Abstract
High-grade serous ovarian cancer (HGSOC) is a highly fatal disease with frequent recurrence and high mortality rates, despite ongoing treatment advancements. Next-generation sequencing (NGS) is an experimental technique used to obtain extensive genetic information, making it a key component of precision medicine. We conducted a study based on a sample of 108 patients with HGSOC retrospectively selected from Severance Hospital and Gangnam Severance Hospital. We aimed to identify the genetic alterations associated with HGSOC recurrence and survival using deep targeted sequencing. Somatic mutations in NF1, FAT1, ROS1, NOTCH3, and BLM are more common in recurrent ovarian cancer. Differences in copy number variations (CNVs) and gene fusion events were also observed. Using multivariable stepwise logistic regression, we found that the presence of exonic mutations in the NF1 and ROS1 genes and a tumor mutational burden (TMB) value ≥ 10 were significantly associated with recurrence in HGSOC patients. High TMB (TMB ≥ 10), Del 13q14.3 mutation, and exonic mutations in NOTCH3, NF1, ROS1, ATM, FAT1, and SLX4 genes were associated with recurrence-free survival (RFS), while the ARID1A gene was observed to be associated with overall survival. This study identified key genetic alterations associated with recurrence and survival in HGSOC and confirmed that specific genetic mutations were linked to disease prognosis. We expect that these findings will contribute to more precise prognosis prediction and the development of personalized therapeutic strategies for patients with recurrent ovarian cancer.
Introduction
High-grade serous ovarian cancer (HGSOC) is often diagnosed at an advanced stage, with approximately 80% of patients presenting with stage III or higher disease because of vague early symptoms and a lack of practical screening tests1. HGSOC patients typically undergo cytoreductive surgery followed by chemotherapy; however, many patients experience recurrence within an average of two years2. Repeated cycles of recurrence and chemotherapy resistance contribute to a five-year survival rate of approximately 40%3. Consequently, patients with recurrent ovarian cancer frequently participate in early-phase clinical trials involving novel therapeutic agents such as VEGF inhibitors (VEGFi), PARP inhibitors (PARPi) and immune checkpoint inhibitors4.
Genetic factors significantly influence ovarian cancer, with key associated genes, including BRCA1, BRCA2 and other homologous recombination deficiency (HRD)-related genes. Mutations in TP53, MLH1, MSH2, PALB2, RAD51, and CHEK2 have been implicated in the pathogenesis of ovarian cancer5. In recurrent HGSOC, patients with germline mutations in BRCA1/2 showed improved post-recurrence survival, regardless of whether they underwent secondary cytoreductive surgery6. Another study reported that somatic mutations in TP53, BRCA1, NOTCH2, and DNMT3A as well as copy number variations (CNVs) in MYC, RB1, and PIK3CA were detected in recurrent ovarian cancer patients7. Despite these advancements, there is an urgent need to identify relevant biomarkers and develop novel therapeutic strategies. In particular, identifying biomarkers specific to either primary or recurrent HGSOC is essential for improving the diagnosis and treatment of ovarian cancer, highlighting the need for further investigation of the genomic differences between these disease states.
With rapid advancements in genomic profiling and next-generation sequencing (NGS) technologies, precision medicine has emerged as a pivotal approach in cancer research. In particular, NGS-based targeted sequencing enables efficient and cost-effective analysis of predefined cancer-related genetic alterations, allowing parallel evaluation of multiple genomic variants. This approach has been extensively utilized in ovarian cancer research, facilitating high-accuracy analysis of somatic mutations, tumor mutational burden (TMB), and CNVs8.
In this study, we applied deep targeted sequencing technology to high-grade serous ovarian cancer specimens collected in a multi-institutional study and conducted a comprehensive analysis of somatic mutations, TMB, microsatellite instability (MSI), CNVs, and gene fusions. By identifying genomic alterations that influence the recurrence of ovarian cancer, this study aimed to facilitate the development of novel therapeutic agents. Given the relatively limited research on recurrent ovarian cancer, our findings are expected to significantly enhance the understanding of its pathophysiology and contribute to the development of more effective treatment strategies. Ultimately, this research serves as a crucial foundation for improving the survival and quality of life of patients with HGSOC.
Materials and methods
Sample participants
108 formalin-fixed paraffin-embedded (FFPE) tumor tissue samples were obtained from patients with HGSOC at Yonsei Severance Hospital and Gangnam Severance Hospital in Seoul, Republic of Korea.
This study was rigorously approved by the Institutional Review Board (IRB) of Gangnam Severance Hospital (No. 3–2021-0380). Patients diagnosed with HGSOC for the first time were considered primary HGSOC group, while patients with new incidental lesions on routine radiological examinations after adjuvant chemotherapy were considered the recurrent HGSOC group. All procedures were conducted in proportion to the guidelines of the Declaration of Helsinki. All patients were informed of their clinical data, and the analysis was conducted after written consent was obtained. Clinical, pathological, and molecular data of all patients were collected, and follow-ups were conducted between February 13, 2009, and September 12, 2024. The clinical information included age, stage, and tumor grade. Cancer was staged according to the International Federation of Gynecology and Obstetrics (FIGO) classification system and graded according to the World Health Organization grading system.
