Abstract
Alzheimer’s disease (AD), a progressive neurodegenerative disorder, poses a significant global health burden due to its intricate pathology and the absence of curative treatments. Current therapies primarily offer symptomatic relief, often with limited efficacy and complications, thereby underscoring the urgent need for innovative, safer, and more effective interventions. Stigmasterol, a plant-derived phytosterol, has demonstrated neuroprotective properties, including anti-inflammatory and antioxidant effects, which positions this sterol as a compelling candidate for further investigation in AD treatment. In this investigation, high-throughput virtual screening of 972 stigmasterol analogs (SAs) was conducted to identify potential acetylcholinesterase (AChE) inhibitors, followed by ADMET filtering, molecular dynamics (MD) simulations, MM/GBSA free binding energy estimations, and DFT calculations. Three lead compounds, including SA4 (-10.9 kcal/mol), SA12 (-10.6 kcal/mol), and SA15 (-10.5 kcal/mol), demonstrated superior binding affinities compared to stigmasterol (-9.6 kcal/mol) and the control drug donepezil (-8.6 kcal/mol). Docking interaction analysis revealed strong binding by hydrogen bonds and hydrophobic interactions, whereas pharmacokinetic, pharmacodynamic, and toxicity assessments confirmed the favorable characteristics of these compounds. MD simulations (200 ns) demonstrated the structural compactness of the compounds, which was further supported by principal component analysis and Gibbs free energy landscape experiments. MM/GBSA identified SA4 as the most potent analog (-82.21 kcal/mol), followed by SA15 (-80.40 kcal/mol) and SA12 (-69.72 kcal/mol). A DFT-based molecular reactivity analysis revealed decreased reactivity and increased kinetic stability of the lead candidates in their transition from free to bound states. These findings provide insights into the therapeutic potential of stigmasterol analogs as AChE inhibitors, thus offering the groundwork for in vivo and in vitro validation for advancing AD treatment.
Similar content being viewed by others
Introduction
Alzheimer’s disease (AD), accounting for 60–80% of all dementia cases, is a progressive neurodegenerative disorder characterized by cognitive deterioration, memory loss, and behavioral disturbances that ultimately lead to disorientation, mood disturbances, and personality shifts1. It imposes significant psychological, physiological, and societal burdens, with approximately 50 million people being affected throughout the world; moreover, this figure is projected to triple by 20502. A hallmark feature of AD is the rapid hydrolysis of acetylcholine (ACh) (a neurotransmitter that is critical for cognitive function and memory) by acetylcholinesterase (AChE), thus leading to reduced ACh levels, cortical cholinergic axon loss, and brain shrinkage. This cholinesterase activity is linked to plaques, tangles, and amyloid angiopathy3. Given the clinical success and well-established mechanism of AChE inhibition in alleviating AD symptoms, AChE remains a widely pursued and pharmacologically validated target for therapeutic intervention. While other pathological pathways, including tau hyperphosphorylation, amyloid-β aggregation, oxidative stress, and neuroinflammation, are implicated in AD progression, AChE inhibition offers the most immediate symptomatic relief by restoring cholinergic neurotransmission, which is directly linked to memory and cognitive function4,5. Current therapies primarily focus on enhancing cholinergic neurotransmission by AChE inhibitors (AChEIs), such as donepezil, galantamine, and rivastigmine, which slow ACh degradation. Tacrine, the first-generation AchEI approved by the FDA in 1993, was later discontinued due to hepatotoxicity; however, later drugs also exhibited certain limitations, including short-term efficacy and cholinergic side effects6. Memantine, an NMDA (N-methyl-D-aspartate) antagonist, is also approved for AD treatment7. Despite these advancements, the long-term efficacy of these medications is limited, thus prompting increasing interest in safer alternatives.
Natural products have demonstrated antioxidant, anti-inflammatory, antiamyloidogenic, and anticholinesterase effects, thereby suggesting their potential to mitigate symptoms and slow disease progression8,9. Medicinal plants, used by 70–80% of rural populations for primary health care, represent a vital source of therapeutic agents in both traditional and modern medicine, underscoring their potential for the development of safer and more effective treatments for AD10.
Stigmasterol, a plant-derived sterol synthesized by the mevalonate pathway, plays a pivotal role in the production of isoprenoids and sterols in plants. Being structurally similar to cholesterol, stigmasterol possesses a distinctive trans-oriented double bond in its side chain, which distinguishes it from β-sitosterol11. Often referred to as the ‘stress sterol’, stigmasterol accumulates in plants under various stress conditions and has garnered attention based on its neuroprotective potential in neurodegenerative diseases12. It exerts neuroprotective effects by mechanisms such as enhancing GABAergic neurotransmission, inhibiting AChE, and reducing oxidative stress. Additionally, stigmasterol mitigates excitotoxicity, DNA damage, and mitochondrial dysfunction while enhancing the functions of antioxidant enzymes, including superoxide dismutase (SOD) and catalase (CAT)13.
Analog-based drug design has emerged a powerful tool for optimizing lead compounds to increase their therapeutic efficacy. For instance, curcumin analogs were demonstrated to inhibit phospholipase A2, with some analogs exhibiting stronger binding affinity and anti-inflammatory activity compared to curcumin14. Similarly, quercetin analogs targeting SARS-CoV-2 3CLpro exhibited significant improvements in docking score and inhibitory activity compared with those of the parent compound15. In another study, benzoxaborole analogs were observed to be promising against Leishmania trypanothione reductase, with improved binding energy and pharmacokinetics being noted, thus highlighting their potential as antileishmanial agents16. Given the critical role of ACh in cognitive function and its rapid degradation by AChE in AD, stigmasterol analogs may emerge as promising drug candidates that target AChE. This rationale is supported by several experimental studies. Park et al.17 demonstrated that stigmasterol significantly improved scopolamine-induced memory deficits in mice by enhancing cholinergic neurotransmission and activating NMDA and estrogen receptor pathways. This activation led to elevated levels of phosphorylated ERK (extracellular signal-regulated kinase) and cAMP response element-binding proteins in the hippocampus, both of which are critical mediators of memory consolidation and cognitive function. Yesudas et al.18 reported that stigmasterol isolated from Phormidium retzii exhibited potent in vitro AChE inhibition, showing 81.2% maximum inhibition at 0.45 µM with an IC₅₀ of 0.214 µM. Additionally, Seixas et al.19 synthesized amino acid-functionalized stigmasterol analogs, two of which displayed significantly improved AChE inhibition (IC₅₀ ~99 µM), whereas the parent compound showed negligible activity, indicating the potential of structural modification. Moreover, the exploration of stigmasterol-based compounds as neuroprotective agents aligns with the growing demand for safer, plant-based therapeutic strategies for AD, thereby offering the dual advantages of mitigating oxidative stress and enhancing cholinergic neurotransmission20. These studies underscore the value of exploring analogs to increase the activity and selectivity of lead compounds. In alignment with this approach, our study on stigmasterol analogs builds on such evidence by leveraging computational tools to identify analogs with potentially superior stability, binding affinity, and therapeutic efficacy, thus further validating the significance of analogs in the discovery of new drugs21.
Structure-based drug design (SBDD) has transformed the identification and optimization of drug candidates, particularly for complex diseases such as Alzheimer’s disease (AD). By leveraging high-throughput virtual screening, molecular docking, and ADMET (absorption, distribution, metabolism, excretion, and toxicity) profiling, SBDD facilitates the discovery of promising inhibitors with favorable pharmacokinetic and pharmacodynamic properties. Furthermore, molecular dynamics (MD) simulations and binding free energy calculations, including molecular mechanics/generalized born surface area (MM/GBSA) and molecular mechanics/poisson–boltzmann surface area (MM/PBSA), offer crucial insights into the stability, flexibility, and binding affinity of protein–ligand complexes under near-physiological conditions, thus refining the drug development process22. The integration of bioinformatics-driven tools has significantly accelerated the discovery of new drug candidates, reducing both time and cost compared to traditional experimental approaches23. Computational techniques also enhance the predictive accuracy of molecular interactions, supporting a rigorous evaluation of natural compounds with therapeutic potential. Recent advances in computational techniques, including steered MD and umbrella sampling, have enabled researchers to probe ligand unbinding pathways and quantify dissociation forces, which are important for assessing drug residence time and selectivity. These approaches have been effectively applied to identify selective and potent cyclin-dependent kinase (CDKs) inhibitors, implicated in cancer and neurodegenerative disorders, highlighting their versatility in modern drug discovery24,25,26,27. Altogether, the integration of advanced computational methods in biomedical research enables a deeper understanding of complex biological systems and drug mechanisms, advancing personalized medicine and improving success rates in therapeutic development27,28.
Despite significant advances in computational drug discovery, the therapeutic potential of stigmasterol-derived analogs as acetylcholinesterase (AChE) inhibitors in Alzheimer’s disease (AD) remains underexplored. This study aimed to identify and optimize stigmasterol analogs with potent AChE inhibitory activity using an integrated computational pipeline comprising high-throughput virtual screening, ADMET profiling, MD simulations, MM/GBSA binding free energy estimation, and density functional theory (DFT)-based molecular reactivity analysis. By integrating these computational approaches, this study seeks to discover lead compounds with enhanced binding affinity, structural stability, and favorable pharmacological properties, thereby contributing to the rational design of AChE-targeted therapeutics for Alzheimer’s disease.
Materials and methods
Prediction of structural analogs
Stigmasterol (CID: 5280794) was retrieved from the PubChem database. A 2D similarity search for structural analogs was performed using the fingerprint-based Tanimoto module available in PubChem, with a Tanimoto coefficient threshold of ≥ 0.90 being utilized to ensure high structural similarity to stigmasterol29. A total of 972 stigmasterol analogs (SA) were downloaded from PubChem in 3D SDF format.
