Abstract
This work aims to explore the effects of supportive psychological nursing in combination with continuous nursing on mental state as well as coping style of patients with thyroid malignancy undergoing surgery. Eighty-two patients with thyroid malignancy undergoing surgery admitted to our hospital from March 2023 to June 2024 were chosen to be the study objects, followed by dividing into control group and observation group. The control group adopted routine nursing intervention and routine discharge health education. Based on routine nursing intervention and routine discharge health education, the observation group adopted supportive psychological nursing combined with continuous nursing. The negative emotions, coping style, self-management ability, cancer-related fatigue, quality of life, sleep quality, medication compliance along with nursing satisfaction were compared in 2 groups. After nursing, in contrast to the control group, the anxiety and depression scores in the observation group were lower (p < 0.05), the improvements of yielding, avoiding and confronting scores in the observation group were more obvious (p < 0.05), the self-management ability scores in the observation group presented higher (p < 0.05), the cancer-related fatigue scores in the observation group were lower (p < 0.05), the quality of life scores in the observation group were higher (p < 0.05), the sleep quality score in the observation group was lower (p < 0.05), and the medication compliance along with nursing satisfaction of patients in the observation group was better (p < 0.05). Supportive psychological nursing in combination with continuous nursing can improve the mental state and coping style, promote the self-management ability, cancer-related fatigue, quality of life and sleep quality, as well as elevate the medication compliance and nursing satisfaction of patients with thyroid malignancy undergoing surgery.
Similar content being viewed by others
Introduction
Thyroid malignant tumor is a kind of malignant tumor with good prognosis1. The incidence of thyroid malignant tumor is obviously different in different gender groups, and the incidence of thyroid malignant tumor shows a trend of younger in recent years2. Surgery is the most effective way for treating thyroid malignancies, especially early tumors, and effectively promotes the prognosis of patients3. However, surgery is an invasive means of treatment, coupled with patients worry about the therapeutic effect of surgery, in the perioperative period prone to depression, anxiety and endocrine disorders and other disorders4. The overall quality effect is affected, and may even induce serious mental illness5. Therefore, effective psychological nursing should be implemented in perioperative period to promote curative effect6.
With the continuous improvement of anesthesia technology and surgical technology, the development of day thyroid surgery, and the promotion of accelerated rehabilitation surgery concept, the postoperative rehabilitation process of patients has been significantly accelerated, and the length of hospital stay has been shortened7. However, due to the patients’ separation from the direct guidance of medical staff after discharge, unexpected health problems may occur and are difficult to deal with on their own. In addition, some patients need to receive long-term endocrine therapy, thyroglobulin and thyroid function monitoring after surgery, and medical staff need to give long-term observation and guidance after surgery, so it is crucial to provide continuous nursing for patients8.
Continuous nursing is the extension of nursing and medical services implemented in healthcare institutions or hospitals to the community and family, in order to understand the changes in the condition of patients after discharge, rehabilitation and provide targeted and personalized guidance to meet the various mental, physiological, and social needs of patients9.
In our study, we aimed to explore the impacts of supportive psychological nursing in combination with continuous nursing on mental state as well as coping style of patients with thyroid malignancy.
Data and methods
General data
Eighty-two patients with thyroid malignancy undergoing radical thyroidectomy (including total thyroidectomy + central lymph node dissection) admitted to our hospital from March 2023 to June 2024 were chosen to be the study objects. According to the implementation time of intervention measures, the patients were divided into control group (CG) and observation group (OG), with 41 cases in each group. The Consolidated Standards of Reporting Trials (CONSORT) flow diagram was shown in Fig. 1, and the flowchart diagram of the participant recruitment process was shown in Fig. 2. No difference was discovered in general data of patients between 2 groups (p > 0.05, Table 1). In addition, each group had 5 female nurses for nursing intervention. All nurses possessed professional theoretical knowledge of health education and psychological care, as well as good language expression ability, communication skills and the ability to recognize and judge things. The age of nurses in the CG ranged 23–30 years, with a mean age of 26.52 ± 3.26 years. In the CG, 2 nurses had an education background of junior college or below, and 3 nurses had an education background of bachelor’s degree or above. The age of nurses in the OG ranged 24–31 years, with a mean age of 26.65 ± 3.32 years. In the OG, 1 nurse had an education background of junior college or below, and 4 nurses had an education background of bachelor’s degree or above. No differences were discovered in the number and characteristics of nurses between 2 groups (p > 0.05), indicating comparability.
