Abstract
The branched multiblock copolymer based on fatty acid, methyl methacrylate and PHB was first time synthesized. Autoxidation is the reaction of unsaturated fatty acids with air oxygen leading to macroperoxide initiators. Poly (3-hydroxy butyrate), PHB, is a natural bio polyester accumulated in the bacterium cell of some bacteria. Tri hydroxyl derivatives of PHB were obtained by the modification reactions of PHB with di-ethanol amine. Hydroxyl ends of the modified PHB were capped with the autoxidized unsaturated fatty acid oligomeric peroxides in order to the polyoleic acid, polylinoleic acid and polyricinolenic acid. PHB based macroperoxides were used free radical polymerization of methyl methacrylate in order to obtain branched multiblock copolymers. It is desirable to combine the biodegradability of the PHB and fatty acid with the excellent application properties of polyvinyls. PHB based macroperoxides were also obtained in two steps. First, pristine fatty acid was attached to PHB-OH to obtain PHB-fatty acid conjugate. Second, PHB-fatty acid conjugate was mixed with free fatty acid and autoxidized together with for two months. The products were characterized by 1H NMR, DOSY, SEC, FTIR, SEM, DSC and TGA techniques.
Similar content being viewed by others
Introduction
Poly(3-hydroxybutyrate) (PHB) is a key member of the poly(3-hydroxyalkanoate) (PHA) family—naturally occurring, biodegradable polyesters that many bacteria synthesize under nutrient-limited conditions1,2. Following its discovery, extensive research has examined PHB’s biosynthetic pathways3molecular structure and modifications4,5and biomedical potential6,7. This polymer attracts significant attention due to its renewable origin and complete biodegradability, making it a promising candidate for environmentally friendly applications1,2. Nonetheless, PHB exhibits high crystallinity, a relatively high melting point (~ 170 °C), and inherent brittleness, which restrict its utility in certain industrial and medical settings2,8. As a result, numerous studies have aimed to modify PHB—through copolymerization, blending, or chemical functionalization—to enhance its hydrophilicity, mechanical toughness, and processability.
Among the most widely adopted strategies is grafting or blending PHB with other polymers to tailor surface chemistry, mechanical properties, and degradation behavior. For instance, attaching poly(ethylene glycol) (PEG) chains to PHB has proved effective in increasing hydrophilicity and improving processing characteristics9,10,11,12. Li et al. developed amphiphilic triblock copolymers combining PHB and poly(ethylene oxide), resulting in tunable biodegradability and phase behavior9. Incorporating rubbery domains also helps boost elasticity; Jiang and Hu showed that PHB grafted with polyisoprene exhibits a significantly higher elongation at break than neat PHB13. Alternatively, halogenation of PHB—particularly chlorination—can introduce reactive sites for subsequent transformations14,15. For example, Yalcin et al. investigated the mechano-optical behavior of PMMA/chlorinated-PHB blends14while Arkin and Hazer explored additional chemical modifications of these halogenated microbial polyesters to expand their functional versatility16.
Unsaturated fatty acids (UFAs) are natural, biodegradable building blocks widely recognized as precursors for polymer synthesis and industrial chemicals. Compared with their triglyceride counterparts, free UFAs are more reactive due to their unbound carboxylic acid groups, enabling diverse functionalization strategies for both hydrophilic and hydrophobic applications. In particular: (A) Free Carboxyl Ends: Bunker and Wool reported that the acid functionality in methyl oleate derivatives facilitates copolymerization, improving adhesion properties in renewable adhesives17. (B) Double Bonds and Allylic Positions: Roberge and Dube demonstrated that conjugated linoleic acid participates in bulk terpolymerizations with styrene and butyl acrylate, underscoring the versatility of allylic carbons in radical reactions18. (C) Macro-RAFT Polymerization: Göktaş et al. showed that polymeric oleic acid can serve as a macro-RAFT agent, facilitating graft polymerization of styrene to obtain comb-like structures with tunable thermal and mechanical properties19.
Beyond these functionalities, autoxidation of unsaturated fatty acids provides macroperoxide initiators critical for radical polymerization. This process occurs when oxygen attacks the allylic methylene groups of double bonds, forming hydroperoxides, which subsequently decompose into reactive radicals20,21,22. Such naturally derived peroxide species have been leveraged to generate block or graft copolymers, as exemplified by Hazer’s work on autoxidized plant oils for nanotechnology and biomedical applications21. The resulting products can be further modified by ring-opening polymerization, for instance, Acik utilized soybean oil-based polyols to obtain bio-based poly(ε-caprolactone)22. Moreover, advanced reaction-network models validate the stepwise mechanism of fatty acid oxidation—van’t Hoff et al. recently demonstrated how linoleate esters undergo well-defined radical pathways that can be controlled and predicted for coatings and polymer blends20. In addition, Arslan et al. grafted poly(3-hydroxyalkanoate) and linoleic acid onto chitosan via amino-acid coupling, showcasing the robust range of post-polymerization and macromolecular grafting approaches23. Collectively, these studies confirm that autoxidized fatty acids not only retain the biodegradability of their natural precursors but also function as reactive initiators for various radical polymerization schemes24,25,26,27,28,29. This potential opens new avenues for bio-derived materials that integrate renewability, functionality, and customizable polymer architectures.
Building on the established utility of autoxidized unsaturated fatty acids as macroperoxide initiators, our group has long investigated how these oxidation reactions—generally undesirable in food industry contexts—can be harnessed as a controllable pathway for polymer synthesis30,31. Specifically, we have shown that macroperoxides formed from the autoxidation of fatty acids/triglycerides are capable of initiating free-radical polymerizations with vinyl monomers, yielding polymer–linoleic acid conjugates with tunable properties32,33. This approach both re-purposes an otherwise detrimental process and offers a versatile means of introducing bio-based segments into synthetic polymer matrices.
Beyond simple grafts or random copolymers, block copolymers—covalently bonded polymer segments assembled into well-defined architectures—have drawn considerable attention since the 1960s for their ability to combine distinct properties from each constituent homopolymer34,35,36. For instance, one block might confer mechanical strength while another imparts degradability or chemical functionality, creating synergies unattainable with single-component polymers. This versatility makes block copolymers excellent candidates for advanced applications in areas such as coatings and high-performance materials.
Typically, free-radical polymerization of vinyl monomers (e.g., styrene, acrylates) relies on thermally labile initiators containing peroxide or azo functional groups37,38,39,40,41,42,43,44. In recent decades, controlled/living radical polymerization (CLRP) techniques have broadened the design scope for synthesizing well-defined block copolymers with precise molecular weights and architecture45,46. These CLRP methods—including nitroxide-mediated radical polymerization (NMP)47,48, atom transfer radical polymerization (ATRP)49,50,51, and reversible addition–fragmentation chain-transfer (RAFT) polymerization52,53,54,55,56—enable the production of tailor-made copolymers with improved control over block lengths, polydispersities, and end-group functionalities.