Preparation of the ligands
Stigmasterol and its 972 analogs were used as ligands for molecular docking analyses along with the control drug donepezil30. To enable broader comparative evaluation, two additional AChE inhibitors such as galantamine (FDA-approved) and huperzine A (a well-characterized natural inhibitor in clinical trials), were included to enhance the pharmacological relevance of the screening31,32. Energy minimization of all ligands was conducted employing OpenBabel v3.1.1.133, in which the MMFF94 (Merck Molecular Force Field 1994) force field and steepest descent algorithm were applied for 2000 steps. The minimized structures were subsequently converted into PDBQT format prior to docking analysis.
Preparation of the protein
The acetylcholinesterase (AChE) protein (PDB ID: 1B41) was retrieved from the Protein Data Bank. This structure was chosen because of its extensive use in molecular docking studies of AChE inhibitors, including donepezil. Although deposited over two decades ago, 1B41 represents the human form of AChE, as annotated in the PDB, and remains one of the few ligand-bound structures that enables reliable redocking of reference inhibitors such as donepezil, making it a benchmark model in earlier studies34,35,36. The protein was prepared by Schrödinger’s protein preparation wizard37. All of the crystallographic water molecules were removed, as generic water molecules are often disordered and typically not essential for ligand binding, particularly when no conserved or structurally relevant water molecules are identified in the active site. Although water-mediated interactions can influence binding affinity, in the absence of clear evidence for conserved water bridges or specific hydration sites, their exclusion is a standard practice to simplify the docking environment and reduce computational complexity. The receptor structure was subsequently optimized and subjected to restrained energy minimization employing the OPLS4 (Optimized Potentials for Liquid Simulations 4) force field to ensure structural refinement. Finally, the protein was converted to PDBQT format using the OpenBabel tool33.
Prediction of the binding pocket
The active pocket of the receptor was detected by the CASTp v3.0 server38. To further validate the active site, key interacting residues (Trp286, Tyr337, and Tyr341) reported in a previous study39,40 were used as reference points. The selected pocket encompassed these residues, confirming the suitability of this site for docking studies based on both structural geometry and literature-supported functional relevance.
Molecular docking
Molecular docking serves as the initial screening step to predict binding modes and affinities, guiding the identification of promising lead candidates for further computational refinement and optimization. A uniform grid box with dimensions of 72 × 84 × 82 and center coordinates of 102.776 (X), 110.568 (Y), and − 133.201 (Z) was configured for molecular docking analysis. This grid box was consistently applied to all of the ligands to ensure the comparability of the docking scores. Molecular docking was then performed employing the EasyDock Vina v2.2.3 tool41 which incorporates the AutoDock Vina engine. The resulting complexes were visually analyzed by PyMOL v.3.1 and Biovia Discovery Studio v.24.1.0.23298. As per the unchangeable default EasyDock Vina settings, the exhaustiveness parameter was set to 9, and nine conformers were generated per ligand. The AutoDock Vina scoring function, which integrates empirical binding affinity estimates with steric and hydrophobic interaction terms, was used to rank ligand poses. Docking validation was performed by re-docking the co-crystallized ligand into the active site using the same docking parameters. The top-ranked selected phytocompounds were then subjected to ADMET analysis to evaluate their pharmacokinetic and toxicity profiles.
Drug-likeness evaluation
Drug-likeness tests were conducted using the SwissADME server to evaluate various ADME properties such as physicochemical properties, water solubility, lipophilicity, gastrointestinal (GI) absorption, P-glycoprotein interactions, cytochrome P450 (CYP450) inhibition, and medicinal chemistry properties42. Additionally, the BOILED-Egg model was used to predict blood-brain barrier (BBB) permeability and intestinal absorption. Moreover, toxicity assessments were conducted using the STopTox server, which evaluated various key toxicity endpoints, including acute inhalation, oral and dermal toxicities, eye irritation and corrosion, skin irritation and corrosion, and skin sensitization43. These evaluations enabled the prioritization of analogs with favorable pharmacokinetic and safety profiles, facilitating lead optimization.
Molecular dynamics (MD) simulation
MD simulations were conducted using the Desmond module of Schrödinger v2020-1 to assess the thermodynamic behavior of the selected lead compounds and the reference drug donepezil44. Each system was solvated in an orthorhombic box filled with water molecules modeled using the simple point charge (SPC) approach. The SPC model was chosen based on its computational efficiency and proven reliability in reproducing key solvent properties in protein-ligand simulations. A minimum distance of 10 Å between the solute and the box edges was maintained to ensure proper solvation, prevent artifactual interactions with periodic images, and maintain a constant volume throughout the simulation. Energy minimization was performed using the OPLS4 force field, which was selected based on its enhanced accuracy in modeling protein-ligand interactions. The default eight-stage Desmond relaxation protocol was applied, which included initial energy minimization followed by restrained and unrestrained equilibration steps under the NVT and NPT ensembles. Heavy-atom restraints were gradually released to allow the system to adapt to its environment. A 200 ns production run was then performed under NPT ensemble conditions at 300 K and 1.01325 bar, with temperature and pressure maintained by using the Nose-Hoover thermostat and Martyna-Tobias-Klein barostat. The dynamic stability and interaction profiles observed during MD simulations further informed lead optimization by confirming the binding durability and conformational behavior of promising candidates.
Principal component analysis and Gibbs free energy landscape analysis
Principal component analysis (PCA) was carried out using the Statistics Kingdom Server (https://www.statisticskingdom.com), with a focus on the RMSD and Rg coordinates of all of the simulated frames. The covariance matrix option was selected to complete the analysis. Moreover, the Gibbs free energy landscape (FEL) analysis was performed using a custom-built python script with Boltzmann statistics45,46.
MM/GBSA analysis
The Prime module of Schrödinger was employed to calculate the MM/GBSA free binding energy. The OPLS4 force field was employed to accurately describe molecular interactions, whereas the VSGB (Variable-dielectric Surface Generalized Born) solvation model was applied to account for solvent effects47. This post-docking rescoring method was used to refine and validate docking results by estimating the binding free energy (ΔG Bind) of the receptor–ligand complexes, thereby helping to prioritize ligands with stronger and more stable interactions. By providing a more accurate evaluation of binding affinities, MM/GBSA contributes directly to lead optimization by identifying the most promising candidates for further development. This combination allowed for accurate estimation of the receptor-ligand binding affinity, thus offering valuable insights into the stability and robustness of the resulting molecular complexes.
Molecular reactivity analysis
Avogadro and ORCA v4.1.1 packages were used to estimate molecular reactivity of the lead candidates, stigmasterol, and donepezil48. Input files for the free-state calculations were generated using Avogadro and subsequently processed in ORCA. Geometry optimization was performed using density functional theory (DFT) with the B3LYP-D3 functional combined with the 6-31G(d, p) basis set, which provides a reliable balance between computational cost and accuracy for organic molecules and noncovalent interactions. Bound-state calculations were carried out using the final frame from the MD simulation49. This approach enabled detailed evaluation of electronic properties, including frontier molecular orbitals and electrophilicity, which influence chemical reactivity and interaction potential of a compound. By identifying molecules with favorable reactivity patterns, DFT contributed to lead optimization by supporting the selection of candidates with higher potential for biological activity and stability.
Results and discussion
Molecular docking analysis
Among the cavities identified by the CASTp v3.0 server, Pocket 2 was selected for docking based on both structural and functional criteria. This pocket encompasses key residues from the peripheral anionic site (PAS), such as Tyr72, Asp74, Tyr124, Trp286, and Tyr341, as well as residues from the anionic subsite including Trp86, Tyr133, Tyr337, and Phe338. In addition, it contains two residues of the catalytic triad, Ser203 and His447, from the catalytic active site. Notably, Glu334, the third component of the catalytic triad, was the only key residue absent from this pocket. The presence of nearly all major functional residues reported by Johnson and Moore40 underscores the biological relevance of Pocket 2. Structurally, Pocket 2 exhibited a surface area of 343.188 Ų and a volume of 155.525 ų, reinforcing its suitability as the primary binding site for docking studies (Fig. 1). To validate the docking protocol, the co-crystallized ligand, donepezil, was re-docked into the binding pocket of the target protein, which yielded an RMSD of 1.304 Šbetween the native and re-docked poses (Fig. 2). Notably, this RMSD value is lower than the 1.78 Šreported by Farooq et al.35, who used AutoDockTools v.1.5.6 to re-dock donepezil into the same AChE target (PDB ID: 1B41). This improved alignment underscores the robustness of the present docking workflow and supports the reliability of subsequent binding affinity predictions.
In this study, molecular docking analysis revealed binding affinities ranging from − 6.9 to -11.1 kcal/mol (Table S1). Among the compounds, (3 S,8R,9 S,10 S,13 S,14 S,16 S)-3-methoxy-10,13-dimethyl-2,3,4,7,8,9,11,12,14,15,16,17-dodecahydro-1 H-cyclopenta[a]phenanthren-16-ol (PubChem CID: 125035295) exhibited the lowest affinity (-6.9 kcal/mol), whereas (2 S,5 S)-2-[(3 S,9 S,10R,13 S,14R,17 S)-3-hydroxy-10,13-dimethyl-2,3,4,9,11,12,14,15,16,17-decahydro-1 H-cyclopenta[a]phenanthren-17-yl]-5,6-dimethylhept-3-ene-2,5-diol (PubChem CID: 69393043) demonstrated the highest affinity (-11.1 kcal/mol). Stigmasterol and the control drug donepezil demonstrated scores of -9.6 and − 8.7 kcal/mol, respectively. Additional control drugs, galantamine and huperzine A scored − 8.9 and − 7.6 kcal/mol, respectively. Compared to stigmasterol and donepezil, 26 analogs with docking scores equal to or greater than − 10.4 kcal/mol were selected for further evaluation by ADMET analysis, which identified the following three stigmasterol analogs (SAs) as lead candidates: SA4 (PubChem CID: 156379627), SA12 (PubChem CID: 90988249), and SA15 (PubChem CID: 67202832), with binding affinities of -10.9, -10.6, and − 10.5 kcal/mol, respectively (Table 1; Fig. 3).