Inclusion criteria: (1) Patients were aware of the intervention and agreed to be included in the study; (2) Patients met the diagnostic criteria of thyroid malignancy and was confirmed by CT Diagnosis; (3) Clear awareness; (4) Age ≥ 18 years old. Exclusion criteria: (1) With cognitive dysfunction; (2) Patients had other malignant tumors; (3) Patients had mental illness; (4) Abnormal function of vital organs.
Sample size calculation
Our sample size calculation was conducted based on Cohen’s formula10. With a power level of 80% and alpha level of 0.05, 82 participants (41 in each group) were required in this study.
Methods
The CG adopted routine nursing intervention and routine discharge health education. Based on the CG, the OG adopted supportive psychological nursing in combination with continuous nursing. This study was approved by the Ethics Committee of The Second Affiliated Hospital of Wannan Medical College. All experiments were performed in accordance with relevant guidelines and regulations. Informed consent was signed by all participants. The contents of supportive psychological nursing were: (1) Psychological status assessment. During the period from admission examination to surgical treatment, the medical staff guided the patient to communicate actively by discussing the condition and surgical plan with the patient. The psychological status of patients was assessed based on their emotional attitude, and a targeted psychological intervention plan was designed according to the evaluation results. (2) Health education. In the process of admission education, the nursing staff carried out education on the characteristics of thyroid malignancy, inducing factors, expected results of surgery, preventive health measures, and improved patients’ understanding of the health knowledge of the disease as much as possible. Meanwhile, the nursing staff strengthened the explanation of the possible prognosis, and used the experience sharing and exchange of successful cases in the past to reduce the psychological pressure of patients before surgery. (3) Psychological counseling. According to the emotional changes of patients in the perioperative period, targeted psychological counseling was provided to guide patients to take the initiative to tell their own discomfort and express bad emotions. The nursing staff encouraged patients to express their thoughts in the process of nurse-patient communication, relieve their tension, and reduce the psychological burden. In addition, the nursing staff created a quiet and comfortable environment for patients, played songs that patients like, guided them to take deep breaths with the rhythm of music, and adjusted their emotions independently to achieve relaxation. (4) Family support. When hospitalized, family members paid attention to the public number of the department, understood the relevant disease knowledge, coordinated the medical staff to do a good job of patient care, and sometimes communicated with the medical staff on behalf of the patient. The nursing staff kept in close contact with the patient’s family members and informed the patient’s family of the psychological discomfort the patient faces after surgery. Family members were asked to give positive emotional guidance to patients to reduce postoperative anxiety. At the same time, the nursing staff gave patients more company, encouraged them to actively adjust their own psychological conditions, actively accept postoperative rehabilitation exercises, and change negative coping behaviors. (5) Psychological support. The nursing staff enhanced direct communication with patients and fully respected patients’ privacy wishes in the process of communication based on the particularity of thyroid malignancy surgery. For the contents that patients did not want to mention, the nursing staff communicated in a more tactful way or provided patients with a relatively private space, and constantly gave patients verbal encouragement to guide them to establish a positive attitude towards life after surgery.
The contents of continuous nursing were: (1) Nursing staff provided health guidance to patients before discharge, including medication knowledge, diet management, neck exercise, etc. Recorded the patient’s contact information before discharge. The nursing staff told the family members to accompany the patient, watch the video of functional exercise together, and urge the patient to exercise. (2) Within 1 month after discharge, understand the patient’s medication status, postoperative complications, adverse drug reactions, diet, etc., through outpatient follow-up opportunities or specific disease WeChat groups. Patients should be advised to persist in functional exercise and receive psychological intervention. Remind family members to continue playing a supervisory role, and notify the patient to return to the hospital for follow-up on time. Once abnormal conditions are detected, hospitalization treatment should be promptly carried out.
Observation indicators
-
(1)
Self-rating Anxiety Scale (SAS) as well as Self-rating Depression Scale (SDS) was adopted to assess the severity of patients’ negative emotions11. The critical values of the two scales were 51 points and 53 points, respectively. The scores were positively correlated with the severity of anxiety or depression. The Cronbach reliability coefficient for the scales was adequate (α = 0.826 for SDS and α = 0.816 for SAS), indicating that the SDS and SAS scales have good reliability and validity12.
