Abstract
Gait symmetry is a vital index for improving and evaluating the walking ability of patients with hemiplegia. Asymmetric gait disturbs walking balance and increases unnecessary energy consumption, causing serious damage to the musculoskeletal system. The restoration of step length symmetry (SLS) is one of the gait parameters targeted for rehabilitation and can be easily accessed and adjusted in the clinic. Therefore, we proposed a novel scheme based on a speed variation method (SVM) using a robotic haptic cane (HC) to improve SLS on overground walking. To evaluate the proposed method and check protocols for a patient study, we conducted an experiment to lengthen the left step length of 24 healthy young participants using positive (P), negative (N), and positive & negative (PN) SVM. Additionally, we examined its feasibility in one stroke patient. As a result of the healthy subjects’ experiment, walking speed and SLS ratio significantly increased with P and PN SVM while maintaining Root Mean Square (RMS) of pelvic tilt (p < .001). Results from the patient pilot test were similar to those of the healthy subjects, with decreased RMS of pelvic tilt. SLS ratio improved from -0.13 ± 0.00 (Normal Walking) to -0.07±0.01 (P SVM) and -0.04±0.01 (PN SVM). However, swing phase symmetry also improved. Furthermore, the patient was sensitive to the baseline HC speed and Negative SVM. The results indicate that the proposed methods may be effective in stroke patients and the relationship between walking speed and the ratio of PN SVM should be verified in a larger number of patients.
Introduction
Gait is a harmonious movement that moves symmetrically with a phase difference of 180 degrees between the left and right sides through the movement of each joint and muscle. In general, patients with hemiplegia, such as those with stroke, exhibit asymmetrical gait and low speed1,2,3. Furthermore, stroke survivors would live with persistent dysfunctions3. Gait asymmetry is an important index for hemiplegic patients to improve and evaluate their gait performance4. It is not only related to balance control during walking but also increases energy expenditure unnecessarily, which can seriously damage the musculoskeletal system2,5,6. Furthermore, it is a common symptom in patients with brain lesions and is relatively easy to measure in the clinic.
Asymmetric gait is divided into temporal asymmetry and spatial asymmetry. Both temporal and spatial asymmetric gait characteristics are related to motor dysfunction of the paretic lower extremity7. Temporal asymmetric gait is calculated as the stance or swing time on both sides and is highly correlated with walking balance and speed2,5. There are various approaches to improving temporal asymmetry in hemiplegic patients. Gait training with an external auditory rhythm has been shown to improve temporal asymmetry in hemiparetic stroke patients8,9. In addition, vibrotactile biofeedback, which is delivered to the user’s calves, has shown promising results of improving gait symmetry in stroke survivors2,10. However, temporal and spatial asymmetries are not directly related, since separated mechanisms are responsible for temporal and spatial gait parameters7,11.
Spatial asymmetric gait, calculated as the difference in step length between the left and right sides, is generally related to energy expenditure12. According to Patterson et. al., there is a relationship between the step length symmetry (SLS) ratio and the propulsive force during walking13. Gait rehabilitation with bilateral speed differences in a split-belt treadmill environment has been reported to improve SLS in stroke patients6,14,15 and the effects of adaptation after training16,17. Furthermore, the improvement of SLS in a split-belt treadmill environment has recently been demonstrated by providing visual feedback5 or speed differences on both sides of a split belt6. However, a split-belt treadmill limits its accessibility due to high cost in the clinical environment18. Furthermore, gait rehabilitation overground is more similar to a real environment and has various advantages, such as improving walking stability, speed, and endurance19,20. Therefore, an accessible system is needed to enhance SLS by providing an external force that functions as a split-belt treadmill during overground walking.
In a previous study, we conducted a comparative analysis between a 1-Degree Of Freedom (DOF) robotic haptic cane (HC) and a conventional instrumented cane (IC) with constant speed in 10 stroke patients21. We demonstrated significant improvements in temporal asymmetry and lower limb muscle activity on the affected side during the swing phase when using HC. Furthermore, it was shown that constantly providing preferred and fast speed with HC significantly improved the swing phase symmetry (SWS) ratio more than SLS. However, SLS is also important since it relates to gait patterns, balance, and energy expenditure, and can be easily accessed and manipulated in the clinic5. Thus, many rehabilitation approaches target SLS recovery.
