Abstract
The fecal microbiome is emerging as an essential component of the gut microbiota and host metabolism, whereas in cattle, fecal microbiome characterization is still needed. Recent evidence indicates that small RNAs, such as miRNAs, may be isolated from feces and involved in host–microbe interactions. In this study, fecal samples were collected from the rectal ampulla of Nelore bulls that were phenotypically divergent in terms of residual feed intake (RFI). miRNA sequencing and 16S rRNA gene (V3-V4 region) sequencing were performed to reveal the associations between host miRNAs and microbiome composition and their relationships with the feed efficiency phenotype. Among the 162 identified fecal miRNAs, seven were more expressed in the inefficient group: bta-miR-27b, bta-miR-30a, bta-miR-126, bta-miR-143, bta-miR-155, bta-miR-205 and bta-miR-196a. Using metabarcoding sequencing, we identified 5,005 bacterial ASVs, and after filtering, we used 357 ASVs in subsequent analyses. Weighted gene coexpression network analysis (WGCNA) was used to identify miRNA and microbiome interactions. We observed significant correlations between fecal miRNA expression and microbiota composition. The differentially expressed fecal miRNAs were correlated with some taxa, such as Prevotella, Anaerorhabdus furcosa, Bifidobacterium, Bacillales, Succinispira mobilis, Peptostreptococcaceae and Coriobacteriaceae, suggesting that the host is mediating its effect on the microbiome through miRNA expression. Fecal miRNAs and the identified taxa play roles in biological processes, e.g. muscle development, metabolic homeostasis and inflammatory processes related to feed efficiency, serving as potential candidates for exploring host-microbe interactions. Although limited by the sample size, our findings may serve as a basis for future studies on developing strategies to manipulate the microbiome and improve feed efficiency traits in cattle.
Similar content being viewed by others
Introduction
The gut hosts a complex community of microorganisms that comprises several species of bacteria, archaea, and eukaryotes, and recently, the holobiont theory has emerged as a way to explain the interactions between hosts and their associated microbial communities1. This relationship has been associated with animal development, metabolic processes and diseases, and our understanding of its importance for livestock production is increasing quickly. Owing to its pivotal role, understanding the mechanisms underlying microbiota regulation by its host and identifying strategies to successfully manipulate the microbiota are crucial.
Animal feed is one of the most significant costs in production systems, which turns feed efficiency into a trait with economic, environmental and sustainability impacts since it is a complex measurement of how efficiently the animals are in metabolizing feed into livestock products. The microbiota present in the gastrointestinal tract is associated with feed efficiency and is considered as important as that in the rumen of beef cattle2. Furthermore, associations between the rumen and fecal microbiota and feed efficiency in beef cattle have demonstrated that differences in the abundance and diversity of microbial phylotypes can control the variability in feed efficiency3,4; as a result, the microbiome has been proposed as a proxy to predict feed efficiency traits3. Thus, modulation of the microbiota composition can promote more sustainable and efficient livestock production while reducing the negative environmental impacts of beef cattle production. The fecal microbiome, although less studied than the ruminal microbiome, is emerging as an important component of host metabolism, and recent evidence indicates that microRNAs (miRNAs) may be involved in host–microbe interactions5,6,7.
miRNAs are small noncoding RNA molecules that play a role in the posttranscriptional/translational regulation of gene expression, influencing many biological processes in mammals8. miRNAs can be transferred to other cells via extracellular vesicles (EVs), constituting an essential mode of intercell communication with the potential to shape microbial communities and host–microbe interactions6. Fecal miRNAs have been identified as potential indicators of imbalance of the host-microbe interface, with miRNAs produced by the host’s intestinal epithelial cells affecting bacterial composition8. Other studies have also reported that changes in the gut microbiota are influenced by secreted host miRNAs9,10. The host control of its associated microbiota involves complex mechanisms, including the regulation of gene expression in both host genome and microbiome, as well as the modulation of immune response. miRNAs secreted by mice and human intestinal epithelial cells can modulate the expression of genes that stimulate or inhibit the growth of bacteria by binding to bacterial DNA, influencing bacterial gene transcripts, growth, and motility8. Moreover, miRNAs can modulate genes involved in innate and adaptive immune responses, thereby affecting the composition of the microbiome. For instance, in humans, ileum and distal colon expression of miR-146a play a key role in the crosstalk between intestinal immune response and gut microbiota, by regulating the expansion of host T cells11. In ruminants, miRNAs have been shown to play significant roles in rumen development and intestinal homeostasis, which are crucial for efficient nutrient absorption and feed utilization12.
Although miRNAs have been widely identified in bovines, the functional role of fecal miRNAs in host‒microbe communication is yet to be understood, and on the basis of observations from humans9,10,11 and rumimants13, we hypothesized that the host exerts genetic control over the gut microbiome, and miRNAs secreted to the digestive lumen may act as mediators of this regulation, influencing both microbiota composition and the biological processes related to feed efficiency. To test this hypothesis, the objective of this exploratory study was: (i) to investigate miRNAs differentially expressed in feces of two divergent feed efficiency groups, (ii) to assess the microbiota gut composition of two divergent feed efficiency groups, and (iii) to evaluate the relationship between host miRNA expression, microbiota composition, and feed efficiency. The detection of miRNA-microbiota correlations would support our hypothesis that the host exerts genetic control over the gut microbiome and feed efficiency biological processes partly mediated by miRNAs. A detailed understanding of the molecular and microbiome mechanisms affecting feed efficiency may provide a means to manipulate the microbiome, improving the productivity and sustainability of ruminant production to meet global food production demands.
Results
Phenotypic and miRNA data
Phenotypic data on the residual feed intake (RFI; kg/d) of Nelore cattle belonging to the National Program for the Evaluation of Young Bulls (PNAT) of the Brazilian Association of Zebu Breeders (ABCZ) were obtained from a total of 91 bulls, from which 16 extreme animals were selected on the basis of extremes for feed efficiency: 8 efficient (negative RFI) and 8 inefficient (positive RFI) bulls. Table 1 presents the raw phenotypic data of residual feed intake (RFI; kg/day), dry matter intake (DMI; kg/day), metabolic body weight (MBW; kg), average daily gain (ADG; kg/day), feed efficiency (FE; kg/kg) and feed conversion (FC; kg/kg) used for the selection of 16 contrasting Nelore animals and the number of 16 S RNA gene reads and miRNA reads mapped for each sample. Student’s t test was performed to evaluate the mean phenotypic differences between the efficient and inefficient RFI groups, and significant differences (p < 0.05) were observed for RFI, metabolic live weight and feed conversion phenotypes.
miRNA sequencing of fecal samples from these Nelore cattle yielded 186,700,000 sequences ranging from 20 to 25 bp in length. On average, 50% of the miRNA reads were mapped to the Bos taurus genome (ARS-UCD1.2). After filtering, a total of 162 mature miRNAs were detected via STAR software (Table S2), which were further included in the differential expression analysis (Table S3).
