Abstract
In this study, the preparation of carbon quantum dots (CQDs) derived from lemon juice as a precursor using hydrothermal method is described. The optical properties of the CQDs were characterized using photoluminescence spectroscopy, which exhibited a maximum emission peak at 450 nm, with the highest intensity recorded for the sample treated at 180 °C. Fourier transform infrared spectroscopy confirmed the presence of amino, carboxylic acid, carboxyl, and hydroxyl groups in the CQDs. Transmission electron microscopy analysis revealed that the CQDs were predominantly spherical in shape, with an average particle diameter of approximately 4.73 nm. The integration of the gold/CQDs thin film with surface plasmon resonance spectroscopy enabled the detection of uric acid. Using Winspall software, the refractive index of the gold/CQDs thin film was determined to be n + ik = 1.6014 + 3.7i, with a thickness of 12.00 nm. The sensor demonstrated a linear response to uric acid concentrations up to 1 µM, achieving sensitivity values of 3.968° µM−1 and 0.4098° µM−1, along with a binding affinity constant of 6.94754 MM−1. These findings demonstrate that the gold/CQDs thin film possesses strong potential for the detection of uric acid, achieving quantitation and detection limits as low as 0.05 µM and 0.002 µM, respectively.
Introduction
Uric acid (UA) is a pure, odorless crystalline component of protein digestion, found in trace amounts across various organs in the body, as well as in blood and urine1. In plasma and serum, UA concentrations typically range from 100 to 400 µM, while adult urine contains about 250–750 mg/L2,3,4. In the environment, biological, and clinical systems, UA is among the most significant biological analytes considering its clinical and toxicological importance. As an essential waste product of nitrogen-containing purine synthesis in humans, UA also acts as a therapeutic antioxidant, with its concentrations increasing in response to oxidative stress5. Normally, UA is present in minimal amounts within the body, however, elevated UA levels in the blood, a condition known as hyperuricemia, can lead to the development of gout and kidney stones6. Abnormal UA levels are also associated with various disease states, including hypertension, pneumonia, and cardiovascular conditions, and may contribute to the formation of crystals or stones in the body7. Given its dual role and clinical relevance, accurate monitoring of UA concentrations in body fluids is vital for the early diagnosis of diseases linked to its abnormal levels. Back in years, UA detection in clinical analysis relied on the enzymatic conversion of UA to allantoin or to CO2 and H2O2, using the uricase enzyme in combination with colorimetric measurement or ultraviolet spectrophotometry3. However, these conventional methods are often associated with several limitations, including the use of expensive reagents, time-consuming, and complex sample preparation steps8. With advancements in analytical technologies, novel sensors incorporating nanomaterials have emerged as promising alternatives, offering stable, cost-effective, and highly sensitive methods for UA detection.
A novel group of carbon nanomaterials known as carbon-based quantum dots, which include graphene quantum dots and carbon quantum dots (CQDs), have emerged with dimensions typically below 10 nm9,10. Initially obtained through preparative electrophoresis during the purification of single-walled carbon nanotubes in 200411, CQDs were later synthesized in 2006 by laser ablation of graphite powder and cement12. These CQDs have the properties of both quantum dots and carbon and is easier to be handle as their chemical and optical properties can be altered. Unlike traditional carbon structures, which have low water solubility and weak fluorescence, CQDs exhibit high solubility and strong luminescence13,14,15. This shows that CQDs have unique optoelectronic properties compared to other quantum dots. Additionally, CQDs are highly soluble in various solvents, low in toxicity, and easily functionalized with diverse functional groups at their edges, which enhances their applicability16. These advantageous properties have driven extensive research, enabling CQDs to be explored for applications across fields such as photovoltaics17, electronics18, bio-imaging19,20, and optical sensors21.
CQDs have also found extensive application as sensing probes for UA detection, integrated with various types of sensors. Some examples of the sensors are electrochemical22,23,24, chemiluminescence25, colorimetric26, and fluorescence sensors27,28. However, some drawbacks have been encountered by these methods, such as the need for complex optical instruments, complicated operational procedures, and long measurement times. To address these drawbacks, the surface plasmon resonance (SPR) sensor emerges as an ideal alternative for this work, as it is renowned as one of the leading sensor technologies due to its high sensitivity, label-free, and real-time detection capabilities29,30. Moreover, SPR offers additional advantages as it is cost-effective, requires simple sample preparations, allows rapid measurements, and does not need a reference solution31,32,33. To generate SPR, several approaches has been introduced, such as metal-insulator-metal waveguides34, metal thin films35, and noble metal nanoparticles36. Among the plasmonic materials, metals and metal nanoparticles were extensively used in the fabrication of SPR sensors, particularly gold (Au)37, silver38, copper39, and Au nanoparticles40,41. Compared to other metals, Au and Au nanoparticles remain the most widely used plasmonic materials due to their excellent chemical stability, biocompatibility, and resistance to oxidation42. In this study, an Au layer was selected for the integration with the SPR method to ensure reliable plasmon excitation.
While Au-based SPR sensors have been widely explored for various analytes, their application for UA detection remains largely underexplored. Thus, this study introduces an innovative approach by integrating CQDs with SPR for UA detection. CQDs were synthesized from lemon juice, which notably has one of the highest citric acid content among all citrus fruits, constituting up to 8% of the dry weight of lemons43. Due to its high citric acid content, lemon juice is considered a promising precursor for producing CQDs with high photostability and low toxicity44. To date, reports on the structural and optical properties of citric acid-based CQDs derived specifically from lemon juice are greatly limited.
Previous studies have reported the synthesis of CQDs from lemon juice using the solvothermal method for applications such as luminescent probes in both in vitro and in vivo bioimaging45, and as a teaching tool for introducing nanoparticle synthesis to students using carbonization method46. In terms of sensing applications, lemon juice-derived CQDs have predominantly been synthesized using the hydrothermal method and successfully incorporated with photoluminescence-based sensors for detecting V5+ ions47, Fe3+ ions48, and Mo6+ ions49. These hydrothermally synthesized CQDs have also been utilized in fluorescent sensors for the detection of Cu2+ ions50, Hg2+ ions51, Fe2+ ions52, Fe3+ ions53, and tannic acid54. In addition, CQDs derived from lemon juice have been prepared using a thermal decomposition approach for Hg2+ ions detection via photoluminescence sensing55. Moreover, a fluorescence detection of Fe3+ ions has been conducted using lemon juice-derived CQDs synthesized through microwave-assisted method56. However, to date, no studies have reported the synthesis of CQDs from lemon juice using the hydrothermal method and their subsequent integration with SPR optical sensor for UA detection.
