Abstract
Marine animal forests, composed of sessile suspension feeders such as gorgonians are known to host rich communities that support important ecosystem functions and services. These habitats are undergoing severe loss due to multiple pressures, with potential cascading effects on associated communities and their functions that remain poorly understood. To address this critical knowledge gap, we used fine-scale data to assess the role of Paramuricea clavata forests in supporting biodiversity and ecosystem functioning at multiple locations, in the Gulf of Naples (Italy, Western Mediterranean Sea). Through functional trait analysis, we compared taxonomic and functional diversity of benthic assemblages inside and outside P. clavata forests and investigated the loss of traits as a consequence of forest loss. Analyses revealed significant enhancements in both taxonomic and functional diversity within P. clavata forests, with observed increased species and functional richness. Trait-based investigations revealed a higher abundance of colonial heterotrophic species within forests, while outside, assemblages were dominated by low-longevity autotrophs, suggesting that P. clavata modifies environmental variables creating unique ecological conditions that favor specific traits. β-diversity measurements demonstrated increased compositional and functional turnover inside forests, indicating that P. clavata provides more available niches, supporting the replacement of species and functions. Our findings offer insights into how marine animal forests can structure marine communities, with broader implications for understanding biodiversity loss in changing marine ecosystems.
Similar content being viewed by others
Introduction
Biodiversity loss is pervasive across ecosystems, with expected large-scale ecological consequences for ecosystem functioning and the benefits nature provides to people1. A major concern is the loss of habitat-forming species, as these species directly regulate resource availability for themselves and for other species. In terrestrial ecosystems, this process has been well-documented, with clear evidence that widespread deforestation drastically reduces biodiversity, alters species composition and traits, and has significant effects on various ecological processes2. On the contrary, the response of marine ecosystems to the loss of habitat-forming species is less documented. Recent studies have indicated that marine macroalgal forests and seagrass meadows are at risk3,4,5, with alarming projections for their future6. Dramatic loss in the biomass and biodiversity of ‘animal forests’ has also been globally observed7,8, driven by multiple stressors ranging from local to global changes9. Marine animal forests are three-dimensional structures formed by habitat-forming sessile invertebrates (e.g., gorgonians, corals, sponges, bivalves). These assemblages are referred to as “forests” because, similar to terrestrial forests, they create complex architectures that enhance biodiversity and support multiple ecosystem functions7. Their role in providing food, protection and nursery to associated species, as well as contributing to the blue carbon budget, is well recognized10. As habitat-forming organisms, their loss is expected to reduce biodiversity and erode species traits, thereby disrupting important ecosystem services11.
The Mediterranean Sea, considered a miniature ocean12, is a hotspot of biodiversity although one of the most impacted areas of the planet, where pollution, overfishing, habitat destruction and non-indigenous species introductions are producing large effects at basin scale13,14. Climate change is severely affecting Mediterranean marine ecosystems faster than expected15, with unprecedented loss of habitat formers16. In this respect, the red gorgonian Paramuricea clavata Risso (1827) is a paradigmatic example. It is a long-lived species listed as a vulnerable species by the International Union for Conservation of Nature17, with slow growth rate, annual recruitment and late reproductive maturity, making it particularly vulnerable to human disturbances18,19. It shows a large-scale distribution20 living at depths ranging from 15 to 200 m21,22 and contributing to the three-dimensional complexity of coralligenous outcrops, a Mediterranean biogenic temperate reef formed by complex and heterogeneous benthic assemblages23,24. Paramuricea clavata has a critical functional role since it is supposed to stabilize key environmental variables such as light intensity, water flows, and sedimentation rate, thus supporting the settlement and growth of underlying benthic species25,26. Several studies have reported mass mortality events of P. clavata populations due to increasing frequency of extreme climate events (marine heat waves, storms) together with other sources of disturbance such as fishing pressure, ultimately affecting population’s resilience and resistance9,27,28,29,30,31, also highlighting dramatic effects on the associated community9,32,33. However, despite the importance of this species, the consequences of its loss are still little known. Fine-scale data are needed to understand if the presence of P. clavata forests support assemblages with distinct structural and ecological features able to provide specific ecosystem processes and associated ecosystem services. Such data are essential for predicting future changes in this habitat and the associated ecological processes under global change scenarios, addressing the long-term ecological implications of the decline and loss of P. clavata.
Simultaneously exploring taxonomic and functional aspects of biodiversity provides a more comprehensive understanding of community assembly processes34. Functional traits are those specific characteristics or attributes of organisms that influence their performance and interactions within ecosystems35. The unique combination of traits in a species identifies a functional entity (FE) meaning that species that share the same traits belong to the same FE36,37. The functional trait approach presents some limitations, since there is a deep gap of knowledge on trait-specific information which leads to their simplification by scientific experts. Nevertheless, this methodology can provide valuable insights to complement taxonomic analyses, allowing for a robust assessment of how changes in species composition translate into functional shifts. This approach is particularly useful in species-rich communities, such as coralligenous assemblages, where directly measuring the full range of ecosystem functions is often unfeasible38,39. Recently, trait-based indices have been introduced as an alternative ‘functional’ approach to assess the relationships between biodiversity and human disturbances. Indeed, these indices have the potential to determine the cause of change in systems by investigating the type of traits affected. Evidence showed that human pressures selectively remove a distinct suite of traits from assemblages40,41. For instance, ocean acidification reduces the abundance of calcifying species with three-like morphologies, favoring low-lying fast-growing species across different habitats42. Also, mechanical disturbances such as bottom trawling have negative effects on large epifaunal filter feeders, which are more sensitive to physical stressors, and are replaced by mobile infaunal scavengers43,44. This approach enables to identify the most vulnerable traits to a specific source of disturbance, allowing to anticipate potential shifts in ecosystem properties.
For a broader understanding of the ecological role of P. clavata, assessing β-diversity is essential, given that the structural complexity created by habitat-forming species has been shown to influence not only species richness and community composition, but also spatial heterogeneity45. β-diversity refers to the variations in species composition across different habitats or spatial units and it can be partitioned into species replacement (turnover) and richness differences (nestedness), allowing to disentangle the contribution of the two mechanisms to the heterogeneity and thus to understand causes generating differences in species composition46. While research has primarily focused on compositional β-diversity, combining both compositional and functional β-diversity provides a valuable lens for understanding how ecological processes and human pressures drive species assemblages and distribution, offering key insights for species conservation and ecosystem management47. Because functional traits reflect species’ adaptive strategies to the environment, numerous studies on functional β-diversity have rapidly emerged over the past two decades. These studies show contrasting turnover and nestedness-resultant components of compositional and functional β-diversities48 and demonstrate the importance of considering the multifaceted nature of biodiversity when examining community assembly34.
