Abstract
This study establishes the first reversed-phase HPLC-UV method for simultaneous baseline separation of 12 structurally diverse water-soluble vitamins (WSVs) within 25 min. The eco-friendly approach utilizes a methanol–potassium dihydrogen phosphate (pH 4.85) gradient on a ChromCore C18 column (250 × 4.6 mm, 5 μm) with dual-wavelength detection (210/266 nm), eliminating environmentally detrimental ion-pairing reagents. Rigorous validation per ICH Q2(R1) guidelines confirmed excellent linearity (R² > 0.999), precision (RSD < 2.1%), accuracy (spike recoveries: 93.9–106.8%), and sensitivity (LODs: 0.01–0.78 µg/mL). The method resolved key analytical challenges including polarity disparities, matrix interference, and vitamin instability. Successful quantification of endogenous vitamins in DMEM medium showed ≤ 5.1% deviation from certified values for 11/12 analytes. Applied to five commercial MDCK cell culture media, the method revealed significant inter-product variability in vitamin composition – notably universal under-supplementation of riboflavin (0.576–0.741 µg/mL, 10× lower than other vitamins) and inconsistent biotin/adenine supplementation. This robust, cost-effective platform provides biomanufacturers with a powerful quality control tool for optimizing vitamin supplementation in vaccine production systems, addressing a critical gap in cell culture analytics.
Similar content being viewed by others
Introduction
Water-soluble vitamins (WSVs) constitute a class of essential micronutrients that play pivotal roles in cellular metabolism, energy synthesis, and signal transduction1. Within biopharmaceutical manufacturing, precise regulation of WSVs in mammalian cell culture media—exemplified by the Madin-Darby Canine Kidney (MDCK) cell system2—critically governs cell proliferation, viral amplification, and vaccine production efficiency. However, the simultaneous separation and quantification of these vitamins remain analytically challenging due to their diverse chemical properties (e.g., variable polarity, pH-dependent stability) and trace-level presence in complex matrices. This underscores an urgent need for robust analytical methods to optimize media quality control.
Current methodologies for WSV analysis include microbiological assays3 capillary electrophoresis (CE)4 micellar electrokinetic chromatography (MEKC)5 high-performance liquid chromatography (HPLC)6,7,8 and liquid chromatography–mass spectrometry (LC–MS)9. While microbiological approaches offer cost efficiency, they suffer from prolonged analysis times and poor specificity. CE and MEKC achieve high separation efficiency but are constrained by limited sensitivity and matrix interference. Conventional HPLC, despite its versatility, demonstrates suboptimal resolution for multicomponent WSV separation. Critically, to the best of our knowledge, no reversed-phase HPLC method enabling simultaneous baseline separation of 12 WSVs has been reported in the literature. Although LC–MS provides enhanced sensitivity, its routine adoption is impeded by high operational costs and intricate sample preparation requirements10. Key analytical challenges persist: (i) significant polarity and solubility disparities among WSVs leading to incompatible chromatographic behaviors; (ii) co-elution or signal suppression caused by interfering compounds in biological matrices; and (iii) inherent instability of labile vitamins (e.g., ascorbic acid, folates)11,12 necessitating rapid analysis to preclude degradation.
To address these limitations, we developed an eco-friendly HPLC–UV method utilizing a methanol–potassium dihydrogen phosphate mobile phase and dual-wavelength detection (210/266 nm). Through systematic optimization of elution parameters, baseline separation of 12 WSVs—spanning B-group vitamins and vitamin C—was achieved within 25 min. Notably, this approach eliminates conventional ion-pairing reagents (known to compromise column longevity and system compatibility) while employing low-toxicity solvents and streamlined sample pretreatment. The resulting method significantly enhances analytical efficiency, cost-effectiveness, and environmental sustainability. Demonstrating its utility, we successfully applied this novel protocol to quantify WSVs in MDCK cell culture media. This methodology offers a robust platform for real-time media quality monitoring and bioprocess optimization, thereby advancing vitamin analytics in biopharmaceutical applications.
