Abstract
When a vagina is dysfunctional or absent, a neovagina is typically created using an intestinal or dermal graft. This causes complications and complaints from different inherent tissue properties. We recently developed an organ-specific matrix from healthy, human vaginal wall tissue by decellularization, and demonstrated native-like matrix protein composition and mechanical properties. However, the preservation of its vascular structures is unknown, but plays a crucial role for recellularization, tissue survival and graft integration during clinical applicability. Therefore, in this explorative study the vascular architecture of human native and decellularized vagina tissue were assessed and compared. Micro-computed tomography (micro-CT) was used to analyze and quantify the three-dimensional micromorphology of blood vessels within native and decellularized human tissue. The vascular density, connectivity, length and thickness was determined for 11 test volumes from three healthy transgender donors. At a 5 μm isotropic voxel size resolution, quantitative assessment demonstrated no significant changes of the vascular density upon decellularization. However, significant decellularization-induced changes were seen for vascular connectivity (P < 0.001), vascular thickness (P < 0.01) and vascular length (P < 0.001). Micro-CT imaging is an effective strategy for high-resolution analysis of blood vessel structures in human (vaginal) tissue, and in bio-engineered tissue constructs. Despite significant loss of small capillaries, preservation of vascular architecture in chemically decellularized tissue was confirmed for large vascular structures through intra-patient comparison with native tissue. This validates an important aspect and predictor for functionality of a human vagina-specific matrix in terms of graft survival and integration.
Similar content being viewed by others
Introduction
When a functional vagina is absent, this hampers an individual’s quality of life and psychological well-being1. By surgical reconstruction, known as vaginoplasty, a neovagina can be formed with natural-like function and sensation2,3,4,5,6. Generally, this involves recreation of the vagina wall using autologous intestinal or dermal grafts, resulting in well-reported limitations, risks and drawbacks1,6,7,8,9,10,11,12,13,14,15,16,17,18 due to inherently different tissue properties. The difficulty of mimicking the complex vagina especially concerns its physiology for secretion of discharge, and its unique mechanical properties to support pelvic organs while allowing large deformations during vaginal intercourse and childbirth19. Hence, human vagina-derived decellularized matrices can provide a valuable resource, as they often contain native ECM structures, composition and mechanical properties20. However, for their natural viscoelastic properties21, decellularized vaginal matrices (DVMs) rely on complete preservation of the extracellular matrix (ECM) and ECM proteins like collagen and elastin. In our previous study, we constructed a human-derived DVM with adequate mechanical responses but also a seemingly visual reduction of collagen and elastin20. Next, to prepare the clinical applicability of human DVM as vagina transplant, (creation of) a vascular system is needed.
In biomaterials, like our DVM, a vasculature allows (in)growth of blood vessels and nerves, matrix recellularization and its survival, especially at sizes approximating the human vaginal anatomy. In addition, angiogenesis and vasculogenesis, together with neurogenesis, are required for successful DVM integration and functionality22. An artificial vasculature can be constructed with neo-vascularization by cells or biological factors, 3D- or bio-printing, or micro-perforations with needles, but this might not be necessary. Studies have shown the intact ECM of native vasculature in decellularized liver23,24, heart25,26 and kidney27,28. Furthermore, histological observations of our DVM20 demonstrated vascular-resembling features (Fig. 1). However, the vascular wall consists of cells and an ECM architecture with laminin, collagen, elastin and glycosaminoglycans (GAG). With the chemical removal of cells, and potentially that of collagen and elastin, the preservation of a vascular architecture in our DVM is thus uncertain. Furthermore, this preserved vasculature might differ for the Müllerian duct-derived (proximal, mesoderm) and urogenital tract-derived vagina (distal, endoderm)29 despite similar native microvessel quantities30, as these differ in epithelium layer thickness31. Therefore, this study aims to compare the blood vessel density of native vaginal tissue with DVM of mesodermal and endodermal origin from the same individual, as an indicator for preservation of the vascular architecture upon decellularization for DVM survival and integration upon implantation. In broader perspective, we want to determine whether the vascular architecture in DVM is preserved or that a neo-vascularization approach is needed before seeding of the DVM with cells.
To investigate the vasculature, micro-computed tomography (micro-CT or µCT) is especially suitable as it allows 3D imaging with high reproducibility, excellent spatial resolution and high-throughput analysis32. Meanwhile, techniques like histology and fluorescence microscopy are limited in penetration depth, their study area or 2D rather than 3D nature33,34. Especially for visualization and quantification32 of micro-vessels (around 10–50 μm in diameter)35,36 that deliver oxygen and nutrients to cells37, the 1-µm spatial resolution34 of contrast-enhanced micro-CT38,39,40 is valuable. Here, the three-dimensional micromorphology of blood vessels will be visualized and the blood vessel density (BVD) quantified with micro-CT for intra-patient comparisons of native vaginal tissue, decellularized endodermal tissue and decellularized mesodermal tissue. The aim of this explorative study is to determine potential preservation of the vascular architecture in human-derived DVM, as this would allow future recellularization without need for neo-vascularization.
Materials and methods
Surgical procedure
Vaginal tissue from three healthy transgender patients (Appendix A1) was retrieved during colpectomy at Amsterdam UMC (the Netherlands) between January-December 202320. Written informed consent for experimental use of resected vaginal tissue was obtained from all patients at least one month preoperatively. Their donation had no consequences for their psychological or medical transition. All tissue donors were presurgically exposed to androgen by testosterone injection (Nebido [Bayer Healthcare], Sustanon [Aspen]) or testosterone gel (Androgel [Besins Healthcare]). As no remarkable differences exist in the microvessel density of healthy genotypical males and females41, hormonal therapy is assumed to have no impact. Robotic-assisted laparoscopic colpectomy (daVinci XI system, Intuitive, Madrid, Spain) was performed42, as part of a patient’s medical transition. Vaginal epithelium was carefully dissected with monopolar scissors, and fenestrated bipolar forceps were used to minimize bleeding43. Vaginal tissue from epithelium, lamina propria and smooth muscle layers was removed in three rings, to maximize sample size without increasing surgical risks for the donor. Adventitia was preserved to prevent fistulas to bladder, urethra or rectum, nerve injury to adjacent structures, and bleeding from the perivaginal plexus43. The vaginal apex was laparoscopically closed with a suture. The surgically retrieved vaginal tissue was directly stored in phosphate buffered saline (PBS - Fresenius Kabi, Zeist, Utrecht, the Netherlands), pH 7.4, on ice for a maximum of 4 h until decellularization.
