Abstract
Alzheimer’s disease (AD) features amyloid-β (Aβ)1–42 plaques, neuroinflammation, and neuronal loss. Apoptosis and pyroptosis contribute to AD, with inflammatory cytokines involved. Flavonoids like Hesperetin may reduce Aβ1–42 deposition through anti-inflammatory effects. This study introduces a novel method combining LPS and Aβ1–42 to investigate Hesperetin’s mechanism for potential AD treatments. Using computational and experimental methods, we evaluated the physicochemical properties and their correlation with protein aggregation at the molecular level. Human neuroblastoma SH-SY5Y cells were induced to differentiate and then exposed to Hesperetin (1 µM and 10 µM), LPS (1 µg/mL), and Aβ1–42 (20 µM) for 24 h. The expression levels of pro- (Bak, Bax, and Caspase-3) and anti-apoptotic genes (Bcl-2), pyroptosis-related genes (Caspase-1, Caspase-4, Caspase-5, NLRP3, and GSDMD), and pro-inflammatory cytokines genes (interleukins 6 and 1β, and TNF-α) were analyzed via qRT-PCR. The obtained simulation of our result clearly showed that Hesperetin led to the disintegration of the cross-linked structure of organized Aβ1–42 fibrils. Increased RMSD, Rg, and SASA values might lead to destabilization of Aβ1–42 fibrils in the presence of Hesperetin. Our experimental study also demonstrated that Hesperetin increased cell viability in SH-SY5Y cells induced by LPS and Aβ1–42. Hesperetin effectively reverses the enhanced apoptosis caused by LPS and Aβ1–42. Our findings indicated that Hesperetin significantly reduced the elevated expression levels of pro-inflammatory cytokines in the SH-SY5Y cells induced by LPS and Aβ1–42. Treatment with Hesperetin led to a notable downregulation of the enhanced expression of pyroptotic-related genes in LPS and Aβ1–42 induced cells. The details of the molecular level along with the investigation of the physicochemical properties of Hesperetin regarding the mechanism of destabilization of Aβ1–42 fibrils introduce it as a promising therapeutic agent for AD management. Our experimental findings also indicate that Hesperetin is a compound that prevents neuronal death by reducing inflammation and inhibiting apoptosis and pyroptosis.
Similar content being viewed by others

Introduction
The increasing global aging population has contributed to a rise in neurodegenerative disorders, with Alzheimer’s disease (AD) emerging as a major public health concern1,2. Currently affecting more than 49 million people worldwide, AD is characterized by progressive cognitive decline, emotional disturbances, and distinct neuropathological manifestations, including extracellular amyloid-β (Aβ1–42) plaques and intracellular neurofibrillary tangles (NFTs)3,4. In addition to these hallmark pathologies, growing evidence suggests that neuroinflammation and neuronal loss play significant roles in AD progression5.
AD pathogenesis involves a complex and interconnected cascade of events. Extracellular Aβ1–42 accumulation triggers tau hyperphosphorylation, leading to neurofibrillary tangle formation. Both Aβ1–42 and tau aggregates exacerbate oxidative stress and mitochondrial dysfunction, which in turn amplify neuroinflammatory responses. Activated microglia and astrocytes release pro-inflammatory cytokines and reactive oxygen species (ROS), creating a self-propagating cycle of neuronal injury. Moreover, gut-derived endotoxins like lipopolysaccharide (LPS) have been implicated in blood-brain barrier (BBB) disruption, triggering neuroinflammatory cascades within the central nervous system and exacerbating AD pathology6,7,8. This combined insult ultimately activates programmed cell death pathways, including apoptosis and pyroptosis, resulting in synaptic dysfunction and widespread neuronal loss, which underlie cognitive deficits in AD.
Among the inflammatory cell death mechanisms, pyroptosis has recently gained attention for its role in AD9,10. Pyroptosis is a caspase-1-dependent process mediated by inflammasomes such as NOD-like receptor family pyrin domain containing 3 (NLRP3). Pathogenic stimuli, including Aβ1–42, tau, and bacterial endotoxins like LPS, activate inflammasomes, leading to maturation of interleukin-1β (IL-1β) and IL-18, membrane rupture, and extensive neuroinflammation11. This process is closely linked to apoptosis, which is also activated in AD through caspase-3, −8, and − 9 pathways and alterations in Bcl-2 family proteins, further contributing to neuronal degeneration12,13. Assessing both apoptosis and pyroptosis provides a comprehensive view of AD-related neuronal death mechanisms, particularly under conditions of combined Aβ1–42 and inflammatory stimuli12,13. In addition, oxidative stress plays a pivotal role in amplifying both Aβ1–42 and LPS-mediated neuronal damage. ROS accumulation disrupts cellular redox homeostasis, activates pro-inflammatory signaling pathways such as NF-κB, and sensitizes neurons to apoptosis and pyroptosis14,15. Alongside pyroptosis, apoptosis has also been implicated in AD pathophysiology16. Aβ1–42 has been found to activate caspase-3, caspase-8, and caspase-9, while influencing B-cell lymphoma 2 (Bcl-2) family protein expression, shifting the balance toward neuronal apoptosis. These interconnected mechanisms collectively drive synaptic dysfunction and neuronal loss, further defining the pathology of AD17.
Given these insights, there has been increasing interest in naturally derived compounds with anti-inflammatory and neuroprotective properties18,19. Flavonoids, widely distributed in fruits and vegetables, demonstrate antioxidant, anti-inflammatory, and anti-apoptotic effects20. Among them, Hesperetin (3’,5,7-trihydroxy-4’-methoxyflavanone), a member of the flavanone subclass of flavonoids, can cross the blood-brain barrier, exhibits moderate lipophilicity, and can interact with key neuroinflammatory mediators, making it a viable candidate for neurodegenerative disease intervention21,22,23. Mechanistically, Hesperetin has been shown to reduce oxidative stress, inhibit nuclear factor kappa-light-chain-enhancer of activated B cells (NF-κB)-mediated inflammatory signaling, modulate nuclear factor erythroid 2–related factor 2 (Nrf2) antioxidant pathways, and suppress apoptosis24. Importantly, emerging evidence suggests Hesperetin may also attenuate inflammasome activation and caspase-1–mediated pyroptosis, thereby simultaneously targeting multiple deleterious pathways involved in AD pathogenesis25.
Recent advances in computational biology, particularly molecular docking and molecular dynamics (MD) simulations, have enabled in-depth investigations of ligand-protein interactions. These approaches facilitate binding affinity predictions, stability assessments, and structural changes that occur when Hesperetin interacts with Aβ1–42 aggregates. The impact of computational structure-based drug design (SBDD) on drug discovery has intensified in the past decade due to the rapid development of faster architectures and better algorithms for high-level computation in a cost-effective manner26. Classical MD simulations now allow the implementation of SBDD strategies that fully account for the structural flexibility of the overall drug-target model system. Computational techniques, combined with experimental studies, offer the advantage of evaluating and predicting the molecular basis of protein-ligand interactions, which can help rationally develop and enhance targeted therapies. By integrating in vitro cellular studies with in vitro modeling, researchers can adopt a comprehensive strategy to investigate the biological activities and molecular mechanisms underlying neuroprotection26.
In this context, human SH-SY5Y neuroblastoma cells are widely used as a neuronal model due to their human origin, genetic background, and ability to differentiate into neuron-like cells with axo-dendritic polarity. These features allow the study of pathways relevant to AD, including tau phosphorylation, β-amyloid toxicity, and cell death mechanisms. However, this model has notable limitations: it lacks microglia and other glial populations, is derived from neuroblastoma and thus displays mixed cancerous and neuronal features and does not fully reproduce all neuronal subtypes or aging-related characteristics. Furthermore, differentiated cells form axo-dendritic projections, but synaptic maturation remains incomplete, limiting modeling of complex neuronal networks27. Given these characteristics, SH-SY5Y cells serve as a suitable in vitro model to explore the neuroprotective effects of potential therapeutic compounds, such as Hesperetin, under conditions mimicking AD-related cellular stress.
While Hesperetin has shown promising anti-inflammatory and antioxidant properties, its effects on pyroptotic and apoptotic pathways in Aβ1–42 + LPS co-induced neurotoxicity have not been thoroughly explored. Thus, this study aims to investigate Hesperetin’s neuroprotective effects in an Aβ1–42 + LPS-induced SH-SY5Y cellular model of AD, employing molecular biology assays alongside computational simulations to unveil its mechanistic roles, with a particular focus on NLRP3 inflammasome-mediated pyroptosis and associated inflammatory signaling pathways.
Materials and methods
Computational methodology
Aβ1–42 protofibril model and molecular docking
A 3D model of Aβ1–42 (PDB ID: 2BEG) was considered for our current study28. The PDB (Protein Data Bank) database for 2BEG contains all ten models obtained by solution nuclear magnetic resonance (NMR). However, the first model is usually used for simulations because it satisfies most of the structural constraints. The pentameric structure of a repeating unit of the fully formed Aβ1–42 fibril is best described as a protofibril29. This is a popular model that has been used for several other studies as an intermediate conformer in the fibril system30,31. The protofilament consists of five chains A, B, C, D, and E, as shown in Fig. 1.
The central region of the protofibril is formed by residues 17–42 but lacks the first sixteen N-terminal residues. The first sixteen residues are disordered but contribute significantly less to the overall stability of the fibril. Hence, the observation made using this model can be generalized to the full-length fibril32. The U-shaped motif consists of two in-register β-strands, β1 extending from residues 18–26 and β2 from 31 to 42. The strands are connected by a kink region extending from residues 27–30. Alzheimer’s is characterized by the accumulation of hyperphosphorylated intraneuronal neurofibrillary tangles (NFTs) and extracellular Aβ1–42 plaques33. The Aβ1–42 peptide is derived from the sequential degradation of amyloid precursor protein (APP), an integral membrane protein, by beta and gamma-secretases34. The enzyme γ-secretase produces two major peptide forms Aβ1–40 and Aβ1–42 which consist of 40 and 42 amino acid residues, respectively. Aβ1–42 is the predominant form present in the disease state and tends to aggregate more readily in solution, leading to increased neurotoxicity. Aβ1–42 aggregation likely occurs via three distinct pathways: specific on and off pathways, and a nonspecific amorphous pathway35. Oligomerization of Aβ1–42 forms aggregates such as amyloid fibrils, irregular β-aggregates, and amorphous unstructured aggregates. The chemical process of the active pathway involves the polymerization of highly ordered intermediates derived from monomeric aggregation-prone β-sheet structures (APS). The ordered intermediate prefibrillar aggregates ultimately form the fibrillar components of amyloid plaques. Advances in molecular medicine have placed the Aβ1–42 pathway at the heart of the pathophysiology of Alzheimer’s disease. Diverting Aβ1–42 aggregates into off-pathway irregular aggregates or amorphous aggregates suppresses fibril formation and is a promising therapeutic strategy for Alzheimer’s.