In industry, there is a growing demand for multifunctional polymers capable of meeting diverse application needs. Poly(3-hydroxybutyrate) (PHB), already produced commercially for its biodegradability, can be particularly promising when combined with non-biodegradable polymers such as polymethyl methacrylate (PMMA). This approach mirrors the strategy used in polycaprolactone–PMMA systems, where pairing a biodegradable block with a durable one offers a balance of environmentally friendly properties and enhanced mechanical performance57.
In this study, we leverage our longstanding expertise in autoxidized fatty acid macroperoxide initiators to synthesize new branched multiblock copolymers incorporating PHB segments, oxidized polymeric fatty acids, and PMMA. Specifically, we first attach autoxidized unsaturated fatty acid macroperoxides to hydroxylated PHB, creating a PHB–oil–based macroperoxide. This macroperoxide then initiates the free-radical polymerization of methyl methacrylate (MMA), yielding PHB–polymeric fatty acid–PMMA multiblock structures. Our work details the synthetic protocol, characterization, and property evaluation of these novel copolymers, highlighting their potential to combine biodegradability (from PHB and fatty acids) with the thermal and mechanical advantages of PMMA.
Experimental
Materials
Poly (3 - hydroxy butyrate) (PHB), microbial polyester (Mn 187,000 g/mol, Mw/Mn 2.5, Biomer Inc.) was supplied from BIOMER (Germany)58. Castor oil was supplied from local markets in Turkey (originally made by India, purity: 86–90 wt%) (Hazer & Eren, 2019) and it was used to prepare ricinoleic acid by the hydrolysis of the basic alcoholic solution59. Oleic acid (purity: 85–88 wt %) was kindly gifted from “CHS Endüstriyel Ürünler San. Tic. A.Ş. Büyükdere Caddesi No: 122 A Blok Kat:2 Esentepe İstanbul” and used as received. Linoleic acid (cis, cis 9,12 octadecadienoic acid) was supplied from Fluka as 70 weight% (wt%) and used as received. Linolenic acid (cis, cis, cis-9,12,15-octadecatrienoic acid) was supplied from Fluka (Steinheim, Germany), and used as received.
The N, N-dicyclohexylcarbodiimid (DCC), dimethyl amino pyridine (DMAP), methyl methacrylate (MMA), diethanol amine (DEA), Al2O3 (≥ 99.9%), stannous octanoate (Sn-oct) and the other chemicals were purchased from Sigma-Aldrich Co. (St. Louis, MO, USA). Before use, the inhibitor in the methyl methacrylate (MMA) was removed by passing it through basic aluminum oxide. The solvents, dichloro methane (CH2Cl2) and dimethyl formamide (DMF) were supplied from Sigma-Aldrich Co. (St. Louis, MO, USA). They were dried on CaH2 and passed through Al2O3 column before use.
Synthesis of PHB-DEA (PHB-OH)
Hydroxylated PHB was obtained by the reaction of PHB with DEA according to the modified procedure reported in the cited reference60,61. Shortly, a mixture of 80 g of PHB, 78 g of DEA and 5.2 g of Sn-oct was dissolved in chloroform (416 g) and refluxed at around 90 °C for 2 h. Then, the two third of solvent was distilled under atmospheric condition. It was cooled at room temperature and precipitated from excess methanol. For further purification, crude product was dried under vacuum at 50 °C for 24 h, redissolved in CHCl3, and removed the undissolved impurities via filtration. The solution was reprecipitated from the excess methanol. The purified white solid PHB-OH was filtered using an ordinary filter paper. It was dried under laboratory conditions at room temperature for a day and then dried under vacuum at 50 °C for 24 h with a yield of 62 g.
Autoxidation of the unsaturated fatty acids
Oleic acid, linoleic acid, ricinoleic acid and linolenic acid were separately autoxidized by exposing air oxygen at room temperature according to the published articles21,33. General method for the autoxidation. Briefly, 5.0 g of fatty acid was spread out in a Petri dish (Φ = 5 cm) was exposed to sunlight in the air at room temperature. A pale-yellow, viscous liquid polymeric fatty acid was obtained after 2 months’ autoxidation.
Synthesis of PHB macroperoxide using polymeric fatty acid peroxides: PHB-poleox, PHB-priciox, or PHB-plinaox
DMAP and DCC were added into the solution of PHB-OH and fatty acid macroperoxide in CH2Cl2 at room temperature. After 18 h stirred, the precipitated side product was removed via filtration. The solution was poured into excess amount of methanol to precipitate the obtained product: PHB-poleox, PHB-priciox, or PHB-plinaox. The obtained product was dried under vacuum at 50 °C. The reaction conditions can be seen in Table 1.
Synthesis of PHB-polymeric fatty acid-PMMA branched multiblock copolymers: PHB-PolePM, PHB-PriciPM, and PHB-PlinaPM
A general conventional procedure was followed for the free radical polymerization of MMA using PHB-fatty acid peroxide. PHB-fatty acid peroxide and MMA were dissolved in DMF under argon atmosphere. The solution was kept in an oil bath at 85 °C for a given time. The obtained polymer was precipitated into excess methanol and dried in a vacuum oven at 50 °C. The reaction conditions can be seen in Table 2.
Characterization
13C-NMR spectra were measured on a JEOL JNM-ECZ400S 400 MHz NMR spectrometer (Japan) in CDCl3 at 25 °C. Proton NMR spectra in CDCl3 solutions of the samples were taken at a temperature of 25 °C with an Agilent NMR 600 MHz NMR (Agilent, Santa Clara, CA, USA) spectrometer equipped with a 3 mm broadband probe. FT- IR spectra of the polymer samples were recorded using BRUKER Tensor II FT - IR Spectrometer.
Polymer samples were dissolved to a concentration of 3–5 mg/mL in CDCl3, then diffusion measurements were performed on a Bruker NEO Avance 500 MHz NMR spectrometer at a temperature of 25.0 °C. The Bruker dstebpgp3s convection-compensated pulse sequence was used with diffusion time \(\lceil\Delta\) = 400 ms, gradient pulse length \(\lceil\delta\) = 5.0 ms, gradient recovery delay \(\lceil\tau\) = 0.1 ms, gradient pulse shape: smoothed square, relaxation delay 4.0 s, and gradient pulse strength set to \(\lceil g\) = 2–100%, exponential ramp, with 100% corresponding to 48.5 G/cm. The gradient strength was first calibrated with 1% H2O in D2O. The polymer data files were analyzed using Mnova (version 15.1, Mestrelab Research, available at https://mestrelab.com/software/mnova). Bayesian transform was used to obtain the Diffusion Ordered Spectroscopy (DOSY) spectra62
Molecular weights were determined by size exclusion chromatography instrument, Viscotek GPCmax Auto sampler system, consisting of a pump, three ViscoGEL GPC columns (G2000H HR, G3000H HR and G4000H HR), and a Viscotek differential refractive index (RI) detector with a THF flow rate of 1.0 mL/min at 30 °C. A calibration curve was generated with four polystyrene (PS) green standards: 8450, 2960, 50,400, 200,000 and 696,500 Da, of low polydispersity. The polymer sample solution containing 0.05 g in 10 mL of THF was filtered and injected automatically into the instrument. Data was analyzed using Viscotek Omni SEC Omni 01 software.
