Abstract
The water use of desert vegetation is a critical component of ecohydrological processes in arid regions, with groundwater and soil water serving as the primary moisture sources. To better understand the effects of ecological water conveyance on the water sources of desert vegetation, this study employed hydrogen and oxygen stable isotope techniques combined with the Bayesian mixing (MixSIAR) model to analyze changes in water uptake sources of Populus euphratica (of different ages) under varying groundwater depths during ecological water conveyance and non-conveyance periods. The results indicate: (1) The δ18O and δ2H values of soil water decreased during the water conveyance period compared to the non-conveyance period, gradually increased with distance from the riverbank, and decreased with soil depth. The δ18O and δ2H values of xylem water increased during the water conveyance period, with the highest values observed in young trees, followed by mature trees, and the lowest in intermediate-aged trees. The δ18O and δ2H values of groundwater decreased during the water conveyance period and declined with increasing distance from the riverbank. (2) During the water conveyance period (groundwater depth: 1.95–4.73 m), the primary water sources for P. euphratica of different ages were groundwater, river water, and deep soil water, with the maximum utilization proportion of groundwater reaching 23.1%. During the non-conveyance period (groundwater depth: 4.13–6.26 m), the main water sources shifted to groundwater and deep soil water, with the maximum groundwater utilization proportion dropping to 19.9%. As groundwater depth increased, mature trees exhibited the highest reliance on groundwater, followed by intermediate-aged trees, while young trees showed the lowest dependency. (3) The utilization proportion of soil water by P. euphratica increased with higher soil moisture and clay content but decreased with greater groundwater depth. Elevated soil salinity significantly inhibited water absorption by P. euphratica. This study elucidates the adaptive water use strategies of P. euphratica under fluctuating groundwater conditions during ecological water conveyance and non-conveyance periods, providing theoretical support for the ecological restoration of desert riparian forests in the lower Tarim River Basin.
Similar content being viewed by others
Introduction
Desert riparian forests serve as natural barriers for maintaining oasis ecological security, with water availability being a critical limiting factor for desert vegetation growth1,2. Plant water use is a vital component of the hydrological cycle in arid regions. Under the combined effects of global warming and human activities, the lower reaches of the Tarim River have experienced a shortage of surface water resources, a decline in groundwater levels, and drought stress on Populus euphratica in the downstream areas. However, since the implementation of the national ecological water conveyance project, the downstream P. euphratica communities have gradually recovered. Analyzing water sources of desert vegetation under ecological water conveyance is essential for providing theoretical foundations for the ecological restoration of P. euphratica in this region.
Hydrogen and oxygen stable isotope techniques, by comparing the isotopic composition of xylem water and potential water sources, enable precise identification of plant water uptake origins3,4. Compared to traditional methods such as whole-root excavation, sap flow measurement, and plant water potential analysis, stable isotope techniques minimize damage to plants and improve quantification accuracy5,6. These techniques have been widely applied in plant water source studies. For instance, isotopic tracing reveals that deep-rooted plants shift their water uptake from shallow to deep soil layers during different growth stages, a process closely linked to root distribution7,8. In arid regions, plants predominantly utilize shallow soil water during wet seasons and switch to deep soil water in dry seasons, exhibiting distinct seasonal patterns9. Under extreme drought conditions, clarifying water use strategies of desert vegetation has become a research focus. Shallow-rooted herbaceous plants primarily rely on shallow soil water despite their ability to exploit small rainfall events10. Shrubs can access water from soil layers at depths of 20 ~ 150 cm, with soil moisture serving as their primary water source11. Those with deeper vertical root systems exhibit greater water extraction depths, while demonstrating distinct variations in moisture utilization patterns from deep-layer soil and precipitation under different water conveyance contexts12,13. Trees with extensive root systems predominantly absorb deep soil water during droughts but shift to shallow and middle soil layers in rainy seasons14. Persistent rainfall reduces their reliance on deep soil water15, highlighting the influence of root distribution on water uptake. As a dominant tree species in desert riparian forests, P. euphratica can access groundwater through its roots. Its water uptake shifts from single soil layers to groundwater and deep soil water as groundwater depth increases16. Under drought stress, mature and overmature P. euphratica primarily rely on deep soil water and groundwater, while seedlings fail to survive17.
Studies have shown that plant water use strategies vary with growth stages, seasons, and vegetation types, with root distribution, groundwater depth, and growing seasons being key influencing factors18. Existing research on P. euphratica has focused on age and groundwater depth but lacks clarity on how ecological water conveyance alters its water use patterns in the lower Tarim River. The degradation of P. euphratica communities in this region has exacerbated sandstorm disasters and threatened oasis ecological security19,20. The ecological water conveyance project has promoted forest recovery, making it imperative to analyze its impact on water use strategies of P. euphratica across ages under varying groundwater depths.
This study integrates hydrogen and oxygen stable isotope techniques with the MixSIAR model to investigate differences in water uptake sources of P. euphratica (of varying ages) under ecological water conveyance and groundwater depth gradients in the lower Tarim River Basin. The objectives are threefold: (1) To elucidate variations in δ18O and δ2H signatures of potential water sources during water conveyance and non-conveyance periods. (2) To identify dominant water uptake layers and quantify their proportional contributions to P. euphratica of different ages under varying groundwater depths during conveyance and non-conveyance phases. (3) To assess the influence of groundwater depth, soil moisture, soil salinity, and soil texture on water uptake patterns of P. euphratica. This research contributes to promoting the ecological restoration of P. euphratica forests in the lower Tarim River basin and is of great significance for understanding regional eco-hydrological processes.
