Abstract
Drinking contaminated water is a leading cause of several waterborne diseases. Domestic water filtration plants are treated as one of the possible alternative tools to combat the disease caused by contaminated drinking water. Little is known about the usage behaviour of households to use water filtration plants at the domestic level in combating waterborne disease. Unveiling how different social, economic, and technological factors can mold household usage behavior to use domestic water filtration plants can be helpful in combating the spread of diseases caused by contaminated water. We have collected a cross-sectional dataset from one of the developing countries and applied the SEM-ANN dual-stage hybrid model to test the proposed hypotheses and rank the social, economic, and technological factors according to their normalised importance. Results revealed that awareness of risks associated with contaminated water, social influence, and water pollution knowledge are the most significant predictors behind the use of domestic water filtration plants, whereas cost is a potential barrier. Gender was found to be a significant moderator and caused a small moderation in our study. Our study results have important policy suggestions for governments and other stakeholders to combat waterborne disease and achieve the WHO’s clean water goal 2030.
Similar content being viewed by others
Introduction
Contaminated water is one of the leading causes of several waterborne diseases such as Typhoid Fever, Cholera, Giardia, Dysentery, Hepatitis A, Salmonella, etc1. Hundreds of millions of people are infected with waterborne illnesses each year, the majority of whom are residents of underdeveloped nations that lack access to clean and sanitary water sources. Authorities have established standards, regulations for the quality of drinking water in public water systems, and limitations worldwide. Unfortunately, several countries do not even have access to clean drinkable water, or these limits are not followed strictly, which causes health risks. This is more common in developing countries.
Water pollution may develop as a result of toxic chemicals dissolving in water, staying suspended in water, or settling at the water’s bottom when they are introduced to water bodies such as lakes, rivers, oceans, and so on. In addition to harming marine life, the toxins might leak into the groundwater, contaminating our drinking water and other everyday items. The water’s quality suffers as a result of this2.
It is estimated that around 829,000 people die each year from diarrhoea as a direct consequence of contaminated drinking water, poor sanitation, and inadequate hand hygiene3. Despite this, diarrhoea is mostly avoidable, and if these risk factors were addressed, it would be possible to save the deaths of 297,000 children less than 5 years old each year. People in areas where there is a lack of ready access to water may make the decision not to prioritise washing their hands, which may increase the risk of acquiring illnesses such as diarrhoea and others3.
People will spend less effort and time physically gathering water when it comes from better and more easily accessible sources. This will allow them to be more productive in other areas of their lives. Because of this, there is a decreased need to go far or take risks to gather and transport water, which may lead to increased personal safety and a reduction in musculoskeletal illnesses3. People who have access to better water are less likely to get unwell, which reduces the likelihood of incurring medical bills, and they are better able to continue being economically active. This leads to a reduction in overall health care costs3.
Climate changes, an ever-increasing lack of available water, expanding populations, shifting demographics, and expanding metropolitan areas are all factors that currently pose difficulties for water delivery systems3. There are already over 2 billion people living in countries that are experiencing water shortages, and it is anticipated that this problem will become much more severe in certain places as a consequence of climate change and population expansion3. The recycling of wastewater to recover more water, nutrients, or energy is turning into an increasingly essential tactic.
The available literature focuses on the improvements of water filtration plants or their after-effects. Recent studies have focused on the effects of water treatments and used water samples from filtration plants to conclude their results4, community knowledge about water5, water filtration technology6, green approach to water purification technology7, biochars for water purification8, drinking water quality9 etc. None of the studies has involved households in assessing their behaviour toward adopting and using domestic water filtration plants. After carefully investigating available literature, we conclude that an iota of information is available on the household usage behaviour towards the domestic water filtration plants to combat the disease caused by drinking contaminated tap water.
We took this opportunity and explored the influence of different variables related to the household usage of water filtration plants that can lead to a healthy lifestyle and cure the disease caused by drinking contaminated water. We have postulated the following research questions based on this literature gap to study the subject. Furthermore, in a dynamic environment where water purification technologies are evolving rapidly and regulations are being tightened to meet global targets such as SDG 6.1 (universal access to safe drinking water), our study offers a behavioral complement to the existing technical and policy literature. By linking social, economic, and psychological variables to actual household behavior, this study advances an empirically grounded framework that can inform both the scientific community and practitioners. As outlined in Table 1, we bridge several gaps: from the disconnect between filtration efficacy and user affordability to risk perception in moderating technology usage. This work is particularly timely given the increasing availability of multi-stage domestic filters, solar disinfection methods, and low-cost ceramic units—many of which are supported by NGO or government initiatives. Thus, our results contribute not only to the theory of technology adoption but also to applied water governance and behavioral health strategies in developing contexts.
RQ1
What are the influences of different social, economic, and technological factors on household usage behaviour of domestic water filtration plants?
RQ2
Does gender play a moderating role in household domestic filtration plant usage behaviour?
RQ3
What is the normalised importance of each social, economic, and technological factor on the usage behaviour of domestic water filtration plants?
In response to the above-mentioned research questions, we have proposed an integrated model based on UTAUT. We have collected a cross-sectional dataset from the rural and urban households to test our proposed model and applied the PLS-SEM-ANN dual-stage hybrid model to conclude the study results. Study findings revealed that awareness of risks associated with contaminated water, facilitating condition, performance expectancy, social influence, and water pollution knowledge positively, whereas cost negatively influences household usage behaviour of domestic water filtration plants. Results also revealed that gender has a small moderating effect on the usage behaviour of households, and awareness of risks associated with contaminated water, social influence, and water pollution knowledge are the three most important factors in the usage behaviour of domestic water filtration plants.
Theoretical background
Unified theory of acceptance and use of technology (UTAUT)
Based on UTAUT, a unified technology adoption and use model, we have proposed an integrated model to understand the role of domestic water filtration plants among households to combat diseases caused by contaminated tap water. UTAUT was proposed in 200310 and is one of the most common models used in assessing consumers’ behaviour towards adopting technology and its use in the future. Several studies have used the UTAUT model to study consumer behaviour towards different technologically advanced products, such as e-commerce adoption11, eco-friendly products12, smartwatch purchasing decision13, and so on. After carefully investigating the prevailing literature, we have introduced awareness of risks associated with contaminated water and water pollution knowledge among the households as two new variables in the base model.
Recent advancements in water purification technologies have introduced a range of options for household and community-level applications. Common domestic systems include activated carbon filters, reverse osmosis (RO), ultraviolet (UV) disinfection units, ultrafiltration (UF) membranes, and multi-stage integrated filters, each offering different capabilities in removing microbial and chemical contaminants. For rural or low-resource settings, low-cost innovations such as ceramic filters, biosand filters, and solar disinfection (SODIS) methods are gaining attention. At the municipal level, large-scale systems employ coagulation-flocculation, membrane bioreactors, and advanced oxidation processes (AOPs) to ensure safe drinking water. While our study does not assess the technical merits of these systems, we conceptualize domestic filtration technologies as household-level health technologies. Their adoption is contingent upon perceived efficacy, availability, affordability, and trust in operational performance—all of which are central to constructs within the UTAUT framework, particularly performance expectancy, facilitating conditions, and effort expectancy.
