Abstract
High dosages of oxytrol induce chronic as well as acute toxicity such as hallucination, irregular heartbeat, hoarseness, and coma. This study focused on novel PVC-printed polymer sensors and graphene sensors, which were synthesized to increase the surface area and sensitivity for oxytrol active material assessment. To evaluate the surface sensor structure, morphology, and elemental composition, scanning electron microscopy and energy dispersive X-ray spectroscopy were performed before and after measurement. At 25 ⁰C, the proposed printed-sensors operated efficiently throughout a wide concentration range of 1.0 × 10−7–1.0 × 10−2 mol L-1 response of 59 mV decade-1 with LOD of 5.0 × 10–8 M but carbon paste shows a slope of 58.98 mV decade-1 with LOD of 1.0 × 10–7 M. This response was over pH 2.5–7.5 within 7s and 8s for PVC-printed and carbon past respectively. The PVC printed sensors showed a lifetime of 70 days with acceptable repeatability using ANOVA single value. The proposed sensors exhibited strong selectivity towards oxytrol (I) ion over various valent-cations, including K(I), Cr(III), Mn(II), and other transition metals, as well as some sugars. The assessment of oxytrol achieved a high accuracy of 97.94–99.72% via the standard addition and calibration method. Additionally, comprise its concentration in samples, including canned drinks such as Coca-Cola, and natural juices like apple, berry, and pomegranate, using high-performance liquid chromatography (HPLC) outcomes and proposed method. The recovery percentages ranged from 98.00 to 99.27%, with satisfactory low standard and relative standard deviation values < 5, via statistical ANOVA, Design Expert for producing an ideal model with other parameters.
Similar content being viewed by others
Introduction
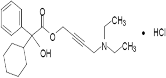
Oxytrol or what called (Oxybutynin, Oxybutynin hydrochloride, R/S Oxybutynin) is a medicine for treatment the symptoms of bladder with over activity under category of an antispasmodic, Para sympatholytic or calcium channel blocker and local anesthetic with many trade name as ditropan, ditropan xl, oxytrol as shown in Fig. (1)1,2,3. Oxytrol, which is an anticholinergic agent, has the IUPAC name 4-(diethylamino)but-2-ynyl-2-cyclohexyl-2-hydroxy-2-phenylacetate4. It is a white, odorless, and soluble in water and acids powder, but insoluble in alkalis. It is removed from the body primarily by hepatic metabolism, having a pKa value of 8.045.
The reason for choosing this active material for assessment is its benefits, but also its side effects, interactions with many diseases, in addition to its overdose (toxicity) effect, which has recently been recommended. Its usage was appearing in the shape of treatment of urinary urgency, frequency, and incontinence in addition to nocturnal enuresis. It relaxes the bladder muscles to increase their ability to hold more liquid1,2,3,4. It is only available with a physical prescription. It comes in a variety of forms, including pills, slow-release tablets (which release over time), liquids, and transdermal patches. For adults and children aged 12 and above, the usual beginning dosage is 5 mg, given twice or three times daily. Also, the starting dose for the patch is 3.9 mg twice a week. More than this recommended dose daily is considered an overdose and toxicity. The amount of overdose is not constant; it differs from one person to another4,5,6,7. A dry mouth, constipation, feeling dizzy or sleepy and blurred vision are all considered its typical side effects. It can make you very sleepy with alcohol. It is not suitable for some people who had an allergic reaction to oxytrol, Myasthenia gravis is an uncommon, long-term disorder that causes muscular weakening which appear recently in case of many athletics, glaucoma, enlarged prostate, heart problems, hypertension, thyroid, renal and hepatic problems, dementia or cognitive impairment – oxytrol may make this worse, severe constipation, toxic mega colon, and a hiatus hernia7,8. Taking more than your prescribed dose of oxytrol can be dangerous. It can cause symptoms including: Seeing or hearing things that are not there (hallucinations), Feeling excited, dilated pupils, irregular heartbeat, difficulty urinating, diarrhea, vomiting, and vertigo. These common side effects of oxytrol may affect more than 1 in 100 people7,8.