Thermal analysis
Thermal analysis of the obtained polymers was carried out under nitrogen using a TA Q2000 DSC and Q600 Simultaneous DSC - TGA (SDT) series thermal analysis systems. Differential Scanning Calorimeters (DSC) measures temperatures and heat flows associated with thermal transitions in the polymer samples obtained. The dried sample was heated from − 60 to 120 °C under nitrogen atmosphere heating from 20 to 600 °C at a rate of 10 °C/min. The mass loss of the samples was determined by TGA under nitrogen atmosphere using a Setaram Labsys Evo 1150 apparatus by heating from 30 °C to 550 °C at 10 °C.min − 1.
Fractional precipitation
Block‑/graft‑copolymer architecture was verified by fractional precipitation experiments21,57. In a typical run, 0.50 g of polymer was dissolved in 5 mL of chloroform (good solvent). Methanol—an effective non‑solvent for the copolymer in its neat state—was delivered from a 50 mL burette. Because methanol is completely miscible with chloroform, each aliquot converts the medium into an increasingly poor solvent for the polymer. Methanol was added drop‑wise under continuous stirring until the first visual onset of turbidity (incipient precipitation). The precipitation index γ was calculated as γ = Vns/Vs. Gamma values are: PHB-Biomer γ=3.2–3.5, PHB-dea-OH γ=3.5–3.8, and PMMA γ=5.3–5.8.
Results and discussion
We reacted PHB with DEA to obtain the hydroxylated PHB-OH (Fig. 1). The 1H NMR and FTIR results are given in Figs. 1 and 2. The comparison between the PHB and PHB-OH can be seen with the new OH broad peak in the FTIR spectra (Fig. 2).
1H NMR spectrum of Hydroxylated PHB sample (PHBd-OH-24) (Solvent CDCl3).
Comparison of FTIR spectrum of the hydroxylated PHB with pristine PHB. The characteristic band of hydoxyl group in PHB-OH sample can be seen at 3293.69 cm-1.
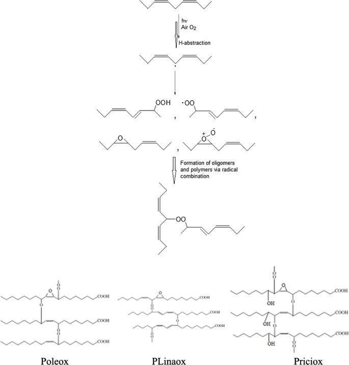
Autoxidation is a radical-mediated reaction in which unsaturated fatty acids or oils react with atmospheric oxygen, resulting in the formation of peroxide, hydroperoxide, and epoxide functional groups (Fig. 3, top)30,63. The autoxidized fatty acid derivatives Poleox, Priciox, and PLinaox thus contain four key functionalities as illustrated in Fig. 3 (bottom): (i) peroxide groups, (ii) carboxylic acid groups, (iii) residual double bonds, and (iv) oligomeric structures formed through radical coupling reactions. Analysis from the 1 H NMR spectrum (peak observed at ~ 3.5 ppm for peroxide groups) indicates the peroxide content to be approximately 1–3 mol%. The epoxide and carboxylic acid functionalities are similarly estimated to be present at comparable molar percentages, with minor variations depending on the specific fatty acid precursor used. These estimates demonstrate the controlled yet complex nature of the autoxidation process employed.
Above: Autoxidation reaction scheme. Below: Expected chemical formulas of the autoxidized polymeric oleic acid (Poleox), polymeric ricinoleic acid (Priciox), and polymeric linoleic acid (Plinaox).
The autoxidation is a completely green synthesis under atmospheric conditions including daylight at room temperature21. Only the daylight exposure time influences to improve autoxidation. The autoxidation rate is getting fast depending on the double bond number of the unsaturated fatty acid. For example, three double bonds of linolenic acid autoxidizes faster than linoleic acid (2 double bonds) and oleic acid (one double bond). The autoxidation time changes from a week to a month depending on the double bond containing of the fatty acid and the related oil. During the autoxidation, unsaturated oil/fatty acid is getting peroxidized and hydroperoxidized leading to the oligomerization and polymerization64.
Hydroxyl groups of the hydroxylated PHB (PHB-OH) was reacted with free carboxylic acid of the autoxidized fatty acid peroxides (AFAP). Figure 4 shows the esterification reaction between PHB-OH and AFAP.
The esterification reaction between PHB-OH and AFAP to obtain PHB-poleox, -priciox, and –plinaox PHB-AFAP macroperoxide initiators.
Fractional precipitation was applied for the PHB-polyFatty acid conjugates using two different non-solvents. The non-solvent (petroleum ether) was gradually added into the chloroform solution (Vs, mL) of block copolymer to purify from unreacted poly fatty acid. After turbidity, the volume of the non-solvent (Vns, mL) at the total precipitation was measured, the fractional precipitation degree was 1.8-2.0. When the same procedure was repeated using methanol, γ values changed from 2.3 to 3.0 to 3.0-3.6. The γ value of the hydrophilic PHBdPriciox shifted to hydrophilic area. The comparative γ values were listed in Table 1.
The comparative 1H NMR spectra of the PHB-AFAP macroperoxide initiators in Fig. 5 confirmed the copolymer structure 1H NMR signals, δppm: 1.25 (-CH3, PHB), 1.30-2.00 (-CH2-, polyFattyacid), 2.50 (-CH2 –C(O)-, PHB, polyFattyacid), 3.50 (-CH-OO-, -CH-O-, polyFattyacid), 5.20 (-CH-O-, PHB).
The comparative 1H NMR spectra of the PHB-AFAP macroperoxide initiators.
Free radical polymerization of MMA initiated by PHB-AFAP macroperoxide initiators was carried out at 85 °C. Peroxide groups of polyFattyacid acid thermally produce macro radicals which initiate the free radical polymerization of MMA leading to formation of PHB-PolyFatty acid-PMMA multi block copolymers. They can be designed as shown in Fig. 6. The polymerization results and reaction conditions can be seen in Table 2.
Expected design of the PHB-PolyFatty acid-PMMA multi block copolymers.
In each copolymerization, MMA solutions contained two different concentrations of PHB-AFAP (7 and 12%). The higher concentration of PHB-PolyFattyacid in the beginning led to higher monomer conversion as expected in the free radical polymerization.
For the block copolymer characterization, fractional precipitation was also applied in this case. Chloroform solutions of the block copolymers were precipitated from methanol in a narrow γ values that confirms the block copolymer formation. γ values of the block copolymers changed to 6.1 from 4.0 while the γ values of the pristine PHB-AFAP conjugates were between 2.3 and 3.6 (Tables 1 and 2). Because of any polymer precipitation at γ 2.3–3.6, that confirmed no PHB homopolymer and no pristine PHB-AFAP conjugates formed in during the final block copolymers. γ values of the block copolymers were close to those of the PMMA-homopolymer because of the high PMMA content in block copolymers (83–92%).
Molar masses of the copolymers were also listed in Table 2. Molar masses changed from 95 kDa to 146 kDa with smooth unimodal GPC chromatograms. Higher macroperoxide content led to low Mn while lower macroperoxide content led to high Mn values.
