Abstract
Brugada syndrome (BrS) is an inherited cardiac disorder characterized by electrical disturbances. Pathogenic variants in the SCN5A gene are implicated in 25–30% of probands. Although loss-of-function mutations in SCN5A gene drive clinical severity, incomplete penetrance and interindividual susceptibility suggest additional contributing factors. Emerging evidence highlights the role of microRNAs (miRNAs), short non-coding nucleotides involved in post-transcriptional gene regulation, in cardiovascular pathophysiology. We sought to identify differences in circulating miRNAs in SCN5A gene mutation carriers according to their phenotype. 27 patients from 10 families with SCN5A gene mutations were included. Among them, 15 had a confirmed diagnosis of BrS by spontaneous or induced electrocardiographic pattern 1, while the other 12 were asymptomatic mutation carriers. Circulating miRNAs profile differences were identified by using miScript miRNA PCR-Arrays and validated by qPCR-Taqman assay. Gene set enrichment analyses (GSEA) were performed. miScript miRNA screening showed statistical differences in 10 of 84 analyzed miRNAs. Taqman analysis verified a significant downregulation of miR-320a in SCN5A mutation carriers associated with BrS phenotype. GSEA revealed a wide range of signaling pathways, including cellular adhesion and actin cytoskeleton regulatory pathways. Receiver operating characteristic curve analysis indicates that dysregulated miR-320a may help predict phenotypic differences in SCN5A mutation carriers, supporting the potential of circulating miRNAs, particularly reduced miR-320a levels, as possible predictive biomarkers for the manifestation of BrS. Additionally, our results indicate that phenotype might depend on epigenetic regulation of the electromechanical properties of the heart.
Introduction
Brugada Syndrome (BrS) is an inherited disorder that predisposes to develop malignant ventricular tachyarrhythmias and sudden cardiac death. The diagnostic hallmark of BrS is a distinctive electrocardiographic pattern in the right precordial leads, characterized by a ‘coved’ or type 1 Brugada ECG pattern (Fig. 1)1. Family screenings reveal that most of the cases are asymptomatic at the time of diagnosis. Several genes have been associated with the BrS phenotype, most of them encoding ion channel proteins. Early studies indicated that familial BrS was primarily due to loss-of-function variants in the SCN5A gene2, which encodes for α-subunit of the cardiac sodium channel (NaV1.5), the major channel subtype governing sodium current (INa) in cardiomyocytes. Approximately 25–30% of BrS patients carry rare variants in SCN5A, although 45% of these remain classified as variants of uncertain significance, and not all have been demonstrated to cause loss-of-function effects3. More than 350 SCN5A pathogenic variants have been described causing different degrees of INa reduction as well as varying clinical manifestations4,5,6. Even relatives that share a mutation may also exhibit phenotypic differences7,8. Additionally, BrS phenotype has been also described in genotype-negative relatives7. Overall, these data suggest that, beyond genetic determinants, additional unknown factors are involved in clinical manifestation of BrS7.
MicroRNAs (miRNAs) are small noncoding RNA oligonucleotides involved in post-transcriptional regulation of gene expression. Several studies have demonstrated that miRNAs play a central role in cardiovascular physiology, being regulated and released in response to pathological stimuli9,10. Thus, not only are they involved in the pathophysiology of the disease but also can be used as biomarkers in cardiovascular diseases (CVD)9,10. Recent data suggest that epigenetic factors, such as miRNA regulation, might determine cardiac electrophysiology11,12,13.
We performed a prospective multicentric study in families carrying a mutation in SCN5A gene to determine alterations in circulating cardiovascular-miRNA profile according to phenotypic differences. These results may help to understand the heterogenic penetrance of BrS and to predict the phenotype.
Results
Clinical parameters
A total of 27 patients (48.2% male with a mean age of 55.5 ± 13.8 years old) belonging to 10 families with SCN5A gene mutations were included. Among them, 15 (55.6%) were affected individuals with confirmed BrS diagnosis, the remaining 12 participants (44.4%) were asymptomatic mutation carriers. Of those patients with BrS symptoms, 80% presented type 1 ECG, 53.3% previous history of syncope and 40% ICD shock. Baseline characteristics are shown in Table 1.
MiRNA cardiac-related array screening in plasma samples of BrS patients
Cardiac-related miRNA array analysis was performed in plasma samples from patients carrying SCN5A mutations, including 14 patients with BrS symptoms (BrS +) and 9 relatives without evident BrS symptoms manifestation (BrS-). Our results showed statistical differences in 10 of 84 analyzed miRNAs, 7 up-regulated (miR-125b-5p, miR-181, miR-182-5p, miR-18b-5p, miR-365a/b-3p, miR-378a-3p and miR-423-3p) and 3 down-regulated (let-7c-5p, let-7e-5p and miR-320a) in BrS- and BrS + patients (Fig. 2). Despite significant difference in miR-181 expression, miScript miRNA PCR Array Data Analysis Tool indicate that sample size is not consistent enough to confirm biological differences (Supplementary Table S2) and has not been considered in subsequent analysis.
