Abstract
The prevalence of obesity is increasing worldwide, and it is a risk factor for various metabolic disorders. White adipose tissue expansion depends on hyperplasia and hypertrophy of adipocytes, thus the search for new tools that target these two processes is relevant for the prevention and treatment of obesity. Algae are an interesting source of bioactive compounds and have been demonstrated to exert beneficial health effects. Therefore, this study aims at analysing the effects on adipogenesis and triglyceride accumulation of peptide- and protein-rich extracts obtained from the microalgae Chlorella vulgaris and Microchloropsis gaditana and the macroalga Gracilaria vermiculophylla. 3T3-L1 pre-adipocytes and mature adipocytes were incubated with each of the extracts at 10, 25, 50 and 150 µg/mL. The extracts were found to reduce triglyceride content in maturing pre-adipocytes, without cytotoxic effects. Although, in all cases, it seems that the extracts cannot act throughout the whole adipogenic process, they are effective in suppressing pre-adipocyte differentiation, to a greater or lesser extent. This effect is most likely mediated mainly by the transcription factor C/EBPα. Under our experimental conditions, the extracts used in the present study are effective in inhibiting adipogenesis but they are not able to reduce triglyceride accumulation in mature adipocytes.
Similar content being viewed by others
Introduction
Obesity is one of the most serious public health problems today, affecting more than one billion adults, adolescents and children. Worldwide, obesity has tripled since 1975 and the World Health Organization (WHO) estimated that the prevalence was still increasing1. Moreover, obesity is a risk factor for various associated diseases, such as type 2 diabetes, cardiovascular diseases, cancer and mental health issues.
Obesity is defined as excessive fat accumulation in white adipose tissue, and it can be developed by increasing adipocyte number (hyperplasia) and/or size (hypertrophy)2,3. When hyperplasia takes place, there is a stimulation of pre-adipocyte proliferation and further differentiation. This process, which promotes pre-adipocyte differentiation into mature adipocytes, is known as adipogenesis. Hypertrophy involves the accumulation of triglycerides in mature adipocytes, resulting in an increase in cell size. Both hyperplasia and hypertrophy determine the capacity of the adipose tissue to store lipids4. During childhood, fat accumulation takes place mainly via a boost in the number of adipocytes, but also by increasing cell expansion. In contrast, in adulthood the number of adipocytes tends to be more constant and white adipose tissue expansion occurs mainly through adipocyte hypertrophy, although adipogenesis, can also take place to a lesser extent under circumstances like obesity5,6.
With obesity reaching epidemic proportions, scientific research is constantly searching for possible approaches and new molecules that could be useful in preventing and treating obesity. In this context, the interest in macroalgae and microalgae extracts in the prevention and treatment of diseases has grown enormously in recent decades. Indeed, it has been estimated that the market of these extracts will show an annual growth rate of about 7.2% during the period 2024–2032. This is due to their potential as a source of bioactive compounds that may offer therapeutic benefits, as a result of their antioxidant, anti-inflammatory, anti-obesity, anti-diabetic, hypolipidemic and antihypertensive effects7–13. Algae and their derivatives are more natural and generate less concern regarding the adverse effects than synthetic drugs. Although recently new effective drugs are available for obesity treatment, in some cases (mainly depending on the obesity degree and the presence of co-morbidities), a more modest effect can be enough, and this goal can be reached by using algae extracts. Moreover, these extracts can be useful in obesity prevention, a purpose for which drugs are not recommended.
The objective of the present study is to search for extracts with a high content of peptides/proteins, obtained from microalgae and macroalgae, with potential beneficial effects on adipogenesis and adipocyte triglyceride accumulation, which have not been previously studied on adipocytes. For that purpose, both pre-adipocytes and mature adipocytes were incubated with two microalgae Chlorella vulgaris (Chlorophyta) and Microchloropsis gaditana (formerly Nannochloropsis gaditana) (Eustigmatophyceae) and one macroalga (Gracilaria vermiculophylla) (Rhodophyta). Furthermore, the analysis of the mechanisms responsible for the observed effects is also addressed.
Results
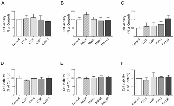
Cell viability
Treatment with 10, 25, 50 or 150 μg/mL of Chlorella vulgaris, Microchloropsis gaditana and Gracilaria vermiculophylla did not result in a loss of cell viability at any of the tested doses in pre-adipocytes nor in mature adipocytes (Fig. 1).
Cell viability of 3T3-L1 maturing pre-adipocytes treated with 10, 25, 50 or 150 μg/mL of Chlorella vulgaris (CV) (A), Microchloropsis gaditana (MG) (B) and Gracilaria vermiculophylla (GV) (C) and of mature adipocytes treated with 10, 25, 50 or 150 μg/mL of Chlorella vulgaris (CV) (D), Microchloropsis gaditana (MG) (E) and Gracilaria vermiculophylla (GV) (F). Control cells were not treated with algae extracts. Data are mean ± SEM (standard error of the mean). Student’s t-test was used for the analysis of comparisons between each treatment and the control group.
Effects of algae extracts on triglyceride accumulation during pre-adipocyte differentiation
Pre-adipocytes incubated with Chlorella vulgaris extract at 10, 25, 50 and 150 µg/mL from day 0 to day 8 showed a significant decrease in triglyceride accumulation in a dose-dependent manner, with reduction percentages of 24%, 32%, 43% and 50%, respectively (Fig. 2A). Microchloropsis gaditana did not promote a significant reduction in triglyceride accumulation in the range of concentration between 10 and 50 µg/mL; however, in cells incubated with the highest dose (150 µg/mL) the triglyceride content was lessened by 29% (Fig. 2B). The treatment with the macroalga (Gracilaria vermiculophylla) reduced triglyceride accumulation at the doses of 25 µg/mL (26%), 50 µg/mL (37%) and 150 µg/mL (70%) µg/mL, following a dose-response pattern, while the dose of 10 µg/mL did not lead to any significant change (Fig. 2C).