Identification and functionality of the bovine fecal miRNA profile
Among the 162 expressed fecal miRNAs, 7 were differentially expressed (FDR < 0.1) and upregulated in the inefficient group. To better understand the potential functional impact of the seven detected upregulated fecal DE miRNAs on the host, we assessed the biological pathways with overrepresentation enrichment analysis (ORA) performed by WebGestalt software using the list of all bovine genes targeted by the DE miRNAs. This analysis identified significant (FDR ≤ 0.05) signaling pathways related to RFI (Table 2, Table S4).
Nelore fecal microbiome taxonomy and diversity
The taxonomic profile of the microbiome of Nelore bulls from fecal samples was composed mainly of bacteria (mean ± sd: 98.4 ± 1.30%) and a small fraction of archaea (mean ± sd: 1.6 ± 1.20%). Because of the small fraction of archaea present in the Nelore bull’s microbiome, we focused the following analysis on the bacterial fecal microbiomes. In the bacterial fecal microbiomes, seven phyla, 12 classes, 13 orders, 20 families, 27 genera and 26 species were identified. The most abundant phyla of both feed efficiency groups (Fig. 1) were Firmicutes (65.97% for the efficient group and 66.93% for the inefficient group), Proteobacteria (21.40% for the efficient group and 17.97% for the inefficient group), Bacteroidetes (10.69% for the efficient group and 13.10% for the inefficient group) and Euryachaeota (1.17% for the efficient group and 0.90% for the inefficient group).
Comparison of samples from different groups using richness (observed), alpha diversity (Figure S2) and beta diversity metrics (Figure S3 and Figure S4) revealed no significant difference (p > 0.01) in the richness or diversities of bacterial populations between the efficient and inefficient groups.
miRNA‒microbiome network analysis
To investigate miRNA‒microbiome interactions in feces from divergent RFI animals, we applied the weighted gene coexpression network analysis (WGCNA) method to microbial communities14. To this end, miRNA and ASV networks were constructed separately. The expression data of 58 miRNAs were used to construct a miRNA network, and the abundance data of 358 ASVs were used for the construction of the ASV network. Coexpression network analysis revealed eight miRNA module eigengenes (MEs, Figure S5) and six ASV MEs (Figure S6) in the efficient group. In the inefficient group, six miRNA MEs (Figure S7) and seven ASV MEs were identified (Figure S8).
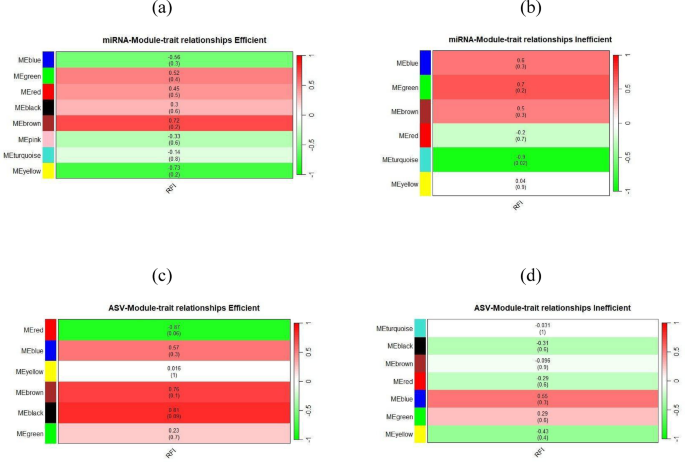
In the module-trait analysis, among the eight WGCNA modules identified in the miRNA network from the efficient group, no modules were correlated with RFI, whereas among the six identified miRNA modules within the inefficient group, one module was negatively correlated (turquoise; cor=−0.9, p value = 0.02) with RFI. For the ASV network analysis, two out of the six identified modules of the efficient group, MEred (cor=−0.87, p value = 0.06) and MEblack (cor = 0.81, p value = 0.09), were correlated with RFI, whereas in the inefficient group, no modules were correlated with RFI (Fig. 2).
Module-trait association visualization plots. Each row corresponds to a miRNA module in the efficient (a) and inefficient (b) group, and ASV module in the efficient (c) and inefficient group (d), and the column color corresponds to the residual feed intake (RFI) phenotype correlation. Each cell was labeled by the corresponding correlation coefficient (above) and p value (below). Positive interconnectedness is indicated by progressively more saturated red color, and negative interconnectedness is indicated by progressively more saturated green color.
We additionally calculated the Fisher confidence interval for the modules significantly associated with RFI. For MEturquoise, correlated with RFI (cor=−0.9, p value = 0.02) in the miRNA network from the inefficient group, the fisher 95% confidence interval for the correlation between MEturquoise and RFI is between − 0.99 and − 0.28, confirming that is a significative negative correlation between MEturquoise and the trait. For the ASV network analysis, two out of the six identified modules of the efficient group, MEred (cor=−0.87, p value = 0.06) and MEblack (cor = 0.81, p value = 0.09), were correlated with RFI. For MEred, the fisher 95% confidence interval for the correlation is between − 0.99 and − 0.06, confirming that is a significative negative correlation between MEred and the trait. For MEblack, the fisher 95% confidence interval for the correlation is between 0.23 and 0.98, confirming that is a significative positive correlation between MEblack and RFI. Hub genes are defined as the genes that are most strongly correlated with features, i.e., miRNAs or ASVs within each candidate module15. Table 3 shows the hub miRNAs and ASVs from the module eigengenes associated with the RFI phenotype from the efficient and inefficient groups of Nelore bulls.
miRNA‒microbiome interactions
To investigate whether there were any direct correlations between microbiome composition and miRNA expression, the miRNA and ASV modules that were positively or negatively correlated with p values < = 0.1 were selected for further investigation (Fig. 3). According to these criteria, in the efficient group, we observed 2 significant negative correlations between the miRNA and ASV modules and 3 significant positive correlations (Fig. 3a, Table S6). In the inefficient group, we observed 1 significant negative correlation and 4 significant positive correlations (Fig. 3b, Table S6).
miRNA- microbiome interaction plot. Each row corresponds to a miRNA module and each column color corresponds to the ASV module in the efficient (a) and inefficient (b) group. Each cell was labeled by the corresponding correlation coefficient (above) and p value (below). Positive interconnectedness is indicated by progressively more saturated red color, and negative interconnectedness is indicated by progressively more saturated green color.
We then further explored the correlated modules and calculated specific Spearman’s correlations between miRNA expression and ASV abundance, further selecting the differentially expressed miRNAs along with their top five correlations with ASVs within each previously correlated module in the efficient (Table 4) and inefficient groups (Table 5).