For analyzing molecular interactions, researchers obtained the Alzheimer’s Aβ1–42 fibril structure (PDB: 2BEG) from RCSB-PDB36, while Hesperetin’s three-dimensional structure (PubChem CID: 72281) was accessed from PubChem37. To predict potential binding interactions between these molecules, AutoDock 4.2 software was utilized for molecular docking analysis38.
The protein preparation process involved adding hydrogen atoms and incorporating Gasteiger charges via AutoDock’s builder module. The protocol-maintained protein rigidity while allowing ligand flexibility. Initially, blind docking was carried out to identify potential binding sites across the entire protein surface, allowing for unbiased detection of interaction hotspots. Once the preferred binding regions were identified, a focused grid box was defined around these key areas to perform localized docking, improving computational accuracy and refining ligand-protein interaction analysis. The docking space was defined by a 126 × 80 × 80 ų grid box, ensuring complete ligand rotational freedom. The docking procedure implemented the Lamarckian genetic algorithm (LGA) with specific parameters: 200 independent runs, 25,000,000 energy evaluations maximum, 27,000 generations, 0.02 mutation rate, 0.80 crossover rate, 2 Å clustering tolerance, and 150 population size. The most favorable binding configuration was selected based on the lowest binding energy within the predominant cluster, as previously reported39,40.
MD simulation
For deeper analysis, molecular dynamics simulations were conducted using GROMACS 2022.6 with the Amber99SB force field41. Two systems were studied: the protein alone and the Hesperetin-protein complex, both placed in cubic water boxes of 6.82555 nm³. The simulation used the most stable docking configurations as starting points, with Hesperetin’s parameters determined through ACPYPE42. The systems employed TIP3P water modeling and achieved neutrality through the addition of 34 Na⁺ and 29 Cl⁻ ions, maintaining a 0.15 M physiological ionic concentration. The simulations consisted of four key stages: (I) Energy Minimization: Initial atomic forces were eliminated using the steepest descent method to relax the system; (II) Constant Temperature Simulation: A 1-ns canonical (NVT) ensemble simulation was executed at 310 K, with heavy atom positions restrained; (III) Constant Pressure Simulation: This was followed by a 1-ns isothermal–isobaric (NPT) ensemble simulation at 1 bar, maintaining positional restraints on heavy atoms; and (IV) Production Simulation: Finally, all positional constraints were removed, and a 200-ns simulation was conducted with a 2-fs time step. Trajectory data from this phase were used to extract physical parameters. For temperature and pressure regulation, the Nose–Hoover thermostat43 and the Parrinello–Rahman barostat44 were applied. Additionally, the Lennard-Jones potential, the Particle-Mesh Ewald (PME) method45, and the LINCS algorithm46 were utilized to compute van der Waals interactions, long-range electrostatics, and covalent bond constraints, respectively. This study systematically analyzed both the free protein and the Hesperetin-protein complex, evaluating root mean square deviation (RMSD), radius of gyration (Rg), and solvent-accessible surface areas (SASA), as previously reported47,48,49,50. Furthermore, free energy assessments of protein-ligand interactions were performed using the Molecular Mechanics/Poisson-Boltzmann Surface Area (MMPBSA) method51.
Drug metabolism and pharmacokinetics
Toxicity evaluations of the compounds identified with the Shimadzu GC-MS-QP 2010 Ultra were performed via SwissADME52, and pkCSM (http://www.biosig.unimelb.edu.au/pkcsm/prediction)53. Additional analytical methods were employed for an in-depth examination of the substances. The molecular structure of each compound was retrieved using SMILES notation from PubChem (https://pubchem.ncbi.nlm.nih.gov). A comprehensive pharmacokinetic assessment was carried out on compounds with the appropriate physicochemical characteristics. The pharmacokinetic profiles of the top natural compounds, showing strong binding affinity to Aβ1–421-42, were assessed using the pkCSM platform. This evaluation focused on the physicochemical characteristics of the compounds, including their drug-likeness according to Lipinski’s Rule of Five54, Veber55, Egan56, Ghose and Muegge57, lipophilicity (Log Po/w), water solubility (Log S), topological polar surface area (TPSA), number of rotatable bonds, and medicinal chemistry evaluations (PAINS, Brenk, Lead likeness, and synthetic accessibility [SA]), followed by an assessment via SwissADME.
In vitro methodology
Experimental materials
SH-SY5Y cells (NCBI No. Index: C611) were obtained from the National Cell Bank of Iran at the Pasteur Institute and cultured at passages 3–5. Cells were maintained in a mixture of DMEM (Gibco Life Technologies, UK; Cat. No. 41965−039) and Ham’s F12 medium (Gibco, UK; Cat. No. 11765-054) supplemented with 10% fetal bovine serum (FBS, Gibco, UK; Cat. No. 10270) and antibiotics (streptomycin 100 µg/mL, penicillin 100 U/mL, Gibco, UK). Amyloid-β-peptide (Aβ1–421-42, AnaSpec, USA; Cat. No. AS-20276) was used for cell treatment. Key reagents including MTT (Sigma-Aldrich, USA; Cat. No. M5655), lipopolysaccharide (LPS, Sigma-Aldrich, USA; Cat. No. L4391), hesperetin (Sigma-Aldrich, USA; Cat. No. W431300), and retinoic acid (Sigma-Aldrich, USA; Cat. No. R2625) were used as indicated.
Cell culture and experimental groups
SH-SY5Y cells (2 × 10⁴) were cultured in a 1:1 ratio of DMEM and Ham’s F12 medium (DMEM/F12), supplemented with 10% FBS, 100 U/mL penicillin, and 100 mg/mL streptomycin. Cells were then incubated at 37 °C in a humidified atmosphere with 95% air and 5% CO₂. For differentiation, SH-SY5Y cells were seeded in 60-mm Petri dishes with 10 mL of complete medium and cultured for 2–3 days until reaching 80–90% confluence. At this stage, the medium was replaced with a serum-free medium containing 10 µM retinoic acid, followed by incubation at 37 °C under 5% CO₂ for 10 days. The medium was replenished every 2–3 days to sustain retinoic acid concentration. After 10 days of treatment, microscopic examination was performed to confirm cell differentiation status.
Differentiated SH-SY5Y cells were subjected to the following experimental conditions: (I) Control Group: Cells received no treatment; (II) Hst Group: Cells were treated with 1 µM Hesperetin; (III) LPS Group: Cells were exposed to 1 µM/mL or 50 nM lipopolysaccharide (LPS); (IV) Aβ1–42 Group: Cells were incubated with 20 µM Aβ1–42; (V) LPS + Aβ1–42 Group: Cells received simultaneous exposure to 20 µM Aβ1–42 and 1 µM/mL LPS; (VI) Hst + LPS + Aβ1–42 Group: Cells were treated with a combination of 20 µM Aβ1–42, 1 µM/mL LPS, and 1 µM Hesperetin.
This experimental framework aimed to assess the neuroprotective effects of Hesperetin and the neurotoxic consequences of LPS and Aβ1–42 in differentiated SH-SY5Y cells.
MTT assay
In the experimental setup, SH-SY5Y cells were cultured in 96-well plates at 8 × 10⁴ cells/cm² concentration in 200 µL medium for 24 h. The cells underwent a 3-hour pretreatment with 1 µM Hesperetin or control conditions, followed by exposure to either Aβ1–42 (1–100 µM) alone or in combination with LPS (1 µg/mL) for 24 h.
The preparation of aggregated Aβ1–42 involved dissolution in calcium-free PBS and a 4-day incubation at 37 °C9. Cell viability assessment utilized the MTT assay, where 10 µL of MTT solution (5 mg/mL) was introduced to each well for 4 h at 37 °C. Formazan crystals were dissolved in 100 µL of dimethyl sulfoxide (DMSO, analytical grade), and the plate was gently agitated for 10 min to ensure complete dissolution. A microplate reader measured absorbance at 570 nm, using 630 nm as reference. Results were normalized to control cell values and expressed as percentage viability58.
Quantitative reverse transcriptase PCR (qRT-PCR)
For RNA extraction, differentiated SH-SY5Y cells were seeded in 25-cm² flasks at a density of 6 × 10⁵ cells per flask and cultured in 5 mL complete DMEM/F12 medium for 24 h. Cells were then treated under the experimental conditions described in Sect. 2.2.2 for 24 h. Following treatment, cells were washed with cold PBS and harvested for RNA extraction. Total RNA was isolated using the Kiyanzol isolation reagent kit (KiyanDanesh, Shiraz, Iran) according to the manufacturer’s instructions. RNA quality and quantity were assessed using NanoDrop spectrophotometry for purity and agarose gel electrophoresis for integrity.
The RNA was then converted to cDNA using SinaClon synthesis kit (Tehran, Iran; Cat. No. RT5201) under standard protocols.
Gene expression analysis employed the 7500 Real-Time PCR System (Applied Biosystems, USA). Primer efficiency was validated using standard curves (90–105%), and melt curve analysis confirmed single, specific products for all primers. GAPDH stability under LPS/Aβ1–42 treatment was confirmed before use as a reference gene. Reaction mixtures containing cDNA (~ 250 ng), primers (5 pM each), and Sybr Green Master Mix, totaling 25 µL per reaction. Primer sequences utilized in this study are outlined in Table 1. The study examined expression patterns of multiple genes including apoptotic markers (Bax, Bcl-2, Bak), caspases (1, 3, 4, 5), and inflammatory cytokines (IL-6, IL-1β, TNF-α), using GAPDH as the housekeeping reference. Expression levels were calculated using the 2⁻ΔΔCt method59,60.
Statistical analyses
The statistical analysis presented results as mean ± SD, utilizing one-way ANOVA with Tukey’s post hoc test for group comparisons. Data processing employed SPSS version 24.0, while GraphPad PRISM 9.4.1 generated the visual representations. All experiments were performed in triplicate, with p < 0.05 indicating statistical significance.
Results and discussion
In silico findings
Analysis of binding interaction
Molecular docking is a computational tool employed to predict protein-ligand binding affinity, ranking potential receptor-ligand interactions based on their binding energies61. The binding energy for the interaction between Hesperetin and the Aβ1–42 fibril structure was determined using molecular docking, yielding a value of −8.37 kcal/mol, as illustrated in Fig. 2. Van der Waals, alkyl, hydrogen, and hydrophobic bonds are shown with residues of chains B to E of peptide Aβ1–4242. The therapeutic efficacy of a ligand depends on its binding affinity to the target protein, which can be quantified through binding free energy calculations. Besides hydrogen bonds, intermolecular hydrophobic interactions play a significant role in stabilizing ligand-protein binding. The phenyl rings characteristic of polyphenolic flavonoids are instrumental in forming these hydrophobic interactions with Aβ1–42 fibrils, with a higher number of hydrophobic contacts correlating with stronger binding affinity62.