Notably, a recent study by Farooq et al.35 reported that the potential compound 5u showed a binding affinity of − 8.2 kcal/mol against the AChE protein (PDB ID: 1B41) using AutoDockTools v1.5.6. In comparison, several stigmasterol analogs identified in the present study and screened against the same target using EasyDock Vina demonstrated stronger binding affinities. The top candidate, SA4 achieved a score of − 10.9 kcal/mol, followed by SA12 and SA15 with − 10.6 and − 10.5 kcal/mol, respectively.
Active site analysis of the AChE receptor (PDB ID: 1B41). (a) Pocket 1, (b) Pocket 2. The 3D structural pockets were visualized using CASTp v3.0 (Computed Atlas of Surface Topography of proteins, http://sts.bioe.uic.edu/castp).
Superimposition of the co-crystallized ligand in its original conformation (green) and its docked pose (blue). The superimposition of 3D structures was prepared and visualized using PyMOL v3.1 (Schrödinger, LLC, https://pymol.org).
Docked complexes showing ligands bound in the active site. (a) SA4, (b) SA12, (c) SA15, (d) Stigmasterol, (e) Donepezil, (f) Galantamine, (g) Huperzine A. The 3D visualizations were generated using BIOVIA Discovery Studio Visualizer v24.1.0.23298 (Dassault Systèmes, https://discover.3ds.com/discovery-studio-visualizer-download).
In the current study, high-throughput virtual screening (HTVS) was utilized to assess 972 stigmasterol analogs, thus offering significant advantages over traditional low-throughput docking methods. HTVS facilitated the rapid and efficient identification of potential AChE inhibitors from a large and chemically diverse library. By encompassing an extensive chemical space, HTVS minimizes the risk of overlooking promising candidates, which is a common limitation often associated with smaller-scale analyses50,51. The high-throughput docking strategy used in our investigation is supported by similar methodologies used in previous studies, wherein potential inhibitors were explored by HTVS of 1110 seaweed metabolites targeting infectious spleen and kidney necrosis virus44.
Molecular interaction assessment
Molecular interaction analysis revealed significant engagement of binding sites and interaction profiles for the ligands SA4, SA12, SA15, stigmasterol, and the control drug donepezil with acetylcholinesterase (AChE) (Table 2). SA4 interacted strongly with the binding pocket, forming four hydrogen bonds with Phe295 (2.14, 2.85 Å), Arg296 (2.81 Å), and Tyr337 (2.58 Å). Among the PAS residues, only Trp286 and Tyr341 formed interactions with SA4. Additionally, it established hydrophobic interactions with Trp286, Leu289, Val294, Phe297, and Tyr341, thereby ensuring stable positioning within the binding site (Figs. 4a and S1a). SA4 also interacted with Tyr337 of the anionic subsite, though no catalytic site residue was involved. Additionally, SA12 formed two hydrogen bonds with Trp286 (3.31 Å) and Tyr337 (2.63 Å). It also interacted hydrophobically with Trp286, Leu289, Val294, Phe297, and Tyr341, thus contributing to its stable engagement within the active site (Figs. 4b and S1b). In this case, PAS residues Trp286 and Tyr341 and Tyr337 from the anionic subsite were involved, while no catalytic site residues participated. SA15 engaged in four hydrogen bonds with Glu292 (2.09 Å), Ser293 (2.73, 3.20 Å), and Tyr337 (2.27 Å). Moreover, it formed hydrophobic interactions with Trp286, Leu289, Val294, Phe297, and Tyr341, thereby further reinforcing its stable binding (Figs. 4c and S1c). It showed interactions with two PAS residues such as Trp286 and Tyr341. Only Tyr337 was involved as anionic subsite but no catalytic site involvement was recorded. Stigmasterol (the isolated compound) did not form hydrogen bonds but interacted hydrophobically with Trp286, Leu289, Val294, Phe297, and Tyr341 (Figs. 4d and S1d). Donepezil (the control drug) formed a single hydrogen bond with Phe295 (2.48 Å) and interacted hydrophobically with Tyr72, Trp286, Ser293, Arg296, Tyr337, Phe338, and Tyr341. These interactions align with its known efficacy as an AChE inhibitor (Figs. 4e and S1e). Compared to stigmasterol and donepezil, the three lead analogs (SA4, SA12, and SA15) demonstrated more extensive interaction networks, thus underscoring their potential as effective AChE inhibitors.
In drug design, both hydrogen bonding and hydrophobic interactions are critical for enhancing the binding affinity between drug candidates and their target receptors. Hydrogen bonds promote stable and specific interactions within the binding cavity, thereby enhancing molecular recognition and increasing targeting precision52. Hydrophobic interactions play a key role in maintaining the structural integrity of the drug-target complex by repelling water molecules, thereby ensuring a robust and durable bond. Collectively, these interactions enhance the selectivity and potency of drug candidates, thus minimizing the likelihood of adverse effects and improving therapeutic efficacy. In addition, the presence of Trp286 and Tyr341 as common interaction residues across all of the tested compounds including the control indicates that these residues may serve as potential drug surface hotspots for AChE53,54.
Conventional hydrogen bonding and hydrophobic interactions between the ligands and target protein. (a) SA4, (b) SA12, (c) SA15, (d) Stigmasterol, (e) Donepezil. The 2D molecular interactions were illustrated employing BIOVIA Discovery Studio Visualizer v24.1.0.23298 (Dassault Systèmes, https://discover.3ds.com/discovery-studio-visualizer-download).
The enhanced potency of the stigmasterol analogs SA4, SA12, and SA15 compared to both stigmasterol and donepezil can be attributed to key structural modifications that strengthen their interactions with biological targets. While retaining the core steroid backbone of stigmasterol, these analogs incorporate additional hydroxyl groups, two in SA4 and SA12, and three in SA15, which increase their hydrogen-bonding capacity, and improve aqueous solubility (Fig. 5). Moreover, the shorter and more polar side chains of these analogs compared to the long hydrophobic tail of stigmasterol, likely contribute to improved bioavailability and stronger binding to the AChE protein. Together, these modifications contribute to stronger binding affinity and selectivity, enabling the analogs to interact more effectively with the target protein.
2D structures of the top three stigmasterol analogs (SA4, SA12, SA15) along with stigmasterol and donepezil. The 2D chemical structures were generated using Smi2Depict web server (https://cdb.ics.uci.edu/cgibin/Smi2DepictWeb.py).
ADMET analysis
Based on docking scores ranging from − 11.1 to − 10.4 kcal/mol, which were markedly superior to the control compound donepezil (–8.7 kcal/mol), 26 analogs (SA1–SA26) were initially shortlisted for ADMET evaluation (Table 1). Among these, 13 compounds (SA4, SA5, SA6, SA12, SA13, SA14, SA15, SA17, SA20, SA21, SA23, SA25, and SA26) fully complied with Lipinski’s rule of five, indicating favorable drug-likeness, and were subsequently advanced to toxicity screening. Two candidates, SA5 and SA6, were eliminated due to exhibiting two toxicity alerts each, exceeding the acceptable threshold of one. The compounds SA4, SA12, and SA15 met the toxicity criteria, each exhibiting zero or one toxicity alert. Subsequent selection was based on detailed molecular interaction profiles and synthetic feasibility. Although SA13 and SA14 achieved the same docking score as SA12 (–10.6 kcal/mol), SA13 was excluded because it failed to form hydrogen bonds with the key active-site residue Trp286, limiting its binding strength. SA14 was removed due to a higher synthetic accessibility score of 5.79, compared to 5.16 for SA12, indicating that SA14 would be more challenging to synthesize. From the remaining seven compounds (SA15, SA17, SA20, SA21, SA23, SA25, and SA26), SA15 was prioritized because it showed no toxicity alerts, while all others except SA21 showed one alert each. Between SA15 and SA21, SA15 was preferred owing to its slightly more favorable docking score of − 10.5 kcal/mol compared to − 10.4 kcal/mol for SA21.
The selected three lead analogs (SA4, SA12, and SA15) exhibited lower molecular weights compared to stigmasterol and donepezil (Table 3). The compounds SA4, SA12, and SA15 possessed 2–3 hydrogen bond donors and acceptors, thereby facilitating effective and stable hydrogen bonding interactions with biological targets. In contrast, stigmasterol had only one donor and one acceptor, whereas donepezil had four acceptors but no donors. The lack of hydrogen bond donors in donepezil may have limited its capacity for specific interactions, whereas the low donor/acceptor count in stigmasterol likely restricted its interaction versatility. Among the three lead analogs, SA15, which exhibited the highest count of donors and acceptors, demonstrated enhanced potential for stable interactions47. The molar refractivity values of the selected analogs ranged from 95.46 to 96.62, thus indicating a balance between molecular interactions and membrane permeability. Stigmasterol, which demonstrated the highest molar refractivity (132.75), exhibited significant potential for membrane interaction, whereas the molar refractivity of donepezil (115.31) reflected moderate electronic polarizability. The optimized values for the lead candidates reflect improved drug permeability and binding potential.
