Abstract
Abiotic stress is one of the greatest constraints on crop productivity. Although individual stress factors such as salinity, drought, heavy metals and pollutants can affect plant growth, their combination leads to even more devastating effects on plant growth and productivity. In this study, the effect of the multitolerant strain Pantoea agglomerans Pa on the growth of durum wheat (Triticum durum L.) under stress conditions such as drought (25% of field capacity), salinity (200 mM NaCl), heavy metal (cadmium, 200 ppm) and pollutant (phenanthrene, 200 ppm) was investigated. These parameters were assessed individually and in combinations (double, triple and quadruple). The results showed that Pa significantly (P ≤ 0.05) improved morphological parameters and chlorophyll content while reducing electrolyte loss, malondialdehyde and proline levels. In addition, the activities of antioxidant enzymes (ascorbate peroxidase, catalase, guaiacol peroxidase and superoxide dismutase) enhanced the protective effect of Pa against combined stress factors. These results emphasise the potential of Pa to maintain its plant growth-promoting properties including phosphate solubilisation, indole-3-acetic acid production and siderophore production under various stress conditions. This suggests that P. agglomerans Pa has the potential to promote sustainable agriculture by protecting plants from both single and combined abiotic stress factors.
Similar content being viewed by others
Introduction
Agriculture is a vital sector of the economy and a key driver in the fight against poverty, hunger and inequality. It plays an active role in the socioeconomic development of nations and guarantees global food security. However, rapid population growth is putting increasing pressure on agricultural production. According to FAO, the world population will reach 9.8 billion by 2050. To meet this demand, agricultural production will need to increase by 60 to 70% by 20501,2.
However, this goal is being compromised by the growing impact of climate change, which is altering global agroecological systems3. Rising temperatures, reduced rainfall, and increased frequency of extreme weather events are negatively affecting crop productivity and the availability of agricultural land4. In natural environments, crops are frequently exposed to various abiotic stresses, which often interact simultaneously and exacerbating their negative effects5. Recent studies confirm that the combination of several stress factors has a much more deleterious effect on plant growth and soil fertility than isolated stresses6,7,8.
In addition, the growing accumulation of toxic metals in soils constitutes a major threat to agricultural productivity, exacerbated by rapid industrialization and population growth. Globally, human activities such as metallurgy, mining, intensive use of fertilizers and pesticides, and the spreading of sewage sludge are among the main sources of contamination of agricultural and natural soils by heavy metals and pollutants9. Climate change exacerbates this problem by altering the mobility, speciation, and toxicity of these metals in the soil. In addition, polluted soils often have low water retention capacity and increased evaporation, exposing plants to combined thermal and water stress10.
This environmental complexity has led to the emergence of the concept of Multi-Factorial Stress Combination (MFSC), defined as simultaneous or sequential exposure to three or more stress factors11. These extreme conditions cause profound disruptions to plant physiological functions: disruption of biological membranes, oxidative stress, ionic toxicity, metabolic imbalance, inhibition of photosynthesis, and reduced yield12,13,14. The National Climate Assessment (USDA) report estimates that nearly 50% of agricultural yield losses are attributable to environmental stresses.
Among staple crops, wheat (Triticum spp.) occupies a strategic position in terms of both nutrition and economics. It is one of the world’s main sources of calories and income, covering approximately 200 million hectares (15% of cultivated land) and demonstrating a high capacity to adapt to various climatic environments13,14,15,16. However, its productivity remains highly dependent on climatic conditions, making it a particularly vulnerable crop to MFSC.
In this context, the development of sustainable adaptation strategies is crucial. One of the most promising approaches is based on the use of plant growth-promoting bacteria (PGPB). These beneficial microorganisms improve plant nutrition, promote growth, and enhance stress tolerance, while reducing dependence on chemical inputs14,17,18. Their effectiveness is based on various mechanisms: solubilization of nutrients, production of phytohormones (auxins, gibberellins, cytokinins), secretion of siderophores, nitrogen fixation, 1-aminocyclopropane-1-carboxylate (ACC) deaminase activity, and production of bioactive compounds 19. PGPB can also mitigate the toxic effects of heavy metals and organic pollutants through biosorption, exopolysaccharide production, or the activation of defense signaling pathways. Their inoculation has demonstrated beneficial effects on plant growth under water stress20,21, salinity13,22, and metal stress6,23.
Despite the abundance of research on PGPB, their effectiveness under combined stress conditions remains largely unexplored. It is in this context that the strain Pantoea agglomerans Pa, isolated from the rhizosphere of durum wheat in an arid region of southern Algeria, is of particular interest. This strain has been shown to stimulate wheat growth under optimal conditions24, but also under salt and water stress14,25. It has broad tolerance to environmental stresses, including salinity, drought, heavy metals, pollutants, herbicides, and fungicides, and demonstrates a remarkable ability to colonize the root endosphere25. Metabolic and genomic analyses of the Pa strain have revealed the presence of genes involved in secondary metabolite biosynthesis, stress tolerance, and plant growth promotion14. These characteristics make Pa an ideal candidate for the development of multistress bioinoculants.
The main objective of this study is to evaluate the effectiveness of the strain P. agglomerans Pa as a bioinoculant for improving durum wheat growth and enhancing its tolerance to MFSC. To this end, wheat plants were exposed to an MFSC combining salinity, drought, cadmium (Cd) contamination, and exposure to phenanthrene, either alone or in combination (double, triple, and quadruple stresses). The study aimed to analyze the extent to which inoculation with Pa can mitigate the deleterious effects of these stresses on wheat growth parameters, physiology, and biochemical responses. The results obtained will allow the potential of Pa for application in agricultural systems subjected to extreme environmental conditions to be evaluated and will contribute to the design of multifunctional biofertilizers adapted to the context of climate change.
Materials and methods
Biological material
The bacterial strain used in this study was P. agglomerans Pa, which was originally isolated from the rhizosphere of durum wheat fields in the arid and saline region of Bou-Saâda in Algeria26. This strain has shown remarkable resistance to various environmental stresses, including high salinity (up to 1 M NaCl), drought (30% PEG), high temperature (up to 45 °C), high pH (9), and tolerance to heavy metals (Pb, Cd, Hg and Co), pollutants such as phenanthrene and bisphenol, and fungicides and herbicides, as described by Bouremani et al.25.
PGP activities of strain Pa under different abiotic stresses and their combination
The properties of strain Pa in terms of phosphate dissolution, IAA production and siderophore production were evaluated under different stress conditions, including drought (using PEG-6000 at 0%, 10% and 20%), salinity (using NaCl at 0, 100 and 200 mM), heavy metals (cadmium at 0, 100 and 200 ppm) and pollutants (phenanthrene at 0, 100 and 200 ppm). These parameters were assessed under simple stress conditions. Different combinations of double, triple and quadruple stress were used, as shown in Table 1. A bacterial culture of P at a concentration of 106 cells mL − 1 (cultured in Luria Bertani LB broth at 30 °C for 24 h) was used to inoculate the different media for each activity, following the protocols of Cherif-Silini et al.14.
Effect of bacterial inoculation on durum wheat growth under multiple stress
Pot experiment
Disinfected plastic pots were filled with 750 g sand (washed and sterilised at 170 °C/2 h for 3 consecutive days). The pots received a half-strength Hoagland nutrient solution. Durum wheat seeds of the Bousselam variety (Triticum durum L.c.v Bousselam) were obtained from the Technical Institute of Field Crops ITGC (Sétif, Algeria). Seeds were sterilised with a 75% (v/v) ethanol solution for 2 min, followed by a 1% sodium hypochlorite solution for 15 min, and then rinsed several times with sterile distilled water. The seeds were then pre-germinated on sterilised and moistened filter paper at 24 °C for 3 days in the dark. Ten similarly sized germinated seeds were then planted in each pot, and after the seedlings emerged, the number was reduced to 6 seedlings per pot.
Salt stress was induced by watering the pots with salt solutions to reach a final concentration of 200 mM NaCl kg− 1. To prevent osmotic shock, the NaCl concentration was increased stepwise, starting with increments of 100 mM. For metal stress, a cadmium-Nitrate solution (Cd (NO3)2) was administered at a concentration of 200 mg kg− 1. Water stress was maintained at 25% of field capacity (FC) by limiting irrigation according to the methods described by Bouremani et al.25. For pollutant stress, a phenanthrene solution was dissolved in acetone, mixed with sand at a concentration of 200 mg kg− 1 and then left under a fume bonnet to allow the remaining acetone to evaporate.