Results and discussion
Solvent systems selection
The diverse physicochemical properties of WSVs, particularly their varying polarities and pH-dependent stabilities13,14 necessitated careful solvent optimization. Initial dissolution studies revealed that L-ascorbic acid, nicotinic acid, thiamine hydrochloride, pyridoxine hydrochloride, nicotinamide, D-calcium pantothenate, cyanocobalamin, and D-biotin exhibited satisfactory solubility in pure water. However, replacement of water with the 0.05 M KH₂PO₄ solution (pH 4.85) significantly enhanced chromatographic performance. This buffer system provided three critical advantages: (1) Improved peak resolution due to ion suppression and controlled ionization states of acidic/basic vitamins; (2) Effective reduction of matrix interferences through ionic strength modulation; and (3) Stabilization of acid-labile compounds like L-ascorbic acid by maintaining a weakly acidic environment, thereby minimizing oxidative degradation11. For challenging vitamins:
Adenine and orotic acid monohydrate required sonication with mild heating (≤ 60 °C) for complete dissolution.Riboflavin and folic acid demonstrated markedly improved solubility under weakly alkaline conditions. The addition of dilute ammonia solution (25%) prior to KH₂PO₄ dilution protonated these compounds optimally for reversed-phase separation while preventing precipitation15. Having established 0.05 M KH₂PO₄ as the optimal aqueous solvent system, we further optimized its pH to maximize resolution and analyte stability, as detailed in Sect. Mobile phase pH optimization.
Gradient elution optimization
Initial isocratic elution trials failed to resolve the 12 WSVs due to their wide polarity range (logP − 2.1 to 3.1). Specifically, critical pairs (e.g., nicotinic acid/thiamine) co-eluted, while late-eluting vitamins (folic acid, cyanocobalamin, D-biotin, riboflavin) exhibited excessive retention (> 60 min) or peak broadening, rendering quantification impractical. Gradient elution was therefore essential to simultaneously achieve resolution and reasonable analysis time. Through systematic optimization of organic modifier (MeOH) composition and gradient profile (Table 1), baseline separation of all analytes (resolution Rₛ ≥ 2.0) was accomplished within 25 min (Fig. 1). The optimized gradient balances three requirements:
-
1.
Sufficient initial aqueous phase (95% B) for polar vitamin retention (ascorbic acid, orotic acid).
-
2.
Controlled methanol ramp (5→45% A) to elute mid-polarity vitamins with sharp peaks.
-
3.
Rapid column re-equilibration (5 min post-run) ensuring reproducibility.
Stationary phase selection
Comparative studies evaluated C8 and C18 reversed-phase columns under identical mobile phase conditions. While both phases achieved complete separation after optimization, critical differences emerged:
C8 columns exhibited inferior performance at 210 nm: (1) Significant baseline drift due to lower ligand density; (2) Peak tailing for polar vitamins (thiamine, pyridoxine, adenine; asymmetry factor > 1.8); (3) Reduced resolution for nicotinamide/adenine pair (Rₛ < 1.5).
C18 columns demonstrated superior hydrophobic selectivity and surface coverage, yielding: (1) Stable baseline across the gradient; (2) Excellent peak symmetry (asymmetry factor 1.0–1.2) for all vitamins; (3) Consistent resolution (Rₛ ≥ 2.0) across analyte polarity range.
The enhanced retentivity and peak shape of the C18 stationary phase (ChromCore™ C18) are attributed to its higher carbon load (12%) and endcapping, providing optimal interaction diversity for the structurally heterogeneous vitamin panel.
Mobile phase pH optimization
The pH of the 0.05 M KH₂PO₄ buffer system (selected in Sect. 2.1) was critically evaluated to resolve co-elutions and minimize baseline drift while preserving column integrity. Mobile phase pH critically governs ionization states, thereby affecting retention and selectivity. Three pH conditions were evaluated (Fig. 2):
pH 3.40 (adjusted with H₃PO₄): Achieved resolution but caused: (1) Severe baseline rise (> 50 mAU) due to high UV absorption of phosphate buffer at low pH; (2) Accelerated column degradation (silica dissolution risk at pH < 4); (3) Potential hydrolysis of acid-labile vitamins (e.g., thiamine).
pH 6.00 (adjusted with triethylamine): Resulted in critical co-elutions: L-ascorbic acid/orotic acid (α = 1.03) and nicotinic acid/thiamine (α = 1.05), due to suppressed ionization of carboxylic acids and altered amine protonation.
pH 4.85 (unadjusted KH₂PO₄ buffer): Provided optimal balance: (1) Near-pKa buffering capacity maximizes resolution of ionizable vitamins; (2) Minimal baseline drift (< 5 mAU); (3) Compatibility with column stability guidelines (pH 2–8); (4) Preservation of vitamin stability16,17.
