evidence indicates large Himalayan earthquakes (Mwg > 8) recur every ~ 500–1000 years, implying our model may underestimate the recurrence of extreme shallow-focus events due to limited historical catalogs.
The differences between our study and earlier ones may be attributed to several methodological advancements. Our analysis incorporated updated data and region-specific ground motion models that were validated against observed data, providing a more accurate representation of seismic conditions. Furthermore, the adoption of the Mwg scale enabled a more precise quantification of seismic energy release, leading to improved estimates of ground shaking (Fig. 1).
Design response spectra for buildings have been developed for nine important cities of Northeast India considering PGA and Spectral acceleration obtained in PSHA results (Fig. 14). The design spectra are determined by estimating the period T2 that symbols the starting of the stable velocity range as the proportion of the pseudo spectral acceleration at 1.0 s and 0.2 s as
Seismic hazard curves for selected cities in Northeast India. Each subplot (a–i) corresponds to a specific city as follows: (a) Guwahati, (b) Imphal, (c) Agartala, (d) Shillong, (e) Kohima, (f) Gangtok, (g) Itanagar, (h) Tezpur, and (i) Aizwal. The curves are computed assuming a 5% damping ratio and represent hazard levels for two probabilities of exceedance over a 50-year period: 10% (brown) and 2% (blue).
\(T_{2} = \frac{{S_{pa} (1.0s)}}{{S_{pa} (0.2s)}}ls.\) The period T1 that represents the starting of constant acceleration range has been calculated as a fraction of T2 depending on the local characteristics (soil condition) as \(T_{1} = \left( {\frac{1}{2}t_{0} - \frac{1}{5}} \right)T_{2}\) with a factor of 1/5 taken in the present case (for hard rock), as per the guidelines58.
Sensitivity analysis on seismicity parameters and ground motion models
A sensitivity analysis was performed to quantify the impact of key seismicity parameters and GMMs on the outcomes of PSHA. The seismicity parameters considered include the Gutenberg–Richter a-value and b-value, Mc, and Mmax. Additionally, the influence of the selected GMMs was investigated to assess model-induced epistemic uncertainty.
Monte Carlo simulations were employed to propagate the uncertainties associated with these parameters across all spatial grid points. A total of 200 synthetic earthquake catalogs were generated as used in earlier study of Das (2013). Each synthetic dataset was constructed by perturbing the seismicity parameters—specifically Mc and Mmax within their plausible ranges (as outlined in Table 1)—while holding the GMM constant to isolate the effects of seismicity inputs.
The results indicate that the Mc exhibits the most pronounced influence on seismic hazard, particularly at shorter return periods (e.g., 100 years). Variations in Mc resulted in changes of approximately 20–40% in PGA estimates. This strong sensitivity arises from Mc’s direct control over the rate of small- to moderate-magnitude earthquakes, which dominate ground motion exceedance probabilities at shorter return intervals.
The a-value and b-value, which govern the frequency-magnitude distribution of seismicity, showed a moderate impact, inducing 10–30% variation in PGA levels, with a more prominent effect at short to intermediate return periods. These parameters influence the total seismicity rate and the relative proportion of large versus small events.
In contrast, the maximum magnitude (Mmax) demonstrated a relatively limited influence on PGA estimates at short and intermediate return periods (10–15% variation). However, its contribution becomes more substantial at longer return periods, where the hazard is increasingly dominated by rare, high-magnitude events.
This analysis highlights the importance of accurate estimation and uncertainty quantification of Mc, a-value, b-value, and Mmax in seismic hazard modeling, particularly when evaluating hazard for critical infrastructure with varying design life spans.
In a separate set of 200 simulations, the influence of GMMs was assessed by varying the GMMs while keeping the seismicity parameters—a-value, b-value, Mc, and Mmax—fixed across all realizations. This approach allowed for an isolated evaluation of the epistemic uncertainty introduced by the selection of GMMs in PSHA. The results revealed that the choice of GMMs constitutes the most significant source of epistemic uncertainty in the hazard estimates, with the PGA varying by approximately 20% to 120% across various models. This underscores the necessity of comparing GMM predictions with observed data and demonstrates that such variability can be effectively addressed through the implementation of logic trees. The observed variability originates from differences in functional forms, regression coefficients, regional calibration datasets, and foundational assumptions embedded within each GMM. Additionally, the aleatory variability captured by the standard deviation (σ) inherent to each GMM contributes significantly to hazard estimates, especially at longer return periods.