The bacterial inoculum was prepared in LB broth and incubated for 48 h at 28 ± 2 °C with shaking. The cells were pelleted by centrifugation at 4000 rpm for 20 min at 4 °C. The pellets were washed twice and suspended in sterile physiological water to obtain 108 cells mL− 1.
The first inoculation of the pots was performed at the 3-leaf stage, which coincides with the emergence of stress. Each pot was inoculated with 2 mL of the bacterial inoculum, while 2 mL of physiological water was used for the control without bacteria. A second treatment following the same protocol was carried out in the middle of the experimental period.
A total of 128 pots, corresponding to 32 treatments (Table 1) and 4 replicates for each treatment, were randomly distributed and kept in a growth chamber at 25 °C/16°C and a photoperiod of 16/8 h. After 35 days of growth, the plants were harvested, washed with distilled water and separated into aerial and root parts.
Morphological analysis of growth parameters
Shoot and root lengths (cm) and fresh and dry weights (g) (after 72 h at 65 °C) of shoots and roots were measured. The independent experiments were carried out to evaluate wheat growth parameters and were carried out three times with 5 seedlings (n = 15).
Determination of chlorophyll content
The concentrations of chlorophyll a, chlorophyll b, total chlorophyll and carotenoids were determined according to the method described by Cherif-Silini et al.14. Fresh leaf samples (FW) (0.25 g) were cut into small pieces, homogenised in 80% acetone and stored at -20 °C for 24 h. The organic extract was then centrifuged at 14,000 rpm for 5 min and the absorbance of the supernatant was measured using a spectrophotometer at an OD of 663, 645 and 470 nm to determine the chlorophylls a (Chl a), b (Chl b), total amount and carotenoids.
Lipid peroxidation (MDA) content assay
Lipid peroxidation, estimated by malondialdehyde (MDA) content, was measured by the thiobarbituric acid (TBA) method according to the protocol of Kerbab et al.13.
Electrolytes leakage
The measurement of electrolyte loss was performed according to the protocol of Rabhi et al.27. In brief, 0.20 g of fresh leaves (FW) were cut into small pieces and placed in 15 mL of deionised water to measure the initial electrical conductivity (EC0). The samples were then cooled to 4 °C overnight and the electrical conductivity was measured again to obtain (EC1). The samples were then autoclaved at 120 °C for 20 min to determine (EC2). The electrolyte loss (EL) was calculated using the following formula.
Determination of foliar proline content
The proline concentration of wheat leaves was determined according to the method described in Cherif-Silini et al.14. 50 mg of fresh leaves were homogenised in 1 mL of 40% (v/v) ethanol and allowed to stand overnight at 4 °C. The extract was centrifuged at 10,000 rpm for 10 min. Subsequently, 1 mL of the extract was added to 1 mL of reaction mixture (1% ninhydrin in 60% acetic acid). The samples were incubated at 95 °C for 30 min and centrifuged at 12,000 rpm for 5 min. The absorbance was recorded at 520 nm and the proline concentration was determined by comparison with a standard curve.
Determination of antioxidant enzyme activities
Crude enzymes were extracted from fresh leaf samples frozen at -20 °C. Leaf samples weighing 0.25 g were ground to a fine powder in a mortar with liquid nitrogen and then homogenised with 5 mL phosphate buffer (100 mM, pH 7.5) supplemented with 1 mM EDTA and 0.01% Triton X-100. The homogenates were centrifuged at 4000 rpm for 20 min at 4 °C. The resulting supernatants were used to determine the activity of ascorbate peroxidase (APX), catalase (CAT), guaiacol peroxidase (GPX) and superoxide dismutase (SOD) according to the method described by Kerbab et al.13.
Statistical analysis
All experiments were repeated three times and results were expressed as mean ± standard error of the mean. Data were analysed using OriginPro 2022. Data were analysed using one-way and two-way ANOVA to determine whether there was a significant effect of treatment compared to the control sample. A significance level of 5% (p < 0.05) was used and Tukey’s multiple comparison tests were performed. Principal component analysis (PCA) of the mean values of wheat biomass, chlorophyll content, antioxidant capacity and enzyme activities were performed using Origin 2022 software.
Results
Evaluation of PGP activities under single and combined abiotic stress factors
The effects of individual and combined stress factors on the PGP activities of strain Pa are shown in Fig. 1. Under non-stress conditions, strain Pa dissolved 207.39 µg mL–1 phosphate (Fig. 1a). Salt stress (100 mM and 200 mM NaCl) increased solubilisation to 232.16 and 219.03 µg mL–1, respectively. Water stress induced by PEG-6000 (10% and 20%) had minimal effects and resulted in 208.11 and 205.28 µg mL–1, respectively. Remarkably, 100 ppm Cd or phenanthrene enhanced phosphate dissolution, while the values decreased at 200 ppm. Combined stress further decreased activity, although phosphate dissolution remained significant (189.97 µg mL–1 for S + P and 167.33 µg mL–1 for Hm + P). These results suggest that salt and water stress have less deleterious effects than heavy metal or hydrocarbon stress, especially at higher concentrations or in combination.
Strain Pa produced 180.33 µg mL–1 IAA under standard conditions (Fig. 1b). IAA synthesis increased significantly in the presence of NaCl (100 and 200 mM) and PEG-6000 (10% and 20%), with the highest values observed under NaCl stress at 210.78 µg mL–1 and 240.50 µg mL–1, respectively. These results indicate that salt and water stress increase IAA production in this osmotolerant bacterium. In contrast, pollutants had minimal effects and IAA levels remained largely unchanged. However, Cd stress caused the strongest reduction, and combined stress conditions, especially those with metals, led to a significant decrease in IAA production.
Under normal conditions, strain Pa produced 44.79% siderophores (Fig. 1c). The production of siderophores decreased under salt and drought stress, with the strongest decrease observed under water stress induced by 10% and 20% PEG-6000. In contrast, exposure to Cd, phenanthrene and their combinations (S + Hm, S + P, Hm + P, S + Hm + P) resulted in increased siderophore production, reaching 55.22%, 51.18% and 56.21% in the combined treatments.
Effects of single and combined stress on the growth-promoting activities of Pantoea agglomerans strain Pa, (a) phosphate solubilisation (µg mL− 1), (b) IAA production (µg mL− 1) and (c) siderophore production (%). Values are mean ± standard error of three replicates. Different lower-case letters above the bars indicate a significant difference at P ≤ 0.05 according to Tukey’s multiple comparison test.
The effect of Pa inoculation on the growth of wheat under single and in combined stress conditions
Measurement of morphological parameters
Figures 2 and 3 illustrate the effects of Pa stress on the growth of wheat under single and combined stress conditions. All applied stress factors significantly reduced the length of stems and roots compared to the non-stressed, non-inoculated controls (Fig. 2a, b). Combined stresses, especially double, triple and quadruple combinations, had a stronger effect and caused growth inhibition than single stresses. Root and leaf fresh and dry weights were also significantly decreased (Fig. 2c-f). The strongest reductions in plant biomass occurred with combinations of salinity, drought and metal stress, while combinations with pollutants had a comparatively milder effect on above-ground growth.
Pa inoculation promoted root and stem growth and mitigated the negative effects of the various stress factors, both individually and in combination, compared to non-inoculated plants. Especially in the presence of pollutants, Pa significantly increased root length compared to the non-stressed control. Pa treatment also increased both fresh and dry plant weight across all stress levels, with root development showing the clearest response. In particular, fresh weight and dry weight of roots increased significantly under all stress conditions. The pollutants appeared to have minimal negative effects when Pa was applied.
Effect of inoculation with Pantoea agglomerans strain Pa on (a, b) shoot and root length (cm), (c, d) shoot and root fresh weight (g) and (e, f) shoot and root dry weight of wheat plants exposed individually and in combination to different abiotic stress factors compared to non-inoculated plants. Values are means ± standard error of three replicates. Different lower-case letters above the bars indicate significant differences at P ≤ 0.05 according to Tukey’s multiple comparison test.