For its analysis, many methods such as polarography9, spectroscopy10,11,12,13, HPLC14,15,16, and polymeric membrane17 were performed. Ion-selective sensors, such as carbon paste or printed sensors which are based on potentiometric determination of concentrations for many metals, anions, and active materials of some drugs, such as oxytrol. It was chosen for its simplicity, adequate stability, accuracy, and selectivity, with a low limit of detection, making it applicable in colored and turbid solutions. In addition, it is portable with long-life sensors, especially screen-printed electrodes, which is just a film sheet about (5*35 mm) carrying the detector paste, with the ability to design in any shape using a polyvinyl flexible sheet (0.2 mm). It was considered the best available technique for routine daily assessment.
As shown in supplementary Fig. 1, the present work deals with the usage of arrays of electrodes and carbon paste sensors for assessment the oxytrol(I) ions and its characterization. This is the first time it has been determined using potentiometric methods in food samples, such as coca and fresh juices. Using PVC polymer, printed or graphene, which increases the sensitivity of the sensor. The parameters that will affect the performance of the sensors, such as ionophore amount, plasticizer or solvent mediator (binder), effect of H+ ion, and temperature, as well as selectivity and lifetime of the sensor paste, were studied. It was used for assessment in its pure solutions, canned drinks such as Coca-Cola, and some natural juices like apple, berry, and pomegranate. Method validation parameters were studied using ANOVA, Design Expert for optimizing the best parameters for maximum desirability.
Results and discussions
Electrochemical behavior of sensors
Calibration was done by submerging the electrode in oxytrol solutions with a double junction Ag/AgCl reference electrode across a concentration range of 1.0 × 10–9–1.0 × 10–2 mol L−1 to acquire the electrochemical behavior. They were given time to become used to stirring and taking e.m.f. Readings. MoPA, WPA, Na-TPB, and other ion pairing agents (IPA) were used to create various sensors, while DOP, DBP, and TOCP were used to plasticize them. Table 1 and Table 2 showed 16 different designed carbon sensors in addition to about 18 printed PVC sensors, respectively. It was demonstrated that printed-sensors with 3, 12 mg of MoPA, WPA sensor I, II respectively which both plasticized with DOP showed potentiometric response in the linear range (L.R.) from 1.0 × 10–7 to 1.0 × 10–2 mol L−1 with Nernstian slope values were 59.50 ± 0.26, 59.10 ± 0.49 mV decade−1 but in case of carbon paste with 15 of MoPA which plasticized with TOCP (sensor III) showed the best Nernstian slope of 58.98 ± 1.02 mV decade−1 in the concentration range from 5.0 × 10–6 to 1.0 × 10–2 mol L−1.
The best sensor composition, with the lowest amount of ionophore, was reprepared using graphene to enhance the sensor’s sensitivity. This was achieved by mixing graphite, graphene, DOP, and PVC in a 1:1:1:3 ratios with 3 mg MOPA, resulting in a value of 59.50 ± 0.26.with LOD of 5.0 × 10−8M.
Binder mediators
In liquid membrane electrodes, the plasticizer’s (binder’s) function is comparable to that of the organic solvent and affects the electrode’s sensitivity and selectivity18. The effect of plasticizer was studied as ICPE and ISPEs using different binders, such as DOP, TOCP, or DBP. It is found that the sensor plasticized with TOCP and 15 mg MOPA can give the highest slope, equal to 58.98 mV decade−1. On the other hand, ISPEs plasticized with DOP and 3,12 mg of MOPA, WPA, respectively give the highest Nernstian slope about 59.50, 59.10 mV decade−1, respectively in comparison with the other electrodes which their slope’s values were either too high or low which don’t obey the mono-valent Nernstian slop19.
ANOVA computational data
As shown in Fig. 2, 3, 4, which expresses the optimization of the content and types of ionophores and plasticizers to the maximum desirability and slope target according to the design expert and ANOVA20,21.
Choosing the kind of solvent mediator (binder) and ionophore content (mg) that best enhance sensor performance was part of the initial design. Numerous sensors using three distinct solvent mediators (DOP, DBP, and TOCP) were part of the design. A prediction model was created using the Design Expert 10, utilizing experimental data from22,23. The model demonstrated that the amount of ionophore in the paste and the kind of binder had a substantial impact on the slopes that were achieved.