Predictive value of phenotype associated differences in plasma samples
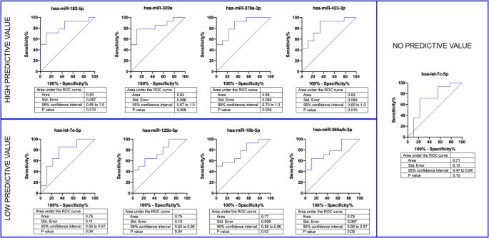
Predictive value of significantly dysregulated miRNAs was determined by ROC curve analysis. miR-182-5p, miR-320a, miR-378a-3p and miR-423-3p showed a strong predictive value (AUC > 0.8, p < 0.01) (Fig. 3). Remaining miRNAs showed lack (let-7c-5p) or weak (let-7e-5p, miR-125b-5p, miR-18b-5p, and miR-365a/b-3p; AUC < 0.8) predictive value (Fig. 3). miR-320a showed the highest sensitivity (79%; 95% CI: 52.41% to 92.43%) and specificity (89%; 95% CI: 56.50% to 99.43%) (Fig. 3).
Predictive capacity of regulated miRNAs for BrS phenotype identification in SCN5A-mutations carriers. High predictive value was observed for miR-182-5p, miR-320a, miR-378a-3p and miR-423-3p. Low predictive value was found for let-7e-5p, miR-125b-5p, miR-18b-5p, and miR-365a/b-3p. No predictive value was detected for let-7c-5p.
qPCR TaqMan validation of miRNAs
Significantly dysregulated miRNAs identified in the array analysis were further validated through TaqMan qPCR. This analysis was performed in plasma samples from patients carrying SCN5A mutations, including one additional family (family 10) compared to the array assay for stronger validation. In total, 15 patients with BrS symptoms and 12 relatives without symptom manifestation. Validation analysis showed that only miR-320a remained differentially expressed between groups, maintaining significant predictive value (AUC > 0.8, p < 0.01) (Fig. 4, Supplementary Figs. 1 and 2).
KEGG pathway analysis of dysregulated miRNAs
Potential miRNA targets and signaling pathways were further investigated using in silico biological analytical processes. GO enrichment analysis of known targets revealed a wide range of signaling pathways potentially affected by dysregulated miR-320a. KEGG gene enrichment analysis identify several pathways directly involved in cellular adhesion and electromechanical coupling modulated by miR-320a (Fig. 5A,B).
Interaction Network of miR-320a in Brugada Syndrome. (a) Interaction network of miR-320a with predicted target genes and KEGG pathways involved in electromechanical continuity. (b) Significance of each pathway based on gene involvement, with P values negatively log10 transformed (represented lower X axis). The network was created with Cytoscape v3.10.1. KEGG gene enrichment information was obtained from the KEGG database14,15,16.
Discussion
Our results showed differences in miRNA circulating profile in SCN5A gene mutation carriers depending on type 1 Brugada electrocardiogram pattern (spontaneous or induced), suggesting that miRNA characterization might be useful to predict BrS clinical manifestation. Furthermore, in silico analysis suggests that phenotypic differences could be related to impairment of electromechanical continuity.
Previous studies have explored miRNA expression in patients with BrS, Scumaci et al.17 found that miR-320b and miR-92a-3p were significantly increased, while miR-425-5p was considerably reduced in plasma samples from BrS patients compared to healthy controls. However, they did not compare the variability in symptom manifestation in patients with the same mutation. Other studies, shown that leucocytes from BrS patients express different levels of miR-145-5p and miR-585-3p based on their symptoms, but without considering any mutated genes and including only three patients with the SCN5A mutation18. Finally, a miRNA profile analysis was conducted in patients carrying a mutation but expressing or not the arrhythmogenic cardiomyopathy (ACM) phenotype. They found regulation of miR-122-5p, miR-133a-3p, miR-133b, miR-142-3p, miR-182-5p, and miR-183-5p. However, the analysis was performed on a heterogeneous group of patients with conditions such as hypertrophic cardiomyopathy, dilated cardiomyopathy, BrS, and myocarditis19.
BrS was initially described as an inherited autosomal channelopathy with incomplete penetrance. Genetic testing panels include over 20 ion channel encoding genes, but only SCN5A variants are considered causative mutations20,21. Phenotypic inconsistencies in SCN5A gene mutation carriers22 suggest the existence of additional phenotypic determinants7. Different miRNAs were demonstrated to modulate SCN5A expression either through direct or indirect mechanisms23. Also, several miRNAs have been identified in recent years as key modulators of cardiac electric conduction24,25,26,27. It seems reasonable to wonder whether epigenetic modulation might determine phenotypic heterogeneity in BrS. Despite this, few studies have delved into miRNA-mediated regulation of SCN5A gene24,25,28. Both SCN5A gene expression and INa activity are modulated by miR-219. In vivo administration of miR-219 counteracts flecainide intoxication-associated ECG abnormalities in mice24,25. MiRNA regulation of NaV1.5 has also been described in atrial fibrillation (AF). Increased atrial expression of miR-192-5p decreases Scn5a/NaV1.5 expression and depolarizing sodium current in AF patients29. Our results failed to show changes in any miRNA previously involved in post-transcriptional regulation of SCN5A gene. Additionally, in silico analysis does not identify SCN5A gene as a target of the dysregulated miRNAs. Our data suggest that phenotypic penetrance is not directly associated with epigenetic regulation of the SCN5A gene.