Materials and methods
Study area
The study area is located at the Kunaste (40°26′46.2″ N, 87°51′48.9″ E) and Yingsu (40°25′54.9″ N, 87°56′26.0″ E) sections in the lower Tarim River Basin (Fig. 1), characterized by a typical warm temperate continental arid climate. The mean annual precipitation is less than 15 mm, with an average temperature of 9–11 °C and a potential annual evaporation of 2500–3000 mm. The Daxihaizi Reservoir delivers ecological water to the lower Tarim River twice annually: from April to May in the first half of the year and from August to September in the second half.
Overview of the study area. (Note: Generated by Xiaoqing Jiang using ArcMap 10.7 (Version: ArcMap 10.7, URL: https://desktop.arcgis.com.)
The plant community is dominated by Populus euphratica, Tamarix ramosissima, Haloxylon ammodendron, Nitraria tangutorum, Glycyrrhiza uralensis, and Karelinia caspia. P. euphratica forests are distributed along both riverbanks, but only middle-aged and old-growth trees survive in areas distant from the river channel.
Plot establishment and sample collection/processing
Fieldwork was conducted during the water conveyance period (26–28 September 2023) and non-conveyance period (5–7 July 2024). Based on the distribution of groundwater monitoring wells, six sampling plots were established at the Kunaste and Yingsu sections, with distances of 0–5 m, 200–210 m, 400–410 m (Kunaste) and 0–5 m, 800–810 m, 2990–3000 m (Yingsu) from the river channel.
Sample tree selection
A total of 48 Populus euphratica trees were selected across all plots, including 12 young trees, 18 intermediate-aged trees, and 18 mature trees. For each stand age class (young, intermediate-aged, mature) within a plot, three replicates were established. Basic information of the sample trees is summarized in Table 1.
Soil sample collection
Adjacent to the sample trees, soil samples were collected using a 5 cm diameter auger. Sampling was conducted at 20 cm intervals from the surface to a depth of 200 cm, with two replicates per layer. In riverside plots, sampling extended to the phreatic layer. A total of 135 soil samples were collected. One portion was sealed in vials with Parafilm and stored at − 20 °C for soil water extraction and stable isotope analysis. The other portion was placed in aluminum boxes, immediately weighed for wet mass determination, and transported to the laboratory for soil moisture content measurement.
Plant sample collection
Plant samples were collected from the selected Populus euphratica trees. To minimize evaporation effects, sampling occurred between 08:00 and 10:00 (Beijing Time, UTC + 8). Non-green suberized branches (3–5 cm in length) free from pests and human disturbance were excised using pruning shears. After rapid removal of phloem tissues, samples were sealed in vials with Parafilm, stored in portable freezers, and transported to the laboratory. A total of 16 plant samples were collected, each with three replicates.
River and groundwater sample collection
River water samples (2 sets) were collected from the channel near the plots. Groundwater samples (12 sets) were obtained from monitoring wells surrounding the plots. Prior to collection, vials were rinsed 2–3 times with the target water. Samples were filled to capacity, sealed with Parafilm, and duplicated. In the laboratory, water samples were filtered through 0.45 μm cellulose acetate membranes, transferred to 1.5-ml vials, and stored at 2 °C for subsequent analysis.
Research methods
Water extraction and hydrogen-oxygen stable isotope analysis
Water extraction and stable isotope analysis of hydrogen (δ2H) and oxygen (δ18O) for all potential water sources were conducted at Xinjiang Laboratory of Lake Environment and Resources in Arid Zone. Prior to isotopic analysis, all water samples were filtered through 0.45 μm cellulose acetate membranes. Plant and soil water were extracted using a fully automated vacuum cryogenic distillation system (LI-2100, LICA, Beijing, China). The δ18O and δ2H compositions were measured with a liquid water isotope analyzer (LGR DLI-100, Los Gatos Research, Mountain View, USA). Isotopic values were calibrated using the correction curve established by Schultz21. The measured δ18O and δ2H values are reported as per mil (‰) deviations relative to the Vienna Standard Mean Ocean Water (V-SMOW) standard:
where \(\:{R}_{\text{s}\text{a}\text{m}\text{p}\text{l}\text{e}}\) is the isotope ratio of the water sample, and \(\:{R}_{\text{s}\text{t}\text{a}\text{n}\text{d}\text{a}\text{r}\text{d}}\) is the isotope ratio of the reference standard (V-SMOW). The analytical precision (1σ) for δ18O and δ2H measurements is 0.15‰ and 0.5‰, respectively.
MixSIAR model and uncertainty analysis
The Bayesian mixing model MixSIAR, implemented as an R package, was used to quantify the proportional contributions of potential water sources to plant xylem water. Prior to accepting model outputs, convergence diagnostics (Gelman-Rubin and Geweke tests) were performed. Model convergence was confirmed when: Geweke diagnostics showed < 5% of iterations outside the 95% confidence interval (± 1.96), Gelman-Rubin potential scale reduction factors (PSRF) approached 1.0 (all < 1.01)22,23. In this study, Markov Chain Monte Carlo (MCMC) chains were set to “extreme” mode to ensure convergence.
Model performance was evaluated using the root mean square error (RMSE)24,25, calculated as:
where \(\:{\text{p}}_{\text{i}}\) is the predicted value of plant xylem water isotope ratios, \(\:\text{n}\) indicates the number of plant water sources, \(\:\text{i}\) is the plant water source, \(\:{\text{f}}_{\text{i}}\)is the contribution ratio of the ith source calculated using the model; \(\:{{\updelta\:}}_{\text{A}}\) is the isotope value of each potential water source; \(\:{\text{o}}_{\text{i}}\) and is the observed value of plant xylem water isotope ratios.