Since training with assisted-as-needed strategies has shown better improvement in SLS recovery compared to a fully assisted strategy22, force interaction may be more effective when applied only in the necessary amount, which can be implemented based on the HC framework21. A speed variation method (SVM) is generated from a sinusoidal wave, which serves as a velocity profile to generate a force interaction. Since continuously provided pulling force interaction can improve stride length in stroke patients23,24, we believe that the intermittent force interaction generated by SVM will either increase the step length on the shorter side or decrease the step length on the longer side. Furthermore, improvements in walking velocity as well as SLS asymmetry are expected, since the positive sinusoidal phase of SVM may increase overall walking speed. To the best of our knowledge, research aimed at improving SLS by providing rhythmic and external force of assistive devices during overground walking has not been studied yet. Therefore, the aims of our study were: First, to determine whether the force interaction caused by the SVM would increase the asymmetry by making the left step longer than the opposite side or the right step shorter than the opposite side. Second, whether the positive sinusoidal signal of the SVM will increase the overall walking speed. Third, to prove whether the proposed SVM disturbs the balance while walking.
The rest of this article is organized as follows. In the Method Section, we present the design of a scheme for speed variation with robotic HC. In addition, an experimental protocol is designed for 24 healthy subjects, and a pilot test with one patient is conducted based on the results of the experiment with healthy subjects. Results and discussion about the 24 healthy subjects experiment and pilot test with a stroke patient are presented in the Results and Discussion Sections, respectively. Finally, the Conclusion Section concludes this article.
Methods
Robotic Haptic Cane (HC)
Figure 1a shows a modified HC, which was previously developed as a simple and intuitive robotic rehabilitation device for partially ambulant stroke patients21. Driving wheels with larger diameters than the previous ones and load cells that can measure 3-axis force interaction between the user and HC have been replaced. Furthermore, a pair of instrumented insoles based on Force Sensing Resistor (FSR) sensors has been added to detect ground contact through the adjustment of a threshold to distinguish between the stance and swing phases of gait2. As shown on the left of Fig. 1a, four FSR sensors in each insole measure pressure and are positioned on the heel, toe, metatarsal 1, and metatarsal 5 of the user’s sole. The insoles are wired to the HC control module. The HC has a structure similar to a tilted conventional cane with motorized wheels added to a freely rotating caster wheel to provide support in the vertical direction. Thus, the HC can generate velocity regulation and a continuous but low ground supporting force to the user’s hand. This continuous kinesthetic interface provides proprioceptive information about the position and velocity of body sway to control posture. As shown in Table 1, the components and specifications of the HC are presented.
The operation software was implemented in the LabVIEW environment (National Instruments Inc., USA) and communicates with the Microcontroller Unit (MCU) of the HC, over the onboard Wi-Fi link wirelessly. The operator can control the HC such as setting the device speed and starting or stopping it. To drive the motor according to the input velocity, the HC can regulate walking speed using a PI controller for velocity control, where the loop frequency is 1 kHz. Voltage divider circuits convert the FSR resistance variation to an analog signal, which is read by the HC controller board and processed by the HC software to control its operation. The operation software logs experimental data from the HC at a rate of 100 Hz. In addition, not only a software emergency button is implemented on the Graphic User Interface (GUI) of the operation software and a physical emergency switch is mounted on the handle to stop the HC during the experimental trial.