The purpose was to understand the influence of these variables on the usage behaviour of water filtration plants among households to fight against diseases caused by contaminated drinking water. Apart from introducing these two variables in UTAUT, we have studied the moderation effect of gender on the usage behaviour of households concerning the study’s independent variables. The UTAUT2 is not considered just for this reason since factors such as habit, hedonistic drive, and satisfaction are related to the post-adoption behaviour of technology that leads to its continued use. The proposed model is explained in Fig. 1, and the systematic literature review is presented in Table 1.
Conceptual framework (ARACW: Awareness of Risk associated with contaminated water; CV: Cost Value; FC: Facilitating Condition; PE: Performance expectancy; SI: Social influence; WPK: Water Pollution Knowledge).
Hypothesis development
Awareness of risks associated with contaminated water
A person’s adoption or rejection of a technical advance is based on their level of awareness, which may be defined as their comprehension or recognition of the benefits and disadvantages of the invention21,22. In the past, scholars have rarely focused their research on examining this facet of consumers’ inclinations to install residential water filtration systems. According to the findings of several studies, a significant number of people have a limited understanding of the advantages associated with using residential water filtration plants as a remedy to avoid diseases caused by contaminated tap water23,24. Customers who are contemplating the usage of domestic water filtration plants face a substantial obstacle in the form of this information deficiency. Researchers have also discovered that people’s future choices are greatly influenced by their knowledge of a prospective opportunity or danger22, and the same is true in the case of the adoption of eco-friendly products12. In the context of water filtration plants for the home, we are making the assumption that the degree to which an individual household is aware of these plants is proportional to the degree to which that household is interested in adopting these plants. As a result, we will postulate the following.
H1
Awareness of Risks associated with contaminated water will positively influence households’ behaviour toward using domestic water filtration plants.
Cost value
The term “cost value” refers to reasonable pricing that provides customers with the greatest value for the amount of money they spend12. Price-value analysis, in accordance with the rational choice principle, seeks to achieve a state of equilibrium between the overall operating expenses and the prospective profits that may be realised in the future25. The customer is the one who determines which technological innovation offers a better-perceived benefit when weighed against the associated expense for that specificity, which is referred to as “the Cost value”10,22. Users of a certain technology have a tendency to have preferences for utilising the technology that vary between what was offered and what was sacrificed when they compare the advantages of using the technology against the expenses of using the technology12. Customers are often swayed in their choices by a variety of financial considerations when it comes to making selections about what to purchase. Customers’ levels of disposable money are known to have a considerable effect on their decisions about whether or not they will make purchases, since this is a well-established fact13,26. Recent studies have shown that a product’s price significantly impacts the likelihood that a customer will purchase a new product27. We concluded that the pricing of domestic water filtration plants would impact consumers’ purchase choices; based on this body of data, we assume the following.
H2
The cost value of domestic water filtration plants will negatively influence consumers to install water filtration plants.
Facilitating conditions
It’s important to have the right tools and resources in place in order to take advantage of current technological advances or creative products10,13. People are more likely to buy environmentally friendly items, eco-friendly cars, electronic devices, and communication technologies if they are given favourable circumstances12,13,22. In most cases, water filtration plants, like the one used for this research, are either created wholly out of biodegradable materials or equipped with cutting-edge technology that acts as a tool for resource conservation. They help maintain a healthy lifestyle and in combating with diseases caused by contaminated water. Enabling circumstances and accompanying knowledge will affect consumers’ usage behaviour regarding environmentally friendly information. If the facilitating conditions, such as installation cost, spare parts, and other infrastructures, are readily available, it is expected that people will be inclined to install domestic water filtration plants. Hence we hypothesised.
H3
Facilitating conditions associated with the installation and availability of domestic water filtration plants will positively influence consumers’ usage behaviour toward water filtration plants.
Performance expectancy
A value consumers expect from a service or product, such as mobile broadband connectivity, while they go through their daily routines, is known as “performance expectation”10,22. Perceived performance may be a good predictor of a person’s willingness to try new technology or products in the future. Research on mobile applications often uses the notion of performance expectation in order to better understand a user’s behavioral and functional goals. E-vehicle adoption is driven by performance expectations26; according to researchers’ findings, eco-friendly product sales increase if they match the performance expectancy of consumers12. Research conducted by Guziana and Dobers28 suggests that when eco-friendly products are positioned to meet functional performance criteria, such as durability, efficiency, and reliability, they are considerably more attractive to consumers. When it comes to smartwatches, performance is a critical factor13; the same is true for e-commerce11. Because of this, we think that green goods will be adopted and used by customers in developing nations in the future, which will contribute to the development of a green economy that can be sustained. Theoretically, we may say.
H4
Performance expectancy of water filtration plants will positively influence households to install water filtration plants.
Social influence
Subjective norms are based on people’s opinions of what other people think about the acceptability of using a certain technology, service, or activity11. Social influence is at play when society accepts or rejects technology. According to the findings of studies, it is a strong predictor, but in some situations, it does not impact a person’s choice. Researchers found that social variables play an important part in the adoption of e-commerce11, eco-friendly products12and 5G technology adoption22. It has been proven that subjective norms substantially affect the level of consumer satisfaction experienced24. With this, we believe that consumers in developing countries will be inspired to adopt and use water filtration plants in the future, which will help construct a sustainable, healthy society and help prevent viral diseases. Although people are socially influenced to use groundwater for drinking purposes, it is unhealthy in most cases, especially in industrialised areas2. Because of this, we are forced to postulate that.
H5
Social influence of households will positively influence them to use water filtration plants.
Water pollution knowledge
The contamination of water sources (such as lakes, rivers, seas, aquifers, and wells) by human activity is common in the world’s waterways. Water’s chemical, physical, and biological qualities are tampered with, and the results are harmful to all living things. Skin rashes, as well as cancer, typhoid fever, reproductive issues, and stomach illness, may be brought on by people due to ingesting contaminated water or swimming in polluted water29. Ingestion of or contact with contaminated water has been linked to health issues including skin rashes, gastrointestinal illnesses, and diseases such as typhoid fever, underscoring the necessity for vigilant monitoring and remediation efforts30,31.