Soil texture, moisture content, and salinity measurements
Soil particle size distribution was determined using a Malvern Mastersizer 2000 laser diffraction analyzer (Malvern Panalytical, UK), with three replicates per sample. The measurement range spanned 0.02–2000 μm, and mean values were calculated. Particle size parameters were derived using the Folk-Ward equations in GRADISTAT software, and results were classified using the Wentworth scale26,27.
Soil moisture content was measured gravimetrically by oven-drying fresh samples at 105 °C for 24 h until constant weight. Soil salinity was quantified as electrical conductivity (EC) using a Multi 3420 Set B conductivity meter (WTW GmbH, Germany).
Results
Variation characteristics of groundwater depth and stable isotopes in different water bodies
Variation characteristics of groundwater depth during water conveyance and non-conveyance periods
As shown in Fig. 2, groundwater depth dynamics at the Kunaste and Yingsu sections exhibit pronounced responses to water conveyance operations. At Kunaste, depths range from 1.95 ~ 4.73 m during water conveyance periods but increase to 4.90 ~ 6.26 m in water non-conveyance periods, demonstrating progressive deepening with increasing distance from the riverbank. Similarly, the Yingsu section shows depths of 2.10 ~ 5.18 m under water conveyance and 4.13 ~ 5.67 m during water non-conveyance periods, likewise exhibiting distance-dependent amplification. Comparative analysis indicates that groundwater depth at the Yingsu section is moderately more responsive to ecological water conveyance than at Kunaste, with an overall variation amplitude of approximately 1.17 ± 0.95 m across the study area.
Changes in groundwater depth during water conveyance and non-conveyance periods. (Note: Empty box means that no effective depth to groundwater was measured at that point)
Variation characteristics of soil water isotopic composition
As shown in Fig. 3, soil water δ18O and δ2H values generally decreased with increasing soil depth, with significant isotopic variability observed in the 0–120 cm soil layer. During the water conveyance period, soil water δ18O and δ2H ranged from − 12.09‰ to 0.46‰ and − 74.5‰ to −31.6‰, respectively, while during the non-conveyance period, the ranges shifted from − 10.93‰ to 1.87‰ (δ18O) and − 73.5‰ to −37.3‰ (δ2H).
Temporal and spatial variations in soil water δ18O and δ2H values. (Note: Soil water extraction failed at Yingsu Plot 2 due to low soil moisture content)
Spatially, in the Kunaste section during the conveyance period, δ18O and δ2H values for Plots 1, 2, and 3 were − 14.19‰ to −1.01‰ and − 74.9‰ to −39.2‰, −11.51‰ to −1.55‰ and − 71.0‰ to −31.4‰, −6.42‰ to 0.46‰ and − 66.4‰ to −54.0‰, respectively. During the non-conveyance period, values shifted from − 9.67‰ to −0.93‰ (δ18O) and − 74.0‰ to −50.8‰ (δ2H) for Plot 1, −8.09‰ to 1.87‰ (δ18O) and − 62.9‰ to −37.3‰ (δ2H) for Plot 2, and − 8.27‰ to 0.81‰ (δ18O) and − 61.5‰ to −42.1‰ (δ2H) for Plot 3.
In the Yingsu section during the conveyance period, δ18O and δ2H ranges were − 13.20‰ to 5.25‰ and − 70.6‰ to −32.9‰ (Plot 1) and − 14.09‰ to −7.36‰ and − 75.8‰ to −32.1‰ (Plot 3). During the non-conveyance period, values were − 12.52‰ to 0.31‰ (δ18O) and − 78.4‰ to −40.8‰ (δ2H) for Plot 1 and − 12.73‰ to 1.60‰ (δ18O) and − 74.9‰ to −45.8‰ (δ2H) for Plot 3.
These results demonstrate that soil water δ18O and δ2H values in both the Kunaste and Yingsu sections increased with distance from the riverbank, and isotopic compositions were more enriched during the non-conveyance period compared to the conveyance period.
Variation characteristics of xylem water isotopic composition
As shown in Fig. 4, in the Kunaste section during the water conveyance period, δ18O and δ2H ranges for young trees, intermediate-aged, and mature P. euphratica were − 15.74‰ to −10.06‰ and − 35.3‰ to −10.1‰, −18.57‰ to −10.86‰ and − 46.2‰ to −20.7‰, and − 17.02‰ to −5.27‰ and − 38.1‰ to −24.6‰, respectively. During the non-conveyance period, these ranges shifted from − 15.91‰ to −8.99‰ (δ18O) and − 48.3‰ to −35.3‰ (δ2H) for young trees, −16.34‰ to −6.92‰ (δ18O) and − 58.8‰ to −39.5‰ (δ2H) for intermediate-aged trees, and − 17.79‰ to −8.66‰ (δ18O) and − 55.6‰ to −48.9‰ (δ2H) for mature trees.
Variation of xylem water δ18O and δ2H values in Populus euphratica of different ages.
In the Yingsu section during the conveyance period, δ18O and δ2H values ranged from − 16.57‰ to −10.99‰ (δ18O) and − 36.3‰ to −28.1‰ (δ2H) for young trees, −14.87‰ to −8.12‰ (δ18O) and − 32.4‰ to −16.5‰ (δ2H) for intermediate-aged trees, and − 19.15‰ to −9.81‰ (δ18O) and − 57.0‰ to −27.1‰ (δ2H) for mature trees. During the non-conveyance period, values were − 15.71‰ to −10.47‰ (δ18O) and − 62.6‰ to −53.2‰ (δ2H) for young trees, −19.42‰ to −7.17‰ (δ18O) and − 55.9‰ to −48.8‰ (δ2H) for intermediate-aged trees, and − 22.47‰ to −8.80‰ (δ18O) and − 66.8‰ to −44.2‰ (δ2H) for mature trees.