Among miRNAs differences, we found that BrS patients with symptoms showed significantly lower levels of miR-320a compared to asymptomatic SCN5A mutation carriers and high predictive value. Different studies suggest a growing association between miR-320a dysregulation and CVD. Decreased circulating and myocardial levels of miR-320a were previously described in patients with ACM30,31. Due to its pathophysiological similarities, ACM and BrS have been largely considered overlapped diseases32. Ion channels abnormalities32,33, as well as major electric and mechanic pathognomonic features such as gap junction remodeling and fibrosis, have been described in both diseases 34,35,36,37,38,39,40. Reduced miR-320 expression might underlie overlapping features of both entities. Increased circulating levels of miR-320a has been identified after acute myocardial infarction (AMI)41. Increased expression of miR-320a has also been associated with cardiomyocyte apoptosis during ischemia/reperfusion (I/R) injury42,43. In a murine model of hypertrophic cardiomyopathy, miR-320a seems to accelerate both hypertrophy and cardiac fibrosis44. By the other hand, individuals with cardiogenic shock stemming from acute coronary syndrome (ACS) exhibited elevated baseline levels of miR-320a-3p compared to non-ACS patients, suggesting a potential involvement of miR-320a-3p in the development of cardiac injury45. Circulating miR-320a-3p was also found to be increased in paroxysmal AF hypertensive patients46.
Although BrS was initially believed to have a purely electrical origin, research has also revealed structural abnormalities in affected hearts38,47. Symptomatic BrS patients showed increased epicardial and interstitial fibrosis39,48,49, as well as dilation in the right ventricular outflow tract (RVOT)50. This RVOT dilation is accompanied by a reduced density of gap junctions and a marked delay in electrical conduction37,48.
Gap junctions remodeling is a common feature of several CVD51,52,53 including cardiac arrhythmia54. Connexins, the key proteins in gap junctions, play a critical role in maintaining electrical conduction. Data from genetically engineered murine models showed that complete loss of Connexin 43 (Cx43) is lethal due to RVOT developmental abnormalities55 while even a 50% reduction in Cx43 expression is enough to alter electrical conduction56,57. Reduced expression of Cx43 was described in BrS autopsies37. Cx43 is closely linked to Nav1.5, the primary sodium channel responsible for electrical activity in the heart. Cx43 interacts with Nav1.5 in the gap junction perinexus58. Decreased Cx43 expression is associated with a lower membrane Nav1.5 trafficking and reduced sodium current59,60. Interestingly, cardiomyocytes derived from SCN5A mutation carriers have shown impaired gap junction61, further supporting the idea that BrS is more than just an electrical disorder.
Gap junctions are part of a larger protein network at intercalated discs (IDs), which also include ion channels, desmosomes, and adherent junctions. Dynamic interaction between ID components may influence the severity and expression of BrS62,63. For example, mutations in the PKP2 gene, which encodes desmosome protein Plakophilin-2, have been linked to BrS64,65. PKP2 plays a role in electrical and metabolic coupling66 by regulating sodium channel activity67,68 gap junction formation68,69 and biomechanical properties, such as actin cytoskeleton and focal adhesions formation70, issues previously described in BrS patients71.
Overall, these data evidence that BrS is best described as an electromechanical disorder rather than a purely electrical one. Consistently, enrichment analysis in our cohort exhibited significant changes in miR-320a, which is involved in pathways related to electromechanical continuity.
Epigenetic mechanisms might also play a role in modulating electromechanical continuity and cardiac rhythm72,73,74,75,76,77,78. Data from post-menopausal rats72 or murine models of ischemic74,78, hypertrophic75,76 and arrhythmogenic77,78 cardiomyopathy showed that Cx43 downregulation and gap junction remodeling are associated with altered miRNA profiles. Additionally, miRNAs are known to regulate post-transcriptional expression of genes involved in cell–matrix adhesion molecules and cytoskeletal dynamics79. Since cell–matrix interactions primarily occur through focal adhesions80, miRNAs may influence cell adhesion81,82, focal adhesions formation82 and actin cytoskeleton dynamics81, issues previously described in BrS derived cardiomyocytes71.
Although real impact of miRNA-based regulation of cardiac rhythm is not clearly understood, its relationship has been well documented27. Despite this, there is no previous data whether circulating miRNA profile differences might determine BrS clinical manifestation in SCN5A variant carriers. Our data shows a clear phenotype-associated miR-320a downregulation, and revealed that low levels of miR-320a have a strong predictive value. Enrichment analysis displays specific pathways involved in the regulation of electromechanical continuity such as gap junctions, focal adhesions, adherent junctions and actin cytoskeletal dynamics.
Recent findings have identified the presence of autoantibodies against the cardiac sodium channel in a substantial proportion of BrS patients, suggesting an additional, immune-mediated mechanism that may contribute to the pathogenesis of the disease83. While our study focuses on BrS patients with pathogenic SCN5A mutations, the demonstration of sodium channel autoantibodies supports the emerging view that BrS may arise from a multifactorial interplay involving genetic, epigenetic, and autoimmune components. These insights broaden our understanding of the BrS phenotype and underscore the potential for immune modulation in disease expression. Future research exploring the interface between miRNAs, genetic predisposition, and autoimmunity may provide deeper insights into BrS pathophysiology and identify novel therapeutic targets.
Conclusions
Our data suggest that epigenetic regulation of the electromechanical properties might contribute to final phenotypic manifestation of BrS. Our results reinforce the utility of circulating miRNAs as possible biomarkers and suggest that a future in-depth study of their regulation could contribute to a better understanding of the pathophysiology of BrS. We highlight the possible implication of miR-320a in cardiac electromechanical continuity regulation as determinant to unleash the arrhythmogenic phenotype beyond the SCN5A variant. Large sample sizes and mechanistic studies are needed to confirm our findings as well as to determine the clinical and pathophysiological significance.