In planta evaluation of Pa inoculation in wheat plants exposed to various individual and combined abiotic stress factors; (A) salinity stress alone (S) and double combination (S-D, S-M, S-P), (B) drought (D) and double combination (D-S, D-M, D-P), (C) cadmium metal (M) and double combination (M-S, M-D, M-P), (D) phenanthrene pollutant (P) and double combination (P-S, P-D, P-M) and (E) triple and quadruple stress combinations (S-D-M, S-M-P, D-M-P, S-D-P, S-D-M-P) compared to the control of the inoculated (C+) and non-inoculated (C-) plants without stress.
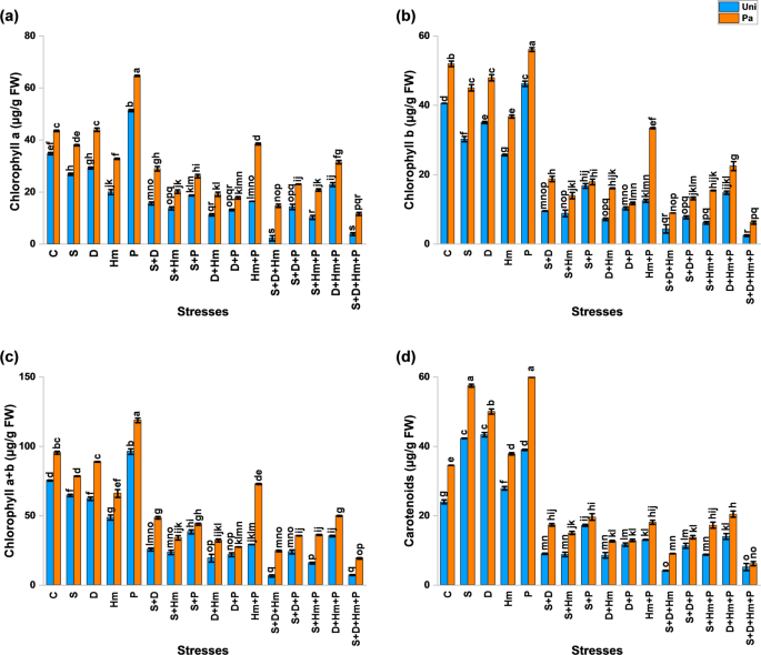
Determination of the chlorophyll content
The results showed that abiotic stress significantly affected the content of chlorophyll a, b, total chlorophyll (a + b) and carotenoids (Fig. 4a–d). Combined stress conditions caused a greater reduction in pigment levels than individual stress factors or the control. Interestingly, a single abiotic stress increased carotenoid content. Pollutant stress (P) alone did not have a negative effect on chlorophyll content and even appeared to act as a stimulant. Inoculation with strain Pa increased chlorophyll and carotenoid content under both normal (C) and stress conditions, with the extent of the increase varying depending on the type of stress. Under combined stress (S + D + Hm), inoculation with Pa resulted in increases of 293.10% (Chl a), 229.05% (Chl b), 273.12% (Chl a + b) and 121.37% (carotenoids) compared to non-inoculated plants under the same conditions.
Effect of inoculation with Pantoea agglomerans strain Pa on (a) chlorophyll a (µg g − 1 FW), (b) chlorophyll b (µg g− 1 FW), (c) chlorophyll a + b (µg g− 1 FW) and (d) carotenoids (µg g− 1 FW) in wheat plants exposed to different abiotic stress factors individually and in combination, compared to non-inoculated plants. Values are means ± standard error of three replicates. Different lower case letters above the bars indicate a significant difference at P ≤ 0.05 according to Tukey’s multiple comparison test.
MDA content
An increase in MDA content (Fig. 5a) was observed in non-inoculated plants exposed to various abiotic stress factors, with the highest values recorded under combined stress conditions. The most significant increases were observed in plants exposed to the S + D, S + Hm, S + D + Hm, D + Hm + P and S + D + Hm + P treatments, indicating greater membrane damage compared to individual stressors. In contrast, inoculation with the Pa strain significantly reduced MDA content under both normal (C) and stress conditions. In particular, reductions of 85.10%, 122.82%, 109.75%, 145.61% and 82.64% were observed under the S + D, S + Hm, S + D + Hm, S + Hm + P and D + Hm + P treatments, respectively, compared to non-inoculated plants under the same conditions.
Electrolytes leakage EL (%)
Electrolyte leakage (EL) was measured to assess cell membrane damage under stress. As shown in Fig. 5b, stressed non-inoculated plants had higher EL values than non-stressed controls, with the highest values under combined stress, especially in the S + D + Hm, S + Hm + P and S + D + Hm + P treatments. In contrast, Pa-inoculated plants showed significantly reduced EL values under both simple and combined stress conditions, emphasising the protective effect of the bacterial treatment. Specifically, EL decreased by 26.13%, 30.26% and 30.79% in Pa-inoculated plants under the D + Hm, S + Hm + P and D + Hm + P treatments, respectively, compared to the non-inoculated plants.
Proline content
Analysis of the proline content of the leaves (Fig. 5c) showed that most stress combinations, especially the combinations of salinity, drought and metal stress, significantly increased intracellular proline synthesis. The highest levels were observed with the combinations S + D + Hm and S + D + HM + P. Inoculation significantly reduced proline accumulation under all conditions, including control, individual and combined stressors. The greatest reductions were observed under the stress combinations S + Hm (35.51%), D + Hm (35.02%) and S + Hm + P (65.24%).
Effect of inoculation with Pantoea agglomerans strain Pa on (a) shoot malondialdehyde (MDA) content (µM g− 1 FW), (b) electrolyte loss (%), (c) shoot proline content (µg g− 1 FW) of wheat plants exposed individually and in combination to different abiotic stress factors compared to non-inoculated plants. Values are means ± standard error of three replicates. Different lower-case letters above the bars indicate a significant difference at P ≤ 0.05 according to Tukey’s multiple comparison test.
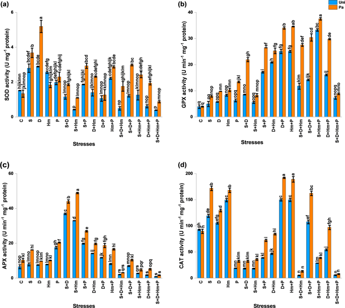
Antioxidant enzymes activities
Wheat plants exposed to individual or combined abiotic stress factors showed different activities of antioxidant enzymes (SOD, CAT, APX, GPX; Figs. 6a-d). SOD activity increased under single stressors but significantly decreased under combined stressors (S + D, S + Hm, S + D + Hm, D + Hm + P, S + D + Hm + P) compared to controls (Fig. 6a). GPX activity increased during both single and combined exercise, with the highest values in the D + P and S + Hm + P treatments (Fig. 6b). APX activity increased under single and double stress (S + D, S + Hm, S + P), but decreased under triple and quadruple stress (S + D + Hm, D + Hm + P, S + D + Hm + P) (Fig. 6c). CAT activity increased under single stress but generally decreased with combined stress, except for the D + P, Hm + P, S + D + P and D + Hm + P treatments (Fig. 6d). Inoculation with Pa increased the activity of all four enzymes under both simple and combined stress, emphasising their role in protection against abiotic stress.
Effect of inoculation with Pantoea agglomerans strain Pa on (a) shoot superoxide dismutase (SOD) activity (U min-1 mg− 1 protein), (b) shoot guaiacol peroxidase (GPX) activity (U min-1 mg− 1 protein), (c) shoot catalase (CAT) activity (U min-1 mg− 1 protein) and (d) shoot ascorbate peptidase (APX) activity (U min-1 mg− 1 protein) of wheat plants exposed to different abiotic stress factors individually and in combination compared to non-inoculated plants. Values are means ± standard error of three replicates. Different lower case letters above the bars indicate a significant difference at P ≤ 0.05 according to Tukey’s multiple comparison test.