These results indicate that xylem water isotopic compositions were more enriched during the conveyance period compared to the non-conveyance period. Spatially, δ18O and δ2H values generally decreased with increasing distance from the riverbank. Ecological water conveyance exerted strong effects on the isotopic signatures of xylem water in P. euphratica across different stand ages.
Variation characteristics of groundwater isotopic composition
As shown in Fig. 5, ecological water conveyance significantly altered groundwater isotopic composition. In the Kunaste section during the conveyance period, groundwater δ18O and δ2H ranged from − 9.81‰ to −9.23‰ and − 32.7‰ to −27.7‰, respectively, while in the non-conveyance period, these ranges shifted from − 9.98‰ to −8.58‰ (δ18O) and − 61.4‰ to −58.3‰ (δ2H), respectively, with magnitude of change in the range of 0.94 ± 0.25‰ and 29.8 ± 1.1‰ between the conveyance period and non-conveyance period. In the Yingsu section, groundwater δ18O and δ2H during the conveyance period ranged from − 9.80‰ to −9.00‰ and − 52.2‰ to −27.6‰, respectively, while non-conveyance period values expanded to −10.90‰ to −8.44‰ (δ18O) and − 67.8‰ to −53.3‰ (δ2H), respectively, with magnitude of change in the range of 0.91 ± 0.48‰ and 25.9 ± 12.7‰ between the conveyance period and non-conveyance period. The mean groundwater δ18O and δ2H values across the study area were − 9.47 ± 0.23‰ and − 33.2 ± 7.6‰ during the conveyance period, compared to −9.60 ± 0.92‰ and − 60.8 ± 3.8‰ during the non-conveyance period, indicating isotopic enrichment under water conveyance.
Temporal changes in groundwater δ18O and δ2H values during water conveyance and non-conveyance periods. (Note: DW1–DW3: Kunaste section; Y-F1–Y-F14: Yingsu section. Y-F3, Y-F5, and Y-F10 were not sampled during the water non-conveyance period; Y-12, Y-F3, and Y-F4 were not sampled during the water conveyance period)
Spatially, groundwater δ18O and δ2H in both sections generally decreased with increasing distance from the riverbank. During the conveyance period, the maximum (−9.23‰ for δ18O, −27.7‰ for δ2H) and minimum (−9.81‰ for δ18O, −32.7‰ for δ2H) values in Kunaste occurred at DW3/DW1 and DW2/DW3, respectively, while in Yingsu, maxima (−9.00‰ for δ18O, −27.6‰ for δ2H) and minima (−9.80‰ for δ18O, −52.2‰ for δ2H) were observed at Y-F3/Y-F11 and Y-F1/Y-F6. During the non-conveyance period, Kunaste exhibited maxima (−8.58‰ for δ18O, −58.3‰ for δ2H) at DW2/DW1 and minima (−9.98‰ for δ18O, −61.4‰ for δ2H) at DW3, whereas Yingsu showed maxima (−8.44‰ for δ18O, −53.3‰ for δ2H) at Y-F6/Y-F4 and minima (−10.90‰ for δ18O, −67.8‰ for δ2H) at Y-F8, consistent with conveyance period trends.
Variation characteristics of water uptake sources in Populus euphratica
Water uptake sources under varying groundwater depths during the water conveyance period
As shown in Fig. 6, significant differences in water source utilization proportions were observed among Populus euphratica of different ages across the three plots in the Kunaste section during the water conveyance period. In Plot 1, young trees primarily absorbed groundwater (16.6%), followed by 120–160 cm soil water (14.9%) and river water (14.1%), while intermediate-aged and mature trees relied predominantly on groundwater (17.6% and 19.6%, respectively) and river water (15.2% and 16.9%, respectively). In Plot 2, groundwater was the dominant source for young trees, intermediate-aged, and mature trees, with utilization proportions of 19.9%, 21.4%, and 23.1%, respectively, showing an increasing dependency on tree age. In Plot 3, intermediate-aged and mature trees mainly utilized groundwater (21.6% and 21.9%) and 160–200 cm soil water (18.2% and 18.3%).
Proportional contributions of Populus euphratica water sources in the Kunaste (a) and Yingsu (b) sections during the water conveyance period.
In the Yingsu section, water uptake patterns exhibited less variability among plots. Plot 1 (lacking young trees) showed intermediate-aged and mature trees depending primarily on groundwater (16.7% and 17.8%) and secondarily on river water (16.4% and 17.6%). In Plot 3, young trees absorbed groundwater (16.0%), river water (14.9%), and 80–120 cm soil water (14.4%); intermediate-aged trees prioritized river water (17.0%), followed by groundwater (16.7%) and 0–40 cm soil water (16.4%); mature trees relied on groundwater (18.4%), river water (15.8%), and 160–200 cm soil water (13.9%).
These findings indicate that during the ecological water conveyance period, groundwater constituted the primary water source for Populus euphratica across different age cohorts within riparian areas of both Kunaste and Yingsu sections, followed by river water. At off-channel sampling sites, the vegetation exhibited groundwater as the dominant water source, with deep soil water serving as the secondary supply.
Variation characteristics of water uptake sources under varying groundwater depths during the non-conveyance period
During the non-conveyance period, the lower Tarim River experienced complete flow cessation, leading to pronounced differences in water uptake sources among Populus euphratica of different ages (Fig. 7), with groundwater and deep soil water serving as the primary sources.
Proportional contributions of Populus euphratica water sources in the Kunaste (a) and Yingsu (b) sections during the non-conveyance period.
In the Kunaste section, Plot 1 (near the riverbank) showed young trees primarily utilizing 120–160 cm soil water (17.9%) and 160–200 cm soil water (17.4%), while intermediate-aged and mature trees relied predominantly on groundwater with utilization proportions of 19.9% and 19.7%, respectively. In Plot 2, both young trees and intermediate-aged trees depended mainly on groundwater (12.4% and 23.2%), whereas mature trees shifted to 160–200 cm soil water (17.5%). Plot 3 exhibited intermediate-aged and mature trees predominantly absorbing groundwater (24.7% and 23.3%).