Patients undergoing BrS with the SCN5A mutation, circulating levels of miR-320a are associated with the phenotypic expression, highlighting the importance of considering genetic and epigenetic factors in the diagnosis and management of inherited arrhythmias. Future research should aim to validate these findings in larger cohorts and investigate the therapeutic potential of miRNA modulation in BrS. Additionally, functional studies are needed to better understand the underlying mechanisms of miRNAs associated with the SNC5A mutation.
Limitations of our study
Several limitations should be noted. First, predictive value is limited by the relatively small sample size. We have included relatives with and without symptoms, all carriers of the same mutation in a condition of low prevalence. It is really complicated to increase a cohort with such specific requirements, as well as include mechanistic approaches. Second, as mentioned above, while our study demonstrates a significant association between reduced circulating miR-320a levels and BrS patients harboring SCN5A mutations, the mechanistic contribution of miR-320a to the BrS phenotype remains to be elucidated. Notably, our bioinformatic analyses did not identify SCN5A or other canonical BrS-related genes as direct targets of miR-320a. However, emerging evidence suggests that miRNAs can modulate ion channel function through direct biophysical interactions, independent of mRNA degradation or translational repression84. This raises the intriguing possibility that miR-320a may influence Nav1.5 function via non-canonical mechanisms. Experimental validation of such effects, such as assessing changes in Nav1.5 current density or gating properties following miR-320a modulation, would require detailed electrophysiological studies in heterologous expression systems or hiPSC-derived cardiomyocytes. Additionally, approaches such as RNA-immunoprecipitation or co-immunoprecipitation from cardiac tissues would be necessary to determine whether a physical interaction exists between miR-320a and the Nav1.5 protein complex. These studies are technically demanding, time-intensive, and resource-heavy, and were beyond the scope of the present investigation. Future work will focus on addressing these mechanistic questions, which are essential to fully understand the functional consequences of miR-320a downregulation in BrS and its potential role as a modulator of cardiac excitability. Additionally, since most of SCN5A gene variants are localized in non-coding regions, we cannot rule out the effect of increased complementarity of non-dysregulated miRNAs25.
Methods
Study design and subjects
This study is a prospective, nonrandomized study of cohorts of patients with BrS. Cases were selected in the Cardiology unit of Clinical University Hospital of Santiago, Clinical University Hospital of Virgen de la Arrixaca of Murcia and University Hospital Virgen de las Nieves of Granada. Inclusion criteria comprised 10 families harboring different SCN5A variants, 8 of these families have at least 2 subjects with discordant phenotype, with a clinical diagnosis of BrS confirmed by spontaneous or induced electrocardiographic pattern (affected), and the others asymptomatic (unaffected) selected as controls. A total of 27 patients were included in the study. The study complies with the Declaration of Helsinki and was approved by the Clinical Research Ethics Committee of Galicia (ID: 2017/197 and date of approval: 26 June 2017). All participants signed the written informed consent.
Blood collection
Peripheral blood samples were collected in EDTA tubes. Samples were subjected to centrifugation at 1500 g for 15 min at 4 °C for plasma separation. Plasma samples were stored at − 80 °C until subsequent analysis.
MiRNA extraction and miRNA expression microarray analysis
Total RNA was extracted using miRNeasy Serum/Plasma Advanced Kit (Qiagen, Hilden, Germany). A miScript II RT kit (Qiagen, Hilden, Germany) was used to obtain cDNA in a SimpliAmp Thermal Cycler (Applied Biosystems, Carlsbad, CA, USA). Afterwards, cDNA was preamplificated with a miScript PreAMP PCR Kit (Qiagen, Hilden, Germany) using a miScript PreAmp Primer Mix (MBHS-113Z). Sequences of 84 different predesigned mature miRNAs (listed in Supplementary Table S1) were detected using a Human Cardiovascular Disease miScript miRNA PCR Array (MIHS-113Z, Qiagen, Hilden, Germany), as previously described. All cDNA steps and PCR setup were performed by QuantStudio™ 7 Flex Real-Time PCR System, 384-well (Applied-Biosystems). PCR cycling was performed according to the manufacturer’s protocol and conditions. The miScript miRNA PCR Array Data Analysis Tool (Qiagen, Hilden, Germany) was used for all calculations. Briefly, only miRNAs with Ct values < 30 in all samples were considered for subsequent analysis. MiRNA normalized expressions are represented by ΔCt, calculated by subtracting the global geometric mean signal from individual miRNA Ct values. The 2−ΔΔCt method was used to calculate miRNAs fold change.
MiRNA TaqMan assay
cDNA synthesis was carried out using a TaqMan Advanced miRNA cDNA Synthesis Kit (Applied Biosystems, CA, USA) in a SimpliAmp Thermal Cycler (Applied Biosystems). miRNAs levels were determined using the absolute quantification qPCR method, employing TaqMan™ Fast Advanced Master Mix (Applied Biosystems), TaqMan Advanced hsa-miR-125b-5p, hsa-miR-182-5p, hsa-miR-18b-5p, hsa-miR-365a/b-3p, hsa-miR-320a-3p, hsa-miR-378a-3p, hsa-miR-423-3p, hsa-let-7c-5p and hsa-let-7e-5p Assay (Applied Biosystems) and a QuantStudio™ 5 Flex Real-Time PCR System, 384-well (Applied Biosystems). A standard curve in triplicate was generated by serial dilution starting with a known concentration of cel-miR-39-3p (Applied Biosystems). Absolute quantifications were calculated from Ct values using the standard curve. The correlation coefficient (R2) of the linear equation was > 0.98, indicating that the detection method had a good linear relationship in the range of 1.092 × 103 to 1.092 × 108 copies/μL.