The ecological value of P. clavata forests has been recently explored. Gómez et al.33 reported that marine heatwaves (MHWs) can affect the functional structure of P. clavata dominated assemblages with detrimental consequences on several ecological processes and their associated ecosystem functions. However, comparisons with coralligenous assemblages outside the forests also revealed that P. clavata can mitigate the effects of warming by helping to maintain the original assemblage structure dominated by macroinvertebrates9. Complementing this, Teixidó et al.32 documented that the removal of P. clavata facilitates the proliferation of opportunistic turf-forming algae and invasive species. Taken together, these findings emphasize the ecological relevance of P. clavata, and highlight the need to better understand how forest presence or absence shapes taxonomic and functional diversity. To address this, we used fine-scale data with non-destructive sampling methods from replicated locations in the Gulf of Naples (Italy, Western Mediterranean Sea), including species presence-absence, abundance, and functional traits. This comprises ‘effect’ traits (e.g. morphological, physiological and phenological features of species involved in the understory) and ‘response’ traits (e.g. reproductive and dispersal strategies). We applied a combined taxonomic and functional framework to test the hypothesis that the understory assemblages associated with P. clavata forests exhibit distinct features compared to coralligenous assemblages where the forests are absent.
Material and methods
Study area
The Gulf of Naples (Italy) is a semi-enclosed embayment nestled within the southeastern Tyrrhenian Sea (Mediterranean Sea). The basin is South-West oriented and bounded by the islands of Procida and Ischia to the North, and by the island of Capri and the Sorrento peninsula to the South. Six locations were sampled based on prior knowledge of the presence of P. clavata forests within the operative depth of recreational scuba diving of 30–40 m. The selected locations were: Ischia (Punta Sant’Angelo) (1) and Procida (Punta Pizzaco) (2), located within the Regno di Nettuno Marine Protected Area (MPA); Scoglio Penna (3) and Scoglio del Vervece (5), within the Punta Campanella MPA; Banco di Santa Croce (6), protected area by Ministerial Decree of June 15, 1993 and the location of Capri (4), out of protection boundaries (Fig. 1). For each location, we randomly selected two sites (A, B) about 50 m apart from each other, with similar slope and exposition. At each site, data were collected under two conditions: an “inside” condition, located within P. clavata forests, and an “outside” condition, corresponding to adjacent areas of the same coralligenous outcrop where the forests were naturally absent. This design allowed for a direct comparison of benthic assemblages under similar environmental settings, differing only in the presence of the habitat-forming gorgonian.
Distribution of the sampling locations in the study area. Mean density and biomass values of the P. clavata colonies are represented as different circle colours (biomass) and dimensions (density). The map was produced with QGIS1 3.28.6 (QGIS.org 2023. QGIS Geographic Information System. Open-Source Geospatial Foundation Project. http://qgis.org).
Data collection
Data collection has been carried out during scuba diving surveys in summer 2022. Within each site, photographic sampling of benthic assemblages was conducted using ten random replicate quadrats of 25 × 25 cm for each of the two conditions: inside P. clavata forest and in the adjacent zone outside P. clavata forest. Additionally, six random quadrats of 50 × 50 cm were used in each site within the forest to count P. clavata colonies to later assess the density and population structure (Fig. S1). Each P. clavata colony inside these quadrats has been measured with a ruler from the base to the end of the farthest tip49. The sampling unit of six 50 × 50 cm was chosen following Linares et al.19, who found the stabilization of the s.e.m. (standard error of the mean) as a proportion of the mean colony density with a sample size of 1.5 m2. The photographic sampling was carried out using Canon G7X Mk III in Nauticam housing and equipped with two strobe lights. The percentage cover of sessile organisms was quantified using the photoQuad_v1_4 software50. During the analysis, each species has been identified at the lowest possible taxonomic level, and when specific identifications were not feasible, a morpho-functional group has been assigned (e.g. algal turf, encrusting sponge)
Data analysis
Paramuricea clavata forests
To assess the health status of P. clavata forests, mean height, density and biomass of each colony have been calculated for each site. Height measurements collected in the field were used to estimate the biomass using the relationship B = 0.002H2.61 reported by Coma et al.51 and corrected by Linares et al.19, where B is the biomass of dry weight (DW) in grams and H is the colony height in centimeters. The population structure was assessed by assigning each colony to a size class with a 10 cm range and then reporting the frequency distribution of each size class across sites. Size distribution was analysed using the skewness and kurtosis coefficients19,52. Skewness measures the asymmetry of a distribution relative to its mean. When skewness is significant, it indicates that the distribution is not symmetrical. Positive skewness suggests a predominance of smaller size classes within the population, while negative skewness indicates a dominance of larger size classes. Kurtosis assesses the sharpness of the distribution’s peak around its central mode. A significant kurtosis value implies that the distribution has longer tails compared to a normal distribution, reflecting a higher prevalence of certain size classes within the population. Skewness and kurtosis coefficients are considered significant if the ratio of their values to their standard error exceeds ± 252. Population dynamics of marine animal forests are regulated by density-dependent processes determined by the intra-specific competition for the use of resources such as food and space53. As a result of this self-thinning mechanism, pristine populations are characterized by large colonies, while in young or impacted populations, high densities of small colonies saturate the space19,54. We assessed the relation between biomass and density of P. clavata populations through a linear regression with the log–log model as a descriptor of population conservation status19.
Experimental design and statistical analysis
Statistical analyses were performed to test the hypothesis that P. clavata forests have the role of increasing local compositional and functional diversity. To test these hypotheses, we applied a multifactorial design consisting of three factors: location (Lo, 6 levels, random), site (Si, 2 levels, random and nested in location) and condition (Co, 2 levels, fixed and orthogonal), with n = 10 replicates. The analyses are described in the sections below.
Functional traits and trait space
Twelve categorical and/or ordinal functional traits were identified on the base of previous studies on benthic assemblages37,47: (1) Morphology, (2) Coloniality, (3) Maximum longevity, (4) Size, (5) Epibiosis, (6) Energetic resource, (7) Major photosynthetic pigment, (8) Feeding strategy, (9) Potential of asexual reproduction, (10) Growth rates, (11) Defences, (12) Propagules (Table S1). Functional traits were subdivided into categories, and, for each species, a category was assigned based on the relative trait determined through extensive bibliographic research (see supplementary materials) on biological and ecological characteristics of that species (Table S1). Subsequently, each species has been classified into a functional entity (FE) (i.e. groups of species with unique combinations of functional traits)36. Functional richness (FRic) measures the amount of functional trait space occupied by a community and thus reflects the diversity of functional traits present. It has been calculated as the percentage of the volume of the multidimensional trait space occupied by all FEs within the functional space40. To create this multidimensional trait space, a Principal Coordinates analysis (PCO) was performed on FEs, based on a Gower dissimilarity matrix, chosen since it allows the analysis of mixed types of data while giving them equal weight55. Seven PCO dimensions were selected, based on the lowest mean squared-deviation index value (mSD = 0.0022), to ensure a faithful representation of trait-based differences between species. The coordinates of each FE obtained by PCO were used to calculate the FRic for each quadrat sampled during the study to assess statistically significant differences between conditions, and across sites and locations. These coordinates were also used to visualize spatial differences in functional richness. To examine differences in trait composition and abundance between conditions in space, Community-Weighted Mean (CWM) was calculated as the average of trait values for species at each quadrat weighted by the relative abundance of each species possessing that trait. CWM of traits is a valuable index for evaluating shifts in mean trait values within communities due to environmental selection for specific functional traits56,57.
