Abstract
The paper presents field pull-out tests on reinforcement anti-floating anchor rods for the jet grouting process and investigates the load transfer behavior of these anchor rods under this technique. A comparative study was conducted using field pull-out tests on reinforcement anti-floating anchor rods with the grouting process, revealing the differences in load transfer behavior between the two techniques. The results indicate that reinforcement anti-floating anchor rods formed by the jet grouting process exhibit superior bond strength at the mudstone interface and load transfer performance compared to the grouting process. Based on the ABAQUS finite element simulation software, a finite element simulation method for jet grouting expansion anchor rods was proposed and validated through experimental results. Additionally, the parameter analysis indicates that increasing the tensile strength of the anchor rod raises the ultimate bond strength by approximately 25% per 100 MPa, while increasing the anchorage depth beyond 9.5 m yields diminishing improvements in bearing capacity but reduces ultimate displacement significantly.
Introduction
In recent years, with the continuous expansion of urban spaces and the increasing depth of foundation embedding, the groundwater level in urban areas has been rising steadily. This trend has made it increasingly difficult for building structures to effectively resist the buoyant force of groundwater, a phenomenon that has become more prevalent. Anti-floating anchor rods, owing to their advantages of low point stress concentration, simple construction methods, and cost-effectiveness, have been widely used to address the problem of buoyancy resistance in building foundations1,2. However, traditional steel reinforcement anti-floating anchor rods are prone to corrosion in aggressive groundwater environments, which impacts their long-term stability.
Compared to conventional metal materials, the use of non-metallic materials such as glass fiber reinforced polymer3,4, aramid fiber reinforced polymer5, basalt fiber reinforced polymer6, and carbon fiber reinforced polymer7 can significantly enhance the pullout bearing capacity of individual anti-floating anchor rods. These novel materials exhibit excellent insulation properties and corrosion resistance, thereby greatly alleviating the corrosion issues associated with traditional metal anchor rods. However, it is worth noting that the bond strength of glass fiber reinforced polymer anchor rods does not increase as significantly with the improvement of concrete strength as that of metal anchor rods4,8,9. Moreover, there is insufficient research on the stress distribution changes and transfer mechanisms in the anchorage section of glass fiber reinforced polymer anchor rods under long-term or cyclic loading, particularly the stress-strain distribution characteristics at the interface between the anchor body and the surrounding soil, which still requires further investigation.
Currently, metal anchor rods remain the mainstream choice for anti-floating anchor systems. Ordinary hot-rolled steel reinforcement non-prestressed anchor rods (hereinafter referred to as ordinary anchor rods), as a type of tensile anchor, are in a tensile state under the buoyant force of water, making them prone to cracking, especially in underwater or wet-dry alternating areas, and more so in aggressive groundwater environments. This leads to the corrosion of the anchor rod and makes it difficult for ordinary anchor rods to meet the durability requirements for the normal service of the superstructure within its designed lifespan. The use of PSB1080 steel reinforcement instead of ordinary steel significantly improves the pullout bearing capacity of individual anti-floating anchor rods10. PSB precision-rolled threaded steel reinforcement pre-stressed expansion head anti-floating anchor rods benefit from the high yield strength of PSB precision-rolled threaded steel reinforcement and the large pullout force generated by the side resistance and bearing pressure at the expansion head, resulting in a significant increase in pullout bearing capacity. During the loading process, the stress state of the expansion head anti-floating anchor gradually shifts from side frictional resistance to end resistance at the expansion head, where the end resistance can bear more than 40% of the uplift load11. The use of spring-supported anchor plates and anchor heads compresses the high-strength PSB steel reinforcement anchor body, thereby pre-stressing it, effectively preventing cracks in the anchor body and greatly improving its durability.
As a key component that bears long-term loads and maintains structural stability, high-strength PSB steel reinforcement anchor rods play an irreplaceable role in civil engineering. By forming a strong bond with concrete or cement mortar, they effectively transfer and disperse stress, ensuring the stability and safety of the superstructure under various environmental conditions12,13,14. This bonding performance not only concerns the durability of the anchor rod itself but also directly affects the long-term safe operation of the entire structural system. The damage process of high-strength PSB steel reinforcement anchor rods is a complex evolutionary process. From the initial appearance of stabilization cracks at the interface, to the gradual manifestation of mechanical interlocking at the interface, and eventually to the continuous expansion of cracks until the anchor rod is finally pulled out, these changes reflect the gradual degradation of the material properties of the anchor rod and reveal the progressive loss of structural safety. Therefore, understanding this process is critical for preventing structural failure and extending the service life.
In practical engineering, jet grouting and grouting are two commonly used construction techniques for high-strength steel anchor bolts. The jet grouting process utilizes a high-pressure jet stream to impact and cut through the soil, forcibly mixing the grout with soil particles to form a solidified body with certain strength. The grouting process, on the other hand, involves injecting grout into soil pores or fractures under pressure to fill, permeate, and compact the soil, thereby enhancing its strength and stability. These two methods differ in aspects such as anchor installation, grout material selection, and grouting pressure control, leading to variations in the bonding characteristics at the interface between the anchor bolt and the cementitious rock15,16,17. For example, the bonding between the solidified body formed by jet grouting and the anchor bolt may be more uniform, but the high-pressure jet action may cause some disturbance to the surrounding soil. In contrast, the grouting process relies more on the permeability of the grout; if the soil porosity is low, it may be difficult for the grout to fully permeate, potentially affecting the bonding effectiveness. Therefore, systematically comparing and analyzing the influence of different construction techniques on the bonding performance of high-strength steel anchor bolts is of great significance for optimizing construction processes and improving anchor performance.