The specific binding configurations of the representative Aβ1–42 fibril compounds, derived from cluster analysis, are presented in three-dimensional diagrams. The most stable docked conformation of Hesperetin within the Aβ1–42 fibril binding site is depicted in Fig. 3a. Two-dimensional structure analysis revealed that Hesperetin forms hydrogen bonds with key residues, including Leu17, Val18, and Val39, in the Aβ1–42 fibril structure (Fig. 3b). Additionally, hydrophobic interactions played a crucial role in stabilizing the binding, with the phenyl rings in Hesperetin enhancing these interactions.
Furthermore, to confirm the accuracy and precision of the molecular docking and to assess whether these movements could affect ligand binding, we extracted snapshots every 40 ns from the 200 ns MD simulation. As shown in Fig. 4, the strong instability of Aβ1–42 fibrils was observed throughout the simulation time. It appears that Hesperetin actually shortens preformed fibrils with strong hydrogen bonds and hydrophilic contacts, starting from the first contact chain and moving towards Aβ1–42 aggregates to disrupt the main contacts that control the stabilization of preformed Aβ1–42 fibrils, as previously reported63.
Optimizing hydrophobic interactions within the protein-ligand active site can enhance biological activity. Our binding analyses suggest that flavonoids bind effectively to Aβ1–42 fibrils, potentially preventing or reducing their aggregation. Numerous studies support the idea that hydrophobic interactions strengthen ligand-protein binding and enhance therapeutic efficacy63. These findings underscore the need for further investigation into flavonoids as alternative therapeutic options for neurodegenerative disorders due to their ability to modulate protein structural integrity and inhibit pathological aggregation, as previously known about SOD1 aggregation ALS-associated disease64,65,66,67.
Using this approach, prior studies have identified various flavonoids, such as Epicatechin-3-gallate, Gossypetin, Naringenin, Quercetin, and Myristicin, as effective inhibitors of Aβ1–42 and tau protein aggregation68. Citrus flavonoids, including Hesperetin, further reinforce antioxidant defenses by activating endogenous cellular mechanisms, particularly via the ERK/Nrf2 signaling pathway68,69. These compounds directly or indirectly alleviate oxidative stress, suppress Aβ1–42 aggregation, and inhibit tau protein hyperphosphorylation through Nrf2 activation and other oxidative response pathways. Additionally, they modulate synaptic function, promote mitochondrial autophagy, and display anti-inflammatory properties, all contributing to their neuroprotective effects in AD70,71. There is a well-established link between oxidative stress and the formation of amyloid beta plaques and tau hyperphosphorylation. Amyloid beta triggers glycogen synthase kinase-3β (GSK-3β), an enzyme implicated in cognitive decline and neuronal apoptosis. Hesperetin exhibits potential for mitigating cognitive deficits and protecting mitochondrial function, likely through GSK-3β inhibition, leading to a reduction in Aβ1–42 accumulation72. One study demonstrated Hesperetin’s ability to prevent Aβ1–42 aggregation and dissolve preformed fibrils in a manner depended on concentration73.
Conformational changes in the geometry of Aβ1–42 and Aβ1–421-42- protein-ligand complexes
While binding data provide insight into ligand-protein interactions, they do not directly predict protein conformational changes upon ligand binding. To explore this further, MD simulations are essential, as they examine the atomic-level behavior of molecular complexes. Using RMSD parameters, initial assessments compared the conformational stability of Aβ1–42 alone versus its complex with Hesperetin. Figure 5a illustrates the structural variations observed in the aggregated Aβ1–42 when bound to Hesperetin compared to its unbound state. The Root Mean Square Deviation (RMSD) values showed a shift from 0.72 nm for Aβ1–42 alone to 0.91 nm for the Hesperetin-bound complex. Visual analyses further confirmed structural alterations in the Aβ1–42 fibril following Hesperetin interaction, implying that Hesperetin binding reduces overall protein stability relative to the unbound fibril74.
Additional structural analyses confirmed that Hesperetin binding led to relaxation of the rigid β-sheet structures that maintain Aβ1–42 fibril stiffness. Ligand-induced conformational changes can also be assessed using SASA, a critical structural parameter74. Furthermore, the Solvent-Accessible Surface Area (SASA) measurements indicated an increase from 71.58 nm² in unbound Aβ1–42 fibrils to 78.32 nm² in the Hesperetin complex (Fig. 5b), suggesting structural disruption consistent with prior reports75.
Similarly, the study examined the radius of gyration (Rg), which represents the average spatial distribution of atoms in relation to their center of mass. The simulation revealed an increase in Rg from 1.41 nm in the unbound Aβ1–42 fibril to 1.49 nm following Hesperetin interaction, indicating structural alterations and reduced fibril compaction (Fig. 5c). Another key indicator, the radius of Rg, reflects protein compaction during MD simulations. Protein chain flexibility plays a vital role in determining protein-ligand interactions. further supporting structural relaxation upon Hesperetin binding74. Taken together, our findings indicate that Aβ1–42 fibrils undergo degradation upon interacting with Hesperetin, altering their dynamic properties. MD simulation trajectories suggest Hesperetin and similar flavonoids disrupt fibril conformation by influencing structural positioning. In conclusion, these observations imply that Hesperetin binding reduces intermolecular contacts, leading to decreased Aβ1–42 fibril stability, as previously documented63,76.
Molecular mechanics Poisson Boltzmann surface area calculations (MM-PBSA)
The MM-PBSA method was applied to evaluate the binding free energy of the selected protein-ligand complexes, as detailed in Table 2. The binding free energy of the Hesperetin-Aβ1–42 complex was calculated at −144 ± 11.123 kJ/mol, reinforcing strong molecular interactions. The contributions from van der Waals forces, electrostatic interactions, and SASA positively influenced binding energy, while polar solvation energy did not enhance overall binding stability in the examined complexes. MM-PBSA is widely regarded as an efficient and precise computational approach for evaluating protein-ligand affinities51. It is one of the most extensively utilized methods for determining interaction energies and binding free energy. The MM-PBSA binding energy for the Aβ1–42 fibril complex with Hesperetin was calculated to be −144 ± 11.123 kJ mol⁻¹, demonstrating a strong and direct interaction between the flavonoid molecule and Aβ1–42 fibrils. These findings support previous molecular docking results, which indicated that Hesperetin binds to Aβ1–42 fibril fragments with an acceptable binding energy. Higher molecular binding affinity generally enhances the ability of these compounds to inhibit Aβ1–42 fibril-induced aggregation. The binding energy analysis was further refined into nonpolar and polar energy components, representing hydrophobic and electrostatic interactions, respectively. Nonpolar energy was further classified into van der Waals and nonpolar solvation contributions, while polar energy was divided into electrostatic forces and polar solvation effects. Among the energy components evaluated, van der Waals, electrostatic, and SASA energies positively influenced the total binding free energy of the examined protein-ligand complexes. However, in all analyzed cases, polar solvation energy did not contribute favorably to the overall binding energy. Considering the comprehensive findings of this study, along with supporting literature, flavonoid compounds are proposed as promising alternative therapeutic agents for AD77 and other neurodegenerative conditions due to their capacity to mitigate structural modifications and inhibit pathological protein aggregation31,63.
ADMET (absorption, distribution, metabolism, excretion, and toxicity) properties and drug likeness
Identifying new drug candidates requires more than evaluating how tightly a ligand binds to its protein target. Beyond binding affinity, it is crucial to consider properties such as drug-likeness, pharmacokinetics, and toxicity to gauge a compound’s overall therapeutic potential. In this study, Lipinski’s rule of five was primarily applied to assess the drug-likeness of the chosen molecules78. In addition, an examination of the pharmacokinetic profiles and ADMET properties of the compounds is important to determine their appropriateness for safe and efficacious human application. Among the compounds Hesperetin had acceptable physicochemical, ADMET, and drug-likeness characteristics. Their pharmacokinetic attributes, as anticipated from pkCSM-Pharmacokinetics and SwissADME tools, are presented in Tables 3 and 4. On this basis, the said four compounds were selected as potential candidates and hence chosen to undergo further computational investigation. The drug discovery process becomes more and more complicated, expensive, and uncertain. Optimally balanced successful therapeutics are a requirement for pharmacokinetic response, toxicity, and biological activity. Improved computational strategies to optimize pharmacokinetic and toxicity properties may be able to speed up and improve the process of finding efficient drug candidates. Nevertheless, ADMET properties remain a challenge due to poor correlations between physicochemical descriptors and pharmacokinetic or toxicological endpoints. Therefore, new strategies are unavoidable in order to better understand, evaluate, and predict the ADMET profiles of small molecules to finally improve the quality and rate of success of drug development79. Elucidation of the pharmacokinetic profile of a drug is crucial for rational design of drugs against Alzheimer’s. Therefore, the toxicity of the compounds under selection was evaluated using in-silico approaches, and the findings are presented in Table 3. ADMET filtering was performed for Hesperetin compound in the pkCSM platform. The predicted toxicities included evaluation of hepatotoxicity, mutagenicity using the Salmonella typhimurium reverse mutation (AMES) assay, and median lethal dose (LD50)80. Moreover, the top-tolerated human dose was also anticipated. Brain-to-blood partition coefficient (log BB) values for the most active compounds indicated the level of penetration through the blood-brain barrier by these. These were consistent with those previous ADMET profiles on flavonoids that were previously described, and they better improved understanding of their pharmacokinetic properties81.
Pharmacokinetic attributes predicted by SwissADME are listed in Table 4. Drug discovery not only focuses on evaluating the binding interaction of a ligand with the target protein, but also drug-likeness, pharmacokinetics, and toxicity to evaluate the general therapeutic merit of a compound. Lipinski’s rule of five was used mainly for selected compounds for drug-likeness prediction78. We verified the physicochemical attributes of all the docking study hits. All compounds complied with Lipinski’s criteria, confirming their drug-like properties (see Table 4). Additionally, ADMET and bioavailability assessments including Lipinski’s rule, Ghose, Veber, Egan, and Muegge filters fell within acceptable ranges concerning lipophilicity and solubility for the chosen compounds. Water solubility, an influencing drug absorption, was expressed as log (mol/L) and classified into insoluble (< −10), poorly soluble (< −6), moderately soluble (< −4), soluble (< −2), very soluble (< 0), and highly soluble (> 0). Intestinal absorption values of the compounds under consideration were low to high absorption. The synthetic accessibility (SA) values of the compound ranged from 3.22, with the value near 10 indicating higher structural complexity and harder synthesis. It is worth noting that studies show that Hesperetin is able to cross the BBB, which is an important factor in terms of its neuroprotective activity. In other words, this compound is able to reach the site of the disease in the presence of neurodegenerative disorders and act directly where the pathological processes occur82. Regarding the permeability of the BBB, it has been suggested that Hesperetin reaches the central nervous system, where it may exert its neuroprotective effects by counteracting free radicals produced during cellular metabolism22. Also, the effects of Hesperetin against Alzheimer’s disease have been previously reported83,84. The results of a study showed improved bioavailability of hesperetin-7-O-glucoside complex with beta-cyclodextrin in Sprague-Dawley rats and healthy humans85.