Fig. 2 (A, B, C, D) depicts PVC-polymer printed sensor I. Fig. 2A illustrates the 3D curve of 3 mg of MoPA plasticized with DOP. It was demonstrated that the highest slope was attained among the changes in the content of the tested ionophore, which maximized the attractiveness of the model, displaying the influence of the unique composition. Fig. 2B illustrates that the errors follow a normal distribution. This is obvious from the standard probability plot of residuals, which revealed that the errors followed a linear trend. The ideal condition is for the standard residual plot to follow a linear trend, indicating that there are no anomalies. The data does not have to coincide with the line perfectly. The“fat pencil”test is an excellent guideline. If you can obscure all the data points by drawing a thick pencil over the line, the data may be considered enough to conform to a normal distribution. Regarding this situation, the method appears satisfactory. The relationship between the projected removal percentages and the investigational fallouts is shown in Fig. 2C, where the error distribution is normal along a straight line, indicating that the model is acceptable and that the observed and forecasted values are statistically comparable. The residuals and expected findings showed a significant connection (Fig. 2D).
Similarly, Figs. 3 and 4 show the findings of PVC-polymer printed sensor II, which contains 12 mg of WPA plasticized with DOP, and carbon past sensor III, which contains 15 mg of MoPA plasticized with TOCP. This proves that the resulting model’s highest probability plot has an appropriate error distribution between the expected and actual values. In addition, the values have a normal probability, and the residuals and projected results agree well.
Surface characterization
In this part, the scanning electron microscope (SEM) was used for surface characterization of the electrodes. The image of SEM showed a more uniform surface topography, as shown in Fig. 5A. Incorporation of an ion pairing agent in the paste, followed by soaking the sensor in 1.0 × 10–3 mol L−1 of oxytrol for one hour, resulted in the formation of oxytrol-ion pairs at the surface of the electrode, where the plasticizer aids in the mobility of oxytrol from the solution into the paste, as proved in Fig. 5 B.
Results of EDX analysis confirmed the binding between oxytrol and the ion pairing agent. They ruled out the presence of chlorine and nitrogen elements after soaking, indicating the composition of oxytrol HCl. This finding demonstrates the ability of the MoPA ionophore to bind with oxytrol.
The electrodes are based on the interaction of the ion pairing agent, like (Na+TPB-), with the oxytrol [Ox+Cl-] to form the ion pair by electrostatic attraction. A mechanism of this interaction is explained in Supplementary Fig. 5.
H+ ion effect
The impact of H+ ions on sensor performance was measured in 1.0 × 10−3 and 1.0 × 10−5 M of oxytrol solutions across the pH range of 2–9. Aliquots of diluted sodium hydroxide or hydrochloric acid solutions were added to progressively raise or lower the pH, accordingly. At every pH, the potential was measured and recorded. The stable potential readings of printed sensors in the pH range of 2.5–7.5, 2.5–6.0 for sensors I and II, and 2.5–5.5 for carbon paste are evident from Fig. 6. They revealed that the potential response remained constant across the ranges of 2.0–6.0 and 2.5–5.5, using buffer solutions of acetate or phosphate. While competitive proton binding most likely generated high potential readings in the low pH range, the shift at higher pHs may have been caused by the production of hydroxide precipitate, which will reduce the number of free ions and lower the potential reported24.
Lifetime of paste
The performance of the sensors was studied where the electrodes (I–III) were calibrated on different days, recording the corresponding slopes. Fig. 7 shows that the lifetimes of printed paste were 70 and 65 days for sensors (I, II), respectively, without any preconditioning before use, and no significant change from Nernstian slope. In the case of carbon paste (sensor III), the electrode surface required refreshing by scratching and rinsing in distilled water to eliminate the memory effect. We found that the lifetime of the paste was 50 days25.
Temperature
The performance of potentiometric sensors was tested at temperatures ranging from 10 to 60 °C, and each sensor’s isothermal coefficient (dE°/dT) was determined using the equation that follows16. To calculate Ecell°, take Ecell° (25) + (dE°/dT) (t – 25). The electrode provided an excellent Nernstian response between 10 and 60 degrees Celsius. The isothermal coefficient of printed sensors, which were determined to be 1.323 and 0.737 mV/℃ for sensors I and II, respectively, and 0.734 mV/℃ for carbon paste (sensor III), was represented by the slope of the straight line produced. The tiny isothermal coefficient value shows that the suggested electrodes have excellent thermal stability in the 10–60 ˚C temperature range without deviating from the Nernstian slope.
Response time
With serial immersion of a series of oxytrol solutions, each with a tenfold change in concentration, the average time needed for the sensors to attain a constant potential response within ± 1 mV of the ultimate equilibrium value is examined. Fig. 8 makes it evident that these electrodes have quick reaction times, which are 8 and 7 s for carbon paste and both screen-printed sensors, respectively. This is because the best ion pairing agent content and a good solvent mediator, such as TOCP or DOP, are incorporated19,20,26.