The pH 4.85 condition was therefore selected as it uniquely satisfied chromatographic performance, system compatibility, and analyte integrity requirements.
Detection wavelength optimization
Ultraviolet spectra of all 12 vitamins were recorded across 200–800 nm (Fig. 3). Dual-wavelength detection (210 nm and 266 nm) was implemented based on comprehensive absorption profiling:
210 nm: Maximizes sensitivity for vitamins lacking conjugated systems (Vitamins B1, B5, B6, B7, C) and enables detection of adenine/orotic acid with absorption maxima at 206–210 nm.
266 nm: Optimizes detection for vitamins with aromatic/heterocyclic chromophores: Vitamin B3 (λₘₐₓ=262 nm), Vitamin B9 (λₘₐₓ=283 nm), Vitamin B12 (λₘₐₓ=361 nm with secondary peak at 266 nm).
This strategy provided > 90% of each analyte’s maximum absorption while minimizing baseline noise from solvent transitions during gradient elution.
Flow rate and column temperature optimization
Flow Rate: Three rates (0.7, 0.9, 1.1 mL/min) were evaluated. While baseline separation was maintained at all rates, 0.7 mL/min increased analysis time by 8%, compromising the rapid analysis objective. At 1.1 mL/min, critical pairs (L-Ascorbic acid/Orotic acid monohydrate, Rₛ < 1.5) co-eluted due to reduced theoretical plates (N < 8,000). 0.9 mL/min was optimal, balancing: Resolution (Rₛ > 2.0 for all pairs); Backpressure (≤ 180 bar vs. column limit 250 bar).
Column Temperature: Temperatures (25 °C, 30 °C, 35 °C) showed negligible impact on resolution (ΔRₛ < 0.2) or efficiency (plate count variation < 5%). 30 °C was selected for: Enhanced reproducibility under laboratory ambient conditions; Prevention of thermal degradation risks for labile vitamins (B1, B12, C); Compatibility with standard HPLC column specifications.
Method validation
Validation followed ICH Q2(R1) guidelines18 for specificity, linearity, accuracy, precision, LOD, LOQ, and robustness.
Specificity
Specificity was confirmed through:
-
1.
Comparison of individual standard chromatograms (4 µg/mL) vs. mixed standard.
-
2.
Resolution (Rₛ > 2.0) between adjacent peaks.
-
3.
Peak purity assessment via spectral match (R² > 0.995) at apex/leading/trailing edges.
-
4.
Tailoring factors (0.91–1.28) confirming Gaussian peak shape.
All analytes exhibited retention time consistency (RSD < 0.3%) and baseline separation in MDCK media matrices (Fig. 4). Chromatographic parameters (retention time, Rₛ, tailing factor, theoretical plates) are summarized in Tables 2 and 3.
Matrix effects were minimized through:
(1) Matrix-matched calibration (DMEM or KH₂PO₄ blank);
(2) Ionic suppression via 0.05 M KH₂PO₄ (pH 4.85);
(3) Sample clean-up: Centrifugation (10,000 × g, 5 min) + 0.22 μm filtration;
(4) Peak purity validation (R² > 0.995 at peak edges).
Accuracy (Recovery studies)
Accuracy was evaluated through spike-recovery experiments in DMEM high-glucose basal medium:
Endogenous vitamins (B₁, B₆, nicotinamide, D-pantothenate, folate, riboflavin): Spiked at 80%, 100%, and 120% of nominal concentrations (n = 3 per level, Table 4).Non-endogenous vitamins (C, orotic acid, nicotinic acid, adenine, biotin, B₁₂): Spiked at 4 µg/mL in blank matrix (n = 3, Table 5).
Recoveries ranged from 93.92 to 106.82% with RSDs ≤ 4.29%, satisfying ICH acceptance criteria (80–120% recovery, RSD < 5%). This demonstrates exceptional accuracy across physiological concentration ranges (0.5–20 µg/mL) and confirms minimal matrix interference.
Precision
Repeatability (Intra-day): Six replicate injections of DMEM medium yielded RSDs ≤ 1.06% for retention times and ≤ 1.71% for peak areas.