Donated vagina tissue and chemical decellularization
Donated vaginal wall rings were researched anonymously. Any supplementary donor information was provided by the medical physician using coded sample description [VAG0##], the patient surgery date and Medical Dossier Number (MDN). Per patient three vaginal rings were retrieved, of which one mesodermal and one endodermal ring were chemically decellularized20, and a second mesodermal ring functioned as intrapatient native control. In brief, minimally required concentrations of Triton X-100, sodium deoxycholate and DNase I44,45 were applied for decellularization with minimal impact on vascular structures46,47. Exposure was limited to 24 h to minimize damage to the ECM structure and proteins46. Decellularization was initiated within 4 h, by 24 h incubation at 37 °C with constant agitation (100 motions/min) in 0.18% w/w Triton x-100 (Sigma-Aldrich, st. Louis, MO, USA) and 0.015% w/w sodium-deoxycholate (Sigma-Aldrich, st. Louis, MO, USA) in PBS48. Next, tissue was washed twice for 20 min in PBS, followed by 72 h at 4 °C with constant agitation in PBS with 1% PS (100 U/mL penicillin and 100 µg/mL streptomycin; Life Technologies Europe BV, Bleiswijk, Zuid-Holland, the Netherlands). Enzymatic digestion involved 24 h incubation at 37 °C with DNase I (150 IU/mL; Sigma-Aldrich, St. Louis, MO, USA) and 50 mmol MgCl2 (Sigma-Aldrich, st. Louis, MO, USA) in PBS. Lastly, 24 h incubation at 4 °C was performed with constant agitation in PBS with 1% PS, followed by an extensive PBS wash. The total protocol duration was 6 days. In our previous publication, successful decellularization was tested20 and confirmed through application of acellular criteria from in-vivo remodeling-reports46.
Sample preparation microcomputed tomography
Vagina wall tissue (after decellularization) was fixed for 24 h in 4% paraformaldehyde (PFA) (w/v) in PBS (pH 7.4) at room temperature (RT). Tissue was stored at RT in a storage solution (0.2% PFA in PBS) until staining with 3.75% B-Lugol49 made from 7.5% Lugol’s solution (from 15% stock with 10 g KI and 5 g I2 dissolved in 100 mL bi-distilled water)50,51 and 2x Sorensen’s buffer (190.2 mM Na2HPO4 and 75.8 mM KH2PO4 to pH 7.2) in an 1:1 ratio. B-Lugol was used to enhance contrast of blood vessels while preventing typical soft-tissue shrinkage and associated artefacts when using unbuffered Lugol52,53,54,55. Tissue was stained a minimum of 24 h in B-Lugol at RT. Samples were rinsed with PBS for 3 h and mounted in 1.5% agarose in PBS to prevent movement artefacts during micro-CT scanning. This allowed non-invasive visualization of blood vessels and their branches, with a nominal resolution of 5 μm voxels (see Movie 1, 2 and 3).
Microcomputed tomography with volumetric analysis and reconstruction
The 3D blood vessel micromorphology was visualized for native vagina wall tissue (only mesodermal tissue as positive control, since BVD of native mesoderm and endoderm vaginal tissue are equal30) and after chemical decellularization of endodermal and mesodermal vagina wall tissue. To correct for biological variation, blood vessel density was averaged over 11 volumes from three patients (n = 11). Tissue was imaged with a Phoenix Nanotom M (GE Sensing & Inspection Technologies GmbH, Germany) micro-CT at UC Louvain (Brussels, Belgium) with the following settings: X-ray tube voltage = 60 kV, X-ray tube current = 300 µA, exposure time = 500 ms, Filter = 0.2 Al, voxel size = 5 × 5 × 5 μm. The scan time depended on the field of view, which was determined with a rapid pre-scan and applied over all samples. Before segmentation, imaging of entire specimen was performed to assess spatial vessel density differences and to rule out anomalies. The images were imported and segmented semi-automatically in AMIRA 3D software (version 2021.2, Thermo Fisher Scientific, USA)56. A threshold intensity value was applied to prevent biased segmentation, and was manually checked and corrected for deviations. One large Volume of Interest (VOI) of 1 × 2.45 × 1.87 mm3 = 4.6 mm3 was analyzed per specimen for 3D animation of vascular structures. Quantitative analysis of vascular volume57 was performed with an additional 4.6 mm3 tissue from two other biological replicas, with 5 volumes per specimen of 1 × 0.49 × 0.935 mm3 = 0.46 mm3 each. The five VOIs were randomly selected for the first sample and evenly dispersed throughout the tissue volume, without displaying tissue features like blood vessels (blinded). The same VOI coordinates were used for sequential samples. Tissue volume, vascular volume, vascular length and vascular thickness were automatically computed from the segmented volumes. Next, the vascular density (total vasculature volume / total tissue volume*100%) and vascular connectivity (number of vasculatures / total tissue volume) were calculated.
Statistical analysis
For 3D animation of vascular structures, weighted means were applied to correct for volumetric inconsistencies between biological replicas. Statistical analysis was performed on native mesodermal tissue (positive controls) and decellularized vaginal wall tissue of mesodermal and endodermal origin, to identify significant differences in density of vasculature. The weighted t-test was applied and results were expressed as mean with weighted standard deviation (WSD). Data were analyzed using the software Statistical Package for the Social Sciences version 28.0.1.1 for Windows (IBM Corp., Armonk, NY, USA). The p-value was obtained in a weighted, one-tailed paired t-test and was considered statistically significant for *p < 0.05, **p < 0.01 and ***p < 0.001.
Method statement
The experiments were reported in accordance to STROBE guidelines.
Ethical approvement statement
Tissue collection and experimental usage was approved by the institutional Medical Ethical Examination Committee of Amsterdam UMC location VU Medical Center (Amsterdam; IRB approval by METc VUmc registration number 2018/3190, October 2018) and performed according to the relevant guidelines and regulations.