In addition, the effects on lipid accumulation were also examined by optical microscopy (Fig. 2D). Images revealed less and smaller cytoplasmic fat vacuoles after co-incubation of 3T3-L1 pre-adipocytes with each algae extract (150 µg/mL).
Triglyceride content in 3T3-L1 maturing pre-adipocytes treated from day 0 to day 8 with 10, 25, 50 or 150 μg/mL of Chlorella vulgaris (CV) (A), Microchloropsis gaditana (MG) (B) and Gracilaria vermiculophylla (GV) (C) and optical microscopy images showing lipid accumulation at day 8 in 3T3-L1 maturing pre-adipocytes treated with Chlorella vulgaris (CV), Microchloropsis gaditana (MG) and Gracilaria vermiculophylla (GV) at 150 µg/mL (D). Control cells were not treated with the algae extracts. Data are mean ± SEM (standard error of the mean). Student’s t-test was used for the analysis of comparisons between each treatment and the control group. * P < 0.05, ** P < 0.01, *** P < 0.001.
Effects of algae extracts on triglyceride accumulation in mature adipocytes
As shown in Fig. 3, no significant changes in mature adipocyte triglyceride content were observed in cells treated with 10, 25, 50 or 150 μg/mL of Chlorella vulgaris, Microchloropsis gaditana or Gracilaria vermiculophylla extracts.
Triglyceride content in 3T3-L1 mature adipocytes treated on day 12 for 24 h with 10, 25, 50 or 150 μg/mL of Chlorella vulgaris (CV) (A), Microchloropsis gaditana (MG) (B) and Gracilaria vermiculophylla (GV) (C). Control cells were not treated with the algae extracts. Data are mean ± SEM (standard error of the mean). Student’s t-test was used for the analysis of comparisons between each treatment and the control group.
Effects of algae extracts on gene expression in maturing pre-adipocytes
In order to explain the triglyceride reduction observed in maturing pre-adipocytes, gene expression of transcription factors involved in adipogenesis was measured after the treatment with the three algae extracts during the first eight days of the adipogenic process, using the concentration that induced the biggest reduction in triglyceride content (150 µg/mL for the three algae extracts) (Fig. 4). Mature adipocyte-specific genes (late adipogenic markers) were also analysed in order to elucidate whether the mature specific phenotype development was prevented by the algae extracts.
Regarding gene expression of the transcription factors involved in adipogenesis, Chlorella vulgaris significantly reduced Cebpa gene expression, increased Pparg and did not induce any change in Cebpb or Srebp1c gene expression. Regarding the markers in the late adipogenic stage, Acc mRNA expression decreased significantly, whereas Adipoq was significantly boosted. When pre-adipocytes were exposed to the Microchloropsis gaditana extract, a drop in Pparg gene expression was observed; Cebpb and Srebp1c tended to reduce their expression and Cebpa remained unchanged. Whit regard to markers of mature adipocyte, Acc showed increased gene expression, while Adipoq was reduced. The Gracilaria vermiculophylla extract significantly decreased mRNA levels of the adipogenic markers Cebpa, Pparg and Srebp1c. Contrarily, Cebpb mRNA levels showed a significant increase. Regarding gene expression of mature-adipocyte specific markers, both Acc and Adipoq were attenuated.
Gene expression of Cebpb (A), Srebp1c (B), Pparg (C), Cebpa (D), Acc (E) and Adipoq (F) in 3T3-L1 maturing pre-adipocytes treated with 150 µg/mL of Chlorella vulgaris (CV), Microchloropsis gaditana (MG) and Gracilaria vermiculophylla (GV) from day 0 to day 8 (cells harvested on day 8). Control cells were not treated with the algae extracts. Data are mean ± SEM (standard error of the mean). Student’s t-test was used for the analysis of comparisons between each treatment and the control group. **P < 0.01, *** P < 0.001. Acc: acetyl-CoA carboxylase; Adipoq: adiponectin; Cebpa; CCAAT/enhancer binding protein ; Cebpb: CCAAT/enhancer binding protein ; Pparg: peroxisome proliferator-activated receptor γ; Srebp1c: sterol regulatory element binding transcription factor 1c.
Effects of algae extracts on protein expression in maturing pre-adipocytes
In order to better understand the metabolic pathways involved in the anti-adipogenic effect of the algae extracts, protein expression analysis of transcription factors regulating the adipogenic process was performed along with markers of mature adipocytes (Fig. 5). Cells incubated with Chlorella vulgaris showed an upward trend in the expression of C/EBPβ protein levels. PPARγ remained unchanged, while C/EBPα was significantly reduced. ACC protein expression was decreased and no significant changes in ADIPOQ protein levels were observed.
Protein expression of total C/EBPβ (A), PPARγ (B), C/EBPα (C), ACC (D) and ADIPOQ (E) in 3T3-L1 maturing pre-adipocytes treated with 150 µg/mL of Chlorella vulgaris (CV), Microchloropsis gaditana (MG) and Gracilaria vermiculophylla (GV) from day 0 to day 8 (cells harvested on day 8). Control cells were not treated with the algae extracts. Data are mean ± SEM (standard error of the mean). Student’s t-test was used for the analysis of comparisons between each treatment and the control group. *P < 0.05, **P < 0.01, ***P < 0.001. ACC: acetyl-CoA carboxylase; ADIPOQ: adiponectin; C/EBPα: CCAAT/enhancer binding protein α; C/EBPβ: CCAAT/enhancer binding protein; PPARγ: peroxisome proliferator-activated receptor γ.
Regarding the treatment with Microchloropsis gaditana, C/EBPβ expression remained unchanged in treated cells, PPARγ protein levels tended to decrease and C/EBPα was significantly lowered. Protein expressions of ACC and ADIPOQ were also decreased. In cells subjected to Gracilaria vermiculophylla extract, a greater protein expression of C/EBPβ was observed. In contrast, C/EBPα levels were significantly reduced and PPARγ levels remained unchanged. Regarding mature adipocyte markers, both ACC and ADIPOQ showed a lowered expression. In all cases, SREBP-1c could not be detected.