The obtained copolymer showed the characteristic signals of the related blocks. The 1H NMR spectra of the obtained block copolymers were depicted in Fig. 71H NMR signals, δppm: 0.75–0.90 (-CH3, PMMA), 1.25 (-CH3, PHB), 1.30-2.00 (-CH2, -CH-, PMMA, Prici), 2.50 (-CH2 –C(O)-, PHB, Prici), 3.50 (CH3O-, PMMA), 5.20 (-CH-O-, PHB). PHB contents of the block copolymers were calculated using 1H NMR spectra comparing PHB signal (-CH-O) at 5.2 ppm with PMMA signals (CH3-C-) at 0.8-1.0 ppm. The PHB contents of the block copolymers changed from 14 to 16 mol% for higher concentrations and from 9 to 13 mol% for lower concentrations. Table 2 also contains the PHB contents of the block copolymers. The higher concentration of the PHB-polyFattyacid macroperoxide initiators in the monomer solution provided the higher polymer yield with higher PHB content than the ones of lower concentrations.
The1H NMR spectra of the obtained PHB-PolyFatty acid-PMMA block copolymers; (a) PHBolePM-1, (b) PHBolePM-2, (c) PHBriciPM-3, (d) PHBriciPM-4, (e) PHBlinaPM-5, (f) PHBlinaPM-6.
FTIR spectra of the obtained block copolymers contained all the characteristic aliphatic –CH- bands at 2949 cm-1, ester –C = O band at 1720 cm-1, and –C-O- bands at 1144 cm-1. Figure 8 shows the comparative FTIR spectra of the block copolymers.
The FTIR spectra of the obtained PHB-PolyFatty acid-PMMA block copolymers; (a) PHBolePM-1, (b) PHBolePM-2, (c) PHBriciPM-3, (d) PHBriciPM-4, (e) PHBlinaPM-5, (f) PHBlinaPM-6.
The thermal behavior of the PHB–polyfatty acid block copolymers and PHB–polyfatty acid–PMMA block copolymers was determined using differential scanning calorimetry (DSC). Figure 9 shows the DSC curves of PHB–Poleox, PHB–Priciox, and PHB–Plinaox with the typical melting transition (Tm) of PHB blocks at 141 °C. In the case of PHB–Plinaox, the DSC curve also exhibits a broad melting transition of the polylinaox segment at 55 °C. Figure 10 presents the DSC curves of the branched multiblock copolymers; their PHB segments display Tm values in the range of 100–155 °C, depending on chain composition and possible interactions with the fatty acid blocks. We note that neat PHB can have a low-intensity glass transition (near 0 °C), which is often masked by strong crystallinity or by overlapping transitions in these copolymers; hence, no distinct PHB Tg was clearly observed in these complex systems. Nevertheless, some weak Tg features were detected at 46–54 °C, which we attribute to the polyfatty acid blocks. For the PMMA-containing copolymers, the expected Tg of PMMA (~ 100 °C) was observed, though slightly broadened or shifted due to copolymer interactions. Finally, the smaller melting transitions near the main melting temperature primarily arise from tacticity variations in the polymer; distinct crystalline forms can each exhibit a melting event close to the primary melting peak.
DSC curves of the PHB-polyfatty acid copolymers: (a) PHB-Poleox, (b) PHB-Priciox, and (c) PHB-Plinaox.
DSC thermograms of the obtained block copolymers: (a) PHB-Pole-PM-1, (b) PHB-Pole-PM-2, (c) PHB-Prici-PM-3, (d) PHB-Prici-PM-4, (e) PHB-Plina-PM-5, and (f) PHB-PLina-PM-6.
Thermo gravimetric analysis (TGA) helped us to determine the decomposition curves of the segments in the branched multiblock copolymers. Differential thermogravimetric analysis (DTG) was the derivatives of the TGA curves in order to determine decomposition temperatures (Td) of the PHB (ca. 290 °C) and PMMA (ca. 390 °C) blocks. TGA-DTG thermograms can also be seen in Fig. 11.
TGA/DTG curves of branched multiblock copolymers: (a) PHBpolePM-1, (b) PHBpolePM-2, (c) PHBpriciPM-3, (d) PHBpriciPM-4, (e) PHBplinaPM-5, and (f) PHBplinaPM-6.
As a result of the thermal analysis of the branched multiblock copolymers, Tg, Tm and Td values of the obtained block copolymers were also listed in Table 3. Neat PHB has a Tg of approximately 4 °C, whereas atactic PMMA’s Tg is about 105 °C65. The PHB–PMMA branched multiblock copolymers exhibit single, intermediate Tg values (≈ 40–54 °C, see Table 3), which indicates that the two segments are well-mixed on the molecular scale65. Covalent linking of the blocks constrains PHB segment mobility while also depressing the PMMA Tg, yielding a single amorphous phase whose rigidity can be tuned via the block ratio.
All samples show multiple melting endotherms between ~ 100 °C and 155 °C. Such multiple peaks are commonly observed in PHB when crystallization is hindered by chain imperfections or co-monomer units66. In our copolymers, the minor melting shoulder around 100–115 °C potentially corresponds to less-perfect or recrystallized PHB lamellae, whereas the dominant peak at 128–155 °C arises from more robust PHB crystals66. These Tm values are 20–40 °C lower than that of neat PHB (which melts at ~ 175 °C), confirming a reduction in Mw and crystallinity. This reduced crystallinity is beneficial: it broadens the processing window and usually enhances toughness in PHB-based materials67.
The PHB blocks in our copolymers begin to degrade at a higher temperature than neat PHB – roughly 10–15 °C later – indicating an improved thermal stability via the protective effect of the thermally stable PMMA domains throughout the PHB65. Consistently, neat PHB leaves virtually no char residue upon heating ( ≲ 1 wt% at 600 °C), whereas our PHB–PMMA copolymers yield a slightly higher char yield (3–6 wt%), owing to the presence of the less volatile PMMA component68. As a result, the downward shifts in Tg and Tm and the upward shift in Td extend the usable processing window to ~ 170 °C (from a flow onset near 100 °C up to thermal-decomposition onset ~ 270 °C) – roughly three times broader than that of neat PHB69. In essence, the multiblock architecture simultaneously improves PHB’s melt-processability and its high-temperature stability, a crucial combination for extrusion-based applications.
Morphology of the obtained block copolymers was studied by using a SEM instrument. Figure 12 exhibits the SEM micrographs of the PHB-polyFattyacid block copolymers. The obtained block copolymers showed the knitted homogenous continuous matrix. Figure 13 shows the SEM micrographs of the obtained branched multiblock copolymers. In this case, layered morphology dominates in continuous matrix. SEM micrographs of the PHB–poly(fatty acid) block copolymers (Fig. 12) reveal a continuous, highly porous matrix that could be valuable for applications requiring adsorbent materials—such as in analytical chemistry. However, upon incorporation of PMMA blocks, this pore-dominated morphology shifts to a layered structure (Fig. 13). We hypothesize that the film-forming nature of the PMMA segments drives this transformation from a porous matrix into layered domains.