Results
Reconstruction of vascular network in human native vagina and after decellularization
Vagina wall tissue from three healthy transgender patients (Table S1) was included to reconstruct vascular networks for qualitative assessment. Vessels and their vascular branches can be distinguished from the micro-computed tomography (micro-CT) acquisition and were segmented for 3D reconstruction (Fig. 2). Depending on the plane of view, mostly cross or longitudinal sections of blood vessels can be observed. Vascular networks of native human vaginal wall (positive control) were distinguished and 3D reconstructed (Fig. 3A and Movie 1), as well as vascular features after chemical decellularization in human vaginal tissue of mesodermal origin (Fig. 3B and movie 2) and of endodermal origin (Fig. 3C and Movie 3). Visual representation of the analyzed Volume of Interests (VOIs) demonstrates that vascular structures in decellularized vaginal matrix of mesodermal and endodermal origin are comparable to that of native vaginal tissue, and seem to remain intact.
Anatomical micro-CT imaging of human native vagina and after decellularization
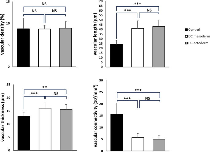
Micro-CT imaging was performed at a nominal resolution of 5 μm voxels. This is in theory sufficient to detect even small and newly formed blood vessels, that are typically smaller than 35 μm. Upon quantitative inspection of the microvasculature, blood vessels as small as 5 μm were observed. Density of vascular structures (Table 1; Fig. 4) in vaginal wall tissue (positive control) ranged from 2.9 to 44.9%, with a weighted average of 8.7 ± 2.5%. After decellularization, the vascular density was 2.0-19.2% with a weighted average of 8.7 ± 0.9% for mesoderm sections (P = 0.931), and a vascular density range of 1.6–23.5% with a weighted average of 8.9 ± 1.5% for endoderm sections (P = 0.893). The decellularized vagina sections did not significantly differ in vascular density (P = 0.721).
Based on visual and quantitative assessment, vascular networks of human vaginal wall tissue before and after decellularization demonstrate no density differences of statistical significance. A significant reduction of the vascular connectivity was seen from 15.7 × 103 structures/mm3 in vaginal wall tissue (positive control) to 5.7 × 103 structures/mm3 in decellularized mesoderm sections (P < 0.001) and to 5.0 × 103 structures/mm3 in decellularized endoderm sections (P < 0.001). The average thickness per vascular structure increased significantly from 12.9 μm in vaginal wall tissue (positive control) to 16.1 μm in decellularized mesoderm sections (P < 0.001) and 15.6 μm in decellularized endoderm sections (P < 0.01). Furthermore, the average length per vascular structure increased significantly from 24.1 μm in vaginal wall tissue (positive control) to 41.1 μm in decellularized mesoderm sections (P < 0.001) and 43.3 μm in decellularized endoderm sections (P < 0.001).
Discussion
Key findings
This study performed imaging of 3D vascular structures to gain insight in potential preservation thereof in human decellularized vagina. We previously developed a human-derived DVM, which contained known (and perhaps also unknown or undiscovered) essential biomolecules with sufficient mechanical properties. However, its clinical success greatly relies on the presence of a tissue-engineered or preserved vasculature. This would allow recellularization, matrix integration and prevent surgical complications such as poor graft function and partial or complete graft loss. Although vascular-like structures were visible in DVM during previous histological assessment, vascular structures might not be (completely) preserved due to the removal of cells, and potentially collagen and elastin20. Therefore, in this explorative study we wanted to assess microvascular preservation by qualitative and quantitative analysis of the vascular architecture in native and decellularized vaginal tissue. Contrast-enhanced ex-vivo micro-CT was used for high-resolution visual analyses on 3D micromorphology of blood vessels. The anatomical information of native and decellularized vagina wall tissue was compared and both 3D reconstructions upon visual inspection demonstrated heterogenous blood vessel distribution with seemingly intact, mature vasculature. Mean blood vessel density of native and decellularized vaginal tissue were not significantly different, despite reduced connectivity with increased average thickness and length of vascular structures. This indicates significant loss of thin and short vascular structures, but with preservation of the larger microvascular architecture in endodermal and mesodermal DVM.
Interpretations
Tissue vasculature is commonly investigated at high resolution by 2D-visualization, with limited scan area or by destructive methods (e.g. histology, immunofluorescence). However, 2D-imaging of vessels is limited in accuracy and is therefore an insufficient approach to study or diagnose angiogenesis58. Considerable research has utilized micro-CT for in -vivo imaging of anatomical anomalies and for assessment of vascular structures in/ex-vivo32,33,35,3752]–55,59. Yet, visualization of vasculature in tissue-engineered or decellularized constructs by micro-CT is sparse60. In this study, contrast-enhanced micro-CT was used to visualize the vasculature in native and decellularized vaginal tissue. With the applied scan conditions, a 5 μm isotropic voxel size resolution was achieved that is in theory sufficient to image microvessels (10–50 μm in size). Visual inspection confirmed that the micromorphology could be distinguished from its surrounding, and in-house resolutions of 1 μm voxels (not published) have been achieved with this setup at longer scan times, implicating that the system did not limit our results. The 3D reconstructions demonstrated a seemingly heterogenous distribution of the vascular architecture, which confirms previous reports on the vascular angioarchitecture of the vagina61,62. Observations of raw micro-CT scans did demonstrate differences in predominantly cross or longitudinal sections dependent on the selected 2D plane, thereby illustrating the importance of 3D over 2D study accuracy.
For this study, transgender patients donated vaginal wall tissue that would otherwise be disposed. Hence, this relatively complete vagina wall tissue offers a valuable and ethical resource. With respect to our intra-patient comparison of blood vessel density to assess the effect of decellularization, no indication exists for hormone-induced changes. Although vaginal atrophy63 is a reported hormone-induced effect on the vaginal vasculature, pathological findings confirmed the absence thereof in our samples (Table S1).