Discussion
White adipocytes play a crucial role in the regulation of energy balance. In this context, lipid accumulation in mature adipocytes (hypertrophy) and adipocyte differentiation (hyperplasia) are involved in the development of obesity14. Due to the fact that both microalgae and macroalgae may have beneficial effects on obesity11,12the responses of 3T3-L1 maturing pre-adipocytes and mature adipocytes to three algae extracts, Chlorella vulgaris, Microchloropsis gaditana and Gracilaria vermiculophylla, were analysed for the first time in the present work. Nevertheless, in order to know whether these algae extracts are in fact useful anti-obesity tools, further studies are needed, first in animal models and then in humans. Interestingly, in vitro studies allow the researchers to test a large number of extracts simultaneously (from different algae and at different doses) and to better distinguish the difference between the effects on pre-adipocytes (and thus on adipogenesis) and mature adipocytes. Thus, this is the reason for choosing this experimental model for the present study, as a first step in the frame of a bigger study.
Regarding maturing pre-adipocytes, treatment with Chlorella vulgaris exhibited a lower triglyceride content at all the tested doses in a dose-dependent manner at the end of the maturation process. Taking into account that cell viability was not affected, these results indicate that this extract induced a reduction in adipogenesis. In contrast, pre-adipocytes treated with Microchloropsis gaditana showed a significant reduction in adipogenesis only when incubated at the highest dose (150 µg/mL) without compromising cell viability. Gracilaria vermiculophylla decreased triglyceride content in the range of doses from 25 to 150 µg/mL without modifying cell viability. Although the extracts used are rich in peptides and proteins15considering that carbohydrates represent a non-negligible percentage in these extracts, their potential contribution to the observed effects, together with that of the peptides/proteins, cannot be discarded. To the best of our knowledge, there are no studies in the literature on the anti-adipogenic effect of these algae extracts, so no comparison can be made.
Traditionally, compounds showing the ability to reduce adipogenesis have been considered as potential anti-obesity agents16–18. However, it is well known that adipogenesis has emerged as a possible therapeutic strategy to enhance adipose tissue health and counteract the negative metabolic consequences derived from adipocyte hypertrophy19. In this regard, hypertrophic adipose tissue growth has been correlated with metabolic dysfunction, characterized by a pro-inflammatory profile and insulin resistance, whereas, adipose tissue growth via hyperplasia, has been postulated to be protective against the metabolic complications of obesity, because it allows the proper vascularization of the tissue, that together with the reduced number of hypertrophic adipocytes, results in higher insulin sensitivity and lower levels of pro-inflammatory cytokines2,19. It is also important to point out that, if the excess energy cannot be stored in the adipose tissue (either because adipogenesis is reduced and/or because hypertrophic adipocytes have reached their storage capacity), this excess could be accumulated in other tissues, such as skeletal muscle or liver (ectopic fat accumulation), with the subsequent deleterious consequences on health. Another effect derived from impaired adipocyte development, is the so-called lipodystrophy, a condition resulting in an overflow of fatty acids into non-adipose tissues20. With regard to ectopic lipid accumulation in liver, the same algae extracts used in the present study were able to prevent palmitic acid-induced triglyceride accumulation in cultured AML-12 hepatocytes, at the same doses, after an incubation period of 18 h without showing a cytotoxic effect. Regarding the mechanisms of action, the three algae extracts increased fatty acid oxidation, thus limiting the availability of this lipid species for triglyceride synthesis. In the case of Chlorella vulgaris, this alga extract also increased hepatocyte triglyceride secretion. None of the three extracts modified fatty acid uptake, de novo lipogenesis or triglyceride assembly15. Taking into account the limitations inherent to in vitro studies, it is clear that it cannot be fully addressed whether these effects would be reproduced in an animal model, however, these results still cast some light on the existing evidence regarding the contribution of these algae extracts on metabolic health.
Another objective of the present study was to determine the mechanism by which these extracts reduced adipogenesis, and for that purpose, the expressions of genes and proteins involved in this process were measured in cells incubated with the most effective dose in decreasing triglyceride content for each extract (150 µg/mL). The differentiation of pre-adipocytes into mature adipocytes involves a complex network of transcription factors that regulate this process (Fig. 6). Right after the initiation of pre-adipocyte differentiation, the expression of C/EBPδ and then C/EBPβ is induced, which subsequently promotes the expression of PPARγ. C/EBPβ can also prompt the expression of C/EBPα21. PPARγ and C/EBPα co-regulate each other’s expression and are considered to be the main regulators of adipogenesis22,23 inducing the transcription of different genes encoding adipocyte-specific phenotype21. SREBP1c is another pro-adipogenic transcription factor that regulates the expression of PPARγ and is directly regulated by C/EBP factors24. At the end of the differentiation process, cells begin to express characteristic markers of the mature adipocyte phenotype, such as adipokines and lipogenic enzymes21.
Effects of the different algae extracts in genes and proteins involved in adipocyte differentiation. Acc, ACC: acetyl-CoA carboxylase; Adipoq, ADIPOQ: adiponectin; Cebpa, C/EBPα: CCAAT/enhancer binding proteins ; Cebpb, C/EBPβ: CCAAT/enhancer binding proteins ; CV: Chlorella vulgaris; GV: Gracilaria vermiculophylla; MG: Microchloropsis gaditana, Pparg, PPARγ: peroxisome proliferator activated receptor γ; Srebp1c: sterol regulatory element binding transcription factor 1c. Names in italics correspond to genes and in upper case correspond to proteins. Dotted lines with pointed arrowhead mean stimulation and dotted lines with blunt arrow head mean inhibition.