The topological polar surface area (TPSA) of the investigated analogs was assessed to evaluate its influence on the solubility, absorption, and blood-brain barrier (BBB) permeability of the analogs. Among the compounds, SA15 exhibited the highest TPSA (60.69 Ų), followed by SA4 (40.46 Ų), SA12 (40.46 Ų), donepezil (38.77 Ų), and stigmasterol (20.23 Ų). Higher TPSA values as observed for SA15, typically indicate enhanced aqueous solubility, which facilitates better systemic circulation. However, an excessively high TPSA may reduce the permeability of the BBB, which is a critical factor for neurological applications. The moderate TPSA values of SA4, SA12, and donepezil were consistent with their potential to cross the BBB while maintaining solubility, which is an essential feature for central nervous system (CNS)-targeted drugs. In contrast, stigmasterol, which demonstrated the lowest TPSA, likely exhibited high membrane permeability but limited aqueous solubility, which may restrict its bioavailability.
The lipophilicity of the compounds, assessed using the Consensus Log P, provided insights into the membrane permeability and pharmacokinetic behavior of the candidates. Stigmasterol exhibited the highest lipophilicity (Log P = 6.98), followed by donepezil (4.00), SA4 (3.74), SA12 (3.74), and SA15 (2.99). Higher lipophilicity (as observed with stigmasterol) is associated with excellent membrane permeability, which facilitates cellular uptake. However, excessive lipophilicity can result in poor aqueous solubility, increased plasma protein binding, and accumulation in lipid-rich tissues, thus potentially leading to adverse effects55. The moderate Log P of donepezil aligns well with its established efficacy as a CNS drug, exhibiting a balance of permeability and solubility for effective BBB penetration. The lower Log P values for SA4, SA12, and SA15, particularly regarding SA15 (Log P = 2.99), display an optimal balance between lipophilicity and hydrophilicity, which enhances BBB penetration while minimizing the risk of excessive tissue retention or poor solubility56. Gastrointestinal absorption was predicted to be high for SA4, SA12, SA15, and donepezil, whereas stigmasterol exhibited low absorption. Notably, the analogs demonstrated BBB permeability comparable to that of the clinically approved AChE inhibitor donepezil. This property is critical for AChE-targeted drug design, as BBB permeability is essential for effective therapeutic action in Alzheimer’s disease. In contrast, stigmasterol was observed to be nonpermeable to the BBB, thus limiting its potential as a CNS-active agent57.
P-glycoprotein (P-gp) substrate status plays a crucial role in modulating drug bioavailability and CNS penetration. P-gp is a major efflux transporter highly expressed at the BBB, where it actively pumps substrates back into the bloodstream, thereby limiting CNS retention. In the present study, SA4, SA12, SA15, and donepezil were predicted to be P-gp substrates, whereas stigmasterol was not. Although P-gp substrate status can reduce brain accumulation due to enhanced efflux, many clinically approved CNS drugs, including donepezil, successfully cross the BBB despite P-gp interaction, likely due to their optimized physicochemical properties (e.g., moderate lipophilicity, low molecular weight) that favor passive diffusion58,59. The lead analogs (SA4, SA12, SA15) exhibit physicochemical characteristics comparable to donepezil, including moderate consensus Log P values (2.99–3.74), favorable topological polar surface area (TPSA), and high gastrointestinal absorption, all of which positively contribute to BBB permeability (Table 3). Thus, while P-gp-mediated efflux may influence CNS exposure, the analogs’ favorable lipophilicity and pharmacokinetic profile may mitigate this limitation. Furthermore, a balanced interaction with P-gp could help regulate CNS drug levels by preventing excessive accumulation, thereby contributing to a safer pharmacological profile. Therefore, the P-gp substrate status of these compounds does not preclude their CNS efficacy but underscores the need for future in vitro BBB transport and in vivo brain pharmacokinetic studies to fully evaluate their therapeutic potential for Alzheimer’s disease.
In terms of cytochrome P450 (CYP) enzyme inhibition, none of the lead candidates exhibited inhibitory activity against CYP1A2, CYP2C19, CYP2C9, CYP2D6, or CYP3A4. These findings indicate that the lead compounds are unlikely to interfere with the metabolism of other drugs by these enzymes, thereby minimizing the risk of potential drug-drug interactions60. In contrast, stigmasterol exhibited no inhibitory activity against CYP1A2, CYP2C19, CYP2D6, or CYP3A4 but did inhibit CYP2C9, thereby showing a relatively lower potential for widespread metabolic interactions, although it may interact with specific enzymes such as CYP2C9. Donepezil did not inhibit CYP1A2, CYP2C19, or CYP2C9 but inhibited CYP2D6 and CYP3A4. This result highlights the potential of donepezil for drug-drug interactions through these enzymes, which could be significant when it is coadministered with other drugs that are metabolized by CYP2D6 or CYP3A4. In comparison, the lead analogs demonstrated a cleaner metabolic profile, with no inhibition being observed across the key CYP enzymes, thereby reflecting a pharmacokinetic advantage in terms of reduced metabolic interference54. Among the three leads, SA15 was observed to be soluble, whereas SA4 and SA12 were observed to be moderately soluble. The control drug (donepezil) also demonstrated moderate solubility, whereas stigmasterol was poorly soluble.
Lipinski’s rule of five analysis revealed zero violations for the selected lead compounds and donepezil, whereas stigmasterol had one violation, thus reinforcing the selection of SA4, SA12, and SA15 as promising drug candidates targeting AChE44. In addition, the lead analogs demonstrated no alerts in the Pan Assay Interference Compounds (PAINS) test, which was similar to donepezil and stigmasterol. The toxicity analysis revealed favorable findings, with no significant side effects being observed. Among the three leads, SA15 exhibited the most favorable toxicity profile, with negative results being observed across all of the tested criteria. The ADME features of the selected leads, stigmasterol and donepezil are visualized in Fig. 6.
Evaluation of drug-likeness and oral bioavailability of the selected lead candidates, stigmasterol, and the reference drug. LIPO denotes lipophilicity, INSOLU denotes insolubility, INSATU refers to the insaturation index, FLEX represents molecular flexibility, SIZE indicates molecular weight, and POLAR refers to polarity. (a) SA4, (b) SA12, (c) SA15, (d) stigmasterol, (e) donepezil.
Molecular dynamics simulation
MD simulations spanning 200 ns demonstrated the structural integrity of the selected analogs and supported their drug candidacy (Table 4). The protein-ligand (PL) root mean square deviation (RMSD) analysis revealed comparable mean RMSD values among the lead analogs, stigmasterol, and donepezil, thus indicating consistent binding stability. Notably, SA12 exhibited the lowest mean RMSD (2.21 ± 0.19 Å), thus reflecting its strong and stable interaction with the target receptor, whereas donepezil exhibited the highest mean RMSD (2.28 ± 0.27 Å). In the trajectory plot, some initial fluctuations were observed until approximately 40 ns, after which all of the tested compounds stabilized for up to 200 ns (Fig. 7a). The lead compounds were stable and comparable to stigmasterol and donepezil without exhibiting drastic fluctuations. Ligand RMSD analysis revealed better results for the three lead compounds compared to stigmasterol and donepezil. The mean RMSD values for the lead compounds were lower than those of stigmasterol (1.35 ± 0.25 Å) and donepezil (1.14 ± 0.45 Å). Moreover, throughout the 200 ns simulation, the three analogs maintained deviations below 0.75 Å and remained closer to one another compared to stigmasterol and donepezil (Fig. 7b).
When considering all of the residues of the receptor, the root mean square fluctuation (RMSF) analysis unraveled lower mean RMSF profiles for SA4, SA12, and SA15 compared to stigmasterol (1.04 ± 0.60 Å) and donepezil (1.03 ± 0.63 Å), thus indicating greater stability of receptor interactions when bound to the lead analogs (Fig. 7c). For the binding cavity, SA4 interacted with eight residues, with a mean RMSF of 0.767 Å being observed. Among these residues, Tyr341 exhibited the greatest fluctuation (1.296 Å), whereas Phe297 exhibited the lowest fluctuation (0.502 Å). SA12 interacted with six residues, thus resulting in a mean RMSF of 0.997 Å, with Leu289 resulting in the highest RMSF (1.323 Å) and Tyr337 resulting in the lowest RMSF (0.711 Å). SA15 interacted with eight residues, thus resulting in a mean RMSF of 1.050 Å, with Glu292 exhibiting the greatest fluctuation (1.700 Å), whereas Val294 and Phe297 exhibited the lowest fluctuations (0.543 Å each). Moreover, stigmasterol interacted with five residues, thereby yielding a mean RMSF of 0.868 Å, with Leu289 and Phe297 exhibiting the highest (1.110 Å) and lowest (0.582 Å) values, respectively. Donepezil interacted with eight residues, with a mean RMSF of 0.772 Å being observed; additionally, Tyr341 exhibited the greatest fluctuation (1.060 Å), whereas Arg296 and Phe338 demonstrated the lowest fluctuations (0.670 Å each).