Univariate and multivariate analyses
A three-way univariate analysis of variance was carried out using PERMANOVA based on Euclidean distances of untransformed data58 to assess differences in species richness, in the number of FEs and in the FRic, between conditions and across locations and sites. Each term was tested using a maximum of 999 permutations. To investigate the effect of P. clavata on taxonomic and functional structure, and on CWM, multivariate analyses were performed using PERMANOVA based on the Bray–Curtis resemblance matrix calculated on fourth root transformed data to reduce the differential between dominant and rare species. The PERMANOVA test was performed since it is less sensitive to dispersion than other tests like ANOSIM and the Mantel test, particularly in balanced designs, and it was therefore considered appropriate for testing our hypothesis59. Each term was tested using a maximum of 999 random permutations of the appropriate units60, and post-hoc pairwise comparisons were carried out when significant results were obtained. Non-metric multidimensional scaling ordinations were carried out on species cover and CWM to display differences on taxonomic and functional diversity between conditions at the scale of sites, since the interaction term Si(Lo) × Co was found significant in the both multivariate analysis. Statistical analysis has been performed using PRIMER software (v.7).
Compositional and functional β-diversity
According to Villéger et al.61, compositional β-diversity is calculated as the ratio of species not shared between assemblages relative to the total number of species. By analogy, the functional β-diversity is quantified as the ratio of FEs not shared between assemblages relative to the total FEs. Compositional and functional β-diversity analyses, based on the Jaccard resemblance matrix on presence/absence transformed data, were carried out within condition and partitioned into the two β-diversity component nestedness and turnover. Turnover can be defined as the degree of species replacement reflecting the selective differentiation of species among assemblages because of environmental sorting46,62. Nestedness, on the other hand, refers to the hierarchical arrangement of species assemblages, wherein species present in species-poor habitats are subsets of those found in species-rich habitats, often in response to environmental gradients63. A permutational analysis of multivariate dispersion (PERMDISP)54 was then carried out to test statistically significant differences in the heterogeneity between conditions (In vs. Out). PCO based on Jaccard dissimilarity matrix was performed for compositional and functional β-diversity and its components to visualize differences in terms of community heterogeneity between conditions. FRic, CWM and β-diversity analyses were performed using the R functions from the ‘FD’, ‘tripack’, ‘geometry’, ‘matrixStats’ and ‘betapart’ R package (R v 3.4.1, R development Core Team, 2017)64,65,66,67,68.
Results
Paramuricea clavata forests
The mean P. clavata density ranged from 27.3 ± 5.9 to 65.3 ± 27.1 colonies/m2 ± s.e.m., while lowest and highest biomass values corresponded to 100.1 ± 89.7 and 505.4 ± 367.7 g dry weight/m2 ± s.e.m., respectively (Table S2). Small colonies (< 10 cm) were the most represented in all investigated populations (Fig. 2). Skewness coefficients confirmed that most of the size class distributions (11 out of 12 sites) were significantly positively skewed, indicating the prevalence of small size classes. The kurtosis coefficients also showed a significantly positive trend in 10 out of the 12 sites, highlighting the presence of long tails in the size class distribution of P. clavata colonies among sites. Paramuricea clavata populations showed no significant relationship between density and biomass (R2 = 0.097; p = 0.3234) (Fig. S2).
Population structure. Paramuricea clavata population structure for site (A) (grey) and (B) (white) of assessed locations.
Species richness, functional entities and functional richness of the understory assemblages in presence and in absence of the forests
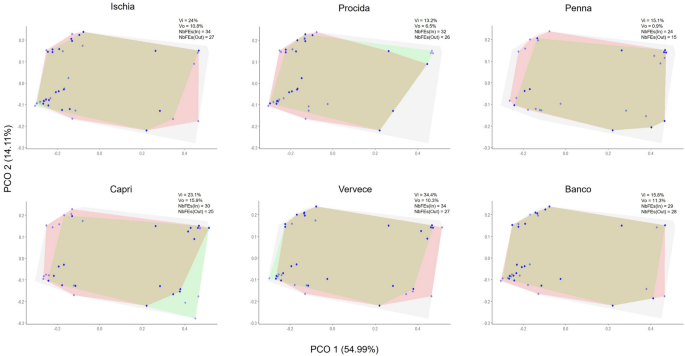
A total of 80 species/taxa were found in the understory assemblages and grouped in 63 FEs. Univariate analyses revealed the effect of the presence of P. clavata forests on the number of species (p = 0.012), the number of functional entities (FEs, p = 0.009) and functional richness (FRic, p = 0.042) (Table S3). Differences were consistent across sites and locations for the three variables (Table S3). More specifically, the mean number of species and FEs were higher inside the forests (9 ± 0.3 s.e.m.; 8.8 ± 0.2 s.e.m. respectively) compared to the areas outside (7.5 ± 0.2 s.e.m.; 7.5 ± 0.2 s.e.m. respectively). Additionally, FRic was also higher inside the forests at all locations (Fig. 3), with a higher mean value (20.9 ± 3.2 s.e.m.) compared to the areas outside (9.3 ± 2.1 s.e.m.).
Functional richness inside (red) vs. outside (green) the forests. The total functional space given by all FEs found in this study is represented as a grey polygon. The yellowish area corresponds to the overlap between the grey, red, and green polygons. Vi: volume inside the forest; Vo: volume outside. NbFEs(In): total number of FEs within the location inside the forest; NbFEs(Out): total number of FEs within the locality outside the forest. The axes PCO1 and PCO2 represent the first two dimensions of the 7D functional space and cumulatively explain 69.1% of the total variance.
Structural and functional changes in the understory assemblages in presence and in absence of the forests
The multivariate analysis showed a significant effect of the forests on the taxonomic structure of the understory assemblages, differing across sites (p = 0.001) (Table S4). However, a posteriori pairwise comparison indicated that in almost all sites (11 out of 12) a distinct community structure inside vs. outside the forest was found (Table S5). Differences between conditions were mainly driven by the presence of invertebrates (e.g. Smittina cervicornis, Crambe crambe, Pleraplysilla spinifera, Schizomavella mamillata) inside the forests, while algal species (e.g. Dictyotales and the non-indigenous species Caulerpa cylindracea and Lophocladia trichoclados), mucilage and sediments were more abundant outside the forests (Fig. S3). A significant effect of the forests was also found on the functional structure of the assemblages in terms of composition and relative abundance of FEs, changing across sites (p = 0.001) (Table S4), and a posteriori pairwise comparisons show significant differences in 10 out of the 12 sites included in the analysis (Table S5).
The multivariate analysis showed a significant effect of P. clavata forests on the CWM of traits but not consistently across sites (p = 0.012) (Table S6). A posteriori pairwise comparisons indicated that the functional traits differed between conditions in 7 out of 12 sites (Table S7). The nMDS analyses carried separately for each site reported that colonial heterotrophs, with lecithotrophic larvae, physical and chemical defences and non-photosynthetic pigments were more abundant within the forests, while low-longevity autotrophs that mainly use phycoerythrin pigments (e.g., rhodophytes) and reproduce via spores characterized communities outside the forests (Fig. S4).