Although Chlorella vulgaris extract increased Pparg gene expression, its protein expression was not modified. Moreover, this treatment was able to reduce Cebpa gene expression and to down-regulate its protein expression, which resulted in a significant decline in triglyceride accumulation (by 50%). Regarding the genes and proteins used as markers of mature adipocytes, the decrease observed in total Acc mRNA levels is consistent with the reduction in its protein levels. Although Chlorella vulgaris treatment up-regulated Adipoq gene expression, this increase was not translated into higher protein levels, which remained the same. Altogether, these results suggest that Chlorella vulgaris could exert a beneficial effect in partially preventing pre-adipocyte differentiation into mature adipocytes, mainly by modulating the transcription factor Cebpa.
Microchloropsis gaditana extract reduced Pparg and Srebp1c gene expression and tended to lessen Cebpb expression, but these changes were not accompanied by shifts in their protein expression. In contrast, the C/EBPα protein level was significantly reduced, meaning that, as in the case of Chlorella vulgaris, the extract was not able to mitigate the whole adipogenic process, as only some of the transcription factors involved in adipogenesis were modified by the treatment. With regard to mature adipocyte-specific markers, Acc gene expression was up-regulated, while total ACC protein levels were diminished by day 8 after the induction of differentiation. In line with these results, both the adiponectin gene and the protein expression were inhibited by the treatment with this microalgae extract, indicating the potential of Microchloropsis gaditana to inhibit the differentiation process. The reduction in pre-adipocyte triglyceride content (by 30%) indicates that the effects described on genes and proteins were enough to inhibit the differentiation of these cells.
Finally, regarding Gracilaria vermiculophylla, in terms of gene expression, although Cebpb levels were increased, significant reductions were observed in Srebp1c, Pparg and Cebpa. These effects were only partially translated into changes in protein expression, since a tendency towards reduced values was observed for PPARγ (-33%) and a significant decline was only observed for C/EBPα. Taking into account that both PPARγ and C/EBPα are the key regulators of adipogenesis, the depletion of their expression can justify the decrease in pre-adipocyte triglyceride content (by 70%). Once again, it seems that this alga extract could lead to a reduction in triglyceride accumulation by the inhibition of only some stages of the adipogenic process. Furthermore, the ability of Gracilaria vermiculophylla in inhibiting adipogenesis can also be concluded from the results obtained from the expression of mature adipocyte-specific markers, as their expression was inhibited by eight days of the differentiation.
As it can be observed, in the present study, the changes induced in protein expression sometimes are not in good accordance with the gene expression. In general terms, it is accepted that protein levels are largely determined by transcript concentrations. However, during highly dynamic phases, such as cellular differentiation or stress response, post-transcriptional processes may lead to stronger deviations from an ideal correlation. The spatial and temporal variations of mRNAs, as well as the local availability of resources for protein biosynthesis, strongly influence the relationship between protein levels and their coding transcripts. Consequently, the lack of correlation between protein and gene expression in the present study is not as surprising as thought. Specifically the discrepancies have been observed in PPARγ, where statistical differences were observed in gene expression but no in protein expression. This circumstance is not new25and it can be attributed to different reasons. For example, the participation of miRNAs, involved in the regulation of PPARγ translation26,27. In fact, miRWalk database shows that Pparg can be a predicted target for several miRNAs28. Moreover, other factors like the activation or inactivation of mammalian target of rapamycin (mTOR) signalling can also affect PPARγ protein expression but not its gene expression29. In the case of C/EBPα, its gene expression was not modified by Microchloropsis gaditana although its protein expression was repressed, as occurred in other circumstances like after cold stress30. As in the case of PPARγ, its protein expression can be regulated by several miRNAs26,27,31–34. In addition, there are certain proteins that are able to modify Cebpa translation35. As far as adiponectin, similar response pattern was observed in gene and protein expressions, although due the higher variability in western blot than in PCR, in the case of Gracilaria vermiculophylla, statistical significance was only achieved in gene expression. Finally, in ACC gene and protein expression, it should be mentioned that we observed the main discrepancy because whereas gene expression increased with Microchloropsis gaditana treatment, its protein expression decreased. This fact can be due, as in the other cases, to the effect of miRNAs31,36 and the effect of several metabolic pathways as mTOR37among others38,39.
In view of all these, it is clear that further studies are needed to gain more insight concerning the regulation of these genes and proteins by algae extracts.
Taking all this into account, mRNA levels alone are not sufficient to predict protein levels. Thus, we decided to focus on the protein levels to draw conclusions, as they are a better indicator of the final effect.
In mature adipocytes, none of the extracts at the tested doses (from 10 to 150 µg/mL) reduced triglyceride accumulation after 24 h of treatment, which is a period of time considered chronic in these cells40,41. These results suggest that the potential anti-obesity effect of these extracts may not be evidenced in hypertrophic obesity.
Conclusions
In conclusion, the present study shows for the first time that although under our experimental conditions, the extracts of Chlorella vulgaris, Microchloropsis gaditana and Gracilaria vermiculophylla, rich in peptides/proteins, are not able to reduce triglyceride accumulation in mature adipocytes, they show an anti-adipogenic effect in cultured adipocytes. Although in all cases, it seems that the extracts are not capable of acting throughout the whole adipogenic process, they are effective in suppressing pre-adipocyte differentiation, to a greater or lesser extent, and thus, in reducing triglyceride accumulation. This effect is most likely mediated mainly by the transcription factor C/EBPα. Nevertheless, taking into account that an important limitation of in vitro studies is the impossibility to integrate the effects on different organs and to analyse their crosstalk, a conclusion concerning the beneficial effect of reducing adipogenesis on obesity and its co-morbidities cannot be drawn.
Materials and methods
Algae extract preparation
Algae extracts preparation and composition were previously described15. Briefly, Gracilaria vermiculophylla was collected in September 2019 in the Bidasoa estuary (Hondarribia, Gipuzkoa, Spain). After washing and removing impurities, samples were vacuum-packed prior to their storage at -20 °C. Both microalgae (Chlorella vulgaris and Microchloropsis gaditana) were provided by NEOALGAE (Gijón, Asturias, Spain) in frozen fresh-paste format (20–25% total solids) and stored at -20 °C until use.