Principal component analysis
Principal component analysis (PCA) summarised the relationships between the parameters that influence the growth of wheat under different stress conditions. Morphological and biochemical traits were clustered according to stress type (Fig. 7). Individual stress factors (S, D, Hm, P) clustered according to their specific effects, while combined stress factors caused more pronounced and diverse effects. The most severe conditions were combinations of salt, metal and drought stress. In contrast, stress combinations with pollutants showed milder effects, confirming previous findings that salinity, drought and Cd act together to inhibit growth. In addition, phenanthrene appears to mitigate other stress factors and promote better growth in both inoculated and non-inoculated plants. In the absence of Pa (Fig. 7a), morphological parameters were strongly associated with less stressful conditions, such as the control treatment (C) or some simple stressors. A strong positive correlation was observed between the morphological parameters. However, some correlations, such as that between RL and SFW, were slightly weaker, indicating limited growth under stress. The biochemical parameters, especially chlorophyll pigments, were strongly correlated with each other, but the variability of these parameters increased with stress, indicating coordinated regulation. However, their values decreased under stress. The markers for oxidative stress (MDA, EL, proline) and the antioxidant enzymes (SOD, GPX, CAT, APX) were localised in different areas, indicating less efficient regulation of defence mechanisms. MDA, EL and proline markers showed significant negative correlations with morphological parameters and chlorophyll pigments, suggesting that an increase in oxidative damage impairs growth and photosynthesis. In addition, parameters related to damage (MDA, EL) and oxidative stress (proline, antioxidant enzymes) showed strong correlations under combined stress conditions, suggesting that the negative effects of these stress factors were enhanced. Some antioxidant enzymes, such as GPX and APX, showed weak or negative correlations with morphological and biochemical parameters, suggesting an ineffective oxidative defence response. In contrast, the enzymes SOD and CAT showed moderate to weak correlations with certain morphological parameters, indicating a partial stress response.
In the presence of Pa (Fig. 7b), PCA showed that inoculation significantly altered the relationships between the analysed parameters and the applied treatments. The morphological parameters showed a better correlation with the combined treatments (e.g. S + D, S + Hm, S + D + Hm), suggesting that the strain has effects that promote growth and mitigate the negative effects of stress. Biochemical parameters related to photosynthesis were strongly correlated, indicating a more efficient regulation of defence mechanisms. The reduction in oxidative damage and proline accumulation showed improved stress tolerance, which was supported by a positive modulation of antioxidant enzymes (CAT, APX). These effects enabled better maintenance of growth and photosynthetic activity, even under severe stress conditions. Overall, these results emphasise the potential of using Pa to improve the tolerance of wheat to abiotic stress.
Principal component analysis (PCA) showing the relationships between different abiotic stress treatments, including single (S, D, Hm, P) and combined (S + D, S + Hm, S + P, D + Hm, D + P, Hm + P, S + D + Hm, S + D + P, S + Hm + P, D + Hm + P, S + D + Hm + P) treatments, and wheat responses. The parameters analysed include morphological traits (SL, RL, SFW, RFW, SDW, RDW), photosynthetic pigments (Chl a, Chl b, Chl a + b, Caro), oxidative stress markers (MDA, EL, proline) and antioxidant enzyme activities (SOD, GPX, CAT, APX). (a) stands for non-inoculated plants and (b) for plants inoculated with the Pantoea agglomerans Pa strain.
Discussion
Climate change has increased plants exposure to various abiotic stresses, compromising their growth and productivity. In response to these constraints, PGPB appear to be a promising strategy for enhancing plant resilience. This study evaluated the effectiveness of the strain P. agglomerans Pa in mitigating the effects of MFSC, on wheat growth. The strain exhibited notable physiological plasticity, with plant growth-promoting (PGP) activities varying according to the type and combination of stresses applied.
In this study, strain Pa showed increased phosphate solubilization activity under high salt and water stress, suggesting an induction of phosphatase activity or acidification of the environment related to osmoadaptation, as observed in other halotolerant PGPB. PEG-induced water stress (10–20%) had little impact, indicating good osmotic tolerance. This is important since PGPB promote phosphorus availability under stress via organic acid secretion, supporting key plant functions19 such as chlorophyll synthesis, respiration, and energy transfer. In contrast, high levels of Cd and phenanthrene (200 ppm) inhibited solubilization, possibly by affecting cell growth or organic acid secretion28. Interestingly, low phenanthrene doses (100 ppm) slightly stimulated this activity, suggesting that sub-inhibitory concentrations may induced beneficial adaptive responses29. Stress combinations amplified the negative effects, particularly in the presence of metals, with a marked decrease in solubilization under S + D + Hm + P. This confirmed the deleterious synergy between stress, reported in other studies on multiple interactions30.
IAA, a key phytohormone involved in root growth, was produced in large quantities by Pa and strongly induced under salt and water stress, suggesting adaptive regulation via the tryptophan-dependent IAA biosynthesis pathway. This response likely promotes root development to counteract ionic and osmotic imbalances, reflecting the strain’s osmotic tolerance. IAA enhances plant growth by regulating cell division, tissue differentiation, and lateral root formation, and increases stress resistance by improving nutrient and water uptake7,15,31,32,33. Similar responses under abiotic stress have been reported in other PGPB, supporting the influence of environmental factors on IAA production. In contrast, IAA production was significantly reduced by cadmium and under combined stresses. Cd-induced inhibition is consistent with its cytotoxicity and disruption of secondary metabolism and biosynthetic pathways15,21,34. The marked decrease under severe combinations such as S + D + Hm + P highlights the physiological limits of Pa under MFSC.
The synthesis of siderophores, essential for iron bioavailability and the chelation of toxic metals, was moderately high under normal conditions. It decreased under salt or water stress, probably due to a readjustment of metabolic priorities towards osmotic survival, to the detriment of secondary biosynthesis. However, siderophore synthesis increased under Cd and phenanthrene stress, indicating an adaptive response. Similar trends were observed under metal stress such as cadmium, aluminum, and arsenic12,31. Siderophores are essential for iron absorption, chlorophyll production, and metal toxicity mitigation, thereby promoting plant resistance in contaminated soils22,35,36.
Among the many consequences of abiotic stress on plants, growth inhibition was one of the most marked and critical manifestations. This inhibition resulted in slower development, a significant reduction in biomass, and morphological, physiological, and biochemical alterations. When several abiotic stresses were applied simultaneously, their cumulative effects exacerbated the alterations observed, leading to a more severe decline in growth parameters. For example, the combination of salinity with drought and metal contamination (S + D, S + M, S + D + M and, S + D + M + P) generated an interaction that accentuated the inhibitory effects on plant growth. This synergy resulted from increased disruption of essential physiological processes such as nutrient absorption, photosynthesis, cell division, and elongation8,13.
Numerous studies confirmed that the effects of MFSC were more harmful than those of individual stresses. Khalilpour et al.8, for example, observed more pronounced growth inhibition in Pistacia vera L. under combined salt and water stress than under each stress applied alone. Similarly, Bilal et al.37 reported a significant reduction in growth in Glycine max L. exposed to combined stress involving high temperature, heavy metals, and drought.
Furthermore, soil contamination by heavy metals significantly altered the efficiency of water flow within the plant by inhibiting root elongation and reducing transpiration. These results were consistent with those of Ma et al.38, who observed a decrease in morpho-physiological characteristics in Trifolium arvense subjected to combined metal and drought stress. This type of stress induced a reduction in water uptake, stomatal conductance, transpiration, and a weakened the phytoremediation potential in polluted soils. In addition, contaminated soils often had low water retention capacity and high evaporation rates, exacerbating the thermal and water stresses to which plants were subjected37. Although some of the experimental conditions used in this study differed from those encountered in natural or agricultural environments, they nevertheless illustrated the MFSC in a relevant way. According to this principle, an increase in the number, complexity, and simultaneity of stress factors led to a proportional reduction in seedling growth3,11.
Inoculation with the Pa strain demonstrated remarkable potential for mitigating the deleterious effects of abiotic stress on wheat growth, through a combination of physiological and biochemical mechanisms. This halophilic strain was able to produce auxins even in the presence of NaCl, which stimulated root development and improved the absorption of essential nutrients by plants37,38. At the same time, Pa exhibited several growth-promoting properties, including biological nitrogen fixation, phosphate solubilization, and the production of siderophores and exopolysaccharides (EPS)14,24. These EPS played a key role in salt tolerance by retaining Na⁺ ions outside the roots while maintaining a water film favourable to photosynthetic processes. Another essential mechanism involved the production of ACC deaminase, an enzyme that allowed Pa to metabolize ACC, a precursor of ethylene. By reducing ACC concentration at the root level, Pa lowered stress ethylene production, thereby promoting plant growth under harsh environmental conditions39,40,41,42. This mechanism offered an important adaptive advantage by limiting the catabolic responses of plants in hostile environments.