Library preparation and sequencing
Tissue samples of the primary group were obtained by collecting the primary lesion specimen during the first surgery, and the samples of the recurrent group were obtained from intraperitoneal recurrent focus lesions through surgery. Tissues were stored in fomalin-fixed, praffin-embedded (FFPE) tissue section immediately. According to the manufacturer’s protocol, genomic DNA and RNA were extracted from FFPE tissue sections using DNeasy Blood and Tissue Kits (Qiagen, NY, USA) and RNeasy Plus Kits (Qiagen, NY, USA), respectively. Only samples with DNA and RNA inputs ≥ 20 ng and DV200 ≥ 20% were included in the analysis. The tumor content was visually estimated, and samples with at least 10% tumor content were included in the analysis.
Library preparation was performed using the TruSight Oncology 500 (TSO500) panel (Illumina, San Diego, CA, USA). This hybrid capture-based assay included probes for 523 DNA-based cancer-related genes and selected RNA targets (55 genes) for fusion detection. The targeted genes are listed in Supplementary Table S1. This assay also enabled the assessment of TMB and MSI. This protocol involves DNA fragmentation, end repair, A-tailing, the ligation of unique molecular identifiers (UMIs), and indexing for sample multiplexing. Two rounds of hybridization-based target enrichment were performed to enhance the specificity. Following PCR amplification and purification, the libraries were quantified using Qubit and normalized to ensure uniform representation before sequencing.
Sequencing was conducted on a NextSeq 500 platform (Illumina) in high-output mode, with eight libraries per run. UMIs were used to determine the unique coverage and reduce sequencing- and formalin-induced deamination artifacts.
DNA & RNA preprocessing
The reliability of our research process was ensured by rigorous control of raw data quality using highly reliable FastQC (https://www.bioinformatics.babraham.ac.uk/projects/fastqc/; v0.11.9) for DNA and RNA. For DNA, adapter sequences were trimmed using Trimmomatic v0.399, and trimmed sequences were aligned to GRCh37.p13 using BWA-MEM v0.7.1710. Then, aligned reads with mapping quality below 30 and duplicated reads were removed using the Samtools v1.17 view and markedup functions, respectively11. The base qualities were recalibrated using the GATK BaseRecalibrator v4.2.5 (Genome Analysis Toolkit)12. For RNA, adapter sequences were trimmed using Trimfastq from Fabio (https://github.com/fulcrumgenomics/fgbio;v2.1.0), and the trimmed FASTQ files were aligned to GRCh37.p13 using STAR v2.7.1013.
Somatic mutation calling
MuTect2 v4.2.5 was run to extract somatic mutations and indels for 523 genes, using a panel of normal and germline resources from the Genome Aggregation Database to improve somatic calling. A normal panel was generated using unmatched blood samples from 16 independent HGSOC patients. Sequencing artifacts were filtered using FilterMutectCalls with the default parameters. Mutations were annotated using ANNOVAR v2020.0614. For variant assessment, non-synonymous variants with minor allele frequencies greater than 3% and read depths greater than or equal to 20 were used as inclusion criteria. Variants were filtered out when the minor allele frequency was > 1% in the East Asian Genome Aggregation Database, 1000 genomes East Asian and Korean National Standard Reference Variome, and Korean Variant Archives15,16. The clinical effects of somatic mutations were predicted using ClinVar17. TMB was calculated as the number of non-synonymous mutations per Mb of the coding region. Based on the universal cutoff of TMB, patients with 10 or more TMB were stratified into the high TMB group18.
MSI scoring
The MSI was estimated using MSIsensor2 (https://github.com/niu-lab/msisensor2/; v0.1), which incorporates data from microsatellite regions and reports the percentage of unstable loci as a cumulative score using aligned BAM files. Samples with an MSI score greater than 20 were classified as microsatellite instability (MSI), whereas those without MSI were classified as microsatellite stable (MSS).
Copy number variation analysis
Somatic copy numbers were calculated with a pooled reference using CNVkit v0.9.1019. A pooled reference was built using unmatched blood samples from 16 independent patients, a pooled reference was built. CNVs were classified into two categories: amplification (copy number ≥ 3) and deletion (copy number ≤ 1). The GISTIC2.0 (Genomic Identification of Significant Targets in Cancer) was used to characterize frequent CNVs in primary and recurrent tumors20. The q-value threshold was set to 0.25 for frequent CNVs. We then compared the frequent CNV regions in primary and recurrent tumors.