Summary and conclusion
The PSHA maps presented in this study are crucial for various stakeholders, including government agencies, city planners, insurance companies, community disaster management organizations, and initiatives aimed at reducing risk, particularly in the context of building codes (e.g., ICC 200959). Our research examined three fundamental aspects: the seismic catalog, seismic source zones, and GMMs. Through a comprehensive analysis, we developed a cohesive earthquake catalog using an advanced moment magnitude scale known as the Das Magnitude Scale (Mwg).
The creation of a cohesive earthquake catalog that includes 9,968 events in this study serves as a valuable resource for a broad range of seismological research, such as seismic hazard assessment, the development of GMMs, seismicity analysis, seismotectonics, and earthquake prediction in the study area. The established empirical correlations among various magnitude scales (i.e., mb to Mwg, MS to Mwg, ML to Mwg) will enhance the understanding of local site influences on seismicity parameters.
The entire region of Northeast India has been divided into nine seismic source zones. This classification of seismic source zones, mainly determined by local differences in tectonic features, focal mechanisms, and geological conditions, has provided us with valuable insights. Each of these zones is characterized by specific seismicity parameters and distinct geological features, contributing to a comprehensive understanding of seismic hazards in the region (Table 2).
To assess the impact of different magnitude scales on seismic hazard estimates, we compared results obtained using the Mwg scale with those derived from the Mw scale. Initially, we prepared declustered catalogs based on both magnitude scales. For the Mwg catalog, we used the method described by Urhammer (1986), which led to the removal of 2223 events from an original dataset of 9968, representing approximately 22.29% of the total events. In contrast, the Mw catalog saw 3512 events declustered, accounting for about 35.22% of the total events. These underscore the Mwg scale’s effectiveness in identifying and removing clustered seismic events. Subsequently, we investigated how the choice of magnitude scale affects seismicity parameters by estimating parameters such as Mc, ‘a’ value, and ‘b’ value using both the maximum magnitude and entire magnitude range methods. Our analysis revealed significant variations based on the magnitude scale used: Mc was underestimated by 14%, 'b' values varied by 13%, and 'a' value changed by 7% (Table 3).
PSHA maps depicting surface-level ground motion were generated using the Mwg scale. The assessment was performed with grid spacing of 0.10 × 0.10 across the study area, utilizing a logic tree approach. Hazard curves for each grid location were calculated by averaging the various scenarios based on their assigned weights. Figure 11 shows the logic tree configuration for a particular site. The PGA values at the surface ranged from 0.01 to 0.91 g for the scenario with a 10% exceedance likelihood over a 50-year period. The estimated PGA values for 10% exceedance probability in 50 years at the surface for Guwahati, Imphal, Aagartala, Shillong, Kohima, Gangtok, Itanagar, Tezpur, and Aizwal are 0.81 g, 0.68 g, 0.61 g, 0.82 g, 0.68 g, 0.59 g, 0.66 g, 0.76 g, 0.57, 0.57 g, respectively. The estimated PGA values for 2% exceedance probability in 50 years at the surface for Guwahati, Imphal, Agartala, Shillong, Kohima, Gangtok, Itanagar, Tezpur, Aizwal 1.42 g, 1.07 g, 0.97 g, 1.45 g, 1.06 g, 0.89 g, 1.08 g, 1.34 g, 1.34 g, 0.87 g, respectively. The maximum Peak Ground Acceleration value associated with a 2% exceedance probability over a 50-year period was determined to be 1.54. Our investigation obtained relatively lower values along Himalaya plate boundary in the segment between 1987 and 1950 earthquake epicenters compared to other Himalayan Palte boundary areas of Northeast India. We attribute the discrepancy in ground motion estimation to the segment’s lack of significant earthquakes during the period in question, compounded by the limitations of the PSHA methodology. A PGA of roughly 1 g in this segment would not be surprising, as our PSHA estimation is constrained by a limited data window. The substantial acceleration experienced in Northeast India during The 1950 earthquake, approximately reaching 1 g, can be attributed to the relatively shallow focal depth characteristic of the Himalayan plate boundary.