It is expected that if people have knowledge about the benefits of a particular technology or product and the associated risk of using it, they will avoid the consumption of harmful products and prefer to use they products that will help them in maintain a good health and avoid health risks12. Knowledge about the benefits and associated health risks is a significant predictor in shaping human behaviour toward changing the human lifestyle and eating or drinking habits30,31,32. Furthermore, studies suggest that an increase in environmental knowledge correlates positively with the intention to adopt health-conscious behaviors, indicating that education can be a powerful tool in shaping public attitudes and actions toward sustainable water use33. Environmental information has also been shown to improve people’s perceptions of environmental risk, environmental issues, and green buying behaviors. The adoption of environmentally friendly goods by customers in developing nations is strongly influenced by their level of environmental awareness, according to recent research conducted in one of these countries12. Since we think that if people are aware of the economic and environmental costs of consuming contaminated tap water, they will most likely install a domestic water filtration plant for their domestic usage. As a result, we hypothesise the following.
H6
Knowledge of water pollution and consumption will positively influence the household to install a domestic water filtration plant.
Gender as a moderator
Demographic features of a sample, such as gender, age, education level, etc., play a significant role as moderators and strengthen the relationship between explained and exploratory variables11,12,21,34. When it comes to selecting choices, men and women have fundamentally different ways of thinking about the environment. There are some components of the world that, from a male and female perspective, are experienced quite differently. According to research conducted in Pakistan12, environmental knowledge does not substantially impact females’ intentions to use environmentally friendly items; however, it does have a large influence on males’ intentions. In addition, FC does not affect the choices that males make, but females need to utilise environmentally friendly items. Researchers11 also found that gender moderates the association between FC, SI, curiosity, and behavioural intentions in the context of achieving a sustainable green economy via e-commerce. Because of this gender difference pattern that has been observed, we believe that male and female consumers of water filtration plants will have significantly different preferences about the kind of plants they utilise. As a result, we suggest that.
There is a significant moderation effect of gender on the relationship of ARACW (H1a), CV (H2a), FC (H3a), PE (H4a), SI (H5a), WPK (H6a), and usage behavior of domestic water filtration plants.
Methodology
Questionnaire design & data collection
The study protocol was reviewed and approved by the Institutional Review Board of Beijing University of Technology. Prior to participation, all respondents were informed about the purpose of the research, assured of the anonymity of their responses, and provided informed consent in accordance with the Declaration of Helsinki (2013)35. Participation was entirely voluntary, and respondents were allowed to withdraw at any point.
Following the approved study design, we adopted a rigorous and validated multi-stage approach for questionnaire design and data collection, informed by both prior methodological research and contextual constraints of the study environment36.
First, we constructed the measurement instrument using scales validated in previous studies aligned with the UTAUT framework, with additional items adapted for the current context. Supplementary Table 1 provides a detailed account of each construct and its respective items. To ensure that responses captured a comprehensive range of adoption behaviors, the term “domestic water filtration system” was framed broadly during the survey. Respondents were informed that it includes a variety of household technologies such as reverse osmosis (RO), ultraviolet (UV) filtration, activated carbon filters, ultrafiltration (UF) systems, and low-cost options like ceramic or biosand filters. This framing ensured that each construct—whether economic (e.g., cost value), social (e.g., social influence), or technological (e.g., performance expectancy, facilitating conditions)—would be interpreted through the lens of the specific technology familiar to the respondent. This inclusivity is particularly important given the varying prevalence, affordability, and accessibility of different technologies across urban and rural contexts. The scale items were reviewed by two senior faculty experts in technology adoption and water resource management to ensure contextual clarity and content validity37. Subsequently, a pilot study involving ten university students (bachelor’s and master’s level) was conducted to assess face validity, estimate average completion time, and incorporate minor refinements based on user feedback36,37. These pilot responses were excluded from the final dataset.
To minimize manual data entry errors and enhance operational efficiency, we opted for online data collection via Google Forms. A 5-point Likert scale (1 = Strongly Disagree, 5 = Strongly Agree) was used for all items due to its widespread use, user familiarity, and proven psychometric robustness in similar studies27.
For sampling, we implemented a systematic random sampling technique to mitigate selection bias and ensure heterogeneity across geographic and socioeconomic lines38. Our sampling frame comprised residential consumers registered with the Water and Power Development Authority (WAPDA)—a comprehensive national database of households with utility access. Every fifteenth household was selected from this database across urban and rural areas38, ensuring balanced spatial representation based on population density, infrastructure availability, and literacy rates.
It is important to address the concern regarding the elevated educational attainment of respondents (as observed in Table 2). This is not a result of acquaintance-based or snowball sampling, but rather an inherent feature of the online administration modality and the urban weighting of the sample38. Online surveys, particularly in developing regions, tend to favor more literate and digitally connected individuals. Moreover, 57% of our respondents were from urban areas, where education levels are demonstrably higher39, consistent with national patterns (Pakistan Bureau of Statistics, 2021). We acknowledge this as a design limitation and interpret the results accordingly, while also mitigating the impact through the inclusion of education and age as control variables in the structural equation model36.
To reduce duplication and ensure response authenticity, participants were required to provide verified mobile phone numbers, which also facilitated follow-up during data cleaning. The survey was conducted over four weeks, from April 1 st to May 4th, 2022. A total of 1,100 questionnaires were distributed. After data cleaning and screening for invalid or incomplete responses, we obtained 710 valid responses, representing a 64.5% effective response rate. This sample size exceeds the recommended threshold of 10 times the largest number of structural paths pointing at any construct, thus meeting PLS-SEM requirements for statistical adequacy40.
Demographics of respondents
The age, gender, level of education, employment, and place of residence of each respondent and any other relevant data have all been gathered to provide a thorough picture of our research sample. Table 2 provides a complete breakdown of the demographic information for the whole population we studied.
PLS-SEM
For our research, we used PLS-SEM since it is the most often recommended way for predicting and assessing explained variables to account for the largest potential variance. PLS-SEM is one of the most effective approaches for predicting outcomes. This is why we chose this method of analysis40. PLS-SEM permits using a limited sample number while yielding higher-quality conclusions than other approaches. Aside from this, it can run both internal and external processing concurrently on all the models. It is also feasible to examine complex route models using this method of data collection41.
According to recent academic studies, the PLS-SEM approach’s appeal in management science may be partially due to its potential benefits21,42. Because of this, the PLS-SEM approach looks to be the best option for this study. A two-stage analysis is more useful since the model takes into consideration the non-linear account interactions. A route modeling approach based on PLS is evaluated twice to ensure the accuracy and reliability of the assessments of the constructs. Firstly, convergent validity is evaluated for its validity and reliability; next, a structural model is evaluated to construct an inner model or relationship between the latent components.
Multivariate assumptions
Before carrying out a multivariate investigation, researchers are of the opinion that particular multivariate assumptions must be validated first42,43. These assumptions include things like the homoscedasticity of the data, as well as its linearity and multicollinearity. The data were put through the Kolmogorov-Smirnov test in order to evaluate whether or not the dataset exhibited an assumption of normality. The findings of the test, on the other hand, suggest that the data don’t follow the normal distribution. Linear and non-linear interactions between explanatory factors and exploratory variables are shown in the supplementary Fig. 1.