Therefore, in this study, lemon juice-derived CQDs were synthesized using the hydrothermal method. Their structural and optical properties were explored, and the synthesized CQDs were employed as a sensing layer in an Au-integrated SPR sensor for the detection of UA. The resulting CQDs exhibited excellent optical properties and when incorporated with SPR sensor, they demonstrated a low detection limit of 0.002 µM and high sensitivity towards UA. These findings highlight the strong potential of this eco-friendly sensing platform for future sensing applications.
Materials and methods
Reagent and materials
Lemon fruit was purchased from local market. Disodium ethylenediaminetetraacetic acid (Na2EDTA, M = 292.24 g/mol) was purchased from Bio Basic. SnakeSkin™ Dialysis Tubing with a diameter of 22 mm and molecular weight cut-off of 3.5 kDa was purchased from Thermo Scientific. UA powder (C5H4N4O3, M = 168.11 g/mol) was purchased from Sigma-Aldrich. Deionized water (H2O) was used throughout the experimentation and characterization. A prism with refractive index, n = 1.77861 and the substrate, glass cover slips 24 × 24 mm with thickness 0.13–0.16 mm, were purchased from Menzel-Glaser. All chemicals were used without further purification.
Preparation of CQDs solution
Firstly, the CQDs were synthesized from lemon juice by a simple hydrothermal treatment at relatively low temperatures and through a less time-consuming process. 3 ml of pulp-free lemon juice was mixed with 1.875 ml of Na2EDTA. The mixture was then dissolved in 30 ml of deionized water. The solution was then transferred into a polytetrafluoroethylene-equipped stainless-steel autoclave and heated in the oven at three different temperatures which are 120 °C, 150 °C, and 180 °C for 3 h. After the reaction, the dark brown product of CQDs was obtained after natural cooling to room temperature. The CQDs solution was collected by dialysis against deionized water through a dialysis membrane.
Preparation of UA solution
The UA powder was firstly diluted using deionized water to standard solution with a concentration of 1 M. Then, the standard solution was further diluted with deionized water using the dilution formula of M1V1 = M2V2 with deionized water to produce UA solutions with concentration of 0.05 µM, 0.1 µM, 0.5 µM, and 1.0 µM.
Preparation of thin film
To fabricate highly luminescent CQDs thin film, the spin coating approach was used. First of all, the glass slips were cleaned using acetone in order to make sure the surface of the glass slips was adequately clean and also to remove dirt and suspensions. Next, the glass slips were firstly coated with Au using the SC7640 sputter coater machine. The duration set determined the thickness of the Au layer on the glass slip. In order to get the thickness of 50 nm, the time was set to 67 s57.
After finish coating the glass slip with Au, it was then brought to the spin coating process. Approximately 1000 µL of diluted CQDs solution was placed on the Au coated glass slip to cover almost all part on the surface. Then the glass slip was spun one by one at 3000 rpm for 30 s to produce the Au/CQDs thin film.
Characterization
For optical characterization, LS 55 Photoluminescence Spectrometer (PerkinElmer, Waltham, MA, USA) was used to analyze the photoluminescence (PL) spectra over the wavelength range of 200–800 nm. The Fourier transform infrared (FTIR) spectrometer model spectrum 100 (PerkinElmer, Waltham, MA, USA) was used to determine the functional groups of the Au/CQDs thin film, at the wavelength range from 3800 to 1000 cm−1. The morphological characteristics, including the shape and size distribution of the CQDs, were analyzed using JEM-2100 F transmission electron microscopy (TEM). The acquired TEM images were further analyzed using ImageJ software to determine the particle size distribution.
Potential sensing application using SPR
An optical spectroscopy was designed to identify the potential of the citric acid-based CQDs, derived from lemon juice, for sensing different concentrations of UA which is based on the principle of SPR. Figure 1 shows the schematic diagram of the SPR instrument setup. SPR is a technique used for noticing changes in the refractive index at the surface of a sensor. In this study, the sensor consists of thin films made of Au and Au/CQDs. Basically, when light beam passes through a surface with different refractive index, the light will partially reflect and partially refracted. Total internal reflection happens when no light is refracted since the angle of incident light is greater than the critical angle. The excitation of surface plasmons occurs through total internal reflection, which takes place when a monochromatic, p-polarized light beam strikes a metal-coated thin film58.
In the SPR sensor setup, a p-polarized He-Ne laser with a specific wavelength (632.8 nm) is directed to a prism. On one side of the prism, a glass cover slip coated with either Au or Au/CQDs is attached, and the UA solution being tested is placed in contact with this surface. In order to hold the UA solution, a cell was constructed and linked to the thin film. In the middle of the cell, an O-ring was used to seal the solution, ensuring proper contact between the solution and the sensor surface while allowing the laser light to interact with the thin film. The incident light is controlled by placing the prism and cell on a rotating plane to adjust the angle of incidence. Thus, a large area photodiode will detect the reflected beam and then it will be processed by the lock-in-amplifier. Next, the results retrieved from SPR sensor were analyzed using a simulation study. For this, the Winspall software was employed, which simulates SPR performance theoretically based on Fresnel’s equations59. By inputting the thickness and refractive index of the materials involved, Winspall generates SPR curves, which can then be compared with the experimental data.
Experimental setup of SPR sensor60.
Results and discussion
PL analysis
The PL intensity of CQDs synthesized at three different temperatures with an excitation wavelength of 350 nm is shown in Fig. 2. From the spectrum, CQDs synthesized at 120 °C exhibited an emission wavelength of 454 nm. The PL spectra of CQDs prepared at 150 °C reached an intense emission peak at 457 nm, while the CQDs synthesized at 180 °C displayed the emission peak at 455 nm, with the highest intensity among the three samples. This suggests that CQDs synthesized at the higher temperature of 180 °C produced the most intense emission compared to the other two temperatures. The stronger PL intensity suggests that the CQDs possess better surface properties, such as better surface passivation and fewer non-radiative recombination sites, which may contribute to better sensitivity when applied in the SPR sensor.