Design spectra tailored to nine major cities in Northeast India were developed, offering valuable insights for the construction of earthquake-resistant infrastructure based on 475 and 2475 return periods (Fig. 14).
Importantly, we demonstrate that existing GMMs developed using the M scale can be directly applied to the Mwg scale, as both are fundamentally derived from seismic moment (Mo). A mathematically derived linear relationship (Mwg = 1.10 M–0.88) allows for consistent conversion, enabling seamless integration of Mwg into existing PSHA frameworks without recalibrating the GMM formulations. However, as the M scale tends to overestimate seismic energy for small to moderate earthquakes (Fig. 1), the development of new GMMs directly in terms of Mwg is recommended. Such models would more accurately reflect ground motion behavior across all magnitude ranges and improve the robustness of seismic hazard assessments.
The difference in the final PSHA results between the Mwg and M scales was calculated and found to be significant. In particular, the assessment based on the M scale results in an overestimation of ground motion up to 40% for a 475-year period and by 20% for a 2475-year duration, especially in regions where medium range earthquakes are possible (zones 1, 5, 6, and 8). This overestimation is attributed to the M scale’s tendency to overestimate earthquake energy in the lower and medium magnitude ranges (Fig. 1). Several studies already suggested that the M scale overestimates seismic radiated energy, as noted by Choy and Boatwright26, Das et al.13,15,16,60. However, the Mw scale underestimates the PGA by up to 10% when the maximum observed difference is 0.1 magnitude units for maximum magnitude earthquakes (with the maximum magnitude observed in the Mwg scale being 8.9, compared to 8.8 in the M scale at zone 4).
The key distinctions between this study and earlier research conducted in the Northeast India region are: (1) Comprehensive analysis of the earthquake catalog; (2) Earlier studies relied on the M scale and had a more localized focus; (3) GMMs applied in this research are weighted according to the best fitting observed data.
PSHA studies have inherent limitations due to their reliance on historical and instrumental earthquake data, which typically span only a few hundred years. This limited seismic record introduces challenges in assessing long-term seismic hazard (475 years and 2475 years), particularly in regions with sparse historical data. To address these limitations, integrating Global Navigation Satellite System (GNSS) data is recommended. GNSS provides continuous and precise measurements of ground deformation, offering critical insights into stress accumulation and release over extended time scales. By incorporating GNSS data, PSHA models can be refined to better predict long term seismic hazard20.
Another limitation of this study is the use of the Poisson model for earthquake occurrences and the Cornell–McGuire approach, which assumes time-independent seismicity based on the Gutenberg-Richter recurrence law. While this is a widely accepted approach, future studies could explore alternative models, such as Gamma, Weibull, Markov, or Gumbel distributions, which consider different statistical properties of earthquake recurrence. Furthermore, this study did not incorporate fault-specific analysis or time-dependent seismicity models. Future probabilistic seismic hazard assessments should investigate the influence of different seismogenic source zones on hazard estimates. Additionally, conducting a detailed sensitivity analysis would help identify key model parameters and branches that significantly contribute to seismic hazard outcomes, enhancing the robustness of hazard assessments.
In summary, this study lays the groundwork for understanding seismic hazard in Northeast India, but there is room for further refinement and exploration of alternative models and methodologies to enhance the accuracy of seismic risk assessments in the region.
Data availability
The datasets used and/or analysed during the current study are available from the corresponding author on reasonable request.
References
Khattri, K. N. Seismic gaps and likelihood of occurrence of larger earthquakes in northern India. Curr. Sci. 8, 885–888 (1998).
Das, R. et al. A probabilistic seismic hazard assessment of southern Peru and Northern Chile. Eng. Geol. 271, 105585 (2020).
Cornell, C. A. Engineering seismic risk analysis. Bull. Seism. Soc. Am. 58(5), 1583–1606 (1968).
Panza, G. F. & Bela, J. NDSHA: A new paradigm for reliable seismic hazard assessment. Eng. Geol. https://doi.org/10.1016/j.enggeo.2019.105403 (2019).
Bandyopadhyay, S., Parulekar, Y. M. & Sengupta, A. Generation of seismic hazard maps for Assam region and incorporation of the site effects. Acta Geophys. 70(5), 1957–1977 (2022).
Das, S., Gupta, I. D. & Gupta, V. K. A probabilistic seismic hazard analysis of Northeast India. Earthq. Spectra 22(1), 1–27 (2006).