Regarding microalgae, the extracts were obtained following the methodology of Safi et al.42,43. A suspension of microalgae at 10% dry weight and adjusted to pH 12 with NaOH was prepared. The suspension was percolated in order to avoid issues with the Ultra High-Pressure Homogenizer (UHPH) equipment MicroDeBee (Bee International, South Easton, USA). The UHPH conditions were 250 MPa, 250 μm orifice and three cycles. Next, samples were centrifuged at 10,000 × g for ten minutes at 4 °C. The supernatant containing soluble proteins was collected. These proteins were precipitated by adjusting the pH to 3.0 with HCl. Samples were further centrifuged under the same conditions and the pellet was resuspended in 0.1 M phosphate buffer pH 7.5.
Regarding macroalga extract, frozen samples were crushed to a particle size of 1–5 mm and a suspension of the macroalga in water was prepared at 5% of dry weight solids, grinded with a homogeniser (Ultra-turrax-IKA-T25, Staufen Germany) for two minutes at 18,000 rpm and adjusted to pH 12 with NaOH 10 M. The suspension was then ultrasonicated (VibraCell 75042, Bioblock Scientific, Illkirch, France) for 1 h and 30 min, in cycles of 59 s ON and 15 s OFF. Finally, after the UHPH procedure, samples were handled in the same way as the microalgae suspensions. Results concerning algae extract composition are published in a previous paper15.
Experimental design and cell treatment
3T3-L1 pre-adipocytes, supplied by American Type Culture Collection (Manassas, VA, USA), were maintained in Dulbecco’s Modified Eagle Medium (DMEM) (4.5 g/L glucose) containing 10% foetal bovine serum (FBS). When the monolayer reached 70% of confluence, cells were detached and seeded either in 6 or 96 well plates, to perform the pertinent experiments. 96 well plates were used for viability determinations and the other experiments were carried out in six well plates.
Two days after confluence (day 0), cells were induced to differentiate using DMEM, 10% foetal bovine serum (FBS), supplemented with 10 µg/mL insulin (bovine; Sigma-Aldrich I0516), 0.5 mM isobutyl methylxanthine (IBMX) and 1 µM dexamethasone, for two days. On day two, the differentiation medium was replaced by DMEM/FBS medium (10%) containing 10 µg/mL of insulin. From day four onward, the differentiation medium containing DMEM/FBS medium (10%) and 0.2 µg/mL insulin was changed every two days until the cells were harvested (eight days after confluence in the case of maturing pre-adipocytes and 13 days for mature adipocytes). All media contained 1% penicillin/streptomycin (10,000 U/mL) and the differentiation media also contained 1% (v/v) of biotin and pantothenic acid. Cells were maintained at 37 °C in a humidified 5% CO2 atmosphere.
For experiments to determine the impact of the above-mentioned algae extracts on maturing pre-adipocytes, cells grown in 6-well and 96-well plates were differentiated in the presence or absence of 10, 25, 50 or 150 μg/mL of each alga extract during differentiation. Media was changed every two days (on day 0, day 2, day 4 and day 6). The same amount of the vehicle (water) was added to control cells. On day eight, cells were harvested for subsequent analysis. Each experiment was performed three times for viability and lipid content, and once for gene and protein expression analysis (six wells for gene and protein determinations).
For experiments in mature adipocytes, cells grown in 6-well and 96-well plates were treated with 10, 25, 50 or 150 μg/mL of each alga extract on day 12 after the induction of differentiation. The same amount of the vehicle was added to the control cells. After 24 h of treatment (day 13), cells were harvested for subsequent analysis. Each experiment was performed three times, except for gene and protein expression.
Cell viability assay
Cell viability was assessed using the crystal violet assay, based on the cell staining with crystal violet (0.25%) as previously described15,44. Prior to fixation of the cells, culture medium was removed and cells were washed twice with sterile phosphate-buffered saline (PBS). This experiment was repeated in triplicate (eight wells per experiment).
Determination of triglyceride content
After the treatment, the incubation medium was removed; cells were washed with PBS and collected in 10 mM Tris-HCl pH 7.4, 150 mM NaCl and 1 mM ethylenediaminetetraacetic acid (EDTA) buffer through scrapping. Cell suspension was then sonicated with 5 s bursts in a Branson Sonifier SFX550 (San Luis, Missouri, MO, USA), fitted with a microtip and the glyceride content was measured by means of a commercial kit (Ref: 1001313, Spinreact, Girona, Spain). For protein measurements the Bradford method45 was followed. Triglyceride content values were obtained as mg triglycerides/mg protein and expressed as the percentage of the control cells. This experiment was carried out in triplicate (six wells per experiment).
Analysis of gene expression by Real-Time PCR
After the treatment, cells were collected in TRIzol® reagent (Ref: 15596026, Invitrogen, CA, USA) and RNA was extracted from cells following the manufacturer’s instructions. After DNase treatment (Ref: 8174G, Ambion, CA, USA), RNA was quantified using an RNA 6000 Nano Assay (Thermo Scientific, DE, USA). 1.5 µg of total RNA in a total reaction volume of 30 µL from each sample was reverse transcribed to complementary DNA (cDNA) using iScript cDNA Synthesis Kit (Bio-Rad, CA, USA). Reactions were incubated initially at 25 °C for 5 min, subsequently at 42 °C for 30 min and finally at 85 °C for 5 min.
Acetyl-CoA carboxylase (Acc), adiponectin (Adipoq), CCAAT/enhancer binding proteins and (Cebpa and Cebpb), peroxisome proliferator-activated receptor (Pparg) and sterol regulatory element binding transcription factor 1c (Srebp1c) mRNA levels were quantified in maturing pre-adipocytes. Gapdh served as housekeeping for posterior normalization. Diluted cDNA samples were amplified in an iCycler-MyiQ Real-Time PCR Detection System (Bio-Rad, CA, USA), in the presence of SYBR Green Master Mix (Applied Biosystems, CA, USA) and the sense and antisense primers (300 nM each). The primer sequences, which have been previously used46–49are described in Table 1. The PCR parameters were as follows: initial 2 min at 50 ºC, denaturation at 95 ºC for 10 min followed by 40 cycles of denaturation at 95 ºC for 15 s, annealing at 60 ºC for 30 s and extension at 60 ºC for 30 s. For Cebpa, the annealing temperature was 66 ºC. In all cases, the results were expressed as fold changes of the threshold cycle (Ct) value relative to controls using the 2−ΔΔCt method50.