In vitro findings
Dose–response analysis of Hesperetin on SH-SY5Y cell viability
To determine the safe range of Hesperetin, a preliminary dose–response analysis was conducted using concentrations from 1 to 160 µM over 24 h and 48 h (Fig. 6). The results demonstrated that Hesperetin at concentrations up to 10 µM did not significantly affect SH-SY5Y cell viability compared with untreated controls at either time point. However, at 20 µM and higher, a dose-dependent reduction in viability was observed, which became more pronounced after 48 h (p < 0.001). These findings indicate that 1 µM and 10 µM Hesperetin are non-cytotoxic and suitable for use in subsequent neuroprotection assays, whereas higher concentrations may induce cytotoxicity.
Our preliminary dose–response analysis demonstrated that Hesperetin concentrations up to 10 µM did not affect SH-SY5Y cell viability, while doses of 20 µM and above progressively reduced survival, particularly after 48 h of exposure (~ 15% 24 h and 22% 48 h) (p < 0.001). These findings agree with earlier reports showing that low micromolar concentrations of Hesperetin are non-toxic to neuronal cells, whereas higher concentrations may exert cytostatic or cytotoxic effects86. Based on these results, we selected 1 µM and 10 µM as safe and biologically relevant concentrations for further experiments. The inclusion of both doses allowed us to confirm that Hesperetin provides neuroprotection at non-toxic levels, with 10 µM producing stronger protective effects than 1 µM. This dual-dose approach strengthens the conclusion that Hesperetin’s beneficial actions are not due to subtoxic stress but rather reflect its pharmacological properties.
Dose–response analysis of Hesperetin on SH-SY5Y cell viability. Cells were treated with Hesperetin (1–160 µM) for 24 h (blue circles) and 48 h (green triangles). Viability was measured by MTT assay and expressed as percentage of untreated control. Data are presented as mean ± SD of three independent experiments. **p < 0.01 vs. control at 24 h; ###p < 0.001 vs. control at 48 h.
Hesperetin has protective effects on LPS- and Aβ1–42-induced SH-SY5Y Alzheimer’s model
A hesperetin concentration of 1 µM was initially selected for further investigation based on its negligible cytotoxic effects (< 5% change from control) and minimal impact on SH-SY5Y cell viability. To more comprehensively evaluate its therapeutic potential, an additional 10 µM hesperetin group was included in the MTT assay. Cells were exposed for 24 h under different conditions: varying concentrations of Aβ1–42 (1–100 µM) alone, Aβ1–42 combined with LPS (1 µg/mL), Aβ1–42 with hesperetin (1 or 10 µM), and the triple combination of Aβ1–42, LPS, and hesperetin (1 or 10 µM).
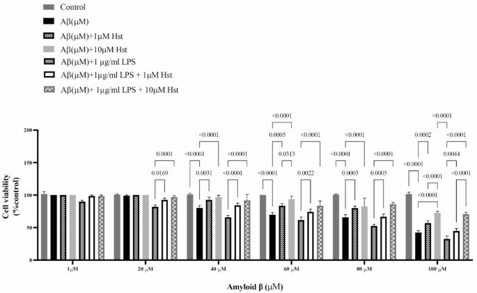
Exposure to Aβ1–42 alone induced a dose-dependent reduction in SH-SY5Y cell viability, ~ 55% reduction at 100 µM compared to the control. Co-treatment with Aβ1–42 and LPS further exacerbated this effect, decreasing viability by ~ 25% at 20 µM Aβ1–42 (p < 0.0001) and ~ 75% at 100 µM Aβ1–42 (Fig. 7).
Hesperetin significantly improved cell viability in a concentration-dependent manner. At ≥ 30 µM Aβ1–42, 1 µM hesperetin partially restored viability (~ 15% increase vs. Aβ1–42 group, p < 0.001), while 10 µM hesperetin produced a more pronounced protective effect (~ 28% increase vs. Aβ1–42 group, p < 0.0001). In the combined Aβ1–42 + LPS model, 1 µM and 10 µM hesperetin rescued viability by ~ 10 and 22% respectively at 20 µM Aβ1–42 compared with the Aβ1–42 + LPS group (p < 0.05 and p < 0.0001).
Based on these findings, 20 µM Aβ1–42 representing a submaximal cytotoxic dose that permitted detection of protective effects was selected for subsequent molecular analyses.
Flavonoids are a large group of secondary metabolites that have emerged in recent decades as promising neuroprotective agents in various models of neurodegenerative diseases. The ability of flavonoids to cross the blood-brain barrier suggests that these compounds can have a direct effect on the brain. Hesperetin is one of the flavonoid compounds that has emerged as a compound of interest due to its reported antioxidant, anti-inflammatory, anti-apoptotic, and mitochondrial protective activities87,88. In our study, we demonstrated that Hesperetin significantly improved cell viability in SH-SY5Y cells exposed to Aβ1–42, LPS, which their combination conditions intended to mimic an inflammatory and amyloidogenic environment characteristic of AD.
Hesperetin has been found to augment cell viability in Aβ1–42-induced SH-SY5Y cells and reduce the elevated production of Aβ1–42 caused by AGEs. Reduced Aβ1–42 production and increased Aβ1–42 degradation are central to making Hesperetin capable of protecting against AGE-induced neuronal cell damage. Moreover, Hesperetin has been shown to mitigate the LPS-induced pathological hallmarks both in vitro and in vivo. In a study by Li B et al., they investigated the effect of various doses of Hesperetin on SH-SY5Y cells and determined that a dose of 1 µM did not have any harmful effects, so this concentration was opted for our study86.
Our research findings revealed that Hesperetin can increase cell viability in cells induced by LPS and Aβ1–42, either alone or in combination (LPS + Aβ1–42).
The impact of Hesperetin on cell line viability after 24 h of exposure to LPS and Aβ1–42 induced cells at Aβ1–42 concentrations ranging from 1–100 µM, concentrations using MTT assy. The data is presented as mean ± SD (n = 3). Significance levels: * p < 0.05; ** p < 0.01; *** p < 0.001, **** p < 0.0001.
Hesperetin attenuated apoptosis signaling pathway in LPS- and Aβ1–42-induced SH-SY5Y Alzheimer’s model
The primary objective of this experiment was to determine whether hesperetin could protect SH-SY5Y cells against apoptosis. To this end, we measured the expression of pro-apoptotic genes Bak, Bax, and Caspase-3, along with the anti-apoptotic gene Bcl-2. As shown in Fig. 8A–D, treatment with LPS markedly induced apoptosis, with Bak expression increasing by ~ 3.8-fold (p < 0.0001), Bax by ~ 3.2-fold (p < 0.001), and Caspase-3 by ~ 4-fold (p < 0.001), accompanied by a ~ 40% reduction in Bcl-2 expression (p < 0.01) compared to the control group.
Treatment with Aβ1–42 alone (Aβ1–42 group) also elevated Bak (p < 0.05), Bax (p < 0.01), and Caspase-3 (p < 0.01) expression (each ~ 2–1.8-fold vs. control) and decreased Bcl-2 (~ 25% reduction), although did not reach statistical significance for Bcl-2.
When cells were treated with both Aβ1–42 and LPS (Aβ1–42 + LPS group), a pronounced apoptotic response was observed, characterized by strong upregulation of Bak (~ 6-fold), Bax (~ 4-fold), and Caspase-3 (~ 5.6-fold) (all p < 0.0001), together with a marked downregulation of Bcl-2 (~ 55% reduction, p < 0.05) compared with the control group.
Importantly, co-treatment with hesperetin (1 or 10 µM) alongside Aβ1–42 and LPS (Aβ1–42 + LPS + Hst groups) significantly mitigated apoptosis relative to the Aβ1–42 + LPS group. In the presence of 1 µM hesperetin, Bak, Bax, and Caspase-3 expression decreased by ~ 45–55% compared to the Aβ1–42 + LPS group, while Bcl-2 expression was restored by ~ 40% (p < 0.001). Notably, the higher hesperetin dose (10 µM) exerted a more robust anti-apoptotic effect, reducing Bak, Bax, and Caspase-3 expression by ~ 55–60% and restoring Bcl-2 to near-control levels (~ 70% of baseline). These findings suggest a clear dose-dependent protective action of hesperetin in SH-SY5Y cells.
Several studies have highlighted the role of increased apoptosis in neurodegenerative diseases, particularly in AD89,90. In this context, we assessed genes related to apoptotic SH-SY5Y cells induced by LPS and Aβ1–42 alone or in combination, as a proposed model of Alzheimer’s disease. Our data indicate that the levels of Bax, Bak, and Caspase-3 were significantly increased, while the levels of antiapoptotic Bcl-2 were markedly reduced in the cell groups treated with LPS and Aβ1–42.
Analysis of our qRT-PCR results showed that Hesperetin could effectively reverse these changes induced by LPS and Aβ1–42. In coordination with our study, Kudo et al. research indicated that suppression of Bax diminishes oligomeric Aβ1–42 neurotoxicity and protects neuronal cells. Furthermore, they announced that the pro-apoptotic Bim and Bax are up-regulated, while anti-apoptotic Bcl-2 is down-regulated in response to Aβ1–4291. Moreover, Callens et al., indicated that Bcl-2 proteins regulate intracellular calcium levels, and disruption in calcium signaling have been observed in the progression of AD92. Besides the Bcl-2 protein family, Caspase-3 plays a significant role in the apoptotic cascades leading to neurodegeneration. Caspase-3 can also cleave amyloid precursor protein (APP), which consequently can promote the formation of Aβ1–42 plaques and synaptic loss in the brain93. A study by Burguillos found that Caspase-3 is activated after stimulating microglia with inflammogens in BV2 cells and mice, and this caspase is activated in the microglia of AD patients94. Mei-Chou Lai et al. discovered that Hesperetin could down-regulate Bax expression, decrease Caspase-12, Caspase-9, and Caspase-3 activity, and up-regulate Bcl-2 protein in AGEs-induced SH-SY5Ycells, in addition to preventing Aβ1–42 aggravation95. Tahir Muhammad et al. also reported the anti-apoptotic effect of Hesperetin via declining Bax and Caspase-3 protein levels and elevating the Bcl-2 protein level in LPS-induced BV2 and HT-22 cells96.