Das, R., Sharma, M. L. & Wason, H. R. Probabilistic seismic hazard assessment for northeast India region. Pure Appl. Geophys. 173, 2653–2670. https://doi.org/10.1007/s00024-016-1333-9 (2016).
Parvez, I., Vaccari, F. & Panza, G. F. A deterministic seismic hazard map of India and adjacent areas. Geophys. J. Int. 155, 489–508. https://doi.org/10.1046/j.1365-246X.2003.02052.x (2008).
Sharma, V. & Biswas, R. Seismic hazard assessment and source zone delineation in Northeast India: A case study of the Kopili fault region and its vicinity. Indian Geotech. J. 54(2), 598–626 (2024).
Das, R. et al. Earthquake magnitude conversion problem earthquake magnitude conversion problem. Bull. Seism. Soc. Am. 108(4), 1995–2018 (2018).
Wason, H. R., Das, R. & Sharma, M. L. Magnitude conversion problem using general orthogonal regression. Geophys. J. Int. 190, 1091–1096. https://doi.org/10.1111/j.1365-246X.2012.05520.x (2012).
Paul, A., Ghosh, S. & Majumder, P. An integrated trapezoidal neutrosophic based decision making approach and its application to seismic hazard analysis. Sadhona (accepted) (2025)
Das, R., Menesis, C. & Urrutia, D. Regression relationships for conversion of body wave and surface wave magnitudes toward Das magnitude scale, Mwg. Nat. Hazards 117(1), 365–380 (2023).
Das, A., Das, T., Chaudhuri, C. H. & Choudhury, D. Integrated study on buried pipelines, co-seismic landslides, and magnitude conversion for 2023 Türkiye earthquake. Eng. Geol. 337, 107599 (2024).
Das, R. & Das, A. Limitations of Mw and M scales: Compelling evidence advocating for the das magnitude scale (Mwg)—A critical review and analysis. Indian Geotech. J. https://doi.org/10.1007/s40098-024-01147-6 (2025).
Das, R., Sharma, M. L., Wason, H. R., Choudhury, D. & Gonzalez, G. A seismic moment magnitude scale. Bull. Seismol. Soc. Am. 109(4), 1542–1555 (2019).
Hanks, T. C. & Kanamori, H. A moment magnitude scale. J. Geophys. Res. 84(B5), 2348–2350. https://doi.org/10.1029/JB084iB05p02348 (1979).
Gutenberg, B. & Richter, C. F. Earthquake magnitude, intensity, energy, and acceleration: (Second paper). Bull. Seismol. Soc. Am. 46(2), 105–145 (1956).
Boudebouda, A., Athmani, A. & Ranjit, D. A unified earthquake catalog for Northern Algeria based on an advanced moment magnitude scale using a robust regression method. Pure Appl. Gephys. 181, 1117–1138 (2025).
Das, R., Menese, C. & Wang, H. Seismic and GNSS strain-based probabilistic seismic hazard evaluation for Northern Chile using Das Magnitude Scale. Geoenviron. Disast. https://doi.org/10.1186/s40677-024-00285-6 (2025).
Pallavi Das, R., Joshi, S., Meneses, C. & Biswas, T. Advanced unified earthquake catalog for north east India. Appl. Sci. 13(5), 2812 (2023).
Samm, A. et al. Probabilistic seismic hazard mapping for Bangladesh using updated source models. Geomat. Nat. Hazards Risk 16(1), 2454537 (2025).
Kanamori, H. The energy release in great earthquakes. J. Geophys. Res. 82(20), 2981–2987 https://doi.org/10.1029/JB082i020p02981 (1977).
Purcaru, G. & Berckhemer, H. A magnitude scale for very large Earthquakes. Tectonophysics 49, 189–198 (1978).
Thatcher, W. & Hanks, T. C. Source parameters of southern California earthquakes. J. Geophys. Res. 78, 8547–8576 (1973).
Choy, G. L. & Boatwright, J. L. Global patterns of radiated seismic energy and apparent stress. J. Geophys. Res. Solid Earth 8, 18205–18228 (1995).
Gasperini, P. & Lolli, B. Comment on “a seismic moment mag nitude scale” by Ranjit Das, Mukat Lal Sharma, Hans Raj Wason, Deepankar Choudhury, and Gabriel Gonzalez. Bull. Seismol. Soc. Am. https://doi.org/10.1785/0120230230 (2024).