Discussion
Functionality of fecal MiRNAs
Fecal miRNAs have been characterized in bovine feces and identified as biomarkers for intestinal diseases9, as they can reflect alterations in gut health and inflammatory processes. However, despite this progress, the role that fecal miRNAs play in influencing feed efficiency traits in bovines is still poorly understood.
Among the upregulated miRNAs in the inefficient group, the target genes of bta-miR-126 and bta-miR-155 were predicted to be involved in signal transduction pathways associated with muscle development, such as the mTOR and Wnt signaling pathways. Mammalian target of rapamycin (mTOR) regulates cell proliferation, autophagy, and apoptosis by participating in multiple signaling pathways, and mTOR, in conjunction with Akt, a protein kinase B, is required for skeletal muscle cell development16. On the basis of the increased expression of bta-miR-126 and bta-miR155 and the most canonical post-transcriptional downregulation mechanism of the miRNA‒mRNA interaction, we speculate that the muscle development pathway may be downregulated in inefficient animals, corroborating the idea that these animals exhibit less muscle in the adult phase than do efficient animals. The target genes of bta-miR-126 were also enriched in the focal adhesion pathway. Focal adhesions (FAs) are points of contact between the cell and the extracellular matrix that regulate cell communication with the extracellular environment and cellular processes17. In beef cattle, the microarchitecture of the small intestine is related to improved feed efficiency. Greater cellularity indicates a more metabolically active small intestine in cattle with higher feed efficiency18. Additionally, bta-miR-205 seems to play a role in this structure by targeting genes associated with the adherens junction pathway.
Some upregulated miRNAs in inefficient animals are predicted to play important roles in metabolic homeostasis, including insulin and glucose metabolism. Among them, bta-miR-143 and bta-miR-27b were also upregulated in inefficient cattle in a previous study19. The increased expression of bta-miR-143 impaired insulin and glucose homeostasis by targeting genes involved in the insulin signaling pathway and its regulation. This miRNA has also been reported to play a role in intestinal epithelium regeneration by modulating the insulin growth factor signaling pathway20. In this study, bta-miR-27b was predicted to regulate genes associated with type II diabetes mellitus, insulin resistance and the insulin signaling pathway. The regulation of feed intake and feed efficiency by insulin has been described in many species, including cattle21 and pigs22. Here, the predicted downregulation of the insulin pathway by bta-miR-27b is consistent with findings in the literature that indicate increased insulin metabolism with reduced feed intake in efficient animals21.
The target genes of bta-miR-126 are associated with the FoxO signaling pathway. FoxO transcription factors regulate genes associated with glucose metabolism and resistance to oxidative stress23 and are associated with increased feed efficiency in Nelore cattle. Casal et al.24 reported that efficient steers had better hepatic oxidative status associated with greater antioxidant ability and reduced oxidative stress, which would reduce maintenance requirements due to lower protein and lipid turnover, thereby increasing energy use efficiency. The downregulation of the FoxO signaling pathway in inefficient Nelore bulls could lead to increased oxidative stress, negatively impacting feed efficiency.
Other enriched signaling pathways related to RFI through bta-mir-205 and bta-mir- 196a target genes were Rap 1 and Ras-related protein 1, respectively. Ras-proximate-1 or Ras-related protein 1 (Rap1) are small cytosolic proteins that are essential for effective signal transduction and are related to leptin25. Both pathways were previously associated with increased feed efficiency in Nelore cattle26. In our study, on the basis of the upregulation of bta-mir-205 and bta-mir-196 in the inefficient group, the Rap 1 and Ras signaling pathways were predicted to be downregulated, suggesting a mechanism for the previously observed differences in pathway modulation.
Modules related to feed efficiency and the identification of potential biomarkers
Hub miRNAs and ASVs, which show the highest correlation within their respective modules, can thus be regarded as principal components and potential biomarkers for feed efficiency. In the efficient group, negative and positive correlations, respectively, were detected between the RFI and hub ASVs classified as Bacillales and Succinispira mobilis, whereas in the inefficient group, negative correlations between the RFI and the hub bta-mir-16a were detected.
Bacillales is an order of gram-positive bacteria from the phylum Firmicutes, and representative genera, including Bacillus, are found in inefficient beef cattle27. This genus has antimicrobial activity against microbes that promote nutrient absorption28. Succinispira mobilis is a succinate-decarboxylation anaerobic bacterium29. Previous reports mention acetate and succinate (a precursor of propionate) as the major products of ruminants fed high-starch diets30; therefore, S. mobilis might play a role in propionate synthesis, thereby improving feed efficiency in efficient Nelore bulls.
bta-miR-16a has been reported to regulate milk fat metabolism, with a negative effect on fatty acid metabolism and adipocyte differentiation31. Adipose tissue modulates a variety of processes related to feed intake, energy homeostasis, and physiology and is also associated with feed efficiency32. Previous studies also indicate a potential role for miR16 in inflammatory processes, with this miRNA increasing T-cell subtypes and influencing the degradation of mRNAs from immune response pathways33. These results indicate that bta-miR-16a may contribute to reduced feed efficiency due to its functional effects on fatty acid metabolism and the immune response.
miRNA‒microbiome interactions
The relationships between host miRNAs and the gut microbiota have been investigated. Liu et al.8 were the first to propose a link between miRNA expression and the composition of the gut microbiota (and its metabolites). Since then, many manuscripts have been published9,10,34,35,36. In this study, we identified significant correlations between miRNA expression and the gut microbiome and their relationship with feed efficiency in Nelore cattle. The role of miRNAs in bacterial gene regulation is not fully understood. Host miRNAs can enter bacteria in different ways, including through extracellular vesicles, and can specifically regulate bacterial gene transcripts that control bacterial growth. Conversely, changes in the microbiome may also induce changes in miRNA expression7, demonstrating the power of miRNA‒microbiome interactions. In coexpression analysis, module eigengenes are considered important biological clusters, and microorganisms in the same modules have strong relationships, which provides an opportunity to investigate and explore highly related taxa within a microbial community37. The roles of miRNAs in regulating host–microbe interactions were further evaluated, exploring the relationships between the expression of miRNAs and bacterial composition. No direct relationship between the microbiome and the described miRNAs has been reported in the literature.
In the efficient group, DE bta-mir-205 was negatively correlated with ASVs classified as Prevotella, Clostridiales, Lachnospiraceae, Firmicutes, and Gammaproteobacteria. Recently, Prevotella was highlighted as a potential biomarker for efficient beef cattle38 and was also associated with lower feed efficiency in Nelore cattle39 and pigs40. The Prevotella genus, with 29 known species, contains cellulolytic bacteria that degrade cellulose into acetic, isobutyric, isovaleric, and lactic acid, providing energy for the host41. In addition to increasing glycogen storage and glucose tolerance, Prevotella-rich microbiota can improve growth performance, which is important for regulating RFI in beef cattle42. Gammaproteobacteria is a class of Proteobacteria, and its relative abundance has been associated with high-efficiency steers43.