The strong fluorescence emission observed in the CQDs synthesized at 180 °C is likely attributed to surface defect states introduced by oxygen-functional groups, which are formed through the partial oxidation of lemon juice during the synthesis process61. These functional groups create multiple energy levels on the surface of the CQDs, resulting in a series of emissive traps62. These traps facilitate the radiative recombination of the photoexcited electrons, which in turns dominate the emission process47. This mechanism significantly contributes to the PL behavior of the CQDs.
It was also observed that the PL spectrum for the 180 °C sample exhibited a slight red shift toward longer wavelengths, which may be due to the distribution of various emissive sites and distinct particle sizes of the CQDs63. Due to the excellent properties of the CQDs treated at 180 °C, this sample was continued to be used in the following characterizations.
PL spectra of CQDs treated at various temperatures.
FTIR analysis
The IR spectrum of CQDs in the range of 3800 cm−1 to 1000 cm−1 is shown in Fig. 3. The spectrum reveals broad absorption bands at 3282 cm−1, 3350 cm−1, and 2858 cm−1, corresponding to the stretching vibrations of O–H, N–H, and C–H bond, respectively63. A broad peak at 1631 cm−1 is attributed to the stretching bond of the C = O64, while a medium-weak C = C stretching bond is observed at 1416 cm−165. Additionally, the absorption peak at 1227 cm−1 represents the C–O group, indicating the presence of carboxyl (–COOH) groups in the CQDs66. These results confirm that the CQDs exhibit characteristic absorption peaks for O–H, C–H, C = O, and C–O bonds. Overall, the presence of carboxylic acids, carboxyl, and hydroxyl functional groups in the CQDs thin film was successfully verified. The FTIR spectra also demonstrate the successful incorporation of the plentiful amino and hydroxyl groups on the surface of CQDs, contributing to their high polarity and excellent water solubility.
FTIR spectrum of CQDs.
TEM analysis
The morphology and particle size of the lemon juice-derived CQDs were examined using TEM. As illustrated in Fig. 4 (a) and (b), captured at magnifications of approximately 150,000x and 300,000x, respectively, the CQDs appeared predominantly spherical and were randomly dispersed. Moreover, a particle size analysis based on a statistical evaluation of at least 30 CQDs from Fig. 4 (a) revealed a size distribution ranging from 2 to 8 nm, as presented in Fig. 4 (c). The average particle diameter of the CQDs was calculated to be 4.73 nm, which is in a good agreement with a previous study by Ding et al. (2017), who synthesized CQDs from pulp-free lemon juice through a solvothermal method and obtained an average size of about 4.6 nm45.
TEM image of lemon juice-derived CQDs at (a) ~ 150,000x magnification and (b) ~ 300,000x magnification. (c) Particle size distribution of lemon juice-derived CQDs.
Additionally, energy dispersive X-ray (EDX) analysis was performed to identify the elemental composition of the citric acid-based CQDs synthesized from lemon juice, as shown in Fig. 5. The analysis revealed that the CQDs primarily consisted of carbon, with a high content of 98.9%, indicating the dominance of carbonaceous structures in the sample. A small amount of oxygen (1.1%) was also detected, which is likely attributed to the presence of oxygen-containing functional groups (O–H, C–O, C = O)67. This finding is consistent with the FTIR analysis, which previously confirmed the presence of these functional groups in the CQDs.
EDX spectrum of lemon juice-derived CQDs.
Optical sensing analysis
SPR signal for UA on Au single layer
Firstly, a preliminary SPR test was conducted with the Au thin film in contact with deionized water. Approximately 2 ml of deionized water was injected into the cell to ensure that it was in contact with the Au layer thin film. The resonance angle obtained from the graph is 53.47°. Further analysis was done by fitting this experimental data of SPR reflectivity curve for Au film in contact with deionized water to the theoretical data. Both theoretical and experimental SPR curves are shown in Fig. 6. The refractive index parameters obtained for the Au layer were 0.16014 for the real part, n68 and 3.70 for the imaginary part, k69. Moreover, the thickness of the Au layer was found to be approximately 50 nm. Meanwhile, the refractive index value obtained for deionized water was found to be 1.333. This SPR curve was used to compare the changes in resonance angle for different concentrations of UA solution.
Fitted and experimental SPR curves of Au thin film exposed to deionized water.
The SPR experiment was then continued using different concentrations of UA in aqueous solution. Starting from the lowest concentration (0.05 µM) until the highest (1.0 µM), the UA solutions were injected one after another into the cell and this experiment was repeated three times in order to achieve data accuracy. Then, the resonance angles for all distinct concentrations of UA were compared using the SPR curves. The SPR curves for UA solutions ranged from 0.05 µM to 1.0 µM in contact with Au thin film is shown in Fig. 7. From the figure, it can be observed that the resonance angles for all concentrations are quite similar. This might due to the little quantity of active ions exist in the concentration solutions that were attached to the Au surface.
SPR curves of Au thin film exposed to different concentrations of UA ranging from 0 µM to 1.0 µM.
Further analysis was done by fitting these experimental data to the theoretical models using the WinSpall software. Figure 8 shows the SPR fitted and experimental curves for different concentrations of UA. The refractive indices of the UA solutions and the Au layer, obtained from the fitting, are listed in Table 1. The results indicate that the n of refractive index of the UA solutions was almost identical to that of deionized water, around 1.333, with a slight increase observed as the UA concentration rose70. However, this small increment did not significantly affect the refractive index of the Au layer, and thus did not result in any noticeable shift in the resonance angle. These observations are consistent with those of Fen and Yunus (2013), who reported no changes in the resonance angle for metal ions across various concentrations when in contact with a bare Au film71.
Fitted and experimental SPR curves of Au thin film exposed to different concentrations of UA from (a) 0.05 µM, (b) 0.1 µM, (c) 0.5 µM, and (d) 1.0 µM.
Next, a graph was plotted for all different concentrations of UA against their respective resonance angle as shown in Fig. 9. The results confirmed that no changes in resonance angle occurred when only Au layer was used in SPR analysis, that is due to the similarity of refractive index for the low concentration of analytes72.