SEM micrographs of the PHB-polyFattyacid block copolymers: (a) PHB-poleic, (b) PHB-prici, and (c) PHB-Plina. Scale bars represent 20 μm.
SEM micrographs of the obtained branched multiblock copolymers was taken using a SEM instrument: (a) PHB-Pole-PM-1, (b) PHB-Pole-PM-2, (c) PHB-Prici-PM-3, (d) PHB-Prici-PM-4, (e) PHB-Plina-PM-5, and (f) PHB-PLina-PM-6. Scale bars represent 20 μm.
The incorporation of oxidized fatty acid segments and PMMA blocks into PHB markedly alters the thermal and morphological properties, underscoring a clear structure–property relationship. For example, DSC curves (Figs. 9 and 10) reveal multiple transitions: the PHB crystalline phase melting around 100–155 °C, additional melt/softening events at ~ 50–60 °C from the oxidized fatty acid segments, and the PMMA glass transition or decomposition above ~ 300 °C. TGA analyses (Fig. 11) confirm that each segment degrades in distinct temperature ranges (PHB near ~ 290 °C, PMMA near ~ 390 °C), reflecting their individual chemical backbones. Moreover, SEM images (Figs. 12 and 13) show how block copolymerization leads to layered or phase-separated morphologies, in contrast to the relatively homogeneous texture of PHB–fatty acid copolymers. These findings demonstrate that by adjusting the fatty acid oxidation level, reaction conditions, and macroperoxide initiator content, one can systematically tune polymer composition—thus controlling the balance of crystallinity, thermal stability, and phase morphology.
Autoxidation of unsaturated pristine fatty acid with the PHB-fatty acid conjugate for deep understanding of the autoxidation, the esterification reaction between PHB-OH and pure fatty acids was also carried out using the same procedure above. The reaction conditions were listed in Table 4. To remove possible homo-PMMA, the PHB-fatty acid conjugates were purified using fractional precipitation method with petroleum ether/chloroform system. Gamma degree of the polymer conjugates (ca. 1.8-2.0) was slightly high while that of pristine PHB was 1.8-2.0 because the fatty acid of the polymer conjugate increased the hydrophobicity of PHB. In addition, PHBd-OH precipitates earlier because of the higher hydrophilicity coming from hydroxyl ends.
A mixture of PHBdLina (0.80 g) and linoleic acid (0.46 g) was dissolved in CHCl3 (20 mL). The solution was poured in a Petri dish (Φ = 5 cm), covered with a cardboard loosely, and left for a day to form a polymer film by evaporating the solvent under laboratory conditions at room temperature. Blend of linoleic acid and PHB-lina white soft solid exposed to air oxygen under visible light for 30 days so that the free and PHB-attached linoleic acid moieties were autoxidized by covalently bonded each other. After autoxidation, the PHB-fatty acid conjugate film dissolved in CHCl3 (10 mL) and precipitated from petroleum ether in order to remove unattached oxidized linoleic acid. The polymer obtained was washed with petroleum ether and dried under vacuum at 40 °C. The PHB-fatty acid autoxidized conjugate was coded as “PHB-linalinaox”. The induced PHB-fatty acid autoxidized conjugate can be designed as shown in Fig. 14.
Design of the PHB-fatty acid conjugate with free fatty acid autoxidized.
The autoxidation characteristic was observed in FTIR spectra. Figure 15 shows the FTIR spectra of the PHB-lina-t1 and PHB-linalinaox. The additional oxide band appeared at 3324 cm- 1 in the FTIR spectrum of PHB-linalinaox while that of PHB-lina-t1 did not appear.
FTIR spectra of (a) PHB-lina-t1 and (b) PHB-linalinaox.
In the thermal characterization DSC and TGA curves of the PHB-lina-t1 and PHB-linalinaox. Figure 16 shows the DSC curves of the PHB-lina-t1 and PHB-linalinaox. The oxidized moieties shifted to higher temperature of the melting transitions of the PHB segments in case of PHB-linalinaox.
DSC curves of (a) PHB-lina-t1 and (b) PHB-linalinaox.
Figure 17 shows the TGA-DTG curves of the free fatty acids, PHBdLina and PHBdLinaox. Decomposition temperatures of the free fatty acids and PHBlina conjugate were all between 247 and 293 °C with a single decomposition temperature. Oxidized PHBlinalinaox conjugate was thermally decomposed at 237 and 448 °C. The higher decomposition temperature also confirmed the autoxidation of the fatty acid attached to PHB segment.
TGA-DTG curves of (a) Lina-0, (b) Ricia-0, (c) Olea-0, (d) PHBdLina-5, (e) PHBdLinalinaox-534.
The SEC analysis of five polymer samples reveals significant variations in molecular weight distribution and polydispersity (Fig. 18). The PHB-PLina-PM-5 and PHB-PLina-PM-6 samples exhibit relatively narrow molecular weight distributions with lower PDI values (1.81 and 1.95, respectively), suggesting a controlled polymerization process. In contrast, PHBolePM-1 and PHBrici-PM-4 have broader distributions (PDI > 2.4), indicative of higher molecular weight variability, possible chain scission, or incomplete polymerization. The PHBolePM-2 sample, despite having the highest Mw (332 kDa), still exhibits a moderate polydispersity (PDI 2.26), implying a mix of polymer chain lengths. Retention volume trends confirm that higher molecular weight samples elute earlier, consistent with SEC principles. The variations in molecular weight profiles across these samples suggest differences in synthesis conditions, degradation pathways, or stabilization mechanisms affecting polymer stability and processability. The top 10% Mw for all the five systems were between 577 and 902 kDa showing larger branched multiblock copolymers.
SEC results for (a) PHB-Pole-PM-1 (Mw=235 kDa), (b) PHB-Pole-PM-2 (Mw =332 kDa), (c) PHB-Prici-PM-4 (Mw =321 kDa), (d) PHB-Plina-PM-5 (Mw=230 kDa), and (e) PHB-PLina-PM-6 (Mw =288 kDa). SEC result for PHB-Plina-PM-5 couldn’t be obtained as it was not soluble in THF.
Note that, Parkatzidis et al. have reported that RAFT polymerization of certain renewable methacrylate monomers often leads to relatively broad molar mass distributions (Đ ≈ 1.3–1.7)70. This challenge in achieving narrow PDI values highlights the inherent complexity of controlling polymer architectures when bio-based or unconventional initiators are used. Moreover, Pietsch et al. described a phenomenon termed “hybrid behavior,” in which polymer formation proceeds partly via the conventional radical route and partly via a controlled radical polymerization mechanism during the pre-equilibrium phase71. Such dual pathways can introduce significant variations in chain growth rates and lead to higher PDIs than typically expected under ideal controlled radical polymerization conditions. Hence, both controlled and conventional radical processes may be concurrently contributing to the polydispersity in our PHB-based samples. These literature precedents underscore the difficulty of ensuring full control in complex reaction systems and the need for further optimization of the polymerization parameters. Taken together, our SEC results and these earlier studies suggest that the broader molecular weight distributions in PHBolePM-1 and PHBrici-PM-4 are consistent with partial loss of control and potential side reactions. Consequently, exploring strategies to reduce undesirable chain-transfer or crosslinking pathways could help refine the polymerization process and achieve narrower PDIs.