Interfering ions affect
Both the separate solution method (SSM) and the matched potential method (MPM) can be used to measure potentiometric selectivity coefficients. The individual solutions approach was used to calculate the selectivity coefficient (kpotB, D) for each interfering secondary ion24,25,27,28. Selectivity coefficients were calculated via the following equations (Nicolsky equation): Log kpotB, D =\(\frac{(E2-E1)}{S}\) + (1-\(\frac{Z1}{Z2}\))log[oxytrol(I)], E1 and E2 are potential measured in 1.0 × 10–3 mol L−1 for Oxytrol (D) and interfering species (B), respectively. Z1 and Z2 are the charges of oxytrol and interfering species, respectively. S is the sensor’s calibration plot slope.
The matched potential approach, which is entirely independent of the Nicolsky equation, was used to determine the selectivity coefficients for a variety of nitrogenous substances, including sugars and starches. A reference solution containing a constant activity (aD) of primary ions is mixed with a known activity (aD’) of the primary ion solution, and the associated potential change (ΔE) is noted to calculate the selectivity coefficients via the MPM. The interfering species solution is then added to the reference solution until the exact potential change (ΔE) is achieved, at which point the interfering activity (aB) is noted. The following equation is applied: log K pot D, B = (aD’—aD)/aB.
The effect of several sugars and inorganic cations on the electrodes was examined, as shown in Fig. 9. As shown in Table 3, sensors’ selectivity coefficients demonstrate a preference for oxytrol over interferences. Interference is highly challenging with inorganic cations because of their disparate ionic sizes, motilities, and permeabilities. The primary reason for the remarkable selectivity in the case of sugars is the polarity and lipophilic nature of their molecules, in contrast to oxytrol.
Potentiometry and the standard addition method
Oxytrol HCl was assessed using the modified printed sensors by standard addition and potentiometric calibration.
Table 4 provides a summary of the data collected, and the findings were compared to the approved technique29. With high recovery percentages and RSD values less than 5, a statistical study of the results of pure oxytrol analysis using the suggested electrodes and the official technique (HPLC) revealed no discernible differences between the two methods.
Application
Also, oxytrol HCl was determined using the developed electrodes by potentiometric calibration in canned drinks as coca, some natural juices like apple, berry, pomegranate as shown in Table 5 which reflect the ability of using these sensors with their low LOD for determination of oxytrol in different real samples with high recovery in addition to the values of t test and f test support these conclusion.
Validation methods
The validation was conducted under optimal experimental circumstances using the criteria of the International Conference for Harmonization (ICH). For the standard oxytrol solution, linearity, accuracy, precision, specificity, limit of detection (LOD), and limit of quantification (LOQ) were all attained.
Values in Tables 6, 7, and 8 for sensors I, II, and III, respectively. It showed that there is good repeatability and reproducibility with low variation values, either in inter- or intra-day via application of ANOVA single factor as statistical analysis30.
LOD is the smallest amount of the chemical under investigation in the sample that can be detected at the junction (intersection) of the horizontal line indicating the voltage, which shows no or a constant response, and the extrapolated linear segment of the calibration curve, which represents the electrode’s normal slope (Supplementary Fig. 4). These sensors have high sensitivity and can be used to detect low concentrations of oxytrol, as demonstrated by the LOD of 5.0 × 10–8 M for screen-printed and 1.0 × 10–7 M for carbon paste, as shown in Table 9.
Accuracy is defined as how closely the obtained value is to the actual value. As Table (4), the % recovery ensure that this method have a high accuracy. In addition to the precision which is how results close to each other which expressed as relative standard deviation RSD of the replicated analysis.
R2 Regression coefficient have a great importance in analytical methods24,31,32 which even it closes than unity of the results, this supports the linearity and LOD of the data.