MiRNA pathway analysis and target prediction
Gene Ontology (GO) terms and Kyoto Encyclopedia of Genes and Genomes (KEGG) pathway annotation analyses were performed using miRNet analysis tool (https://www.mirnet.ca), which utilizes data from well-annotated databases: miRTarBase v7.0, TarBase V7.0, and miRecords. Analyses were performed to fully understand the functional role of differentially regulated miRNAs. Results obtained from miRNAs profiling were submitted to Ingenuity Pathway Analysis software v22.0.1 (IPA®, QIAGEN, Redwood City, CA, USA), for network associations and posttranscriptional targets regulation.
Statistical analysis
Statistical analyses were carried out with GraphPad Prism 9.0.0 (GraphPad Software Inc., San Diego, California, USA) and SPSS 22.0 (IBM Corp, Armonk, NY, USA). The Shapiro–Wilk test was performed to test the normality of distribution. Student’s t-test or Mann–Whitney test were used to detect differences in miRNA expression between groups. Receiver-operator characteristic (ROC) analyses and areas under the curve (AUC) were then calculated. In all analyses, a two-tailed p < 0.05 was considered significant.
Data availability
All data generated or analysed during this study are included in this published article [and its supplementary information files].
References
Brugada, P. & Brugada, J. Right bundle branch block, persistent ST segment elevation and sudden cardiac death: A distinct clinical and electrocardiographic syndrome. A multicenter report. J. Am. Coll. Cardiol. 20, 1391–1396 (1992).
Chen, Q. et al. Genetic basis and molecular mechanism for idiopathic ventricular fibrillation. Nature 392, 293–296 (1998).
Deica, A. V., Paduraru, L. F., Paduraru, D. N. & Andronic, O. The SCN5A gene is a predictor of phenotype severity in Brugada syndrome: A comprehensive literature review. Med. Princ. Pract. 32, 1–8 (2023).
Brugada, J., Campuzano, O., Arbelo, E., Sarquella-Brugada, G. & Brugada, R. Present status of Brugada syndrome: JACC state-of-the-art review. J. Am. College Cardiol. 72, 1046–1059. https://doi.org/10.1016/j.jacc.2018.06.037 (2018).
Campuzano, O. et al. Update on genetic basis of Brugada syndrome: Monogenic, polygenic or oligogenic?. Int. J. Mol. Sci. 21, 7155. https://doi.org/10.3390/ijms21197155 (2020).
Kapplinger, J. D. et al. An international compendium of mutations in the SCN5A-encoded cardiac sodium channel in patients referred for Brugada syndrome genetic testing. Heart Rhythm 7, 33–46 (2010).
Probst, V. et al. SCN5A mutations and the role of genetic background in the pathophysiology of brugada syndrome. Circ. Cardiovasc. Genet. 2, 552–557 (2009).
Chen, C. et al. Brugada syndrome with SCN5A mutations exhibits more pronounced electrophysiological defects and more severe prognosis: A meta-analysis. Clin. Genet. 97, 198–208. https://doi.org/10.1111/cge.13552 (2020).
Barwari, T., Joshi, A. & Mayr, M. MicroRNAs in cardiovascular disease. J. Am. Coll. Cardiol. 68, 2577–2584 (2016).
Viereck, J. & Thum, T. Circulating noncoding RNAs as biomarkers of cardiovascular disease and injury. Circ. Res. 120, 381–399 (2017).
Jimenez, J. & Rentschler, S. L. Transcriptional and epigenetic regulation of cardiac electrophysiology. Pediatr. Cardiol. 40, 1325–1330 (2019).
Carreras, D. et al. Epigenetic changes governing scn5a expression in denervated skeletal muscle. Int. J. Mol. Sci. 22, 2755 (2021).
Beltran-Alvarez, P., Pagans, S. & Brugada, R. The cardiac sodium channel is post-translationally modified by arginine methylation. J. Proteome. Res. 10, 3712–3719 (2011).
Kanehisa, M. Toward understanding the origin and evolution of cellular organisms. Protein Sci. 28, 1947–1951 (2019).
Kanehisa, M. KEGG: Kyoto encyclopedia of genes and genomes. Nucleic Acids Res. 28, 27–30 (2000).
Kanehisa, M., Furumichi, M., Sato, Y., Matsuura, Y. & Ishiguro-Watanabe, M. KEGG: Biological systems database as a model of the real world. Nucleic Acids Res. 53, D672–D677 (2025).
Scumaci, D. et al. Integration of “Omics” strategies for biomarkers discovery and for the elucidation of molecular mechanisms underlying Brugada syndrome. Proteomics Clin. Appl. 12, 1800065 (2018).
Steinberg, C. et al. Leucocyte-derived micro-RNAs as candidate biomarkers in Brugada syndrome. Europace 25, 145 (2023).
Marinas, M. B. et al. A microRNA expression profile as non-invasive biomarker in a large arrhythmogenic cardiomyopathy cohort. Int J. Mol. Sci. 21, 1536 (2020).
Le Scouarnec, S. et al. Testing the burden of rare variation in arrhythmia-susceptibility genes provides new insights into molecular diagnosis for brugada syndrome. Hum. Mol. Genet. 24, 2757–2763 (2015).
Hosseini, S. M. et al. Reappraisal of reported genes for sudden arrhythmic death. Circulation 138, 1195–1205 (2018).