Intermediate Precision (Inter-day): Analysis of six independently prepared samples over 30 days showed RSDs ≤ 1.04% (tr) and ≤ 1.47% (area), confirming method robustness against operational and environmental variations (Table 6). All values met ICH requirements (RSD < 3% for retention time, < 5% for peak area).
Linearity, range, LOD, and LOQ
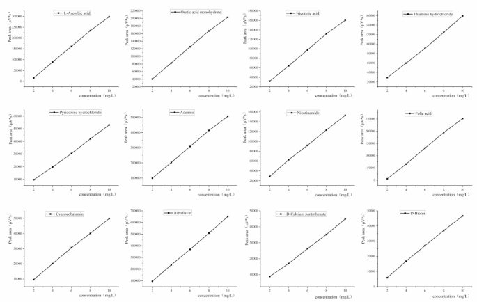
Calibration curves (Calibration curves for endogenous vitamins (B₁, B₆, nicotinamide, D-pantothenate, folate, riboflavin) were prepared in DMEM high-glucose basal medium, while non-endogenous vitamins (C, orotic acid, nicotinic acid, adenine, biotin, B₁₂) were calibrated in a blank matrix (0.05 M KH₂PO₄, pH 4.85) to avoid interference from absent analytes. Fig. 5 (n = 6 concentrations) exhibited excellent linearity (R² > 0.999) across clinically relevant ranges. Limits of detection (LOD, S/N = 3)19 and quantification (LOQ, S/N = 10)20 spanned 0.01–0.78 µg/mL and 0.02–1.2 µg/mL, respectively (Table 7), demonstrating high sensitivity for trace-level vitamin monitoring in complex media.
Robustness
Deliberate variations of critical parameters were tested (Table 8):
No critical resolution loss (Rₛ >1.5) or peak distortion occurred under any condition (Fig. 6), confirming method resilience to minor operational variations.
Analysis of commercial cell culture media
The validated method was applied to quantify WSVs in real-world samples:
DMEM Validation: Measured vitamin concentrations in DMEM high-glucose medium showed excellent agreement with certified values. Relative deviations for 5/6 vitamins were ≤ 5.12%, well within ISO/ICH acceptance limits (± 15%). (Table 9) The higher deviation for riboflavin (21.4%, certified 0.40 µg/mL vs. measured 0.485 µg/mL) reflects analytical challenges at ultratrace levels but remained quantifiable (S/N > 50). Figure 7 reveals the chromatogram of endogenous vitamins in DMEM medium.
MDCK Media Profiling: Five commercial MDCK media formulations (OPM, M, SFM, SLM, DFM) revealed significant compositional differences (Table 10): Consistent components: Thiamine, nicotinamide, folic acid, cyanocobalamin, and riboflavin were universally present.Variable supplementation: Biotin and adenine appeared in only 3/5 formulations. Notable trend: Riboflavin concentrations (0.15–0.48 µg/mL) were consistently 10× lower than other vitamins across all media – a critical consideration for cell metabolism and viral propagation efficiency. Figure 8 show the representative chromatogram of commercial MDCK medium (S2) showing detected vitamins.
Greenness assessment
The developed HPLC-UV method was explicitly designed with environmental considerations. The primary green achievement is the complete elimination of conventional ion-pairing reagents (e.g., alkylsulfonates, perfluorinated carboxylic acids), which are known environmental contaminants due to their persistence, potential toxicity, and detrimental effects on column longevity and system compatibility21. Instead, separation relies solely on a methanol–potassium dihydrogen phosphate buffer gradient. Methanol, while flammable, is generally considered less toxic and hazardous than acetonitrile, commonly used in LC-MS. The aqueous component (KH₂PO₄) is relatively low in toxicity. Furthermore, the rapid analysis time (25 min) minimizes solvent consumption. Sample preparation involves only dilution and filtration, avoiding extensive or hazardous extraction procedures. Compared to ion-pairing HPLC methods22 or LC-MS approaches, which often require ion-pairing agents or involve higher energy consumption and potentially more hazardous solvents, this method offers a significantly more environmentally benign profile for the routine quality control of WSVs in cell culture media, aligning with the principles of Green Analytical Chemistry.