The blood vessel density (BVD = volume of blood vessels/volume of tissue) is a well-established quantitative indicator for neo-vascularization or preservation of vasculature, especially when used in combination with the average vascular thickness, length and connectivity64,65,66. The BVD has previously been combined with immunohistology and micro-CT32,54,60 and was applied here to demonstrate the 3D micromorphology of human vaginal wall and of decellularized vaginal matrix. There was no statistically significant difference between the BVDs, thereby suggesting that vascular architecture is preserved upon chemical decellularization. However, the number of vascular structures in the tissue volume (connectivity) reduced, while the average thickness and length increased at the same time. this indicates a major loss of short and thin capillaries. Furthermore, in combination with the absence of significant BVD changes, this implicates preservation of the large and longer vascular structures. Similar findings with respect to vascular preservation have previously been reported for decellularized liver23,24, heart25,26 and kidney27,28. The vasculature consists of endothelial cells with extracellular matrix and proteins such as laminin, collagen, elastin and hyaluronan67. Our previous study confirmed (mostly) retained laminin, collagen and elastin20, and supports our current findings. However, we want to emphasize that due to cell removal, preservation of vascular architecture in this context only refers to the vascular ECM. Lastly, with 5 μm voxels, no visual holes were detected in the vascular architecture.
Implications
Compared to clinically applied imaging techniques for angiography and quantitative analysis of blood vessels (i.e. ultrasound, magnetic resonance imaging), micro-CT poses both advantages and disadvantages. Micro-CT is non-destructive, of low cost, with high resolution and high throughput, but requires X-ray exposure, and adjusted contrast enhancement. Furthermore, micro-CT requires either fast automated segmentation that is prone to errors in feature-dense, complex samples or manual segmentation that is more time-and labour-consuming34. In this study, we demonstrate that contrast enhanced micro-CT with 5 μm isotropic voxel size resolution is suitable for angiography of native and decellularized vaginal wall tissue. However, it can be applied to other native and tissue-engineered organs as well. Although in this study the blood vessel density, connectivity, average length and thickness were investigated, this 3D visualization method also allows quantification of parameters such as vessel distribution, orientation and branching. This information is especially relevant to study neo-vascularization or to identify tumorigenic angiogenesis32 for clinical use.
Beyond the impact of this micro-CT-based imaging method, the observed preservation of large-volume vasculature upon decellularization implies the potential of our decellularized vaginal tissue for clinical applications. Namely, preservation of the microvasculature or reconstruction of a neo-vasculature is essential for integration and survival upon implantation of a tissue-engineered human DVM. Although not part of this study, to ensure functionality of the preserved vascular ECM, we recommend future endothelization with host cells combined with animal-based validation experiments on long-term functional maintenance, blood flow capacity and absence of micro leaks. Ultimately, a complete and functional microvasculature in the DVM would allow for surgical connection to the patients’ blood supply and thereby guarantee graft survival.
Limitations
This work is accompanied by some limitations. Validation of blood vessel density, connectivity, length and thickness across the full vaginal wall was not possible under current conditions, as time-consuming manual correction after semi-automated segmentation roughly required 240 h per animation or 10 h per quantitative sample assessment. This might create a slight bias for biological reproducibility and vessel density variation throughout the vaginal wall (for example: BVD range 2–19% for 5 VOIs within one sample), which could be resolved by completely automated segmentation of the entire sample combined with machine learning techniques to select resembling threshold intensities across samples. Although we used clear features to set thresholds, automated segmentation would strengthen the reproducibility of the presented methodology albeit at higher financial costs. This also relates to the use of specimen from 3 patients (biological replicas). The use of few biological replicas does not invalidate our study as this is common across similar publications of micro-CT analysis of vasculature in mice53, and DNA quantification from decellularized organ-derived scaffolds24. In this study, we completely scanned and assessed vagina walls, and used 11 sections for intra-patient quantitative comparison per condition. Therefore, we believe this data provides a valid indication of vascular network preservation in human vaginal wall tissue upon chemical decellularization. However, clinical applications and future studies could benefit from completely blinded image analysis, to prevent any risk of observer bias or inconsistencies. Furthermore, large-scale follow-up studies are required to strengthening the statistical power of this explorative study.
The small dimensions of vascular trees limit this study. Quantitative analysis ruled out large leaks or major destruction of vasculature. However, the current resolution cannot fully guarantee the absence of micro holes in the preserved parts of the vasculature. Furthermore, as our previous study showed that cells are completely removed from the vaginal matrix20, it may be assumed that only the ECM of the vasculature remained intact. In the current state, this vascular architecture is likely to contain holes at prior cell locations, therefore not providing a functional structure. Nonetheless, the significant intact part of vascular ECM can be repopulated with host cells (particularly endothelial cells, smooth muscle cells and fibroblasts) for its functionalization, and eliminates the need for complex neo-vascularization techniques68. In addition, the vascular ECM plays a pivotal role in maintaining and regulating vascular functions69. Lastly, the results from this study play a crucial role for recellularization, tissue survival and graft integration during clinical applicability, as the ECM vasculature (even with perforations) could allow distribution of oxygen, nutrient and cells beyond the diffusion limit. We are currently performing follow-up studies for repopulation of the vascular ECM, after which assessment of its perfusion capability (i.e., by blood flow and systolic/diastolic state) are recommended to validate full functioning of the DVM vasculature.
Lastly, this study is limited by the sole use of micro-CT. The sole use of micro-CT (in combination with histology) is similar to previous studies28,37,54 and we want to emphasize, as explained previously, that this is not a crucial aspect for the validity of our study. Furthermore, for 3D visualization of the vasculature without destruction of the sample, micro-CT is a state-of-the-art method that offers the required resolution while no suitable secondary control method is available. Ultrasound, magnetic resonance imaging and electron microscopy carry distinctive disadvantages for whole 3D tissue scans (e.g. limited penetration depth, low resolution, sample destruction). However, alternative information on the functionality of the vasculature could for instance be investigated through immunofluorescence microscopy or scanning electron microscopy. These are both part of our follow-up study that focusses on repopulation of our human DVM.
Future perspective
Clinical applicability of bio-engineered vagina constructs relies on a viable matrix with suitable properties and the potential for repopulation with autologous cells. Our current study demonstrates that a human-derived DVM with mostly preserved vascular architecture is feasible. We are confident that our DVM therefore allows recolonization with host cells beyond the diffusion limit, which will facilitate tissue survival by recovery of any potential function loss of the vasculature. Furthermore, with the results from this study it is now possible to explore other potential challenges in the use of our DVM. Therefore, our follow-up studies address matrix sterility70, implant safety on cells and the use of autologous vaginal cells71 for (long-term) functionalization. Lastly, the applied micro-CT approach is in our opinion a feasible 3D application to (clinically) detect vaginal anomalies through distorted angiogenesis or blood vessel distribution. Thereto, machine-learning with complete automation is required, but the 3D reconstructions of this study can be used for initial assessment of AI-based approaches.