Wijeyeratne, Y. D. et al. Scn5a mutation type and a genetic risk score associate variably with brugada syndrome phenotype in scn5a families. Circ. Genom. Precis. Med. https://doi.org/10.1161/CIRCGEN.120.002911 (2020).
Theisen, B., Holtz, A. & Rajagopalan, V. Noncoding RNAs and human induced pluripotent stem cell-derived cardiomyocytes in cardiac arrhythmic Brugada syndrome. Cells 12, 2398 (2023).
Daimi, H. et al. Regulation of SCN5A by microRNAs: MiR-219 modulates SCN5A transcript expression and the effects of flecainide intoxication in mice. Heart Rhythm 12, 1333–1342 (2015).
Daimi, H. et al. Role of SCN5A coding and non-coding sequences in Brugada syndrome onset: What’s behind the scenes?. Biomed. J. 42, 252–260 (2019).
Daimi, H., Lozano-Velasco, E., Aranega, A. & Franco, D. Genomic and non-genomic regulatory mechanisms of the cardiac sodium channel in cardiac arrhythmias. Int. J. Mol. Sci. 23, 1381. https://doi.org/10.3390/ijms23031381 (2022).
Kim, G. H. MicroRNA regulation of cardiac conduction and arrhythmias. Transl Res 161, 381–392 (2013).
Liu, T. et al. Catheter ablation restores decreased plasma miR-409-3p and miR-432 in atrial fibrillation patients. Europace 18, 92–99 (2016).
Zhao, Y. et al. Post-transcriptional regulation of cardiac sodium channel gene SCN5A expression and function by miR-192–5p. Biochim. Biophys Acta. Mol. Basis Dis. 1852, 2024–2034 (2015).
Sommariva, E. et al. MiR-320a as a potential novel circulating biomarker of Arrhythmogenic CardioMyopathy. Sci. Rep. 7, 4802 (2017).
Marinas, M. B. et al. A microRNA expression profile as non-invasive biomarker in a large arrhythmogenic cardiomyopathy cohort. Int. J. Mol. Sci. 21, 1536 (2020).
Ben-Haim, Y., Asimaki, A. & Behr, E. R. Brugada syndrome and arrhythmogenic cardiomyopathy: Overlapping disorders of the connexome?. Europace 23, 653–664. https://doi.org/10.1093/europace/euaa277 (2021).
Zaklyazminskaya, E. & Dzemeshkevich, S. The role of mutations in the SCN5A gene in cardiomyopathies. Biochimica et Biophysica Acta Mol. Cell Res. 1863, 1799–1805. https://doi.org/10.1016/j.bbamcr.2016.02.014 (2016).
Asimaki, A., Kléber, A. G., MacRae, C. A. & Saffitz, J. E. Arrhythmogenic cardiomyopathy—New insights into disease mechanisms and drug discovery. Progr. Pediatr. Cardiol. 37, 3–7. https://doi.org/10.1016/j.ppedcard.2014.10.001 (2014).
Chen, X., Chen, L., Chen, Z., Chen, X. & Song, J. Remodelling of myocardial intercalated disc protein connexin 43 causes increased susceptibility to malignant arrhythmias in ARVC/D patients. Forensic Sci. Int. 275, 14–22 (2017).
Fidler, L. M. et al. Abnormal connexin43 in arrhythmogenic right ventricular cardiomyopathy caused by plakophilin-2 mutations. J. Cell. Mol. Med. 13, 4219–4228 (2009).
Nademanee, K. et al. Fibrosis, connexin-43, and conduction abnormalities in the Brugada syndrome. J. Am. Coll. Cardiol. 66, 1976–1986 (2015).
Frustaci, A. et al. Cardiac histological substrate in patients with clinical phenotype of Brugada syndrome. Circulation 112, 3680–3687 (2005).
Miles, C. et al. Biventricular myocardial fibrosis and sudden death in patients with Brugada syndrome. J. Am. Coll. Cardiol. 78, 1511–1521 (2021).
Ohkubo, K. et al. Right ventricular histological substrate and conduction delay in patients with Brugada syndrome. Int. Heart J. 51, 17–23 (2010).
Galeano-Otero, I. et al. Circulating miR-320a as a predictive biomarker for left ventricular Remodelling in STEMI patients undergoing primary percutaneous coronary intervention. J. Clin. Med. 9, 1051 (2020).
Ren, X.-P. et al. MicroRNA-320 is involved in the regulation of cardiac ischemia/reperfusion injury by targeting heat-shock protein 20. Circulation 119, 2357–2366 (2009).
Tian, Z.-Q., Jiang, H. & Lu, Z.-B. MiR-320 regulates cardiomyocyte apoptosis induced by ischemia-reperfusion injury by targeting AKIP1. Cell Mol Biol Lett 23, 41 (2018).
Li, F. et al. miR-320 accelerates chronic heart failure with cardiac fibrosis through activation of the IL6/STAT3 axis. Aging 13, 22516–22527 (2021).
Hänninen, M. et al. Association of miR-21–5p, miR-122–5p, and miR-320a-3p with 90-Day Mortality in Cardiogenic Shock. Int. J. Mol. Sci. 21, 7925 (2020).
Zhelankin, A. V. et al. Elevated plasma levels of circulating extracellular miR-320a-3p in patients with paroxysmal atrial fibrillation. Int. J. Mol. Sci. 21, 3485 (2020).