Acc: acetyl-CoA carboxylase; Adipoq: adiponectin; Cebpa; CCAAT/enhancer binding protein ; Cebpb: CCAAT/enhancer binding protein ; GAPDH: Glyceraldehyde-3-phosphate dehydrogenase; Pparg: peroxisome proliferator-activated receptor γ; Srebp1c: sterol regulatory element binding transcription factor 1c.
Analysis of protein expression by Western blot
Acetyl-CoA carboxylase (ACC), adiponectin (ADIPOQ), CCAAT/enhancer binding proteins and (C/EBPα and C/EBPβ), peroxisome proliferator-activated receptor γ (PPARγ) and sterol regulatory element binding transcription factor 1c (SREBP-1c) were assessed by western blot. Cells were harvested in 10 mM Tris-HCl pH 7.4, 150 mM NaCl, 1 mM ethylenediaminetetraacetic acid (EDTA), 0.5 mM phenylmethylsulfonyl fluoride (PMSF) and 1 mM iodoacetamide, and after sonication (5 s bursts in a Branson Sonifier SFX550) total protein concentration was determined according to the Bradford protocol45. Protein samples (15 µg) were denaturalized at 95⁰C for 3 min in Laemmli buffer (Bio-Rad, CA, USA) and then loaded into 4–15% Mini-PROTEAN TGX Precast Gels (BioRad, CA, USA). Gels were then transferred onto PVDF membranes (Millipore, MA, USA) by electroblotting and then blocked with 5% powder milk and 0.5% bovine serum albumin (BSA) PBS-tween buffer for 2 h at room temperature. The membranes were then incubated overnight at 4 ºC with primary antibodies: rabbit anti-ACC (4190 Cell Signalling Technology, 1:1000), rabbit anti-adiponectin (2789 Cell Signalling Technology, 1:1000), rabbit anti-C/EBPα (2295 Cell Signalling Technology, 1:500), anti-C/EBPβ (3087 Cell Signalling Technology, 1:1000), rabbit anti-PPARγ (2430 Cell Signalling Technology, 1:500), rabbit anti-SREBP1c (ab28481 Abcam, 1:1000) and rabbit anti-α-Tubulin (2125 Cell Signalling Technology, 1:1000). Following washing, proteins were detected after 2 h incubation with anti-rabbit secondary antibody (sc-2357, Santa Cruz Biotech, CA, USA) using the Forte Western HRP substrate (WBLUF0100, Millipore, MA, USA), and the blots were imaged using the ChemiDoc™MP Imaging System (Bio-Rad, CA, USA). α-tubulin was used as housekeeping.
Statistical analysis
The results are presented as mean ± standard error of the mean (SEM). Statistical analysis was performed using SPSS 26.0 (SPSS, IL, USA). The normal distribution of the data was tested using the Shapiro-Wilk test. Data from each group treated with algae extracts were compared with control cells using Student’s t-test. Statistical significance was established at P < 0.05 level.
Data availability
The datasets generated and/or analysed during the current study are not publicly available due to they are going to be used in an undergoing publication where some correlations are going to be generated but are available from the corresponding author on reasonable request.
References
WHO. World obesity day. Available online: (2022). https://www.who.int/news/item/04-03-2022-world-obesity-day-2022-accelerating-action-to-stop-obesity
Ghaben, A. L. & Scherer, P. E. Adipogenesis and metabolic health. Nat. Rev. Mol. Cell. Biol. 20, 242–258. https://doi.org/10.1038/s41580-018-0093-z (2019).
Menendez, A. et al. Obesity and adipose tissue dysfunction: From pediatrics to adults. Genes (Basel). 13. https://doi.org/10.3390/genes13101866 (2022).
Spalding, K. L. et al. Dynamics of fat cell turnover in humans. Nature 453, 783–787. https://doi.org/10.1038/nature06902 (2008).
Ying, T. & Simmons, R. A. The role of adipocyte precursors in development and obesity. Front. Endocrinol. (Lausanne). 11, 613606. https://doi.org/10.3389/fendo.2020.613606 (2020).
Turner, L., Gauthier, M. F., Lafortune, A., Tchernof, A. & Santosa, S. Adipocyte size, adipose tissue fibrosis, macrophage infiltration and disease risk are different in younger and older individuals with childhood versus adulthood onset obesity. Int. J. Obes. (Lond). 46, 1859–1866. https://doi.org/10.1038/s41366-022-01192-2 (2022).
Biris-Dorhoi, E. S. et al. Macroalgae-A sustainable source of chemical compounds with biological activities. Nutrients 12 https://doi.org/10.3390/nu12103085 (2020).
Khan, M. I., Shin, J. H. & Kim, J. D. The promising future of microalgae: Current status, challenges, and optimization of a sustainable and renewable industry for biofuels, feed, and other products. Microb. Cell. Fact. 17, 36. https://doi.org/10.1186/s12934-018-0879-x (2018).
Saadaoui, I. et al. Algae-derived bioactive compounds with Anti-Lung Cancer potential. Mar. Drugs. 18 https://doi.org/10.3390/md18040197 (2020).
González-Arceo, M., Gómez-Zorita, S., Aguirre, L. & Portillo, M. P. Effect of microalgae and macroalgae extracts on Non-Alcoholic fatty liver disease. Nutrients 13 https://doi.org/10.3390/nu13062017 (2021).
Gómez-Zorita, S. et al. Anti-Obesity effects of microalgae. Int. J. Mol. Sci. 21 https://doi.org/10.3390/ijms21010041 (2019).