On a broader scale, we want to emphasize that this study was focused on the assessment of vascular structure preservation in DVM. To increase the generalizability of our findings, the results can potentially be used for cross-cohort and cross-study quantitative comparisons. For example, prior studies have reported a significant reduction of the total BVD in the vaginal wall due to low levels of estrogen at post-menopausal ages72. Large-scale follow-up of our study could be used to quantitatively assess the impact of duration-dependent, hormone-induced changes of the BVD. Similarly, large-scale studies with anomaly-free biopsies would allow investigation of hormone-induced BVD changes throughout pregnancy.
Conclusion
For patients with a dysfunctional or absent vagina, various surgical procedures are available for neovagina creation. These methods all depend on adequate vascularization for graft functionality and survival. In this study, micro-CT was successfully implemented for 3D reconstruction with quantitative analysis of the blood vessel density, connectivity, average thickness and length in vaginal tissue, to obtain insight in vascular preservation in a human-derived decellularized vaginal matrix. Vascular ECM preservation was confirmed, thereby paving the way for endothelialization and colonization with host cells to recover vascular functions for follow-up in-vivo studies and clinical trials. Combined with previous findings, the vascular architecture, microstructure, structural proteins and mechanical properties of our human DVM are important predictors for its functionality. This study thereby provides an essential proof-of-principle for future surgical translation of our decellularized vaginal matrix, but also offers a quantification method for other tissue-engineered constructs that could be implemented prior to in-vivo studies to predict their functionality in terms of graft survival and integration.
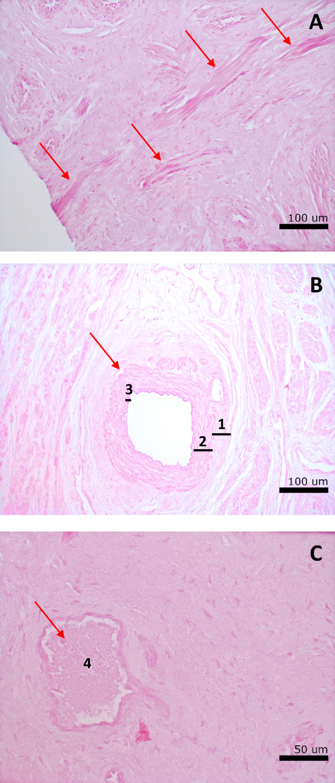
Histology of decellularized human vaginal matrix. histological assessment with haematoxylin- and eosin-staining of decellularized human vaginal tissue depicts vascular structures (indicated by red arrows). (A) Endodermal sample illustrates several longitudinal-sections of arteries. (B) Mesodermal sample demonstrates cross-section of an artery with clear tunica externa1, thick tunica media (muscle layer)2 and tunica intima3. (C) Endodermal sample illustrates cross-section of a vein, with thinner wall and muscle layer compared to artery. Large lumen visible4.
3D Reconstructive imaging of vasculature in human vaginal wall and vaginal matrix. 3D Reconstruction of vascular network in human vaginal wall by Micro-CT from manual segmentation of (A) native mesodermal tissue, (B) decellularized mesoderm sections and (C) decellularized endoderm sections. Reconstructions were performed for 3D animation of vascular structures on a large Volume of Interest (VOI) of 1 × 2.45 × 1.87 mm3 = 4.6 mm3 per specimen. Please note: scale bars vary in displayed size due to differences in VOI-orientations and maximization of the 3D reconstructed tissue to the image window.
Quantification of vascular network density = artery volume/tissue volume (%), in native vagina (control), decellularized mesodermal vagina (DC mesoderm) and decellularized endodermal vagina (DC endoderm). Quantitative analysis was performed on a large 4.6 mm3 tissue segmentation for animation and 10 additional volumes from two other biological replicas. These additional volumes, with 5 volumes per biological replica, were of 1 × 0.49 × 0.935 mm3 = 0.46 mm3 in size each. Densities are not significantly (NS) decreased after decellularization. Significance is specified as *P < 0.05, **P < 0.01, and ***P < 0.001. For Control and DC mesoderm, P = 0.931. For Control and DC endoderm, P = 0.893. For DC mesoderm and DC endoderm, P = 0.721.
Data availability
Data are available from the corresponding author upon reasonable request.
References
Callens, N. et al. Long-Term psychosexual and anatomical outcome after vaginal dilation or vaginoplasty: A comparative study. J. Sex. Med. 9(7), 1842–1851. https://doi.org/10.1111/j.1743-6109.2012.02747.x (2012).
Vecchietti, G. Creation of an artificial vagina in Rokitansky-Küster-Hauser syndrome. Attual Ostet Ginecol. 11(2), 131–147 (1965).
Ingram, J. M. The bicycle seat stool in the treatment of vaginal agenesis and stenosis: A preliminary report. Am. J. Obstet. Gynecol. 140, 867 (1981).
D’Alberton, F. & Santi, A. Formation of a neovagina by coitus. Letters 40(5), 763 (1972).
Frank, R. T. The formation of an artificial vagina without operation. Am J. Obstet. Gynecol. 1052–1055 (1938).
Lankford, J. C., Mancuso, P. & Appel, R. Congenital reproductive abnormalities. J. Midwifery Women’s Heal. 58(5), 546–551. https://doi.org/10.1111/jmwh.12020 (2013).
Cheikhelard, A. et al. Surgery is not superior to dilation for the management of vaginal agenesis in Mayer-Rokitansky-Küster-Hauser syndrome: A multicenter comparative observational study in 131 patients. Am. J. Obstet. Gynecol. 219(3), 281. https://doi.org/10.1016/j.ajog.2018.07.015 (2018).
Kölle, A. et al. Neovagina creation methods and their potential impact on subsequent uterus transplantation: A review. BJOG Int. J. Obstet. Gynaecol. 126(11), 1328–1335. https://doi.org/10.1111/1471-0528.15888 (2019).
Callens, N. et al. An update on surgical and non-surgical treatments for vaginal hypoplasia. Hum. Reprod. Update 20(5), 775–801. https://doi.org/10.1093/humupd/dmu024 (2014).