Regarding heavy metals, Pa appeared to limit the toxicity of cadmium (Cd) via two main strategies: the production of siderophores that complexed metal ions, reducing their bioavailability and translocation to the aerial parts; and the formation of insoluble phosphate complexes with metals, reducing their mobility and toxicity in the soil37,38,43,44. These mechanisms acted in a complementary manner to enhance plant resilience to metal stress. Our results were consistent with those of Ma et al.38, who observed a significant improvement in the growth of field clover (Trifolium arvense L.) inoculated with the multi-resistant endophyte strain Pseudomonas azotoformans ASS1 under drought and multi-metal stress conditions. Fresh and dry biomass gains reached 408% and 433%, respectively, compared to non-inoculated controls. Furthermore, Ozfidan-Konakci et al.22 reported a marked reduction in growth, water content, gas exchange, and photosystem performance in wheat exposed to salinity and arsenic, alone or in combination. However, inoculation with Bacillus pumilus mitigated these effects, maintaining growth, chlorophyll, and hydration levels.
In the context of hydrocarbon contamination, the application of phenanthrene (200 mg kg–1) did not cause any significant disruption to wheat growth, which could be attributed to a sub-lethal dose or to the intrinsic tolerance of certain species such as Triticum aestivum to this pollutant. This tolerance could have resulted from the ability of wheat roots to degrade polycyclic aromatic hydrocarbons (PAHs), as demonstrated in several previous studies45. In addition, inoculation with Pa promoted seedling growth in the presence of phenanthrene, suggesting that this strain was able to utilize this compound as a carbon source and contribute to its biodegradation14. Similar work has revealed the effectiveness of strains such as Pseudarthrobacter sp. L1SW in degrading phenanthrene, not only reducing toxicity to plants but also enriching the soil with beneficial nutrients46. Several studies have suggested that low concentrations of phenanthrene may have a beneficial effect on certain plants through a phenomenon known as hormesis47,48. This hormesis phenomenon, whereby sub-toxic exposures to certain pollutants activate stimulating physiological responses. Soils contaminated with PAHs showed increased root biomass and enhanced rhizospheric microbial activity, highlighting the importance of plant-microorganism interactions in pollutant tolerance and the potential of phytoremediation assisted by multitolerant strains as a sustainable strategy for degraded soil management45.
In non-inoculated wheat plants, exposure to various abiotic stress factors led to a significant decrease in chlorophyll pigment content, particularly under MFSC. These disturbances reflected a profound alteration in chlorophyll metabolism, notably through the inhibition of enzymes involved in its biosynthesis. Salt stress, in particular, induced an accumulation of reactive oxygen species (ROS) responsible for chloroplast membrane peroxidation and pigment oxidation, leading to their accelerated degradation22,23,49. In addition, the activation of catabolic enzymes such as chlorophyllase was also associated with this loss of pigments. Water stress, meanwhile, disrupted cellular water balance, induced stomatal closure, and limited CO₂ assimilation, thereby promoting the production of superoxide radicals through photorespiration50. Combined stresses often led to excessive ROS production, overwhelming antioxidant defenses and accelerating chlorophyll degradation. Additionally, deficiencies in key nutrients like iron and nitrogen, essential cofactors for chlorophyll synthesis, further aggravated this decline. Similar decreases in chlorophyll content have been reported in Triticum aestivum L. and other species such as Oryza sativa L. and Hordeum vulgare L. under salinity, drought, and heavy metal stress8,13,14,50,51,52.
At the same time, carotenoid content showed a significant increase in response to simple abiotic stresses. These compounds, acting as non-enzymatic antioxidants, helped neutralize excess ROS28. However, in the presence of combined stresses, a significant reduction in carotenoid content was observed. This decline could have been attributed to a reallocation of metabolic resources to priority vital functions, to the detriment of secondary metabolite biosynthesis53. This limitation could compromise the effectiveness of oxidative defense mechanisms and alter critical physiological processes, thereby threatening plant survival in stressful environments.
Pa inoculation showed promising results in increasing chlorophyll and carotenoid levels, thereby improving plant tolerance to abiotic stresses. This application triggered beneficial cellular mechanisms, as Pa provided an increased supply of nitrogen and iron, which are essential for chlorophyll synthesis, due to its ability to fix nitrogen and produce siderophores54. PGPB played an important role in maintaining the integrity of chloroplasts and thylakoid membranes, which were essential for photosynthesis8,23. By stimulating the production of photosynthetic pigments, these PGPB increased plant resilience to adverse environmental conditions and protected them from the negative effects of stress. Previous studies showed that PGPB increased the photosynthetic pigment content of plants under stress. For example, inoculation of sorghum (Sorghum bicolor L.) with the strains Streptomyces sp. RA04 and Nocardiopsis sp. RA07 resulted in a significant increase in photosynthetic pigments under cadmium, drought, and high temperature stress compared to non-inoculated plants54. In addition, B. licheniformis showed potential for mitigating the toxic effects of arsenic and cadmium in spinach (Spinacia oleracea L.) and for improving chlorophyll content compared to non-inoculated stressed plants23.
The results showed that the proline content of wheat shoots increased significantly under salt and water stress. This accumulation was even more pronounced under MFSC, particularly under triple stress (S + D + Hm) and quadruple stress (S + D + Hm + P). This suggested an interaction between these stresses that intensified osmotic and oxidative pressures and thus stimulated proline biosynthesis23,28,35,42. Proline was an essential osmoprotectant and antioxidant that stabilized proteins, membranes, and cell structures under stress, and its accumulation was a common adaptive response to environmental challenges. Indeed, studies showed that proline concentration increased with stress intensity. Previous reports suggested that plants that accumulated proline were more resistant to various abiotic stresses50. The synthesis pathways of this compound were regulated by two enzymes, pyrroline carboxylic acid synthetase and pyrroline carboxylic acid reductase.
Proline levels in inoculated plants indicated that inoculation activated stress tolerance mechanisms in wheat. Han and Lee55 observed that inoculation of soybean seeds (Glycine max L.) under saline conditions significantly reduced proline concentration compared to non-inoculated controls. PGPB were known to induce systemic resistance, modulate hormonal balance (increase ABA and auxin), enhance antioxidant activity, and prepare plants to respond better to stress. In addition, inoculation of plants with rhizobacteria containing ACC deaminase, such as the Pa strain, showed a significant decrease in proline concentration under abiotic stress. Numerous studies confirmed these results and showed that inoculation with different bacterial strains also reduced proline accumulation under MFSC13,15,25,42.
The decrease in stress resistance could have been linked to an increase in membrane permeability, often associated with increased solute leakage50. Under unfavorable environmental conditions, plants were known to generate excess ROS, which triggered oxidative stress and compromised cellular function and survival. Malondialdehyde (MDA), a major byproduct of lipid peroxidation, served as a key biomarker of oxidative membrane damage and reflected the extent of ROS-induced cellular injury7,28,38.
In this study, MDA levels increased significantly in wheat leaves subjected to abiotic stress, with the highest accumulation recorded under MFSC. This result indicated a severe disruption of membrane integrity. These findings were consistent with previous studies that reported similar increases in MDA content in non-inoculated Helianthus annuus (sunflower) under metal and salinity stress38, and in Lactuca sativa (lettuce) exposed to a combination of drought, salinity, and aluminum stress56. Likewise, Pacheco-Insausti et al.57 documented elevated oxidative stress in Medicago sativa (alfalfa) exposed to salt and cadmium, evidenced by a higher MDA accumulation compared to plants subjected to individual stress factors.
Electrolyte leakage, another indicator of membrane damage and cellular stress, also increased under both single and combined stress6,15. However, inoculation with the Pa strain significantly reduced electrolyte losses, suggesting that inoculated plants maintained better membrane stability. This stabilization was likely due to reduced lipid peroxidation, as also reported in other studies involving PGPB inoculation under abiotic stress6,50.