Comparison of the current study against the previous studies
Table 10 explains a comparison of the outcomes of this study with some recent studies for ion-selective oxytrol ion detection. This comparison included some factors like response time, pH, LOD, life time (L.T), linear range (LR), and slope. This sensor is simple, with many benefits, as this study improves the sensitivity of the sensor. So, it has the lowest LOD of screen printed reaches 5.0 × 10–8 than the previous studies, the widest linear range of 1.0 × 10–2−1.0 × 10–7 M, as well as a fast response time of 6 s, faster than the others, which takes a long time. As shown in Table 10, this study has a long lifetime sensor of more than 2 months (= 70 days) with good accuracy and repeatability, as shown in Tables 6–8, which proves the statistical evolution of the results. Also, when compared to traditional techniques like spectrophotometry or chromatography, the suggested potentiometric sensor, which is based on polymer-printed PVC and graphene oxytrol, provides substantial benefits in terms of green analytical chemistry. First, the technique satisfies several green chemistry principles by operating under ambient settings without the requirement for a significant energy input and without the need for reagents during measurement. Additionally, using printed electrodes reduces the amount of material used, and graphene, although being synthetically generated, provides long-term durability and sensor reusability, which lowers waste production33.
Experimental
Materials, reagents, and instruments
The reagents used throughout this study were of the highest purity available and at least analytical reagent grade. Deionized water was used in all tests, along with analytical reagent-grade chemicals and reagents. All glasses and containers were cleaned for use by soaking in 5 mol.L−1 HNO3 for a full day and then rinsing three times with deionized water. At the same time, dioctylphthalate (DOP), dibutylphthalate (DBP), hydrochloric acid (HCl), nitric acid (HNO3), and sodium hydroxide (NaOH) were supplied from BHD. Tritolyl phosphate or Tricresylphosphate (TOCP), polyvinylchloride (PVC with relatively high molecular weight), and graphite powder were supplied from Aldrich. Sodium tetraphenylboranuide (NaTPB) or (kalibor, kalignost), tungstophosphoric acid (TPA, WPA), aceton, and cyclohexanone were purchased from Fluka (Switzerland). Molybdophosphoric acid (MPA, MoPA) was purchased from Aldrich (USA). Lactose, fructose, maltose, sucrose, starch, CoCl2.6H2O, NiCl2.6H2O, MnCl2, KI, ZnCl2, NaCl, CdCl2, and CrCl3.6H2O were used as interfering materials, and they were purchased from El-Nasr Company, Egypt. Laboratory potential measurements were performed using a HANNA pH/mV meter model 211 (Romania). Silver-silver chloride double junction reference electrode (Metrohm 6.0222.100) in conjunction with different drug ion-selective electrodes was used. The scanning electron microscopic (SEM) image was recorded by a (Quanta FEG250) SEM (National Research Center, Egypt). Automatic Socorex Swiss pipettes (50–200 μL and 200–1000 μL) for volume transfer. For data analysis, Design Expert® software version 10 was utilized.
Preparation
Oxytrol solution
Stock active material solution 0.01 M was prepared by dissolving the proper weight in distilled water with stirring till completely dissolved.
Carbon paste
The paste of carbon was prepared by mixing definite amount of graphite powder with different plasticizers as TOCP, DBP or DOP with different amount (5–20 mg) of ionophore as metal phosphoric acid derivatives as (MoPA, WPA) or kalignost (Na-TPB), as shown all were placed in the mortar until they were homogenized in Table 1. As shown in Supplementary Fig. 2, the resultant paste is placed within a Teflon electrode holder that is powered by a piston and has a 2 mm end hole. The paste was stored in a cold, dry location and allowed to soak in deionized water for a full day before being utilized. Before testing, the paste’s surface was carefully cleaned and washed with distilled water26. Based on the potential (E), which was calculated using the Nernstian equation. The charge of the oxytrol(I) ion (z), the gas constant (R, 8.314 J.K−1.mol−1), the Faraday constant (F, 96,500 Coulombs mol−1), T in Kelvin, and E = Constant + 2.303 RT/z F log[oxytrol(I)].
Printed paste sensor
Disposal printed sensors are made by hand using a screen printer. The produced conductive ink was forced through a screen stencil’s mesh to print an array of 18 electrodes on a flexible X-ray film. The homemade printing ink was prepared by thoroughly mixing, the binding material plasticizer with carbon powder and using 3–15 mg ion pairing agent (IPA) as (MoPA, WPA and NaTPB), and PVC as polymeric binder which is dissolved in proper organic solvent, after printing and curing carbon tracks were deposited on the substrate with a final composition as Table 2 the past of screen printed contain constant amount of carbon, plasticizer as (DOP, DBP, TOCP), PVC with 2:1:3 with different ratios of ion pairing agent34.