Finally, we looked at the model’s variance inflation factor (VIF) values to see whether there were any signs of collinearity. Findings from this study show that all variables have VIF values (Table 3) below the cutoff of 5. There are no issues with dataset collinearity when VIF values are less than 5, according to research by41. Cross-loadings and indicator loadings are included in the supplemental material.
Measurement model
When analyzing measurement models, it is important to take into account both the convergent and the discriminant validity of the indicators and constructs40. We put the indicators of the constructs through their paces by subjecting them to a number of tests in order to find out whether or not they provide an appropriate evaluation of the study variables. Cronbach’s alpha (α), in conjunction with item loading, allowed us to determine whether or not the instrument in question was reliable. Both the average variance extracted, also known as AVE, and the composite reliability, also known as CR, are measures used to reflect the level of variance in indicators compensated for by the latent construct. Both of these measures are abbreviated as AVE and CR, respectively.
The factor loadings on the linked structures are used to make an evaluation of the reliability of each item (Table 3; Fig. 2). An outer loading for a component needs to be greater than or equal to 0.6 for it to be considered significant41. It is recommended that the value of Cronbach’s Alpha for all constructions be more than or extremely close to the recommended cutoff of 0.7 to create an added feeling of confidence. This will help ensure that the results are reliable44.
In addition to only utilising Cronbach’s alpha, the construction’s composite reliability (CR) was also evaluated. This was done in place of the traditional method44. The high-reliability scores of these results, which are greater than 0.7, provide further support for these findings. As can be seen in Table 3, the AVE convergent validity estimations were either more than 0.50 or equal to it40,41. These results show that the dataset has adequate information for further research.
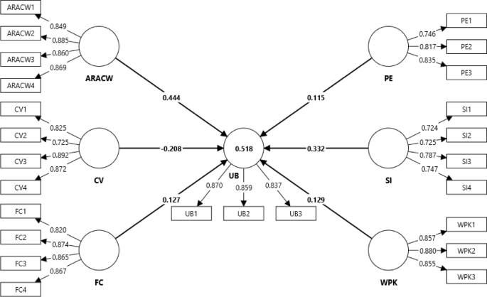
Measurement model (P-values on paths).
Fornell-Larcker criterion and heterotrait-monotrait (HTMT) ratios are used to assess the proposed model’s discriminant validity40,41. Table 4 clearly shows that the Fornell-Larcker criteria have been used to demonstrate discriminant validity, as shown by the greatest significant correlation of variables in each column45.
An original approach to determine whether or not discriminant validity does or does not exist, the HTMT ratio technique was introduced by46 as a unique tactic. They claimed that even though it was successful in assessing discriminant validity, the Fornell-Larcker criteria could not discern between the absence and presence of discriminant validity, even if it was appropriate for assessing discriminant validity. The implementation of the HTMT in the process of assessing the discriminant validity was a direct consequence of this. Table 4 presents the HTMT values for each of the various criteria that were the subject of investigation over the course of this research. In order for the experiment to be successful and fulfill the requirements, all of the HTMT values of the variables must be less than 0.9046. Table 5 shows that the HTMT values for all of the measures are less than the cutoff value of 0.90, which confirms the discriminant validity of the variables.
Structural model assessment
The PLS-SEM assessment process is broken up into many phases, the second of which is the study of the structural model. When analysing the structural path model, some aspects that should be considered include the predictive relevance of the model, multicollinearity, the empirical significance of the path coefficients, and the degree of confidence. In addition to this, it is essential to evaluate the reliability of the structural path model. This study evaluated the structural model by using the guidelines provided by41 to understand the data.
We have put a model through its paces to investigate the direct impact that a variety of factors have on UB. As a result, the results of the PLS-SEM path analysis (Fig. 3) indicated an R2 value of 0.552 (Q2 = 0.394). The variation in UB may be attributed to the independent variables to the extent of 55.2% (Table 6). The predictive importance of a model may be measured using Q2which can also be used to estimate the model’s predictive relevance. The value of Q2 that our model produced illustrates that the endogenous components are relevant from a prediction standpoint.
PLS-SEM Path Model (P-values on paths).
To test the validity of the hypotheses that had been put up previously, we began by examining the causal relationships that were already known to exist between the different variables. Following that, we carried out a bootstrapping test using 5,000 replicates to evaluate the degree to which our findings were consistent with the hypothesis11,13. PLS-SEM direct path analysis revealed that ARACW (β=−0.447; p < 0.001), CV (β=−0.198; p < 0.001), FC (β = 0.116; p < 0.001), PE (β = 0.103; p < 0.006), SI (β = 0.339; p < 0.001), and WPK (β = 0.127; p < 0.001) for UB has statistically significant values.
These results offer support to hypotheses H1 through H6. We have also looked at the levels of education and age of the respondents as control variables, and the findings showed that age has a substantial negative influence. On the other hand, education does not have any effect on the usage behavior of Pakistani customers (Table 6).
Moderating effect analysis
The last step of the PLS-SEM study consisted of determining whether or not there were statistically significant differences between the two groups of users’ behavioral intentions (i.e., male and female). Categorical moderation is assessed in PLS-SEM so that we can investigate hypotheses ranging from H1a through H6a. We ran the second model by adding the moderation effect of gender and applied the same settings of bootstrapping with 5000 sample repetitions. Study results revealed a small moderation effect in the relationships between the understudy’s independent and dependent variables. Gender significantly moderates the relationship of Awareness of Risk associated with contaminated water, cost value, social influence, and usage behaviour of domestic water filtration plants (Table 7). It provided evidence to accept H1a, H2a, and H5a, while H3a, H4a, and H6a are rejected.
Figure 4 depicts the moderation role of gender on the relationship between ARACW and UB. The plot reflects the steeper and positive gradients for females compared to males. Hence, it shows that the impact of ARACW in turning consumers’ usage behaviour of domestic filtration plants is stronger in females.
Moderation of gender on ARACW and UB.
CVs and UB’s connection is shown in Fig. 5 as being moderated by the role of gender. The graph shows that females have steeper and more negative gradients than men. As a result, females are more likely to be influenced by CV and change their habits around home filtration systems. Or in other words, a low CV will strongly influence female users compared to males.
Moderation of gender on CV and UB.
Figure 6 depicts the moderation role of gender on the relationship between SI and UB. The plot reflects the steeper and more positive gradients for males than females. Hence, it shows that the impact of SI on turning consumers’ usage behaviour of domestic filtration plants is stronger in males. Higher social influence will lead to a higher usage behaviour of filtration plants in male users.
Moderation of gender on SI and UB.