The activation of antioxidant enzymes in plants represented a crucial response to abiotic stress, as these enzymes neutralized excess ROS, known to cause major cellular damage. This study showed a differential modulation of enzyme activities depending on the type and combination of stress. In wheat, single stresses generally induced increased SOD, CAT, APX, and GPX activities, reflecting activation of the detoxification system. Numerous studies had shown that SOD constituted the first line of defense against oxidative stress22,49,58.
However, decreased activities under severe combined stresses may reflect a depletion of defense capacities or inhibition of signalling pathways59. APX plays a central role in detoxifying H₂O₂ produced by SOD, via the ascorbate–glutathione cycle. Its increased activity under single and double stresses indicated coordinated antioxidant activation. Conversely, reduced APX activity under triple or quadruple stresses reflected system saturation or disorganization which showed that combined stresses could produce synergistic effects not predictable from individual stress responses60. Catalase, which also degrades H₂O₂, increased under single stress but declined under combinations. This may result from transcriptional regulation or ROS-induced inhibition. GPX, in contrast, remained active even under multiple stresses (D + P and S + Hm + P), suggesting a compensatory role when APX or CAT are overwhelmed, or inhibited. GPX was often more stable and continued to function effectively even under complex stress conditions51.
Inoculation with Pa enhanced the activity of all four enzymes, even under MFSC. This aligned with studies showing that PGPB modulated plant antioxidant responses via systemic resistance or hormonal regulation61,62 as confirmed in Solanum melongena and wheat inoculated with Azotobacter spp.63 and B. pumilus22.
Multifactorial analysis using PCA confirmed that combined abiotic stresses (salinity, drought, cadmium) induced a negative synergy on the morphophysiological and biochemical parameters of wheat, along with an increase in oxidative stress. These results showed that the combination of several stresses aggravated cellular damage compared to isolated stresses, particularly through the excessive accumulation of ROS30. In non-inoculated plants, the weak correlations between the antioxidant enzymes GPX and APX and growth traits indicated a disorganized response, due to an alteration in enzyme regulation under MFSC reflecting a limitation of endogenous tolerance mechanisms62. The moderate effect observed under phenanthrene treatment suggested that, at low doses, certain organic pollutants could activate beneficial signaling pathways47,48, notably by stimulating antioxidant responses or modulating phytohormones. This study demonstrated that Pa potentiated this hormetic effect, which had not been previously reported. Inoculation with Pa significantly strengthened the positive correlations between growth traits, chlorophyll pigments, and antioxidant enzymes (particularly CAT and APX), indicating a more coordinated response. The results demonstrated that PGPB induced systemic resistance, improved redox regulation, and maintained photosynthesis under stress conditions. In addition, PGPB improved antioxidant responses by regulating the expression of genes involved in ROS detoxification61,63. Finally, this analysis highlighted the potential of PGPB as an agricultural adaptation strategy to climate change and supported the use of microbial inoculants to enhance crop resilience in the long term.
Conclusion
The multi-resistant P. agglomerans Pa strain has demonstrated its ability to produce plant growth-promoting substances, even under abiotic stress conditions, either individually or in combination. The results show that this strain has a significant potential to improve the resistance of wheat plants under various abiotic stress conditions. Pa was able to maintain and even enhance its PGP activities in unfavourable environments, contributing to a better adaptation of plants to environmental fluctuations. Inoculation with Pa not only promoted wheat growth under single stress conditions, but also improved plant growth and physiology under combined stress. The responses of morphological and physiological parameters of wheat seedlings varied depending on the type of stress applied, whether single or combined. Our results show that P. agglomerans Pa increases the tolerance of wheat to various abiotic stress factors and thus offers a practical microbial solution for sustainable agriculture. These results open promising perspectives for the use of PGPB in sustainable agriculture, especially in environments exposed to abiotic stress. Further field trials are needed to validate these results and evaluate the sustainability of the benefits of P. agglomerans over multiple cropping cycles. A deeper understanding of this strain and its interactions with different abiotic stress factors requires long-term studies under real conditions as well as genomic and metabolomic analyses. In addition, the development of optimised microbial formulations and the establishment of specific application protocols in agriculture are crucial to maximise the efficacy of these bioinoculants and promote sustainable agriculture in the face of growing environmental challenges. Future research should investigate field-scale efficacy and long-term interactions with the soil microbiome.
Data availability
All data that support the findings of this study are included within the article and there are no any additional supplementary files.
Change history
10 January 2026
The original online version of this Article was revised: In this article the statement in the Funding information section was incorrectly given as “This research received no external funding.” and should have read “This research was supported by institutional funding from the Ministry of Science and Higher Education of Poland (WZ/WB-INL/2/2025).
References
FAO. The Future of Food and Agriculture: Trends and Challenges (FAO, 2017).
Calicioglu, O., Flammini, A., Bracco, S., Bellù, L. & Sims, R. The future challenges of food and agriculture: an integrated analysis of trends and solutions. Sustainability 11 (1), 222. https://doi.org/10.3390/su11010222 (2019).
Pascual, L. S. et al. Jasmonic acid is required for tomato acclimation to multifactorial stress combination. Environ. Exp. Bot. 213, 105425. https://doi.org/10.1016/j.envexpbot.2023.105425 (2023).
Teiba, I. I., El-Bilawy, E. H., Elsheery, N. I. & Rastogi, A. Microbial allies in agriculture: Harnessing plant growth-promoting microorganisms as guardians against biotic and abiotic stresses. Hortic 10 (1), 12. https://doi.org/10.3390/horticulturae10010012 (2023).
Zandalinas, S. I. & Mittler, R. Plant responses to multifactorial stress combination. N Phytol. 234 (4), 1161–1167. https://doi.org/10.1111/nph.18087 (2022).
Ma, Y., Rajkumar, M., Oliveira, R. S., Zhang, C. & Freitas, H. Potential of plant beneficial bacteria and arbuscular mycorrhizal fungi in phytoremediation of metal-contaminated saline soils. J. Hazard. Mater. 379, 120813. https://doi.org/10.1016/j.jhazmat.2019.120813 (2019).
Silambarasan, S., Logeswari, P. & Cornejo, P. Rajesh Kannan, V. Role of plant growth–promoting rhizobacterial consortium in improving the Vigna radiata growth and alleviation of aluminum and drought stresses. Environ. Sci. Pollut Res. 26, 27647–27659. https://doi.org/10.1007/s11356-019-05939-9 (2019).
Khalilpour, M., Mozafari, V. & Abbaszadeh-Dahaji, P. Tolerance to salinity and drought stresses in pistachio (Pistacia Vera L.) seedlings inoculated with Indigenous stress-tolerant PGPR isolates. Sci. Hortic. 289, 110440. https://doi.org/10.1016/j.scienta.2021.110440 (2021).
Ullah, A., Heng, S., Munis, M. F. H., Fahad, S. & Yang, X. Phytoremediation of heavy metals assisted by plant growth promoting (PGP) bacteria: a review. Environ. Exp. Bot. 117, 28–40. https://doi.org/10.1016/j.envexpbot.2015.05.001 (2015).
Shahzad, R. et al. Amelioration of heavy metal stress by endophytic Bacillus amyloliquefaciens RWL-1 in rice by regulating metabolic changes: potential for bacterial bioremediation. Biochem. J. 476.21, 3385–3400. https://doi.org/10.1042/BCJ20190606 (2019).
Sinha, R. et al. The effects of multifactorial stress combination on rice and maize. Plant. Physiol. 194 (3), 1358–1369. https://doi.org/10.1093/plphys/kiad557 (2024).
Ahmadi-Nouraldinvand, F., Sharifi, R. S., Siadat, S. A. & Khalilzadeh, R. Reduction of salinity stress in wheat through seed bio-priming with mycorrhiza and growth-promoting bacteria and its effect on physiological traits and plant antioxidant activity with silicon nanoparticles application. Silicon 15, 6813–6824. https://doi.org/10.1007/s12633-023-02552-x (2023).
Kerbab, S. et al. Mitigation of NaCl stress in wheat by rhizosphere engineering using salt habitat-adapted PGPR halotolerant bacteria. Appl. Sci. 11, 1034. https://doi.org/10.3390/app11031034 (2021).