Patterns of heterogeneity in the understory assemblages in presence and in absence of the forests
PERMDISP analysis revealed significant differences in community heterogeneity between the two conditions, both at the compositional and functional level (p = 0.001) (Fig. 4). More specifically, a higher heterogeneity was observed inside the forests than outside for both compositional (0.683 ± 0.001 s.e.m. inside vs. 0.612 ± 0.002 s.e.m. outside) and functional (0.673 ± 0.001 s.e.m. inside vs. 0.610 ± 0.002 s.e.m. outside) analyses (Fig. 5), suggesting less variability in the patterns of distribution of benthic assemblages in absence of P. clavata. The breakdown into the two components revealed that turnover is the major component of the pattern of heterogeneity for both conditions. Even in this case, the turnover component of community heterogeneity was higher inside the forests than outside, both at the compositional (0.555 ± 0.002 s.e.m. inside vs. 0.486 ± 0.002 s.e.m. outside) and functional level (0.546 ± 0.002 s.e.m. inside vs. 0.482 ± 0.002 s.e.m. outside) (Fig. 5) and both differences were statistically significant (p = 0.01) (Fig. 4). In other words, rather than having a gain or loss of species/functions going from one condition to another, communities associated with P. clavata compose a distinct and heterogeneous assemblage from both compositional and functional point of view. A summary of the results obtained from univariate and multivariate analyses is reported in Table 1.
Heterogeneity (PERMDISP) of the two conditions (In and Out). PCO based on Jaccard dissimilarity matrix of compositional and functional total β-diversity and the turnover component inside (red) vs. outside (green) the forests.
β-diversity. Compositional and functional β-diversity within condition and their partitioning into the two components of turnover and nestedness. Error bars represent s.e.m.
Discussion
The results of our study document that the presence of P. clavata forests favors the development of distinct benthic assemblages, characterized by higher species and functional richness compared to areas where forests are absent.
In temperate regions, the decline and loss of habitat-forming species in response to multiple anthropogenic stressors is increasingly documented6, with indications of the drivers behind these changes and their consequences in terms of species composition and relative abundance. Among habitat formers, marine animal forests are recognized as biodiversity hotspot for different communities including meiofauna, infauna, sessile and vagile species, epibionts and ichthyofauna7,69,70,71,72,73. However, the limited quantitative knowledge about their distribution and functional role hampers our understanding of the underlying causes of their increasing loss and our ability to predict future changes, which could lead to regime shifts and alterations of associated biodiversity74. By using fine-scale data, we described the P. clavata populations and investigated their role in shaping taxonomic and functional diversity. Within the assessed study areas, P. clavata populations were characterized by the dominance of small, non-reproductive colonies, and by significantly positive skewness and kurtosis values, indicating altered size structures that deviate from the bell-shaped patterns expected in undisturbed populations19,53. In addition, the positive slope of the density–biomass relationship, which is typically negative in mature forests, suggests that the studied populations are likely experiencing ongoing stressors affecting subtidal assemblages19. The Gulf of Naples is indeed an urbanized coastal region, where multiple stressors such as fishing and climate-related events may affect the status of P. clavata forests13,75,76,77.
Our study represents a baseline for this area of the Mediterranean Sea and expands current knowledge on biodiversity associated with these forests, which has been sparse and fragmented across very few Mediterranean regions, already documenting that the loss of P. clavata forests can lead to significant changes in recruitment patterns in the understory assemblages70,78 resulting in lower species diversity and richness9,41. Systematic efforts and long-term monitoring focused on improving knowledge of marine animal forests and associated biodiversity are needed to quantitatively assess the status and the effects of different combinations of stressors across the basin. This information is particularly urgent, given that cnidarians are more affected than any other group by strong thermal anomalies, which are leading to mass mortality events at the Mediterranean scale16.
Our findings also show that the presence of the forest supports a different functional structure with more functional entities and higher functional richness and that results are consistent at both the scales of tens’ meters and kilometres. A broader occupation of the functional trait space indicates a more diverse set of ecological roles and processes being supported under the forests. This role in influencing ecosystem functioning has also been documented for other marine animal forests such as coral reefs, sponge grounds, vermetid reefs, and oyster reefs, which regulate energy transformation and habitat provision by modifying local environmental variables7. Our functional analysis indicates that the ability of P. clavata to favor specific traits varies across sites. Spatial variability of local environmental factors and/or the different disturbance histories of assessed populations may explain these results. A fine-scale assessment of these drivers, within the framework of manipulative experiments, could help disentangle the effects of the structure and functioning of the forests from those of other local and global drivers influencing the system. However, some traits such as heterotrophy, coloniality and the presence of species with defined physical and chemical defenses are typically prevalent within the forests. Outside the forests, fast-growing and low-longevity primary producers replace heterotrophs, possibly altering ecological processes involved in energy fluxes, such as productivity and benthic-pelagic coupling, with cascade effects across biodiversity levels79. This functional shift may affect important ecosystem services supported by marine animal forests, including carbon sequestration, food provision, genetic and medicinal resources, erosion prevention, and tourism7,10,80,81,82,83. These patterns correspond to those reported for P. clavata and Corallium rubrum before and after the occurrence of marine heat waves, when fast-growing autotrophic species (e.g. algal turf, Caulerpa cylindracea) rapidly colonized the free spaces after mass mortality events at the expense of morphologically complex and long-lived heterotrophs33. This evidence highlights the importance of marine animal forests in influencing environmental variables, creating unique habitat conditions that selectively favor the settlement of certain species25,84. Additionally, the physical structure of P. clavata colonies has been observed to act as a filter for mucilage accumulation and to reduce water flow, limiting sediment resuspension and deposition26,78. A higher abundance of mucilage, sediments and of non-indigenous species L. trichoclados and C. cylindracea was recorded outside P. clavata populations. This function is vital for preventing the establishment of invasive species such as Caulerpa cylindracea, which thrives in sediment-rich and disturbed conditions37,78,85. Nevertheless, while the presence of P. clavata protects the associated community from the spread of the mucilage and the resulting negative aspects on the community itself, mucilage that remains attached to the colony can induce necrosis, generating a diffused oxidative stress in the entire P. clavata colony and affecting its physiological processes86. The results, so far, are also in accordance with the biotic resistance hypothesis, which states that more diverse communities are more resistant to invasion due to the complementary use of resources by natives (complementary effects) or the higher probability of including highly competitive native species which limit the use of resources by invaders87,88.
The specific environmental conditions created by P. clavata are also likely to drive the high heterogeneity observed within the forest, as it has been documented for other habitats dominated by different gorgonian species (i.e. Acanthogorgia hirsuta, Swiftia pallida, Isidella elongata, Eunicella verrucosa)45. Our β-diversity analysis contributed to identifying P. clavata forests as hot-spots of temperate reef biodiversity, with greater total compositional and functional β-diversity inside the forest compared to adjacent zones. Outside the forests, the less heterogeneous patterns of distribution found include both compositional and functional β-diversity. Here, biotic homogenization could be driven by the presence of stressors such as invasive species, sediments and mucilage, leading to species loss and decrease of more vulnerable species (e.g. Myriapora truncata, Smittina cervicornis)89,90. Thus, areas outside the forest reflect the characteristics of more disturbed conditions than assemblages associated with P. clavata, featured by the gain of species and functions which foster the recovery or resistance to disturbances like biological invasions91,92. The breakdown into the two components revealed that species replacement dominates both compositional and functional β-diversity. Turnover in species composition translates into functional turnover when communities have low functional redundancy (i.e. low number of species performing similar functions)93. The positive correlation between these complementary aspects of β-diversity may be related to the high variability of environmental conditions, which leads species to a differential partitioning of resources, resulting in a high turnover of species performing different functions. This pattern has also been observed in shallow subtidal habitats, where environmental factors (e.g. temperature, light exposition, hydrodynamism) are highly variable and likely drive the species sorting47. In contrast, environmental homogenization can induce functional nestedness even though compositional turnover represents the dominant component47,93. In our study, the increase of the compositional and functional turnover inside the forests suggests that the presence of P. clavata drives the replacement of species and functions94, possibly arising from differences in niche features between the two conditions34. The high habitat complexity created by the forests allows the colonization by organisms with different ecological needs, compared to more simple habitats95. Therefore, preserving the integrity of the P. clavata populations is crucial to ensure the maintenance of the habitat complexity which in turn is vital to support compositional and functional diversity. Extended time-series data would strengthen our results and further confirm the ecological role of the species in shaping local biodiversity over the long term and under global change scenarios.