Artificial neural network (ANN)
An “artificial neural network,” sometimes known simply as an “ANN,” is a piece of software that may be used to simulate nonlinear statistical data. It is possible to train it several times in order to increase how effectively it functions12,26. Predictions may be made using ANN and can also be used to organise data. The ANN model performs far better than other multivariate models when it comes to generating predictions. However, using “BLACBOX” in a hypothesis test is not a very useful strategy11,21. Thus, experts believe it may be used in conjunction with SEM to provide a more accurate result. ANN does not require multivariate assumptions; therefore, if the sample size is small or the assumptions are faulty, this is doubly useful11,12,21,26. According to the supplementary Fig. 1, a two-stage analysis is more suited for this dataset than a single-stage analysis. In contrast, we employed ANN in the second stage of the study to offer a solution to RQ3, which asks that the predictors be ordered according to the normalised relevance of their contributions.
With our ANN model for usage behavior (UB), we’ve followed in the footsteps of earlier researchers12,21. Two layers of neurons are hidden from view in the sigmoid, which was chosen as the activation function (Fig. 7). To eliminate any issues about the model becoming too fitted to the data, we utilised a technique called 10-fold cross-validation. Data was only utilised for testing by 10%, while 90% was put to good use for training reasons alone (Table 8).
Table 8 shows the root mean square of the errors (RMSE). It assesses the accuracy with which a model forecasts the outcome12. We found that our ANN model for UB had a high predictive ability, as evidenced by RMSE values with a mean of 0.106 and a standard deviation of 0.007 for training and 0.106 and 0.009 for testing in our study.
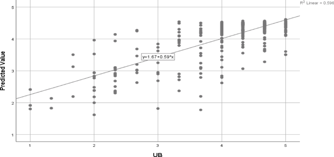
In addition, a specific approach was used to construct a goodness-of-fit coefficient to evaluate the performance of the ANN models. Regression models use a coefficient called R2 with a value similar to this (Fig. 8).
ANN model for UB.
Sensitivity analysis
An ANN model was used to conduct a sensitivity analysis, and the results are displayed in Table 9. Hidden synaptic weight values in the ANN model, which were not zero, provided evidence of the inputs’ importance. The fact that the inputs were not equal to 0 provided the basis for this proof. To determine the “relative relevance” of each component, the model’s output is very sensitive to changes in the input values. The outcome of the model is highly dependent on the input variables. We were able to calculate the normalised relevance of each variable in proportion to the value that was discovered to be the highest overall by doing a ratio calculation after making these findings. As a result, we were able to line up the most important variables. These comparisons enabled us to assess the relevance of individual variables with the aggregate total.
Based on the sensitivity analysis results, we determined that ARACW had the highest relative normalised relevance for our sample (100%) (Table 9). These factors were then followed by SI (88.2%), WPK (43.3%), and FC (32.1%). CV (30.4%) and PE (18.9%) were likewise shown to be the least important factors for consumers in developing countries struggling with diseases caused by contaminated water.
Regression standard residuals for the ANN model.
Discussion
In this study, we have presented an integrated model based on UTAUT and studied the influence of social, economic, and technological factors on the usage behaviour of households for domestic water filtration plants so that it can be adopted at the domestic level and help fight against waterborne diseases. We have presented three research questions. H1-H6 answered the research Q1, H1a-H6a to RQ2, and the sensitivity analysis by the ANN model answered RQ3.
Awareness of risks associated with contaminated water was a significant positive factor behind the use of water filtration plants. It reflects that as much as households have an awareness of the benefits of using water filtration plants and the risks of using contaminated water, as much as they will be inclined toward the use of domestic water filtration plants. The same is true with water pollution knowledge; it also positively influences households’ inclination to use water filtration plants. Hence, we can say that governments and other stakeholders need to conduct workshops and seminars to enhance the knowledge of households and awareness about the benefits and risks associated with contaminated water so that people show their inclination towards the use of filtration plants that not only decrease their medical bill but enhance their life expectancy and help them to cure the water-born diseases. The results are consistent with recent studies on the topic47.
Cost value negatively impacts the household’s usage behaviour. This means the high installation cost is a barrier to implementing the WHO goal of 2030 goal to provide clean water to everyone3. One possible reason is that we have collected our dataset from one of the developing countries, and the per capita income is low in developing countries compared to developed countries; hence, people are cost-sensitive. We suggest that governments encourage the installation of domestic water filtration plants and enlist the water filtration plants and associated materials as duty-free products. In addition to this, we suggest providing interest-free loans to install water filtration plants at a community level.
Facilitating conditions, performance expectancy, and social influence also positively influence households’ usage behaviour. It means facilitating conditions provided by the authorities and stakeholders, and the influence of society are the components that can help change user behaviour. People get inspired by society, as in the case of e-commerce11 and domestic renewable energy plants48. Hence, it is expected that if domestic water filtration plants meet the expectations of households or facilitating conditions are enough, and society is aware of the danger of contaminated water and the benefits of filtration plants, people will start using them.
Results also revealed that gender has a small, significant moderation effect. It is positive for social influence and awareness of risks associated with contaminated water and negative for cost value. We have observed that ARACW and cost value strongly influence female households, while a male has a stronger influence on social influence. Hence, it proves that gender does influence the relationships between explanatory and exploratory variables.
Lastly, it has been observed that AWACW is the most significant influential factor with a normalised importance of 100%. Social influence and water pollution knowledge follow it with respect to normalised importance. It means to increase the use of domestic water filtration plants; authorities need to focus on the factors, as these have the most influential power in household usage behaviour.
We have applied the SEM-ANN approach to conclude our results. It has also been observed that ANN at the second stage explained the variance (R2 = 59.6%) far better than the SEM (R2 = 55.2%). Hence, we recommend the use of the dual-stage method in studies where human behaviour and prediction are a concern, as ANN is more consistent with the prediction.
These findings not only validate the theoretical structure but also speak to the practical and scientific relevance of the model in contemporary society. As consumers are increasingly exposed to multiple water purification options—each with distinct features, costs, and maintenance profiles—the role of perceived performance, awareness, and accessibility becomes more critical. Our model reflects how social and economic realities interact with this technological diversification. Furthermore, the regulatory environment, including WHO’s safe drinking water campaigns and national water quality benchmarks, contributes to heightened awareness and decision-making urgency. By integrating both traditional UTAUT constructs and public health dimensions, our study provides a scientifically grounded yet application-ready framework for understanding household decision-making in a rapidly evolving water treatment landscape.
Theoretical implications
Building on foundational work in environmental health and technology adoption, this study advances theoretical understanding across several domains. First, by situating risk awareness at the heart of household protective behavior, we extend the Health Belief Model’s emphasis on perceived threat49 into the water‑filtration context. Previous reviews documented the health hazards of contaminated water and variability in treatment efficacy14,15; our findings deepen this line of inquiry by demonstrating that heightened salience of waterborne risk is not merely a background motivator but the primary catalyst driving adoption of domestic filtration systems.