In the Yingsu section, Plot 1 revealed intermediate-aged trees prioritizing 0–40 cm soil water (19.4%) followed by groundwater (17.2%), while mature trees absorbed 160–200 cm soil water (19.4%), 120–160 cm soil water (19.1%), and groundwater (18.1%). Plot 3 demonstrated young trees, intermediate-aged, and mature trees all relying primarily on groundwater (18.4%, 18.4%, and 23.2%, respectively), supplemented by 160–200 cm soil water (16.8%, 16.7%, and 20.0%).
These results indicate that during the water conveyance period, the primary water sources for P. euphratica were groundwater, river water, and deep soil water, with a maximum groundwater utilization proportion of 23.1%. In contrast, during the non-conveyance period, groundwater and deep soil water became the dominant sources, with maximum groundwater utilization dropping to 19.9%. Groundwater dependency was significantly higher during the conveyance period compared to the non-conveyance period.
Discussion
Analysis of influencing factors on water uptake of Populus euphratica
As illustrated in Fig. 8, the influences of groundwater depth, soil moisture content, and soil electrical conductivity on water use proportions of Populus euphratica at varying stand ages differed between water conveyance and non-conveyance periods. During water conveyance periods, young trees exhibited strong positive correlations between water use proportion and groundwater depth (0.64) and EC (0.48), while displaying a weak negative correlation with soil moisture content. Intermediate-aged trees demonstrated positive correlations between water use proportion and both groundwater depth and soil moisture content, with soil moisture content and soil electrical conductivity exerting minimal influence. Mature trees showed significant correlations between water use proportion and groundwater depth, while soil moisture content and soil electrical conductivity had limited effects.
Relationships between water sources of Populus euphratica at different stand ages and groundwater depth, soil moisture content (SWC), and soil electrical conductivity (EC) during water conveyance and non-conveyance periods.
During non-conveyance periods, young trees revealed a significant positive correlation between water use proportion and soil moisture content (0.74), and a strong negative correlation with soil electrical conductivity (−0.44), indicating potential salt stress that substantially inhibited water absorption and utilization, whereas groundwater depth exhibited weak influence. Intermediate-aged trees displayed a marked positive correlation between water use proportion and groundwater depth (0.62), a weak positive correlation with soil moisture content, and negligible effects from soil electrical conductivity. Mature trees maintained strong positive correlations between water use proportion and both groundwater and soil water, while simultaneously showing a strong negative correlation with soil salinity.
Consequently, during conveyance periods, water use proportions of young, intermediate-aged, and mature trees all positively correlated with groundwater depth, while soil moisture content and soil salinity exerted minor influences. During non-conveyance periods, soil moisture content and electrical conductivity significantly affected young trees but minimally impacted intermediate-aged and mature trees, with young trees experiencing pronounced salt stress. Groundwater depth substantially governed water use proportions of intermediate-aged and mature trees, demonstrating increased groundwater utilization with greater groundwater depth. Deep water sources held higher priority in their water use strategies, aligning with the moisture utilization patterns of deep-rooted phreatophytes28.
Influence of soil moisture content on water uptake sources
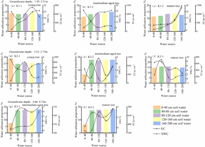
As shown in Figs. 9 and 10, soil moisture content in the Kunaste section generally increased with soil depth. The anomalous pattern in Plot 2 may be attributed to frequent groundwater irrigation in the experimental field, which elevated surface soil moisture. Across this section, the contribution proportions of soil layers to water uptake increased with higher soil moisture content.
Relationships between soil water content (SWC), EC, and water source contribution proportions in the Kunaste section (non-conveyance period).
Relationships between soil water content (SWC), EC, and water source contribution proportions in the Kunaste section (water conveyance period).
During the water conveyance period, the mean soil moisture contents in the 0–40 cm layer of Plots 1, 2, and 3 were 2.90%, 1.56%, and 0.20%, respectively, while during the non-conveyance period, these values decreased to 1.04%, 1.69%, and 0.12%. In the 40–120 cm layer, moisture contents during the conveyance period were 11.04%, 4.13%, and 1.71%, compared to 2.55%, 3.50%, and 1.58% during the non-conveyance period. The 120–200 cm layer exhibited the highest moisture during the conveyance period (20.56%, 3.06%, and 1.59%), declining to 4.04%, 3.60%, and 8.41% in the non-conveyance period. Maximum soil water utilization by P. euphratica (24.7%) occurred at 13.26% soil moisture, whereas the minimum (6.6%) was observed at 0.23% moisture.
In the Yingsu section, the 0–40 cm layer of Plot 1 showed mean soil moisture contents of 4.52% (conveyance period) and 3.49% (non-conveyance period), while Plot 3 exhibited 16.62% and 0.13% for the respective periods. The 40–120 cm layer in Plot 1 recorded 12.88% (conveyance) and 13.93% (non-conveyance), whereas Plot 3 values were 24.78% and 1.89%. During the non-conveyance period, the 120–200 cm layer moisture was 18.66% (Plot 1) and 8.33% (Plot 3).
As a deep-rooted species, P. euphratica adapts to drought stress by shifting water uptake from surface to deeper soil layers or groundwater when surface moisture declines29. This study confirms that deep soil water contributes most significantly to its water use, with minimal reliance on surface layers. Soil water utilization by P. euphratica across ages exhibited a positive correlation with soil moisture content.