It is worth noting that there are still many gaps in current research on jet-grouted enlarged head technology. As a method that can effectively enhance the pull-out bearing capacity of anchor bolts, core issues such as the interfacial size effect, damage evolution process, and load transfer efficiency induced by this technology require in-depth study. Regarding the interfacial size effect, how changes in the size of the enlarged head affect the interfacial mechanical properties between the anchor bolt and the surrounding soil, as well as the differences in interfacial stress distribution under different sizes, remain unclear. In the study of damage evolution, further exploration is needed to understand how damage initiates and propagates at the interface of jet-grouted enlarged head anchor bolts under long-term loads or complex environmental conditions, and how damage relates to the degradation of anchor performance. In terms of load transfer efficiency, how jet-grouted enlarged head technology optimizes the load transfer path across different parts of the anchor bolt to improve overall load transfer efficiency and achieve more effective anti-flotation effects is also a critical current issue. Moreover, there is currently a lack of effective finite element simulation methods for jet-grouted enlarged head anchor bolts18,19. Due to the unique and complex structure of these anchors, existing finite element methods often struggle to accurately reflect their true stress state. Therefore, developing finite element simulation methods tailored for jet-grouted enlarged head anchor bolts is urgently needed to enhance the scientific rigor and accuracy of anchor design.
The remainder of the paper is organized as follows: Sect. 2 outlines the experimental programs, while Sect. 3 presents the test results and discussion. Section 4 details the finite element model and parameter analysis. Finally, the main findings were summarized in Sect. 5.
Experiment program
Overview of test site
The experiment was successfully conducted at the construction site of the Guanghua campus project of Chengdu Fifth People’s Hospital, located within the Qianfeng community of Yongquan Street in Wenjiang District. The designated area for the anchor rod test was set in the central part of Block A-1, located on the northern side of the site. The underground structure in this area is designed with three basement levels, and the excavation depth reaches 16.95 m, with an elevation set at 504.2 m. The typical geological distribution map of the anchor rod test area is shown in Fig. 1, with the soil layers from top to bottom as follows: loose fill, silty clay, fine sand layer, and gravel soil layer. The legend of Table 1 is explained as follows: the notation “482.5–505” on the left indicates the site elevation in meters; “zk83-zk87” refers to the borehole identification numbers; “⑥3~⑥4” represents the stratum parameter codes at the foundation pit bottom where the anchor is located, denoting slightly dense gravel, moderately dense gravel, and dense gravel strata, respectively. Taking borehole zk85 as an example, “16.2–35.10” indicates the depth of each stratum interface from the original ground surface in meters.
Notably, the upper part of the gravel soil layer contains thin layers of fine sand, while the gravel layer exhibits a complex structure with alternating slightly dense to medium dense, and medium dense to dense states. Below the base, the main geological stratum encountered by the anchor rods is the gravel layer, ranging from medium dense to dense.
The basic properties of each soil layer are shown in Table 1 and as follows:
(1) Loose Fill (Q4ml): Exhibits a brown to yellow-brown color with a slightly moist texture. The main components are cohesive soil and silty soil, mixed with gravel and plant roots. The backfill history is less than ten years, showing an over-consolidated state. It is widely distributed across the site, with a thickness ranging from 0.50 to 4.50 m.
(2) Silty Clay (Q4al+pl): The color changes from gray-brown to yellow-brown, with good plasticity and humidity ranging from slightly moist to moist. This soil layer is rich in iron-manganese and calcium nodules, exhibiting high dry strength and toughness, with a smooth surface. It is distributed across the entire site, with a layer thickness ranging from 0.50 to 4.20 m, as revealed by drilling.
(3) Fine Sand: The color ranges from gray to brownish-yellow, with moisture content varying from slightly moist to saturated. The structure is loose. The main mineral composition consists of feldspar, quartz, and a small amount of biotite. In some areas, small gravel is mixed, forming lenticular-shaped deposits on the top of the gravel layer, with a thickness ranging from 0.50 to 1.30 m.
(4) Gravel Soil (Q4al+pl): The color is diverse, including gray, gray-brown, and yellow-brown. The gravel is predominantly composed of igneous rock, mostly in sub-rounded or rounded shapes, with slight weathering, along with minor moderate to strong weathering. The mineral composition consists mainly of quartz and feldspar, with some mica flakes. The upper part of the gravel layer contains a high amount of clay, while the lower part is filled with cohesive soil, medium sand, and small gravel. According to field drilling results, the gravel layer contains float stones with diameters exceeding 20 centimeters, comprising 15% to 25% of the total, with the largest float stone exceeding 50 centimeters. The overall gravel content ranges from 50% to 80%. The recommended values for the classification of gravel strata are based on Table 4.2.3-2.3 of Code20. Field tests employed the N120 super-heavy dynamic penetration test results. The N120 super-heavy dynamic penetration test involves using a 120 kg hammer dropped from a height of 100 cm to drive the penetrometer probe, with the number of blows required for the probe to penetrate 10 cm being recorded.