Second, our work reframes cost considerations as a central, rather than peripheral, barrier within expectancy‑value frameworks50,51. While technical evaluations have catalogued filter performance under varying conditions6,7,8, scant attention has been paid to how perceived financial burden shapes uptake decisions. By empirically demonstrating the deterrent power of cost perceptions in a developing‑country setting, we invite scholars to recalibrate behavioural models so that “perceived cost” occupies a core position alongside benefits in explaining health‑protective technology adoption.
Third, this study integrates infrastructure support and domain‑specific knowledge into a unified behavioural framework. Prior research has highlighted the importance of facilitating resources—such as reliable treatment supply—and community water literacy in promoting pro‑environmental actions5,16. We build on these insights by formalizing an “information‑infrastructure” dimension within the Unified Theory of Acceptance and Use of Technology10,34, underscoring that both structural enablers and cognitive understanding jointly scaffold filtration uptake.
Fourth, our analysis challenges the universal primacy of performance expectancy and social influence in technology‑adoption theories. Although models such as UTAUT have positioned these constructs as key drivers, evidence from sustainable consumption points to “desensitization” effects that may dampen responsiveness to utility and normative pressures over time17. By showing that, in contexts of acute health threat, risk awareness and cost considerations can eclipse utility and social cues, we identify critical boundary conditions under which conventional adoption levers lose potency.
Finally, by systematically operationalizing gender as a moderator, we extend social‑identity and diffusion theories in the water‑intervention sphere18,19. Prior studies have noted gendered dynamics in community‑led sanitation19 and place‑attachment responses18, but few have quantified how demographic factors condition the impact of behavioral determinants. Our findings reveal that women’s filtration decisions are particularly sensitive to risk and social cues, suggesting that demographic stratifiers must be integrated into future theoretical formulations to capture heterogeneous adoption pathways.
Collectively, these contributions refine and extend existing behavioral and technology‑adoption theories, bringing them into sharper focus for the study of household water‑filtration in resource‑constrained environments.
Practical implications
From a practical perspective, the findings emphasize the need to prioritize awareness campaigns about the risks of contaminated water as a primary strategy for promoting protective usage behavior. Public health initiatives should focus on disseminating clear and impactful messages about the dangers of contaminated water to stimulate behavioral changes, especially in populations with low awareness levels. Additionally, reducing the perceived CV associated with safe water practices is essential. This could involve subsidies, financial incentives, or cost-effective solutions to make water-related health interventions more accessible and appealing.
The significant role of FC and WPK suggests that policymakers and practitioners should improve infrastructure and education programs. Providing easily accessible resources, such as clean water facilities, and organizing educational workshops can enhance these enabling factors. Conversely, the minimal impact of PE and SI implies that promoting usage behavior may not heavily depend on emphasizing individual performance benefits or peer pressure in this context.
Gender-specific strategies are critical given the moderation effects observed. For instance, awareness campaigns targeting women should emphasize risk factors and social endorsements, as these are more likely to influence their behavior. On the other hand, campaigns aimed at men might benefit from a focus on reducing cost concerns and emphasizing the practical benefits of compliance with safe water practices.
Lastly, the negative influence of age on UB suggests that older populations may be less likely to adopt protective behaviors. Tailored interventions addressing age-specific barriers, such as simplified instructions or increased community engagement, could improve outcomes for this demographic. Collectively, these insights provide actionable guidance for designing effective public health programs and interventions.
Limitations and future recommendations
While this study offers important insights into the behavioural drivers behind the adoption of domestic water filtration systems in developing contexts, several limitations must be acknowledged, which also pave the way for future research.
First, the data were collected exclusively from Pakistan, a single developing country. Social, economic, and technological factors shaping household usage behaviour are likely to vary significantly across national and regional boundaries. As such, the generalizability of our findings may be limited. Future studies should consider extending this model to other developing economies or conduct comparative cross-regional investigations to capture cultural and infrastructural variability in water-related health behaviours.
Second, although our sampling strategy included both rural and urban areas, the data collection method—administered online through Google Forms—introduces a notable bias toward more literate and digitally connected individuals, especially in urban locations. Consequently, households from low-education rural areas may be underrepresented. This demographic skewness was not the result of acquaintance referrals or convenience sampling, as the survey employed a systematic random sampling approach using WAPDA’s residential customer list. However, access to and familiarity with digital tools in rural areas remain structural barriers. This may partially explain the higher levels of education observed among respondents in Table 2. If this study were replicated with separate stratified samples from low-education rural and high-education urban populations, key relationships would likely behave differently. In rural, less educated communities, cost value may exert a significantly stronger negative influence due to heightened price sensitivity and lower household income levels. Social influence may also play a more dominant role in shaping behaviour, as communal norms and social conformity are often stronger in rural settings. Conversely, awareness of health risks and water pollution knowledge are expected to have greater explanatory power in high-education urban regions, where access to public health information and environmental awareness is typically higher. Facilitating conditions, such as installation support or access to spare parts, may also be less prevalent in rural areas, further suppressing behavioural intention. These speculations suggest the need for future research employing a multi-group or stratified analysis to explicitly capture behavioural heterogeneity across educational and geographic lines.
Third, the questionnaire did not capture household income, which could serve as an important control or moderating variable. Cost-related decision-making, particularly for health-enhancing technologies like water filtration, is inherently tied to disposable income and perceived affordability. Future studies should incorporate income, expenditure, or asset proxies to account for financial constraints more explicitly and isolate their interaction with cost perceptions.
Fourth, while age and education were included as control variables in the structural model, emerging research suggests that such demographic characteristics may also act as moderators in shaping behavioural responses to technology adoption. Future studies could apply moderated mediation or multigroup analysis techniques to explore how these demographics dynamically interact with key antecedents like performance expectancy, social influence, and awareness of risk.
Lastly, we acknowledge that this study has limitations in terms of technological, societal, and geographical validity. Technologically, although our constructs were designed to be inclusive of different household water purification solutions, we did not directly segment responses by technology type (e.g., RO vs. UV vs. ceramic filters), which could reveal differentiated adoption dynamics. Societally, the digital mode of data collection inevitably favored more literate and urban respondents, possibly underrepresenting lower-education or digitally excluded households, whose behavior might differ due to cost sensitivity, risk perception, or community influence. Geographically, our study is based solely on Pakistani households, which limits external validity to other regions with different water infrastructures, cultural norms, or policy frameworks. These limitations should guide future research toward stratified sampling, rural-urban comparative models, and multi-country designs that can deepen the interpretive richness of adoption behaviors across varying technological and societal contexts.
Conclusion
This study advances our understanding of the behavioral determinants influencing household adoption of domestic water filtration systems in a developing country context. By integrating the UTAUT framework with context-specific constructs and employing a dual-stage SEM-ANN approach, we provide robust evidence that risk awareness, social influence, and water pollution knowledge significantly drive usage behavior. Gender plays a crucial moderating role, highlighting the need for gender-sensitive policy design. Cost remains a substantial barrier, emphasizing the necessity for affordability-centered interventions. Our findings not only contribute to the theoretical development of technology adoption literature in public health but also offer pragmatic guidance to stakeholders striving to meet clean water targets under SDG 6.1. Hence, if the installation of water filtration plants is encouraged at the domestic level, the combat against waterborne disease will be easy. It can be improved by providing household awareness and knowledge about water pollution and subsidised water filtration plants.