The radius of gyration (Rg) analysis revealed lower mean Rg values for SA4, SA12, and SA15 compared to stigmasterol (5.12 ± 0.07 Å) and donepezil (5.42 ± 0.09 Å). Throughout the trajectory, the three lead compounds demonstrated consistency, with minimal fluctuations being observed (Fig. 8a). Among them, SA4 exhibited the best results in the Rg analysis. Solvent accessible surface area (SASA) analysis indicated greater structural stability and compactness for SA4, SA12, and SA15 than for stigmasterol (190.34 ± 24.09 Å2) and donepezil (189.95 ± 43.06 Å2). Notably, SA12 exhibited the lowest mean SASA value (21.11 ± 16.75 Å2), thus indicating that SA12 was the most stable compound based on the SASA analysis (Fig. 8b). All of the analogs demonstrated minor fluctuations until approximately 80 ns, after which they became more consistent, with fewer fluctuations being observed until 200 ns. The molecular surface area (MolSA) analysis revealed lower mean MolSA values for the three leads compared to stigmasterol and donepezil. Among them, SA4 exhibited the lowest mean score, thus indicating its relatively smaller molecular footprint, which may have contributed to its higher binding efficiency and specificity (Fig. 9a). SA12 was more similar to SA4 than was SA15 and demonstrated no major shift. The polar surface area (PSA) analysis provided insights into the polar characteristics of the examined compounds, thus reflecting their potential for hydrogen bonding and solubility. The results revealed lower PSA values for stigmasterol and donepezil compared to the lead candidates, thereby underscoring the greater polarity of the leads. Among the lead analogs, SA15 exhibited the highest mean PSA (126.02 ± 3.39 Ų), thus indicating that its substantial polar surface area could enhance interactions with polar residues in the binding cavity of the receptor. SA15 was followed by SA12 (86.88 ± 2.12 Ų) and SA4 (83.21 ± 1.73 Ų), both of which also demonstrated significant polar surfaces (Fig. 9b). The elevated PSA values of the lead compounds imply their potential for hydrogen bond formation and strong molecular recognition, which further supports their drug-like properties and reinforces their potential as promising AChE inhibitors.
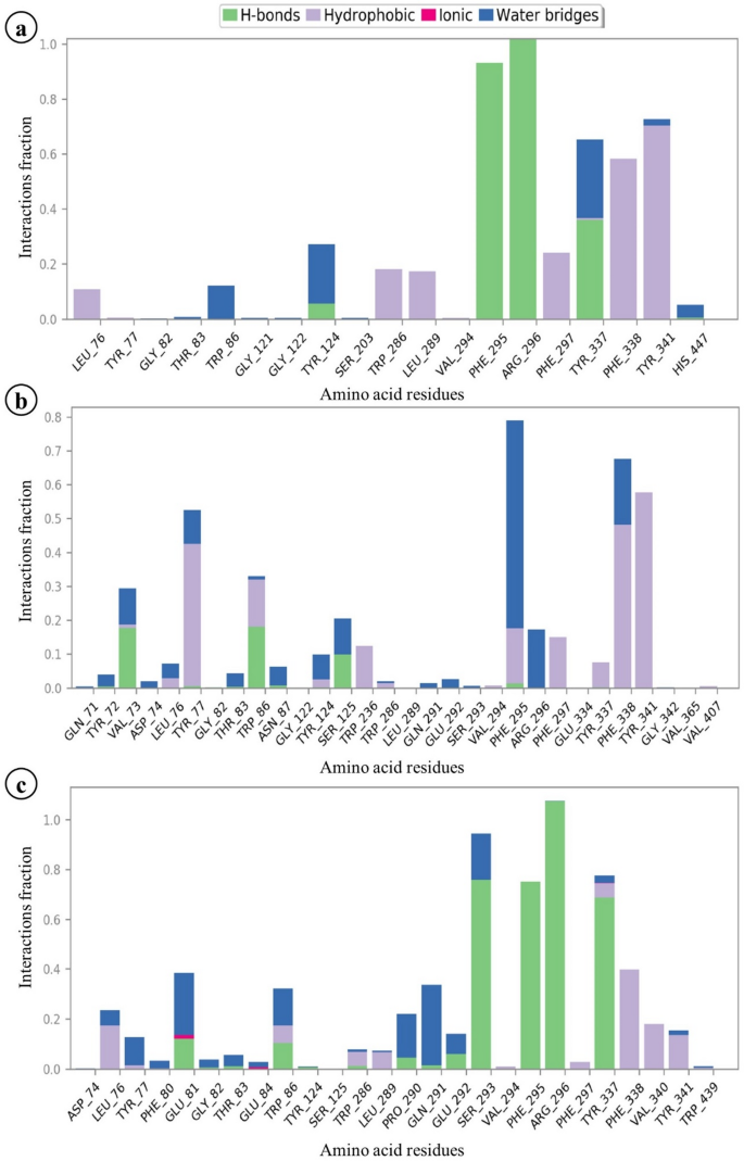
The protein-ligand contact analysis revealed the superior drug candidacy of the selected analogs in comparison with stigmasterol and donepezil, as demonstrated by their enhanced interaction profiles (Figs. 10 and 11). SA4 exhibited three distinct types of interactions: hydrogen bonding, hydrophobic contacts, and water-bridge interactions (Fig. 10a). Moreover, Arg296 exhibited the highest degree of contact and was engaged exclusively by hydrogen bonding, thus indicating a strong and specific interaction. SA12 demonstrated a diverse interaction profile, with the highest interaction fraction being recorded for the Phe295 residue. This residue formed hydrogen bonds, hydrophobic interactions, and water-bridge interactions (Fig. 10b), thereby confirming the ability of SA12 to establish multiple types of connections, which can enhance its binding stability and efficacy. SA15 exhibited the most comprehensive interaction profile, whereby it established interactions by using all four types of bonds (hydrogen, hydrophobic, ionic, and water-bridge interactions) (Fig. 10c). The highest interaction fraction was associated with Arg296, which interacted solely by hydrogen bonding (similar to SA4). Additionally, ionic interactions were observed with Glu81 and Glu84 (albeit transiently), thus highlighting the ability of SA15 to demonstrate dynamic and versatile binding modes. In comparison, stigmasterol interacted with fewer residues and exhibited a simpler interaction profile, whereby it formed only hydrogen bonding and hydrophobic interactions, with no ionic or water-bridge interactions being observed (Fig. 11a). Among its interacting residues, Phe295 exhibited the highest interaction fraction with stigmasterol; however, the limited interaction diversity indicated reduced binding complexity with stigmasterol. Furthermore, the control drug, donepezil formed hydrogen bonds, hydrophobic contacts, and water-bridge interactions (Fig. 11b). Its strongest interaction was observed with the Trp286, which exclusively interacted by hydrophobic contacts. This protein-ligand contact analysis aligns with previous findings on Sterculia urens phytochemicals targeting cholera54.
PCA and Gibbs FEL analysis
The PCA revealed valuable insights into the stability of the compounds by examining their exploration of phase-space during the simulation. Among the three lead analogs, SA4 exhibited the smallest phase-space, which indicated that it had the most stable and confined interaction profile. This effect was followed by SA15, which demonstrated a slightly larger phase-space. In contrast, SA12 exhibited the largest phase-space among the leads, thus indicating comparatively greater fluctuations in its binding behavior (Fig. 12). In contrast, stigmasterol occupied a phase-space that was smaller than that of SA12 but larger than that of donepezil, thereby implying a relatively unstable binding interaction compared to those of the lead analogs. When superimposed, the PCA profiles of SA4, SA12, and SA15 were strikingly similar, thus underscoring their strong and comparable drug candidacy61. This observation bolstered the efficacy of these analogs as emerging candidates, with SA4 representing the most notable analog due to its more constrained phase-space and superior stability.
The Gibbs FEL analysis further supported these results, with SA4 exhibiting the most stable profile characterized by consistently low energy minima and minimal fluctuations throughout the simulation (Fig. 13). SA12 and SA15 also demonstrated stable profiles, although SA15 exhibited slightly fewer fluctuations compared to SA12. Stigmasterol exhibited relatively high energy values and significant fluctuations, thus indicating relatively low stability. The energy minima for SA4, SA12, and SA15 remained relatively consistent, thus indicating their strong and stable binding interactions with the receptor62. Although slightly more stable than stigmasterol, donepezil did not achieve the low-energy minima observed for SA4. The PCA and Gibbs FEL findings are consistent with those of a previous study investigating antidiabetic drug candidates targeting the DPP4 protein45, thereby further reinforcing the reliability of the results and the promising potential of the investigated lead analogs as effective drug candidates.
MM/GBSA free binding energy
The MM/GBSA analysis offered insights into the binding strength of the lead analogs, stigmasterol, and donepezil, whereby it was used to elucidate contributions from Coulombic, van der Waals, lipophilic, covalent, and solvation energies (Table 5). Among the tested complexes, SA4 demonstrated the strongest free binding energy (ΔG Bind: -82.21 kcal/mol), which was primarily stabilized by substantial lipophilic interactions (-61.44 kcal/mol) and van der Waals forces (-24.51 kcal/mol). The Coulomb energy (-25.93 kcal/mol) further contributed to the favorable binding, although the covalent energy (6.43 kcal/mol) slightly opposed the interaction. SA15 closely followed SA4, with a free binding energy of -80.40 kcal/mol being observed, along with comparable lipophilic (-60.78 kcal/mol) and van der Waals contributions (-23.50 kcal/mol) to SA4. Moreover, the Coulomb energy (-20.83 kcal/mol) and modest covalent energy (3.76 kcal/mol) of SA15 were also favorable. In contrast, SA12 exhibited a weaker free binding energy (-69.72 kcal/mol) due to reduced Coulombic interactions (-9.87 kcal/mol) and moderate lipophilic and van der Waals contributions (Lipo: -47.38 kcal/mol, vdW: -32.77 kcal/mol), in addition to negligible covalent effects (0.27 kcal/mol). The control drug (donepezil) exhibited a ΔG Bind value of -58.65 kcal/mol, and this drug was characterized by the most pronounced Coulombic stabilization (-45.91 kcal/mol) among all of the ligands. However, its binding was counteracted by unfavorable solvation energy (63.61 kcal/mol) and moderate lipophilic (-43.10 kcal/mol) and van der Waals interactions (-36.36 kcal/mol). Stigmasterol, which exhibited a similar ΔG Bind value of -58.87 kcal/mol, was primarily stabilized by the highest lipophilic energy (-82.72 kcal/mol) and modest van der Waals contributions (-16.25 kcal/mol); however, it was hindered by unfavorable covalent energy (16.08 kcal/mol). The results highlight SA4 as the most promising candidate, with the optimal balance of Coulombic, lipophilic, van der Waals, and covalent energy contributions, thus indicating its strong potential for further experimental validation in drug design.