The results of our study highlight the need to improve conservation efforts for P. clavata forests in order to protect their important role in enhancing not only taxonomic diversity but also ecosystem functioning, the latter often being neglected in conservation planning. Currently, only 18% of P. clavata potential habitat at the Mediterranean scale is under protection regimes22. Considering the increasing pressures related to climate change, local threats need to be removed to limit cumulative and synergistic negative impacts on animal forests and associated assemblages30. Present efforts to achieve the 30% conservation target set by the new EU Biodiversity Strategy for 2030 should translate into specific strategies for the inclusion of P. clavata forests within Marine Protected Areas96, an effective tool to protect this habitat and enhance its resilience97. Quantitative information and fine-scale data on the distribution and status of P. clavata are also relevant for the Nature Restoration Law (NRL). The NRL constitutes the EU’s long-term strategy to restore biodiversity and ecosystem services over the next decades98, recently approved by the EU with the objective to halt and reverse biodiversity loss. However, the NRL sets very ambitious quantitative targets in terms of both the areas to restore and the timeframe for their restoration, considering the current poor knowledge about the distribution and status of several species and habitats across the EU, including P. clavata forests. Achieving these targets requires urgent development of knowledge, methodologies, tools, and best practices to monitor progress and ensure success. This work addresses these gaps to consolidate existing knowledge for a successful implementation of EU Directives.
Data availability
All data generated or analysed during this study are included in this published article (and its supplementary information files).
References
Isbell, F. et al. Expert perspectives on global biodiversity loss and its drivers and impacts on people. Front. Ecol. Environ. 21(2), 94–103. https://doi.org/10.1002/fee.2536 (2023).
Faria, D. et al. The breakdown of ecosystem functionality driven by deforestation in a global biodiversity hotspot. Biol. Conserv. 283, 110126. https://doi.org/10.1016/j.biocon.2023.110126 (2023).
Chefaoui, R. M., Duarte, C. M. & Serrão, E. A. Dramatic loss of seagrass habitat under projected climate change in the Mediterranean Sea. Glob. Change Biol. 24, 4919–4928. https://doi.org/10.1111/gcb.14401 (2018).
Tamburello, L. et al. Can we preserve and restore overlooked macroalgal forests?. Sci. Total Environ. 806, 150855. https://doi.org/10.1016/j.scitotenv.2021.150855 (2022).
Silvestrini, C. et al. Habitat loss and small-scale fishery: A controversial issue. Mar. Ecol. 45, e12795. https://doi.org/10.1111/maec.12795 (2024).
Manca, F. et al. Projected loss of brown macroalgae and seagrasses with global environmental change. Nat. Comm. 15, 5344. https://doi.org/10.1038/s41467-024-48273-6 (2024).
Rossi, S., Bramanti, L., Gori, A. & Orejas, C. Marine Animal Forests. The Ecology of Benthic Biodiversity Hotspots. Cham: Springer Cham. https://doi.org/10.1007/978-3-319-17001-5 (2017).
Piazzi, L. et al. Animal forest mortality: following the consequences of a gorgonian coral loss on a Mediterranean coralligenous assemblage. Diversity 13, 133. https://doi.org/10.3390/d13030133 (2021).
Verdura, J. et al. Biodiversity loss in a Mediterranean ecosystem due to an extreme warming event unveils the role of an engineering gorgonian species. Sci. Rep. 9, 5911. https://doi.org/10.1038/s41598-019-41929-0 (2019).
Coppari, M., Zanella, C. & Rossi, S. The importance of coastal gorgonians in the blue carbon budget. Sci. Rep. 9, 13550. https://doi.org/10.1038/s41598-019-49797-4 (2019).
Rilov, G., Canning-Clode, J. & Guy-Haim, T. Ecological impacts of invasive ecosystem engineers: A global perspective across terrestrial and aquatic systems. Funct. Ecol. 38, 37–51. https://doi.org/10.1111/1365-2435.14406 (2023).
Lejeusne, C., Chevaldonné, P., Pergent-Martini, C., Boudouresque, C. F. & Pérez, T. Climate change effects on a miniature ocean: the highly diverse, highly impacted Mediterranean Sea. Trends Ecol. Evol. 25, 250–260. https://doi.org/10.1016/j.tree.2009.10.009 (2010).
Halpern, B. S. et al. Spatial and temporal changes in cumulative human impacts on the world’s ocean. Nat. Comm. 6, 7615. https://doi.org/10.1038/ncomms8615 (2015).
Bevilacqua, S. et al. Mediterranean rocky reefs in the Anthropocene: Present status and future concerns. Adv. Mar. Biol. 89, 1–51. https://doi.org/10.1016/bs.amb.2021.08.001 (2021).
Martínez, J. et al. Evolution of marine heatwaves in warming seas: the Mediterranean Sea case study. Front. Mar. Sci. 10, 1193164. https://doi.org/10.3389/fmars.2023.1193164 (2023).
Garrabou, J. et al. Marine heatwaves drive recurrent mass mortalities in the Mediterranean Sea. Glob. Change Biol. 28, 5708–5725. https://doi.org/10.1111/gcb.16301 (2022).
Otero, M. D. M. et al. (2017). Overview of the Conservation Status of Mediterranean Anthozoa. IUCN, Malaga, Spain. pp. 73. https://doi.org/10.2305/IUCN.CH.2017.RA.2.en (2017).
Linares, C., Doak, D. F., Coma, R., Díaz, D. & Zabala, M. Life history and viability of a long-lived marine invertebrate: The octocoral Paramuricea clavata. Ecology 88, 918–928. https://doi.org/10.1890/05-1931 (2007).
Linares, C., Coma, R., Garrabou, J., Díaz, D. & Zabala, M. Size distribution, density and disturbance in two Mediterranean gorgonians. Paramuricea clavata and Eunicella singularis. J. Appl. Ecol. 45, 688–699. https://doi.org/10.1111/j.1365-2664.2007.01419.x (2008).
Bellin, N. & Rossi, V. Modeling the effects of climate change on the habitat suitability of Mediterranean gorgonians. Biodivers. Conserv. 33, 1027–1049. https://doi.org/10.1007/s10531-024-02779-z (2024).
Boavida, J., Assis, J., Silva, I. & Serrão, E. A. Overlooked habitat of a vulnerable gorgonian revealed in the Mediterranean and Eastern Atlantic by ecological niche modelling. Sci. Rep. 6(36460), 2016. https://doi.org/10.1038/srep36460 (2016).