DE bta-mir-205 was positively correlated with ASVs classified as Hespellia porcina, Alistipes, Peptostreptococcaceae, Ruminococcaceae and Clostridium saccharogumia. Alistipes is a genus of bacteria in the phylum Bacteroidetes that colonizes the human gastrointestinal tract, with protective effects against intestinal inflammation44, which can contribute to better feed efficiency. In contrast, Clostridium saccharogumia is associated with increased body weight and abdominal fat in chickens45. In a study with efficient steers, Lourenco et al.46 reported increased Peptostreptococcaceae and Ruminococcaceae populations. The greater abundance of some members of the Peptostreptococcaceae family may contribute to increased ammonia availability in the hindgut, allowing for the development of carbohydrate-fermenting bacteria in efficient steers. Ruminococcaceae is a family of bacteria composed of both fibrolytic organisms involved in starch hydrolysis, which produces acetate, formate, and succinate, contributing to increased feed efficiency47. In our study, Ruminococcaceae was a unique taxon that was negatively correlated with DE bta-mir-155. On the other hand, DE bta-mir-155 was positively correlated with Coriobacteriaceae. This family of bacteria and different phylotypes are considered regulatory targets for improving host feed efficiency, as they are more abundant in efficient steers48.
DE bta-miR-126 was positively correlated with Lachnospiraceae, Bacteroidales and Clostridiales. Myer et al.49 reported that Lachnospiraceae and Clostridiales were more abundant in feed-efficient steers. Acetogens can be found in the Lachnospiraceae and Ruminococcaceae families and serve as hydrogen sinks, which may increase with reduced methane production50. The relationship between methane production and feed efficiency is known, where the energy not lost as methane can be converted into weight gain, increasing animal efficiency27. Furthermore, the ASV MEred was negatively correlated with RFI in the module‒trait association analysis. Overall, the positive effects of these microorganisms on feed efficiency biological processes indicate that these miRNAs and these taxa might contribute to increased feed efficiency in Nelore cattle.
In the inefficient group, DE bta-miR-196a was negatively correlated with ASV’s Lachnospiraceae and Ruminococcaceae, and DE bta-miR 126 was negatively correlated with ASV’s Anaerorhabdus furcosa and Bifidobacterium, in addition to the Lachnospiraceae and Ruminococcaceae families. A. furcosa is linked to human infections and the production of short-chain fatty acids (SCFAs)51, which are crucial byproducts of nondigestible carbohydrate fermentation in ruminants. SCFAs represent the main carbon flow from the diet through the gut microbiota to the host and have recently been shown to impact host immunity, including inflammasome activation and lymphocyte proliferation52. Bifidobacterium contributes to this process by producing enzymes that aid in carbohydrate metabolism, thereby increasing feed efficiency. Additionally, Bifidobacterium is a significant SCFA producer that influences epithelial cell differentiation and maintains intestinal homeostasis53. Given that inefficient animals may present intestinal inflammation, we can speculate that, in our study, decreased Bifidobacterium and A. furcosa populations may reflect the effect of bta-miR-126 in the inefficient animals. Consistent with our results, E. Hernandez-Sanabria et al..30 reported that Bifidobacterium was associated with inefficient steers, whereas A. furcosa spp. have never been linked to feed efficiency.
In addition to the negative correlations, we detected most of the positive correlations of DE bta-miR-30a and bta-mir-196a with ASVs classified as Lachnospiraceae and Ruminococcaceae, Bacteroidales, Bacillaceae and Clostridium. Furthermore, the same module of bta-miR-30a was negatively correlated with RFI in the module‒trait association analysis. Bacteroidales is an order of bacteria that includes the genus Prevotella, which is commonly associated with feed efficiency, as mentioned previously. The presence of the Clostridiaceae family in the digestive tract of ruminants is well documented. Clostridiaceae are essential commensals in the digestion of carbohydrates and proteins and are related to increased feed efficiency54, whereas the genus Clostridium has been associated with feed efficiency in poultry38. Considering that the Lachnospiraceae and Ruminococcaceae families exhibited both positive and negative correlations in the feed efficiency groups, we suggest that these families could represent key components of the microbiota essential for both groups and belong to different genera, species or Lineages, being physiologically different within the groups, which could not be observed here owing to the Limitations of 16 S taxonomic signals.
The role of miRNAs and their interactions with the host and its microbiota has gained prominence, and some studies have demonstrated that miRNAs can modulate the intestinal microbiota, while the intestinal microbiota, in turn, may regulate miRNA expression. Fecal miRNAs can regulate bacterial composition by targeting bacterial genes; conversely, the gut microbiota can regulate host gene expression and miRNAs through gut microbiota metabolites10. Some of the upregulated miRNAs correlated with bacteria in the inefficient group were also correlated with bacterial microbiomes in the efficient group, indicating that these miRNAs and bacteria are related to biological processes that influence feed efficiency. Furthermore, differences in richness and diversity between feed efficiency groups were expected from the correlations found with miRNAs. However, the expected effects of miRNAs are on gene expression and thus on the functionality of the microbiome. This hypothesis could not be confirmed, as the method used to access microbiomes in our study does not allow for the identification of functional differences. Additionally, if slight differences in individual microorganism abundance would result from this modulation, they would probably not have surpassed the multiple tests correction owing to the limited sample size of the study, since the number of microorganisms was far greater than the number of miRNAs per sample.
Conclusions
In this study, we identified differentially expressed fecal miRNAs, assessed the gut microbiota composition, and revealed the relationship between host miRNA expression, fecal microbiota, and feed efficiency. Fecal miRNAs and the microbial taxa identified here play roles in biological processes, e.g. muscle development, metabolic homeostasis and inflammatory processes related to feed efficiency in Nelore cattle, serving as potential candidates for exploring host-microbe interactions in phenotypic architecture. Moreover, our miRNA-microbiome networks identified correlations between host miRNA expression, microbiota composition, and feed efficiency, thus, we conclude that the host exerts genetic control over the gut microbiome and feed efficiency biological processes partly mediated by miRNAs.
Future directions
While the underlying mechanisms driving miRNA-gut microbiota interactions require further investigation and our study was limited by sample size, our findings may serve as a basis for future research on developing strategies to manipulate the microbiome and improve feed efficiency traits in cattle. A more detailed understanding of the molecular and microbial dynamics and interactions related to feed efficiency has the potential to enhance productivity and sustainability in ruminant production, ultimately contributing to global food security. Integrating meta-omics datasets such as metagenomics, metatranscriptomics, metaproteomics and metabolomics, with miRNA profiles, may provide a global-level view of the regulatory and microbiome networks underlying phenotypic traits. Finally, experimental validation through functional assays and microbiome manipulation strategies will be essential to confirm our findings and to translate these findings into practical applications for improving feed efficiency in cattle.