Conclusions
This study has established the first reported ion-pairing reagent-free reversed-phase HPLC-UV method capable of simultaneous baseline separation of 12 structurally diverse water-soluble vitamins (WSVs) within a rapid 25-minute analysis time, addressing a critical gap in vitamin analytics for biopharmaceutical applications. Key innovations include:
Eco-efficient separation:
Elimination of ion-pairing reagents through optimized methanol-phosphate buffer (pH 4.85) and ChromCore C18 column chemistry.
Dual-wavelength detection
Strategic use of 210/266 nm enables comprehensive quantification while minimizing matrix interference.
Robust validation
Full ICH Q2(R1) compliance confirmed accuracy (93.9–106.8% recovery), precision (RSD < 2.1%), and sensitivity (LODs 0.01–0.78 µg/mL).
The methodology’s practicality was demonstrated through: Successful DMEM verification (mean deviation ≤ 5.1% for 5/6 vitamins).
First comparative profiling of five commercial MDCK media, revealing: Universal under-supplementation of riboflavin – a potential bottleneck for cell growth; Significant variability in biotin/adenine supplementation.
This rapid (< 35 min total cycle time), cost-effective, and environmentally considerate approach provides biomanufacturers with a powerful quality control tool for optimizing vitamin supplementation in vaccine production platforms. Future work will correlate vitamin variability with MDCK cell growth kinetics and influenza virus yield.
Materials and methods
Instrumentation
HPLC System: Waters e2695 Separation Module equipped with a Waters e2489 UV/Vis Detector and Empower® 3 Chromatography Data Software (Waters Corporation, Milford, MA, USA). Column: ChromCore C18 (250 mmx4.6 mm, 5 μm)Ultrasonic Cleaner: KQ-250-B (Kunshan Ultrasonic Instrument Co., Ltd., Kunshan, China).Water Purification System: Direct-Q® 16 UV System (Merck Millipore, Billerica, MA, USA).pH Meter: Denver Instrument UB-7 (Denver Instrument, Bohemia, NY, USA).Microbalance: XP205 Analytical Balance (precision: 0.01 mg) (Mettler Toledo, Greifensee, Switzerland).Analytical Balance: BSA224S-CW (precision: 0.1 mg) (Sartorius AG, Göttingen, Germany).UV/Vis Spectrophotometer: Lambda 750 S (PerkinElmer, Inc., Waltham, MA, USA).
Reagents and standards
Water-Soluble Vitamin Standards: L-Ascorbic acid (Vitamin C, 99.99%, Lot# C16418426), Orotic acid monohydrate (98%, Lot# C15932883), Nicotinic acid (Niacin, ≥ 99%, Lot# C15133055), Thiamine hydrochloride (Vitamin B1, ≥ 99.5%, Lot# C15967568), Pyridoxine hydrochloride (Vitamin B6, 99.5%, Lot# C15763828), Adenine (≥ 99.5%, Lot# C15839045), Nicotinamide (Niacinamide, ≥ 99.5%, Lot# C15763824), D-Calcium pantothenate (Vitamin B5, 98%, Lot# C15131711), Cyanocobalamin (Vitamin B12, 98%, Lot# C15929061), D-Biotin (Vitamin B7, > 98%, Lot# C15146594), Riboflavin (Vitamin B2, 98%, Lot# C15568462) were obtained from Shanghai Macklin Biochemical Technology Co., Ltd. (Shanghai, China). Folic acid (Vitamin B9, ≥ 97%, Lot# L2115596) was purchased from Shanghai Aladdin Biochemical Technology Co., Ltd. (Shanghai, China). All standards were of chromatographic or highest available purity grade.
HPLC Solvents and Buffers: Potassium dihydrogen phosphate (KH₂PO₄, ≥ 99.5%, chromatographic grade, Lot# C16191575, Shanghai Macklin Biochemical Technology Co., Ltd., Shanghai, China). Methanol (MeOH, chromatographic grade) was purchased from VWR Chemicals (Solna, Sweden). Ammonia solution (25%, analytical grade, Lot# 20220301, Tianjin Damao Chemical Reagent Factory, Tianjin, China).
Water: Ultrapure water (18.2 MΩ·cm resistivity at 25 °C) generated by the Direct-Q® 16 system was used for all aqueous solutions and mobile phase preparation.