Gene fusion calling
The aligned reads were analyzed using STAR-Fusion v1.10.0 and FusionCatcher v1.33, to identify fusion events21,22. We filtered fusion genes with the following criteria to minimize the number of false positives. Fusions were retained if: i) fusion genes were found in both STAR-Fusion and FusionCatcher by searching for overlapping chromosomal coordinates; ii) fusion genes had at least five junction reads; iii) at least one of the fusion partners overlapped with the whitelist of the capture panel; and iv) the fusion junctions were greater than 30,000 bases apart if both genes were positioned on the same chromosome.
Statistical analysis
The patients were classified into altered or wild-type (WT) groups for each genomic alteration. Recurrence-free survival (RFS) and overall survival (OS) were evaluated using the Kaplan–Meier method and intergroup differences were estimated using the log-rank test. We then conducted a univariate Cox proportional hazards regression analysis. RFS was defined as the time from the initial treatment to disease recurrence or last follow-up. OS was defined as the interval from the initial treatment to death from any cause or last follow-up. TMB in primary and recurrent cases was compared using the Wilcoxon signed-rank test. Fisher’s exact test was performed to compare the frequency of genomic alterations between patients with primary and recurrent disease. Multivariate stepwise logistic regression was used to determine genomic alterations that affected HGSOC recurrence. Genomic alterations were selected based on the following criteria: i) Fisher’s exact test, p < 0.05; ii) frequency of genomic alteration > 10%; and iii) frequency of genomic alteration in each group > 0%. The significance of the regression coefficients was evaluated using Wald’s test. All tests were two-sided, and a p-value < 0.05 was considered statistically significant. All statistical analyses were conducted using R software version 4.3.3. Visualization was performed using the maftools v2.18.0, circle v 0.4.16, survival v3.4.0, and Survminer v0.4.9 R packages for somatic mutations, gene fusion, and survival analysis, respectively.
Results
Patients, samples, and clinical data
We analyzed 108 HGSOC tissue samples (81 primary and 27 recurrent). The clinical information is presented in Table 1. The median age of the patients at diagnosis was 59 years (range, 36–83 years). According to the International Federation of Gynecology and Obstetrics guidelines, patients with a histological diagnosis of HGSOC were categorized into stages I–IV. Four (3.70%) patients were diagnosed with stage I, four (3.70%) with stage II, 51 (47.22%) with stage III, and 46 (42.59%) with stage IV disease. Three patients (2.78%) were classified into the recurrent group because they visited our clinic after relapse. Grade distribution included eight patients (7.41%) with grade 2 and 100 (92.6%) with grade 3. Most patients had stage III (47.22%, n = 51) or grade 3 (92.6%, n = 100) disease. The average value for CA 125 the entire group was 1749.1.
The landscape of HGSOC somatic mutations
The mean sequencing depth was 927.8X. 2,392 non-synonymous mutations were identified in 108 patients with HGSOC (3–490 per sample; median, 16). In terms of the sequence characteristics of point mutations, the C > T substitution (44.86%) was the most common (Fig. 1). The five most frequently mutated genes were TP53 (81%), BRCA2 (24%), FAT1 (23%), KDM6A (21%), and LRP1B (21%). BRCA1 and NOTCH3 were located on the sixth common mutation (19%) (Fig. 1).
Somatic mutational landscape of 108 HGSOC cohort. Top 20 genes were ordered based on mutation frequency across patients. Patients’ status and fractions of transition and transversion are displayed below the mutation frequency of genes. The bar plot on the right side shows the number of HGSOC patients with mutation. “Multi-hit” indicates that two or more mutation was identified in a gene within same patient. TMB, Tumor mutational burden; MSI, Microsatellite instability; MSS, Microsatellite stability.
The median TMB values in primary and recurrent tumors were 7.61 mutations/Mb and 10.66 mutations/Mb, respectively. TMB values were significantly higher in recurrent tumors than in primary tumors (p = 2.00 × 10−4). Moreover, the fraction of patients with high TMB was significantly higher in recurrent tumors than in primary tumors (p = 1.00 × 10−4) (Fig. 1).
The top 20 genes with the most different mutation frequencies between primary and recurrent patients are shown in Fig. 2. Among them, NF1 (p = 1.24 × 10−3), FAT1 (p = 1.79 × 10−2), ROS1 (p = 1.08 × 10−2), NOTCH3 (p = 4.17 × 10−2), and BLM (p = 1.49 × 10−2) showed the most different mutation frequencies, with recurrent tumors having higher mutation frequencies than primary tumors (Supplementary Table S3).
Co-bar plot of the top 20 genes showing the most different mutation frequencies between primary and recurrent patients.