-
We confirm that all methods were carried out in accordance with relevant guidelines and regulations. Humans who participated in this study are aware of the purpose of the study, and their confidential information is not to be shared with anyone.
-
All study participants provided their written informed consent. Study data is used after the consent of participants. The questionnaire used in this study started with the declaration and purpose of the study.
Data availability
The dataset used in the study is available from the corresponding author at a reasonable demand.
References
Lifewater. in 7 Most Common Waterborne Diseases (and How to Prevent Them) Vol. (2022) (lifewater.org, 2019).
Sohail, M. T. et al. Water quality and health risk of public drinking water sources: A study of filtration plants installed in Rawalpindi and islamabad, Pakistan. Desalination Water Treat. 181 https://doi.org/10.5004/dwt.2020.25119 (2019).
WHO. Drinking-water, (2022). https://www.who.int/news-room/fact-sheets/detail/drinking-water
Bruno, A. et al. Changes in the drinking water microbiome: effects of water treatments along the flow of two drinking water treatment plants in a urbanized area. Milan (Italy). 9 https://doi.org/10.3389/fmicb.2018.02557 (2018).
Dean, A. J., Fielding, K. S. & Newton, F. J. Community knowledge about water: who has better knowledge and is this associated with Water-Related behaviors and support for Water-Related policies?? PLoS One. 11, e0159063. https://doi.org/10.1371/journal.pone.0159063 (2016).
Ahmed, M. F., Mokhtar, M. B. & Majid, N. A. Household water filtration technology to ensure safe drinking water supply in the langat river basin. Malaysia 13, 1032 (2021).
Singh, J., Saharan, V., Kumar, S., Gulati, P. & Kapoor, R. K. Laccase grafted membranes for advanced water filtration systems: a green approach to water purification technology. Crit. Rev. Biotechnol. 38, 883–901. https://doi.org/10.1080/07388551.2017.1417234 (2018).
Castiglioni, M. et al. Biochars intended for water filtration: A comparative study with activated carbons of their physicochemical properties and removal efficiency towards neutral and anionic organic pollutants. Chemosphere 288, 132538. https://doi.org/10.1016/j.chemosphere.2021.132538 (2022).
K Daud, M. et al. Drinking water quality status and contamination in Pakistan. Biomed. Res. Int. 2017 (7908183). https://doi.org/10.1155/2017/7908183 (2017).
Venkatesh, V., Morris, M., Davis, G. & Davis, F. User acceptance of information technology: toward a unified view. MIS Q. 27, 425–478. https://doi.org/10.2307/30036540 (2003).
Mustafa, S., Tengyue, H., Qiao, Y., Sha, S. K. & Sun, R. How a successful implementation and sustainable growth of e-commerce can be achieved in developing countries; a pathway towards green economy. Front. Environ. Sci. 10 https://doi.org/10.3389/fenvs.2022.940659 (2022).
Mustafa, S., Tengyue, H., Jamil, K., Qiao, Y. & Nawaz, M. Role of eco-friendly products in the revival of developing countries’ economies & achieving a sustainable green economy. Front. Environ. Sci. 10 https://doi.org/10.3389/fenvs.2022.955245 (2022).
Mustafa, S. et al. Éclaircissement to understand consumers’ Decision-Making psyche and gender effects, a fuzzy set qualitative comparative analysis. Front. Psychol. 13 https://doi.org/10.3389/fpsyg.2022.920594 (2022).
Gowrisankar, G. et al. Chemical, microbial and antibiotic susceptibility analyses of groundwater after a major flood event in Chennai. Sci. Data. 4 https://doi.org/10.1038/sdata.2017.135 (2017).
Aziz, R. K., Khalifa, M. & Sharaf, R. Contaminated water as a source of Helicobacter pylori infection: A review. J. Adv. Res. 6, 539–547. https://doi.org/10.1016/j.jare.2013.07.007 (2015).
Liu, X., Wang, C., Shishime, T. & Fujitsuka, T. Sustainable consumption: green purchasing behaviours of urban residents in China. Sustain. Dev. 20, 293–308. https://doi.org/10.1002/sd.484 (2012).
Yang, X. & Zhang, L. Diagnose barriers to sustainable development: A study on desensitization in urban residents’ green purchasing behavior. Sustain. Dev. 28, 143–154. https://doi.org/10.1002/sd.1978 (2019).
Sullivan, D. & Young, I. F. Place attachment style as a predictor of responses to the environmental threat of water contamination. Environ. Behav. 52, 3–32. https://doi.org/10.1177/0013916518786766 (2018).
Harter, M., Contzen, N. & Inauen, J. The role of social identification for achieving an Open-Defecation free environment: A Cluster-Randomized, controlled trial of Community-Led total sanitation in Ghana. J. Environ. Psychol. 66, 101360. https://doi.org/10.1016/j.jenvp.2019.101360 (2019).
Zhang, Y. et al. Importance and vulnerability of lakes and reservoirs supporting drinking water in China. Fundamental Res. 3, 265–273. https://doi.org/10.1016/j.fmre.2022.01.035 (2023).
Mustafa, S. et al. Digital students’ satisfaction with and intention to use online teaching modes, role of big five personality traits. Front. Psychol. 13 https://doi.org/10.3389/fpsyg.2022.956281 (2022).
Mustafa, S., Zhang, W., Shehzad, M. U., Anwar, A. & Rubakula, G. Does health consciousness matter to adopt new technology?? An integrated model of UTAUT2 with SEM-fsQCA approach. Front. Psychol. 13 https://doi.org/10.3389/fpsyg.2022.836194 (2022).
Mahfooz, Y. et al. Investigating the drinking and surface water quality and associated health risks in a semi-arid multi-industrial metropolis (Faisalabad), Pakistan. Environ. Sci. Pollut. Res. 26, 20853–20865. https://doi.org/10.1007/s11356-019-05367-9 (2019).
Shahab, A., Shihua, Q., Rashid, A., Hasan, F. U. & Sohail, M. T. Evaluation of water quality for drinking and agricultural suitability in the lower indus plain in Sindh Province. Pakistan 25, 2563–2574. https://doi.org/10.15244/pjoes/63777 (2016).
Boudon, R. in The New Blackwell Companion to Social Theory 179–195 (2008).
Mustafa, S., Zhang, W. & Li, R. in IEEE/WIC/ACM International Conference on Web Intelligence and Intelligent Agent Technology 433–440Association for Computing Machinery, Melbourne, VIC, Australia, (2021).