The SEC results show broad peaks with shoulders towards lower Mw. No distinct secondary peaks are visible. To further analyze the polymers, we performed DOSY experiments on three different branched multiblock copolymers (Fig. 19). In these spectrums, one faster diffusing PHB-based species (diffusion coefficient 1–2 × 10− 10) and another slower MMA-based diffusing species (diffusion coefficient 2–3 × 10− 11) are visible. The PHB-Prici-PM-3 systems shows multiple peaks for the slower diffusing species with ricinoleic acid peaks at ~ 1.32 and 2.20 ppm, MMA main peak at ~ 3.6 ppm, and PHB main peak at ~ 5.3 ppm.
Two-dimensional DOSY spectrums for (a) PHB-Pole-PM-2, (b) PHB-Prici-PM-3, and (c) PHB-Plina-PM-5.
While DOSY in chloroform distinguishes multiple diffusion populations, these do not manifest as separate peaks in SEC, which employs THF as the mobile phase and separates species based primarily on hydrodynamic size. Different block segments within the same multiblock chain may exhibit distinct diffusion profiles in chloroform but co-elute in SEC if their overall conformations in THF overlap. Consequently, DOSY can reveal a higher degree of structural or segmental heterogeneity, whereas the SEC trace remains unimodal under THF-based conditions.
Conclusion
Autoxidation of unsaturated fatty acids provided bioderived macroperoxide sites that were chemoselectively esterified onto hydroxylated PHB, producing a PHB–poly(fattyacid) backbone carrying multiple latent radical centers. Thermal decomposition of those peroxides then initiated insitu freeradical growth of PMMA side chains, yielding highmolecularweight (Mn ≈ 95–146 kDa) branched multiblock copolymers in a single pot. Comprehensive characterization (¹H NMR, DOSY, SEC, FTIR, DSC/TGA, SEM and fractional precipitation) confirmed the branched architecture, showed a broadened meltprocessing window (~ 170 °C), reduced PHB crystallinity, and revealed a morphology that transforms from a porous PHB–fattyacid network to layered PMMArich films. The methodology was further extended by coautoxidising PHBbound fatty acid with free linoleic acid to create a secondgeneration macroperoxide, illustrating the platform’s modularity. Taken together, these results open a sustainable pathway to tailorable PHBbased hybrid materials for coatings, biofriendly engineering plastics, and multifunctional composite systems72,73,74.
Data availability
The original contributions presented in the study are included in the article; further inquiries can be directed to the corresponding author.
References
Lenz, R. W. & Marchessault, R. H. Bacterial polyesters: biosynthesis, biodegradable plastics and biotechnology. Biomacromolecules 6, 1–8 (2005).
Sudesh, K., Abe, H. & Doi, Y. Synthesis, structure and properties of polyhydroxyalkanoates: biological polyesters. Prog Polym. Sci. 25, 1503–1555 (2000).
Tsuge, T. Metabolic improvements and use of inexpensive carbon sources in microbial production of polyhydroxyalkanoates. J. Biosci. Bioeng. 94, 579–584 (2002).
El-malek, F. A. & Steinbüchel, A. Post-synthetic enzymatic and chemical modifications for novel sustainable polyesters. Front. Bioeng. Biotechnol. 9, 817023 (2022).
Mierzati, M. et al. Tacticity characterization of biosynthesized polyhydroxyalkanoates containing (S)- and (R)-3-Hydroxy-2-Methylpropionate units. Biomacromolecules 25, 444–454 (2024).
Pinto, A., Ciesla, J. H., Palucci, A., Sutliff, B. P. & Nomura, C. T. Chemically intractable no more: in vivo incorporation of Click-Ready fatty acids into Poly-[(R)-3-hydroxyalkanoates] in Escherichia coli. ACS Macro Lett. 5, 215–219 (2016).
Hazer, D. B., Kılıçay, E. & Hazer, B. Poly (3-hydroxyalkanoate) s: diversification and biomedical applications: a state of the Art review. Mater. Sci. Eng. C. 32, 637–647 (2012).
Caputo, M. R. et al. Tailoring the nucleation and crystallization rate of polyhydroxybutyrate by copolymerization. Biomacromolecules 24, 5328–5341 (2023).
Li, J., Li, X., Ni, X. & Leong, K. W. Synthesis and characterization of new biodegradable amphiphilic Poly(ethylene oxide)- b -poly[(R)-3-hydroxy butyrate]- b -poly(ethylene oxide) Triblock Copolymers. Macromolecules 36, 2661–2667 (2003).
Hazer, B., Lenz, R. W., Çakmaklı, B., Borcaklı, M. & Koçer, H. Preparation of poly(ethylene glycol) grafted poly(3-hydroxyalkanoate) networks. Macromol. Chem. Phys. 200, 1903–1907 (1999).
Hazer, B. Simple synthesis of amphiphilic Poly (3-hydroxy alkanoate) s with pendant hydroxyl and carboxylic groups via thiol-ene photo click reactions. Polym. Degrad. Stab. 119, 159–166 (2015).
Domenek, S., Langlois, V. & Renard, E. Bacterial Polyesters grafted with Poly (ethylene glycol): behaviour in aqueous media. Polym. Degrad. Stab. 92, 1384–1392 (2007).
Jiang, T. & Hu, P. Radiation-induced graft polymerization of isoprene onto polyhydroxybutyrate. Polym. J. 33, 647–653 (2001).
Yalcin, B., Cakmak, M., Arkın, A. H., Hazer, B. & Erman, B. Control of optical anisotropy at large deformations in PMMA/chlorinated-PHB (PHB-Cl) blends: Mechano-optical behavior. Polymer 47, 8183–8193 (2006).
Arkin, A. H., Hazer, B. & Borcakli, M. Chlorination of Poly(3-hydroxy alkanoates) containing unsaturated side chains. Macromolecules 33, 3219–3223 (2000).
Arkin, A. H. & Hazer, B. Chemical modification of chlorinated microbial polyesters. Biomacromolecules 3, 1327–1335 (2002).
Bunker, S. P. & Wool, R. P. Synthesis and characterization of monomers and polymers for adhesives from Methyl oleate. J. Polym. Sci. Part. Polym. Chem. 40, 451–458 (2002).
Roberge, S. & Dubé, M. A. Bulk terpolymerization of conjugated Linoleic acid with styrene and Butyl acrylate. ACS Sustain. Chem. Eng. 4, 264–272 (2016).
Göktaş, M., Aykaç, C., Hazer, B. & Ashby, R. D. Synthesis of Poly(styrene)-g-Poly(oleic acid) graft copolymers via reversible addition/fragmentation transfer (RAFT) polymerization using a Poly oleic acid Macro-RAFT agent. J. Polym. Environ. 32, 2629–2643 (2024).
van’t Hoff, T. E. et al. Experimental validation of a reaction network model for autoxidation of linoleate esters. Prog Org. Coat. 189, 108363 (2024).
Hazer, B. Macro peroxide initiators based on autoxidized unsaturated plant oils: block/graft copolymer conjugates for nanotechnology and biomedical applications. J. Am. Oil Chem. Soc. 100, 507–520 (2023).