The observed MM/GBSA binding energy improvements for SA4 (− 82.21 kcal/mol), SA15 (− 80.40 kcal/mol), and SA12 (− 69.72 kcal/mol) are biologically relevant in the context of therapeutic development. In a recent study, phytochemicals targeting AChE exhibited MM/GBSA-derived binding energies ranging from − 47.21 to − 67.26 kcal/mol63. The lead analogs not only exceed this range but also demonstrate substantial improvements over stigmasterol (− 58.87 kcal/mol) and donepezil (− 58.65 kcal/mol). Although MM/GBSA calculations are known to overestimate absolute binding energies, relative differences are widely regarded as providing reliable insight into binding strength64. In this context, the consistent 11–24 kcal/mol energy improvements observed for the analogs suggest stronger predicted target engagement, thereby reinforcing their potential as promising AChE inhibitors.
Molecular reactivity analysis
The highest occupied molecular orbital-lowest unoccupied molecular orbital (HOMO-LUMO) energy gap (ΔE) and global descriptors were evaluated to elucidate the molecular reactivity and stability of the compounds in both their free and bound states, thereby supporting the drug-likeness of the lead analogs (Table 6). These descriptors provide valuable insights into the compounds’ chemical behavior, which is critical for assessing their potential biological activity and suitability as drug candidates. Among the lead compounds, SA4 demonstrated the largest energy gap (ΔE) (1.14 eV), followed by SA12 (0.919 eV) and SA15 (0.809 eV) in the free state (Fig. 14). This indicated that compared to stigmasterol (6.735 eV) and donepezil (4.435 eV), these compounds were relatively stable and exhibited lower chemical reactivity. The narrower HOMO–LUMO energy gaps of SA4, SA12, and SA15 suggest enhanced electron delocalization, which may facilitate stronger interactions with the active site of the target protein. The electronegativity (χ) values of the lead compounds ranged from 5.926 to 6.345, exceeding those of donepezil (3.682) and stigmasterol (2.858), thereby reflecting a stronger electron-withdrawing capacity. In addition, this elevated electronegativity may enhance interactions with electron-rich amino acid residues and thereby contribute to stronger binding affinity. With respect to global hardness, SA4, SA12, and SA15 achieved scores of 0.570, 0.459, and 0.404 eV, respectively, in the free state, which were lower than those of stigmasterol (3.367 eV) and donepezil (2.217 eV). These findings further indicate that the lead compounds are more likely to interact with the target protein compared to stigmasterol and donepezil. The chemical potential (µ) of the SAs ranged from − 5.926 eV to -6.345 eV, thus demonstrating a stronger tendency to attract electrons compared to stigmasterol (-2.858 eV) and donepezil (-3.682 eV), which exerts favorable effects for stronger protein-ligand interactions. Moreover, the electrophilicity index (ω), which reflects the electrophilic character of a molecule, was markedly higher for the analogs (35.314 to 43.462) compared to stigmasterol (1.212) and donepezil (3.057), quantitatively supporting their stronger electrophilic nature. This finding further suggests a higher propensity of the stigmasterol analogs to form stable interactions with nucleophilic residues in the target protein.
In the bound state, SA12 exhibited the highest ΔE (6.562 eV), followed closely by SA4 (6.520 eV) and stigmasterol (6.530 eV), thus indicating greater stability and reduced reactivity compared to SA15 (4.704 eV) and donepezil (4.423 eV), in the protein-bound state (Fig. 15). The electronegativity values ranged from 2.781 to 3.015 for the leads, whereas those of stigmasterol and donepezil were 3.017 and 3.669, respectively. The global hardness and chemical potential features of stigmasterol and donepezil were comparable to those of their analogs. In terms of the electrophilicity index, all of the lead candidates scored lower (1.178 to 1.932) compared to donepezil (3.044) but demonstrated values comparable to those of stigmasterol (1.393), which implies a favorable reduction in reactivity, minimizing non-specific interactions.
A higher band energy gap (ΔE) indicates increased kinetic stability, whereas a lower gap signifies increased molecular reactivity47. In the free state, the lead compounds exhibited lower ΔE values and exhibited greater reactivity. However, in the bound state, these values increased, thereby indicating that the leads became more kinetically stable upon binding. Notably, SA12, which exhibited the highest ΔE (6.562 eV), emerged as the most kinetically stable compound after the transition, surpassing stigmasterol (6.530 eV) and donepezil (4.423 eV) in terms of stability. Similarly, the electrophilicity index reflects the electrophilic nature of the compounds, with higher values indicating stronger electrophilic potential65. In the free state, the leads demonstrated significantly greater electrophilicity compared to stigmasterol and donepezil, thus demonstrating a greater propensity for electrophilic interactions. Upon binding, the electrophilicity indices (ω) of the lead compounds decreased markedly, approaching the value observed for stigmasterol. This trend quantitatively indicates a reduction in electrophilic reactivity and supports the conclusion that the lead compounds exhibit increased kinetic stability and reduced chemical reactivity in the bound state49.
In the present study, we employed an integrated computational pipeline encompassing high-throughput virtual screening, molecular dynamics simulations, MM/GBSA binding energy estimation, and DFT-based reactivity analysis to identify promising stigmasterol analogs as potential AChE inhibitors, as shown graphically in Fig. 16. While these in silico approaches provide valuable early-stage insights and help prioritize candidates for downstream evaluation, they are inherently dependent on predictive models and approximations. A key limitation of the current work is the absence of in vitro and in vivo validation, as computational predictions of binding affinity, pharmacokinetics, and toxicity may not always fully translate to biological systems. Therefore, experimental studies, including enzymatic inhibition assays, cell-based pharmacological profiling, and animal models of Alzheimer’s disease, are essential to confirm the efficacy, safety, and drug-likeness of the lead compounds. Such validations will be critical for assessing the translational potential of SA4, SA12, and SA15 as novel AChE inhibitors for AD therapy.
Conclusion
This study highlights the neuroprotective potential of stigmasterol analogs as promising therapeutic candidates for Alzheimer’s disease through inhibition of acetylcholinesterase (AChE). Using cutting-edge computational approaches that combined high-throughput virtual screening, molecular dynamics (MD) simulations, ADMET profiling, MM/GBSA binding free energy estimation, and DFT-based molecular reactivity analysis, three lead compounds: SA4, SA12, and SA15 were identified. These analogs demonstrated favorable pharmacokinetic, pharmacodynamic, and toxicity profiles and maintained high structural stability and integrity over 200 ns MD simulations, as supported by essential dynamics analysis. Among them, SA4 emerged as the most potent candidate based on MM/GBSA calculations. Molecular reactivity analysis further revealed increased kinetic stability of the leads during the transition from free to bound states. Collectively, these findings underscore the potential of stigmasterol analogs in the development of drugs for Alzheimer’s disease and highlight the need for further in vitro and in vivo studies to validate their efficacy and advance these candidates toward clinical development.
Data availability
All datasets generated or analyzed during the current study are provided within this article and its supplementary information file.
References
Abduljawad, A. A. et al. Alzheimer’s disease as a major public health concern: role of dietary saponins in mitigating neurodegenerative disorders and their underlying mechanisms. Molecules 27 (20), 6804. https://doi.org/10.3390/molecules27206804 (2022).
Gaudreault, R. & Mousseau, N. Mitigating alzheimer’s disease with natural polyphenols: A review. Curr. Alzheimer Res. 16 (6), 529–543. https://doi.org/10.2174/1567205016666190315093520 (2019).
Santos, T. C. D., Gomes, T. M., Pinto, B. A. S., Camara, A. L. & Paes, A. M. D. A. Naturally occurring acetylcholinesterase inhibitors and their potential use for alzheimer’s disease therapy. Front. Pharmacol. 9, 1192. https://doi.org/10.3389/fphar.2018.01192 (2018).
Akıncıoğlu, H. & Gülçin, İ. Potent acetylcholinesterase inhibitors: potential drugs for alzheimer’s disease. Mini Rev. Med. Chem. 20 (8), 703–715. https://doi.org/10.2174/1389557520666200103100521 (2020).
Vecchio, I., Sorrentino, L., Paoletti, A., Marra, R. & Arbitrio, M. The state of the Art on acetylcholinesterase inhibitors in the treatment of alzheimer’s disease. J. Cent. Nerv. Syst. Dis. 13, 1–13. https://doi.org/10.1177/11795735211029113 (2021).
Mitra, S. et al. Tacrine derivatives in neurological disorders: focus on molecular mechanisms and neurotherapeutic potential. Oxidative Med. Cell. Longev. 2022 (1), 7252882. https://doi.org/10.1155/2022/7252882 (2022).
Thandivel, S. et al. In silico molecular docking and dynamic simulation of anti-cholinesterase compounds from the extract of Catunaregam spinosa for possible treatment of Alzheimer’s disease. Heliyon 10 (7), e27880. https://doi.org/10.1016/j.heliyon.2024.e27880 (2024).