They were printing and curing at 60 ˚C for 2 h. The prepared electrodes were stored at 4˚C in a refrigerator and can be used directly, as shown in Supplementary Fig. 3.
Sample preparation
Soft drink (Coca-Cola)
Coca-Cola was purchased from the Egyptian market, then nitric acid (5 M) was added to digest the soft drink sample (1:3%v/v). The added nitric acid removes organic material by decomposing it into carbon dioxide (CO2) and converts the metal present into soluble forms according to the equation: (CH2)n + 2HNO3 → nCO2 + 2NO + 2H2O. On a hot plate, the mixture was evaporated until it was digested. After being concentrated by evaporation on a hot plate to half its capacity, 50 ml of distilled water was added. To reach 50 ml, 25 ml of deionized water was then added37.
Fresh juice
Ten milliliters of concentrated nitric acid (HNO3) were added to five milliliters of fresh and packaged fruit juice samples in a beaker. The solution was then heated on a hot plate for an hour to lower the sample’s volume to one-third of its initial volume. After letting the digested sample cool, it was filtered into a 50 mL volumetric flask and diluted with water to the appropriate level. After that, the finished samples were kept in a refrigerator at 8 °C until they were analyzed38.
Conclusion
First, a comparison between the printed- and carbon past sensors that were constructed for assessment the oxytrol HCl over pH and temperature ranges shows that screen printed paste method have many benefits over carbon past in the shape of giving highest slope, long range concentration, fast response 7 s, longest life time, with low LOD 5.0 × 10−8 M, did not required preconditioning before applying all of these by using the smallest amount of ionophore 3 mg as sensor I. Furthermore, these electrodes were accurate and sensitive in determining oxytrol in solutions and fresh samples utilizing a simple calibration procedure. The concentration and type of ionophore and plasticizers were optimized using ANOVA and Design Expert, in addition to using ANOVA Excel single point to prove the reliability and reproducibility.
Data availability
Availability of data and materials: All data generated or analyzed during this study are included in this published article [and its supplementary information files].
References
A. S. Wiggins, T. Griebling. “Urinary Incontinence”. Landon Center on Aging (2012).
The United States Pharmacopoeia (USP 34). National Formulary (NF 29, 2011)
Diokno, A. C. & Lapides, J. Oxybutynin: A new drug with analgesic and anticholinergic properties. J. Urol. 108, 307–309 (1972).
Tonini, M. et al. Depressant action of Oxybutynin on the contractility of intestinal and urinary tract smooth muscle. J. Pharm. Pharmacol. 39, 103–107 (1987).
Miyamoto, E. et al. Physico-chemical properties of Oxybutynin. Analyst 119, 1489–1492 (1994).
https://www.nhs.uk/medicines/Oxytrol/side-effects-of-Oxytrol
Kerrebroeck, V., Serment, G. & Dreher, E. Clinical efficacy and safety of tolterodine compared to Oxybutynin in patients with overactive bladder (abst). Neurourol. Urodyn 16, 478–479 (1997).
Sweetman, S. Martindale (The Pharmaceutical Press. Electronic version, 2009).
Michelitsch, A., Likussar, W. & Schubert-Zsilavecz, M. Determination of oxybutynine hydrochloride by differential pulse polarography. Monatsh. Chem. 125, 1183–1187 (1994).
Wagieh, N. E., Hegazy, M. A., Abdelkawy, M. & Abdelaleem, E. A. Quantitative determination of oxybutynin hydrochloride by spectrophotometry, chemometry and HPTLC in presence of its degradation product and additives in different pharmaceutical dosage forms. Talanta 80(5), 2007–2015 (2010).
Walash, M. I., Belal, F., El-Enany, N. & Elmansi, H. Determination of oxybutynin in pharmaceuticals via reaction with mixed acids anhydrides: application to content uniformity testing. J. Flouresc. 21(2), 715–722 (2011).
Sonnia T. Hassib, Awatif E. Farag, Marianne A. Mahrouse, Eman A. Mostafa. International J. OF Pharmaceutical and chemical sciences 2(4): 2024-2032, (2013).
El Sheikh, R., Gouda, A. A. & Mahfouz, L. I. Spectrophotometric Determination Of Oxybutinine Hydrochloride By Ion-Pair Extractionin In Pharmaceutical Preparations. Int. J. Pharm Pharm Sci. 7(6), 272–277 (2015).