Influence of soil texture on water uptake sources
Soil texture in the study area was dominated by sandy soil, transitioning to silt or clay with increasing depth, accompanied by higher soil moisture content. In the Kunaste and Yingsu sections, surface soil (0–40 cm) exhibited low moisture (approximately 0–5%) and high sand content (73.12 ± 0.30%), resulting in poor water retention. Consequently, P. euphratica of all ages showed minimal utilization of surface soil water, with the lowest proportion at 6.6%. In contrast, deeper soil layers (120–200 cm) contained up to 16.04% clay, enhancing water retention (maximum moisture: 22.11%) and supporting higher water uptake (maximum proportion: 19.4%). Thus, soil water utilization by P. euphratica increased with soil depth and showed a positive correlation with clay content.
Influence of soil salinity on water uptake sources
The lower Tarim River Basin is hyper-arid, with surface soil isotopic enrichment driven primarily by evaporation. When shallow soil (0–40 cm) moisture was low, P. euphratica relied on groundwater and deep soil water, but water uptake was also constrained by salt stress. As shown in Figs. 9 and 10, the mean electrical conductivity (EC) of the 0–40 cm layer in Kunaste Plots 1, 2, and 3 during the conveyance and non-conveyance periods was 754.33 µS·cm−1 and 139.22 µS·cm−1, 731.00 µS·cm−1 and 2880.00 µS·cm−1, and 249.25 µS·cm−1 and 3527.50 µS·cm−1, respectively. The EC values for Yingsu Plots 1 and 3 as 1393.25 µS·cm−1 and 5985.00 µS·cm−1, and 894.50 µS·cm−1 and 153.13 µS·cm−1, respectively, with surface salinity decreasing with distance from the river.
At a surface EC of 7150.00 µS·cm−1, the average utilization of shallow soil water by P. euphratica reached 19.4%, whereas at 362.50 µS·cm−1, it dropped to 6.6%. Young trees, with shallower roots, primarily absorbed surface soil water. However, even at the maximum surface EC (684.00 µS·cm−1), young trees utilized only 14.1% of shallow soil water, indicating that elevated salinity inhibits both water uptake and seedling recruitment30, posing challenges to ecological restoration of downstream P. euphratica communities.
Ecological strategies of Populus euphratica adaptation to groundwater depth variation
To investigate the impact of groundwater depth variations on the water uptake sources of Populus euphratica (Fig. 11), groundwater depth data from the Yingsu section between 2000 and 2020 were analyzed. As shown in Fig. 12, the groundwater depth in the Yingsu section generally exhibited an increasing trend with greater distance from the riverbank during 2000–202031, which aligns with the findings of this study. Under the context of ecological water conveyance, the groundwater depth in this section demonstrated a gradual decrease over time. Notably, significant reductions in groundwater depth occurred in 2005 and 2020, while an abrupt increase was observed in 2015. Within the temporal scope of this study (2023–2024), the groundwater depth displayed a decreasing trend compared to 2020, indicating that ecological water conveyance has effectively improved groundwater conditions in the Yingsu section, with a noticeable elevation of the groundwater table observed.
Sources of water contribution proportions in Populus euphratica of different stand ages.
The variations of groundwater depth from 2000 to 2024.
This study revealed that during water conveyance and non-conveyance periods, young trees primarily absorbed water from shallow soil layers, while intermediate-aged and mature trees relied on deep soil water and groundwater, consistent with findings by Rogers et al.32. Riverside P. euphratica directly utilized river water. Mature trees, equipped with well-developed root systems, dynamically adjusted water uptake from shallow/deep soil layers and groundwater based on environmental conditions, a critical survival strategy in arid environments32.
When groundwater depth exceeded 6 m (non-conveyance period), all age classes depended on deep soil water and groundwater, with no young trees surviving. Groundwater utilization increased by 3.85 ± 0.07% during the conveyance period compared to non-conveyance. Conversely, at shallower depths (< 4 m), young trees reduced groundwater use by 0.7% during non-conveyance, while intermediate-aged and mature trees increased utilization by 2.3% and 0.1%, respectively. These patterns reflect root architecture constraints: deeper groundwater impedes young tree access33, whereas mature trees exploit deep taproots to mitigate drought stress34.Under drought stress, P. euphratica employs physiological adaptations such as stomatal closure, reduced photosynthetic rates, and slowed sap flow to minimize water loss35,36,37.
Groundwater, as one of the relatively stable water sources in arid regions, serves as the primary water source for most deep-rooted desert plants. For instance, Tamarix taklamakanensis relies predominantly on deep soil water and groundwater38,39. However, shallow-rooted herbaceous plants and shrubs primarily utilize shallow soil water. As observed by Song et al.40, the root density of Stipa breviflora increases near the soil surface, enabling direct absorption of other near-surface water sources or minor precipitation. When shallow soil moisture decreases, the main water source for Artemisia ordosica shifts to deep soil water at 60–100 cm, while Leymus secalinus continues to depend on shallow soil water41. These variations are closely linked to the distribution patterns of plant root systems. Populus euphratica, as a deep-rooted plant, its survival heavily depends on groundwater accessibility. This study observed that groundwater depths > 6 m triggered drought stress, reducing groundwater utilization and eliminating young tree recruitment. Notably, Chen et al.42 reported that groundwater depths exceeding 8 m lead to P. euphratica mortality and stand degradation.
Conclusions
-
(1)
Soil water δ18O and δ2H values were more depleted during the water conveyance period compared to the non-conveyance period, increased with distance from the riverbank, and decreased with soil depth. Xylem water isotopic compositions were more enriched during the conveyance period, showing a hierarchy of young trees > mature trees > intermediate-aged trees, and decreased with increasing distance from the river. Groundwater isotopes were more depleted during the conveyance period and decreased with distance from the riverbank.