The scheme of speed variation
In a previous study, we found a more significant improvement in temporal symmetry than SLS for stroke patients when walking at a constant speed using a HC21. Furthermore, when the user walks with the HC at a constant speed, it generates a non-sinusoidal but relatively less regular force interaction of the mountain shape, which has peaks and valleys25. As shown in Fig. 1b, the HC speed is provided as a positive sinusoidal wave at the heel strike of the leg-sided a longer step length. Thus, if a regular sinusoidal-based velocity profile is provided regularly at an appropriate gait cycle, the interaction force profile will also be amplified and provided regularly. Then, a pulling force generated by this positive speed profile may extend the short step length of the opposite leg. As shown in Fig. 1c, three types of SVM were designed. A positive speed profile creates a pulling force, while a negative speed profile creates a pushing force. Additionally, a combination of both can be applied. The reason for designing a velocity profile to generate an interaction force is that force control has stability issues and can be dangerous to the patient.
Figure 2 shows the operating speed profile of the HC based on the designed SVM. The left step length targeted side is defined as the distance between the two feet at LHS. The positive SVM profile of the HC generates a pulling interaction force. Thus, the positive SVM profile may increase the left step length during the left swing phase, while the negative SVM profile may decrease the right step length during the right swing phase. As shown in Fig. 2, during the double support phase, braking and propulsive forces occur sequentially, shifting the pelvic center of mass (COM). This phase is also called the loading response, accounting for 10–12 % of the total gait cycle. Additionally, hemiparetic patients with shorter paretic steps experience this due to impaired hip flexor activity in the paretic leg during pre-swing26. Therefore, the pulling force needs to be applied during the target-side pre-swing phase, which coincides with the loading response phase of the non-target side limb. To generate the pulling interaction force of the HC during the loading response, the peak of the positive sinusoidal profile was shifted forward to 0.125T (T: Period). Thus, the trigger for initiating the SVM is the right toe-off (RTO). At 0.125T, the peak of the speed profile aligns with the right heel strike. \(\Delta v\), the amplitude of the speed profile is calculated from the relationship between impulse and momentum as shown in (1) and (2).
\(\Delta t\) is the time difference from \(t_i\) (initial velocity) to \(t_f\) (peak velocity), F is the interaction force between the user and HC, m is mass, and v is velocity. Because 0.125 T (\(\Delta t\)) is a short time, we can assume the \((v_{user_{t_f}}-v_{user_{t_i}})\) term is zero. T is the period of the gait cycle, which was measured as the initial normal walking trial (10 m) of the subject.
\(m_{HC}\) is 10.15 kg, and F is the desired force generated by speed variation, which was set at 20 N in this study23. Since the sudden braking force provision can act as a perturbation to the user27, the amplitude of the negative SVM profile was set to half of \(\Delta v\) to focus on improving SLS by shortening the step length.
Participants
We conducted an experiment to lengthen the left step length of 24 healthy young participants to evaluate our research hypotheses and check protocols before conducting a patient study. Thus, the twenty-four young healthy subjects (Gender: 11 Males and 13 Females, Age: 22.4 ± 3.6 years, Height: 167.8 ± 7.2 cm, and Weight: 61.4 ± 11.4 kg, Dominant leg: 24 Right) took part in this study. They did not suffer from any physiological disorders that might affect their gait. This study was conducted at the Gwangju Institute of Science and Technology (Gwangju, Republic of Korea) and was approved by the Institutional Review Board of the Gwangju Institute of Science and Technology (20220628-HR-67-22−04). Additionally, we examined the possibility in one stroke patient using the optimal protocols derived from a pilot test with healthy young participants. Thus, a pilot test was performed with one stroke patient who was capable of independent gait at Gyeongsang National University Hospital (Gender: Male, Age:68 years, Height: 168 cm, Weight: 68 kg, Left-sided hemiplegia, 20 days since onset, Cause of stroke: Pontine infarction, Brunnstrom stages of stroke recovery: 5/4/5, Modified Barthel Index (MBI) score: 55, Mini-Mental State Exam (MMSE) score: 28). All procedures were conducted in accordance with the Declaration of Helsinki, and all participants provided written informed consent before participating in the study.