-
(2)
The Medical Coping Modes Questionnaire (MCMQ) was developed by Professor Feifel to evaluate patients’ coping modes when facing diseases, which consisted of 20 items including yielding, avoiding and confronting13. The total score of yielding was 8–32 points, the total score of avoidance was 7–28 points, and the total score of confronting was 5–20 points. In this study, the Cronbach’s α for the yielding, avoiding and confronting dimensions were 0.635, 0.742, and 0.542, respectively.
-
(3)
The Exercise of Self-Care Agency Scale (ESCA) was implemented to assess the self-management ability of 2 groups14. ESCA was a 5-point scale consisting of 43 items that evaluated the self-care ability from 4 dimensions: self-care skills, self-care responsibility, self-concept, and health knowledge. The total score was 172 points, and a higher score indicated stronger self-care ability. The Cronbach’s α coefficient of the ESCA scale in this study was 0.891.
-
(4)
Piper Fatigue Scale (PFS) was used to evaluate the cancer-related fatigue15including four dimensions: physical fatigue, emotional fatigue, behavioral fatigue and cognitive fatigue, with a score of 0 to 10 for each dimension. The higher the score, the more severe the degree of cancer-related fatigue was. In this study, the Cronbach’s α of PFS was 0.84016.
-
(5)
The quality of life of patients was investigated and analyzed by EORTC QLQ-C30 questionnaire17which includes physical, cognitive, role, emotional and social functional areas, with scores ranging from 0 to 100 in each area. The higher the score, the better the quality of life of patients was. Cronbach’s α coefficient in this study sample was 0.880 for all subscales in the EORTC QLQ-C3018.
-
(6)
The sleep quality was assessed using the Pittsburgh Sleep Quality Score (PSQI)19 is a self-assessment scale that subjectively evaluates sleep quality in seven areas, including subjective sleep quality, sleep latency, sleep duration, sleep efficiency, sleep abnormalities, hypnotic drug utilization and daily quality of life. Final scores were calculated based on the seven dimensions and it ranged from 0 to 21 points. The higher the score, the worse the sleep quality was. The Cronbach reliability coefficient for this scale was 0.83020.
-
(7)
The medication compliance in 2 groups was compared, including complete compliance: The patient’s medication time, and dosage, were completed in accordance with the doctor’s instructions; Partial compliance: patients occasionally followed the doctor’s advice to take medicine, and needed family members to urge to take medicine on time; Noncompliance: Patients did not take medicine as prescribed at all. Compliance rate = (complete compliance + partial compliance)/total number of cases ×100%.
-
(8)
The existing questionnaires of our hospital were used to investigate the patients’ satisfaction with nursing. The full score was 100, ≥ 90 was very satisfied, 60–89 was generally satisfied, and < 60 was dissatisfied. Total satisfaction = (very satisfied + generally satisfied) Number of cases/Total cases ×100%. The Cronbach’s α coefficient of this questionnaire in this study was 0.851.
Statistical analysis
SPSS 24.0 statistical software was adopted for data analysis. Measurement data were expressed as (x ± s), and t-test was adopted for comparison. Count data were expressed as (n, %), and χ2 test was used for comparison. p < 0.05 meant statistical significance.
Results
Negative emotions in 2 groups
No difference was discovered in SAS together with SDS scores between 2 groups before nursing (p > 0.05). After nursing, the SAS together with SDS scores in 2 groups were lessened, and those in the OG presented reduction as comparing with the CG (p < 0.05, Fig. 3).
Coping style in 2 groups
No difference was discovered in yielding, avoiding along with confronting scores between 2 groups before nursing (p > 0.05). After nursing, the confronting score was elevated while the yielding and avoiding scores were declined in 2 groups, and the improvements of yielding, avoiding and confronting scores in the OG were more obvious as comparing with the CG (p < 0.05, Fig. 4).
Self-management ability in 2 groups
No difference was discovered in ESCA scores between 2 groups before nursing (p > 0.05). After nursing, the ESCA scores in 2 groups were elevated, and those in the OG presented higher as comparing with the CG (p < 0.05, Fig. 5).