Figuerola-Ferrando, L. et al. Modelling the distribution of key mediterranean gorgonians: an ensemble approach to unravel broad-scale patterns and guide conservation efforts. J. Biogeog. 52, 392–407. https://doi.org/10.1111/jbi.15041 (2025).
Ballesteros, E. Mediterranean coralligenous assemblages: a synthesis of present knowledge. Oceanogr. Mar. Biol. Annu. Rev. 44, 123–195 (2006).
Ingrosso, G. et al. Mediterranean bioconstructions along the Italian coast. Adv. Mar. Biol. 79, 61–136. https://doi.org/10.1016/bs.amb.2018.05.001 (2018).
Ponti, M. et al. Ecological shifts in Mediterranean coralligenous assemblages related to gorgonian forest loss. PLoS ONE 9, e102782. https://doi.org/10.1371/journal.pone.0102782 (2014).
Valisano, L., Notari, F., Mori, M. & Cerrano, C. Temporal variability of sedimentation rates and mobile fauna inside and outside a gorgonian garden. Mar. Ecol. 37, 1303–1314. https://doi.org/10.1111/maec.12328 (2016).
Betti, F., Bavestrello, G., Bo, M., Enrichetti, F. & Cattaneo-Vietti, R. Effects of the 2018 exceptional storm on the Paramuricea clavata (Anthozoa, Octocorallia) population of the Portofino Promontory (Mediterranean Sea). Reg. Stud. Mar. Sci. 34, 101037. https://doi.org/10.1016/j.rsma.2019.101037 (2020).
Gómez-Gras, D. et al. Population collapse of habitat-forming species in the Mediterranean: a long-term study of gorgonian populations affected by recurrent marine heatwaves. Proc. R. Soc. B 288, 20212384. https://doi.org/10.1098/rspb.2021.2384 (2021).
Bramanti, L et al. The deep vault: a temporary refuge for temperate gorgonian forests facing marine heat waves. Mediterr. Mar. Sci. 24, 601–609. https://doi.org/10.12681/mms.35564 (2023).
Canessa, M. et al. Variation in the health status of the mediterranean gorgonian forests: the synergistic effect of marine heat waves and fishing activity. Biology 13, 642. https://doi.org/10.3390/biology13080642 (2024).
Capdevila, P. et al. Mediterranean octocoral populations exposed to marine heatwaves are less resilient to disturbances. J. Anim. Ecol. 00, 1–14. https://doi.org/10.1111/1365-2656.14147 (2024).
Teixidó, N., Casas, E., Cebrian, E., Linares, C. & Garrabou, J. Impacts on coralligenous outcrop biodiversity of a dramatic coastal storm. PLoS ONE 8(e53742), 2013. https://doi.org/10.1371/journal.pone.0053742 (2013).
Gómez-Gras, D. et al. Climate change transforms the functional identity of Mediterranean coralligenous assemblages. Ecol. Lett. 24, 1038–1051. https://doi.org/10.1111/ele.13718 (2021).
Si, X., Baselga, A. & Ding, P. Revealing beta-diversity patterns of breeding bird and lizard communities on inundated land-bridge islands by separating the turnover and nestedness components. PLoS ONE 10, e0127692. https://doi.org/10.1371/journal.pone.0127692 (2015).
Violle, C. et al. Let the concept of trait be functional!. Oikos 116, 882–892. https://doi.org/10.1111/j.0030-1299.2007.15559 (2007).
Mouillot, D. et al. Functional over-redundancy and high functional vulnerability in global fish faunas on tropical reefs. Proc. Natl. Acad. Sci. 111, 13757–13762. https://doi.org/10.1073/pnas.1317625111 (2014).
Teixidó, N. et al. Functional biodiversity loss along natural CO2 gradients. Nat. Comm. 9, 5149. https://doi.org/10.1038/s41467-018-07592-1 (2018).
Festjens, F. et al. Functional trait responses to different anthropogenic pressures. Ecol. Indic. 146, 109854. https://doi.org/10.1016/j.ecolind.2022.109854 (2023).
Cameron, N. M., Scrosati, R. A., Valdivia, N. & Meunier, Z. D. Global taxonomic and functional patterns in invertebrate assemblages from rocky-intertidal mussel beds. Sci. rep. 14(1), 26. https://doi.org/10.1038/s41598-023-50549-8 (2024).
Mouillot, D., Graham, N. A., Villéger, S., Mason, N. W. & Bellwood, D. R. A functional approach reveals community responses to disturbances. Trends in Eco. Evol. 28, 167–177. https://doi.org/10.1016/j.tree.2012.10.004 (2013).
Carlot, J. et al. Vulnerability of benthic trait diversity across the Mediterranean Sea following mass mortality events. Nat. Comm. 16, 1–11. https://doi.org/10.1038/s41467-025-55949-0 (2025).
Teixidó, N. et al. Functional changes across marine habitats due to ocean acidification. Glob. Change Biol. 30, e17105. https://doi.org/10.1111/gcb.17105 (2024).
Tillin, H. M., Hiddink, J. G., Jennings, S. & Kaiser, M. J. Chronic bottom trawling alters the functional composition of benthic invertebrate communities on a sea-basin scale. Mar. Ecol. Prog. Ser. 318, 31–45. https://doi.org/10.3354/meps318031 (2006).
Van Denderen, P. D. et al. Similar effects of bottom trawling and natural disturbance on composition and function of benthic communities across habitats. Mar. Ecol. Prog. Ser. 541, 31–43. https://doi.org/10.3354/meps11550 (2015).
De la Torriente, A., Aguilar, R., González-Irusta, J. M., Blanco, M. & Serrano, A. Habitat forming species explain taxonomic and functional diversities in a Mediterranean seamount. Ecol. Indic. 118, 106747. https://doi.org/10.1016/j.ecolind.2020.106747 (2020).
Baselga, A. Partitioning the turnover and nestedness components of beta diversity. Glob. Ecol. Biogeogr. 19, 134–143. https://doi.org/10.1111/j.1466-8238.2009.00490 (2010).
Bevilacqua, S. & Terlizzi, A. Nestedness and turnover unveil inverse spatial patterns of compositional and functional β-diversity at varying depth in marine benthos. Divers. Distrib. 26, 743–757. https://doi.org/10.1111/ddi.13025 (2020).
Li, Z. et al. The drivers of multiple dimensions of stream macroinvertebrate beta diversity across a large montane landscape. L&O 66, 226–236. https://doi.org/10.1002/lno.11599 (2021).
Linares, C. et al. Immediate and delayed effects of a mass mortality event on gorgonian population dynamics and benthic community structure in the NW Mediterranean Sea. Mar. Ecol. Prog. Ser. 305, 127–137. https://doi.org/10.3354/meps305127 (2005).
Trygonis, V. & Sini, M. photoQuad: a dedicated seabed image processing software, and a comparative error analysis of four photoquadrat methods. J. Exp. Mar. Biol. Ecol. 424–425, 99–108. https://doi.org/10.1016/j.jembe.2012.04.018 (2012).