Methods
Ethics declarations
The experimental procedures were approved by the Committee Guidelines of Associated Colleges of Uberaba, Ethics Committee on the Use of Animals/CEUA-FAZU, CIAEP: 01.0593.2019. All methods were performed in accordance with relevant guidelines and regulations. Methods are reported in the manuscript following the recommendations in the ARRIVE guidelines.
Animals and experimental design
The National Young Bulls Evaluation Program (PNAT) is a young sire evaluation test run by the Brazilian Zebu Breeders Association (ABCZ) that selects registered Nelore bulls between 18 and 30 months of age on the basis of an index that considers growth, carcass, reproductive, morphological and feed efficiency traits. The Nelore bulls belonging to the PNAT were housed in the feedlot of “Faculdades Associadas de Uberaba” - FAZU, Uberaba/MG, for a period of approximately 21 days for adaptation and 70 days for effective evaluation. For this study, 16 animals, out of 91 belonging to the age group of 21–24 months, were selected to represent extreme values for residual feed intake (RFI). The feedlot diet, which consisted of corn silage, Major@ concentrated (Table S7, V60:C40) and sodium monensin, was formulated to obtain an average daily gain (ADG) of 1.3 kg/day. The animals were fed “ad libitum” in four daily treatments with 10% leftovers. Individual dry matter intake (DMI) data were obtained from an Intergado System (Intergado Ltd., Contagem, Minas Gerais, Brazil). All the animals were adapted to the management and diet, and there were no complications in the consumption measurement system during the test. The residual feed intake (RFI, kg/day) phenotypes were computed as the residuals from a multivariate linear regression of dry matter intake (DMI; kg/day), taking into account the average daily metabolic body weight (MBW) and average daily gain (ADG; kg/day). The adjusted-R squared of the RFI model and the partial coefficients for each predictor are: DMI = −1.7461 + (0.0878* MBW) + (2.5548*ADG) R squared = 0,6192. The 91 animals were ranked according to their RFI phenotypic values, and 16 extreme animals were chosen from each tail from the distribution (efficient, n = 8; inefficient, n = 8). When possible, animals that had common sires were sampled only when they belonged to different tails of the RFI distribution. Student’s t test was performed to evaluate the mean differences between the efficient and inefficient RFI groups.
Fecal sample collection
Fecal samples from the experimental population were collected at the same time from the rectal ampulla at the end of the 70-day feed efficiency trial of 2019. No animal exhibited a significant change in health status, although there was individual variation in fecal consistency. After retrieval, the samples were stored in liquid nitrogen and kept at −80 °C until DNA/RNA extraction.
RNA sampling and extraction
Total RNA extraction was performed on fecal samples for miRNA sequencing via TRIzol™ Reagent (Invitrogen). One milliliter of TRIzol was added to each 150 to 200 mg of fecal sample after maceration in liquid nitrogen with the aid of a mortar and pestle. After the sample was homogenized with TRIzol™ Reagent, chloroform was added, and the homogenate was separated into a clear upper aqueous layer (containing RNA), an interphase, and a red lower organic layer (containing the DNA and proteins). RNA was precipitated from the aqueous layer with isopropanol. The precipitated RNA was washed to remove impurities, resuspended in 50 µL of RNAse-free deionized water and stored at −80 °C until miRNA sequencing. The total RNA concentration was measured with a Nanodrop 1000 spectrophotometer, and the quality was initially verified by the 260:280 ratio, followed by assessment of integrity via agarose gel electrophoresis. All 16 samples had an RNA 260:280 ratio greater than 1.8 and were used to double-check RNA quality on the Agilent 2100 Bioanalyzer System. The RNA integrity number for all the samples was greater than 7.
miRNA data collection and analysis
miRNA library preparation and sequencing
For the miRNA Libraries, 1 µg of total stool RNA from each animal was treated with 1 U of DNase I amplification grade enzyme (Invitrogen). Subsequent procedures were performed according to the protocol described by Illumina. Briefly, 3-prime end-specific adapters were ligated to miRNAs via the T4 RNA Ligase 2 enzyme deletion mutant (Epicenter - LR2D1132K). Then, 3-prime and 5-prime RNA adapters were ligated via the same enzyme. First-strand cDNA was synthesized via the SuperScript II Reverse Transcriptase enzyme (Invitrogen − 18064014). The cDNA was amplified and analyzed via a high-sensitivity DNA chip (Agilent- 5067 − 4626). Amplified cDNA samples were size selected (18–24 bp), recovered from polyacrylamide, validated via a DNA 1000 chip (Agilent − 5067–1504) and sequenced. Sequencing of the fecal miRNA samples was performed at the multiuser laboratory of ESALQ, USP, and Piracicaba via the Illumina MiSeq 2500 platform, with a throughput of 8,000,000 paired-end reads per sample.
miRNA sequencing quality check
We used FastQC55 as a support tool in MultiQC tools (https://doi.org/10.1093/bioinformatics/btw354) to verify the sequence quality according to the following parameters: [-q 28] = minimum quality score to keep; [-p 70] = minimum percentage of bases that must have [-q] quality. Reads with noncanonical letters or with low quality were removed, 3′ adapters were trimmed with Cutadapt, and sequences shorter than 18 nt were discarded. After quality control, the reads were subjected to alignment against the Bos taurus genome (ARS-UCD1.2) with STAR software56.
Differentially expressed fecal miRNAs
Differentially expressed (DE) miRNAs were identified from a total of 16 small RNA libraries derived from fecal samples of efficient (n = 8) and inefficient (n = 8) Nelore cattle via DESeq2 software57 on the basis of a negative binomial generalized linear model. The following model was used (design):
dds<-DESeqDataSetFromMatrix(countData = cnt, colData = colData, design = ~ Group) design(dds) < - formula(~ Group (efficient, inefficient) # factor.
The read count data were filtered as follows: i) miRNAs with zero counts were removed; ii) miRNAs for which fewer than 1/5 of the samples had 0 counts were removed. We used the Benjamini–Hochberg method56 to control for the rate of false positives (FDR; 10%) and set a p value threshold of 0.1 (i.e., 10% of false positives are expected) to avoid losing too much information and, in this way, expand the biological response. The target genes of the identified DE fecal miRNAs were predicted with TargetScan58 (Release 8.0) that predicts the Biological targets of miRNAs by searching for the presence of conserved 8-mer, 7-mer, and 6-mer sites. As we are looking for taxonomic rank, the conserved (across most mammals but usually not beyond placental mammals) miRNA family threshold was used, customized by species (cow/Bostaurus). Functional enrichment analysis of target genes was performed via WebGestalt (WEB-based Gene SeT AnaLysis Toolkit59 using B. taurus organisms, and the overrepresentation enrichment analysis (ORA) method was used to identify significant (FDR ≤ 0.05) signaling pathways related to RFI. After this, significant signaling pathways associated to RFI and the related biological functions of the differentially expressed fecal miRNAs were discussed.”