Cancer-related fatigue in 2 groups
No difference was discovered in PFS scores between 2 groups before nursing (p > 0.05). After nursing, the PFS scores in 2 groups were declined, and those in the OG presented reduction as comparing with the CG (p < 0.05, Fig. 6).
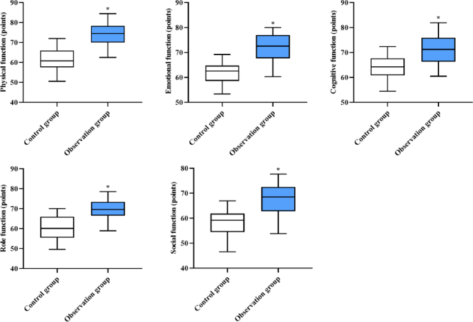
Quality of life in 2 groups
After nursing, the EORTC QLQ-C30 scores in the OG presented higher as comparing with the CG (p < 0.05, Fig. 7).
Sleep quality in 2 groups
No difference was discovered in PSQI score between 2 groups before nursing (p > 0.05). After nursing, the PSQI score in 2 groups was lessened, and that in the OG presented reduction as comparing with the CG (p < 0.05, Fig. 8).
Medication compliance in 2 groups
Table 2 displayed that in contrast to the CG, the medication compliance of patients in the OG presented better (p < 0.05).
Nursing satisfaction in 2 groups
Table 3 displayed that in contrast to the CG, the nursing satisfaction of patients in the OG presented better (p < 0.05).
Discussion
Thyroid cancer is a kind of common malignant tumor, its incidence increases year by year, which brings great harm to people’s health and life safety21. Most patients suffer from great mental pressure after suffering from this cancer22. The structure of thyroid gland is complex, and the main treatment for thyroid cancer is still surgical resection23. In the face of the pressure of cancer and surgery, patients with thyroid cancer are prone to strong negative emotions during hospitalization, which have great adverse effects on the body and spirit of patients24. If the patients’ nerves are always in a high state of tension, they are prone to strong stress reactions and different degrees of anxiety25. Severe negative emotions can lead to the decline of immune function and the disorder of metabolic function, causing dizziness, nausea, rapid heart rate, insomnia, elevated blood pressure, loss of appetite and other symptoms in patients, reducing the compliance of patients’ treatment and nursing, seriously hindering the smooth operation, and affecting the prognosis of patients26.
For cancer patients, fatigue caused by tumors is one of the common symptoms, and lasts for a long time, causing adverse effects on patients’ normal life27. The occurrence of cancer-induced fatigue is related to a variety of pathophysiological and mental factors28. After suffering from malignant tumor, patients’ mental and psychological/social relations are faced with severe challenges29. Therefore, nursing staff should timely provide psychological nursing for patients to meet various social needs of patients as much as possible30.
Supportive psychological nursing is mainly based on psychology. This nursing model can fully assess the psychological state of patients, understand and respect them, and enable them to fully adapt to the postoperative physical changes31. Patients can also get psychological support and encouragement, which helps to repair the damaged mentality of patients, relieve anxiety and depression, and promote the cooperation of patients in nursing32.
It has been reported that most patients will have a series of physical and mental problems after discharge. Although routine discharge follow-up can understand the basic condition of patients, the nursing intervention effect of patients is not ideal. Routine nursing often only intervenes during the hospitalization of patients, and intervenes less after the discharge of patients, resulting in the recovery period of patients after discharge is not good care, increasing the risk of poor prognosis of patients33. Continuous nursing model is a new nursing concept put forward in recent years, and it is a new model of medical nursing to expand community service, which conforms to the trend of modern nursing34. Compared with conventional nursing, the focus of continuous nursing is the out-of-hospital nursing of patients. Functional training and health guidance for patients before discharge can effectively facilitate functional exercise as well as lifestyle change of patients after discharge, and also have certain positive significance for the recovery of patients’ conditions35.
In our study, the results indicated that after nursing, in contrast to the CG, the SAS and SDS scores in the OG were lower, suggesting that supportive psychological nursing in combination with continuous nursing could relieve the negative emotions of patients with thyroid malignancy undergoing surgery. Consistently, Lu and Wu demonstrated that continuous psychological nursing could alleviate the anxiety and depression of patients after transurethral resection of prostate36.