Catalano, O. et al. Magnetic resonance investigations in Brugada syndrome reveal unexpectedly high rate of structural abnormalities. Eur Heart J 30, 2241–2248 (2009).
Nademanee, K. et al. Prevention of ventricular fibrillation episodes in brugada syndrome by catheter ablation over the anterior right ventricular outflow tract epicardium. Circulation 123, 1270–1279 (2011).
Pieroni, M. et al. Electroanatomic and pathologic right ventricular outflow tract abnormalities in patients with Brugada syndrome. J. Am. Coll. Cardiol. 72, 2747–2757 (2018).
Scheirlynck, E. et al. Worse prognosis in brugada syndrome patients with Arrhythmogenic cardiomyopathy features. JACC Clin. Electrophysiol. 6, 1353–1363 (2020).
Xu, H. F. et al. MicroRNA-1 represses Cx43 expression in viral myocarditis. Mol. Cell. Biochem. 362, 141–148 (2012).
Zhang, Y. et al. Tanshinone IIA inhibits miR-1 expression through p38 MAPK signal pathway in post-infarction rat cardiomyocytes. Cell. Physiol. Biochem. 26, 991–998 (2010).
Curcio, A. et al. MicroRNA-1 downregulation increases Connexin 43 displacement and induces ventricular Tachyarrhythmias in rodent hypertrophic hearts. PLoS ONE 8, e70158 (2013).
Roell, W. et al. Engraftment of connexin 43-expressing cells prevents post-infarct arrhythmia. Nature 450, 819–824 (2007).
Reaume, A. G. et al. Cardiac malformation in neonatal mice lacking connexin43. Science 267, 1831–1834 (1995).
Eloff, B. C. et al. High resolution optical mapping reveals conduction slowing in connexin43 deficient mice. Cardiovasc. Res. 51, 681–690 (2001).
Kreuzberg, M. M., Willecke, K. & Bukauskas, F. F. Connexin-mediated cardiac impulse propagation: connexin 30.2 slows atrioventricular conduction in mouse heart. Trends Cardiovasc. Med. 16, 266–272 (2006).
Rhett, J. M., Ongstad, E. L., Jourdan, J. & Gourdie, R. G. Cx43 associates with Na(v)1.5 in the cardiomyocyte perinexus. J. Membr. Biol. 245, 411–422 (2012).
Jansen, J. A. et al. Reduced heterogeneous expression of Cx43 results in decreased Nav1.5 expression and reduced sodium current that accounts for arrhythmia vulnerability in conditional Cx43 knockout mice. Heart Rhythm 9, 600–607 (2012).
Agullo-Pascual, E. et al. Super-resolution imaging reveals that loss of the C-terminus of connexin43 limits microtubule plus-end capture and NaV1.5 localization at the intercalated disc. Cardiovasc. Res. 104, 371–381 (2014).
Li, W. et al. Disease phenotypes and mechanisms of iPSC-derived cardiomyocytes from brugada syndrome patients with a loss-of-function SCN5A mutation. Front. Cell. Dev. Biol. 8, 592893 (2020).
Agullo-Pascual, E., Cerrone, M. & Delmar, M. Arrhythmogenic cardiomyopathy and Brugada syndrome: Diseases of the connexome. FEBS Lett. 588, 1322–1330 (2014).
Moncayo-Arlandi, J. & Brugada, R. Unmasking the molecular link between arrhythmogenic cardiomyopathy and Brugada syndrome. Nat. Rev. Cardiol. 14, 744–756. https://doi.org/10.1038/nrcardio.2017.103 (2017).
Forkmann, M. et al. Epicardial ventricular tachycardia ablation in a patient with brugada ECG pattern and mutation of PKP2 and DSP genes. Circ. Arrhythm. Electrophysiol. 8, 505–507 (2015).
Peters, S. Arrhythmogenic cardiomyopathy and provocable Brugada ECG in a patient caused by missense mutation in plakophilin-2. Int. J. Cardiol. 173, 317–318 (2014).
Vermij, S. H., Abriel, H. & Van Veen, T. A. B. Refining the molecular organization of the cardiac intercalated disc. Cardiovascular Res. 113, 259–275. https://doi.org/10.1093/cvr/cvw259 (2017).
Cerrone, M. et al. Missense mutations in plakophilin-2 cause sodium current deficit and associate with a brugada syndrome phenotype. Circulation 129, 1092–1103 (2014).
Kim, J. C. et al. Disruption of Ca2+i homeostasis and Connexin 43 hemichannel function in the right ventricle precedes overt Arrhythmogenic cardiomyopathy in Plakophilin-2-Deficient Mice. Circulation 140, 1015–1030 (2019).
Oxford, E. M. et al. Connexin43 remodeling caused by inhibition of plakophilin-2 expression in cardiac cells. Circ. Res. 101, 703–711 (2007).
Puzzi, L. et al. Knock down of Plakophillin 2 dysregulates adhesion pathway through upregulation of miR200b and alters the mechanical properties in cardiac cells. Cells 8, 1639 (2019).
Belbachir, N. et al. RRAD mutation causes electrical and cytoskeletal defects in cardiomyocytes derived from a familial case of Brugada syndrome. Eur. Heart. J. 40, 3081–3094 (2019).
Wang, N. et al. MicroRNA-23a participates in Estrogen deficiency induced gap junction remodeling of rats by targeting GJA1. Int. J. Biol. Sci. 11, 390–403 (2015).
Jin, Y. et al. Inhibition of MicroRNA-206 ameliorates ischemia-reperfusion arrhythmia in a mouse model by targeting Connexin43. J Cardiovasc Transl Res 13, 584–592 (2020).