Material properties
Concrete
After the completion of the on-site construction of the reinforced anti-floating anchor rods, a core sample uniaxial failure test was conducted prior to the pullout test, in accordance with the JGJ/T 384–2016 code21, to determine the compressive strength of the cement mortar. Core samples from the cement mortar of both the grouting and jet grouting processes were drilled using a wet grinder, as shown in Fig. 2 In compliance with the standards and on-site conditions, three core samples with a diameter and height of 75 mm were drilled for each of the two processes, for a total of six samples. Two groups of uniaxial failure tests on the core samples were then conducted, as shown in Fig. 3 The compressive strength of each sample was calculated using the following formula.
Where fcu is the compressive strength of the core sample (MPa), accurate to 0.1 MPa; Fc is the failure load of the core sample in the compressive test (N); Ac is the cross-sectional area of the core sample in compression (mm²); and βc is the strength conversion factor of the core sample, taken as 1.0.
As shown in Table 2, the average compressive strengths of the anchor body core samples for the two different construction methods were 20.5 MPa and 20.2 MPa, respectively.
Steel reinforcement
The HRB500 steel reinforcement used in this study is a hot-rolled ribbed steel bar with a nominal yield strength of 500 MPa. HRB500 steel exhibits excellent mechanical properties, including high tensile strength and good ductility, making it suitable for anti-floating anchor applications. The measured mechanical properties of the HRB500 steel reinforcement are shown in Table 3.
Experimental design and loading
The deformation and failure of anti-floating anchor rods are primarily manifested as insufficient bonding strength between the reinforcing body and the anchor body, or between the geotechnical material and the anchor body. The adhesive strength is easily influenced by the construction process. Therefore, in addition to using the rotary jet grouting technique, a comparison with the grouting technique is made. Grouting technique primarily involves the permeation, compaction, or formation of limited fracturing grout veins in soil pores through low-pressure slurry, with the process being dominated by “filling.” As a result, the induced soil displacement is relatively small and controllable. Additionally, conventional grouting equipment is simple, requires less slurry, and has low costs, but it suffers from poor reinforcement uniformity and scattered strength.
In contrast, rotary jet grouting technique is an efficient reinforcement technique centered on a “replacement” mechanism. This method utilizes high-speed, high-pressure jets to forcibly cut and break down in-situ soil, partially replacing it with a cement slurry mixture to form uniform soil-cement composite piles. Although high-pressure rotary jet grouting can achieve a homogeneous reinforcement body with precisely controllable strength due to its high-pressure cutting and mixing action, and allows for quality inspection through various means, it relies on high-pressure pumps and complex pipeline systems. Moreover, it consumes large amounts of cement and has a high slurry return rate, leading to a higher comprehensive unit cost compared to conventional grouting.
The detailed diagram of the jet grouting expanded anti-floating anchor rod is shown in Fig. 4(a). During construction, a borehole with a diameter of 180 mm and a length of 9.5 m is first pre-drilled using a down-the-hole hammer. Then, an anti-floating anchor rod with a length of 11 m is lowered into the hole. While lowering the reinforcing body, a steel pipe isolation bracket with a diameter of 80 mm and a length of 50 mm is used. Subsequently, a jet grouting device is employed to spray and expand the grout, forming an anchor body with a diameter of 500 mm. The cement usage is 100 kg/m. The detailed diagram of the grouting expanded anti-floating anchor rods is shown in Fig. 4(b). During the construction of the grouting expanded anti-floating anchor rods, except for the replacement of the jet grouting device with post-grouting at the anchor rods end, the remaining construction methods are identical, with a cement usage of 50 kg/m. Two different construction techniques for anchor rods were tested in this experiment. Group A represents the jet grouting anti-floating anchor rod, and Group B represents the grouting anti-floating anchor rod. Three sets of anchor rod were tested for each technique, as shown in Table 4.
To test the stress distribution of the anchor rod body at different depths, strain gauges were embedded on each reinforcing bar, with the distribution of strain gauges shown in Fig. 5A strain gauge was placed at a distance of 1800 mm from the bottom of the reinforcing bar, and additional strain gauges were installed every 1500 mm upwards. Therefore, each anchor rod was equipped with a total of 18 strain gauges. To embed the strain gauges into the reinforcing bar, a sleeve method was used. As shown in Fig. 5(a), the reinforcing bar was first cut at a distance of 3500 mm from the bottom, and a sleeve was installed. The strain gauge was then connected to the reinforcing bar through the sleeve. Finally, as shown in Fig. 5(b), the strain gauge was connected to the reinforcing bar via the sleeve.