Besides, our study indicated that after nursing, the improvements of yielding, avoiding and confronting scores in the OG were more obvious, suggesting that supportive psychological nursing in combination with continuous nursing could improve the coping style of patients with thyroid malignancy undergoing surgery. Similarly, Liu et al. discovered that continuous nursing could relieve the negative emotion and improve the negative coping style of patients undergoing pacemaker implantation37.
Our study also showed that after nursing, the ESCA scores in the OG was higher than those in the CG, suggesting that supportive psychological nursing in combination with continuous nursing could promote the self-management ability of patients with thyroid malignancy undergoing surgery. In line with our results, it has been reported that multidisciplinary cooperative continuous nursing combined with psychological nursing interventions could increase the ESCA scores in multiple myeloma patients38.
Moreover, our study manifested that compared to the CG, the PFS scores in the OG was lower after nursing, implying that supportive psychological nursing in combination with continuous nursing could reduce the degree of cancer-related fatigue in patients with thyroid malignancy undergoing surgery. Likewise, Xu and Yang pointed out that the use of 5 A nursing combined with psychological nursing could effectively relieve the perioperative psychological pressure of the patients and relieve cancer-related fatigue in patients for patients undergoing radical resection of colorectal cancer39.
Another finding of our study was that after nursing, the EORTC QLQ-C30 scores in the OG were higher and the PSQI score in the OG was lower, All these results indicated that supportive psychological nursing in combination with continuous nursing could improve the quality of life and sleep quality in patients with thyroid malignancy undergoing surgery. In line with our findings, Cheng et al. suggested that a psychological nursing intervention could improve the quality of life of esophageal cancer patients and this approach was worthy of further study and clinical application40. Chang et al. indicated that psychological nursing on the basis of eyeball massage could effectively improve the sleep quality and life quality of glaucoma patients after trabeculectomy41.
In addition, our study indicated that compared to the CG, the medication compliance and nursing satisfaction of patients in the OG were better, suggesting that supportive psychological nursing in combination with continuous nursing could promote the medication compliance and nursing satisfaction patients with thyroid malignancy undergoing surgery. In accordance with our study, it has been reported that the application of continuous nursing in patients with advanced esophageal cancer after esophageal stent implantation can effectively improve the patients’ nursing satisfaction and quality of life42. Meanwhile, Zhu et al. suggested that continuous nursing intervention for patients undergoing tumor chemotherapy could promote their self-management agency, improve treatment compliance and nursing satisfaction43.
Conclusions
In conclusion, our study demonstrates that supportive psychological nursing in combination with continuous nursing is beneficial for improving the mental state, promote the quality of life, as well as elevate the medication compliance of patients with thyroid malignancy undergoing surgery.
Data availability
The datasets used or analyzed during the current study available from the corresponding author on reasonable request.
References
Thomas, G. A. & Williams, E. D. Thyroid tumor banks. Science 289, 2283 (2000).
Pizzato, M. et al. The epidemiological landscape of thyroid cancer worldwide: GLOBOCAN estimates for incidence and mortality rates in 2020. Lancet Diabetes Endocrinol. 10, 264–272 (2022).
de Vries, L. H. et al. Outcomes of minimally invasive thyroid Surgery - A systematic review and Meta-Analysis. Front. Endocrinol. (Lausanne). 12, 719397 (2021).
Dhepnorrarat, R. C. & Witterick, I. J. New technologies in thyroid cancer surgery. Oral Oncol. 49, 659–664 (2013).
Qin, X. et al. Prospective cohort study of parathyroid function and quality of life after total thyroidectomy for thyroid cancer: robotic surgery vs. open surgery. Int. J. Surg. 109, 3974–3982 (2023).
Zhang, L. M. et al. Study on physiological and psychological comprehensive nursing of elderly tumor patients after surgery. J. Biol. Regul. Homeost. Agents. 32, 241–249 (2018).
Jiao, S. et al. Enhanced recovery after surgery combined with quantitative rehabilitation training in early rehabilitation after total knee replacement: a randomized controlled trial. Eur. J. Phys. Rehabil Med. 60, 74–83 (2024).
Tonkikh, O., Zisberg, A. & Shadmi, E. Association between continuity of nursing care and older adults’ hospitalization outcomes: A retrospective observational study. J. Nurs. Manag. 28, 1062–1069 (2020).