Liu, X. et al. MiR-223–3p as a novel MicroRNA regulator of expression of voltage-gated K+ Channel Kv4.2 in acute myocardial infarction. Cell. Physiol. Biochem. 39, 102–114 (2016).
Curcio, A. et al. MicroRNA-1 downregulation increases Connexin 43 displacement and induces ventricular Tachyarrhythmias in rodent hypertrophic hearts. PLoS ONE 8, e70158 (2013).
Danielson, L. S. et al. Cardiovascular dysregulation of miR-17-92 causes a lethal hypertrophic cardiomyopathy and arrhythmogenesis. FASEB J. 27, 1460–1467 (2013).
Osbourne, A. et al. Downregulation of connexin43 by microRNA-130a in cardiomyocytes results in cardiac arrhythmias. J. Mol. Cell. Cardiol. 74, 53–63 (2014).
Jin, Y. et al. MicroRNA-206 downregulates Connexin43 in cardiomyocytes to induce cardiac arrhythmias in a transgenic mouse model. Heart Lung. Circ. 28, 1755–1761 (2019).
Valastyan, S. & Weinberg, R. A. Roles for microRNAs in the regulation of cell adhesion molecules. J. Cell. Sci. 124, 999–1006 (2011).
Shi, H. et al. Profiling the responsiveness of focal adhesions of human cardiomyocytes to extracellular dynamic nano-topography. Bioact. Mater. 10, 367–377 (2022).
Uray, K., Major, E. & Lontay, B. MicroRNA regulatory pathways in the control of the actin-myosin cytoskeleton. Cells 9, 1649. https://doi.org/10.3390/cells9071649 (2020).
Obeng, G. et al. miRNA-200c-3p targets talin-1 to regulate integrin-mediated cell adhesion. Sci. Rep. 11, 21597 (2021).
Tarantino, A. et al. NaV1.5 autoantibodies in Brugada syndrome: Pathogenetic implications. Eur. Heart. J. 45, 4336–4348 (2024).
Yang, D. et al. MicroRNA biophysically modulates cardiac action potential by direct binding to ion channel. Circulation https://doi.org/10.1161/CIRCULATIONAHA.120.050098 (2021).
Acknowledgements
This research was funded by grants from Fundación Mutua Madrileña (XIV Convocatoria de Ayudas a la Investigación en Salud); Sociedad Española de Cardiología (SEC/FEC-INV-BAS 22/034); Xunta de Galicia (Programa de Consolidación de Unidades de Investigación Competitivas do SUG (GPC 2016/022, GRC 2019/02 and IN607A2023/03)); Centro Singular de Investigación de Galicia (ED431G/2019/02 and ED431G/2023/02)); European Union European Regional Development Fund (ERDF) and Centro de Investigación Biomédica en Red Enfermedades Cardiovasculares (CIBERCV).
Funding
Sociedad Española de Cardiología, SEC/FEC-INV-BAS 22/034, SEC/FEC-INV-BAS 22/034, Xunta de Galicia, ED431G/2019/02, GPC 2016/022, ED431G/2019/02, Fundación Mutua Madrileña, XIV Convocatoria de Ayudas a la Investigación en Salud.
Author information
Authors and Affiliations
Contributions
I.M. and V.S-C. first authors: design, microRNAs analysis, statistical analysis and article drafting. M.C-M., M.E.V-S., M.B., A.B-V., L.M-C., I.V-A. and S.F-B.: Data collection and article drafting. V.J-R., J.R.G-B., M.S-M., J.J-J.: Data collection, patient enrollment and article drafting. J.R.G-J. and M.R-M.: Coordination and article drafting. R.L. and I.M. corresponding authors: coordination, article design, and article drafting.
Corresponding authors
Ethics declarations
Competing interests
The authors declare no competing interests.
Ethics approval
This study was performed in line with the principles of the Declaration of Helsinki. Approval was granted by the Ethics Committee of Galicia (Date 26 June 2017/No 2017/197).
Additional information
Publisher’s note
Springer Nature remains neutral with regard to jurisdictional claims in published maps and institutional affiliations.
Supplementary Information
Below is the link to the electronic supplementary material.
Rights and permissions
Open Access This article is licensed under a Creative Commons Attribution-NonCommercial-NoDerivatives 4.0 International License, which permits any non-commercial use, sharing, distribution and reproduction in any medium or format, as long as you give appropriate credit to the original author(s) and the source, provide a link to the Creative Commons licence, and indicate if you modified the licensed material. You do not have permission under this licence to share adapted material derived from this article or parts of it. The images or other third party material in this article are included in the article’s Creative Commons licence, unless indicated otherwise in a credit line to the material. If material is not included in the article’s Creative Commons licence and your intended use is not permitted by statutory regulation or exceeds the permitted use, you will need to obtain permission directly from the copyright holder. To view a copy of this licence, visit http://creativecommons.org/licenses/by-nc-nd/4.0/.
About this article
Cite this article
Moscoso, I., Serrano-Cruz, V., Cebro-Márquez, M. et al. Epigenetic regulation of electromechanical continuity might determine phenotypic heterogeneity in SCN5A mutation carriers in Brugada syndrome. Sci Rep 15, 36885 (2025). https://doi.org/10.1038/s41598-025-20972-0
Received:
Accepted:
Published:
Version of record:
DOI: https://doi.org/10.1038/s41598-025-20972-0