The pull-out test device for the anti-floating anchor rods is shown in Fig. 6 The supporting steel plate, reaction beam, hollow steel plate, hollow hydraulic jack, anchor rod load cell, welded anchorage device, and hollow steel plates are symmetrically placed from bottom to top. This experiment used a micrometer with a measuring range of 30 mm and an accuracy of 0.01 mm to measure the slip of the steel bars during pull-out. To ensure the accuracy of the test data, the soil layer of the test area was treated before the experiment to enhance the bearing capacity of the foundation and provide sufficient reaction force for the test device. Additionally, instruments such as the hollow jack, anchor load cell, and micrometer were calibrated before the test to minimize experimental errors.
The ultimate bearing capacity loading of the anti-floating anchor rod was performed using a unidirectional step-by-step loading method. To meet the test requirements, the test device was pre-loaded before the experiment and adjusted as needed. The initial load for this pull-out test was set at 40 kN, with increments of 40 kN between each adjacent load stage. The loading rate for each stage was kept at 0.2 kN/s, and the load was applied in 40-kN increments from 0 kN to 240 kN, until the anti-floating anchor rod failed. After each loading stage, the relative displacement of the anchor rod, grout body, and rock mass was quickly measured. The test data was recorded at intervals of 5 min, and the loading time for each adjacent load stage was 15 min. Once the loading for a given stage was completed, the loading for the next stage was immediately initiated. According to the relevant provision JGJ 476–201922, the test can be considered terminated and the anti-floating anchor rod damaged if one of the following three conditions occurs during the experiment: (1) The increase in the upward displacement of the anchor rod caused by subsequent loading reaches or exceeds twice the upward displacement caused by the previous load; (2) The displacement of the anchor rod continues to increase without convergence; (3) The anti-floating anchor rod fails, with the anchor rod being pulled out of the grout body or the grout body being pulled out.
Test result and discussion
Load-slip curve
Prior to the formal commencement of the pull-out test, three process-test piles were constructed in representative areas of the site. The diameter, strength, uniformity, and continuity of the jet grouted columns were verified through core drilling and Standard Penetration Tests (SPT) to ensure construction quality control. Figure 7 compares the load-displacement curves of anti-floating anchor rods under two construction methods. It can be observed that, compared to grouting construction, the load-displacement curve of the jet grouting method exhibits higher initial stiffness, smaller peak displacement, and similar peak load. This phenomenon can be attributed to the increased anchorage diameter effect produced by the jet grouting process, which significantly enhances the bond performance between the steel reinforcement and the grout, particularly reflected in the improvement of the interface bond strength and stiffness characteristics. It is noteworthy that the final failure mode for both methods is steel reinforcement rupture, indicating that the ultimate bearing capacity is primarily controlled by the tensile strength of the steel reinforcement, thus resulting in similar ultimate load values.
The load-displacement curves of both construction methods can be roughly divided into three stages, as shown in Fig. 8. The OA segment represents the sliding phase, the AB segment represents the pull-out phase, and the BC segment represents the descending phase. The first stage (OA segment) is the sliding phase, during which the load-displacement curve exhibits an approximately linear growth, and the stress on the steel reinforcement gradually increases. During this phase, the interface bond strength is primarily supported by frictional resistance and mechanical interlocking, while the chemical bonding strength has already failed at the initial loading stage. The second stage (AB segment) is the pull-out phase, which shows significant non-linear characteristics, with the slip amount rapidly increasing as the load increases, corresponding to the gradual yielding of the steel reinforcement material. During this stage, the contribution of mechanical interlocking decreases, and the interface resistance is mainly dependent on frictional resistance. The third stage (BC segment) is the failure phase. After the load reaches its peak value, the bearing capacity sharply decreases due to the rupture of the steel reinforcement, while the slip amount increases slowly.
Transfer performance of anchor stress with depth
This section processes the monitoring data from strain sensors to analyze the variations in axial and shear stresses of the anchor rod during loading, thus providing a better understanding of the bonding characteristics between the anchor rod and the grouting body.
It is assumed that the anchor-grout interface is in a state of perfect bond, and the two form a composite section that resists loads jointly. The measured strain Δε at the interface of the anti-floating anchor grouting-rock interface is obtained from strain gagues, and the axial stress σs at the interface is further evaluated using Eq. (2):
Where, σs is the axial stress measured by the sensor at the anti-floating anchor liquid-rock interface; Δε is the measured strain; and Eag is the comprehensive elastic modulus of the measured section, determined by the following equation:
Where, Ea is the elastic modulus of the anti-floating anchor rod; Sa is the cross-sectional area of the anchor rod; Eg is the elastic modulus of the anti-floating anchor grouting; Sg is the measured cross-sectional area of the grouting; and St is the total cross-sectional area, where St = Sa + Sg.
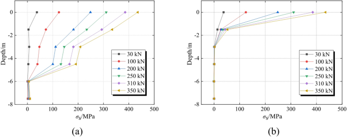
Figure 9 presents the distribution of axial stress along the depth of the anti-floating anchor under pull-out load. It can be seen that the axial stress of the anchor exhibits a significant nonlinear decay, with the maximum stress occurring near the anchor hole and rapidly decreasing with the increase in anchorage depth. Under different pull-out loads, the distribution pattern of axial stress remains generally consistent, but with increasing load, the maximum axial stress at the hole significantly increases. When the anchor reaches its ultimate failure state, the maximum axial stress at the grouting interface is approximately 435 MPa, indicating that the tensile strength of the reinforcing steel is a key factor controlling the anchor’s load-bearing capacity.