Edmonds, D. K., Rose, G. L., Lipton, M. G. & Quek, J. Mayer-Rokitansky-Küster-Hauser syndrome: A review of 245 consecutive cases managed by a multidisciplinary approach with vaginal dilators. Fertil. Steril. 97 (3), 686–690. https://doi.org/10.1016/j.fertnstert.2011.12.038 (2012).
Sueters, J. et al. Vaginoplasty for gender dysphoria and Mayer-Rokitansky-Kuster-Hauser syndrome: A systematic review. Fertil. Steril. Rev. 4(4), 219–236. https://doi.org/10.1016/j.xfnr.2023.10.002 (2023).
Karim, R. B., Hage, J. J., Dekker, J. J. M. L. & Schoot, C. M. H. Evolution of the methods of neovaginoplasty for vaginal aplasia. Eur. J. Obstet. Gynecol. Reprod. Biol. 58(1), 19–27. https://doi.org/10.1016/0028-2243(94)01954-6 (1995).
Liao, L. M., Doyle, J., Crouch, N. S. & Creighton, S. M. Dilation as treatment for vaginal agenesis and hypoplasia: A pilot exploration of benefits and barriers as perceived by patients. J. Obstet. Gynaecol. (Lahore) 26(2), 144–148. https://doi.org/10.1080/01443610500443527 (2006).
Deans, R., Berra, M. & Creighton, S. M. Management of vaginal hypoplasia in disorders of sexual development: surgical and non-surgical options. New. Concepts Hum. Disord Sex. Dev. 4, 4–5. https://doi.org/10.1159/000316231 (2010).
Davies, M. C. & Creighton, S. M. Vaginoplasty, Curr Opin Urol 17, 415–418 (2007).
Jasonni, V. M. Vaginal agenesis: surgical and nonsurgical strategies. Rev. Obstet. Gynecol. 7(3), 281–289 (2012).
Callens, N. et al. Vaginal dilation treatment in women with vaginal hypoplasia: A prospective one-year follow-up study, Am. J. Obstet. Gynecol. 211(3), 228e1–229e12. https://doi.org/10.1016/j.ajog.2014.03.051 (2014).
Uncu, G. et al. Anatomic and functional outcomes of paramesonephric Remnant-supported laparoscopic double-layer peritoneal pull-down vaginoplasty technique in patients with Mayer-Rokitansky-Küster-Hauser syndrome: uncu modification. J. Minim. Invasive Gynecol. 25(3), 498–506. https://doi.org/10.1016/j.jmig.2017.10.015 (2018).
Dubik, J., Alperin, M. & De Vita, R. The biomechanics of the vagina: A complete review of incomplete data. Npj Women’s Health 3(1), 4. https://doi.org/10.1038/s44294-024-00047-7 (2025).
Sueters, J. et al. Dec., Creation of a decellularized vaginal matrix from healthy human vaginal tissue for potential vagina reconstruction: experimental studies, Int. J. Surg. 109(12), 3905–3918. https://doi.org/10.1097/JS9.0000000000000727 (2023).
Courbot, O. & Elosegui-Artola, A. The role of extracellular matrix viscoelasticity in development and disease. Npj Biol. Phys. Mech. 2(1), 10. https://doi.org/10.1038/s44341-025-00014-6 (2025).
Rouwkema, J. & Khademhosseini, A. Vascularization and angiogenesis in tissue engineering: beyond creating static networks. Trends Biotechnol. 34(9), 733–745. https://doi.org/10.1016/j.tibtech.2016.03.002 (2016).
Baptista, P. M. et al. The use of whole organ decellularization for the generation of a vascularized liver organoid, Hepatology 53(2), 604–617. https://doi.org/10.1002/hep.24067 (2011).
Kojima, H. et al. Decellularized organ-derived scaffold is a promising carrier for human induced pluripotent stem cells-derived hepatocytes. Cells 11(8), 1–18. https://doi.org/10.3390/cells11081258 (2022).
Aubin, H. et al. A novel native derived coronary artery tissue-flap model. Tissue eng. Part C methods 19(12), 970–980. https://doi.org/10.1089/ten.tec.2012.0712 (2013).
Uygun, B. E. et al. Organ reengineering through development of a transplantable recellularized liver graft using decellularized liver matrix. Nat. Med. 16(7), 814–820. https://doi.org/10.1038/nm.2170 (2010).
Shahraki, S. et al. Kidney tissue engineering using a well-preserved acellular rat kidney scaffold and mesenchymal stem cells. Vet. Res. Forum 12(3), 339–348. https://doi.org/10.30466/vrf.2019.104640.2491 (2021).
Feng, H. et al. Evaluation and preservation of vascular architectures in decellularized whole rat kidneys. Cryobiology 95, 72–79. https://doi.org/10.1016/j.cryobiol.2020.06.003 (2020).
Evans, T. N., Poland, M. L. & Boving, R. L. Vaginal malformations, Am. J. Obstet. Gynecol. 141(8), 910–920. https://doi.org/10.1016/S0002-9378(16)32683-7 (1981).
Li, T. et al. Anatomic distribution of nerves and microvascular density in the human anterior vaginal wall: prospective study. PLoS One 9(11), 1–6. https://doi.org/10.1371/journal.pone.0110239 (2014).
Da Silva Lara, L. A. et al. Menopause leading to increased vaginal wall thickness in women with genital prolapse: impact on sexual response. J. Sex. Med. 6(11), 3097–3110. https://doi.org/10.1111/j.1743-6109.2009.01407.x (Nov. 2009).
Ehling, J. et al. Micro-CT imaging of tumor angiogenesis: Quantitative measures describing micromorphology and vascularization. Am. J. Pathol. 184(2), 431–441. https://doi.org/10.1016/j.ajpath.2013.10.014 (2014).
Couffinhal, T., Dufourcq, P., Barandon, L., Leroux, L. & Duplaa, C. Mouse models to study angiogenesis in the context of cardiovascular diseases. Front. Biosci. 14, 3310–3325 (2009).
Zagorchev, L. et al. Micro computed tomography for vascular exploration. J. Angiogenes Res. 2(1), 1–11. https://doi.org/10.1186/2040-2384-2-7 (2010).