Acik, G. Bio-based Poly (ɛ-caprolactone) from soybean-oil derived Polyol via ring-opening Polymerization. J. Polym. Environ. 28, 668–675 (2020).
Arslan, H., Hazer, B. & Yoon, S. C. Grafting of poly(3-hydroxyalkanoate) and Linoleic acid onto Chitosan. J. Appl. Polym. Sci. 103, 81–89 (2007).
Acar, M., Çoban, S. & Hazer, B. Novel water soluble Soya oil polymer from oxidized Soya oil polymer and diethanol amine. J. Macromol. Sci. Part. A. 50, 287–296 (2013).
Niki, E. Lipid peroxidation: physiological levels and dual biological effects. Free Radic Biol. Med. 47, 469–484 (2009).
Soucek, M. D., Khattab, T. & Wu, J. Review of autoxidation and driers. Prog Org. Coat. 73, 435–454 (2012).
Yin, H., Xu, L. & Porter, N. A. Free radical lipid peroxidation: mechanisms and analysis. Chem. Rev. 111, 5944–5972 (2011).
Orlova, Y., Harmon, R. E., Broadbelt, L. J. & Iedema, P. D. Review of the kinetics and simulations of linseed oil autoxidation. Prog Org. Coat. 151, 106041 (2021).
Szori, M., Abou-Abdo, T., Fittschen, C., Csizmadia, I. G. & Viskolcz, B. Allylic hydrogen abstraction II. H-abstraction from 1, 4 type polyalkenes as a model for free radical trapping by polyunsaturated fatty acids (PUFAs). Phys. Chem. Chem. Phys. 9, 1931–1940 (2007).
Mcclements, D. J. & Decker, E. A. Lipid oxidation in Oil-in‐Water emulsions: impact of molecular environment on chemical reactions in heterogeneous food systems. J. Food Sci. 65, 1270–1282 (2000).
Stenberg, C., Svensson, M. & Johansson, M. A study of the drying of linseed oils with different fatty acid patterns using RTIR-spectroscopy and chemiluminescence (CL). Ind. Crops Prod. 21, 263–272 (2005).
Hazer, B., Ayyıldız, E. & Bahadır, F. Synthesis of PNIPAM–PEG double hydrophilic polymers using oleic acid macro peroxide initiator. J. Am. Oil Chem. Soc. 94, 1141–1151 (2017).
Allı, A., Allı, S., Becer, C. R. & Hazer, B. One-pot synthesis of Poly (linoleic acid)-g-poly (styrene)-g-poly (ε-caprolactone) graft copolymers. J. Am. Oil Chem. Soc. 91, 849–858 (2014).
Hazer, B. & Keleş, Ö. Comparison of the macro chain transfer agent and the macro Azo initiator based on the Poly(3-hydroxy Butyrate) in the polymerization kinetics of Methyl methacrylate. ACS Omega. 10, 6814–6826 (2025).
Dau, H. et al. Linear block copolymer synthesis. Chem. Rev. 122, 14471–14553 (2022).
Sinturel, C., Bates, F. S. & Hillmyer, M. A. High χ–Low N block polymers: how Far can we go?? ACS Macro Lett. 4, 1044–1050 (2015).
Hazer, B., Ayas, A., Beşirli, N., Saltek, N. & Baysal, B. M. Preparation of ABCBA-type block copolymers by use of macro‐initiators containing peroxy and Azo groups. Makromol Chem. 190, 1987–1996 (1989).
Ueda, A. & Nagai, S. Block copolymers derived from azobiscyanopentanoic acid. VI. Synthesis of a polyethyleneglycol–polystyrene block copolymer. J. Polym. Sci. Part. Polym. Chem. 24, 405–418 (1986).
Yildiz, U., Hazer, B. & Tauer, K. Tailoring polymer architectures with macromonomer azoinitiators. Polym. Chem. 3, 1107–1118 (2012).
Walz, R., Bömer, B. & Heitz, W. Monomeric and polymeric azoinitiators. Makromol Chem. 178, 2527–2534 (1977).
Yıldız, U. & Hazer, B. Dispersion redox copolymerization of Methyl methacrylate with macromonomeric azoinitiator as a macrocrosslinker. Polymer 41, 539–544 (2000).
Murthy, K. S., Kishore, K. & Mohan, V. K. Vinyl monomer based polyperoxides as potential initiators for radical polymerization: an exploratory investigation with Poly(.alpha.-methylstyrene peroxide). Macromolecules 27, 7109–7114 (1994).
Hazer, B. Polymerization of vinyl monomers by a new oligoperoxide: Oligo(adipoyl-5‐peroxy‐2,5‐dimethyl n ‐hexyl peroxide). J. Polym. Sci. Part. Polym. Chem. 25, 3349–3354 (1987).
Voit, B. I. & Lederer, A. Hyperbranched and highly branched polymer Architectures—Synthetic strategies and major characterization aspects. Chem. Rev. 109, 5924–5973 (2009).
Kato, M., Kamigaito, M., Sawamoto, M. & Higashimura, T. Polymerization of Methyl methacrylate with the carbon Tetrachloride/Dichlorotris- (triphenylphosphine)ruthenium(II)/Methylaluminum Bis(2,6-di-tert-butylphenoxide) initiating system: possibility of living radical polymerization. Macromolecules 28, 1721–1723 (1995).
Wang, J. S. & Matyjaszewski, K. Controlled/living radical polymerization. Atom transfer radical polymerization in the presence of transition-metal complexes. J. Am. Chem. Soc. 117, 5614–5615 (1995).
Nicolas, J. et al. Nitroxide-mediated polymerization. Prog Polym. Sci. 38, 63–235 (2013).
Allı, A., Allı, S., Becer, C. R. & Hazer, B. Nitroxide-mediated copolymerization of styrene and pentafluorostyrene initiated by polymeric Linoleic acid. Eur. J. Lipid Sci. Technol. 118, 279–287 (2016).
Whitfield, R. et al. Universal conditions for the controlled polymerization of acrylates, methacrylates, and styrene via Cu(0)-RDRP. J. Am. Chem. Soc. 139, 1003–1010 (2017).
Matyjaszewski, K. & Tsarevsky, N. V. Nanostructured functional materials prepared by atom transfer radical polymerization. Nat. Chem. 1, 276–288 (2009).
Roos, S. G., Müller, A. H. E. & Matyjaszewski, K. Copolymerization of n -Butyl acrylate with Methyl methacrylate and PMMA macromonomers: comparison of reactivity ratios in conventional and atom transfer radical copolymerization. Macromolecules 32, 8331–8335 (1999).
Öztürk, T., Atalar, M. N., Göktaş, M. & Hazer, B. One-step synthesis of block‐graft copolymers via simultaneous reversible‐addition fragmentation chain transfer and ring‐opening polymerization using a novel macroinitiator. J. Polym. Sci. Part. Polym. Chem. 51, 2651–2659 (2013).
Kurtulus, I. et al. A new proton sponge polymer synthesized by RAFT polymerization for intracellular delivery of biotherapeutics. Polym. Chem. 5, 1593–1604 (2014).