Awan, F. H. et al. Mediating role of green supply chain management between lean manufacturing practices and sustainable performance. Front. Psychol. 12, 810504. (2021).
Guziana, B. & Dobers, P. How sustainability leaders communicate corporate activities of sustainable development. Corp. Soc. Responsib. Environ. Manag. 20, 193–204. https://doi.org/10.1002/csr.1292 (2012).
Mahfooz, Y. et al. An assessment of wastewater pollution, treatment efficiency anmanagement in a semi-arid urban area of Pakistan. Desalination Water Treat. https://doi.org/10.5004/dwt.2020.24949 (2020).
Yang, M. X., Tang, X., Cheung, M. L. & Zhang, Y. An institutional perspective on consumers’ environmental awareness and Pro-environmental behavioral intention: evidence from 39 countries. Bus. Strategy Environ. 30, 566–575. https://doi.org/10.1002/bse.2638 (2020).
Urban, J., Bahník, Š. & Kohlová, M. B. Pro-Environmental behavior triggers moral inference, not licensing by observers. Environ. Behav. 55, 74–98. https://doi.org/10.1177/00139165231163547 (2023).
Teng, C. C., Lu, A. C. C. & Huang, T. T. Drivers of consumers’ behavioral intention toward green hotels. Int. J. Contemp. Hospitality Manage. 30, 1134–1151. https://doi.org/10.1108/ijchm-04-2017-0203 (2018).
González-Rodríguez, M. R. & Tussyadiah, I. Sustainable development in Nature‐based destinations. The social dilemma of an environmental policy. Sustain. Dev. 30, 580–594. https://doi.org/10.1002/sd.2250 (2021).
Venkatesh, V., Thong, J. Y. L. & Xu, X. Consumer acceptance and use of information technology: extending the unified theory of acceptance and use of technology. MIS Q. 36, 157–178. https://doi.org/10.2307/41410412 (2012).
Association, W. M. World medical association declaration of helsinki: ethical principles for medical research involving human subjects. JAMA 310, 2191–2194. https://doi.org/10.1001/jama.2013.281053 (2013).
Fowler, F. SAGE Publications, Inc., Thousand Oaks, California, (2009).
DeVillis, R. F. (Newbury Park, CA: Sage, (1991).
Lohr, S. L. Sampling: Design and Analysis (Chapman and Hall/CRC, 2021).
Statistics, P. B. o. Vol. 2019–20 (ed Government of Pakistan. Pakistan Bureau of Statistics)Pakistan Bureau of Statistics, Government of Pakistan., Islamabad, (2021).
Hair, J. F., Howard, M. C. & Nitzl, C. Assessing measurement model quality in PLS-SEM using confirmatory composite analysis. J. Bus. Res. 109, 101–110. https://doi.org/10.1016/j.jbusres.2019.11.069 (2020).
Hair, J. F. Jr, Hult, G. T. M., Ringle, C. M. & Sarstedt, M. A Primer on Partial Least Squares Structural Equation Modeling (PLS-SEM) (Sage, 2021).
Mustafa, S. & Wen, Z. How to achieve maximum participation of users in technical versus non-technical online Q&A communities? Int. J. Electron. Commerce 26, 441–471. https://doi.org/10.1080/10864415.2022.2123645 (2022).
Mustafa, S., Zhang, W. & Naveed, M. M. What motivates online community contributors to contribute consistently? A case study on stackoverflow netizens. Curr. Psychol. https://doi.org/10.1007/s12144-022-03307-4 (2022).
Werts, C. E., Linn, R. L. & Jöreskog, K. G. Intraclass reliability estimates: testing structural assumptions. 34, 25–33, (1974). https://doi.org/10.1177/001316447403400104
Fornell, C. & Larcker, D. F. Evaluating structural equation models with unobservable variables and measurement error. J. Mark. Res. 18, 39–50. https://doi.org/10.2307/3151312 (1981).
Henseler, J., Ringle, C. M. & Sarstedt, M. A new criterion for assessing discriminant validity in variance-based structural equation modeling. J. Acad. Mark. Sci. 43, 115–135. https://doi.org/10.1007/s11747-014-0403-8 (2015).
Mustafa, S., Long, Y. & Rana, S. The role of corporate social responsibility and government incentives in installing industrial wastewater treatment plants: SEM-ANN deep learning approach. Sci. Rep. 13, 16529. https://doi.org/10.1038/s41598-023-37239-1 (2023).
Mustafa, S., Long, Y. & Rana, S. Role of domestic renewable energy plants in combating energy deficiency in developing countries. End-user perspective. Energy Rep. 11, 692–705. https://doi.org/10.1016/j.egyr.2023.04.370 (2024).
Rosenstock, I. M. The health belief model and preventive health behavior. Health Educ. Monogr. 2, 354–386 (1974).
Douglass, R. B. (JSTOR, (1977).
Cohen, J. B., Fishbein, M. & Ahtola, O. T. The nature and uses of Expectancy-Value models in consumer attitude research. J. Mark. Res. 9, 456–460. https://doi.org/10.1177/002224377200900420 (1972).
Acknowledgements
This study was partially supported by the Beijing Natural Science Foundation (Grant No. 9244023). The authors gratefully acknowledge this financial support.
Author information
Authors and Affiliations
Contributions
SM: Conceptualization, Methodology, Software, Writing—Original Draft, and handling the data flow; YL, KJ, & XW: Review the final draft, edit, visualization, and data collection.
Corresponding author
Ethics declarations
Competing interests
The authors who contributed to this article have no financial or professional conflicts of interest to disclose.
Additional information
Publisher’s note
Springer Nature remains neutral with regard to jurisdictional claims in published maps and institutional affiliations.
Supplementary Information
Below is the link to the electronic supplementary material.
Rights and permissions
Open Access This article is licensed under a Creative Commons Attribution-NonCommercial-NoDerivatives 4.0 International License, which permits any non-commercial use, sharing, distribution and reproduction in any medium or format, as long as you give appropriate credit to the original author(s) and the source, provide a link to the Creative Commons licence, and indicate if you modified the licensed material. You do not have permission under this licence to share adapted material derived from this article or parts of it. The images or other third party material in this article are included in the article’s Creative Commons licence, unless indicated otherwise in a credit line to the material. If material is not included in the article’s Creative Commons licence and your intended use is not permitted by statutory regulation or exceeds the permitted use, you will need to obtain permission directly from the copyright holder. To view a copy of this licence, visit http://creativecommons.org/licenses/by-nc-nd/4.0/.
About this article
Cite this article
Mustafa, S., Ying, L., Jamil, K. et al. Household adoption of domestic water filtration for combating waterborne diseases in developing countries. Sci Rep 15, 32260 (2025). https://doi.org/10.1038/s41598-025-17252-2
Received:
Accepted:
Published:
Version of record:
DOI: https://doi.org/10.1038/s41598-025-17252-2