Coma, R., Ribes, M., Zabala, M. & Gili, J. M. Growth in a modular colonial marine invertebrate. Estuarine. Coast. Shelf Sci. 47, 459–470. https://doi.org/10.1006/ecss.1998.0375 (1998).
Sokal, R. R. & Rohlf, F. J. Biometry: The Principles and Practice of Statistics in Biological Research 3rd edn. (W.H. Freeman and Co., 1995).
Nelson, H., & Bramanti, L. From trees to octocorals: The Role of Self-thinning and Shading in Underwater Animal Forests. Perspectives Marine Animal Forests World, 401–417. https://doi.org/10.1007/978-3-030-57054-5 (2020).
Cau, A. et al. Habitat constraints and self-thinning shape Mediterranean red coral deep population structure: implications for conservation practice. Sci. Rep. 6, 23322. https://doi.org/10.1038/srep23322 (2016).
Laliberte, E. & Legendre, P. A distance-based framework for measuring functional diversity from multiple traits. Ecology 91, 299–305. https://doi.org/10.1890/08-2244.1 (2010).
Ricotta, C. & Moretti, M. CWM and Rao’s quadratic diversity: a unified framework for functional ecology. Oecologia 167, 181–188. https://doi.org/10.1007/s00442-011-1965-5 (2011).
Veríssimo, H. et al. Comparison of thermodynamic-oriented indicators and trait-based indices ability to track environmental changes: Response of benthic macroinvertebrates to management in a temperate estuary. Ecol. Indic. 73, 809–824. https://doi.org/10.1016/j.ecolind.2016.10.040 (2017).
Anderson, M. J. Distance-based tests for homogeneity of multivariate dispersions. Biometrics 62, 245–253. https://doi.org/10.1111/j.1541-0420.2005.00440.x (2006).
Anderson, M. J. & Walsh, D. C. PERMANOVA, ANOSIM, and the Mantel test in the face of heterogeneous dispersions: what null hypothesis are you testing?. Ecol. Monogr. 83(4), 557–574. https://doi.org/10.1890/12-2010.1 (2013).
Anderson, M. & Braak, C. T. Permutation tests for multi-factorial analysis of variance. JSCS 73, 85–113. https://doi.org/10.1080/00949650215733 (2003).
Villéger, S., Novack-Gottshall, P. M. & Mouillot, D. The multidimensionality of the niche reveals functional diversity changes in benthic marine biotas across geological time. Ecol. Lett. 14, 561–568. https://doi.org/10.1111/j.1461-0248.2011.01618.x (2011).
Soininen, J., Heino, J. & Wang, J. A meta-analysis of nestedness and turnover components of beta diversity across organisms and ecosystems. Global. Ecol. Biogeogr. 27, 96–109. https://doi.org/10.1111/geb.12660 (2018).
Ulrich, W. & Gotelli, N. Null model analysis of species nestedness patterns. Ecology 88, 1824–1831. https://doi.org/10.1890/06-1208.1 (2007).
Laliberté, E., Legendre, P. & Bill, S. Measuring Functional Diversity (FD) from Multiple Traits, and Other Tools for Functional Ecology. 1–28. R package version 1.0–12. https://cran.r-project.org/web/packages/FD/FD.pdf (2014).
Barber, C. et al. Geometry: Mesh Generation and Surface Tesselation. R package version 0.3–6. https://CRAN.R-project.org/package=geometry (2015).
Fortran code by R. J. Renka. R Functions by Albrecht Gebhardt. Package ‘Tripack’ Triangulation of Irregularly Spaced Data. R package version 1.3–8. https://CRAN.R-project.org/package=tripack (2016).
Baselga, A. et al. Betapart: Partitioning Beta Diversity into Turnover and Nestedness Components. R Package. Version 1.4–1 https://CRAN.R-project.org/package=betapart (2017).
Bengtsoon H. Package ‘matrixStats’ Functions that Apply to Rows and Columns of Matrices. R package version 0.53.1. https://CRAN.R-project.org/package=matrixStats (2018).
Cerrano, C. et al. Temperate mesophotic ecosystems: gaps and perspectives of an emerging conservation challenge for the Mediterranean Sea. Eur. Zool. J. 86, 370–388. https://doi.org/10.1080/24750263.2019.1677790 (2019).
Ponti, M. et al. The role of gorgonians on the diversity of vagile benthic fauna in Mediterranean rocky habitats. Mar. Biol. 163, 1–14. https://doi.org/10.1007/s00227-016-2897-8 (2016).
Pierrejean, M. et al. Influence of deep-water corals and sponge gardens on infaunal community composition and ecosystem functioning in the Eastern Canadian Arctic. Front. Mar. Sci. 7, 495. https://doi.org/10.3389/fmars.2020.00495 (2020).
Bosch, N. E. et al. Black coral forests enhance taxonomic and functional distinctiveness of mesophotic fishes in an oceanic island: implications for biodiversity conservation. Sci. Rep. 13, 4963. https://doi.org/10.1038/s41598-023-32138-x (2023).
Canessa, M., Amedeo, I., Bavestrello, G., Panzalis, P. & Trainito, E. The diversity, structure, and development of the epibiont community of Paramuricea clavata (Risso, 1826) (Cnidaria, Anthozoa). Water 15, 2664. https://doi.org/10.3390/w15142664 (2023).
Benedetti-Cecchi, L. et al. Species interactions and regime shifts in intertidal and subtidal rocky reefs of the Mediterranean Sea. Interactions in the marine benthos: Global patterns and processes 190–213. https://doi.org/10.1017/9781108235792.009 (2019).
Gambi, M. C., Barbieri, F., Signorelli, S. & Saggiomo, V. Mortality events along the Campania coast (Tyrrhenian sea) in summers 2008 and 2009 and relation to thermal conditions. Biol. Mar. Mediterr. 17, 126 (2010).
Ferrigno, F., Appolloni, L., Russo, G. F. & Sandulli, R. Impact of fishing activities on different coralligenous assemblages of Gulf of Naples (Italy). J. Mar. Biol. Assoc. U. K. 98, 41–50. https://doi.org/10.1017/S0025315417001096 (2017).
Ferrigno, F. et al. Diversity loss in coralligenous structuring species impacted by fishing gear and marine litter. Diversity 13, 331. https://doi.org/10.3390/d13070331 (2021).
Ponti, M., Turicchia, E., Ferro, F., Cerrano, C. & Abbiati, M. The understorey of gorgonian forests in mesophotic temperate reefs. Aquat. Conserv. 28, 1153–1166. https://doi.org/10.1002/aqc.2928 (2018).
Rossi, S. et al. Changes of energy fluxes in marine animal forests of the Anthropocene: Factors shaping the future seascape. ICES J. Mar. Sci. 76, 2008–2019. https://doi.org/10.1093/icesjms/fsz147 (2019).
de Ville d’Avray, L. T., Ami, D., Chenuil, A., David, R. & Féral, J. P. Application of the ecosystem service concept at a small-scale: The cases of coralligenous habitats in the North-western Mediterranean Sea. Mar. Pollut. Bull. 138, 160–170. https://doi.org/10.1016/j.marpolbul.2018.10.057 (2019).
Zunino, S., Canu, D. M., Zupo, V. & Solidoro, C. Direct and indirect impacts of marine acidification on the ecosystem services provided by coralligenous reefs and seagrass systems. Glob. Ecol. Conser. 18, e00625. https://doi.org/10.1016/j.gecco.2019.e00625 (2019).