Participants wore elastic Velcro belts holding Inertial Measurement Unit (IMU) sensors on their thighs, shanks, feet, and pelvis to track gait parameters (MyoMOTION, Noraxon, USA, Anatomical angle accuracy: ± 1.0 degrees (static), ± 2.0 degrees (dynamic), Orientation angle accuracy: ± 0.25 degrees (pitch & roll)). This system measures spatiotemporal gait parameters based on a standardized skeleton model based on the user’s height and measured joint angles28,29. Motion capture data were recorded at a rate of 100 Hz. In addition, a load cell measured the interaction force between the HC and the subject’s hand.
Protocol
The purpose of the experiment with healthy young participants was to lengthen the left step length more than the right side using SVM and to evaluate force interaction and walking balance before applying the proposed SVM to patients. The protocol consisted of negative (N), positive (P), and passive & negative SVM (PN) conditions and included trials with both left and right hands grasping the HC. All trial conditions are as shown in Table 2, and were performed in a pseudo-random order to avoid any sequence-related effects.
Prior to the start of the trials, the healthy young participants were briefly informed about the operation of the HC and allowed to familiarize themselves with the devices and trial conditions by walking a few steps (less than the length of one trial walk). First, a 10 m normal walking trial was performed. In subsequent trials, participants walked 20 m in a straight line on a flat surface with the HC. The first and last 5 m were defined as acceleration/deceleration sections, while the HC operated with speed variation during the middle 10 m. Each participant performed two walking trials under each condition. As shown in Fig. 1a, walking velocity was measured using a gait speed measurement system (SR500, SeedTech, Korea), which consists of two optical sensors. A break of 1 minute was given between trials. The participants were asked to rest while seated for 3 minutes between each condition and to take a few steps in place before starting the next trial condition.
The purpose of the pilot test with the stroke patient was to determine whether SVM could improve the symmetry ratio and to evaluate force interaction and walking balance. The SVM protocol was the same as that used for the healthy subjects and included both preferred and fast walking speeds, which were increased by 20 % compared to Normal Walking (NW). All trial conditions are shown in Table 3, and the test was performed twice under the same conditions. The stroke subject experiments were performed by holding the HC with the healthy side hand. Before the start of the trials, the stroke patient was briefly informed about the operation of the HC and allowed to familiarize with the devices and trial conditions by walking a few steps. First, an 8 m normal walking trial was performed. In subsequent trials, the patient walked 12 m in a straight line on a flat hospital hallway surface with the HC. The first and last 2 m were defined as acceleration/deceleration sections, while the HC operated with speed variation during the middle 8 m. During all stroke subject trials, a doctor stood one step behind the subject and provided support before and after the trial. Furthermore, the operator was prepared to stop the device at any time by pressing the emergency switch on the SW GUI. Other conditions were the same as those in the healthy subject experiments.
Data analysis
The gait velocity of the healthy subjects and a stroke patient was measured using the gait speed measurement device (SR500, Seedtech, Korea). The Gait temporal parameter (swing phase), stride length, and step length were extracted from the report of the MyoResearch software (MR3 3.16, Noraxon, USA) based on data recorded by the IMU-based motion capture system. In addition, to determine walking balance during the various protocol conditions, the Root Mean Square (RMS) of Mediolateral (ML) and Anteroposterior (AP) tilts was calculated from the pelvic tilt values in the MR3 report. The SWS and SLS ratio for the healthy subjects (\(SWS_{Healthy}\) & \(SLS_{Healthy}\)) were calculated based on the swing phase time and step length4 using (4) and (5) respectively to determine the direction of increase (right or left) of the gait temporal and spatial parameters caused by the SVM.