Noori, T., Dehpour, A. R., Sureda, A., Sobarzo-Sanchez, E. & Shirooie, S. Role of natural products for the treatment of alzheimer’s disease. Eur. J. Pharmacol. 898, 173974. https://doi.org/10.1016/j.ejphar.2021.173974 (2021).
Xu, Y. et al. Bioinformatic assay reveal the potential mechanism of Guizhi-Shaoyao-Zhimu Decoction against rheumatoid arthritis and mild-to-moderate COVID-19. Comput. Methods Programs Biomed. 238, 107584. https://doi.org/10.1016/j.cmpb.2023.107584 (2023).
Ullah, R. et al. A review on ethno-medicinal plants used in traditional medicine in the Kingdom of Saudi Arabia. Saudi J. Biol. Sci. 27 (10), 2706–2718. https://doi.org/10.1016/j.sjbs.2020.06.020 (2020).
Valitova, J., Renkova, A., Beckett, R., Minibayeva, F. & Stigmasterol An enigmatic plant stress sterol with versatile functions. Int. J. Mol. Sci. 25 (15), 8122. https://doi.org/10.3390/ijms25158122 (2024).
Kaur, N., Chaudhary, J., Jain, A., Kishore, L. & Stigmasterol A comprehensive review. Int. J. Pharm. Sci. Res. 2 (9), 2259–2265 (2011).
Bakrim, S. et al. Health benefits and pharmacological properties of stigmasterol. Antioxidants 11 (10), 1912. https://doi.org/10.3390/antiox11101912 (2022).
Dileep, K. V., Tintu, I. & Sadasivan, C. Molecular Docking studies of Curcumin analogs with phospholipase A2. Interdiscip Sci. Comput. Life Sci. 3, 189–197. https://doi.org/10.1007/s12539-011-0090-9 (2011).
Shamim, S., Akhtar, M. & Gul, S. Novel designed analogues of quercetin against SARS-CoV2: An in-silico pharmacokinetic evaluation, molecular modeling, MD simulations based study. J. Biomol. Struct. Dyn. 42 (21), 11773–11791. https://doi.org/10.1080/07391102.2023.2265469 (2024).
Pandey, R. K., Kumbhar, B. V., Sundar, S., Kunwar, A. & Prajapati, V. K. Structure-based virtual screening, molecular docking, ADMET and molecular simulations to develop Benzoxaborole analogs as potential inhibitor against Leishmania donovani trypanothione reductase. J. Recept Signal. Transduct. 37 (1), 60–70. https://doi.org/10.3109/10799893.2016.1171344 (2017).
Park, S. J. et al. The ameliorating effects of stigmasterol on scopolamine-induced memory impairments in mice. Eur. J. Pharmacol. 676 (1–3), 64–70. https://doi.org/10.1016/j.ejphar.2011.11.050 (2012).
Yesudas, R. et al. Stigmasterol-an acetylcholinesterase inhibitor from Phormidium retzii with relevance to alzheimer’s disease therapy. Int. J. Mol. Cell. Med. 12 (2), 100. https://doi.org/10.22088/IJMCM.BUMS.12.2.100 (2023).
Seixas, N. et al. Evaluation of acetylcholinesterase and Prolyl oligopeptidase Inhibition of novel amino acid-functionalized stigmasterol and ursolic acid derivatives. Curr. Org. Chem. 23 (19), 2131–2140. https://doi.org/10.2174/1385272823666191014154939 (2019).
Pratiwi, R. et al. Mechanisms and neuroprotective activities of stigmasterol against oxidative stress-induced neuronal cell death via sirtuin family. Front. Nutr. 8, 648995. https://doi.org/10.3389/fnut.2021.648995 (2021).
Canales, C. S. C., Pavan, A. R., Santos, J. L. D. & Pavan, F. R. Silico drug design strategies for discovering novel tuberculosis therapeutics. Expert Opin. Drug Discov. 19 (4), 471–491. https://doi.org/10.1080/17460441.2024.2319042 (2024).
Yang, W., Wang, Y., Han, D., Tang, W. & Sun, L. Recent advances in application of computer-aided drug design in anti-COVID-19 virials drug discovery. Biomed. Pharmacother. 173, 116423. https://doi.org/10.1016/j.biopha.2024.116423 (2024).
Wei, H. & McCammon, J. A. Structure and dynamics in drug discovery. NPJ Drug Discov. 1, 1. https://doi.org/10.1038/s44386-024-00001-2 (2024).
Singh, R., Bhardwaj, V., Das, P. & Purohit, R. Natural analogues inhibiting selective cyclin-dependent kinase protein isoforms: A computational perspective. J. Biomol. Struct. Dyn. 38 (17), 5126–5135. https://doi.org/10.1080/07391102.2019.1696709 (2020).
Singh, R., Bhardwaj, V. K., Sharma, J., Das, P. & Purohit, R. Identification of selective cyclin-dependent kinase 2 inhibitor from the library of pyrrolone-fused benzosuberene compounds: an in Silico exploration. J. Biomol. Struct. Dyn. 40 (17), 7693–7701. https://doi.org/10.1080/07391102.2021.1900918 (2022).
Bhardwaj, V. K., Das, P. & Purohit, R. Identification and comparison of plant-derived scaffolds as selective CDK5 inhibitors against standard molecules: insights from umbrella sampling simulations. J. Mol. Liq. 348, 118015. https://doi.org/10.1016/j.molliq.2021.118015 (2022).
Singh, R. & Purohit, R. Computational analysis of protein-ligand interaction by targeting a cell cycle restrainer. Comput. Methods Programs Biomed. 231, 107367. https://doi.org/10.1016/j.cmpb.2023.107367 (2023).
Nada, H. et al. From pixels to druggable leads: A CADD strategy for the design and synthesis of potent DDR1 inhibitors. Comput. Methods Programs Biomed. 254, 108318. https://doi.org/10.1016/j.cmpb.2024.108318 (2024).
Bajusz, D., Rácz, A. & Héberger, K. Why is Tanimoto index an appropriate choice for fingerprint-based similarity calculations? J. Cheminform. 7, 1–13. https://doi.org/10.1186/s13321-015-0069-3 (2015).
Sivaraman, B., Raji, V., Velmurugan, B. A. & Natarajan, R. Acetylcholinesterase enzyme inhibitor molecules with therapeutic potential for alzheimer’s disease. CNS Neurol. Disord-Drug Targets. 21 (5), 427–449. https://doi.org/10.2174/1871527320666210928160159 (2022).
Ago, Y., Koda, K., Takuma, K. & Matsuda, T. Pharmacological aspects of the acetylcholinesterase inhibitor galantamine. J. Pharmacol. Sci. 116 (1), 6–17. https://doi.org/10.1254/jphs.11R01CR (2011).
Wang, B. S. et al. Efficacy and safety of natural acetylcholinesterase inhibitor huperzine A in the treatment of alzheimer’s disease: an updated meta-analysis. J. Neural Transm. 116 (4), 457–465. https://doi.org/10.1007/s00702-009-0189-x (2009).
O’Boyle, N. M. et al. Open babel: an open chemical toolbox. J. Cheminform. 3, 1–14. https://doi.org/10.1186/1758-2946-3-33 (2011).
Junaid, M., Islam, N., Hossain, M. K., Ullah, M. O. & Halim, M. A. Metal based donepezil analogues designed to inhibit human acetylcholinesterase for alzheimer’s disease. PloS One. 14 (2), e0211935. https://doi.org/10.1371/journal.pone.0211935 (2019).
Farooq, U. et al. Design, synthesis, in vitro and in Silico studies of 5-(diethylamino)-2-formylphenyl naphthalene-2-sulfonate based thiosemicarbazones as potent anti-Alzheimer agents. Arch. Pharm. 358 (e70050). https://doi.org/10.1002/ardp.70050 (2025).
Kumar, S., Gupta, A., Patel, C. N., Kumar, V. & Kumar, A. From plants to potential therapeutics: exploring neuroprotective properties against alzheimer’s disease through molecular Docking and MD simulations. Aging Pathobiol Ther. 7 (2), 99–112. https://doi.org/10.31491/APT.2025.06.173 (2025).
Sinha, S. K. et al. An in-silico evaluation of different saikosaponins for their potency against SARS-CoV-2 using NSP15 and fusion Spike glycoprotein as targets. J. Biomol. Struct. Dyn. 39 (9), 3244–3255. https://doi.org/10.1080/07391102.2020.1762741 (2021).
Tian, W., Chen, C., Lei, X., Zhao, J. & Liang, J. CASTp 3.0: computed atlas of surface topography of proteins. Nucleic Acids Res. 46(W1), W363–W367. https://doi.org/10.1093/nar/gky473 (2018).
Silva, L. et al. Antiacetylcholinesterase activity and Docking studies with chlorogenic acid, Cynarin and Arzanol from Helichrysum Stoechas (Lamiaceae). Med. Chem. Res. 26, 2942–2950. https://doi.org/10.1007/s00044-017-1994-7 (2017).
Johnson, G. & Moore, S. W. The peripheral anionic site of acetylcholinesterase: Structure, functions and potential role in rational drug design. Curr. Pharm. Des. 12 (2), 217–225. https://doi.org/10.2174/138161206775193127 (2006).
Minibaeva, G., Ivanova, A., Polishchuk, P. & EasyDock Customizable and scalable Docking tool. J. Cheminform. 15 (1), 102 (2023).
Daina, A., Michielin, O., Zoete, V. & SwissADME A free web tool to evaluate pharmacokinetics, drug-likeness and medicinal chemistry friendliness of small molecules. Sci. Rep. 7 (1), 42717. https://doi.org/10.1038/srep42717 (2017).