Demené, C. et al. 4D microvascular imaging based on ultrafast doppler tomography. Neuroimage 127, 472–483. https://doi.org/10.1016/j.neuroimage.2015.11.014 (2016).
du Plessis, A., Broeckhoven, C., Guelpa, A. & le Roux, S. G. Laboratory x-ray micro-computed tomography: A user guideline for biological samples. Gigascience 6(6), 1–11. https://doi.org/10.1093/gigascience/gix027 (2017).
Nebuloni, L., Kuhn, G. A., Vogel, J. & Mul̈ler, R. A novel in vivo vascular imaging approach for hierarchical quantification of vasculature using contrast enhanced micro-computed tomography. PLoS One 9(1), 1–10. https://doi.org/10.1371/journal.pone.0086562 (2014).
Gignac, P. M. et al. Diffusible iodine-based contrast-enhanced computed tomography (diceCT): an emerging tool for rapid, high-resolution, 3-D imaging of metazoan soft tissues. J. Anat. 228(6), 889–909. https://doi.org/10.1111/joa.12449 (2016).
Hutchinson, J. C. et al. Postmortem microfocus computed tomography for early gestation fetuses: a validation study against conventional autopsy. Am. J. Obstet. Gynecol. 218(4), 445.e1–445.e12. https://doi.org/10.1016/j.ajog.2018.01.040 (2018).
Lombardi, C. M. et al. Postmortem microcomputed tomography (micro-CT) of small fetuses and hearts. Ultrasound Obstet. Gynecol. 44(5), 600–609. https://doi.org/10.1002/uog.13330 (2014).
Huxley, V. H. Sex and the cardiovascular system: the intriguing tale of how women and men regulate cardiovascular function differently, Adv. Physiol. Educ. 31(1), 17–22. https://doi.org/10.1152/advan.00099.2006 (2007).
Nikkels, C. et al. Robotic-assisted laparoscopic colpectomy combined with a hysterectomy and bilateral salpingo-oophorectomy versus a vaginal colpectomy in trans masculine individuals. Int. J. Transgender Heal 1–10. https://doi.org/10.1080/26895269.2023.2278737 (2023).
Groenman, F., Nikkels, C., Huirne, J., van Trotsenburg, M. & Trum, H. Robot-assisted laparoscopic colpectomy in female-to-male transgender patients; technique and outcomes of a prospective cohort study. Surg. Endosc. 31(8), 3363–3369. https://doi.org/10.1007/s00464-016-5333-8 (2017).
Greco, K. V., Jones, L. G., Obiri-Yeboa, I. & Ansari, T. Creation of an acellular vaginal matrix for potential vaginal augmentation and cloacal repair. J. Pediatr. Adolesc. Gynecol. 31(5), 473–479. https://doi.org/10.1016/j.jpag.2018.05.003 (2018).
Ruiz-Zapata, A. M. et al. Jul., Extracellular matrix stiffness and composition regulate the myofibroblast differentiation of vaginal fibroblasts. Int. J. Mol. Sci. 21(13), 4762. https://doi.org/10.3390/ijms21134762 (2020).
Crapo, P. M., Gilbert, T. W. & Badylak, S. F. An overview of tissue and whole organ decellularization processes. Biomaterials 32(12), 3233–3243. https://doi.org/10.1016/j.biomaterials.2011.01.057 (2011).
Gilbert, T. W., Sellaro, T. L. & Badylak, S. F. Decellularization of tissues and organs. Biomaterials 27, 3675–3683. https://doi.org/10.1016/j.biomaterials.2006.02.014 (2006).
Fitzpatrick, J. C., Clark, P. M. & Capaldi, F. M. Effect of decellularization protocol on the mechanical behavior of porcine descending aorta, Int. J. Biomater. 2010(1), 1–11. https://doi.org/10.1155/2010/620503 (2010).
Dawood, Y. et al. Reducing soft-tissue shrinkage artefacts caused by staining with lugol’s solution. Sci. Rep. 11 (1), 1–12. https://doi.org/10.1038/s41598-021-99202-2 (2021).
Dawood, Y., Strijkers, G. J., Limpens, J., Oostra, R. J. & de Bakker, B. S. Novel imaging techniques to study postmortem human fetal anatomy: A systematic review on microfocus-CT and ultra-high-field MRI. Eur. Radiol. 30(4), 2280–2292. https://doi.org/10.1007/s00330-019-06543-8 (2020).
Vickerton, P., Jarvis, J. & Jeffery, N. Concentration-dependent specimen shrinkage in iodine-enhanced MicroCT. J. Anat. 223(2), 185–193. https://doi.org/10.1111/joa.12068 (2013).
Hong, S. et al. Feb., Development of barium-based low viscosity contrast agents for micro CT vascular casting: Application to 3D visualization of the adult mouse cerebrovasculature. J. Neurosci. Res. 98(2), 312–324 . https://doi.org/10.1002/jnr.24539 (2020).
Perrien, D. S. et al. Novel methods for microCT-based analyses of vasculature in the renal cortex reveal a loss of perfusable arterioles and glomeruli in eNOS-/- mice. BMC Nephrol. 17(1), 1–10. https://doi.org/10.1186/s12882-016-0235-5 (2016).
Hlushchuk, R. et al. Cutting-edge microangio-CT: New dimensions in vascular imaging and kidney morphometry. Am. J. Physiol. - Ren. Physiol. 314(3), F493–F499. https://doi.org/10.1152/ajprenal.00099.2017 (2018).
Krucker, T., Lang, A. & Meyer, E. P. New polyurethane-based material for vascular corrosion casting with improved physical and imaging characteristics. Microsc Res. Tech. 69 (2), 138–147. https://doi.org/10.1002/jemt.20263 (2006).
AMIRA. https://www.thermofisher.com/nl/en/home/electron-microscopy/products/software-em-3d-vis/3d-visualization-analysis-softw%0Aare/whats-new.html (Accessed 31 Dec 2023).
Chieco, P., Jonker, A., De Boer, B. A., Ruijter, J. M. & Van Noorden, C. J. F. Image cytometry: Protocols for 2D and 3D quantification in microscopic images. 47(4) (2013).
Sun, M. et al. Full three-dimensional segmentation and quantification of tumor vessels for photoacoustic images. Photoacoustics 20, 100212. https://doi.org/10.1016/j.pacs.2020.100212 (Dec. 2020).