Carroll, R. J. & Ruppert, D. The use and misuse of orthogonal regression in linear errors-in-variables models. Am. Stat. 50(1), 1–6 (1996).
Kanamori, H. & Anderson, D. L. Theoretical basis of some empirical relations in Seismology. Bull. Seism. Soc. Am. 65(5), 1073–1095 (1975).
Fuller, W. A. Measurement Error Models (Wiley, 1987).
Bapat, A., Kulkarni, R. C. & Guha, S. K. Catalogue of Earthquakes in India and Neighborhood from Historical Period up to 1979 (Indian Society of Earthquake Technology, Roorkee, India, 1983).
Gupta, H. K., Rajendran, K. & Singh, H. N. Seismicity of Northeast India region: PART I: The database, J. Geol. Soc. India 28, 345–365 (1986).
Uhrhammer, R. A. Characteristics of northern and central California seismicity. Earthq. Notes 57(1), 21 (1986).
Stepp, J. Analysis of completeness of the earthquake sample in the Puget Sound area and its effect on statistical estimates of earthquake hazard. In Proceedings of the 1st International Conference on Microzonazion, Seattle vol. 2, 897–910 (1972).
Wells, D. L. & Coppersmith, K. J. New empirical relationships among magnitude, rupture length, rupture width, rupture area, and surface displacement. Bull. Seismol. Soc. Am. 84(4), 974–1002 (1994).
Kijko, A. Estimation of the maximum earthquake magnitude, mmax. Pure Appl. Geophys. 161, 1655–1681. https://doi.org/10.1007/s00024-004-2531-4 (2004).
Dutta, T. K. Seismicity of Assam belts of tectonic activity. Bull. Natl. Geophys. Res. I. 2(4), 152–163 (1964).
Angelier, J. & Baruah, S. Seismotectonics in Northeast India: A stress analysis of focal mechanism solutions of earthquakes and its kinematic implications. Geophys. J. Int. 178(1), 303–326 (2009).
Gutenberg, B. & Richter, C. F. Frequency of earthquakes in California. Bull. Seism. Soc. Am. 34(4), 185–188 (1944).
Aki, K. Maximum likelihood estimate of b in the formula log N = a − bM and its confidence limits. Bull Earthq Res Inst Tokyo Univ 43, 237–239 (1965).
Weichert, D. H. Estimation of the earthquake recurrence parameters for unequal observation periods for different magnitudes. Bull. Seismol. Soc. Am. 70(4), 1337–1346. https://doi.org/10.1017/CBO9781107415324.004 (1980).
Anbazhagan, P. & Thakur, H. Intensity prediction equations for himalaya and its sub-regions based on data from traditional sources and USGS’s did you feel it?(DYFI). J. Seismolog. 28(3), 707–734 (2024).
Kumar, A., Mittal, H., Kumar, R. & Ahluwalia, R. S. Empirical attenuation relationship for peak ground horizontal acceleration for North-East Himalaya. Vietnam J. Earth Sci. 39(1), 47–57 (2017).
Mittal, H., Wu, Y. M., Kumar, A., Kumar, A. & Sharma, B. Evaluating the effects of ground motion parameters on response spectra in Uttarakhand Himalayas India. Arab. J. Geosci. 9, 1–2 (2016).
Sandhu, M., Sharma, B., Mittal, H. & Chingtham, P. Analysis of the site effects in the Northeast region of India using the recorded strong ground motions from moderate earthquakes. J. Earthq. Eng. 26(3), 1480–1499 (2022).
Abrahamson, N., Gregor, N. & Addo, K. BC hydro ground motion prediction equations for subduction earthquakes. Earthq. Spectra 32(1), 23–44 (2016).
Zhao, J. X. et al. Attenuation relations of strong ground motion in Japan using site classification based on predominant period. Bull. Seismol. Soc. Am. 96(3), 898–913 (2006).
Boore, D. M., Stewart, J. P., Seyhan, E. & Atkinson, G. M. NGA-West2 equations for predicting PGA, PGV, and 5% damped PSA for shallow crustal earthquakes. Earthq. Spectra 30(3), 1057–1085 (2014).