The symmetry ratio for the stroke patient (\(SWS_{Stroke}\) & \(SLS_{Stroke}\)) was calculated using the following equation:
Thus, if the left side of a healthy subject or the paretic side of a patient was longer, a positive value was indicated, while if the right side of a healthy subject or the non-paretic side of a patient is longer, then a negative value was indicated. For statistical analysis of post-experimental data, a one-way repeated measures analysis of variance (RMANOVA) was conducted to study the effects of various SVM conditions involved in NW, which had five conditions (NW, C, N, P, PN) on gait speed, stride length, temporal and spatial symmetry ratio, and RMS values of ML and AP tilts. RMS of ML and AP pelvic tilts are considered as measures of trunk control and balance25,30. Higher pelvic tilts imply impaired balance performance during gait31,32. To check the effects of grasping the hand side, a two-way RMANOVA was performed. The factors were hand side (Levels: Right and Left) and SVM condition (Levels: C, N, P, PN). Greenhouse-Geisser corrections were applied where Mauchly’s test of sphericity was violated, and Bonferroni corrections were used for conducting post-hoc tests. Partial eta squared was calculated as a measure of the effect size for one-way and two-way RMANOVA. All statistical analyses were carried out using SPSS V20.0 (IBM Corp., USA).
Results
The mean values of gait velocity, stride length, SWS, SLS, RMS of pelvic tilt, and pulling and pushing force measured during the experiment with all participants are presented in Table 4. Figure 3 shows the device data for velocity and interaction force. As shown in Fig. 3b, pushing and pulling forces were defined by the means of the maximum and minimum interaction forces at each gait phase during all gait trials.
Healthy subjects
The results of the two-way RMANOVA for all parameters are presented in Table 5. For all parameters, no significant interaction between Side and Condition, and no significant difference due to Side, led to a post-hoc analysis of Condition separately. The side of the grasped hand in the healthy subjects’ experimental protocol was included as a factor; however, as shown in Table 5, there was no effect of the side of the grasped hand. Table 6 shows the results of the one-way RMANOVA for all parameters for each hand side. There was no significant difference in the RMS of ML and AP pelvic tilt in both the two-way and one-way RMANOVA.
Mean and SD values of (a) the velocity, (b) the pulling force, (c) the pushing force, (d) the stride length, (e) the SLS, and (f) the SWS ratio of healthy subjects during various gait trials. Statistically significant differences are marked based on Post-hoc pairwise comparisons (*: p < 0.05, **: p < 0.01, ***: p < 0.001). The error bars represent the standard deviation.
As shown in Fig. 4a, the negative SVM (N) condition trial showed a significantly reduced walking velocity compared to the constant (C) trial, regardless of the grasping hand side (C vs N (p <.001)). In addition, the positive SVM (P) and the positive & negative (PN) trials showed a significantly increased speed compared to the C and N trials, regardless of the grasping hand side (C vs P, C vs PN, N vs P, and N vs PN (p <.001)). However, the velocity of the PN condition was significantly reduced compared to the P trial. Fig. 4b and c show the pulling and pushing forces, respectively. The pulling force in the P and PN trials, compared to the C and N conditions, was significantly increased regardless of the grasping hand side (C vs P, C vs PN, N vs P, and N vs PN (p <.001)). The pushing force in the N trial, compared to the C and P conditions, was significantly increased regardless of the grasping hand side (C vs N (p <.001) and P vs N (p <.001)). In addition, there were significant differences between the C and P trials, the P and PN trials, respectively (C_L vs P_L (p <.001) and C_R vs P_R (p <.05) and P_L vs PN_L (p <.01), and P_R vs PN_R (p <.05)).
As shown in Fig. 4d, the stride length under the C and N conditions was significantly reduced compared to NW, regardless of the hand side (NW vs N (p <.001), NW vs C_L (p <.001), and NW vs C_R (p <.01)). In addition, the N trial showed a more significant reduction compared to the C trial (C_L vs N_L (p <.05) and C_R vs N_R (p <.001)). The P condition showed a significant increase compared to the C and N conditions, regardless of the grasping hand side (P vs C (p <.05) and P vs N (p <.001)). However, the stride length in PN_R was significantly reduced compared to P_R (PN_R vs P_R (p <.05)). As shown in Fig. 4e and f, both SLS and SWS indicate that positive values mean the left side is longer or greater. Regardless of the grasping hand side, the P and PN of SVM significantly increased the left step length compared to the NW and C conditions (P vs NW, P vs C, PN vs NW, and PN vs C (p <.001)). In the N condition, the values were significantly higher than C (N_L vs C_L (p <.05), N_R vs C_R (p <.01)), and the N_R condition was significantly higher than NW (N_R vs NW (p <.01)). Additionally, the P_L and PN_L conditions were significantly higher compared to the N_L condition (P_L vs N_L (p <.05) and PN_L vs N_L (p <.01)). The SWS ratio value of the right side was significantly higher in the PN_R condition compared to the NW and C_R conditions (PN_R vs NW (p <.05) and PN_R vs C_R (p <.01)).