El-Gindy, A. High performance liquid chromatographic determination of oxeladin citrate and oxybutynin hydrochloride and their degradation products. Farmaco 60(8), 689–699 (2005).
Patrick, K. S., Markowitz, J. S., Jarvi, E. J., Straughn, A. B. & Meyer, M. C. Gas chromatographic-mass spectrometric analysis of plasma oxybutynin using a deuterated internal standard. J. Chrom. 487, 91–98 (1989).
Massoud, R., Federici, G. & Casciani, S. Extraction and determination of oxybutynin in human bladder samples by reversed-phase high-performance liquid chromatography. J. Chrom. 734(1), 163–167 (1999).
Heba, M., Ramadan, N. & El-Laithy, M. Polymeric matrix membrane sensors for stability-indicating potentiometric determination of oxybutynin hydrochloride and flavoxate hydrochloride urogenital system drugs. J. AOAC Int. 91(6), 1318–1330 (2008).
Fouad, O. A., Saleh, S. M. & Nasser, N. Green synthesized nano zero-valent aluminum with a solid-state potentiometric sensor for detecting tin ions in water and some canned food samples. Microchem. J. 211, 113088 (2025).
Fouad, O. A. & Mohamed, M. S. Wahsh, Gehad G. Mohamed, Maher MI El Desssouky, Maysa R. Mostafa. Modified carbon paste ion selective electrode for determining Cr(III) ions in aqueous solutions and some real samples using tetragonal zirconia nanoparticles. RSC Adv. 13, 11201–11214 (2023).
Kassab, R. M., Al-Hussain, S. A. & Muhammad, Z. A. Bis-thiosemicarbazone derivative, multiwall carbon nanotubes, and graphene electroactive materials for potentiometric selective assessment ANOVA: Single Factor of lead ion in various bovine tissues. Microchem. J. 210, 112876 (2025).
Al-Hussain, S. A. & Muhammad, Z. A. 1,4-Xylenyl-Spaced Bis-Thiazole for Electrochemical Modulating Cobalt Ions Potentiometric Sensor relies on ANOVA in Fresh and Canned Samples: Optimization and Sensitivity. Electroanalysis https://doi.org/10.1002/elan.12031 (2025).
Akram, W. & Garud, N. Design expert as a statistical tool for optimization of 5-ASA-loaded biopolymer-based nanoparticles using Box Behnken factorial design. Future J. Pharm. Sci. 7, 146 (2021).
Mostafa, M. R., Mohamed, G. G., Soliman, H. & Saad, A. S. Solid-state sensor for direct and real-time assay of p-phenylenediamine in cosmetics and herbal products. Electrochim. Acta 475, 143697 (2024).
Mostafa, M. R., Mohamed, G. G. & Fouad, O. A. Electrochemical and statistical study of Nickel ion assessment in daily children intake samples relying on magnesium aluminate spinel nanoparticles. Sci. Rep. 14, 16424 (2024).
Nasser, N., Wahsh, M. M. S. & Rizk, M. S. Estimation of trace element of strontium ion using ion selective electrode based on a ceramic cordierite nanoparticle in some vegetarian foods. Microchem. J. 199, 109978 (2024).
Fouad, O. A. et al. Fabrication and characterization of mullite nano-ceramic materials for use in carbon paste ion selective electrode to estimate carcinogenic Cd(II) ion in real and human samples. Microchem. J. 190, 108623 (2023).
Buck, R. P. & Lindner, E. Recommendations for nomenclature of ionselective electrodes (IUPAC Recommendations 1994). Pure Appl. Chem. 66, 2527 (1994).
Umezawa, Y., Buhlmann, P., Umezawa, K., Tohda, K. & Amemiya, S. Potentiometric selectivity coefficients of ion-selective electrodes. Part I. Inorganic cations (technical report). Pure Appl. Chem. 72, 1851 (2000).
Britch pharmacopeia. 1, 2, CAS number 1508-65-2 (2014).
Mohamed, G. G., Soliman, H., Hammad, S. F. & Mostafa, M. R. Assessing the Appearance of Specific Metals in Select Food Samples via Flame Atomic Absorption Spectroscopy using Multi-Acidic Solutions Digestion (MASD). J. Indian Chem. Soc. 102, 101884 (2025).