-
(2)
During the water conveyance period, the primary water sources for Populus euphratica across all age classes were groundwater, river water, and deep soil water (160–200 cm), with maximum utilization proportions of 23.1%, 17.6%, and 18.3%, respectively. In the non-conveyance period, groundwater and deep soil water became the dominant sources, with maximum utilization proportions of 19.9% and 20.3%.
-
(3)
Soil physicochemical properties and groundwater depth significantly influence the water utilization of P. euphratica. Soil layers with poor texture have low water retention capacity. The water source utilization proportion of P. euphratica increases with higher soil moisture content. During the non-conveyance period, groundwater depth strongly influences the water utilization proportion of intermediate-aged and mature trees (0.62 and 0.40). Young trees experience pronounced salinity stress (−0.44). Consequently, P. euphratica shifts its water uptake sources toward deeper soil water and groundwater.
Data availability
The datasets used and/or analysed during the current study available from the corresponding author on reasonable request.
References
Whitford, W. G. & Duval, B. D. Ecology of Desert Systems (2019).
Chen, Y. et al. Seasonal hydrological traits in Salix psammophila and its responses to soil moisture and meteorological factors in desert areas. Ecol. Ind. 136, 108626 (2022).
Dawson, T. E. & Ehleringer, J. R. Streamside trees that do not use stream water. Nature 350 (6316), 335–337 (1991).
Rothfuss, Y. & Javaux, M. Reviews and syntheses: isotopic approaches to quantify root water uptake: a review and comparison of methods. Biogeosciences 14 (8), 2199–2224 (2017).
Fry, B. Stable Isotope Ecology, vol. 5521 Vol. 521, 318 (Springer, 2006).
Beyer, M., Kühnhammer, K. & Dubbert, M. In situ measurements of soil and plant water isotopes: a review of approaches, practical considerations and a vision for the future. Hydrol. Earth Syst. Sci. 24 (9), 4413–4440 (2020).
Shi, P., Gai, H. & Li, Z. Partitioned soil water balance and its link with water uptake strategy under apple trees in the Loess-covered region. Water Resour. Res. 59(1), e2022WR032670 (2023).
Zhu, W. et al. Matching root water uptake patterns to fine root and soil water distributions. Plant Soil 495(1), 499–516 (2024).
Dai, J. et al. Variation of the stable isotopes of water in the soil-plant-atmosphere continuum of a Cinnamomum camphorawoodland in the East Asian monsoon region. J. Hydrol. 589, 125199 (2020).
Zhao, Y. & Wang, L. Coordination of available soil water content and root distribution modifies water source apportionment of the shrub plant Caragana Korshinskii. Sci. Total Environ. 900, 165893 (2023).
Zhao, Z., Tang, G., Li, J., Wu, M. & Zhang, L. Water source of artificial plants in the Northeastern margin of Tengger desert based on hydrogen and oxygen stable isotopes. Front. Plant Sci. 16, 1523085 (2025).
Pan, Y. X., Wang, X. P., Ma, X. Z., Zhang, Y. F. & Hu, R. The stable isotopic composition variation characteristics of desert plants and water sources in an artificial revegetation ecosystem in Northwest China. Catena 189, 104499 (2020).
Qiu, D. et al. Water use strategy of nitraria tangutorumshrubs in ecological water delivery area of the lower inland river: Based on stable isotope data. J. Hydrol. 624, 129918 (2023).
Liu, Z., Yu, X. & Jia, G. Water utilization characteristics of typical vegetation in the Rocky mountain area of Beijing, China. Ecol. Ind. 91, 249–258 (2018).
Li, B. et al. Soil water uptake from different depths of three tree species indicated by hydrogen and oxygen stable isotopes in the permafrost region of Northeast China. Front. Plant Sci. 15, 1444811 (2024).
Si, J., Feng, Q., Cao, S., Yu, T. & Zhao, C. Water use sources of desert riparian Populus euphratica forests. Environ. Monit. Assess. 186, 5469–5477 (2014).
Song, L. et al. Transpiration and water use sources of poplar (Populus× xiaozhuanica) plantations with 7-years vs 20-years old in a semiarid sandy region of Northeast China. Agric. For. Meteorol. 356, 110171 (2024).
Pei, Y. et al. Water sources used by artificial Salix psammophila in stands of different ages based on stable isotope analysis in Northeastern mu Us sandy land. Catena 226, 107087 (2023).
Zeng, F. et al. Stable restoration pattern and sustainable management technology of main dominant vegetation in typical desert areas of China. Bull. Chin. Acad. Sci. (Chinese Version). 35 (6), 709–716 (2020).
Keram, A. et al. Tree mortality and regeneration of euphrates Poplar riparian forests along the Tarim River, Northwest China. For. Ecosyst. 8, 1–13 (2021).
Schultz, N. M., Griffis, T. J., Lee, X. & Baker, J. M. Identification and correction of spectral contamination in 2H/1H and 18O/16O measured in leaf, stem, and soil water. Rapid Commun. Mass Spectrom. 25 (21), 3360–3368 (2011).
Stock, B. C. et al. Analyzing mixing systems using a new generation of bayesian tracer mixing models. PeerJ 6, e5096 (2018).
Kim, S. H. et al. Systematic tracing of nitrate sources in a complex river catchment: an integrated approach using stable isotopes and hydrological models. Water Res. 235, 119755 (2023).
Ehleringer, J. R. & Dawson, T. E. Water uptake by plants: perspectives from stable isotope composition. Plant. Cell. Environ. 15 (9), 1073–1082 (1992).
Wang, J., Lu, N. & Fu, B. Inter-comparison of stable isotope mixing models for determining plant water source partitioning. Sci. Total Environ. 666, 685–693 (2019).