Frequently altered CNVs
One hundred twenty-nine CNVs (47 amplifications and 82 deletions) were identified in all patients with HGSOC (Supplementary Table S4). We found eight frequently altered CNV regions in primary tumors and four in recurrent tumors (Table 2). Among these CNVs, two amplified regions, including 13q31.3 (FGF14) and 14q12 (BCL2L2, NFKBIA, NKX2-1, and FOXA1), were commonly observed in both primary and recurrent tumors (Table 2). Noticeably, among the six CNVs specific to primary tumors, deletion of 15q26.1 (NTRK3, FANCI, IDH2, BLM, CHD2, and IGF1R) was the most frequent (48.15%, 39/81), whereas among the two CNVs specific to recurrent tumors, deletion of 13q14.3 (LATS2, FGF9, CDK8, FLT3, FLT1, BRCA2, FOXO1, RB1, and DIS3) was the most frequent (48.15%, 13/27) (Table 2). All CNV regions are listed in Supplementary Table S4.
Analysis of gene fusions
We investigated gene fusions that could serve as potential markers of recurrent HGSOC. Twenty-three fusion events were detected in 29 of the 108 patients (Fig. 3). CCDC170–ESR1 (8.33%, 9/108) fusion was the most frequently observed event (eight primary and one recurrent tumor). Among them, eight CCDC170–ESR1 fusion events led to the truncation of the coding regions (Supplementary Table S5). PDGFRB–FGFR1 (1.85%, 2/108) and PVT1–MYC (1.85%, 2/108) fusion events were detected only in primary tumors, leading to in-frame fusion and truncation of the coding regions, respectively.
Circos plot of 23 gene fusion events from 29 HGSOC patients. Chromosomes represented as ideograms and the position of fusion points are labeled by gene names. Links between genes indicate each fusion events.
Survival analysis
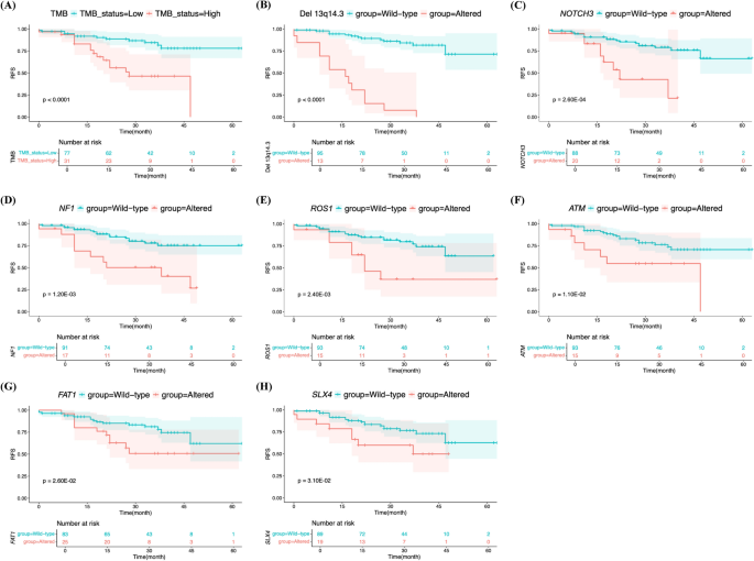
To investigate whether genomic alterations promote or inhibit recurrence, RFS analysis was performed using Kaplan–Meier curves and univariate Cox proportional hazards regression. All HGSOC patients were divided into altered or WT groups for each genomic alteration (somatic mutations, TMB status, CNVs, and gene fusion). RFS and OS were compared between patients with and without genetic alterations. RFS was significantly affected by the TMB status, 13q14.3 deletion, and mutation status of the following six genes: NOTCH3, NF1, ROS1, ATM, FAT1, and SLX4 (Fig. 4 and Table 3). Patients with high TMB (≥ 10) had significantly decreased RFS rates (Fig. 4A and Table 3). Somatic mutation statuses of six genes (NOTCH3, NF1, ROS1, ATM, FAT1, and SLX4) and 13q14.3 deletion were significantly associated with a worse RFS prognosis (Fig. 4B-H and Table 3). Additionally, OS was significantly associated with a somatic mutation status of ARID1A (Supplementary Figure S1).
Kaplan–Meier curves of recurrence-free survival between HGSOC patients with genomic alteration and wild-type (A ~ H).
Genomic alterations are significantly associated with the recurrent status of HGSOC
Multivariate stepwise logistic regression was performed to investigate the differences in genomic alteration frequencies affecting HGSOC recurrence. The somatic mutation status of four genes (NF1, FAT1, ROS1, and NOTCH3) and TMB status (high and low) were included in the analysis. Among them, two genes (NF1 and ROS1) and TMB status were selected using stepwise feature selection. The binary statuses of these factors were then tested using logistic regression with age as a covariate. Somatic mutations of NF1 (Odds ratio = 7.41; p = 1.62 × 10−3) and ROS1 (Odds ratio = 4.31; p = 3.11 × 10−2), and high TMB (≥ 10; Odds ratio = 3.53; p = 1.77 × 10−2) were significantly related to the increased risk of recurrence (Table 4).