Resonance angle of Au thin film exposed to different concentrations of UA ranging from 0.05 µM to 1.0 µM.
SPR signal for UA using lemon-based CQDs on Au surface
The SPR experiment was then pursued for the detection of UA by replacing Au layer thin film with CQDs coated on top of the Au layer thin film. It was observed that the resonance angle slightly shifted to the right when the Au/CQDs thin film was in contact with deionized water, showing that the resonance angle increased compare to only Au layer thin film. The resonance angle for Au/CQDs film in contact with deionized water is 53.65° compared to 53.47° when it is in contact with Au layer thin film only. Further analysis was done by fitting these experimental data to the theoretical data by inserting the values of thickness and refractive index of Au film and UA solutions obtained earlier. The experimental and fitted SPR curves of the Au/CQDs thin film exposed to deionized water are shown in Fig. 10. From the simulation, the value of refractive index and thickness for the CQDs layer were obtained where the values of n and k of the refractive index were 1.343 and 0.1137, respectively. Meanwhile, the thickness of the CQDs layer was found to be 12 nm.
Fitted and experimental SPR curves of Au/CQDs thin film exposed to deionized water.
The SPR experiment was further continued for different concentrations of UA solutions ranging from 0.05 µM to 1.0 µM. The UA solution was injected one after another into the cell. The SPR curves for different concentration of UA solution in contact with the Au/CQDs thin film are shown in Fig. 11. The resonance angles were determined from the SPR curves of 0, 0.05, 0.1, 0.5, and 1.0 µM, respectively. Slight shifts to the right corresponding to the increasing resonance angles were observed as the concentration of UA solution increases.
The lower concentrations of UA solution were used to compare and find the limit of quantitation (LOQ) of the Au/CQDs thin film by comparing the SPR reflectivity curves of the various UA concentrations with deionized water. LOQ refers to the lowest UA concentration that the SPR sensor can reliably detect and differentiate from the baseline signal. From Fig. 11, the resonance angle of the 0.05 µM UA showed a slight shift from the resonance angle of deionized water when in contact with the Au/CQDs thin film. From this observation, it can be concluded that the LOQ of Au/CQDs thin film is 0.05 µM of UA.
It is believed that the CQDs layer deposited on the Au surface played a significant role in enhancing the detection of UA73. The interaction between UA and the CQDs thin film likely involved the formation of a pair of shared electrons, where the positively charged UA molecules interacted with the negatively charged amine functional groups present in the CQDs. Furthermore, the CQDs contributed to increased optical absorption in both the visible and infrared regions, further enhancing the sensitivity of the sensor. This improvement in sensitivity with the CQDs layer was markedly higher compared to the use of the Au surface alone.
SPR curves of Au/CQDs thin film exposed to different concentrations of UA ranging from 0 µM to 1.0 µM.
Further analysis was performed by fitting the experimental data with theoretical data. The initial values of the refractive index and thickness of the CQDs layer, obtained from fitting the SPR curve of deionized water, were used as the reference for other UA concentrations up to 1 µM. Table 2 shows the parameters calculated by the Winspall software after conducting the simulation.
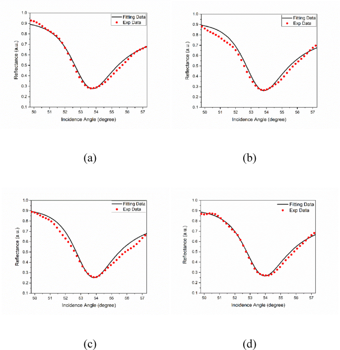
The comparison between the simulated SPR curves and the experimental SPR curves for different concentrations of UA ranging from 0.05 µM to 1 µM are displayed in Fig. 12. In the figure, the experimental SPR curve is represented by the dotted line, while the simulated SPR curve is depicted as a solid line. The simulation results suggest that the thickness of the sensing layer, specifically the CQDs thin film, increases slightly as higher concentrations of UA solution are introduced into the SPR sensor cell. Additionally, the n of refractive index of the UA solution shows a gradual increase with increasing concentrations. As tabulated in Table 2, when 0.05 µM of UA solution was injected, the value of n of refractive index of the CQDs thin film increased slightly to 1.344, with a constant thickness of 12 nm. However, the k value decreases to 0.1087. For the higher concentrations of UA (0.1, 0.5, and 1.0 µM), the n of refractive index of the CQDs thin film continued to rise, while the k values decreased. The thickness of the CQDs layer remained constant until the 1.0 µM concentration was reached, where it increased slightly to 12.2 nm.
Fitted and experimental SPR curves of Au/CQDs thin film exposed to different concentrations of UA from (a) 0.05 µM, (b) 0.1 µM, (c) 0.5 µM, and (d) 1.0 µM.
As expressed, it can be concluded that the interaction between the CQDs sensing layer and varying concentrations of UA played a key role in the significant increase in the n of refractive index of the CQDs layer. As the concentration of UA increases, the refractive index of the CQDs layer also rises, indicating a proportional relationship between the two as the binding process occurs. This can be observed in the enhanced sensitivity of the SPR sensor, as the resonance angle shifts in response to the increasing refractive index, reflecting a more sensitive detection of UA74. In addition, the CQDs layer becomes slightly thicker as the concentration of UA approaches 1 µM. This shows that as the active layer interacts with higher concentrations of UA, the adsorption process occurs at a higher rate, leading to an increase in the thickness of the layer. This results also contributes to the rightward shift of the SPR curves, with an increasing resonance angle observed as the concentrations of UA increases75.
Sensitivity and limit of detection of Au/CQDs thin film
The resonance angle shift (Δθ) was introduced as a parameter to calculate the sensor sensitivity76. Since CQDs is believed to have a significant contribution in the detection of UA, the Δθ was used in this study to further investigate the sensitivity of the sensor thin film. Δθ is determined by taking the difference between the resonance angle of sample and deionized water as reference. The resonance angle and shift of resonance angle for different concentrations of UA in contact with Au/CQDs thin film is shown in Table 3.