Fecal DNA extraction
The total DNA of the 16 fecal samples was extracted via the ZR Fecal DNA Kit MiniPrep following the standard protocol (ZYMO Research Corp., Irvine, CA). In brief, the cells were mechanically lysed via the bead beating process. The total DNA obtained was then subjected to several filtering steps to obtain ultrapure DNA in accordance with the manufacturer’s instructions. DNA quality and integrity checks were performed via Nanodrop and agarose gel electrophoresis.
16S rRNA library preparation, sequencing and data analysis
PCR target amplification of the bacterial and archaeal 16 S rRNA coding genes was performed via the following primers39: 341-b-S-17 F and 785-a-A-21R for bacteria and Ar915aF and Ar1386R for archaea (Table S1). Amplicons were sequenced on an Illumina HiSeq platform (2 × 250 bp) via an Illumina V3 sequencing kit at the ESALQ Genomics Center (Piracicaba, SP, Brazil). The raw reads were filtered for quality (> Q25) and trimmed at positions 220 (forward) and 175 (reverse) via QIIME 2 version 2018.860. These positions were selected on the basis of aggregation plots generated by QIIME 2. The filtered data were submitted to the DADA2 package to generate amplicon sequence variants (ASVs) with the option of just concatenating and excluding chimeric sequences61. The bacterial sequences were annotated via the SILVA database version 138.162. To avoid spurious correlations, only ASVs identified in 10% of the samples and with at least 100 sequences in total were considered for microbiome analysis. The resulting ASV table was used to determine alpha (number of ASVs, Chao I, ACE, Shannon‒Wiener, Simpson, inverted Simpson and Fisher indices) and beta diversities (unweighted and weighted UniFrac distance) with QIIME. ASVs were transformed via CLR transformation.
Sequencing of amplicons from the fecal samples of 16 Nelore cattle yielded a total of 2,821,494 paired-end reads for bacteria and archaea. Quality control, denoising and chimera exclusion retained a total of 1,462,354 sequences resolved in 5,005 ASVs. A total of 357 ASVs were retained after the exclusion of singletons (Table S5). The rarefaction curves based on the Shannon‒Wiener alpha diversity metrics reached a plateau, which indicated that the sampling depth was adequate and that additional sequences were unlikely to result in additional features (Figure S1).
miRNA‒microbiome interaction networks
Weighted gene coexpression network analysis (WGCNA) and WGCNA applied to microbial communities14 were used to construct separate miRNA and ASV networks. The adjacency matrix was created from the pairwise Spearman’s correlation coefficients between all the miRNA/ASV pairs via a power β to reach a scale-free topology criterion. All the miRNAs/ASVs were hierarchically clustered on the basis of topological overlap measure (TOM) dissimilarity. The modules, consisting of groups of miRNAs/ASVs with similar expression/abundance profiles between samples, correspond to the branches of the dendrogram and were selected via the dynamic tree cut algorithm. miRNA network construction and module detection used step-by-step network construction with a soft threshold of β = 6 (R 2 > 0.90) and a minimum module size of 5, and ASV network construction used step-by-step network construction with a soft threshold of β = 6 (R 2 > 0.91) and a minimum module size of 30. The topological overlap distance calculated from the adjacency matrix is then clustered with average Linkage hierarchical clustering. The default minimum cluster merge height of 0.25 was retained. The module eigengene (ME), the first principal component of each module, represents the module’s expression/abundance profile. Additionally, the gene significance (GS) was calculated as the absolute value of the correlation between the expression/abundance profile and the trait. Hub miRNAs and ASVs were selected on the basis of module membership (MM), defined as the Spearman correlation coefficient between the expression/abundance profile and each ME. An integrated network (microbiome‒miRNA interaction network) was constructed by correlating the MEs of miRNAs with the MEs of ASVs. Modules with positive and negative correlations and p values < 0.10 were used for functional enrichment analysis.
In the module-trait association analysis, we calculated the confidence interval for a specific module-trait correlation using the following function in R: fisher_ci <- function(r, n, conf.level = 0.95). Fisher confidence interval refers to a method for estimating confidence intervals for correlation coefficients, especially Pearson’s correlation coefficient (r), using Fisher’s z-transformation63.
Data availability
The datasets generated and/or analysed during the current study are available in the NCBI repository (BioProject ID PRJNA1216603). Contact luciana.regitano@embrapa.br in case to request the data from this study.
References
Simon, J. C., Marchesi, J. R., Mougel, C. & Selosse, M. A. Host-microbiota interactions: from holobiont theory to analysis. Microbiome 7, 1–5 (2019).
Monteiro, H. F. et al. Rumen and lower gut microbiomes relationship with feed efficiency and production traits throughout the lactation of Holstein dairy cows. Sci. Rep. 12, 1–14 (2022).
Delgado, B. et al. Whole rumen metagenome sequencing allows classifying and predicting feed efficiency and intake levels in cattle. Sci. Rep. https://doi.org/10.1038/s41598-018-36673-w (2019).
Conteville, L. C. et al. Rumen and fecal microbiomes are related to diet and production traits in Bos indicus beef cattle. Front. Microbiol. 14, 1282851. https://doi.org/10.3389/fmicb.2023.1282851 (2023).
Moloney, G. M., Viola, M. F., Hoban, A. E., Dinan, T. G. & Cryan, J. F. Faecal micrornas: indicators of imbalance at the host-microbe interface? Benef Microbes. https://doi.org/10.3920/BM2017.0013 (2018).
Du, X., Ley, R. & Buck, A. H. MicroRNAs and extracellular vesicles in the gut: new host modulators of the microbiome? MicroLife 2, 1–6 (2021).
Wortelboer, K. et al. Fecal microbiota transplantation as tool to study the interrelation between microbiota composition and MiRNA expression. Microbiol. Res. 257, 126972 (2022).
Liu, S. et al. The host shapes the gut microbiota via fecal MicroRNA. Cell. Host Microbe. https://doi.org/10.1016/j.chom.2015.12.005 (2016).
Sarshar, M., Scribano, D., Ambrosi, C., Palamara, A. T. & Masotti, A. Fecal Micrornas as innovative biomarkers of intestinal diseases and effective players in hostmicrobiome interactions. Cancers (Basel). 12, 1–21 (2020).
Li, M., Chen, W. D. & Wang, Y. D. The roles of the gut microbiota–miRNA interaction in the host pathophysiology. Mol. Med. 26, 101. https://doi.org/10.1186/s10020-020-00234-7 (2020).
Bi, K., Zhang, X., Chen, W. & Diao, H. Micrornas regulate intestinal immunity and gut microbiota for Gastrointestinal health: A comprehensive review. Genes (Basel). 11, 1–17 (2020).