Hesperetin attenuated apoptosis signaling pathway in SH-SY5Y cells induced by LPS and Aβ1–42. SH-SY5Y cells were treated with Aβ1–42 (20 µM), LPS (1 µg/mL), Hesperetin (1 or 10 µM), or their combinations (Aβ1–42 + LPS ± Hesperetin) for 24 h. The mRNA expression levels of Bak (A), Bax (B), Caspase-3 (C), and Bcl-2 (D) were determined using qRT-PCR. Values are presented as mean ± SD (n = 3). *p < 0.05, **p < 0.01, ***p < 0.001, ****p < 0.0001; ns, non-significant.
Hesperetin can inhibit neuroinflammation in LPS- and Aβ1–42-Induced SH-SY5Y Alzheimer’s model
IL-6, IL-1β, and TNF-α were quantitatively measured using qRT-PCR. As shown in Fig. 9, treatment with hesperetin alone (1 or 10 µM) slightly reduced IL-6 expression compared with the control group, with reductions of ~ 10–15% at 1 µM and ~ 20–25% at 10 µM (p < 0.05).
In contrast, neuroinflammation induced by LPS alone (LPS group) led to a strong increase in cytokine expression, with IL-6 (~ 11-fold), IL-1β (~ 9-fold), and TNF-α (~ 5-fold) significantly elevated versus the control (p < 0.0001). This effect was further exacerbated when LPS was combined with 20 µM Aβ1–42 (Aβ1–42 + LPS group), resulting in ~ 15-fold, ~ 12.5-fold, and ~ 9-fold increases in IL-6, IL-1β, and TNF-α expression, respectively (p < 0.0001 vs. control).
Exposure to Aβ1–42 alone also promoted neuroinflammation, with IL-6, IL-1β, and TNF-α expression elevated by ~ 1.8–2.5-fold compared with the control (p < 0.01).
Importantly, co-treatment with hesperetin (1 or 10 µM) in the presence of Aβ1–42 and LPS (Aβ1–42 + LPS + Hst groups) significantly attenuated cytokine expression compared with the Aβ1–42 + LPS group. At 1 µM hesperetin, IL-6, IL-1β, and TNF-α levels were reduced by ~ 60–70% (p < 0.0001), while the 10 µM dose produced even greater suppression (~ 80–85% reduction, p < 0.0001), restoring cytokine expression close to control values. These findings indicate a clear dose-dependent anti-inflammatory activity of hesperetin in SH-SY5Y cells after 24 h.
In concordance with our study, several studies have reported that both Aβ1–42 plaque formation and enhanced levels of LPS can trigger the production and release of inflammatory cytokines such as TNF-α, IL-1β, and IL-6. These cytokines have been linked to the development of various neurodegenerative diseases, including Alzheimer’s97,98. Additionally, TNF-α promotes apoptotic cell death and cytotoxic cascades, which can negatively affect synaptic transmission and plasticity. Moreover, Aβ1–42 relies on TNFR1 (TNF-α receptor1) mediated signaling for neuronal death in AD99. Hence, compounds that suppress up-regulation of inflammatory cytokines might be imperative candidates for treating neurological disorders related to neuroinflammation.
Our findings indicated that Hesperetin noticeably reduced the expression levels of TNF-α, IL-6, and IL-1β in the SH-SY5Y cells induced by LPS and Aβ1–42. In a study conducted by Muhammad Ikram et al. using an Aβ1–42 Mouse Model, Hesperetin mediated neuroprotection effects were shown by regulating the inflammatory Nrf2/TLR4/NF-κB signaling pathway100. Jiawen Zhang et al. also demonstrated the neuroprotective effects of Hesperetin by suppressing the TLR4/NF- κB pathway and down-regulation of TNF-α, IL-1β in BV2 cells101. Pyroptosis isa form of cell death associated with inflammation-mediated cell death involved in both microbe-induced inflammation and aseptic inflammation, which can potentially have beneficial or pathological consequences depending on the specific circumstances. Peripheral pyroptosis has been implicated in the progression of AD102.
Hesperetin demonstrates inhibition of neuroinflammation in SH-SY5Y cells induced by LPS and Aβ1–42. SH-SY5Y cells were treated with Aβ1–42 (20 µM), LPS (1 µg/mL), Hesperetin (1 or 10 µM), or their combinations (Aβ1–42 + LPS ± Hesperetin) for 24 h. The mRNA expression levels of IL-6 (A), IL-1β (B), and TNF-α (C) were measured by qRT-PCR. Values are expressed as mean ± SD (n = 3). *p < 0.05, **p < 0.01, ***p < 0.001, ****p < 0.0001; ns, non-significant.
Hesperetin can suppress the expression of pyroptosis-related genes in SH-SY5Y cells
As shown in Fig. 10, treatment with LPS alone (LPS group) markedly stimulated the expression of pyroptosis-related genes, with Caspase-1 (~ 5-fold), Caspase-4 (~ 4.3-fold), Caspase-5 (~ 7-fold), NLRP3 (~ 4.2-fold), and GSDMD (~ 7-fold) significantly elevated compared with the control group (all p < 0.0001). When combined with Aβ1–42 (Aβ1–42 + LPS group), this effect was further amplified, reaching ~ 8-fold, ~ 8-fold, ~ 11.5-fold, ~ 8.3-fold, and ~ 11.3-fold increases for Caspase-1, Caspase-4, Caspase-5, NLRP3, and GSDMD, respectively (p < 0.0001 vs. control).
Treatment with Aβ1–42 alone (Aβ1–42 group) also induced significant upregulation, increasing Caspase-1 (~ 2.1-fold, p < 0.0001), Caspase-4 (~ 1.8-fold, p < 0.001), Caspase-5 (~ 2.35-fold, p < 0.01), NLRP3 (~ 4.5-fold, p < 0.0001), and GSDMD (~ 6-fold, p < 0.001) compared with the control.
Importantly, co-treatment with hesperetin (1 or 10 µM) alongside Aβ1–42 and LPS (Aβ1–42 + LPS + Hst groups) significantly downregulated these genes relative to the Aβ1–42 + LPS group (p < 0.0001 for most comparisons). At 1 µM hesperetin, expression of Caspase-1, Caspase-4, Caspase-5, NLRP3, and GSDMD was reduced by ~ 35–65%, while at 10 µM, reductions reached ~ 60–75%, restoring levels close to baseline.
Hesperetin alone)10 µM) decreased the basal expression of Caspase-1, Caspase-4 and NLRP3 (p < 0.05), as well as Caspase-5 and GSDMD although these changes did not reach statistical significance.
These findings demonstrate that hesperetin exerts a clear, dose-dependent inhibitory effect on pyroptotic gene expression in SH-SY5Y cells exposed to Aβ1–42 and LPS.
Collectively, our findings demonstrate that combined exposure to Aβ1–42 and LPS synergistically enhances pyroptosis-related gene expression, whereas Hesperetin, particularly at 10 µM, attenuates this upregulation and mitigates the pyroptotic response.
Caspase-4 and − 5 are human-specific non-canonical inflammasome caspases; since SH-SY5Y cells are human-derived, they are an appropriate model to study these caspases, which cannot be investigated in non-human cells.
Administration of Hesperetin could significantly down-regulate the enhanced expression of pyroptotic-related genes in cells induced by LPS and Aβ1–42. Consistent with these studies, previous studies revealed that Aβ1–42 fibrils can stimulate pyroptosis through lysosomal damage in mouse microglia103.
In a study conducted by Heneka, M.T. et al. Caspase-1 suppression reduced hippocampal synaptic plasticity loss, spatial memory impairment, behavioral disturbances, and AD symptoms in the APP/PS1 mouse model104. There is evidence suggesting that microglial cells provoke IL-1β secretion following NLRP3 activation by recombinant Tau protein105. In rat models with AD stimulated with LPS and a high fat/fructose diet, the suppression of Caspase-1 and IL-1β inhibited the development of AD by inhibiting pyroptosis106. Aβ1–42-induced pyroptosis in BV2 cells up-regulates the NLRP3-Caspase-1 signaling pathway. Inhibition of this pathway has been shown to exert neuroprotective effects107. The most recognized performance of Caspase-1 is to activate the precursor forms of inflammatory cytokines IL-1β and IL-18, as well as to induce cell lysis (pyroptosis). Recent studies have demonstrated that inflammatory caspases such as Caspase-4, Caspase-5, and Caspase-11 act as direct receptors for LPS and undergo self-oligomerization and self-activation. These processes are crucial in the initiation and propagating of inflammatory responses in the immune system and may also contribute to the pathological mechanisms underlying several neurodegenerative diseases, including AD108. The available studies on the Hesperetin effect on pyroptosis in AD are limited. Similar to our study, Liu et al. reported that Hesperetin reduced spinal cord injury through suppression of pyroptosis by enhancing Nrf2 signaling109. Thus, pyroptosis plays a significant role in the mechanism of AD, and the regulating pyroptotic pathways may offer new therapeutic targets for treating AD.
Hesperetin suppresses the expression of pyroptosis-related genes in SH-SY5Y cells. The cells were treated with Aβ1–42 (20 µM), LPS (1 µg/mL), Hesperetin (1 or 10 µM), or their combinations (Aβ1–42 + LPS ± Hesperetin) for 24 h. The mRNA expression levels of Caspase-1 (A) Caspase-4 (B) Caspase-5 (C) NLRP3 (D) and GSDMD (E) were measured using qRT-PCR. Values are expressed as mean ± SD (n = 3). *p < 0.05, **p < 0.01, ***p < 0.001, ****p < 0.0001; ns, non-significant.
Hesperetin offers a significant therapeutic advantage due to its established safety profile, non-cumulative nature, and minimal side effects, even during pregnancy. Extensive in vitro and in vivo studies confirm its non-toxic properties and general safety110. Notably, Hesperetin’s ability to cross the BBB is a crucial feature that enhances its neuroprotective potential, enabling it to directly reach sites of neurological disease and exert its therapeutic effects72.
Despite these benefits, Hesperetin, like other hydrophobic flavonoids, exhibits low aqueous solubility and poor stability within the gastrointestinal tract. These characteristics result in reduced oral absorption and suboptimal systemic bioavailability, estimated at approximately 20%111. One key challenge in Hesperetin’s gastrointestinal absorption is its identification as a substrate for P-glycoprotein, an efflux pump that actively expels absorbed substances from cells, limiting bioavailability for numerous pharmaceutical agents. Some studies, however, suggest Hesperetin may also function as a P-glycoprotein inhibitor72. Thus, improving its bioavailability is vital for enhancing pharmacological effectiveness.