The sensitivity of this sensor can be determined by plotting the resonance angle shift against the concentration of UA77. For further analysis, the plotted data were fitted linearly. In order to achieve the best linear regression coefficient R2, two different regions were fitted separately, as shown in Fig. 13. The R2 for the first region (0 to 0.1 µM) was 1.000 and the relationship between the SPR angle shift (ΔθSPR) and the UA concentration was governed by the equation ΔθSPR = 3.698[UA] + 1.359−15. For the second region (0.1 to 1 µM), the R2 obtained was 0.995 with the equation ΔθSPR = 0.4098[UA] + 0.02617. The gradient of each regression line, 3.968° µM−1 for the first region and 0.4098° µM−1 for the second region, represents the sensitivity of the sensor across these ranges. Overall, the active layer thin film showed an excellent sensitivity towards UA up to 1 µM. Above this concentration, the sensitivity declined, likely due to surface saturation from UA accumulation. These findings confirm that the Au/CQDs thin film demonstrates high sensitivity towards UA, especially at lower concentrations.
Resonance angle shift of Au/CQDs thin film exposed to different concentrations of UA ranging from 0 µM to 1.0 µM.
Additionally, the limit of detection (LOD) for UA detection was determined using the following equation:
where σ represents the standard deviation of the blank measurements (n = 3) and S denotes the sensitivity of the sensor. The sensitivity obtained from the lower UA concentration range was used in this calculation, as it yielded a higher sensitivity value compared to the higher concentrations. Based on this, the LOD of the Au/CQDs thin film-integrated SPR sensor for UA detection was determined to be 0.002 µM. This finding demonstrates a significantly lower LOD compared to a previous study, which reported a value of 0.27 µM78. This indicates that the Au/CQDs thin film incorporated with SPR technique displays great promise as a potential sensor for monitoring biochemical compounds in the future.
Binding affinity of Au/CQDs thin film
Another parameter that can be obtained from the SPR analysis is the binding affinity constant, K. In this study, Langmuir isotherm model was used to calculate the K using the following equation:
where Δθmax is the SPR angle shift at the saturation, C is the concentration of the UA, and K is the affinity constant. Figure 14 shows the plot that fitted the Langmuir isotherm model for Au thin film and Au/CQDs thin film in contact with different concentrations of UA. The fitting of calibration curve for the Au/CQDs thin film using Langmuir isotherm model yielded a R2 value of 0.97588 and Δθmax of approximately 0.79744°, which is about 0.057° higher than experimental maximum shift of the SPR angle, i.e., 0.7402°. From the graph, the value of \(\frac{1}{K}\) for the Au/CQDs thin film obtained was 0.143935 µM thus, the calculated K was 6.94754 MM−1. The same analysis was also conducted on the calibration curve for the Au thin film where the values of \(\frac{1}{K}\) and K were 1.01905 µM and 0.938 MM−1, respectively.
In conclusion, a higher affinity constant was calculated for UA when using the Au/CQDs thin film compared to the Au thin film alone, suggesting that the CQDs thin film exhibits stronger binding and higher sensitivity toward UA79. This shows that the CQDs layer has a greater attraction to UA than the Au layer, enhancing the performance of the SPR sensor in UA detection.
Langmuir isotherm model of Au thin film and Au/CQDs thin film exposed to different concentrations of UA ranging from 0 µM to 1.0 µM.
Conclusions
In this study, a citric acid-based CQDs thin film has been successfully synthesized using lemon juice. The PL spectrum of the CQDs under the excitation of 350 nm showed a maximum emission peak at 450 nm. The presence of functional groups in the thin film, including amino, carboxylic acid, carboxyl, and hydroxyl groups was confirmed by FTIR analysis. TEM analysis indicated that the CQDs had an average diameter of 4.73 nm. Additionally, the Au/CQDs thin film was integrated with a SPR technique for the detection of UA in the concentration range of 0.05 to 1 µM. The incorporation of the lemon juice-derived CQDs enhanced the sensitivity of the SPR system compared to the bare Au film. Using Winspall simulation, the refractive index and thickness of the CQDs layer on the Au thin film were also determined. The sensing layer exhibited an increasing refractive index in response to higher UA concentrations, which is indicative of improved sensitivity in the SPR measurements. The shift of resonance angle displayed a linear relationship for the Au/CQDs thin film in contact with UA, yielding sensitivities of 3.968° µM−1 and 0.4098° µM−1. The sensor also demonstrated a LOQ and LOD of 0.05 µM and 0.002 µM, respectively. Furthermore, a higher binding affinity constant was calculated for UA using the Au/CQDs thin film compared to the Au thin film, with values of 6.94754 MM−1 and 0.938 MM−1, respectively. Thus, these results confirmed that the Au/CQDs thin film has high potential sensing for UA using SPR technique. Future studies may focus on investigating the selectivity and anti-interference ability of the Au/CQDs thin film towards UA in the presence of potentially interfering organic compounds or biomolecules, as well as validating the performance of the sensor in real sample matrices.
Data availability
All data required to reproduce these findings are included into the paper.
References
Cheng, J. et al. Uric acid biosensors based on molecular recognition: classifications, advances, and prospects. Trends Anal. Chem. 179, 117887 (2024).
Farinde, A. Lab values, normal adult: Laboratory reference ranges in healthy adults. Medscape (2025). https://emedicine.medscape.com/article/2172316-overview
Sarıkaya, A. G., Osman, B., Çam, T. & Denizli, A. Molecularly imprinted surface plasmon resonance (SPR) sensor for uric acid determination. Sens. Actuators B. 251, 763–772 (2017).
Jain, B. P., Goswami, S. K. & Pandey, S. Protocols in Biochemistry and Clinical Biochemistry: Chap. 9 - Clinical Biochemistry101–118 (Academic, 2021).
Backston, K. et al. Oxidative stress and endothelial dysfunction: the pathogenesis of pediatric hypertension. Int. J. Mol. Sci. 26, 5355 (2025).
Du, L. et al. Hyperuricemia and its related diseases: mechanisms and advances in therapy. Signal. Transduct. Target. Ther. 9, 212 (2024).
Freilich, M., Arredondo, A., Zonnoor, S. L. & McFarlane, I. M. Elevated serum uric acid and cardiovascular disease: a review and potential therapeutic interventions. Cureus 14, e23582 (2022).