Discussion
In this study, we assessed and compared the genomic profiles of primary and recurrent tumors in 108 patients with HGSOC, including 81 primary and 27 recurrent cases. Distinct genomic alterations were identified in the primary and recurrent tumors, including mutated genes, TMB status, CNVs, and gene fusions. Among these, high TMB, 13q14.3 deletion, and exonic mutations in NOTCH3, NF1, ROS1, ATM, FAT1, and SLX4 were associated with shorter RFS, whereas NF1, ROS1, and high TMB remained significant predictors of recurrence risk in the stepwise multivariable logistic regression model. These findings highlight the molecular differences between primary and recurrent diseases and the potential biomarkers for predicting recurrence in HGSOC.
Although ovarian cancer has been extensively studied in terms of the pathological and genetic mechanisms of recurrence, it remains challenging to determine its mechanism owing to its specificity and characteristics. In 2011, The Cancer Genome Atlas (TCGA) conducted ovarian cancer genomic analysis and reported mutations in TP53, NF1, BRCA1, BRCA2, RB1, and CDK1223. In addition, in 2015, TCGA reported mutations in the RB1, NF1, RAD51B, and PTEN genes in refractory chemoresistant tumors24. Low-level copy number increases in CCNE1 and AKT2, BRCA2 N372H polymorphism, KRAS amplification, and CN signature 1 exposure have been suggested as predictive markers of sensitivity to platinum-based chemotherapy in HGSOC7,25,26.
Despite numerous studies, identifying reliable biomarkers that can predict the risk of HGSOC recurrence and guide targeted therapies remains challenging. Therefore, we attempted to identify the factors that affect the recurrence of ovarian cancer through deep targeted sequencing and derived meaningful results through multivariable stepwise logistic regression.
In comparison to previous studies, our study revealed a novel mutational landscape in HGSOC. Our cohort showed frequent mutations in TP53, BRCA2, FAT1, KDM6A, LRP1B, BRCA1, and NOTCH3. A previous study reported frequent mutations in TP53, BRCA1/2, MYC, RB1, KRAS, and PTK2 by analyzing 422 cancer-related genes in recurrent ovarian cancer, particularly in relation to drug-resistant versus drug-sensitive tumors7. While we similarly observed frequent TP53 and BRCA1/2 mutations, the overall mutational landscape in our cohort differed, with FAT1, NF1, KDM6A, and NOTCH3 emerging as the most frequently mutated genes in our recurrent cases. Another study analyzed 276 patients with platinum-resistant or -sensitive recurrent HGSOC using a 24-gene amplicon panel26. Among them, 134 matched primary–recurrent pairs were directly compared. They reported NF1 mutations in seven primary-recurrent pairs. For the most frequently mutated genes including TP53, BRCA1/2, and BRIP1, all mutations were shared between the primary and recurrent tumors. Thus, the most frequently mutated genes, particularly TP53 and BRCA1/2, were similar between their cohort and ours. However, we also observed frequent mutations in FAT1, NF1, KDM6A, and LRP1B, and identified recurrent tumor-specific CNV regions (13q14.3 deletion and 17q12 amplification). Specifically, in our cohort, NF1 mutations showed a higher frequency in recurrent tumors. These differences across studies may be due to variations in panel size, differences in study design, and ethnic or cohort-specific genetic backgrounds.
Mutations in NF1, FAT1, ROS1, NOTCH3, and BLM are more prevalent in recurrent ovarian cancer, and multi-hit mutations are more common than those in primary ovarian cancer. We found differences in CNV and gene fusion events between the recurrent and primary ovarian cancer groups. Through multivariate stepwise logistic regression, we confirmed that the risk of recurrence increased in samples with genomic alterations, including exonic mutation of the NF1 gene, exonic mutation of the ROS1 gene, and TMB value of 10 or higher. The NF1 gene, located on the long arm of chromosome 17, was first identified in the disease named neurofibromatosis 1. NF1 also functions as a tumor suppressor and is frequently altered in human cancers27. NF1 mutations or deletions are particularly common in patients with HGSOC. These alterations often coexist with TP53 mutations, suggesting a cooperative pathway for tumor progression28. The ROS1 gene, located on the short arm of chromosome 6, is a receptor tyrosine kinase that plays an important role in cancer growth and development of cancer29. Unlike previous reports that primarily described ROS1 fusions, especially in non-small cell lung cancer and rarely in ovarian tumors30, we observed exonic mutations in ROS1 in a substantial subset of recurrent ovarian cancer cases. This novel finding warrants further investigations to elucidate its biological and therapeutic implications. TMB refers to the genetic products that occur when a genome is replicated. It has been identified as a factor that determines the response to immunotherapy in various cancers31. In ovarian cancer, TMB is a marker that can confirm the response to immunotherapy 32. However, the utility of TMB as a marker to distinguish sensitivity to platinum-based chemotherapy remains controversial25.