Sharma, M. L., Douglas, J., Bungum, H. & Kotadia, J. Ground-motion prediction equations based on data from the Himalayan and Zagros regions. J. Earthq. Eng. 13(8), 1191–1210 (2009).
Gupta, I. D. Response spectral attenuation relations for in-slab earthquakes in Indo-Burmese subduction zone. Soil Dyn. Earthq. Eng. 30, 368–377. https://doi.org/10.1016/j.soildyn.2009.12.009 (2010).
Bommer, J. J. & Abrahamson, N. A. Why do modern probabilistic seismic hazard analyses often lead to increased hazard estimates?. Bull. Seism. Soc. Am. 96, 1967–1977. https://doi.org/10.1785/0120060043 (2006).
BSSC. The 2003 NEHRP Recommended Provisions for New Buildings and Other Structures, Part 2: Commentary (FEMA 450), Building Seismic Safety Council. National Institute of Building Sciences, Washington, DC, U.S.A. (2003).
Iyengar, R. N., Paul, D. K., Bhandari, R. K., Sinha, R., Chadha, R. K., Pande, P., Murthy, C. V. R., Shukla, A. K., Rao, K. B. & Kanth, S. T. G. R. Development of Probabilistic Seismic Hazard map of India, Technical report of the working committee of experts (WCE) constituted by the National Disaster Man agement Authority, Government of India, New Delhi (2011).
IS-1893-(Part 1). Indian standard, criteria for earthquake resistant design of structures, fifth edition, Part-I. Bureau of Indian Standards, New Delhi (2002).
Nath, S. K. & Thingbaijam, K. K. S. Peak ground motion predictions in India: An appraisal for rock sites. J. Seismol. 15, 295–315. https://doi.org/10.1007/s10950-010-9224-5 (2011).
Sreejaya, K. P., Raghukanth, S. T. G., Gupta, I. D., Murty, C. V. R. & Srinagesh, D. Seismic hazard map of India and neighbouring regions. Soil Dyn. Earthq. Eng. 163, 107505 (2022).
Bilham, R. & England, P. Plateau “pop-up” in the great 1897 Assam earthquake. Nature 410, 806–809. https://doi.org/10.1038/35071057 (2001).
CWC. Guidelines for preparation and submission of Site-specific seismic study report of river valley project to national committee on seismic design parameters, Central Water Commission, New Delhi (2011)
ICC. International Building Code. International Building Codes Series. pp 752 (2009).
Choy, G. L., McGarr, A., Kirby, S. H. & Boatwright, J. An overview of the global variability in radiated energy and apparent stress. Washington DC Am. Geophys. Union Geophys. Monograph. Ser. 170, 43–57 (2006).
Acknowledgements
Most of the figures were generated using the QGIS platform (https://qgis.org/download/), and some analyses were conducted using C + + code.
Author information
Authors and Affiliations
Contributions
All authors work on this mansucript.
Corresponding author
Ethics declarations
Competing interests
The authors declare no competing interests.
Additional information
Publisher’s note
Springer Nature remains neutral with regard to jurisdictional claims in published maps and institutional affiliations.
Supplementary Information
Rights and permissions
Open Access This article is licensed under a Creative Commons Attribution-NonCommercial-NoDerivatives 4.0 International License, which permits any non-commercial use, sharing, distribution and reproduction in any medium or format, as long as you give appropriate credit to the original author(s) and the source, provide a link to the Creative Commons licence, and indicate if you modified the licensed material. You do not have permission under this licence to share adapted material derived from this article or parts of it. The images or other third party material in this article are included in the article’s Creative Commons licence, unless indicated otherwise in a credit line to the material. If material is not included in the article’s Creative Commons licence and your intended use is not permitted by statutory regulation or exceeds the permitted use, you will need to obtain permission directly from the copyright holder. To view a copy of this licence, visit http://creativecommons.org/licenses/by-nc-nd/4.0/.
About this article
Cite this article
Das, R., Das, A., Choudhury, D. et al. Updated probabilistic seismic hazard assessment using Mwg (Das magnitude scale) to address moment magnitude (M) scale inaccuracies below 7.5: a case study from Northeast India. Sci Rep 15, 43502 (2025). https://doi.org/10.1038/s41598-025-06642-1
Received:
Accepted:
Published:
Version of record:
DOI: https://doi.org/10.1038/s41598-025-06642-1



