Gómez-Zorita, S. et al. Anti-Obesity effects of macroalgae. Nutrients 12 https://doi.org/10.3390/nu12082378 (2020).
Attjioui, M. et al. Comparison of edible brown algae extracts for the Inhibition of intestinal carbohydrate digestive enzymes involved in glucose release from the diet. J. Nutr. Sci. 10, e5. https://doi.org/10.1017/jns.2020.56 (2021).
Jin, X. et al. Pathophysiology of obesity and its associated diseases. Acta Pharm. Sin. B. https://doi.org/10.1016/j.apsb.2023.01.012 (2023).
González-Arceo, M. et al. Anti-Steatotic effects of Chlorella vulgaris, Nannochloropsis Gaditana and Gracilaria vermiculophylla algae extracts in AML-12 hepatocytes. Nutrients 15 https://doi.org/10.3390/nu15081960 (2023).
Wang, H. N., Xiang, J. Z., Qi, Z. & Du, M. Plant extracts in prevention of obesity. Crit. Rev. Food Sci. Nutr. 62, 2221–2234. https://doi.org/10.1080/10408398.2020.1852171 (2022).
Zhao, J., Zhou, A. & Qi, W. The potential to fight obesity with adipogenesis modulating compounds. Int. J. Mol. Sci. 23 https://doi.org/10.3390/ijms23042299 (2022).
Bertoncini-Silva, C., Zingg, J. M., Fassini, P. G. & Suen, V. M. M. Bioactive dietary components-Anti-obesity effects related to energy metabolism and inflammation. Biofactors 49, 297–321. https://doi.org/10.1002/biof.1921 (2023).
Longo, M. et al. Adipose tissue dysfunction as determinant of Obesity-Associated metabolic complications. Int. J. Mol. Sci. 20 https://doi.org/10.3390/ijms20092358 (2019).
Vishvanath, L. & Gupta, R. K. Contribution of adipogenesis to healthy adipose tissue expansion in obesity. J. Clin. Invest. 129, 4022–4031. https://doi.org/10.1172/JCI129191 (2019).
Ntambi, J. M. & Young-Cheul, K. Adipocyte differentiation and gene expression. J. Nutr. 130 https://doi.org/10.1093/jn/130.12.3122S (2000). 3122S-3126S.
Pant, R., Firmal, P., Shah, V. K., Alam, A. & Chattopadhyay, S. Epigenetic regulation of adipogenesis in development of metabolic syndrome. Front. Cell. Dev. Biol. 8, 619888. https://doi.org/10.3389/fcell.2020.619888 (2020).
Fatima, L. A. et al. Estradiol stimulates adipogenesis and Slc2a4/GLUT4 expression via ESR1-mediated activation of CEBPA. Mol. Cell. Endocrinol. 498, 110447. https://doi.org/10.1016/j.mce.2019.05.006 (2019).
Payne, V. A. et al. C/EBP transcription factors regulate SREBP1c gene expression during adipogenesis. Biochem. J. 425, 215–223. https://doi.org/10.1042/BJ20091112 (2009).
Liu, Z. et al. Lipopolysaccharide significantly influences the hepatic triglyceride metabolism in growing pigs. Lipids Health Dis. 14, 64. https://doi.org/10.1186/s12944-015-0064-8 (2015).
Giammona, A., Di Franco, S., Lo Dico, A. & Stassi, G. The MiRNA contribution in adipocyte maturation. Noncoding RNA. 10 https://doi.org/10.3390/ncrna10030035 (2024).
McGregor, R. A. & Choi, M. S. MicroRNAs in the regulation of adipogenesis and obesity. Curr. Mol. Med. 11, 304–316 (2011). doi:CMM # 105 [pii].
Bioinformatic Services, Medical Faculty Mannheim of the Heidelberg University. The miRWalk database. (2025). http://mirwalk.umm.uni-heidelberg.de/mouse/gene/19016/
Guntur, K. V., Guilherme, A., Xue, L., Chawla, A. & Czech, M. P. Map4k4 negatively regulates peroxisome proliferator-activated receptor (PPAR) gamma protein translation by suppressing the mammalian target of Rapamycin (mTOR) signaling pathway in cultured adipocytes. J. Biol. Chem. 285, 6595–6603. https://doi.org/10.1074/jbc.M109.068502 (2010).
Lau, K. H., Waldhart, A. N., Dykstra, H., Avequin, T. & Wu, N. PPARγ and C/EBPα response to acute cold stress in brown adipose tissue. iScience 26, 105848. https://doi.org/10.1016/j.isci.2022.105848 (2023).
Bioinformatic Services, Medical Faculty Mannheim of the Heidelberg University. The miRWalk database. (2025). http://mirwalk.umm.uni-heidelberg.de/mouse/gene/107476/
Ortega, F. J. et al. MiRNA expression profile of human subcutaneous adipose and during adipocyte differentiation. PLoS One. 5, e9022. https://doi.org/10.1371/journal.pone.0009022 (2010).
Tang, Q. Q., Otto, T. C. & Lane, M. D. CCAAT/enhancer-binding protein beta is required for mitotic clonal expansion during adipogenesis. Proc. Natl. Acad. Sci. U S A. 100, 850–855. https://doi.org/10.1073/pnas.0337434100 (2003).
Sun, F. et al. Characterization of function and regulation of miR-24-1 and miR-31. Biochem. Biophys. Res. Commun. 380, 660–665. https://doi.org/10.1016/j.bbrc.2009.01.161 (2009).
Haefliger, S. et al. Protein disulfide isomerase blocks CEBPA translation and is up-regulated during the unfolded protein response in AML. Blood 117, 5931–5940. https://doi.org/10.1182/blood-2010-08-304485 (2011).
Wei, X. et al. miR-276 and miR-3016-modulated expression of acetyl-CoA carboxylase accounts for spirotetramat resistance in Aphis gossypii Glover. Insect Biochem. Mol. Biol. https://doi.org/10.1016/j.ibmb.2016.10.011 (2016).