We used the Kaplan–Meier method, log-rank test, and Cox proportional hazard regression to identify the genes associated with OS and RFS. The ARID1A gene appeared to be associated with OS (Supplementary Figure S1), and for RFS, high TMB (TMB ≥ 10), Del 13q14.3 mutation, and mutations in NOTCH3, NF1, ROS1, ATM, FAT1, and SLX4 genes were statistically significant (Fig. 4). The ARID1A (AT-rich interactive domain 1A) gene encodes BAF250A, which forms the SWItch/Sucrose Nonfermentation (SWI/SNF) complex. A previous study showed that NOTCH3 mutations were associated with shorter progression-free survival and worse OS33. Moreover, although this study did not assess gene expression levels directly, previous studies have reported that overexpression of NOTCH3 correlates with poor survival, chemoresistance, and recurrence in ovarian cancer, raising the possibility that this mutation may contribute to its dysregulation 34. However, Del 13q14.3, which is commonly associated with chronic lymphocytic leukemia (CLL), is sporadically observed in ovarian cancer but lacks consistent prognostic significance35. Due to the lack of genetic studies on ATM, FAT1 and SLX4, further studies are required to clarify their roles in ovarian cancer recurrence.
We also characterized the CNVs specific to primary and recurrent tumors. Deletion of 15q26.1, encompassing NTRK3, FANCI, IDH2, BLM, CHD2, and IGF1R, was the most frequently observed CNV specific to primary tumors. Among the genes in this region, CHD2 loss and down-regulation in ovarian cancer have been reported in pan-cancer study36. Deletion of 13q14.3 region, which includes LATS2, FGF9, CDK8, FLT3, FLT1, BRCA2, FOXO1, RB1, and DIS3, was the most frequent recurrent tumor-specific CNV. Although our study focused on CNV and did not include transcriptomic profiling, several of the genes showing CNV loss in our cohort, such as LATS2, FGF9 and RB1, have been reported to exhibit reduced mRNA expression in ovarian cancer37,38,39. In particular, downregulation of LATS2 is associated with the recurrence and stage of ovarian cancer37. These findings support the potential functional relevance of these genomic alterations and suggest that CNV loss may contribute to transcriptional downregulation in recurrent ovarian cancer. Future studies integrating CNV and transcriptomic profiling are essential to validate these associations and clarify their role in recurrence.
Among the fusion candidates identified in our study, CCDC170–ESR1 was frequently detected in primary tumors. This fusion was previously reported to be associated with short overall survival in patients with ovarian cancer 40. In addition, PDGFRB–FGFR1 and PVT1–MYC fusions have been identified to be specific to primary tumors. Although their prevalence was low (1.85%, 2/108), to our knowledge, neither of these fusion events have been previously reported in ovarian cancer, highlighting the need for further investigation.
The strength of our study is that we applied deep targeted sequencing, focusing on genes known to be strongly associated with the pathogenesis of ovarian cancer. It is also meaningful to derive significant results regarding the association between the genomic and clinicopathological features of primary and recurrent ovarian cancers. We identified genomic alterations associated with RFS and OS, as well as exonic mutations in NF1 and ROS1, and high TMB (≥ 10), which are significantly linked to the risk of ovarian cancer recurrence.
This study had several limitations. First, although our cohort included a relatively large number of patients with primary and recurrent HGSOC, the overall sample size was limited. Consequently, the statistical power to detect genomic features associated with recurrence may have been insufficient. Further validation and additional studies are required to confirm these findings. In addition, because the present study was retrospective, a selection bias may be unavoidable. Secondly, our analysis was limited to cancer-related genes included in the TSO500 panel, which may not have fully captured the spectrum of other potential genes involved in HGSOC recurrence. Finally, various factors related to individual characteristics may influence HGSOC recurrence. Therefore, adjustments for potential confounding variables should be considered in future studies with larger patient cohorts.
In conclusion, this study revealed distinct genomic alterations associated with recurrence risk in HGSOC, including high TMB and exonic mutations in NF1 and ROS1. These findings provide further insights into the biological mechanisms underlying HGSOC recurrence and contribute to the development of reliable biomarkers for its prediction. Although this study was not based on whole-exome or whole-genome sequencing, targeted panel sequencing offers practical advantages in clinical settings, such as cost-effectiveness, higher coverage depth, and streamlined interpretation. Therefore, the biomarkers identified in this study may have clinical relevance and utility in future research and clinical practice. Further studies investigating the functions of the genes mentioned above are essential to understand the mechanisms of HGSOC recurrence and will support the development of therapeutic targets.
Data availability
Targeted sequencing data obtained in this study are publicly available. DNA-seq data were deposited in the Sequence Read Archive (SRA) under the accession number PRJNA1259080. RNA-seq data are available in the Gene Expression Omnibus (GEO) database under the accession number GSE296159.