Karami, Z., Sohrabi, N. & Badoei-dalfard, A. A specific, rapid and high-throughput cascade catalytic method for determination of plasma uric acid by using uricase and trivalent peroxidase-mimicking DNAzyme. Biocatal. Agric. Biotechnol. 24, 101549 (2020).
Das, R., Bandyopadhyay, R. & Pramanik, P. Carbon quantum Dots from natural resource: A review. Mater. Today Chem. 8, 96–109 (2018).
Rani, U. A., Ng, L. Y., Ng, C. Y. & Mahmoudi, E. A review of carbon quantum Dots and their applications in wastewater treatment. Adv. Colloid Interface Sci. 278, 102124 (2020).
Xu, X. et al. Electrophoretic analysis and purification of fluorescent single-walled carbon nanotube fragments. J. Am. Chem. Soc. 126, 12736–12737 (2004).
Sun, Y. P. et al. Quantum-sized carbon Dots for bright and colorful photoluminescence. J. Am. Chem. Soc. 128, 7756–7757 (2006).
Chatzimitakos, T. et al. Two of a kind but different: luminescent carbon quantum Dots from citrus peels for iron and tartrazine sensing and cell imaging. Talanta 175, 305–312 (2017).
Chen, J. et al. Poly(β-cyclodextrin)/carbon quantum Dots modified glassy carbon electrode: preparation, characterization and simultaneous electrochemical determination of dopamine, uric acid and Tryptophan. Sens. Actuators B. 252, 9–16 (2017).
Das, G. S., Shim, J. P., Bhatnagar, A., Tripathi, K. M. & Kim, T. Y. Biomass-derived carbon quantum Dots for visible-light-induced photocatalysis and label-free detection of Fe(III) and ascorbic acid. Sci. Rep. 9, 15084 (2019).
Zhu, B. et al. Preparation of carbon nanodots from single chain polymeric nanoparticles and theoretical investigation of the photoluminescence mechanism. J. Mater. Chem. C. 1, 580–586 (2013).
Samir, M., Ismail, Z., Agour, A. M., Nageh, H. & Abdellatif, S. O. Exploring forward scattering mechanisms in TiO2 with carbon quantum dots: insights into photovoltaic applications. Opt. Mater. 148, 114922 (2024).
Ahmed, T., Kuo, H. & Lien, D. Tailoring electronic properties of colloidal quantum Dots for efficient optoelectronics. Adv. Photonics Res. 5, 2300216 (2024).
Rodríguez-Varillas, S., Fontanil, T., Casado, J. E., Fernández-González, A. & Laíño, R. B. Surface modification of carbon Dots with cyclodextrins as potential biocompatible photoluminescent delivery/bioimaging nanoplatform. Anal. Chim. Acta. 1318, 342948 (2024).
Saraswat, S. K. et al. Carbon quantum dots: A comprehensive review of green synthesis, characterization and investigation their applications in bioimaging. Inorg. Chem. Commun. 162, 112279 (2024).
Kumar, J. V. & Rhim, J. W. Amine-functionalized sulfur quantum Dots (NH2-SQDs) for detection of Tetracycline in food samples. Mater. Res. Bull. 190, 113506 (2025).
Ganesan, M., Ramadhass, K. D., Chuang, H. C. & Gopalakrishnan, G. Synthesis of nitrogen-doped carbon quantum dots@Fe2O3/multiwall carbon nanotubes ternary nanocomposite for the simultaneous electrochemical detection of 5-fluorouracil, uric acid, and Xanthine. J. Mol. Liq. 331, 115768 (2021).
Huang, G. et al. A simple ultrasensitive electrochemical biosensor for simultaneous determination of dopamine, uric acid and ascorbic acid based on β-cyclodextrin/selenium doped carbon quantum Dots modified glassy carbon electrode. Int. J. Electrochem. Sci. 15, 9888–9901 (2020).
Wei, Y., Xu, Z., Zhang, D. & Fang, Y. Fabrication of gold nanoparticles/carbon quantum Dots nanocomposites for the electrochemical analysis of ascorbic acid, dopamine and uric acid. Int. J. Electrochem. Sci. 15, 8808–8822 (2020).
Hallaj, T., Amjadi, M. & Mirbirang, F. S. N-doped carbon quantum Dots enhanced Luminol-Mn(IV) chemiluminescence reaction for detection of uric acid in biological fluids. Microchem J. 156, 104841 (2020).
Liang, C. et al. Synthesis of carbon quantum Dots with iron and nitrogen from passiflora Edulis and their peroxidase-mimicking activity for colorimetric determination of uric acid. Microchim Acta. 187, 405 (2020).
Wang, Y. et al. Colorimetric and fluorometric determination of uric acid based on the use of nitrogen-doped carbon quantum Dots and silver triangular nanoprisms. Microchim Acta. 185, 281 (2018).
Zhang, Q. et al. Silver nanoparticle-functionalised nitrogen-doped carbon quantum Dots for the highly efficient determination of uric acid. Molecules 27, 4586 (2022).
Hanson, E. K. & Whelan, R. J. Application of the Nicoya OpenSPR to studies of biomolecular binding: A review of the literature from 2016 to 2022. Sensors 23, 4831 (2023).
Patil, P. O. et al. Graphene-based nanocomposites for sensitivity enhancement of surface plasmon resonance sensor for biological and chemical sensing: A review. Biosens. Bioelectron. 139, 111324 (2019).
Liu, X. et al. SFFO cortisol biosensor: highly sensitive S-Flex fiber optic plasmonic biosensor for label-free cortisol detection. IEEE Sens. J. 24, 1494–1501 (2024).
Akgönüllü, S., Armutcu, C. & Denizli, A. Molecularly imprinted polymer film based plasmonic sensors for detection of Ochratoxin A in dried Fig. Polym. Bull. 79, 4049–4067 (2022).
Hashim, H. S. et al. Surface plasmon resonance sensor based on gold-graphene quantum Dots thin film as a sensing nanomatrix for phenol detection. Opt. Laser Technol. 168, 109816 (2024).
Chau, Y. F. C. et al. Ultra-high refractive index sensing structure based on a metal-insulator-metal waveguide-coupled T-shape cavity with metal Nanorod defects. Nanomaterials 9, 1433 (2019).
Kamil, Y. M. et al. Di-iron trioxide hydrate-multi-walled carbon nanotube nanocomposite for arsenite detection using surface plasmon resonance technique. IEEE Photonics J. 11, 6802209 (2019).