A stroke patient
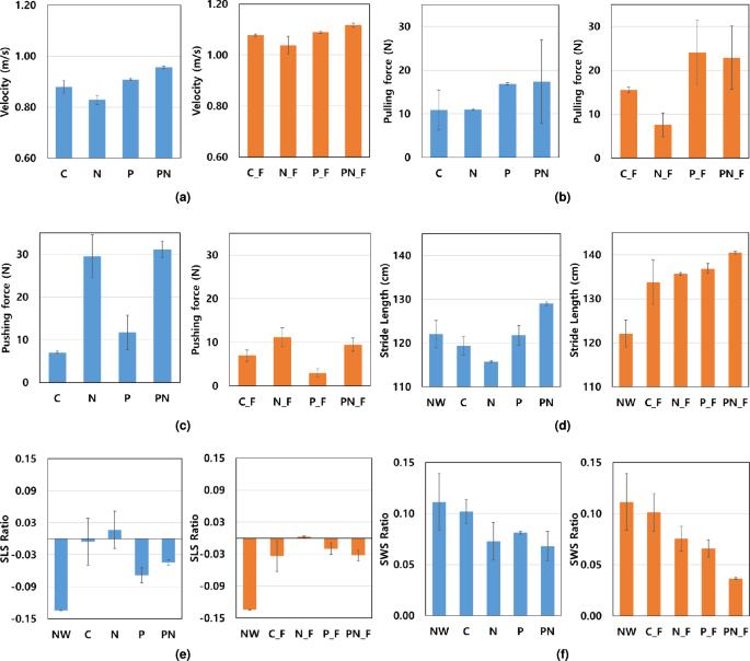
As shown in Table 4, the RMS of ML and AP pelvic tilt were measured to be smaller than that of NW. Fig. 5a-c shows a stroke patient’s velocity, pulling, and pushing force graphs. The trends are similar to the results of the healthy participants experiment, but there are some differences. As shown in Fig. 5a, both the preferred and fast speeds showed small velocity increases in the P condition (C: 0.88±0.03, P: 0.91±0.00, C_F: 1.08±0.01, P_F: 1.09±0.01). At the preferred speed, the pushing force was measured to be larger overall than the results of the healthy participants’ experiment, and at the fast speed, the pulling force was measured to be larger overall.
Figure 5d-f shows the stride length, SLS, and SWS ratio of a stroke patient. As shown in Fig. 5d, the stride length at the preferred speed showed a similar trend to the results of the healthy participants’ experiment, but the PN condition increased the most at both speeds (PN: 1.29±0.00, PN_F: 1.41±0.00). In addition, the values under all conditions at fast speed increased, and the stride length did not decrease in the N_F condition (C_F: 1.34±0.05, N_F: 1.36±0.00). The SLS ratio improved compared to NW in all conditions under both speeds and showed the lowest values in the C and N conditions under the preferred speed, but the standard deviation was measured to be large (C: −0.01±0.04, N: 0.02±0.04). The lowest value at fast speed was observed in the N condition (N: 0.00±0.00). The SWS ratio improved in the N, P, and PN conditions at both speeds, and the lowest value at fast speed was measured in the PN condition (PN_F: 0.04±0.00).