References
Lheureux, S. et al. Epithelial ovarian cancer. Lancet 393(10177), 1240–1253 (2019).
Ushijima, K. Treatment for recurrent ovarian cancer-at first relapse. J. Oncol. 2010, 497429 (2010).
Torre, L.A., et al., Ovarian cancer statistics. Cancer J. Clin. 68(4): p. 284–296. (2018).
Pawłowska, A., et al., Current Understanding on Why Ovarian Cancer Is Resistant to Immune Checkpoint Inhibitors. Int. J. Mol. Sci., 24(13). (2023).
Tomasova, K. et al. DNA Repair and Ovarian Carcinogenesis: Impact on Risk, Prognosis and Therapy Outcome. Cancers 12(7), 1713 (2020).
Marchetti, C. et al. BRCA Mutation Status to Personalize Management of Recurrent Ovarian Cancer: A Multicenter Study. Ann. Surg. Oncol. 25(12), 3701–3708 (2018).
Du, Z.-H. et al. Next-generation sequencing unravels extensive genetic alteration in recurrent ovarian cancer and unique genetic changes in drug-resistant recurrent ovarian cancer. Mol. Genet. Genomic Med. 6(4), 638–647 (2018).
Werner, B. et al. Cell-free DNA from ascites identifies clinically relevant variants and tumour evolution in patients with advanced ovarian cancer. Mol. Oncol. 18(11), 2668–2683 (2024).
Bolger, A. M., Lohse, M. & Usadel, B. Trimmomatic: a flexible trimmer for Illumina sequence data. Bioinformatics 30(15), 2114–2120 (2014).
Li, H. & Durbin, R. Fast and accurate short read alignment with Burrows-Wheeler transform. Bioinformatics 25(14), 1754–1760 (2009).
Li, H. et al. The sequence alignment/map format and SAMtools. Bioinformatics 25(16), 2078–2079 (2009).
McKenna, A. et al. The Genome Analysis Toolkit: a MapReduce framework for analyzing next-generation DNA sequencing data. Genome Res. 20(9), 1297–1303 (2010).
Dobin, A. et al. STAR: ultrafast universal RNA-seq aligner. Bioinformatics 29(1), 15–21 (2013).
Wang, K., M. Li, and H.H. Annovar, Functional annotation of genetic variants from high-throughput sequencing data. (2010).
Kim, J. et al. KoVariome: Korean National Standard Reference Variome database of whole genomes with comprehensive SNV, indel, CNV, and SV analyses. Sci. Rep. 8(1), 5677 (2018).
Lee, S. et al. Korean Variant Archive (KOVA): a reference database of genetic variations in the Korean population. Sci. Rep. 7(1), 4287 (2017).
Landrum, M. J. et al. ClinVar: improving access to variant interpretations and supporting evidence. Nucl. Acids Res. 46(D1), D1062–D1067 (2018).
Subbiah, V. et al. The FDA approval of pembrolizumab for adult and pediatric patients with tumor mutational burden (TMB)≥ 10: a decision centered on empowering patients and their physicians. Ann. Oncol. 31(9), 1115–1118 (2020).
Talevich, E. et al. CNVkit: genome-wide copy number detection and visualization from targeted DNA sequencing. PLoS Comput. Biol. 12(4), e1004873 (2016).
Mermel, C.H., et al., GISTIC2. 0 facilitates sensitive and confident localization of the targets of focal somatic copy-number alteration in human cancers. Genome Biol., 12: p. 1–14. (2011).
Haas, B.J., et al., STAR-Fusion: fast and accurate fusion transcript detection from RNA-Seq. BioRxiv., p. 120295. (2017).
Nicorici, D., et al., FusionCatcher–a tool for finding somatic fusion genes in paired-end RNA-sequencing data. Biorxiv. (2014).
Network, C. G. A. R. Integrated genomic analyses of ovarian carcinoma. Nature 474(7353), 609 (2011).
Patch, A.-M. et al. Whole–genome characterization of chemoresistant ovarian cancer. Nature 521(7553), 489–494 (2015).
Jaliffa, C. et al. Comprehensive genomic characterization in ovarian low-grade and chemosensitive and chemoresistant high-grade serous carcinomas. Oncology 102(11), 979–987 (2024).
Smith, P. et al. The copy number and mutational landscape of recurrent ovarian high-grade serous carcinoma. Nat. Commun. 14(1), 4387 (2023).
Philpott, C. et al. The NF1 somatic mutational landscape in sporadic human cancers. Hum. Genomics 11, 1–19 (2017).
Sangha, N. et al. Neurofibromin 1 (NF1) defects are common in human ovarian serous carcinomas and co-occur with TP53 mutations. Neoplasia 10(12), 1362–1372 (2008).