Cell Culture Media: Dulbecco’s Modified Eagle Medium (DMEM, High Glucose) liquid basal medium was procured from Cyville Biotechnology Co., Ltd. (Wuhan, China). Five distinct commercially available MDCK cell culture media formulations (designated as OPM, M, SFM, SLM, and DFM for anonymity) were obtained for method application.
Experimental methods
Solution preparation
Mobile Phase: Potassium dihydrogen phosphate (KH₂PO₄, 6.80 g) was accurately weighed and dissolved in 1 L of ultrapure water (resistivity: 18.2 MΩ·cm at 25 °C). The solution was sonicated for 10 min to ensure complete dissolution, filtered through a 0.45 μm membrane filter, and sonicated again for 10 min for degassing, yielding a 0.05 M KH₂PO₄ solution. The pH was adjusted to 4.85 ± 0.02 using dilute H₃PO₄23 or triethylamine24 solution as needed.
Standard Stock Solutions: Individual stock solutions (0.4 mg/mL) of each vitamin were prepared by accurately weighing approximately 4.0 mg of the standard into a separate 10 mL amber volumetric flask. The compounds were dissolved and diluted to volume with 0.05 M KH₂PO₄ solution (pH 4.85). Specific dissolution procedures were employed where necessary: L-Ascorbic acid, Nicotinic acid, Thiamine hydrochloride, Pyridoxine hydrochloride, Nicotinamide, D-Calcium pantothenate, Cyanocobalamin, D-Biotin: Dissolved directly in KH₂PO₄ solution.Orotic acid monohydrate and Adenine: Dissolved using sonication with gentle heating (≤ 60 °C).Folic acid: Dissolved with the aid of 1–2 drops of dilute ammonia solution (25%, v/v) before dilution with KH₂PO₄ solution.Riboflavin: Initially dissolved in a minimal volume of dilute ammonia solution (25%, v/v) and then diluted to volume with KH₂PO₄ solution.All stock solutions were stored protected from light at 4 °C and were stable for one week.(L-Ascorbic acid is prepared and used on the spot).
Standard Working Solutions: Mixed standard working solutions at appropriate concentrations were prepared daily by serial dilution of the individual stock solutions with 0.05 M KH₂PO₄ solution (pH 4.85).
Sample preparation
MDCK cell culture media samples (designated S1: OPM, S2: M, S3: SFM, S4: SLM, S5: DFM) were reconstituted according to the manufacturer’s instructions.
Briefly:
-
1.
The specified amount of dry powder medium (see Table 11) was slowly added to ultrapure water under continuous magnetic stirring for 10 min.
-
2.
For media requiring pH adjustment (S1, S2, S4), the pH was carefully adjusted to 7.20 ± 0.05 using 5 N NaOH(Damao, China) or 5 N HCl25 (Damao, China)solution.
-
3.
Sodium bicarbonate (NaHCO₃)(China) was added to formulations requiring it (S1, S2, S4) as specified.
-
4.
The reconstituted medium was sterile-filtered through a 0.22 μm membrane(Jinlong, China) filter into a sterile container.
-
5.
Processed samples were stored in amber vials (Thermo Scientific, USA) at 2–8 °C.
Prior to HPLC analysis, samples were centrifuged at 10,000 × g for 5 min(China) and the supernatant was filtered through a 0.22 μm nylon syringe filter.(Jinlong, China).
Chromatographic conditions
Chromatographic separation was performed using a reversed-phase ChromCore C18 column (250 mm × 4.6 mm i.d., 5 μm particle size; Napson Analysis Technology Suzhou Co., LTD). The mobile phase consisted of:
Eluent A: HPLC-grade methanol.
Eluent B: 0.05 M KH₂PO₄ solution (pH 4.85).
A gradient elution program was employed as follows:
− 0–10 min: 5% A.
− 10–20 min: 5–45% A (linear gradient).
− 20–30 min: 45–5% A (linear gradient).
The column temperature was maintained at 30 °C. Detection was performed using a dual-wavelength setting: 210 nm (for vitamins B1, B2, B3, B5,B6, B7,B9, B12, orotic acid, adenine, nicotinamide) and 266 nm (for vitamins C). The injection volume was 10 µL. System equilibration time between injections was 5 min (total run time: 35 min).
Data availability
Data is provided within the manuscript or supplementary information files.
References
Kim, Y. Y. et al. Modulatory effects of single and complex vitamins on the in vitro growth of murine ovarian follicles. Tissue Eng. Regenerative Med. 16, 275–283. https://doi.org/10.1007/s13770-019-00188-w (2019).