Borba, J. V. et al. STopTox: an in Silico alternative to animal testing for acute systemic and topical toxicity. Environ. Health Perspect. 130 (2), 027012. https://doi.org/10.1289/EHP9341 (2022).
Islam, S. I. et al. High-throughput virtual screening of marine algae metabolites as high-affinity inhibitors of ISKNV major capsid protein: an analysis of in-silico models and DFT calculation to find novel drug molecules for fighting infectious spleen and kidney necrosis virus (ISKNV). Heliyon 9 (6), e16383. https://doi.org/10.1016/j.heliyon.2023.e16383 (2023).
Ahmed, S. S. & Rahman, M. O. From flora to pharmaceuticals: 100 new additions to angiosperms of Gafargaon subdistrict in Bangladesh and unraveling antidiabetic drug candidates targeting DPP4 through in Silico approach. PLoS One. 19 (3), e0301348. https://doi.org/10.1371/journal.pone.0301348 (2024).
Zhang, X. et al. Temperature dependence of the stacking-fault Gibbs energy for Al, Cu, and Ni. Phys. Rev. B. 98 (22), 224106. https://doi.org/10.1103/PhysRevB.98.224106 (2018).
Ahmed, S. S., Suchana, L., Sultana, N. & Rahman, M. O. Unveiling cervical cancer therapeutics from abrus precatorius and aphanamixis polystachya: insights from molecular docking, dynamics simulation, MM/GBSA and DFT analyses. South. Afr. J. Bot. 163, 561–579. https://doi.org/10.1016/j.sajb.2023.11.014 (2023).
Snyder, H. D. & Kucukkal, T. G. Computational chemistry activities with avogadro and ORCA. J. Chem. Educ. 98 (4), 1335–1341. https://doi.org/10.1021/acs.jchemed.0c00959 (2021).
Paul, R. K., Ahmad, I., Patel, H., Kumar, V. & Raza, K. Phytochemicals from Amberboa Ramosa as potential DPP-IV inhibitors for the management of Type-II diabetes mellitus: inferences from in-silico investigations. J. Mol. Struct. 1271, 134045. https://doi.org/10.1016/j.molstruc.2022.134045 (2023).
Dhasmana, A., Raza, S., Jahan, R., Lohani, M. & Arif, J. M. High-throughput virtual screening (HTVS) of natural compounds and exploration of their biomolecular mechanisms: An in silico approach. In New Look to Phytomedicine (eds. Khan, M. S. A., Ahmad, I. & Chattopadhyay, D.) 523–548 https://doi.org/10.1016/B978-0-12-814619-4.00020-3 (Academic Press, 2019).
Srivastava, V. et al. Identification of FDA-approved drugs with triple targeting mode of action for the treatment of monkeypox: A high throughput virtual screening study. Mol. Div. 28 (3), 1093–1107. https://doi.org/10.1007/s11030-023-10636-4 (2024).
Rahman, M. O. & Ahmed, S. S. Anti-angiogenic potential of bioactive phytochemicals from Helicteres Isora targeting VEGFR-2 to fight cancer through molecular Docking and molecular dynamics simulation. J. Biomol. Struct. Dyn. 41 (15), 7447–7462. https://doi.org/10.1080/07391102.2022.2122568 (2023).
Ahmed, S. S. et al. Virtual screening reveals Liquiritigenin as a broad-spectrum inhibitor of SARS-CoV-2 variants of concern: an in Silico study. J. Biomol. Struct. Dyn. 41 (14), 6709–6727. https://doi.org/10.1080/07391102.2022.2111361 (2023).
Rahman, M. O., Ahmed, S. S., Alqahtani, A. S., Cakilcioğlu, U. & Akbar, M. A. Insight into novel inhibitors from Sterculia urens against cholera via pharmacoinformatics and molecular dynamics simulation approaches. J. Biomol. Struct. Dyn. 42 (19), 10022–10043. https://doi.org/10.1080/07391102.2023.2254841 (2024).
Choudhary, S., Gupta, L., Rani, S., Dave, K. & Gupta, U. Impact of dendrimers on solubility of hydrophobic drug molecules. Front. Pharmacol. 8, 261. https://doi.org/10.3389/fphar.2017.00261 (2017).
Salmanli, M., Yilmaz, G. T. & Tuzuner, T. Investigation of the antimicrobial activities of various antimicrobial agents on Streptococcus mutans sortase A through computer-aided drug design (CADD) approaches. Comput. Methods Programs Biomed. 212, 106454. https://doi.org/10.1016/j.cmpb.2021.106454 (2021).
Farihi, A. et al. Exploring medicinal herbs’ therapeutic potential and molecular Docking analysis for compounds as potential inhibitors of human acetylcholinesterase in alzheimer’s disease treatment. Medicina 59 (10), 1812. https://doi.org/10.3390/medicina59101812 (2023).
Pajouhesh, H. & Lenz, G. R. Medicinal chemical properties of successful central nervous system drugs. NeuroRx 2 (4), 541–553. https://doi.org/10.1602/neurorx.2.4.541 (2005).
McEneny-King, A., Edginton, A. N. & Rao, P. P. Investigating the binding interactions of the anti-Alzheimer’s drug donepezil with CYP3A4 and P-glycoprotein. Bioorg. Med. Chem. Lett. 25 (2), 297–301. https://doi.org/10.1016/j.bmcl.2014.11.046 (2015).
Dudas, B. & Miteva, M. A. Computational and artificial intelligence-based approaches for drug metabolism and transport prediction. Trends Pharmacol. Sci. 45 (1), 39–55. https://doi.org/10.1016/j.tips.2023.11.001 (2024).
Kumar, R., Kumar, R., Goel, H. & Tanwar, P. Computational investigation reveals that the mutant strains of SARS-CoV2 have differential structural and binding properties. Comput. Methods Programs Biomed. 215, 106594. https://doi.org/10.1016/j.cmpb.2021.106594 (2022).
Al-Khafaji, K. & Tok, T. T. Molecular dynamics simulation, free energy landscape and binding free energy computations in exploration the anti-invasive activity of amygdalin against metastasis. Comput. Methods Programs Biomed. 195, 105660. https://doi.org/10.1016/j.cmpb.2020.105660 (2020).
Azmal, M. et al. A computational approach to identify phytochemicals as potential inhibitor of acetylcholinesterase: molecular docking, ADME profiling and molecular dynamics simulations. PLoS ONE 19 (6), e0304490. https://doi.org/10.1371/journal.pone.0304490 (2024).
Genheden, S. & Ryde, U. The MM/PBSA and MM/GBSA methods to estimate ligand-binding affinities. Expert Opin. Drug Discov. 10 (5), 449–461. https://doi.org/10.1517/17460441.2015.1032936 (2015).
Bakheit, A. H., Abuelizz, H. A., Al-Salahi, R. & Crystallographic analysis Hirshfeld surface investigation, and DFT calculations of 2-phenoxy-triazoloquinazoline molecule: implications for drug design. J. Mol. Struct. 1319, 139436. https://doi.org/10.1016/j.molstruc.2024.139436 (2025).
Acknowledgements
The authors are thankful to the Ongoing Research Funding program (ORF-2025-132), King Saud University, Riyadh, Saudi Arabia for supporting the study.
Author information
Authors and Affiliations
Contributions
Conceptualization, M.O.R. and S.S.A.; methodology, S.S.A. and M.O.R.; software, S.S.A., N.S., M.B. and J.L.; investigation, S.S.A., M.O.R., A.S.A., M.T.R., N.S. and M.B.; resources, M.O.R., S.S.A., M.A.A. and J.L.; formal analysis, S.S.A. and M.O.R.; data curation, S.S.A., N.S. and M.B.; visualization, M.O.R., S.S.A, A.S.A., M.T.R., N.S., M.A.A and J.L.; validation, M.O.R., S.S.A., A.S.A., M.T.R. and M.A.A.; writing—original draft preparation, S.S.A.; writing—review and editing, M.O.R., A.S.A, M.T.R., M.A.A. and J.L.; supervision, M.O.R.; project administration, M.O.R.; funding acquisition, A.S.A.; All authors have reviewed and approved the final version of the manuscript.
Corresponding author
Ethics declarations
Competing interests
The authors declare no competing interests.
Additional information
Publisher’s note
Springer Nature remains neutral with regard to jurisdictional claims in published maps and institutional affiliations.
Supplementary Information
Below is the link to the electronic supplementary material.
Rights and permissions
Open Access This article is licensed under a Creative Commons Attribution-NonCommercial-NoDerivatives 4.0 International License, which permits any non-commercial use, sharing, distribution and reproduction in any medium or format, as long as you give appropriate credit to the original author(s) and the source, provide a link to the Creative Commons licence, and indicate if you modified the licensed material. You do not have permission under this licence to share adapted material derived from this article or parts of it. The images or other third party material in this article are included in the article’s Creative Commons licence, unless indicated otherwise in a credit line to the material. If material is not included in the article’s Creative Commons licence and your intended use is not permitted by statutory regulation or exceeds the permitted use, you will need to obtain permission directly from the copyright holder. To view a copy of this licence, visit http://creativecommons.org/licenses/by-nc-nd/4.0/.
About this article
Cite this article
Rahman, M.O., Ahmed, S.S., Alqahtani, A.S. et al. Identification of stigmasterol derived AChE inhibitors for Alzheimer’s disease using high throughput virtual screening and molecular dynamics simulations. Sci Rep 15, 36676 (2025). https://doi.org/10.1038/s41598-025-20527-3
Received:
Accepted:
Published:
Version of record:
DOI: https://doi.org/10.1038/s41598-025-20527-3


