Comparing the effects of different construction methods, it is found that the axial stress of the grouted anchor decreases gradually to zero within the 6.0 m anchorage length, whereas the axial stress of the jet-grouted anchor drops to zero within a 3.0 m range, with a significantly faster rate of stress decay. This difference is primarily due to the larger diameter of the anchorage body formed by the jet grouting process, which significantly enhances the bond strength between the reinforcement and the grouting material, thereby requiring a shorter anchorage length under the same load conditions. This phenomenon further confirms the advantages of the jet grouting process in improving the early stiffness and optimizing the stress transfer efficiency of the anchor, providing a theoretical basis for the design and construction of anti-floating anchors.
Finite element analysis
Modeling process
This section uses ABAQUS finite element software to model and analyze the entire extraction process of a grouted anchor in the construction process. Concrete, anchor rods, and soil models are all simulated using solid elements (C3D8R). The selection of C3D8R elements is primarily based on their advantages in computational efficiency and convergence23: This element type effectively avoids shear locking issues and demonstrates good tolerance to mesh distortion caused by large deformations in concrete. To mitigate potential hourglass effects induced by reduced integration, we adopted refined meshing techniques, enhanced hourglass control, and ensured that the hourglass energy ratio remained below 3% throughout the analysis.
The soil model is set as a cylinder with a diameter of 2 m to eliminate boundary effects. To simulate the interactions between the anchor rod and the anchor body, as well as the anchor body and soil, the contact surfaces are modeled as face-to-face contact. Interaction properties are defined using a cohesive bilinear constitutive model, along with friction and hard contact. The interaction between the contact surfaces is set to small sliding with a surface-to-surface contact formulation. The bilinear constitutive model for bonded slip contact is shown in Fig. 10, with specific settings listed in Table 5, referring to the literature24.
Boundary conditions are applied with zero displacement (U1, U2, U3) on the bottom and side surfaces of the simulated soil body. A reference point is placed at the loading end of the anchor rod, and it is rigidly coupled to the loading surface, with a displacement load applied in the pullout direction at the reference point, and the displacement loading rate is set to 0.5 mm/min, based on the settings in reference25,26. The analysis of the pullout process begins with the soil’s geostatic equilibrium, and the dynamic explicit analysis is performed during the loading process, with a time scaling factor set to 10^−5. The geometric dimension and load boundary of the jet grouting anchor model are shown in Fig. 11.
The model’s mesh consists of hexahedral elements, which are divided using the sweep technique with a neutral axis algorithm. To ensure both computational speed and accuracy, the mesh size for the anchor rod is set to 15 mm, while the mesh sizes for the anchor body and soil are set to 30 mm. Due to the consideration of material nonlinearity in the model, and the soil boundary being set at 2 m4, it is worth verifying whether this is sufficient to eliminate boundary effects. Therefore, a mesh sensitivity analysis was conducted, including finer meshes (5 mm + 15 mm) and coarser meshes (30 mm + 50 mm). The load-slip curves for the specimens with three different mesh sizes are shown in Fig. 12. It is evident that the selected mesh sizes exert little influence on the prediction results.
Constitutive models
Concrete
As analyzed in Sect. 2.2, the strength of the core section of the grouted anchor is the same as that of the jet-grouted anchor, with both materials being C20 concrete, which exhibits high strength. Therefore, a linear elastic constitutive model is chosen for this part, while the surrounding soil of the pile is modeled using the Moore-Coulomb elastoplastic constitutive model. For the enlarged portion of the jet-grouted anchor, C20 concrete is also used. Due to the weaker concrete in the enlarged section, the CDP (Concrete Damaged Plasticity) model is employed to simulate the plastic damage in this area. The stress-strain constitutive model for concrete in the CDP model is derived from GB50010-201027, as shown in Eq. (4)-Eq. (12). The stress-strain constitutive models of the uniaxial compression and tension curves of concrete in the CDP model as shown in Fig. 13(a) and (b), respectively. The parameters for the CDP model are provided in Table 6, which are set based on the literature and industry code27,28,29,30.
where σc refers to the compressive stress of concrete; εc is the compressive strain of concrete; Ec denotes the elastic modulus of concrete; dc is the damage evolution parameter of the concrete under uniaxial compression; fc, r is the representative value of uniaxial compressive strength of the concrete; εc, r represents the peak compressive strain under uniaxial compression; αc is a parameter for descent segment in constitutive relationship of the concrete under uniaxial compression; εcu is the compressive strain when the stress-strain curve of concrete drops to the point where the stress equals to 0.5 fc, r.
where σt refers to tensile stress of concrete; εt is tensile strain of concrete; dt is damage evolution parameter of the concrete under uniaxial tension; ft, r equals representative value of uniaxial tensile strength of the concrete; εt, r represents peak tensile strain under uniaxial tension; αt is parameter for descent segment in constitutive relationship of the concrete under uniaxial tension.