Shelmerdine, S. C. et al. Novel usage of microfocus computed tomography (micro-CT) for visualisation of human embryonic development—implications for future non-invasive post-mortem investigation. Prenat Diagn. 38 (7), 538–542. https://doi.org/10.1002/pd.5281 (2018).
Redenski, I. et al. Microcomputed tomography-based analysis of neovascularization within bioengineered vascularized tissues. ACS Biomater. Sci. Eng. 8(1), 232–241. https://doi.org/10.1021/acsbiomaterials.1c01401 (2022).
Weber, M. A., Milstein, D. M. J., Ince, C., Oude Rengerink, K. & Roovers, J. P. W. P. Vaginal microcirculation: Non-Invasive anatomical examination of the micro-vessel architecture, tortuosity and capillary density. Neurourol. Urodyn. 34, 723–729. https://doi.org/10.1002/nau (2015).
Kastelein, A. W., Diedrich, C. M., de Waal, L., Ince, C. & Roovers, J. P. W. R. The vaginal microcirculation after prolapse surgery. Neurourol. Urodyn. 39(1), 331–338. https://doi.org/10.1002/nau.24203 (2020).
Dasaraju, S., Klein, M. E., Murugan, P., Farooqui, M. & Khalifa, M. A. Microscopic features of vaginectomy specimens from transgender patients. Am. J. Clin. Pathol. 158(5), 639–645. https://doi.org/10.1093/ajcp/aqac107 (2022).
Li, W. et al. High-resolution quantitative computed tomography demonstrating selective enhancement of medium-size collaterals by placental growth factor-1 in the mouse ischemic hindlimb. Circulation 113(20), 2445–2453. https://doi.org/10.1161/CIRCULATIONAHA.105.586818 (2006).
Duvall, C. L., Taylor, W. R., Weiss, D. & Guldberg, R. E. Quantitative microcomputed tomography analysis of collateral vessel development after ischemic injury, Am. J. Physiol. - Hear. Circ. Physiol. 287(1), 302–310. https://doi.org/10.1152/ajpheart.00928.2003 (2004).
Zhuang, Z. W. et al. Arteriogenesis: Noinvasive quantification with multi-detector row CT angiography and three-dimensional volume rendering in rodents. Radiology 240(3), 698–707. https://doi.org/10.1148/radiol.2403050976 (2006).
Mazloomnejad, R. et al. Feb., Angiogenesis and Re-endothelialization in decellularized scaffolds: Recent advances and current challenges in tissue engineering, Front. Bioeng. Biotechnol. 11(February), 1–20. https://doi.org/10.3389/fbioe.2023.1103727 (2023).
Zhao, W., Zhu, J., Hang, J. & Zeng, W. Biomaterials to promote vascularization in tissue engineering organs and ischemic fibrotic diseases. MedComm – Biomater. Appl. 1(1). https://doi.org/10.1002/mba2.16 (2022).
Reid, J. A. & Callanan, A. Hybrid cardiovascular sourced extracellular matrix scaffolds as possible platforms for vascular tissue engineering, J. Biomed. Mater. Res. Part B Appl. Biomater. 108(3), 910–924 (2020). https://doi.org/10.1002/jbm.b.34444
Sueters, J. et al. A sterilization method for human decellularized vaginal matrices. Sci. Rep. 14(1), 31728. https://doi.org/10.1038/s41598-024-82409-4 (2024).
Sueters, J., Schipperheijn, R., Huirne, J., Smit, T. & Guler, Z. Reproducibility and consistency of isolation protocols for fibroblasts, smooth muscle cells, and epithelial cells from the human vagina. Cells 14(2), 76. https://doi.org/10.3390/cells14020076 (2025).
da Lara, L. A., Ribeiro da Silva, A., Rosa-e-Silva, J. C. & Silva-de-Sá, M. F. J. Estrogen receptor expression and vessel density in the vagina wall in postmenopausal women with prolapse. Tissue Cell 46(2), 159–164. https://doi.org/10.1016/j.tice.2014.02.002 (2014).
Acknowledgements
The authors like to thank involved members from the Reproduction Biology department, Medical Biology department and the surgical team of the Centre of Expertise on Gender Dysphoria of Amsterdam UMC for their assistance in tissue retrieval and processing.
Funding
This research did not receive any specific grant from funding agencies in the public, commercial, or not-forprofitsectors.
Author information
Authors and Affiliations
Contributions
J.S.: conceptualization, methodology, validation, formal analysis, investigation, data curation, writing – original draft, visualization, project administration. D.D.: methodology, investigation, resources, data curation, writing—review and editing. F.G.: resources, writing— review and editing, supervision. S.V.: Software, writing—review and editing, visualization. B.d.B.: conceptualization, resources, writing – review and editing. J.H.: conceptualization, resources, writing—review and editing, supervision, funding acquisition. T.S.: conceptualization, writing—review and editing, supervision.
Corresponding authors
Ethics declarations
Competing interests
The authors declare no competing interests.
Additional information
Publisher’s note
Springer Nature remains neutral with regard to jurisdictional claims in published maps and institutional affiliations.
Supplementary Information
Below is the link to the electronic supplementary material.
Rights and permissions
Open Access This article is licensed under a Creative Commons Attribution 4.0 International License, which permits use, sharing, adaptation, distribution and reproduction in any medium or format, as long as you give appropriate credit to the original author(s) and the source, provide a link to the Creative Commons licence, and indicate if changes were made. The images or other third party material in this article are included in the article’s Creative Commons licence, unless indicated otherwise in a credit line to the material. If material is not included in the article’s Creative Commons licence and your intended use is not permitted by statutory regulation or exceeds the permitted use, you will need to obtain permission directly from the copyright holder. To view a copy of this licence, visit http://creativecommons.org/licenses/by/4.0/.
About this article
Cite this article
Sueters, J., Docter, D., Groenman, F. et al. Micro-computed tomography to visualize preserved vascular architecture in decellularized human vaginal tissue: explorative study. Sci Rep 15, 30533 (2025). https://doi.org/10.1038/s41598-025-14452-8
Received:
Accepted:
Published:
Version of record:
DOI: https://doi.org/10.1038/s41598-025-14452-8