Kjerholt, M. et al. Continuity in care trajectories of older chronically ill patients in a battlefield of competing rationales. Int. J. Older People Nurs. 9, 277–288 (2014).
Andrea, B., Atiqah, A. & Gianluca, E. Reproducible Inter-Personal brain coupling measurements in hyperscanning settings with functional near Infra-Red spectroscopy. Neuroinformatics 20, 665–675 (2022).
Yue, T. et al. Comparison of hospital anxiety and depression scale (HADS) and Zung Self-Rating anxiety/Depression scale (SAS/SDS) in evaluating anxiety and depression in patients with psoriatic arthritis. Dermatology 236, 170–178 (2020).
Yao, J. et al. Nursing effect of continuous nursing intervention based on internet plus on patients with severe adrenal tumor. Med. (Baltim). 102, e33187 (2023).
Ma, F. et al. The mediating role of medical coping modes between stigma and quality of life in patients undergoing lung cancer surgery: a cross-sectional study. BMC Cancer. 24, 1561 (2024).
Liu, Y. et al. Influence of management of intensive weight, blood pressure, and lipids on disease severity in patients with carotid atherosclerosis. Altern. Ther. Health Med. 29, 174–179 (2023).
Berardi, A. et al. Evaluation of the psychometric properties of the revised Piper fatigue scale in patients with multiple sclerosis. Healthcare (Basel) 10, 985 (2022).
Dagnelie, P. C. et al. Psychometric properties of the revised Piper fatigue scale in Dutch cancer patients were satisfactory. J. Clin. Epidemiol. 59, 642–649 (2006).
Gudhoor, M. et al. Utilization of European organization for research and treatment of Cancer quality of life Questionnaire-Core 30 scale for evaluation of quality of life among cancer patients treated with chemotherapy: A hospital-based observational study. J Oncol. Pharm. Pract, 10781552231189706 (2023).
Lee, M. K. Relationships of symptom groups and functioning domains in patients with Advanced-Stage Non-Small cell lung Cancer undergoing treatment: A Cross-Sectional study. Healthcare (Basel) 9, 28 (2020).
Liu, D., Kahathuduwa, C. & Vazsonyi, A. T. The Pittsburgh sleep quality index (PSQI): psychometric and clinical risk score applications among college students. Psychol. Assess. 33, 816–826 (2021).
Yin, M. et al. The mediating role of coping style in the relationship between sleep quality and burnout: A Cross-Sectional study among psychiatric nurses. Front. Psychiatry. 13, 926040 (2022).
Chen, D. W. et al. Thyroid cancer Lancet 401, 1531–1544 (2023).
Noto, B. et al. Predictors of anxiety and depression in differentiated thyroid Cancer survivors: results of a Cross-Sectional study. Thyroid 32, 1077–1085 (2022).
Callender, G. G. et al. Surgery for thyroid cancer. Endocrinol. Metab. Clin. North. Am. 43, 443–458 (2014).
Sung, T. Y. et al. Psychological impact of thyroid surgery on patients with well-differentiated papillary thyroid cancer. Qual. Life Res. 20, 1411–1417 (2011).
Zhu, G. L. et al. Causal relationship between genetically predicted depression and cancer risk: a two-sample bi-directional Mendelian randomization. BMC Cancer. 22, 353 (2022).
Alexander, K. et al. The not so good thyroid cancer: a scoping review on risk factors associated with anxiety, depression and quality of life. J. Med. Life. 16, 348–371 (2023).
Bower, J. E. Cancer-related fatigue–mechanisms, risk factors, and treatments. Nat. Rev. Clin. Oncol. 11, 597–609 (2014).
Fabi, A. et al. Cancer-related fatigue: ESMO clinical practice guidelines for diagnosis and treatment. Ann. Oncol. 31, 713–723 (2020).
Al Maqbali, M. Cancer-related fatigue: an overview. Br. J. Nurs. 30, S36–s43 (2021).
Bradt, J. et al. Music interventions for improving psychological and physical outcomes in cancer patients. Cochrane Database Syst Rev, Cd006911 (2016).
Wang, S. et al. A psychological nursing intervention for patients with thyroid Cancer on psychological distress and quality of life: A randomized clinical trial. J. Nerv. Ment Dis. 208, 533–539 (2020).
Yuan, Y. et al. Psychological nursing approach on anxiety and depression of patients with severe urinary incontinence after radical prostatectomy - a pilot study. J. Int. Med. Res. 47, 5689–5701 (2019).