Folk, R. L. & Ward, W. C. Brazos river bar: A study in the significanceof grain size parameters[J]. J. Sediment. Petrol. 27 (1), 3–26 (1957).
Wentworth, C. K. A scale of grade and class terms for clastic sediments. J. Geol. 30 (5), 377–392 (1922).
Wan, Y. et al. Water-use characteristics of Populus euphratica trees in response to flood and groundwater depth in desert oasis. Environ. Exp. Botany 226, 105915 (2024).
Wan, Y. B. et al. Water sources of Populus euphratica with different tree ages in the Oasis of desert hinterland. Chin. J. Appl. Ecol. 33 (2), 353–359 (2022).
Zhang, P. et al. Change in spatial distribution patterns and regeneration of Populus euphratica under different surface soil salinity conditions. Sci. Rep. 9 (1), 9123 (2019).
Song, J., Betz, F., Aishan, T., Halik, Ü. & Abliz, A. Impact of water supply on the restoration of the severely damaged riparian plants along the Tarim river in Xinjiang, Northwest China. Ecol. Ind. 158, 111570 (2024).
Rogers, E. R., Zalesny, R. S. Jr, Lin, C. H. & Vinhal, R. A. Intrinsic and extrinsic factors influencing Populus water use: A literature review. J. Environ. Manage. 348, 119180 (2023).
Di, N. et al. Root-system characteristics of plantation-grown Populus tomentosa adapted to seasonal fluctuation in the groundwater table. Trees 32, 137–149 (2018).
Zhu, W. et al. Effects of stand age and structure on root distribution and root water uptake in fast-growing poplar plantations. J. Hydrol. 616, 128831 (2023).
Chen, Y. et al. Research advances in plant physiology and ecology of desert riparian forests under drought stress. Forests 13(4), 619 (2022).
Wang, Y., Zhang, C., Xiao, X., Wu, H. & Zhang, J. Water-use strategies and functional traits explain divergent linkages in physiological responses to simulated precipitation change. Sci. Total Environ. 908, 168238 (2024).
Dai, J., Zhao, Y., Seki, K. & Wang, L. Changes in water-use strategies and soil water status of degraded Poplar plantations in water-limited areas. Agric. Water Manage. 296, 108799 (2024).
Dong, Z. et al. Stable oxygen-hydrogen isotopes reveal water use strategies of tamarix taklamakanensis in the Taklimakan Desert, China. J. Arid Land. 12 (1), 115–129 (2020).
Hao, S. & Li, F. Water sources for typical desert vegetation in the ebinur lake basin. J. Geogr. Sci. 32, 1103–1118 (2022).
Song, Y. et al. The suitability of isotopic methods in identifying water sources of a shallow-rooted herbaceous plant in a desert steppe. Science of the Total Environment 902, 166072 (2023).
Liu, L. et al. Water-use characteristics of two dominant plant species in different community types in the mu Us desert. Catena 221, 106803 (2023).
Chen, Y., Chen, Y., Xu, C. & Li, W. The effects of groundwater depth on water uptake of Populus euphratica and Tamarix Ramosissima in the hyperarid region of Northwestern China. Environ. Sci. Pollut. Res. 23, 17404–17412 (2016).
Acknowledgements
This research was financially supported by the National Natural Science Foundation of China (Grant No. 42461006), the Central Guidance for Local Science and Technology Development Fund of China (Grant No. ZYYD2025ZY03), and the National Natural Science Foundation of China (Grant No. 42161004). We express our sincere gratitude to colleagues from Xinjiang Normal University for their essential contributions to field operations and data processing.
Author information
Authors and Affiliations
Contributions
Article Topic Selection & Scheme Design: Xiaoqing Jiang, Shuai Hao, Mao Ye. Field Survey Sampling: Xiaoqing Jiang, Shuai Hao, Dingxue He, Guohua Li, Zihan Zhang, Zhongli Feng. Laboratory Test : Xiaoqing Jiang, Dingxue He, Guohua Li, Zihan Zhang, Zhongli Feng. Writing - Original Draft: Xiaoqing Jiang, Shuai Hao. Writing - Review & Editing: Xiaoqing Jiang, Shuai Hao, Mao Ye. Data analysis & Plot: Xiaoqing Jiang, Shuai Hao. Obtain project financial funds: Shuai Hao. All authors have critically reviewed and approved the final version of the manuscript.
Corresponding author
Ethics declarations
Competing interests
The authors declare no competing interests.
Additional information
Publisher’s note
Springer Nature remains neutral with regard to jurisdictional claims in published maps and institutional affiliations.
Rights and permissions
Open Access This article is licensed under a Creative Commons Attribution-NonCommercial-NoDerivatives 4.0 International License, which permits any non-commercial use, sharing, distribution and reproduction in any medium or format, as long as you give appropriate credit to the original author(s) and the source, provide a link to the Creative Commons licence, and indicate if you modified the licensed material. You do not have permission under this licence to share adapted material derived from this article or parts of it. The images or other third party material in this article are included in the article’s Creative Commons licence, unless indicated otherwise in a credit line to the material. If material is not included in the article’s Creative Commons licence and your intended use is not permitted by statutory regulation or exceeds the permitted use, you will need to obtain permission directly from the copyright holder. To view a copy of this licence, visit http://creativecommons.org/licenses/by-nc-nd/4.0/.
About this article
Cite this article
Jiang, X., Hao, S., Ye, M. et al. Water uptake sources of differently aged Populus euphratica in the lower Tarim river under ecological water conveyance. Sci Rep 15, 40271 (2025). https://doi.org/10.1038/s41598-025-24001-y
Received:
Accepted:
Published:
Version of record:
DOI: https://doi.org/10.1038/s41598-025-24001-y