Nakamura, K. et al. Systematic evaluation of suspension MDCK cells, adherent MDCK cells, and LLC-MK2 cells for Preparing influenza vaccine seed virus. Vaccine 37, 6526–6534. https://doi.org/10.1016/j.vaccine.2019.08.064 (2019).
LI, Q., Cui, Y., Zhao, Y., Jiang, F. & Li, D. Principle and progress of determination of water-soluble vitamins in food by microbial method. Food Sci. J. 34, 5. https://doi.org/10.7506/spkx1002-6630-201313071 (2013).
Okamoto, H., Nakajima, T. & Ito, Y. S imultaneous determination of water-soluble vitamins in a vitaminenriched drink by an in-capillary enzyme reaction method. J. Chromatogr. A. 986, 8. https://doi.org/10.1016/s0021-9673(02)01916-7 (2003).
Navarro-Pascual-Ahuir, M., Lerma-García, M. J., Simó-Alfonso, E. F. & Herrero-Martínez, J. M. Determination of water-soluble vitamins in energy and sport drinks by micellar electrokinetic capillary chromatography. Food Control. 63, 110–116. https://doi.org/10.1016/j.foodcont.2015.11.033 (2016).
Jeelani, S. & Kassymbek, Z. Simultaneous determination of 10 Fat-Soluble vitamins by Ultra‐Performance liquid chromatography in multivitamins with minerals capsules. J. Sep. Sci. 48 https://doi.org/10.1002/jssc.70167 (2025).
Mudiam, M. K. R., Fan, B., You, J., Suo, Y. & Qian, C. A novel and sensitive method for determining vitamin B3 and B7 by pre-column derivatization and high-performance liquid chromatography method with fluorescence detection. Plos One. 13 https://doi.org/10.1371/journal.pone.0198102 (2018).
Phillips & M, M. Liquid chromatography with isotope-dilution mass spectrometry for determination of water-soluble vitamins in foods. Anal. Bioanal. Chem. 407, 2965–2974. https://doi.org/10.1007/s00216-014-8354-y (2014).
Zhang, M. et al. Rapid determination of Water-Soluble vitamins in human serum by Ultrahigh-Performance liquid Chromatography-Tandem mass spectrometry. ACS Omega. 10, 885–891. https://doi.org/10.1021/acsomega.4c07968 (2024).
Liu, A., Cheng, M., Zhou, Y. & Deng, P. Bioanalysis of oligonucleotide by LC–MS: effects of ion pairing regents and recent advances in ion-Pairing-Free analytical strategies. Int. J. Mol. Sci. 23 https://doi.org/10.3390/ijms232415474 (2022).
Feszterová, M., Kowalska, M. & Mišiaková, M. Stability of vitamin C content in plant and vegetable juices under different storing conditions. Appl. Sci. 13 https://doi.org/10.3390/app131910640 (2023).
WILSON, S. D. & HORNE, D. W. Evaluation of ascorbic acid in protecting labile folic acid derivatives. Proc. Natl. Acad. Sci. U.S.A. 80 https://doi.org/10.1073/pnas.80.21.6500 (1983).
Dias, P. et al. Biological properties of vitamins of the B-complex, part 2 – vitamins B6 and B7 (biotin, vitamin H). Nutr. Res. Rev. 1–107. https://doi.org/10.1017/s0954422425100097 (2025).
Hrubša, M. et al. Biological properties of vitamins of the B-Complex, part 1: vitamins B1, B2, B3, and B5. Nutrients 14 https://doi.org/10.3390/nu14030484 (2022).
Goswami, A. & Sarma, B. The pH-Dependent microspecies dissociations in the Trade-Off of solubility and permeability of vitamin B2 eutectic solids. Mol. Pharm. 22, 2246–2258. https://doi.org/10.1021/acs.molpharmaceut.4c01518 (2025).
Luo, W. et al. Water-Soluble vitamins stability by robust liquid Chromatography-Mass spectrometry. Annals Nutr. Metabolism. 1–9. https://doi.org/10.1159/000541587 (2024).
Lykkesfeldt, J., Carr, A. C. & Vitamin, C. Adv. Nutr. 15 https://doi.org/10.1016/j.advnut.2023.100155 (2024).