Mehta, S. J. et al. Effect of remote monitoring on discharge to home, return to activity, and rehospitalization after hip and knee arthroplasty: A randomized clinical trial. JAMA Netw. Open. 3, e2028328 (2020).
Zeng, X. et al. Information-based continuous nursing on pregnant women with gestational diabetes mellitus. Eur. Rev. Med. Pharmacol. Sci. 27, 8762–8772 (2023).
Chi, S. et al. Continuous nursing intervention on recovery of diabetic patients. J. Biol. Regul. Homeost. Agents. 32, 1507–1513 (2018).
Lu, P. & Wu, C. Continuous Psychological Nursing Based on Grey Clustering Algorithm in Patients after Transurethral Resection of Prostate. Comput Math Methods Med 5400479 (2022). (2022).
Liu, X. et al. Influence of continuous nursing on the psychological state and coping style of patients undergoing pacemaker implantation. Iran. J. Public. Health. 44, 953–961 (2015).
Li, D., Sun, F. & Yang, Y. Effect of multidisciplinary cooperative continuous nursing and psychological nursing on multiple myeloma with a peripherally inserted central catheter. Future Oncol. 20, 471–479 (2024).
Xu, Y. & Yang, J. The effect of 5A nursing combined with psychological nursing on the immune function, cancer-related fatigue and complications of patients undergoing radical resection of colorectal cancer. Cell. Mol. Biol. (Noisy-le-grand). 68, 169–176 (2022).
Cheng, Q. M. et al. Effects of psychological nursing intervention on personality characteristics and quality of life of patients with esophageal cancer. Clin. Res. Hepatol. Gastroenterol. 37, 283–288 (2013).
Chang, M., Wang, H. & Niu, T. Influence of psychological nursing on negative emotion and sleep quality of glaucoma trabeculectomy patients. Am. J. Transl Res. 13, 8415–8420 (2021).
Chen, L. & Wang, W. Application effect of continuous nursing in patients with advanced esophageal cancer after esophageal stent implantation. Am. J. Transl Res. 13, 9743–9749 (2021).
Zhu, W. et al. Application of continuous nursing intervention for patients with PICC catheterization undergoing tumor chemotherapy. Am. J. Transl Res. 13, 7207–7213 (2021).
Funding
This work was supported by Major Project of Anhui Provincial Department of Education (No.2024AH040382) and Youth Science Research Fund of Wannan Medical College (No.WK2018F33).
Author information
Authors and Affiliations
Contributions
T.Y.: Conceptualization, data curation, supervision, writing—review & editing. Y.Z.: Formal analysis, visualization, writing—original draft. All authors read and approved the final manuscript.
Corresponding author
Ethics declarations
Competing interests
The authors declare no competing interests.
Ethics approval and consent to participate
This study was approved by the Ethics Committee of The Second Affiliated Hospital of Wannan Medical College. Informed consent was signed by all participants.
Additional information
Publisher’s note
Springer Nature remains neutral with regard to jurisdictional claims in published maps and institutional affiliations.
Rights and permissions
Open Access This article is licensed under a Creative Commons Attribution-NonCommercial-NoDerivatives 4.0 International License, which permits any non-commercial use, sharing, distribution and reproduction in any medium or format, as long as you give appropriate credit to the original author(s) and the source, provide a link to the Creative Commons licence, and indicate if you modified the licensed material. You do not have permission under this licence to share adapted material derived from this article or parts of it. The images or other third party material in this article are included in the article’s Creative Commons licence, unless indicated otherwise in a credit line to the material. If material is not included in the article’s Creative Commons licence and your intended use is not permitted by statutory regulation or exceeds the permitted use, you will need to obtain permission directly from the copyright holder. To view a copy of this licence, visit http://creativecommons.org/licenses/by-nc-nd/4.0/.
About this article
Cite this article
Ye, T., Zhao, Y. Application effect of supportive psychological nursing combined with continuous nursing in patients with thyroid malignancy undergoing surgery. Sci Rep 15, 21757 (2025). https://doi.org/10.1038/s41598-025-07063-w
Received:
Accepted:
Published:
Version of record:
DOI: https://doi.org/10.1038/s41598-025-07063-w