Chong, Y. K., Moad, G., Rizzardo, E. & Thang, S. H. Thiocarbonylthio end group removal from RAFT-Synthesized polymers by Radical-Induced reduction. Macromolecules 40, 4446–4455 (2007).
Chong, Y. K. et al. Thiocarbonylthio compounds [SC(Ph)S – R] in free radical polymerization with reversible Addition-Fragmentation chain transfer (RAFT polymerization). Role of the free-Radical Leaving Group (R). Macromolecules 36, 2256–2272 (2003).
Polozov, E., Grigoreva, A., Vlasov, A. & Zaitsev, S. Peculiarities of reversible addition-fragmentation chain transfer (RAFT) polymerization in the presence of switchable RAFT agent. J. Polym. Res. 28, 400 (2021).
Wu, B., Lenz, R. W. & Hazer, B. Polymerization of Methyl methacrylate and its copolymerization with ε-Caprolactone catalyzed by Isobutylalumoxane catalyst. Macromolecules 32, 6856–6859 (1999).
Neugebauer, D., Rydz, J., Goebel, I., Dacko, P. & Kowalczuk, M. Synthesis of graft copolymers containing biodegradable Poly(3-hydroxybutyrate) chains. Macromolecules 40, 1767–1773 (2007).
Hazer, B. & Eren, M. Ecofriendly autoxidation of castor oil/ricinoleic acid. multifunctional macroperoxide initiators for multi block/graft copolymers. J. Am. Oil Chem. Soc. 96, 421–432 (2019).
Abdelmalek, F., Rofeal, M., Pietrasik, J. & Steinbüchel, A. Novel biodegradable nanoparticulate Chain-End functionalized Polyhydroxybutyrate–Caffeic acid with multifunctionalities for active food coatings. ACS Sustain. Chem. Eng. 11, 7123–7135 (2023).
Hazer, B. et al. Novel poly(3-hydroxy butyrate) macro RAFT agent. Synthesis and characterization of thermoresponsive block copolymers. J. Polym. Res. 27, 147 (2020).
Sinnaeve, D. The Stejskal–Tanner equation generalized for any gradient shape—an overview of most pulse sequences measuring free diffusion. Concepts Magn. Reson. Part. A. 40A, 39–65 (2012).
Tallman, K. A., Roschek, B. & Porter, N. A. Factors influencing the autoxidation of fatty acids: effect of olefin geometry of the nonconjugated diene. J. Am. Chem. Soc. 126, 9240–9247 (2004).
Alli, A. & Hazer, B. Synthesis and characterization of Poly (N-isopropyl acryl amide)-g-poly (linoleic acid)/poly (linolenic acid) graft copolymers. J. Am. Oil Chem. Soc. 88, 255–263 (2011).
Rofeal, M., Abdelmalek, F. & Pietrasik, J. Sustainable polyhydroxyalkanoate production from food waste via Bacillus mycoides ICRI89: enhanced 3D printing with Poly (Methyl Methacrylate) blend. Polymers 15, 4173 (2023).
Selli, F., Hufenus, R., Gooneie, A., Erdoğan, U. H. & Perret, E. Structure–Property relationship in Melt-Spun Poly(hydroxybutyrate-co-3-hexanoate) monofilaments. Polymers 14, 200 (2022).
Tomano, N., Boondamnoen, O., Aumnate, C. & Potiyaraj, P. Enhancing impact resistance and biodegradability of PHBV by melt blending with ENR. Sci. Rep. 12, 22633 (2022).
Vahabi, H. et al. Thermal stability and flammability behavior of Poly(3-hydroxybutyrate) (PHB) based composites. Materials 12, 2239 (2019).
Feijoo, P. et al. Development and characterization of fully renewable and biodegradable polyhydroxyalkanoate blends with improved thermoformability. Polymers 14, 2527 (2022).
Parkatzidis, K., Boner, S., Wang, H. S. & Anastasaki, A. Photoinduced Iron-Catalyzed ATRP of renewable monomers in Low-Toxicity solvents: A greener approach. ACS Macro Lett. 11, 841–846 (2022).
Pietsch, C., Fijten, M. W. M., Lambermont-Thijs, H. M. L., Hoogenboom, R. & Schubert, U. S. Unexpected reactivity for the RAFT copolymerization of oligo(ethylene glycol) methacrylates. J. Polym. Sci. Part. Polym. Chem. 47, 2811–2820 (2009).
Keleş, Ö. & Deshpande, P. P. Mechanical behavior of graphene quantum Dot epoxy nanocomposites: a molecular dynamics study. Mater. Lett. 362, 136206 (2024).
Gobi, N., Vijayakumar, D., Keles, O. & Erogbogbo, F. Infusion of graphene quantum Dots to create stronger, tougher, and brighter polymer composites. ACS Omega. 2, 4356–4362 (2017).
Seibert, J. R., Keleş, Ö., Wang, J. & Erogbogbo, F. Infusion of graphene quantum Dots to modulate thermal conductivity and dynamic mechanical properties of polymers. Polymer 185, 121988 (2019).
Acknowledgements
The Authors thank to Kapadokya University Research Funds (#KUN.2023-BAGP 020) for financial support. Partial funding for this work was provided by the U.S. National Science Foundation CAREER Award No. 2145604.
Author information
Authors and Affiliations
Contributions
BH: Writing – review & editing, Validation, Supervision, Resources, Project administration, Formal analysis, Funding acquisition, Conceptualization. ÖK: Writing – review & editing, Writing – original draft, Visualization, Formal analysis. EK: Writing – review & editing, Writing – original draft, Visualization.
Corresponding author
Ethics declarations
Competing interests
The authors declare no competing interests.
Additional information
Publisher’s note
Springer Nature remains neutral with regard to jurisdictional claims in published maps and institutional affiliations.
Rights and permissions
Open Access This article is licensed under a Creative Commons Attribution-NonCommercial-NoDerivatives 4.0 International License, which permits any non-commercial use, sharing, distribution and reproduction in any medium or format, as long as you give appropriate credit to the original author(s) and the source, provide a link to the Creative Commons licence, and indicate if you modified the licensed material. You do not have permission under this licence to share adapted material derived from this article or parts of it. The images or other third party material in this article are included in the article’s Creative Commons licence, unless indicated otherwise in a credit line to the material. If material is not included in the article’s Creative Commons licence and your intended use is not permitted by statutory regulation or exceeds the permitted use, you will need to obtain permission directly from the copyright holder. To view a copy of this licence, visit http://creativecommons.org/licenses/by-nc-nd/4.0/.
About this article
Cite this article
Hazer, B., Keleş, Ö. & Kılıçay, E. Synthesis and characterization of branched multiblock copolymers of polyhydroxybutyrate (PHB) autoxidized fatty acid and polymethylmethacrylate (PMMA). Sci Rep 15, 32084 (2025). https://doi.org/10.1038/s41598-025-15708-z
Received:
Accepted:
Published:
Version of record:
DOI: https://doi.org/10.1038/s41598-025-15708-z





