Ojo, O. E. & Kreuzer-Redmer, S. MicroRNAs in ruminants and their potential role in nutrition and physiology. Vet. Sci. 10, 1–20 (2023).
Ricci, S. et al. Characterization of presence and activity of MicroRNAs in the rumen of cattle hints at possible host-microbiota cross-talk mechanism. Sci. Rep. 12, 1–15 (2022).
Duran-Pinedo, A. E., Paster, B., Teles, R. & Frias-Lopez, J. Correlation network analysis applied to complex biofilm communities. PLoS One 6 (12), e28438. https://doi.org/10.1371/journal.pone.0028438 (2011).
Qiu, X. et al. Identification of hub genes and MicroRNAs associated with idiopathic pulmonary arterial hypertension by integrated bioinformatics analyses. Front. Genet. 12, 1–11 (2021).
Adegoke, O. A. J., Abdullahi, A. & Tavajohi-Fini, P. MTORC1 and the regulation of skeletal muscle anabolism and mass. Appl. Physiol. Nutr. Metab. 37, 395–406 (2012).
Legerstee, K. & Houtsmuller, A. B. A layered view on focal adhesions. Biology 10 (11), 1189. https://doi.org/10.3390/biology10111189 (2021).
Montanholi, Y. et al. Small intestine histomorphometry of beef cattle with divergent feed efficiency. Acta Vet. Scand. 55, 1 (2013).
Al-Husseini, W. et al. Characterization and profiling of liver MicroRNAs by RNA-sequencing in cattle divergently selected for residual feed intake. Asian-Australasian J. Anim. Sci. https://doi.org/10.5713/ajas.15.0605 (2016).
Chivukula, R. R. et al. An essential mesenchymal function for miR-143/145 in intestinal epithelial regeneration. Cell 157, 1104–1116 (2014).
Seabury, C. M. et al. Genome-wide association study for feed efficiency and growth traits in U.S. Beef cattle. BMC Genom. https://doi.org/10.1186/s12864-017-3754-y (2017).
Kogelman, L. J. A. et al. Identification of co-expression gene networks, regulatory genes and pathways for obesity based on adipose tissue RNA sequencing in a Porcine model. BMC Med. Genomics. https://doi.org/10.1186/1755-8794-7-57 (2014).
Eijkelenboom, A. et al. Genome-wide analysis of FOXO3 mediated transcription regulation through RNA polymerase II profiling. Mol. Syst. Biol. https://doi.org/10.1038/msb.2012.74 (2013).
Casal, A., Garcia-Roche, M., Navajas, E. A., Cassina, A. & Carriquiry, M. Differential hepatic oxidative status in steers with divergent residual feed intake phenotype. Animal 14, 78–85 (2020).
Hilbi, H. & Kortholt, A. Role of the small GTPase Rap1 in signal transduction, cell dynamics and bacterial infection. Small GTPases. 10, 336–342 (2019).
De Oliveira, P. S. N. et al. An integrative transcriptome analysis indicates regulatory mRNA-miRNA networks for residual feed intake in Nelore cattle. Sci. Rep. 8, 1–12 (2018).
Freetly, H. C. et al. Digestive tract microbiota of beef cattle that differed in feed efficiency. J. Anim. Sci. 98, 1–16 (2020).
Hoyles, L. et al. Recognition of greater diversity of Bacillus species and related bacteria in human faeces. Res. Microbiol. 163, 3–13 (2012).
Janssen, P. H. & O’Farrell, K. A. Succinispira mobilis gen. nov., sp. nov., a succinate-decarboxylating anaerobic bacterium. Int. J. Syst. Bacteriol. 49, 1009–1013 (1999).
Hernandez-Sanabria, E. et al. Impact of feed efficiency and diet on adaptive variations in the bacterial community in the rumen fluid of cattle. Appl. Environ. Microbiol. 78, 1203–1214 (2012).
Li, F., Hitch, T. C. A., Chen, Y., Creevey, C. J. & Guan, L. L. Comparative metagenomic and metatranscriptomic analyses reveal the breed effect on the rumen Microbiome and its associations with feed efficiency in beef cattle 06 biological sciences 0604 genetics 06 biological sciences 0605 microbiology. Microbiome 7, 1–21 (2019).
Romao, J. M., Jin, W., He, M., McAllister, T. & Guan, L. L. MicroRNAs in bovine adipogenesis: genomic context, expression and function. BMC Genom. https://doi.org/10.1186/1471-2164-15-137 (2014).
Wu, F. et al. MicroRNAs are differentially expressed in ulcerative colitis and alter expression of macrophage inflammatory Peptide-2α. Gastroenterology 135, 1624–1635 (2008).
Tarallo, S. et al. Stool MicroRNA profiles reflect different dietary and gut Microbiome patterns in healthy individuals. Gut 71, 1302–1314 (2022).
Ionescu, R. F., Enache, R. M., Cretoiu, S. M. & Cretoiu, D. The interplay between gut microbiota and MiRNAs in cardiovascular diseases. Front. Cardiovasc. Med. 9, 1–14 (2022).
Sonoyama, K. & Ohsaka, F. Role of MicroRNAs in the crosstalk between the gut microbiota and intestinal immune system. Biosci. Microbiota Food Heal. 42, 222–228 (2023).
Auger, S. et al. Gene co-expression network analysis of the human gut commensal bacterium Faecalibacterium Prausnitzii in R-Shiny. PLoS One. 17, 1–17 (2022).
Zhou, Q. et al. Genetic and Microbiome analysis of feed efficiency in laying hens. Poult. Sci. 102, 1–12 (2023).
Andrade, B. G. N. et al. Stool and ruminal Microbiome components associated with methane emission and feed efficiency in Nelore beef cattle. Front. Genet. 13, 1–12 (2022).
Bergamaschi, M. et al. Gut Microbiome composition differences among breeds impact feed efficiency in swine. Microbiome 8, 1–15 (2020).
Dao, T. K. et al. Understanding the role of prevotella genus in the digestion of lignocellulose and other substrates in Vietnamese native goats’ rumen by metagenomic deep sequencing. Animals 11 (11), 3257. https://doi.org/10.3390/ani11113257 (2021).
Zhou, X. et al. Rumen and Fecal Microbiota Characteristics of Qinchuan Cattle with Divergent Residual Feed Intake. Microorganisms 11, (2023).
Clemmons, B. A. et al. Ruminal protozoal populations of Angus steers differing in feed efficiency. Animals 11, 1–10 (2021).
Parker, B. J., Wearsch, P. A., Veloo, A. C. M. & Rodriguez-Palacios, A. The genus alistipes: gut bacteria with emerging implications to Inflammation, Cancer, and mental health. Front. Immunol. 11, 1–15 (2020).