Zunino, S., Canu, D. M., Marangon, F. & Troiano, S. Cultural ecosystem services provided by coralligenous assemblages and Posidonia oceanica in the Italian seas. Front. Mar. Sci. 6, 823. https://doi.org/10.3389/fmars.2019.00823 (2020).
Langlois, J. et al. An integrated approach to estimate aesthetic and ecological values of coralligenous reefs. Ecol. Indic. 129, 107935. https://doi.org/10.1016/j.ecolind.2021.107935 (2021).
Guizien, K. & Ghisalberti, M. Living in the canopy of the animal forest: physical and biogeochemical aspects. Marine Animal Forests. The Ecology of Benthic Biodiversity Hotspots, 1–22. https://doi.org/10.1007/978-3-319-21012-4_14 (2017).
Piazzi, L., Balata, D., Ceccherelli, G. & Cinelli, F. Interactive effect of sedimentation and Caulerpa racemosa var. cylindracea invasion on macroalgal assemblages in the Mediterranean Sea. Estuar. Coast. Shelf Sci. 64, 467–474. https://doi.org/10.1016/j.ecss.2005.03.010 (2005).
Montalbetti, E. et al. Mucilage-induced necrosis reveals cellular oxidative stress in the Mediterranean gorgonian Paramuricea clavata. J. Exp. Mar. Bio. Ecol. 559, 151839. https://doi.org/10.1016/j.jembe.2022.151839 (2023).
Bulleri, F., Bruno, J. F. & Benedetti-Cecchi, L. Beyond competition: Incorporating positive interactions between species to predict ecosystem invasibility. PLoS Biol. 6, e162. https://doi.org/10.1371/journal.pbio.0060162 (2008).
Bulleri, F., Benedetti-Cecchi, L., Jaklin, A. & Iveša, L. Linking disturbance and resistance to invasion via changes in biodiversity: A conceptual model and an experimental test on rocky reefs. Ecol. Evol. 6, 2010–2021. https://doi.org/10.1002/ece3.1956 (2016).
Hewitt, J., Thrush, S., Lohrer, A. & Townsend, M. A latent threat to biodiversity: Consequences of small-scale heterogeneity loss. Biodivers. Conserv. 19, 1315–1323. https://doi.org/10.1007/s10531-009-9763-7 (2010).
Casoli, E. et al. Scuba diving damage on coralligenous builders: Bryozoan species as an indicator of stress. Ecol. Indic. 74, 441–450. https://doi.org/10.1016/j.ecolind.2016.12.005 (2017).
Stachowicz, J. J., Bruno, J. F. & Duffy, J. E. Understanding the effects of marine biodiversity on communities and ecosystems. Annu. Rev. Ecol. Evol. Syst. 38, 739–766. https://doi.org/10.1146/annurev.ecolsys.38.091206.095659 (2007).
Dias, H. Q., Sukumaran, S., Neetu, S. & Ridha, H. Benthic community resilience in two differently impacted tropical estuaries: Taxonomic vs functional approaches. J. Environ. Manage. 324, 116264. https://doi.org/10.1016/j.jenvman.2022.116264 (2022).
Mori, A. S., Isbell, F. & Seidl, R. β-diversity, community assembly, and ecosystem functioning. TREE 33(549–564), 2018. https://doi.org/10.1016/j.tree.2018.04.012 (2018).
Victorero, L., Robert, K., Robinson, L. F., Taylor, M. L. & Huvenne, V. A. Species replacement dominates megabenthos beta diversity in a remote seamount setting. Sci. Rep. 8, 4152. https://doi.org/10.1038/s41598-018-22296-8 (2018).
Osório, N. C., Cunha, E. R., Tramonte, R. P., Mormul, R. P. & Rodrigues, L. Habitat complexity drives the turnover and nestedness patterns in a periphytic algae community. Limnology 20, 297–307. https://doi.org/10.1007/s10201-019-00578-y (2019).
Katsanevakis, S. et al. Twelve recommendations for advancing marine conservation in European and contiguous seas. Front. Mar. Sci. 7, 565968. https://doi.org/10.3389/fmars.2020.565968 (2020).
Pulido Mantas, T. et al. Mesophotic zone as buffer for biodiversity protection: A promising opportunity to enhance MPA effectiveness. Mar. Environ. Res. 201, 106676. https://doi.org/10.1016/j.marenvres.2024.106676 (2024).
Hering, D. et al. Securing success for the nature restoration law. Science 382, 1248–1250. https://doi.org/10.1126/science.adk1658 (2023).
Acknowledgements
The authors thank the projects “National Biodiversity Future Center—NBFC”, project code CN_00000033, Concession Decree No. 1034 of 17 June 2022 adopted by the Italian Ministry of University and Research; the Horizon Europe CLIMAREST Project (Coastal Climate Resilience and Marine Restoration Tools for the Arctic Atlantic basin) (GA no. 101093865) and the European Union’s Horizon Europe Research and Innovation Programme ACTNOW (Advancing understanding of Cumulative Impacts on European marine biodiversity, ecosystem functions and services for human wellbeing), GA no. 101060072 for funding. The authors also thank Daniel Gómez-Gras and Stanislao Bevilacqua for their support in the data analysis.
Author information
Authors and Affiliations
Contributions
S.F. and Al.Co. conceived the study; Al.Co., L.L., An.Ch., S.D., M.M., S.M.S.M., C.S. participated in the field work; L.L., Al.Co., S.F. and E.F. performed the data analyses; S.F., Al.Co. and L.L. led the writing of the manuscript with the contributions from E.F., An.Ch., S.D., M.M., S.M.S.M., C.S., P.S.; Al.Co. and L.L. are authors with equal contribution.
Corresponding author
Ethics declarations
Competing interests
The authors declare no competing interests.
Additional information
Publisher’s note
Springer Nature remains neutral with regard to jurisdictional claims in published maps and institutional affiliations.
Supplementary Information
Below is the link to the electronic supplementary material.
Rights and permissions
Open Access This article is licensed under a Creative Commons Attribution-NonCommercial-NoDerivatives 4.0 International License, which permits any non-commercial use, sharing, distribution and reproduction in any medium or format, as long as you give appropriate credit to the original author(s) and the source, provide a link to the Creative Commons licence, and indicate if you modified the licensed material. You do not have permission under this licence to share adapted material derived from this article or parts of it. The images or other third party material in this article are included in the article’s Creative Commons licence, unless indicated otherwise in a credit line to the material. If material is not included in the article’s Creative Commons licence and your intended use is not permitted by statutory regulation or exceeds the permitted use, you will need to obtain permission directly from the copyright holder. To view a copy of this licence, visit http://creativecommons.org/licenses/by-nc-nd/4.0/.
About this article
Cite this article
Colletti, A., Licciardi, L., Fabbrizzi, E. et al. Beyond biodiversity: the role of Paramuricea clavata forests in shaping taxonomic and functional diversity. Sci Rep 15, 42659 (2025). https://doi.org/10.1038/s41598-025-26902-4
Received:
Accepted:
Published:
Version of record:
DOI: https://doi.org/10.1038/s41598-025-26902-4