Davies, K. D. & Doebele, R. C. Molecular pathways: ROS1 fusion proteins in cancer. Clin. Cancer Res. 19(15), 4040–4045 (2013).
Aydin, H. A. et al. A study detection of the ROS1 gene fusion by FISH and ROS1 protein expression by IHC methods in patients with ovarian malignant or borderline serous tumors. Pathol. Res. Pract. 214(11), 1868–1872 (2018).
Jardim, D. L. et al. The challenges of tumor mutational burden as an immunotherapy biomarker. Cancer Cell 39(2), 154–173 (2021).
Samstein, R. M. et al. Tumor mutational load predicts survival after immunotherapy across multiple cancer types. Nat. Genet. 51(2), 202–206 (2019).
Foster, K. et al. Clinical implications of tumor-based next-generation sequencing in ovarian cancer. J. Clin. Oncol. 40, 5545–5545 (2022).
Park, J. T. et al. Notch3 overexpression is related to the recurrence of ovarian cancer and confers resistance to carboplatin. Am. J. Pathol. 177(3), 1087–1094 (2010).
Machiela, M. J. et al. Mosaic 13q14 deletions in peripheral leukocytes of non-hematologic cancer cases and healthy controls. J. Hum. Genet. 61(5), 411–418 (2016).
Lu, Y. et al. Molecular characteristics and oncogenic role of CHD family genes: a pan-cancer analysis based on bioinformatic and biological analysis. Sci. Rep. 14(1), 18923 (2024).
Xu, B. et al. Expression of LATS family proteins in ovarian tumors and its significance. Hum. Pathol. 46(6), 858–867 (2015).
Xu, Z. et al. Downregulated exosome-associated gene FGF9 as a novel diagnostic and prognostic target for ovarian cancer and its underlying roles in immune regulation. Aging (Albany NY) 14(4), 1822 (2022).
Garsed, D. W. et al. Homologous recombination DNA repair pathway disruption and retinoblastoma protein loss are associated with exceptional survival in high-grade serous ovarian cancer. Clin. Cancer Res. 24(3), 569–580 (2018).
Yang, S. Y. C. et al. Landscape of genomic alterations in high-grade serous ovarian cancer from exceptional long- and short-term survivors. Genome Med. 10(1), 81 (2018).
Acknowledgements
We would like to thank Editage (www.editage.co.kr) for English language editing.
Funding
This work was supported by the National Research Foundation of Korea (NRF) grant funded by the Korea government (MSIT) (RS-2025–24873317), the Basic Science Research Program of the National Research Foundation of Korea (NRF) funded by the Ministry of Education (NRF-2021R1A2B5B02001915) and the National Institute of Health (NIH) research project (project No. # 2024ER051701).
Author information
Authors and Affiliations
Contributions
Y.H.Park participated in Data curation, Investigation, Methodology, Project administration, and Writing. S.W.Park participated in Data curation, Formal analysis, Investigation, Methodology, Software, Validation, Visualization, and Writing. J.W.Kim participated in Formal analysis, Investigation, and Methodology. Y.K.Lee participated in Formal analysis and Methodology H.Cho participated in Conceptualization, Methodology and Resources. I.H.Park participated in Data curation, Investigation, Methodology, Resources and Writing. M.R.Han participated in Conceptualization, Data curation, Funding acquisition, Investigation, Methodology, Project administration, Software, Supervision, Validation, Visualization, and Writing. J.H.Kim participated in Conceptualization, Funding acquisition, investigation, Methodology, Project administration, Resources and Supervision.
Corresponding authors
Ethics declarations
Competing interests
The authors declare no competing interests.
Additional information
Publisher’s note
Springer Nature remains neutral with regard to jurisdictional claims in published maps and institutional affiliations.
Supplementary Information
Rights and permissions
Open Access This article is licensed under a Creative Commons Attribution-NonCommercial-NoDerivatives 4.0 International License, which permits any non-commercial use, sharing, distribution and reproduction in any medium or format, as long as you give appropriate credit to the original author(s) and the source, provide a link to the Creative Commons licence, and indicate if you modified the licensed material. You do not have permission under this licence to share adapted material derived from this article or parts of it. The images or other third party material in this article are included in the article’s Creative Commons licence, unless indicated otherwise in a credit line to the material. If material is not included in the article’s Creative Commons licence and your intended use is not permitted by statutory regulation or exceeds the permitted use, you will need to obtain permission directly from the copyright holder. To view a copy of this licence, visit http://creativecommons.org/licenses/by-nc-nd/4.0/.
About this article
Cite this article
Park, YH., Park, SW., Kim, JW. et al. Genomic alterations linked to recurrence risk in high-grade serous ovarian cancer revealed by deep targeted sequencing. Sci Rep 15, 44155 (2025). https://doi.org/10.1038/s41598-025-26481-4
Received:
Accepted:
Published:
Version of record:
DOI: https://doi.org/10.1038/s41598-025-26481-4