Rebar
The constitutive relationship of steel reinforcement in this study is based on a basic bilinear stress-strain model, which can be expressed as follows:
in which Es represents the elastic modulus of the steel reinforcement, fy represents the yield stress of the steel reinforcement, and εy represents the strain at yield stress of the steel reinforcement. The constitutive model of the steel bar used in this study is shown in the Fig. 14.
Soil
Based on the recommended values provided in Table 1 and with reference to the literature, the soil parameters adopted in this study are summarized in the Table 7.
Results verification of FEMs
Figure 15 shows a comparison of the load-slip curves of the jet grouting anchor during construction. It can be seen that the calculated anchor load-displacement curve agrees well with the experimental values, effectively reflecting the variation pattern of the anchor load-displacement curve observed on-site. The comparison between the simulated ultimate load and displacement from the finite element model and the experimental values is shown in Table 8. From the comparative analysis, it is evident that there is a high degree of agreement between the calculated and experimental ultimate loads, with errors in the ultimate load and ultimate displacement being 3.99% and 3.33%, respectively. This result indicates that the established finite element model exhibits high computational accuracy and reliability in predicting the ultimate load and displacement, and can effectively reflect the actual mechanical behavior of the specimen. The discrepancies between the calculated and experimental values may be attributed to several factors: firstly, the grout material used for anchorage exhibits significant heterogeneity during loading, and the variability in its mechanical properties may cause deviations in the displacement response; additionally, the simplifications of boundary conditions and limitations of the material constitutive model may also influence the displacement calculation results. Nevertheless, overall, the finite element model’s computational results still provide a reliable reflection of the specimen’s mechanical properties, offering a solid theoretical foundation for further research.
To further verify the experimental results, the axial stress distribution with depth at different anchor depths under different loads from the simulated jet grouting anchor rods was compared with the experimental values, as shown in Fig. 16. It can be observed that the simulated axial stress curve of the jet grouting construction anti-floating anchor rods closely matches the experimental results, effectively reflecting the axial stress distribution pattern observed in the field measurements. The simulation results indicate that under the same load level, there is an axial stress concentration phenomenon at the anchor rod’s opening, and the axial stress at the anchor-rock interface decreases as the anchoring depth increases. At the same anchoring depth, the axial stress at the rock interface significantly increases as the load increases. The axial stress decays the fastest at depths above 1.5 m, and below 3.1 m, the axial stress at the rock interface is essentially zero. A slight difference from the experimental results is that the maximum axial stress at the rock interface when the simulated jet grouting anti-floating anchor rod fails is about 425 MPa, slightly lower than the experimental result of 435 MPa. In the simulation, the axial stress at the rock interface drops to zero at a depth of 3.1 m, while in the experiment, it drops to zero below 3.0 m. The reason for this discrepancy is that the experimental results are influenced by factors such as slurry strength and testing loading methods, whereas the simulation environment is idealized and less affected by these factors. Overall, the simulation results show a high degree of agreement with the experimental results, indicating that the finite element model established can well reflect the bonding mechanism of the jet grouting anti-floating anchor rods at the rock interface, further verifying the reasonableness of the simulation results.
Parameter analysis
To further validate the universality of the experimental results and extend the parameter range, a systematic sensitivity analysis of the finite element model is required. Taking the finite element model of the jet-grouted anchor as an example, key material parameters are selected for in-depth study, primarily including the tensile strength of the anchor and anchorage length. These parameters significantly influence the bond performance between the anchor and the anchor body, which in turn affects the pullout resistance of the anchor. By adjusting the values of tensile strength and anchorage length, four sets of finite element models are designed for parameter analysis. The four models for tensile strength parameter analysis are: T1(σs = 300 MPa), T2(σs = 400 MPa), T3(σs = 600 MPa), and T4(σs = 700 MPa). The four models for anchorage length parameter analysis are: F1(Ld=8 m), F2(Ld=9 m), F3(Ld=10 m), and F4(Ld=11 m). Through computational analysis, and by comparing with the original calculation model (σs = 500 MPa, Ld=9.5 m), The strain distribution of the steel bars at the ultimate state, as well as the strain distribution of the concrete and soil, are derived as shown in Figs. 17 and 18, and the load-displacement curves of the finite element models under different parameters are obtained, as shown in Fig. 19. The comparison results of the computed values for different anchor parameters are presented in Tables 9 and 10.
As illustrated in Fig. 17, the stress in the reinforcement at the ultimate state increases gradually with the strength grade of the steel bars. This behavior can be attributed to the full anchorage provided by the surrounding concrete, which ensures that the ultimate pullout capacity of the anchor is governed by the tensile strength of the reinforcement. Consequently, the strain in the steel increases accordingly.
Figure 18 indicates that, under the ultimate state, the principal tensile stress in the concrete approaches its limiting tensile strength in most regions, while the stress mobilized in the surrounding soil remains relatively low. Moreover, since variations in the anchorage length do not significantly influence the concrete stress distribution at failure, the magnitude of concrete stress remains consistent across the four numerical models.
It can be observed that an increase in the tensile strength of the anchor leads to an increase in the bearing capacity of the jet-grouted anchor. Compared to the original model, the ultimate bearing capacities of the T1 and T2 models decrease by 42% and 18%, respectively; while the transfer lengths of the T3 and T4 models increase by 13% and 39%, respectively. This is because as the tensile strength of the anchor increases, the bond strength at the interface increases, leading to a higher pullout resistance of the anchor.