Cherif-Silini, H. et al. Durum wheat stress tolerance induced by endophyte Pantoea agglomerans with genes contributing to plant functions and secondary metabolite arsenal. Int. J. Mol. Sci. 20, 3989. https://doi.org/10.3390/ijms20163989 (2019).
AL-Shwaiman, H. A., Shahid, M., Elgorban, A. M., Siddique, K. H. M. & Syed, A. Beijerinckia fluminensis BFC-33, a novel multi-stress-tolerant soil bacterium: Deciphering the stress amelioration, phytopathogenic Inhibition and growth promotion in Triticum aestivum (L). Chemosphere 295, 133843. https://doi.org/10.1016/j.chemosphere.2022.133843 (2022).
Kapoor, D. et al. The impact of drought in plant metabolism: how to exploit tolerance mechanisms to increase crop production. Appl. Sci. 10, 5692. https://doi.org/10.3390/app10165692 (2020).
Ali, B. et al. Role of endophytic bacteria in salinity stress amelioration by physiological and molecular mechanisms of defense: a comprehensive review. South. Afr. J. Bot. 151, 33–46. https://doi.org/10.1016/j.sajb.2022.09.036 (2022).
Bouremani, N. et al. Plant growth-promoting rhizobacteria (PGPR): a rampart against the adverse effects of drought stress. Water 15, 418. https://doi.org/10.3390/w15030418 (2023).
Ortega-Urquieta, M. E. et al. Draft genome sequence of Priestia sp. strain TSO9, a plant growth-promoting bacterium associated with wheat (Triticum turgidum subsp. durum) in the Yaqui Valley. Mexico Plants. 11 (17), 2231. https://doi.org/10.3390/plants11172231 (2022).
Ansari, F. A., Jabeen, M. & Ahmad, I. Pseudomonas azotoformans FAP5, a novel biofilm-forming PGPR strain, alleviates drought stress in wheat plant. Int. J. Environ. Sci. Technol. 18, 3855–3870. https://doi.org/10.1007/s13762-020-03045-9 (2021).
Singh, D. et al. Deciphering the mechanisms of microbe-mediated drought stress alleviation in wheat. Acta Physiol. Plant. 45, 81. https://doi.org/10.1007/s11738-023-03562-3 (2023).
Ozfidan-Konakci, C. et al. Halotolerant plant growth-promoting bacteria, Bacillus pumilus, modulates water status, chlorophyll fluorescence kinetics and antioxidant balance in salt and/or arsenic-exposed wheat. Environ. Res. 231, 116089. https://doi.org/10.1016/j.envres.2023.116089 (2023).
Asif, M. et al. Combination of melatonin and plant growth promoting rhizobacteria improved the growth of Spinacia Oleracea L. under the arsenic and cadmium stresses. Physiol. Mol. Plant. Pathol. 127, 102097. https://doi.org/10.1016/j.pmpp.2023.102097 (2023).
Saadaoui, N. et al. Semi-arid-habitat-adapted plant-growth-promoting rhizobacteria allows efficient wheat growth promotion. Agronomy 12, 2221. https://doi.org/10.3390/agronomy12092221 (2022).
Bouremani, N. et al. Osmotolerant plant growth promoting bacteria mitigate adverse effects of drought stress on wheat growth. AIMS Microbiol. 10 (3), 507. https://doi.org/10.3934/microbiol.2024025 (2024).
Cherif-Silini, H., Silini, A., Ghoul, M. & Yadav, S. Isolation and characterization of plant growth-promoting traits of a rhizobacteria: Pantoea agglomerans lma2. Pak J. Biol. Sci. 15, 267–276. https://doi.org/10.3923/pjbs.2012.267.276 (2012).
Rabhi, N. E. H. et al. Alleviation of salt stress via Habitat-Adapted symbiosis. Forests 13, 586. https://doi.org/10.3390/f13040586 (2019).
Haroon, U., Munis, M. F. H., Liaquat, F., Elahi, M. & Chaudhary, H. J. Biofilm formation and flocculation potential analysis of halotolerant Bacillus tequilensis and its inoculation in soil to mitigate salinity stress of Chickpea. Physiol. Mol. Biol. Plants. 29, 277–288. https://doi.org/10.1007/s12298-023-01280-1 (2023).
Calabrese, E. J. & Agathokleous, E. Accumulator plants and hormesis. Environ. Pollution. 274, 116526. https://doi.org/10.1016/j.envpol.2021.116526 (2021).
Zandalinas, S. I., Mittler, R., Balfagón, D., Arbona, V. & Gómez-Cadenas, A. Plant adaptations to the combination of drought and high temperatures. Physiol. Pantarum 162 (1), 2–12. https://doi.org/10.1111/ppl.12540 (2021).
Madline, A., Benidire, L. & Boularbah, A. Alleviation of salinity and metal stress using plant growth-promoting rhizobacteria isolated from semiarid Moroccan copper-mine soils. Environ. Sci. Pollut Res. 28, 67185–67202. https://doi.org/10.1007/s11356-021-15168-8 (2021).
Pramanik, K. et al. Unraveling the heavy metal resistance and biocontrol potential of Pseudomonas sp. K32 strain facilitating rice seedling growth under cd stress. Chemosphere 274, 129819. https://doi.org/10.1016/j.chemosphere.129819 (2021).
Karthik, C. & Arulselvi, P. I. Biotoxic effect of chromium (VI) on plant growth-promoting traits of novel Cellulosimicrobium Funkei strain AR8 isolated from Phaseolus vulgaris rhizosphere. Geomicrobiol. J. 34, 434–442. https://doi.org/10.1080/01490451.2016.1219429 (2017).
Cherif-Silini, H. et al. Tailoring next-generation plant growth-promoting microorganisms as versatile tools beyond soil desalinization: a road map towards field application. Sustainability 13, 4422. https://doi.org/10.3390/su13084422 (2021).
Kazerooni, E. A. et al. Rhizospheric Bacillus amyloliquefaciens protects Capsicum annuum cv. Geumsugangsan from multiple abiotic stresses via multifarious plant growth-promoting attributes. Front. Plant. Sci. 12, 669693. https://doi.org/10.3389/fpls.2021.669693 (2021).
Yadav, G. et al. Functional insight of siderophore in reducing cadmium stress and inducing growth promotion in Solanum melongena. South. Afr. J. Bot. 158, 479–494. https://doi.org/10.1016/j.sajb.2023.05.032 (2023).
Bilal, S. et al. Synergistic association of endophytic fungi enhances Glycine max L. resilience to combined abiotic stresses: heavy metals, high temperature, and drought stress. Ind. Crops Prod. 143, 111931. https://doi.org/10.1016/j.indcrop.2019.111931 (2020).
Ma, Y., Rajkumar, M., António, A., Zhang, C. & Freitas, H. Serpentine endophytic bacterium Pseudomonas azotoformans ASS1 accelerates phytoremediation of soil metals under drought stress. Chemosphere 185, 75–85. https://doi.org/10.1016/j.chemosphere.2017.06.135 (2017).
Glick, B. R., Jacobson, C. B., Schwarze, M. M. K. & Pasternak, J. J. Does the enzyme 1-aminocyclopropane-1-carboxylate deaminase play a role in plant growth-promotion by Pseudomonas Putida GR12-2? Improving plant. Productivity Rhizosphere Bacteria. 40 (11), 911–915. https://doi.org/10.1139/m94-146 (1994).
Glick, B. R., Penrose, D. M. & Li, J. A model for the Lowering of plant ethylene concentrations by plant growth-promoting bacteria. J. Theor. Biol. 190, 63–68. https://doi.org/10.1006/jtbi.1997.0532 (1998).
Zarei, T., Moradi, A., Kazemeini, S. A., Akhgar, A. & &Rahi, A. A. The role of ACC deaminase producing bacteria in improving sweet corn (Zea Mays L. var saccharata) productivity under limited availability of irrigation water. Sci. Rep. 10, 20361. https://doi.org/10.1038/s41598-020-77305-6 (2020).
Li, X., Sun, P., Zhang, Y., Jin, C. & Guan, C. A novel PGPR strain Kocuria rhizophila Y1 enhances salt stress tolerance in maize by regulating phytohormone levels, nutrient acquisition, redox potential, ion homeostasis, photosynthetic capacity, and stress-responsive gene expression. Environ. Exp. Bot. 174, 104023. https://doi.org/10.1016/j.envexpbot.2020.104023 (2020).