Magdy, A., Moustafa, S. A. & Mohamed, G. G. Kinetics and adsorption isotherms Studies for the Effective Removal of Evans Blue dye removal from an aqueous solution utilizing Forsterite nanoparticles. Sci. Rep. 14, 24392. https://doi.org/10.1038/s41598-024-73697-x (2024).
Fouad, O. A., Adly, Y. M. & Hosny, W. M. Kinetics and process optimization studies for the effective removal of cresyl fast violet dye using reusable nanosized mullite. Sci. Rep. 14, 32164 (2024).
Elhassan, M. M., Mahmoud, A. M., Hegazy, M. A. & Mowaka, S. A Newly Fabricated Electrochemical Sensor for Apomorphine Detection in Human Plasma. J. Electrochem. Soc. 172(5), 057514 (2025).
Mohamed, G. G., Ali, T. A. & Mohamed, M. E. Electrochemical Performance of Screen Printed Sensors for Potentiometric Determination of Anticholinergic oxybutynine Hydrochloride in Pharmaceutical Formulations and Biological Fluids Egypt. J. Chem. 63, 1999–2009 (2020).
El-Attar, R. O., Hendawy, H. A. M. & Khaled, E. Potentiometric screen-printed sensor for determination of Oxytrol hydrochloride. J. Iran. Chem. Soc. 17, 3019–3029 (2020).
Mostafa, M. R. & Mohamed, G. G. Potentiometric determination of oxybutynin hydrochloride in pharmaceutical formulations at modified carbon paste electrodes. Indian J. Chem. 59, 324–332 (2020).
Woyessa, G. Determination of the level of some trace and heavy metals in some soft drinks of Ethiopia. Int. J. Curr. Res. Chem. Pharm. Sci 2, 84–88 (2015).
Subedi, S., Adhikari, D. & Poudel, B. R. Determination of heavy metals in varieties of fresh and packaged fruit juices along with powdered fruit drink mixes in Kathmandu Valley. J. Balkumari College 11, 63–69 (2022).
Funding
This work was supported and funded by the Deanship of Scientific Research at Imam Mohammad Ibn Saud Islamic University (IMSIU) (grant number IMSIU-DDRSP2502).
Author information
Authors and Affiliations
Contributions
Maysa R. Mostafa: Methodology, Resources, Writing – original draft. -Gehad G. Mohamed: Project administration, Writing – review & editing, Supervision. -Omar A. Foad: Data correction, Software, revision -Magdy E. A. Zaki:, Statistics, Conceptualization, editing.
Corresponding authors
Ethics declarations
Competing interests
The authors declare no competing interests.
Additional information
Publisher’s note
Springer Nature remains neutral with regard to jurisdictional claims in published maps and institutional affiliations.
Supplementary Information
Rights and permissions
Open Access This article is licensed under a Creative Commons Attribution-NonCommercial-NoDerivatives 4.0 International License, which permits any non-commercial use, sharing, distribution and reproduction in any medium or format, as long as you give appropriate credit to the original author(s) and the source, provide a link to the Creative Commons licence, and indicate if you modified the licensed material. You do not have permission under this licence to share adapted material derived from this article or parts of it. The images or other third party material in this article are included in the article’s Creative Commons licence, unless indicated otherwise in a credit line to the material. If material is not included in the article’s Creative Commons licence and your intended use is not permitted by statutory regulation or exceeds the permitted use, you will need to obtain permission directly from the copyright holder. To view a copy of this licence, visit http://creativecommons.org/licenses/by-nc-nd/4.0/.
About this article
Cite this article
Mostafa, M.R., Zaki, M.E.A., Mohamed, G.G. et al. Electrochemical investigation of oxytrol in fizzy drinks and juices via graphene and polymer printed PVC by ANOVA and design expert. Sci Rep 15, 28095 (2025). https://doi.org/10.1038/s41598-025-12803-z
Received:
Accepted:
Published:
Version of record:
DOI: https://doi.org/10.1038/s41598-025-12803-z
Keywords
This article is cited by
-
Kinetic and isotherm study of Ni-MOF/Magnetite nanoparticles adsorption capacity as green synthesized adsorbent towards rhodochrome (Kammererite)
Scientific Reports (2025)
-
ANOVA and design expert model for discoloring of azo benzene derivative dye used mesoporous aluminum silicon oxide nanoparticles
Scientific Reports (2025)
-
Removal of 2,4 di-nitrophenol by using modified spinel aluminate/chitosan nanoparticles composites
Scientific Reports (2025)