In contrast, as the anchorage length decreases, the ultimate displacement of the specimen first remains unchanged and then gradually decreases. Compared to the original model, the ultimate displacement of the F1 and F2 models increases by 19% and 6%, respectively; while the ultimate displacement of the F3 and F4 models decreases by 15% and 24%, respectively. This is because as the anchorage length decreases, the bond strength of the specimen weakens, requiring a longer displacement to achieve the same ultimate pullout strength. On the other hand, as the anchorage length increases, the anchoring force of the grout on the anchor increases, and since the ultimate tensile strength of the anchor remains unchanged, the ultimate pullout displacement decreases.
Conclusion
This study systematically investigates the bonding performance of high-strength steel anti-floating anchor rods in mudstone strata using on-site pull-out tests and finite element simulations, and compares the results with traditional grouting methods. The results show that the jet-grouting technique significantly enhances the interface bond strength and load transfer efficiency of the anchor rods through the expansion effect. The finite element model established using ABAQUS effectively simulates the mechanical behavior of jet-grouted anchor rods, and through parameter analysis, reveals the influence patterns of key design parameters, providing theoretical and technical support for the optimization of anti-floating anchor rod designs. The specific conclusions are as follows:
(1) The jet-grouting technique significantly improves the bonding performance of the anchor rods. Comparative on-site pull-out tests show that the anti-floating anchor rods formed by jet grouting outperform those formed by traditional grouting in terms of bond strength and load transfer performance at the mudstone interface. Specifically, the load-displacement curve of the jet-grouted anchor rods exhibits higher stiffness in the early stage, smaller peak displacement, and axial stress decays to zero within a shorter anchorage length (3 m), indicating higher stress transfer efficiency.
(2) The finite element simulation method for jet-grouted expansion anchor rods is proposed and verified. Based on ABAQUS software, a finite element model suitable for jet-grouted expansion anchor rods was established, using the Concrete Damage Plasticity (CDP) model to simulate the plastic damage of the expanded grout. The accuracy of the model was verified by experimental data, with the simulation results showing a limit load error of only 3.99% and a limit displacement error of 3.33%. The axial stress distribution pattern was highly consistent with the experimental results, providing a reliable method for numerical analysis of similar anchor rods.
(3) The tensile strength of the anchor rod and anchorage length are key design parameters. Under the parameter conditions adopted in this study, finite element parameter analysis shows that for every 100 MPa increase in the tensile strength of the anchor rod, the bearing capacity increases by approximately 25% on average. However, when the anchorage length exceeds 9.5 m, further lengthening the rod results in diminishing returns in bearing capacity, though it significantly reduces the ultimate displacement (the displacement at 11 m anchorage length is 36% lower than at 8 m). This provides a quantitative basis for the optimized design of anti-floating anchor rods.
Data availability
Data will be made available on request. (E-mail: 2024021528@chd.edu.cn)
References
Tóth, Á., Gong, Q. & Zhao, J. Case studies of TBM tunneling performance in rock–soil interface mixed ground. Tunn. Undergr. Space Technol. 38, 140–150 (2013).
Bobet, A. & Einstein, H. H. Tunnel reinforcement with rockbolts. Tunn. Undergr. Space Technol. 26, 100–123 (2011).
Ahangarnazha, B. H., Pourbaba, M. & Afkar, A. Bond behavior between steel and glass fiber reinforced polymer (GFRP) bars and ultra high performance concrete reinforced by Multi-Walled carbon nanotube (MWCNT). Steel and composite structures. Int. J. 35, 463–474 (2020).
Bai, X. et al. Field test of GFRP bar anti-floating anchor slurry-rock interface bonding performance. Compos. Struct. 331, 117893 (2024).
Choi, J. H., Park, K. C., Lee, Y. H., Kim, H. C. & Lee, J. S. Experimental study on bond strength of AFRP rebar in normal strength concrete. J. Earthq. Eng. Soc. Korea. 13, 9–16 (2009).
Wu, C., Meng, B. C., Cheng, X., Korayem, A. H. & Tam, L. H. Bond behavior between BFRP rebar and seawater sea sand concrete. Advances in Civil Engineering 8850809 (2020). (2020).
Akbas, T. T., Celik, O. C. & Yalcin, C. Experimental bond behaviour of deformed CFRP rebars in high strength concrete. in proceeding of the Concrete—Innovation and Design, FIB Symposium, Copenhagen, Denmark 18–20 (2015).
Lee, J. Y. et al. Interfacial bond strength of glass fiber reinforced polymer bars in high-strength concrete. Compos. Part. B: Eng. 39, 258–270 (2008).
Weber, A., Schweinfurth, J. & Jütte, B. Newly developed GFRP rebar in diaphragm walls of large tunnelling projects. Tunn. Undergr. Space Technol. Incorporating Trenchless Technol. Res. 21, 437–437 (2006).
Li, X., Zhang, J., Akiyama, E., Wang, Y. & Li, Q. Microstructural and crystallographic study of hydrogen-assisted cracking in high strength PSB1080 steel. Int. J. Hydrog. Energy. 43, 17898–17911 (2018).