Assessments indicated that Hesperetin and its derivatives exhibit favorable drug-likeness and moderate to high intestinal absorption, it is important to critically consider their bioavailability limitations. Hesperetin is known to have relatively low oral bioavailability due to poor water solubility and extensive first-pass metabolism, which may reduce its therapeutic effectiveness in vivo. Consequently, while docking results suggest strong interactions with target proteins, the actual pharmacological effects could be lower unless strategies to enhance bioavailability are applied. Previous studies have demonstrated that complexation with beta-cyclodextrin or other formulation approaches can significantly improve Hesperetin absorption and systemic exposure, suggesting that such strategies may be necessary to translate in silico predictions into effective therapeutics. Therefore, future studies should not only focus on binding affinity but also on optimizing pharmacokinetic properties to ensure clinical relevance.
Several strategies can address Hesperetin’s bioavailability challenges. Micronization significantly enhances its absorption, increasing bloodstream uptake112. Additionally, innovative drug delivery systems, including microparticles, nanoparticles, self-nanoemulsifying systems, liposomal vesicles, solid dispersions, inclusion complexes, and micelles, offer promising approaches for optimizing flavonoid transport to target sites. Continued research is essential to refine these methods and maximize the therapeutic potential of flavonoids71.
Limitations
It is worth noting that while our findings are encouraging, they represent correlative evidence obtained from an in-vitro system and an in-vivo study is required in further researches. Additionally, Hesperetin’s ability to modulate apoptosis-related gene expression (e.g., Bax, Bcl-2, Caspase-3) and pyroptotic markers (e.g., Caspase-1, −4, −5, IL-1β, NLRP3 and GSDMD) supports its potential protective role, but further validation at the protein level and in animal models is required to establish definitive mechanisms of action.
It should also be emphasized that while the co-administration of Aβ1–42 and LPS is a widely accepted method to simulate both amyloid toxicity and inflammatory stress in vitro, it does not fully replicate the pathophysiological complexity of AD in humans. Nevertheless, this model is particularly useful for studying inflammation-related cell death pathways such as pyroptosis and apoptosis under defined conditions.
Another notable limitation of this study is the restriction of experiments to a single time point (24 h). Although this duration was sufficient to demonstrate the protective effects of Hesperetin against Aβ1–42- and LPS-induced injury, it does not allow assessment of longer-term cellular responses or potential delayed effects. Future studies should extend the analysis to multiple time points (e.g., 48 h and 72 h) to better characterize the temporal dynamics of Hesperetin’s neuroprotective, anti-inflammatory, and anti-apoptotic actions.
In addition, pharmacological considerations such as Hesperetin’s pharmacodynamic variability, its metabolic fate, and ability to cross the BBB warrant further investigation. Although in silico ADMET predictions suggest favorable permeability and low predicted toxicity, Hesperetin is known to undergo extensive first-pass metabolism, forming glucuronide and sulfate conjugates that may alter its bioactivity. The extent to which active forms of Hesperetin reach the central nervous system remains unclear. Therefore, future studies should evaluate Hesperetin’s pharmacokinetic properties in vivo and explore delivery systems that enhance BBB penetration and metabolic stability.
A major consideration for the therapeutic use of Hesperetin is its pharmacodynamic variability and relatively low oral bioavailability. Hesperetin undergoes extensive first-pass metabolism, forming glucuronide and sulfate conjugates that may affect its bioactivity in the brain. Novel formulation strategies, such as nanoencapsulation or prodrug development, are being investigated to enhance its BBB penetration and metabolic stability.
Overall, the present findings suggest that Hesperetin exerts protective effects against apoptosis- and pyroptosis-related damage in Aβ1–42 + LPS-induced SH-SY5Y cells, likely via modulation of key regulatory genes and disruption of amyloid fibril structure. However, these findings are inherently correlative due to the study design. Future work involving in vivo models and protein-level validation will be essential to confirm causative mechanisms and assess therapeutic efficacy.
Conclusions
The current study highlights Hesperetin as a compound with potential neuroprotective effects in the context of Alzheimer’s disease, based on in vitro and in silico analyses. Molecular dynamics simulations suggest that Hesperetin can induce structural instability in Aβ1–42 oligomers, as indicated by changes in RMSD, Rg, and SASA values. In SH-SY5Y cells, Hesperetin improved cell viability and attenuated Aβ1–42- and LPS-induced cytotoxicity, while modulating apoptosis- and pyroptosis-related pathways. These findings support its role in reducing neuronal damage under controlled experimental conditions. However, given the in vitro nature of this study, further research including protein-level validation and in vivo studies is necessary to clarify the mechanisms involved and to evaluate the translational potential of hesperetin as a therapeutic agent in neurodegenerative disorders.
Data availability
All datasets analyzed during the current study are available from the corresponding authors upon reasonable request.
Abbreviations
- AD:
-
Alzheimer’s disease
- ADMET:
-
Absorption, distribution, metabolism, excretion, and toxicity
- Aβ1–42:
-
Amyloid-β
- BBB:
-
Blood-brain barrier
- IL:
-
Interleukin
- Leu:
-
Amino acid leucine
- LPS:
-
Lipopolysaccharide
- MD:
-
Molecular dynamics
- MM-PBSA:
-
Molecular mechanics Poisson–Boltzmann surface area
- NFTs:
-
Neurofibrillary tangles
- NF-κB:
-
Nuclear factor kappa B
- NLRP3:
-
Nucleotide-binding domain, leucine-rich repeat, pyrin domain-containing protein 3
- PBS:
-
Phosphate-buffered saline
- PCD:
-
Programmed cell death
- Rg:
-
Radius of gyration
- RMSD:
-
Root mean square deviation
- SASA:
-
Solvent-accessible surface area
- TNF-α:
-
Tumor necrosis factor alpha
- Val:
-
Amino acid valine
References
Heneka, M. T. et al. Neuroinflammatory fluid biomarkers in patients with alzheimer’s disease: a systematic literature review. Mol. Psychiatry. 30, 2783–2798 (2025).
Hunter, T. R., Santos, L. E., Tovar-Moll, F. & De Felice, F. G. Alzheimer’s disease biomarkers and their current use in clinical research and practice. Mol. Psychiatry. 30, 272–284 (2025).
Tatulian, S. A. Challenges and hopes for alzheimer’s disease. Drug Discov Today. 27, 1027–1043 (2022).
Abyadeh, M. et al. Amyloid-beta and Tau protein beyond alzheimer’s disease. Neural Regen Res. 19, 1262–1276 (2024).
Kruszka, J., Martynski, J., Szewczyk-Golec, K., Wozniak, A. & Nuszkiewicz, J. The role of selected flavonoids in modulating neuroinflammation in alzheimer’s disease: mechanisms and therapeutic potential. Brain Sci. 15, 485 (2025).
Guareschi, F. et al. Therapeutic effect of cyclosporine A-loading TPGS micelles on a mouse model of LPS-induced neuroinflammation. Eur. J. Pharm. Sci. 205, 106994 (2025).
Eid, F. et al. Chronic lipopolysaccharide exposure causes AD-Like pathology in male mice with intact Blood-Brain barrier. FASEB J. 39, e70601 (2025).
Naseri, F. et al. The effect of Ghrelin on Apoptosis, necroptosis and autophagy programmed cell death pathways in the hippocampal neurons of Amyloid-β 1–42-Induced rat model of alzheimer’s disease. Int. J. Pept. Res. Ther. 28, 151 (2022).
Maleki, M. H. et al. Dastghaib, beta-Hydroxybutyrate and melatonin suppress maladaptive UPR, excessive autophagy and pyroptosis in Abeta 1–42 and LPS-Induced SH-SY5Y cells. Mol. Biol. Rep. 51, 802 (2024).
Xue, W., Cui, D. & Qiu, Y. Research progress of pyroptosis in Alzheimer’s disease. Front. Mol. Neurosci. 15, 872471 (2022).
Ding, Y. et al. Pyroptosis signature gene CHMP4B regulates microglia pyroptosis by inhibiting GSDMD in alzheimer’s disease. Mol. Neurobiol. 62, 77–90 (2025).
Flores, J., Noel, A., Fillion, M. L. & LeBlanc, A. C. Therapeutic potential of Nlrp1 inflammasome, Caspase-1, or Caspase-6 against alzheimer disease cognitive impairment. Cell. Death Differ. 29, 657–669 (2022).
Flores, J., Fillion, M. L. & LeBlanc, A. C. Caspase-1 Inhibition improves cognition without significantly altering amyloid and inflammation in aged alzheimer disease mice. Cell Death Dis. 13, 864 (2022).
Redza-Dutordoir, M. & Averill-Bates, D. A. Activation of apoptosis signalling pathways by reactive oxygen species. Biochim. Et Biophys. Acta (BBA) - Mol. Cell. Res. 1863, 2977–2992 (2016).
Wang, Y. et al. Mitochondrial ROS promote macrophage pyroptosis by inducing GSDMD oxidation. J. Mol. Cell Biol. 11, 1069–1082 (2019).
Ekundayo, B. E. et al. Oxidative stress, Endoplasmic reticulum stress and apoptosis in the pathology of alzheimer’s disease. Cell. Biochem. Biophys. 82, 457–477 (2024).
Wojcik, P., Jastrzebski, M. K., Zieba, A., Matosiuk, D. & Kaczor, A. A. Caspases in alzheimer’s disease: mechanism of Activation, Role, and potential treatment. Mol. Neurobiol. 61, 4834–4853 (2024).
Peng, S., Chen, Y., Wang, R. & Zhang, J. Z-ligustilide provides a neuroprotective effect by regulating the phenotypic polarization of microglia via activating Nrf2-TrxR axis in the parkinson’s disease mouse model. Redox Biol. 76, 103324 (2024).
Nakadate, K., Ito, N., Kawakami, K. & Yamazaki, N. Anti-Inflammatory actions of Plant-Derived compounds and prevention of chronic diseases: from molecular mechanisms to applications. Int. J. Mol. Sci. 26, 5206 (2025).
Oteiza, P. I., Fraga, C. G. & Galleano, M. Linking biomarkers of oxidative stress and disease with flavonoid consumption: from experimental models to humans. Redox Biol. 42, 101914 (2021).
Ji, Z. et al. Recent understanding of the mechanisms of the biological activities of hesperidin and hesperetin and their therapeutic effects on diseases. Heliyon 10, e26862 (2024).
Khan, A., Ikram, M., Hahm, J. R. & Kim, M. O. Antioxidant and anti-inflammatory effects of citrus flavonoid hesperetin: special focus on neurological disorders. Antioxidants 9, 609 (2020).