Agency, E. M. (1995).
Gegenschatz, S. A., Chiappini, F. A., Teglia, C. M., Muñoz de la Peña, A. & Goicoechea, H. C. Binding the gap between experiments, statistics, and method comparison: A tutorial for computing limits of detection and quantification in univariate calibration for complex samples. Anal. Chim. Acta. 1209 https://doi.org/10.1016/j.aca.2021.339342 (2022).
Ikonen, K. E., Wehde, K. E., Khalida, H. & Kenttämaa, H. I. Bias, limit of detection, and limit of quantitation for the ASTM D2425 method updated in 2019. J. Chromatogr. A. 1614 https://doi.org/10.1016/j.chroma.2019.460705 (2020).
Miryam Perrucci, V. D. L. et al. Mansour chap. 1 - Green chemistry and green analytical chemistry. Green. Anal. Chem. 14 https://doi.org/10.1016/B978-0-443-16122-3.00012-3 (2025).
Marcello Locatelli, M. P., Ali, I., Fotouh, H. I. U. & Mansour, R. Abuzar Kabir chap. 1 - Green analytical methods and principles of green analytical chemistry. Green. Anal. Methods Miniaturized Sample Preparation Techniques Forensic Drug Anal. 18 https://doi.org/10.1016/B978-0-443-13907-9.00002-4 (2025).
Tao, Y. et al. Development and validation of a new High-Performance liquid Chromatography-Ultraviolet assay for quantification of Mitoxantrone in plasma of BALB/c-nu mice. J. Chromatogr. Sci. 63 https://doi.org/10.1093/chromsci/bmae007 (2025).
Zhang, H. et al. Identification, characterization and HPLC quantification of process-related impurities in trelagliptin succinate bulk drug: six identified as new compounds. J. Pharm. Biomed. Anal. 128, 18–27. https://doi.org/10.1016/j.jpba.2016.04.041 (2016).
Tsuboi, R., Matsuda, K., Ko, I. J. & Ogawa, H. Correlation between culture medium pH, extracellular proteinase activity, and cell growth of Candida albicans in insoluble stratum corneum-supplemented media. Arch. Dermatol. Res. 281, 3. https://doi.org/10.1007/bf00412979 (1989).
Acknowledgements
We are grateful for financial support from the National Natural Science Foundation of China (U20A20143).We would like to thank the State Key Laboratory of Fine Chemicals and the Fundamental Research Funds for China Central Universities (DUT22LAB608).
Author information
Authors and Affiliations
Contributions
L.Z. conceived the study, designed the methodology, and drafted the original manuscript.M.Z. performed formal analysis, revised the manuscript critically, and contributed to data interpretation.H.S. and L.D. reviewed and validated experimental data, and provided technical feedback on the manuscript.Q.M. acquired funding, supervised the project, and administered resources.All authors reviewed and approved the final manuscript.
Corresponding author
Ethics declarations
Conflict of interest
There are no conflicts to declare.
Additional information
Publisher’s note
Springer Nature remains neutral with regard to jurisdictional claims in published maps and institutional affiliations.
Rights and permissions
Open Access This article is licensed under a Creative Commons Attribution-NonCommercial-NoDerivatives 4.0 International License, which permits any non-commercial use, sharing, distribution and reproduction in any medium or format, as long as you give appropriate credit to the original author(s) and the source, provide a link to the Creative Commons licence, and indicate if you modified the licensed material. You do not have permission under this licence to share adapted material derived from this article or parts of it. The images or other third party material in this article are included in the article’s Creative Commons licence, unless indicated otherwise in a credit line to the material. If material is not included in the article’s Creative Commons licence and your intended use is not permitted by statutory regulation or exceeds the permitted use, you will need to obtain permission directly from the copyright holder. To view a copy of this licence, visit http://creativecommons.org/licenses/by-nc-nd/4.0/.
About this article
Cite this article
Zhou, L., Zhang, M., Sun, H. et al. Simultaneous quantification of 12 water-soluble vitamins in MDCK cell culture media by eco-friendly ion-pairing reagent-free HPLC-UV. Sci Rep 15, 26426 (2025). https://doi.org/10.1038/s41598-025-12536-z
Received:
Accepted:
Published:
Version of record:
DOI: https://doi.org/10.1038/s41598-025-12536-z