Chau, Y. F. C. et al. Plasmonic effects in composite metal nanostructures for sensing applications. J. Nanoparticle Res. 20, 190 (2018).
Saleviter, S. et al. Structural and optical studies of cadmium sulfide quantum dot-graphene oxide-chitosan nanocomposite thin film as a novel SPR spectroscopy active layer. J. Nanomater. 4324072 2018 (2018).
Yu, J. et al. Quasi optical cavity of hierarchical ZnO nanosheets@ag nanoravines with synergy of near- and far-field effects for in situ Raman detection. J. Phys. Chem. Lett. 10, 3676–3680 (2019).
Verma, R. & Gupta, B. D. A novel approach for simultaneous sensing of Urea and glucose by SPR based optical fiber multianalyte. Analyst 139, 1449–1455 (2014).
Riskin, M., Tel-Vered, R., Lioubashevski, O. & Willner, I. Ultrasensitive surface plasmon resonance detection of trinitrotoluene by a bis-aniline-cross-linked Au nanoparticles composite. J. Am. Chem. Soc. 131, 7368–7378 (2009).
Huang, C. F., Yao, G. H., Liang, R. P. & Qiu, J. D. Graphene oxide and dextran capped gold nanoparticles based surface plasmon resonance sensor for sensitive detection of Concanavalin A. Biosens. Bioelectron. 50, 305–310 (2013).
Semwal, V. & Gupta, B. D. Highly selective SPR based fiber optic sensor for the detection of hydrogen peroxide. Sens. Actuators B. 329, 129062 (2021).
Penniston, K. L., Nakada, S. Y., Holmes, R. P. & Assimos, D. G. Quantitative assessment of citric acid in lemon juice, lime juice, and commercially-available fruit juice products. J Endourol. 22, 567–570 (2008).
Tyagi, A., Tripathi, K. M., Singh, N., Choudhary, S. & Gupta, R. K. Green synthesis of carbon quantum Dots from lemon Peel waste: applications in sensing and photocatalysis. RSC Adv. 6, 72423–72432 (2016).
Ding, H. et al. Facile synthesis of red-emitting carbon Dots from pulp-free lemon juice for bioimaging. J. Mater. Chem. B. 5, 5272–5277 (2017).
Schneider, E. M., Bärtsch, A., Stark, W. J. & Grass, R. N. Safe one-pot synthesis of fluorescent carbon quantum Dots from lemon juice for a hands-on experience of nanotechnology. J. Chem. Educ. 96, 540–545 (2019).
Hoan, B. T. et al. A green luminescence of lemon derived carbon quantum Dots and their applications for sensing of V5+ ions. Mater. Sci. Eng. B. 251, 114455 (2019).
Hoan, B. T., Tam, P. D. & Pham, V. H. Green emission carbon quantum Dots from lemon juice for selective detection of Fe3+ ions. VNU J. Sci. Math. - Phys. 35, 62–69 (2019).
Hoan, B. T. et al. Luminescence of lemon-derived carbon quantum Dot and its potential application in luminescent probe for detection of Mo6+ ions. Luminescence 33, 545–551 (2018).
Das, P. et al. A simplistic approach to green future with eco-friendly luminescent carbon Dots and their application to fluorescent nano-sensor ‘turn-off’ probe for selective sensing of copper ions. Mater. Sci. Eng. C. 75, 1456–1464 (2017).
Tadesse, A., Hagos, M., Ramadevi, D., Basavaiah, K. & Belachew, N. Fluorescent-nitrogen-doped carbon quantum Dots derived from citrus lemon juice: green synthesis, mercury(II) ion sensing, and live cell imaging. ACS Omega. 5, 3889–3898 (2020).
Zhang, Y., Li, Z., Sheng, L. & Meng, A. Lemon juice-derived nitrogen-doped carbon quantum Dots for highly sensitive and selective determination of ferrous ions and cell imaging. Colloids Surf. Physicochem Eng. Asp. 657, 130580 (2023).
Mondal, T. K. et al. Highly luminescent N-doped carbon quantum Dots from lemon juice with porphyrin-like structures surrounded by graphitic network for sensing applications. RSC Adv. 6, 59927–59934 (2016).
Xavier, S. S. J. et al. Environmentally benign carbon nanodots prepared from lemon for the sensitive and selective fluorescence detection of Fe(III) and Tannic acid. J. Fluoresc. 29, 631–643 (2019).
Gharat, P. M., Pal, H. & Choudhury, S. D. Photophysics and luminescence quenching of carbon Dots derived from lemon juice and glycerol. Spectrochim Acta Part. Mol. Biomol. Spectrosc. 209, 14–21 (2019).
Venkatesh, Y., Naidu, P. V. S., Rao, P. A. & Kundrapu, D. B. Green synthesis of multifunctional nitrogen-doped carbon quantum Dots (N-CQDs) derived from citrus lemon juice: applications on antioxidant and antimicrobial activities and highly selective detection for Fe3+ ion sensing. Res. Chem. Intermed. 51, 2621–2643 (2025).
Fen, Y. W., Yunus, W. M. M. & Yusof, N. A. Surface plasmon resonance optical sensor for detection of Pb2+ based on immobilized p-tert-butylcalix[4]arene-tetrakis in Chitosan thin film as an active layer. Sens. Actuators B Chem. 171–172, 287–293 (2012).
Verma, A. & Gupta, B. D. Fiber optic surface plasmon resonance based disposable probe for the detection of phosphate ion in soil. Optik 243, 167484 (2021).
Ji, L., Chen, Y. & Yuan, Y. J. Investigation of surface plasmon resonance phenomena by finite element analysis and Fresnel calculation. Sens. Actuators B Chem. 198, 82–86 (2014).
Fen, Y. W. et al. Preparation, characterization and optical properties of ionophore doped Chitosan biopolymer thin film and its potential application for sensing metal ion. Optik 126, 4688–4692 (2015).
Sajid, P. A. et al. One-pot microwave-assisted: in situ reduction of Ag + and Au3 + ions by citrus Limon extract and their carbon-dots based nanohybrids: A potential nano-bioprobe for cancer cellular imaging. RSC Adv. 6, 103482–103490 (2016).