Shimazu, R., Anada, M., Miyaguchi, A., Nomi, Y. & Matsumoto, H. Evaluation of Blood–Brain barrier permeability of Polyphenols, Anthocyanins, and their metabolites. J. Agric. Food Chem. 69, 11676–11686 (2021).
Zhang, Y. et al. Hesperetin ameliorates spinal cord injury in rats through suppressing apoptosis, oxidative stress and inflammatory response. Eur. J. Pharmacol. 971, 176541 (2024).
Cao, H. et al. Hesperidin May improve depressive symptoms by binding NLRP3 and influencing the pyroptosis pathway in a rat model. Eur. J. Pharmacol. 952, 175670 (2023).
De Vivo, M., Masetti, M., Bottegoni, G. & Cavalli, A. Role of molecular dynamics and related methods in drug discovery. J. Med. Chem. 59, 4035–4061 (2016).
Bell, M. & Zempel, H. SH-SY5Y-derived neurons: a human neuronal model system for investigating TAU sorting and neuronal subtype-specific TAU vulnerability. Rev. Neurosci. 33, 1–15 (2022).
Lührs, T. et al. 3D structure of alzheimer’s amyloid-β (1–42) fibrils. Proc. Natl. Acad. Sci. 102, 17342–17347 (2005).
Lemkul, J. A. & Bevan, D. R. Destabilizing alzheimer’s Aβ1-4242 protofibrils with morin: mechanistic insights from molecular dynamics simulations. Biochemistry 49, 3935–3946 (2010).
Fan, H. M. et al. Destabilization of alzheimer’s Aβ1-4242 protofibrils with a novel drug candidate wgx-50 by molecular dynamics simulations. J. Phys. Chem. B. 119, 11196–11202 (2015).
Gupta, S. & Dasmahapatra, A. K. Caffeine destabilizes preformed Aβ1–42 protofilaments: insights from all atom molecular dynamics simulations. Phys. Chem. Chem. Phys. 21, 22067–22080 (2019).
Lemkul, J. A. & Bevan, D. R. Assessing the stability of alzheimer’s amyloid protofibrils using molecular dynamics. J. Phys. Chem. B. 114, 1652–1660 (2010).
Selkoe, D. J. & Hardy, J. The amyloid hypothesis of alzheimer’s disease at 25 years. EMBO Mol. Med. 8, 595–608 (2016).
Harrington, C. R. The molecular pathology of alzheimer’s disease. Neuroimaging Clin. 22, 11–22 (2012).
Du, W. J. et al. Brazilin inhibits amyloid β-protein fibrillogenesis, remodels amyloid fibrils and reduces amyloid cytotoxicity. Sci. Rep. 5, 7992 (2015).
Berman, H. M. et al. The protein data bank. Nucleic Acids Res. 28, 235–242 (2000).
Kim, S. et al. PubChem 2023 update. Nucleic Acids Res. 51, D1373–D1380 (2023).
Morris, G. M. et al. Automated Docking using a Lamarckian genetic algorithm and an empirical binding free energy function. J. Comput. Chem. 19, 1639–1662 (1998).
Khademi Dehkordi, M., Hoveida, L. & Fani, N. Structure-based virtual screening, molecular docking, and molecular dynamics simulation approaches for identification of new potential inhibitors of class a β-lactamase enzymes. J. Biomol. Struct. Dynamics. 42, 5631–5641 (2024).
Malekzada, M. F., Mosawi, S. H., Fani, N. & Nazir, S. Integrating molecular Docking and molecular dynamics simulation approaches for investigation of the affinity and interactions of the Curcumin with phosphatase and tensin homolog (PTEN) and mutated PTEN. J. Mol. Struct. 1318, 139306 (2024).
Van Der Spoel, D. et al. GROMACS: fast, flexible, and free. J. Comput. Chem. 26, 1701–1718 (2005).
Sousa da Silva, A. W. & Vranken, W. F. ACPYPE-Antechamber python parser interface. BMC Res. Notes. 5, 1–8 (2012).
Evans, D. J. & Holian, B. L. The nose–hoover thermostat. J. Chem. Phys. 83, 4069–4074 (1985).
Parrinello, M. & Rahman, A. Polymorphic transitions in single crystals: A new molecular dynamics method. J. Appl. Phys. 52, 7182–7190 (1981).
Darden, T., York, D. & Pedersen, L. Particle mesh ewald: an N⋅ log (N) method for Ewald sums in large systems. J. Chem. Phys. 98, 10089–10092 (1993).
Hess, B., Bekker, H., Berendsen, H. J. & Fraaije, J. G. LINCS: a linear constraint solver for molecular simulations. J. Comput. Chem. 18, 1463–1472 (1997).
Faradonbeh, S. M. H. et al. Structural insights into SOD1: from in Silico and molecular dynamics to experimental analyses of ALS-associated E49K and R115G mutants. Front. Mol. Biosci. 12, 1532375 (2025).
Khakpour, A. et al. Discovering the therapeutic potential of naringenin in diabetes related to GLUT-4 and its regulatory factors: A computational approach. Chem. Phys. Impact. 10, 100784 (2025).
Khakpour, A. et al. Computational screening of walnut (Juglans regia) husk metabolites reveals aesculin as a potential inhibitor of pectate lyase Pel3: insights from molecular dynamics and τRAMD. Biochem. Biophys. Rep. 43, 102171 (2025).
Lamooki, F. M. et al. Silymarin as a potent polyphenol against metabolic disease pathways: A computational insight and ADMET/MM-PBSA analysis. Results Chem. 16, 102484 (2025).
Kumari, R., Kumar, R., Open Source, C., Discovery, D. & Lynn, A. g_mmpbsa–a GROMACS tool for high-throughput MM-PBSA calculations. J. Chem. Inf. Model. 54, 1951–1962 (2014).
Daina, A., Michielin, O. & Zoete, V. SwissADME: a free web tool to evaluate pharmacokinetics, drug-likeness and medicinal chemistry friendliness of small molecules. Sci. Rep. 7, 42717 (2017).
Pires, D. E., Blundell, T. L. & Ascher, D. B. PkCSM: predicting small-molecule Pharmacokinetic and toxicity properties using graph-based signatures. J. Med. Chem. 58, 4066–4072 (2015).
Lipinski, C. A., Lombardo, F., Dominy, B. W. & Feeney, P. J. Experimental and computational approaches to estimate solubility and permeability in drug discovery and development settings. Adv. Drug Deliv. Rev. 23, 3–25 (1997).
Veber, D. F. et al. Molecular properties that influence the oral bioavailability of drug candidates. J. Med. Chem. 45, 2615–2623 (2002).
Egan, W. J., Merz, K. M. & Baldwin, J. J. Prediction of drug absorption using multivariate statistics. J. Med. Chem. 43, 3867–3877 (2000).
Muegge, I., Heald, S. L. & Brittelli, D. Simple selection criteria for drug-like chemical matter. J. Med. Chem. 44, 1841–1846 (2001).
Siri, M. et al. Casein Kinase-1-Alpha Inhibitor (D4476) Sensitizes Microsatellite Instable Colorectal Cancer Cells To 5-Fluorouracil Via Authophagy Flux Inhibition, Archivum Immunologiae et Therapiae Experimentalis, Vol. 69, 26 (2021).
Rezayi, S. et al. The modulation of autophagy and unfolded protein response by ent-kaurenoid derivative CPUK02 in human colorectal cancer cells. Mol. Biol. Rep. 51, 599 (2024).
Noori, Z. et al. Quercetin declines LPS induced inflammation and augments adiponectin expression in 3T3-L1 differentiated adipocytes SIRT-1 dependently. Mol. Biol. Rep. 51, 445 (2024).
Asl, F. S. S., Malverdi, N., Mojahedian, F., Baziyar, P. & Nabi-Afjadi, M. Discovery of effective GSK-3β inhibitors as therapeutic potential against alzheimer’s disease: a computational drug design insight. Int. J. Biol. Macromol. 306, 141273 (2025).
Prudencio, M., Hart, P. J., Borchelt, D. R. & Andersen, P. M. Variation in aggregation propensities among ALS-associated variants of SOD1: correlation to human disease. Hum. Mol. Genet. 18, 3217–3226 (2009).
Adewole, K. E., Gyebi, G. A. & Ibrahim, I. M. Amyloid β fibrils disruption by kolaviron: molecular Docking and extended molecular dynamics simulation studies. Comput. Biol. Chem. 94, 107557 (2021).
Abdullah Waheed, Z., Seyedalipour, B., Hosseinzadeh Colagar, A. & Baziyar, P. Exploring the anti-amyloid potential of salvianolic acid A against the ALS-associated mutant SOD1: insights from molecular docking and molecular dynamic simulations. Mol. Simul. 50, 1–19 (2024).
Noorbakhsh Varnosfaderani, S. M. et al. Fighting against amyotrophic lateral sclerosis (ALS) with flavonoids: a computational approach to inhibit superoxide dismutase (SOD1) mutant aggregation. J. Biomol. Struct. Dynamics. 43, 419–436 (2025).
Qassim, H., Seyedalipour, B., Baziyar, P. & Ahamady-Asbchin, S. Polyphenolic flavonoid compounds act as the inhibitory potential of aggregation process: Implications for the prevention and therapeutics against FALS-associated D101G SOD1 mutant. Comput. Biol. Chem. 107, 107967 (2023).
Seyedi Asl, F. S. et al. Inhibitory effect of Fisetin against the aggregation process of SOD1 E100K mutant: computer-based drug design as a potential therapeutic for ALS disease. Front. Chem. 13, 1569777 (2025).
Calderaro, A. et al. The neuroprotective potentiality of flavonoids on alzheimer’s disease. Int. J. Mol. Sci. 23, 14835 (2022).
Roohbakhsh, A., Parhiz, H., Soltani, F., Rezaee, R. & Iranshahi, M. Neuropharmacological properties and pharmacokinetics of the citrus flavonoids hesperidin and hesperetin–a mini-review. Life Sci. 113, 1–6 (2014).
Wang, K. & Chen, X. Protective effect of flavonoids on oxidative stress injury in alzheimer’s disease. Nat. Prod. Res. 39, 1272–1299 (2025).
Al-Khayri, J. M. et al. Flavonoids as potential anti-inflammatory molecules: A review. Molecules 27, 2901 (2022).
Wdowiak, K., Walkowiak, J., Pietrzak, R., Bazan-Woźniak, A. & Cielecka-Piontek, J. Bioavailability of hesperidin and its aglycone Hesperetin—Compounds found in citrus fruits as a parameter conditioning the Pro-Health potential (Neuroprotective and antidiabetic Activity)—Mini-Review. Nutrients 14, 2647 (2022).