Baran, E., Akis, T. & Yesilmen, S. Pull-out behavior of prestressing strands in steel fiber reinforced concrete. Constr. Build. Mater. 28, 362–371 (2012).
Elices, M. et al. Failure analysis of prestressed anchor bars. Eng. Fail. Anal. 24, 57–66 (2012).
Jiang, Y., Chen, H., Nie, X. & Tao, M. Experimental study on bond and anchorage of steel bars in precast concrete structures with new-to-old concrete interface. Eng. Struct. 247, 113086 (2021).
Ren, Y., Wang, H., Guan, Z. & Yang, K. Evaluation of the properties and applications of FRP bars and anchors: A review. Reviews Adv. Mater. Sci. 62, 20220287 (2023).
Barley, A. D. & Windsor, C. R. Recent advances in ground anchor and ground reinforcement technology with reference to the development of the art. in ISRM international symposium ISRM-ISISRM, (2000).
Fangtian, W., Cun, Z., Shuaifeng, W., Xiaogang, Z. & Shenghua, G. Whole section anchor–grouting reinforcement technology and its application in underground roadways with loose and fractured surrounding rock. Tunn. Undergr. Space Technol. 51, 133–143 (2016).
Meng, F. W., Sun, Z. Z. & Hu, Y. L. Application of pre-mixed abrasive water jet to quit anchor underground. Appl. Mech. Mater. 556, 1384–1387 (2014).
Tang, K. et al. Research on digital monitoring technology for airport high-pressure rotary jet piles. IEEE Access. 11, 112731–112752 (2023).
Zhang, J. et al. Study on the diffusion parameters of newtonian fluid in High-Pressure jet disturbance grouting. Buildings 14, 1491 (2024).
SPDQTS. Design Code for Building Foundation of Chengdu RegionDB51/T 5026 – 2001. (2001).
MHURDC. Technical specifications for concrete strength testing by core drilling method JGJ/T 384–2016. (2016).
MHURDPRC. Technical standard for building engineering against uplift(JGJ 476–2019). (2019).
Gomes, M. S., Carmo, G. P., Ptak, M. & Fernandes, F. A. Alves de Sousa, R. J. Accuracy and efficiency of finite element head models: the role of finite element formulation and material laws. Int. J. Numer. Methods Biomed. Eng. 40, e3851 (2024).
Hua, C., Fang & Gu, D. Study on constitutive model of grouting sleeve in Conerete. Building Struct. 54, 144–151 (2024).
Xu, T., Bian, X., Liu, Z., Yang, J. & Zhang, Z. Local bond stress–slip relationship of ribbed reinforcing bars embedded in UHPC: Experiment, modeling, and verification. J. Building Eng. 68, 106122 (2023).
Zhan, Y. et al. Bond between 0.7-inch-diameter steel strands and UHPC: pullout test, finite element simulation, and Estimation of transfer length. Constr. Build. Mater. 417, 135217 (2024).
MHURDPRC GB 50010 – 2010. Code for Design of Concrete Structures. (2016).
Lubliner, J., Oliver, J. & Oller, S. A plastic-damage model for concrete. Int. J. Solids Struct. 25, 299–326 (1989).
Lee, J. & Fenves, G. L. Plastic-Damage model for Cyclic loading of concrete structures. J. Eng. Mech. 124, 892–900 (1998).
Zhan, Y. et al. Experimental and numerical investigations on shear behavior of large keyed tooth joints. Constr. Build. Mater. 344, 128200 (2022).
Author information
Authors and Affiliations
Contributions
X.W. and J.W. wrote the main manuscript text and C.Y. and L.C prepared all the figures. All authors reviewed the manuscript.
Corresponding author
Ethics declarations
Competing interests
The authors declare no competing interests.
Additional information
Publisher’s note
Springer Nature remains neutral with regard to jurisdictional claims in published maps and institutional affiliations.
Rights and permissions
Open Access This article is licensed under a Creative Commons Attribution-NonCommercial-NoDerivatives 4.0 International License, which permits any non-commercial use, sharing, distribution and reproduction in any medium or format, as long as you give appropriate credit to the original author(s) and the source, provide a link to the Creative Commons licence, and indicate if you modified the licensed material. You do not have permission under this licence to share adapted material derived from this article or parts of it. The images or other third party material in this article are included in the article’s Creative Commons licence, unless indicated otherwise in a credit line to the material. If material is not included in the article’s Creative Commons licence and your intended use is not permitted by statutory regulation or exceeds the permitted use, you will need to obtain permission directly from the copyright holder. To view a copy of this licence, visit http://creativecommons.org/licenses/by-nc-nd/4.0/.
About this article
Cite this article
Wei, X., Wei, J., Kuang, Q. et al. Field test and numerical simulation study on bonding performance of high-strength steel anti-floating anchor rod under rotary jet grouting construction. Sci Rep 15, 39302 (2025). https://doi.org/10.1038/s41598-025-24646-9
Received:
Accepted:
Published:
Version of record:
DOI: https://doi.org/10.1038/s41598-025-24646-9


