Li, X., Zhang, S., Kulinich, S. A., Liu, Y. & Zeng, H. Engineering surface States of carbon Dots to achieve controllable luminescence for solid-luminescent composites and sensitive Be2+ detection. Sci. Rep. 4, 4976 (2014).
Kundu, A., Basu, S. & Maity, B. Upcycling waste: citrus Limon peel-derived carbon quantum Dots for sensitive detection of Tetracycline in the nanomolar range. ACS Omega. 8, 36449–36459 (2023).
Fauzi, N. I. M. et al. Nanostructured chitosan/maghemite composites thin film for potential optical detection of mercury ion by surface plasmon resonance investigation. Polymers 12, 1497 (2020).
Anas, N. A. A. et al. Optical properties of chitosan/hydroxyl-functionalized graphene quantum Dots thin film for potential optical detection of ferric (III) ion. Opt. Laser Technol. 120, 105724 (2019).
Fauzi, N. I. M., Fen, Y. W., Eddin, F. B. K. & Daniyal, W. M. E. M. M. Structural and optical properties of graphene quantum dots – polyvinyl alcohol composite thin film and its potential in plasmonic sensing of Carbaryl. Nanomaterials 12, 4105 (2022).
Sajid, P. A. et al. One-pot microwave-assisted: in situ reduction of ag++ and Au3+ ions by citrus Limon extract and their carbon-dots based nanohybrids: A potential nano-bioprobe for cancer cellular imaging. RSC Adv. 6, 103482–103490 (2016).
Yakubovsky, D. I., Arsenin, A. V., Stebunov, Y. V., Fedyanin, D. Y. & Volkov, V. S. Optical constants and structural properties of thin gold films. Opt. Express. 25, 25574 (2017).
Ciesielski, A. et al. Evidence of germanium segregation in gold thin films. Surf. Sci. 674, 73–78 (2018).
Rafis, H. et al. Detection of different concentrations of uric acid using tapered silica optical sensor. J. Teknol (Sciences Eng. 74, 55–58 (2015).
Fen, Y. W. & Yunus, W. M. M. Surface plasmon resonance spectroscopy as an alternative for sensing heavy metal ions: A review. Sens. Rev. 33, 305–314 (2013).
Fen, Y. W. & Yunus, W. M. M. Characterization of the optical properties of heavy metal ions using surface plasmon resonance technique. Opt. Photonics J. 01, 116–123 (2011).
Hashim, H. S. et al. Detection of phenol by incorporation of gold modified-enzyme based graphene oxide thin film with surface plasmon resonance technique. Opt. Express. 28, 9738–9752 (2020).
Al-Qazwini, Y. et al. Performance evaluation of a bilayer SPR-based fiber optic RI sensor with TiO2 using FDTD solutions. Photonic Sens. 4, 289–294 (2014).
Menon, P. S. et al. High sensitivity Au-based Kretschmann surface plasmon resonance sensor for Urea detection. Sains Malaysiana. 48, 1179–1185 (2019).
Ramdzan, N. S. M. et al. Optical and surface plasmon resonance sensing properties for chitosan/carboxyl-functionalized graphene quantum Dots thin film. Optik 178, 802–812 (2019).
Saleviter, S. et al. Design and analysis of surface plasmon resonance optical sensor for determining Cobalt ion based on chitosan-graphene oxide decorated quantum dots-modified gold active layer. Opt. Express. 27, 32294–32307 (2019).
Miyazaki, C. M., Shimizu, F. M., Mejía-Salazar, J. R., Oliveira, O. N. & Ferreira, M. Surface plasmon resonance biosensor for enzymatic detection of small analytes. Nanotechnology 28, 145501 (2017).
Omar, N. A. S. et al. Sensitive surface plasmon resonance performance of cadmium sulfide quantum dots-amine functionalized graphene oxide based thin film towards dengue virus E-protein. Opt. Laser Technol. 114, 204–208 (2019).
Funding
This research was funded by Universiti Putra Malaysia through the Putra Grant (GPB/2024/9810900).
Author information
Authors and Affiliations
Contributions
Conceptualization, M.A.S.M.N.A., Y.W.F., N.A.S.O., and F.B.K.E.; Data curation, N.A.S.O.; Formal analysis, M.A.S.M.N.A., H.S.H., and R.E.M.K.; Funding acquisition, Project administration, Y.W.F.; Investigation, Methodology, M.A.S.M.N.A.; Software, W.M.E.M.M.D.; Resources, Y.W.F. and J.A.; Supervision, Validation, Y.W.F., J.A., H.A., and A.T.; Visualization, W.M.E.M.M.D. and F.B.K.E.; Writing – original draft, M.A.S.M.N.A., H.S.H., and R.E.M.K.; Writing – review & editing, Y.W.F. and H.S.H.
Corresponding author
Ethics declarations
Competing interests
The authors declare no competing interests.
Additional information
Publisher’s note
Springer Nature remains neutral with regard to jurisdictional claims in published maps and institutional affiliations.
Rights and permissions
Open Access This article is licensed under a Creative Commons Attribution-NonCommercial-NoDerivatives 4.0 International License, which permits any non-commercial use, sharing, distribution and reproduction in any medium or format, as long as you give appropriate credit to the original author(s) and the source, provide a link to the Creative Commons licence, and indicate if you modified the licensed material. You do not have permission under this licence to share adapted material derived from this article or parts of it. The images or other third party material in this article are included in the article’s Creative Commons licence, unless indicated otherwise in a credit line to the material. If material is not included in the article’s Creative Commons licence and your intended use is not permitted by statutory regulation or exceeds the permitted use, you will need to obtain permission directly from the copyright holder. To view a copy of this licence, visit http://creativecommons.org/licenses/by-nc-nd/4.0/.
About this article
Cite this article
Afandi, M.A.S.M.N., Fen, Y.W., Hashim, H.S. et al. Eco-friendly synthesis of carbon quantum dots from lemons for enhanced uric acid detection using gold-integrated surface plasmon resonance. Sci Rep 15, 38520 (2025). https://doi.org/10.1038/s41598-025-16423-5
Received:
Accepted:
Published:
Version of record:
DOI: https://doi.org/10.1038/s41598-025-16423-5