Liu, J. et al. Integrated omics analysis reveals differences in gut microbiota and gut-host metabolite profiles between obese and lean chickens. Poult. Sci. 101 (11), 102165. https://doi.org/10.1016/j.psj.2022.102165 (2022).
Lourenco, J. M. et al. Fecal Microbiome differences in Angus steers with differing feed efficiencies during the feedlot-Finishing phase. Microorganisms 10, 1–10 (2022).
Li, F. et al. Host genetics influence the rumen microbiota and heritable rumen microbial features associate with feed efficiency in cattle. Microbiome 7, 1–17 (2019).
Zhou, M. et al. Assessment of Microbiome changes after rumen transfaunation: implications on improving feed efficiency in beef cattle. Microbiome 6, 62 (2018).
Myer, P. R. Bovine Genome-Microbiome interactions: metagenomic frontier for the selection of efficient productivity in cattle systems. mSystems https://doi.org/10.1128/msystems.00103-19 (2019).
Gagen, E. J., Padmanabha, J., Denman, S. E. & McSweeney, C. S. Hydrogenotrophic culture enrichment reveals rumen lachnospiraceae and Ruminococcaceae acetogens and hydrogen-responsive bacteroidetes from pasture-fed cattle. FEMS Microbiol. Lett. 362, 1–8 (2015).
Fusco, W. et al. Short-Chain Fatty-Acid-Producing Bacteria: Key Components of the Human Gut Microbiota. Nutrients 15, (2023).
He, Z. & Dong, H. The roles of short-chain fatty acids derived from colonic bacteria fermentation of non-digestible carbohydrates and exogenous forms in ameliorating intestinal mucosal immunity of young ruminants. Front. Immunol. 14, 1–9 (2023).
Venegas, D. P. et al. Short chain fatty acids (SCFAs)mediated gut epithelial and immune regulation and its relevance for inflammatory bowel diseases. Front Immunol. 10, 277. https://doi.org/10.3389/fimmu.2019.00277 (2019). Erratum in: Front. Immunol. 10, 1486 https://doi.org/10.3389/fimmu.2019.01486 (2019).
Myer, P. R., Smith, T. P. L., Wells, J. E., Kuehn, L. A. & Freetly, H. C. Rumen Microbiome from steers differing in feed efficiency. PLoS One. https://doi.org/10.1371/journal.pone.0129174 (2015).
Andrews, S. FASTQC A quality control tool for high throughput sequence data. tools Babraham Inst (2015). http://www.bioinformatics.babraham.ac.uk/projects/fastqc
Dobin, A. & Gingeras, T. R. Mapping RNA-seq reads with STAR. Curr. Protoc. Bioinformatics. 51, 11.14.1–11.14.19. https://doi.org/10.1002/0471250953.bi1114s51 (2015).
Love, M. I., Huber, W. & Anders, S. Moderated Estimation of fold change and dispersion for RNA-seq data with DESeq2. Genome Biol. https://doi.org/10.1186/s13059-014-0550-8 (2014).
McGeary, S. E. et al. The biochemical basis of MicroRNA targeting efficacy. Science 366 (6472), eaav1741. https://doi.org/10.1126/science.aav1741 (2019).
Liao, Y., Wang, J., Jaehnig, E. J., Shi, Z. & Zhang, B. WebGestalt 2019: gene set analysis toolkit with revamped UIs and apis. Nucleic Acids Res. 47, W199–W205 (2019).
Bolyen, E. et al. Reproducible, interactive, scalable and extensible Microbiome data science using QIIME 2. https://doi.org/10.1038/s41587-019-0190-3
Callahan, B. J. et al. DADA2: High-resolution sample inference from illumina amplicon data. Nat. Methods. https://doi.org/10.1038/nmeth.3869 (2016).
Quast, C. et al. The SILVA ribosomal RNA gene database project: improved data processing and web-based tools. Nucleic Acids Res. https://doi.org/10.1093/nar/gks1219 (2013).
Welz, T., Doebler, P. & Pauly, M. Fisher transformation based confidence intervals of correlations in fixed- and random-effects meta-analysis. Br. J. Math. Stat. Psychol. 75, 1–22 (2022).
Acknowledgements
This study was financed in part by the Coordenação de Aperfeiçoamento de Pessoal de Nível Superior - Brasil (CAPES) - Finance Code 001 with a scholarship to PSNO (88887.473152/2020-00), ABCZ (Brazilian Zebu Breeders Association) for collecting sample data and the staff of the Embrapa Southeast Cattle Animal Biotechnology laboratory for assistance.
Funding
This study was financed in part by the Coordenação de Aperfeiçoamento de Pessoal de Nível Superior - Brasil (CAPES) − 88887.473152/2020-00) for a scholarship to PSNO, ABCZ (Brazilian Zebu Breeders Association) for animal samples and phenotypic data, FAPESP (São Paulo Research Foundation grant number 2019/04089-2) and CNPq (National Council for Scientific and Technological Development grant number 428153/2018) for funding sequencing data analysis.
Author information
Authors and Affiliations
Contributions
PSNO, BGNA, JMR, and LCAR conceived the experiment; JGP, LAJ, LFA, HTV, GAM, JJB and MJr performed the experiments; PSNO, BGNA, TFC, LCC and GACP performed analysis; PSNO, BGNA, TFC, LCC, GBM, LLC, JM and LCAR interpreted the results and PSNO, BGNA, TFC, LCC, JJB, LLC, JR and LCAR drafted revised the manuscript. All authors read and approved the final manuscript.
Corresponding author
Ethics declarations
Competing interests
The authors declare no competing interests.
Additional information
Publisher’s note
Springer Nature remains neutral with regard to jurisdictional claims in published maps and institutional affiliations.
Supplementary Information
Below is the link to the electronic supplementary material.
Rights and permissions
Open Access This article is licensed under a Creative Commons Attribution-NonCommercial-NoDerivatives 4.0 International License, which permits any non-commercial use, sharing, distribution and reproduction in any medium or format, as long as you give appropriate credit to the original author(s) and the source, provide a link to the Creative Commons licence, and indicate if you modified the licensed material. You do not have permission under this licence to share adapted material derived from this article or parts of it. The images or other third party material in this article are included in the article’s Creative Commons licence, unless indicated otherwise in a credit line to the material. If material is not included in the article’s Creative Commons licence and your intended use is not permitted by statutory regulation or exceeds the permitted use, you will need to obtain permission directly from the copyright holder. To view a copy of this licence, visit http://creativecommons.org/licenses/by-nc-nd/4.0/.
About this article
Cite this article
de Oliveira, P.S.N., Andrade, B.G.N., Cardoso, T.F. et al. miRNA‒microbiome correlations in Bos indicus feed efficiency. Sci Rep 15, 36690 (2025). https://doi.org/10.1038/s41598-025-20408-9
Received:
Accepted:
Published:
Version of record:
DOI: https://doi.org/10.1038/s41598-025-20408-9