Khan, A. et al. Silicon-mediated alleviation of combined salinity and cadmium stress in date palm (Phoenix dactylifera L.) by regulating physio-hormonal alteration. Ecotoxicol. Environ. Saf. 188, 109885. https://doi.org/10.1016/j.ecoenv.2019.109885 (2020).
Etesami, H. Bacterial mediated alleviation of heavy metal stress and decreased accumulation of metals in plant tissues: mechanisms and future prospects. Ecotoxicol. Environ. Saf. 147, 175–191. https://doi.org/10.1016/j.ecoenv.2017.08.032 (2018).
Urana, R., Singh, N. & Sharma, P. Effects of PGPR on growth and photosynthetic pigment of trigonella foenum-graceum and brassica juncea in PAH-contaminated soil. SN Appl. Sci. 1, 761. https://doi.org/10.1007/s42452-019-0780-1 (2019).
Li, J. et al. Identification of an efficient phenanthrene-degrading Pseudarthrobacter sp. L1SW and characterization of its metabolites and catabolic pathway. J. Hazard. Mater. 465, 133138. https://doi.org/10.1016/j.jhazmat.2023.133138 (2024).
Liste, H. H. & Prutz, I. Plant performance, dioxygenase-expressing rhizosphere bacteria, and biodegradation of PAHs in the rhizosphere. Chemosphere 62 (9), 1411–1420. https://doi.org/10.1016/j.chemosphere.2005.05.018 (2006).
Agathokleous, E. The rise and fall of photosynthesis: hormetic dose response in plants. J. Res. 32 (2), 889–898. https://doi.org/10.1007/s11676-020-01252-1 (2021).
Bruno, L. B. et al. Enhanced phytoextraction of multi-metal contaminated soils under increased atmospheric temperature by bioaugmentation with plant growth promoting Bacillus cereus. J. Environ. Manag. 289, 112553. https://doi.org/10.1016/j.jenvman.2021.112553 (2021).
Elsheery, N. I. et al. Physiological and molecular mechanisms of salinity tolerance in grafted cucumber. South. Afr. J. Bot. 130, 90–102. https://doi.org/10.1016/j.sajb.2019.12.014 (2020).
Wang, G. et al. The combined use of a plant growth promoting Bacillus sp. strain and GABA promotes the growth of rice under salt stress by regulating antioxidant enzyme system, enhancing photosynthesis and improving soil enzyme activities. Microbiol. Res. 266, 127225. https://doi.org/10.1016/j.micres.2022.127225 (2023).
Ma, J. et al. Bacillus mycoides PM35 in combination with titanium dioxide (TiO2) nanoparticles enhanced morpho-physio-biochemical attributes in hordeum vulgare L. under cadmium stress. Chemosphere 323, 138224. https://doi.org/10.1016/j.chemosphere.2023.138224 (2023).
Ashraf, M. & Harris, P. J. C. Photosynthesis under stressful environments: an overview. Photosynthetica 51, 163–190. https://doi.org/10.1007/s11099-013-0021-6 (2013).
Silambarasan, S., Logeswari, P., Vangnai, A. S., Kamaraj, B. & Cornejo, P. Plant growth-promoting actinobacterial inoculant assisted phytoremediation increases cadmium uptake in Sorghum bicolor under drought and heat stresses. Environ. Pollut. 307, 119489. https://doi.org/10.1016/j.envpol.2022.119489 (2022).
Han, H. S. & Lee, K. D. Physiological responses of soybean - inoculation of Bradyrhizobium Japonicum with PGPR in saline soil conditions. Res. J. Agric. Biol. Sci. 1 (3), 216–221 (2005).
Silambarasan, S., Logeswari, P., Cornejo, P., Abraham, J. & Valentine, A. Simultaneous mitigation of aluminum, salinity and drought stress in Lactuca sativa growth via formulated plant growth promoting Rhodotorula mucilaginosa CAM4. Ecotoxicol. Environ. Saf. 180, 63–72. https://doi.org/10.1016/j.ecoenv.2019.05.006 (2019).
Pacheco-Insausti, M. C., Ponce, I. T., Quiñones, M. A., Pedranzani, H. E. & Pueyo, J. J. Effects of inoculation with stress-Tolerant rhizobia on the response of alfalfa (Medicago sativa L.) to combined salinity and cadmium stress. Plants (Basel). 12 (23), 3972. https://doi.org/10.3390/plants12233972 (2023).
Elsheery, N. I. et al. 5-Aminolevulinic acid (ALA) reduces arsenic toxicity stress in wheat (Triticum aestivum L). J. Plant. Growth Reg. 42 (6), 3303–3322. https://doi.org/10.1007/s00344-022-10791-2 (2023).
Patel, M., Vurukonda, S. S. K. P. & Patel, A. Multi-trait halotolerant plant growth-promoting bacteria mitigate induced salt stress and enhance growth of Amaranthus viridis. J. Soil. Sci. Plant. Nutr. 23, 1860–1883. https://doi.org/10.1007/s42729-023-01143-4 (2023).
Sharma, P. et al. Reactive oxygen species, oxidative damage, and antioxidative defense mechanism in plants under stressful conditions. J. Bot. https://doi.org/10.1155/2012/217037 (2012).
Vurukonda, S. S. K. P., Vardharajula, S., Shrivastava, M. & SkZ, A. Enhancement of drought stress tolerance in crops by plant growth promoting rhizobacteria. Microbiol. Res. 184, 13–24. https://doi.org/10.1016/j.micres.2015.12.003 (2016).
Hasanuzzaman, M. et al. Reactive oxygen species and antioxidant defense in plants under abiotic stress: revisiting the crucial role of a universal defense regulator. Antioxidants 9 (8), 681. https://doi.org/10.3390/antiox9080681 (2020).
Kiran, S., Furtana, B. G. & Ellialtioglu, Ş. Şebnem physiological and biochemical assay of drought stress responses in eggplant (Solanum melongena L.) inoculated with commercial inoculant of Azotobacter Chroococum and Azotobacter vinelandii. Sci. Hortic. 305, 111394. https://doi.org/10.1016/j.scienta.2022.111394 (2022).
Acknowledgements
The study is supported by the Algerian Ministry of Higher Education and Scientific Research.
Funding
This research was supported by institutional funding from the Ministry of Science and Higher Education of Poland (WZ/WB-INL/2/2025).
Author information
Authors and Affiliations
Contributions
Author Contributions: Conceived and designed the experiments: N.B., H.CS., and A.S. Performed the experiments: N.B., N.S., A.S., and H.CS. Analyzed the data: N.B., H.CS., A.B., and A.S. Wrote and enriched the literature: NB, H.CS., S.Ł. Read and review the manuscript: H.CS, T.O., M.J. and A.S. All authors read and approved the final manuscript.
Corresponding author
Ethics declarations
Competing interests
The authors declare no competing interests.
Additional information
Publisher’s note
Springer Nature remains neutral with regard to jurisdictional claims in published maps and institutional affiliations.
Rights and permissions
Open Access This article is licensed under a Creative Commons Attribution-NonCommercial-NoDerivatives 4.0 International License, which permits any non-commercial use, sharing, distribution and reproduction in any medium or format, as long as you give appropriate credit to the original author(s) and the source, provide a link to the Creative Commons licence, and indicate if you modified the licensed material. You do not have permission under this licence to share adapted material derived from this article or parts of it. The images or other third party material in this article are included in the article’s Creative Commons licence, unless indicated otherwise in a credit line to the material. If material is not included in the article’s Creative Commons licence and your intended use is not permitted by statutory regulation or exceeds the permitted use, you will need to obtain permission directly from the copyright holder. To view a copy of this licence, visit http://creativecommons.org/licenses/by-nc-nd/4.0/.
About this article
Cite this article
Bouremani, N., Saadaoui, N., Silini, A. et al. Improvement of durum wheat growth under combined abiotic stresses by multitolerant strain of Pantoea agglomerans for sustainable agricultural approach. Sci Rep 15, 38398 (2025). https://doi.org/10.1038/s41598-025-22257-y
Received:
Accepted:
Published:
Version of record:
DOI: https://doi.org/10.1038/s41598-025-22257-y