Yoon, S. et al. Up-regulation of acetyl-CoA carboxylase alpha and fatty acid synthase by human epidermal growth factor receptor 2 at the translational level in breast cancer cells. J. Biol. Chem. 282, 26122–26131. https://doi.org/10.1074/jbc.M702854200 (2007).
Meades, G., Benson, B. K., Grove, A. & Waldrop, G. L. A Tale of two functions: Enzymatic activity and translational repression by carboxyltransferase. Nucleic Acids Res. 38, 1217–1227. https://doi.org/10.1093/nar/gkp1079 (2010).
Munday, M. R. Regulation of mammalian acetyl-CoA carboxylase. Biochem. Soc. Trans. 30, 1059–1064. https://doi.org/10.1042/bst0301059 (2002).
Ishibashi, K. I. et al. Chronic endothelin-1 treatment leads to heterologous desensitization of insulin signaling in 3T3-L1 adipocytes. J. Clin. Invest. 107, 1193–1202. https://doi.org/10.1172/JCI11753 (2001).
Uno, T. et al. Long-term interleukin-1alpha treatment inhibits insulin signaling via IL-6 production and SOCS3 expression in 3T3-L1 adipocytes. Horm. Metab. Res. 40, 8–12. https://doi.org/10.1055/s-2007-1004515 (2008).
Safi, C. et al. Influence of microalgae cell wall characteristics on protein extractability and determination of nitrogen-to-protein conversion factors. J. Appl. Phycol. 25, 523–529. https://doi.org/10.1007/s10811-012-9886-1 (2013).
Safi, C. et al. Understanding the effect of cell disruption methods on the diffusion of Chlorella vulgaris proteins and pigments in the aqueous phase. Algal Res. 8, 61–68. https://doi.org/10.1016/j.algal.2015.01.002 (2015).
Gillies, R. J., Didier, N. & Denton, M. Determination of cell number in monolayer cultures. Anal. Biochem. 159, 109–113. https://doi.org/10.1016/0003-2697(86)90314-3 (1986).
Bradford, M. M. A rapid and sensitive method for the quantitation of microgram quantities of protein utilizing the principle of protein-dye binding. Anal. Biochem. 72, 248–254 (1976).
Gómez-López, I., Eseberri, I., Krisa, S., Cano, M. P. & Portillo, M. P. Effects of. Plants (Basel). 13 https://doi.org/10.3390/plants13212967 (2024).
Mosqueda-Solís, A. et al. Screening of potential anti-adipogenic effects of phenolic compounds showing different chemical structure in 3T3-L1 preadipocytes. Food Funct. https://doi.org/10.1039/c7fo00679a (2017).
Gómez-Zorita, S. et al. Phenolic compounds apigenin, hesperidin and Kaempferol reduce in vitro lipid accumulation in human adipocytes. J. Transl Med. 15, 237. https://doi.org/10.1186/s12967-017-1343-0 (2017).
Lasa, A., Churruca, I., Eseberri, I., Andrés-Lacueva, C. & Portillo, M. P. Delipidating effect of Resveratrol metabolites in 3T3-L1 adipocytes. Mol. Nutr. Food Res. 56, 1559–1568. https://doi.org/10.1002/mnfr.201100772 (2012).
Livak, K. J. & Schmittgen, T. D. Analysis of relative gene expression data using real-time quantitative PCR and the 2(-Delta Delta C(T)) method. Methods 25, 402–408. https://doi.org/10.1006/meth.2001.1262 (2001).
Acknowledgements
Open Access funding provided by University of Basque Country (UPV/EHU).
Funding
This study was supported by Instituto de Salud Carlos III (CIBERobn) under Grant CB12/03/30007, the Government of the Basque Country under Grants KK-2019-00031 and IT1482-22, the Grant TED2021-129711B-I00, funded by MCIN/AEI/https://doi.org/10.13039/501100011033 and, as appropriate, by “ERDF A way of making Europe”, by the “European Union” or by the “European Union NextGenerationEU/PRTR”.
Author information
Authors and Affiliations
Contributions
Conceptualization, S.G.-Z., L.A. and M.P.P.; experimental work, M.G.-A., J.I. and M.C.; writing-original draft preparation, S.G.-Z., M.G.-A. and L.A.; writing-review and editing, L.A., S.G.-Z., M.A.M. and M.P.P.; funding acquisition, M.P.P. and M.C. All authors have read and agreed to the published version of the manuscript.
Corresponding author
Ethics declarations
Competing interests
The authors declare no competing interests.
Algae collection
In the Basque Country, harvesting of Gracilaria vermiculophylla for scientific studies does not require a permit.
Additional information
Publisher’s note
Springer Nature remains neutral with regard to jurisdictional claims in published maps and institutional affiliations.
Electronic supplementary material
Below is the link to the electronic supplementary material.
Rights and permissions
Open Access This article is licensed under a Creative Commons Attribution-NonCommercial-NoDerivatives 4.0 International License, which permits any non-commercial use, sharing, distribution and reproduction in any medium or format, as long as you give appropriate credit to the original author(s) and the source, provide a link to the Creative Commons licence, and indicate if you modified the licensed material. You do not have permission under this licence to share adapted material derived from this article or parts of it. The images or other third party material in this article are included in the article’s Creative Commons licence, unless indicated otherwise in a credit line to the material. If material is not included in the article’s Creative Commons licence and your intended use is not permitted by statutory regulation or exceeds the permitted use, you will need to obtain permission directly from the copyright holder. To view a copy of this licence, visit http://creativecommons.org/licenses/by-nc-nd/4.0/.
About this article
Cite this article
González-Arceo, M., Aguirre, L., Ibarruri, J. et al. Effects of Chlorella vulgaris, Microchloropsis Gaditana and Gracilaria vermiculophylla algae extracts on maturing and mature 3T3-L1 adipocytes. Sci Rep 15, 32891 (2025). https://doi.org/10.1038/s41598-025-10202-y
Received:
Accepted:
Published:
Version of record:
DOI: https://doi.org/10.1038/s41598-025-10202-y