Dong, Q. et al. Natural flavonoid Hesperetin blocks amyloid beta-protein fibrillogenesis, depolymerizes preformed fibrils and alleviates cytotoxicity caused by amyloids. Food Funct. 15, 4233–4245 (2024).
Shukla, R., Munjal, N. S. & Singh, T. R. Identification of novel small molecules against GSK3beta for alzheimer’s disease using chemoinformatics approach. J. Mol. Graph Model. 91, 91–104 (2019).
Gupta, S. & Dasmahapatra, A. K. Destabilization potential of phenolics on Abeta fibrils: mechanistic insights from molecular dynamics simulation. Phys. Chem. Chem. Phys. 22, 19643–19658 (2020).
Srinivasan, E. et al. Decoding conformational imprint of convoluted molecular interactions between prenylflavonoids and aggregated amyloid-Beta42 peptide causing alzheimer’s disease. Front. Chem. 9, 753146 (2021).
Choudhury, S. & Dasmahapatra, A. K. Destabilisation of Alzheimer’s amyloid-β protofibrils by Baicalein: mechanistic insights from all-atom molecular dynamics simulations. Mol. Diversity 29, 1–17 (2024).
Lipinski, C. A. Lead-and drug-like compounds: the rule-of-five revolution. Drug Discovery Today: Technol. 1, 337–341 (2004).
Cumming, J. G., Davis, A. M., Muresan, S., Haeberlein, M. & Chen, H. Chemical predictive modelling to improve compound quality. Nat. Rev. Drug Discovery. 12, 948–962 (2013).
Fourches, D. et al. Cheminformatics analysis of assertions mined from literature that describe drug-induced liver injury in different species. Chem. Res. Toxicol. 23, 171–183 (2010).
Arsito, P. N. et al. Multifunctional effect of flavonoids from Millettia brandisiana against Alzheimer’s disease pathogenesis, Heliyon, 9 (2023).
Erlund, I., Meririnne, E., Alfthan, G. & Aro, A. Plasma kinetics and urinary excretion of the flavanones naringenin and Hesperetin in humans after ingestion of orange juice and grapefruit juice. J. Nutr. 131, 235–241 (2001).
Kwon, J. Y. et al. Beneficial effects of Hesperetin in a mouse model of Temporal lobe epilepsy. J. Med. Food. 21, 1306–1309 (2018).
Moghaddam, A. H. & Zare, M. Neuroprotective effect of Hesperetin and nano-hesperetin on recognition memory impairment and the elevated oxygen stress in rat model of alzheimer’s disease. Biomed. Pharmacother. 97, 1096–1101 (2018).
Kapoor, M. P. et al. Improved bioavailability of Hesperetin 7-O-glucoside inclusion complex with β-cyclodextrin in Sprague-Dawley rats and healthy humans. J. Funct. Foods. 107, 105708 (2023).
Li, B. et al. Design, synthesis and evaluation of Hesperetin derivatives as potential multifunctional anti-Alzheimer agents. Molecules 22, 1067 (2017).
Decandia, D. et al. Dietary protection against cognitive impairment, neuroinflammation and oxidative stress in Alzheimer’s disease animal models of lipopolysaccharide-induced inflammation. Int. J. Mol. Sci. 24, 5921 (2023).
Huang, S. M., Tsai, S. Y., Lin, J. A., Wu, C. H. & Yen, G. C. Cytoprotective effects of Hesperetin and hesperidin against amyloid beta-induced impairment of glucose transport through downregulation of neuronal autophagy. Mol. Nutr. Food Res. 56, 601–609 (2012).
Rajesh, Y. & Kanneganti, T. D. Innate immune cell death in neuroinflammation and Alzheimer’s disease. Cells 11, 1885 (2022).
Sharma, V. K., Singh, T. G., Singh, S., Garg, N. & Dhiman, S. Apoptotic pathways and alzheimer’s disease: probing therapeutic potential. Neurochem Res. 46, 3103–3122 (2021).
Kudo, W. et al. Inhibition of Bax protects neuronal cells from oligomeric Abeta neurotoxicity. Cell. Death Dis. 3, e309 (2012).
Callens, M. et al. The role of Bcl-2 proteins in modulating neuronal Ca(2+) signaling in health and in alzheimer’s disease. Biochim. Biophys. Acta Mol. Cell. Res. 1868, 118997 (2021).
Park, G. et al. Caspase activation and Caspase-Mediated cleavage of APP is associated with amyloid beta-Protein-Induced synapse loss in alzheimer’s disease. Cell. Rep. 31, 107839 (2020).
Burguillos, M. A. et al. Caspase signalling controls microglia activation and neurotoxicity. Nature 472, 319–324 (2011).
Lai, M. C., Liu, W. Y., Liou, S. S. & Liu, I. M. The citrus flavonoid hesperetin encounters diabetes-mediated Alzheimer-type neuropathologic changes through relieving advanced glycation end-products inducing endoplasmic reticulum stress. Nutrients 14, 745 (2022).
Muhammad, T., Ikram, M., Ullah, R., Rehman, S. U. & Kim, M. O. Hesperetin, a Citrus Flavonoid, Attenuates LPS-Induced Neuroinflammation, Apoptosis and Memory Impairments by Modulating TLR4/NF-kappaB Signaling, Nutrients, 11 (2019).
Kesika, P., Suganthy, N., Sivamaruthi, B. S. & Chaiyasut, C. Role of gut-brain axis, gut microbial composition, and probiotic intervention in alzheimer’s disease. Life Sci. 264, 118627 (2021).
Anwar, M. M. & Mabrouk, A. A. Hepatic and cardiac implications of increased toxic amyloid-beta serum level in lipopolysaccharide-induced neuroinflammation in rats: new insights into alleviating therapeutic interventions. Inflammopharmacology 31, 1257–1277 (2023).
Xu, W. et al. Network Pharmacology analysis reveals neuroprotective effects of the Qin-Zhi-Zhu-Dan formula in alzheimer’s disease. Front. Neurosci. 16, 943400 (2022).
Ikram, M. et al. Hesperetin confers neuroprotection by regulating Nrf2/TLR4/NF-kappaB signaling in an Abeta mouse model. Mol. Neurobiol. 56, 6293–6309 (2019).
Zhang, J. et al. Neuroprotective Effects of Hesperetin in Regulating Microglia Polarization after Ischemic Stroke by Inhibiting TLR4/NF-kappaB Pathway. J. Healthc. Eng. 2021, 9938874 (2021).
Bergsbaken, T., Fink, S. L. & Cookson, B. T. Pyroptosis: host cell death and inflammation. Nat. Rev. Microbiol. 7, 99–109 (2009).
Heneka, M. T. et al. Neuroinflammation in alzheimer’s disease. Lancet Neurol. 14, 388–405 (2015).
Heneka, M. T. et al. NLRP3 is activated in alzheimer’s disease and contributes to pathology in APP/PS1 mice. Nature 493, 674–678 (2013).
Ising, C. et al. NLRP3 inflammasome activation drives Tau pathology. Nature 575, 669–673 (2019).
Mohamed, R. A., Abdallah, D. M., El-Brairy, A. I., Ahmed, K. A. & El-Abhar, H. S. Palonosetron/methyllycaconitine deactivate hippocampal microglia 1, inflammasome assembly and pyroptosis to enhance cognition in a novel model of neuroinflammation. Molecules 26, 5068 (2021).
Bai, Y. et al. N-salicyloyl tryptamine derivatives as potential therapeutic agents for alzheimer’s disease with neuroprotective effects. Bioorg. Chem. 115, 105255 (2021).
Moonen, S. et al. Pyroptosis in alzheimer’s disease: cell type-specific activation in microglia, astrocytes and neurons. Acta Neuropathol. 145, 175–195 (2023).
Liu, Z. et al. Hesperetin ameliorates spinal cord injury by inhibiting NLRP3 inflammasome activation and pyroptosis through enhancing Nrf2 signaling. Int. Immunopharmacol. 118, 110103 (2023).
Ribeiro, M. H. & Severo, A. C. Advances on Resources, Biosynthesis Pathway, Bioavailability, Bioactivity, and Pharmacology of Hesperetin, Handbook of Dietary Flavonoids, Springer2023, pp. 1–26.
Song, B. et al. Comprehensive review of hesperetin: advancements in pharmacokinetics, Pharmacological effects, and novel formulations. Fitoterapia 179, 106206 (2024).
Hajialyani, M., Hosein Farzaei, M., Echeverría, J., Nabavi, S. M. & Uriarte, E. Sobarzo-Sánchez, hesperidin as a neuroprotective agent: a review of animal and clinical evidence. Molecules 24, 648 (2019).
Author information
Authors and Affiliations
Contributions
**LS**, **MSP**, and **SK** contributed to Methodology and Investigation, specifically Experimental and In Vitro Analyses. **PB** did Computational Methodology, Investigations, Writing–review and editing. **LS**, **MSP**, **RH**, **ZB**, **PB**, **MM**, and **SK** contributed to Writing the Original Draft. The study was conceptualized by **EN** and **MM (Mahsa Motamed)**. The second draft was Reviewed and Edited by **MM (Mahsa Motamed)**, **EN**, and **MAA**. **EN**, **MM (Mahsa Motamed)**, and **MMA** were also responsible for Project Administration and Supervision. All authors read and confirmed the final version of the manuscript.
Corresponding authors
Ethics declarations
Competing interests
The authors declare no competing interests.
Additional information
Publisher’s note
Springer Nature remains neutral with regard to jurisdictional claims in published maps and institutional affiliations.
Rights and permissions
Open Access This article is licensed under a Creative Commons Attribution-NonCommercial-NoDerivatives 4.0 International License, which permits any non-commercial use, sharing, distribution and reproduction in any medium or format, as long as you give appropriate credit to the original author(s) and the source, provide a link to the Creative Commons licence, and indicate if you modified the licensed material. You do not have permission under this licence to share adapted material derived from this article or parts of it. The images or other third party material in this article are included in the article’s Creative Commons licence, unless indicated otherwise in a credit line to the material. If material is not included in the article’s Creative Commons licence and your intended use is not permitted by statutory regulation or exceeds the permitted use, you will need to obtain permission directly from the copyright holder. To view a copy of this licence, visit http://creativecommons.org/licenses/by-nc-nd/4.0/.
About this article
Cite this article
Shafiee, L., Pishva, M.S., Hosseinzadegsn, R. et al. Hesperetin reduces neuronal death in an SHSY5Y Alzheimer’s model by inhibiting inflammation and apoptosis and pyroptosis cell death pathways. Sci Rep 15, 41901 (2025). https://doi.org/10.1038/s41598-025-25777-9
Received:
Accepted:
Published:
Version of record:
DOI: https://doi.org/10.1038/s41598-025-25777-9