Discussion
Healthy subjects
The side of the grasped hand in the healthy subjects’ experimental protocol was included as a factor; however, as shown in Table 5, there was no effect of the side of the grasped hand. G. U. Sorrento showed adaptation and post-adaptation effects of increased walking speed and stride length in 13 healthy subjects with a constant tensile pulling force of 10 or 20 N23. Thus, we set the desired pulling force to 20 N and designed the SVM profile. As shown in Fig. 4b and c, SVM clearly generated pulling and pushing forces that showed significant differences (Pulling force: P and PN vs C and N, p<.001, Pushing force: N vs C (p <.05), N vs P (p <.001), C_L vs P_L (p <.001), C_R vs P_R (p <.05), PN_L vs P_L (p <.01), PN_R vs P_R (p <.05)). However, the measured peak values were smaller than the desired values (12.82 ± 3.51 to 13.46 ± 3.88), which is thought to be due to slippage between the HC wheel and the floor.
Regardless of the side of the hand being grasped, it was observed that Positive (P) and Positive & Negative (PN) SVM made the left step length longer than the right compared to the SLS ratio of NW and C conditions (See Fig. 4e, p <.001). However, while SLS under the N_R condition showed a significant difference compared to SLS of NW (p<.01), SLS under N_L and NW conditions did not. This may be because the moment axis (the axis in the direction of gravity) of the pushing force applied to the right hand holding the HC aligns with the moment axis of the right foot’s swing, and the directions are opposite. The Negative (N) SVM was intended to reduce the right step length through the pushing force applied during the swing phase of the right foot. Thus, this may have prevented the pelvic (center of mass) from shifting forward. As shown in Fig. 4f, the SWS showed a significant difference between PN_R and NW, C_R. This indicates that while the left step length increased, the ratio of the right swing phase became higher than the left. This suggests that the SWS ratio may change according to the proportion of Positive and Negative SVM, necessitating further research.
Walking velocity increased or decreased compared to NW, depending on the SVM profile (See Fig. 4a, p <.001). Regardless of the hand that held the HC, the P SVM resulted in the most significant increase in velocity. PN SVM increased velocity compared to NW but was lower than the P SVM condition. Furthermore, the N SVM decreased velocity compared to NW. As shown in Fig. 4d, the stride length decreased when walking at a constant speed while holding the HC. This is because the preferred speed increases when walking while holding the HC. In previous studies, the preferred speed of normal walking and the preferred speed of walking while holding the HC were different21. The stride length of the P condition for both sides increased to match the NW stride length (See Fig. 4d). Previous studies have reported that a constant pulling force can increase walking speed and stride length23,24. Therefore, it can be observed that stride length can be independently controlled according to walking speed and Positive & Negative SVM.
An interesting finding is that the RMS of ML and AP pelvic tilt values did not show any difference, even though the pulling force (max: 13.46 ± 3.88 N (PN_R)) or pushing force (max: 5.18 ± 4.06 N (N_R)) was applied for each gait cycle by the SVM profiles. This means that the SVM profile with HC did not affect walking balance. These results are similar to previous studies that provided constant speed of HC. Previous studies confirmed that the HC with constant velocity can provide proprioceptive augmentation21,30. This proprioceptive augmentation aids participants in balance control during walking33. Thus, we believe that the HC-based SVM provides proprioceptive augmentation.
A stroke patient
A pilot test was conducted on a stroke patient based on the results of the healthy subjects’ experiments. The walking speed was set to the preferred speed measured without HC, and the fast speed was increased by 20 %. Afzal et al. showed that greater improvements in temporal stance symmetry and paretic muscle activity were observed at a 20 % increased gait speed with HC30. Considering subject fatigue due to the number of experimental protocol conditions, the proportion of Positive and Negative SVM was not considered a factor.
Regarding walking velocity and interaction force, the trends were similar to those observed in experiments with healthy individuals (See Fig. 5a-c). However, PN SVM showed the highest walking velocity (PN: 0.96 ± 0.01, PN_F: 1.12 ± 0.01). As shown in Fig. 5b and c, the pushing force was measured higher overall at the preferred speed, while the pulling force was measured higher overall at the fast speed. Thus, it was observed that speed was affected by PN SVM, and interaction force was affected by both the baseline HC speed and the SVM. These were similarly observed in stride length, where stride length was most extended in the PN condition at both preferred and fast speeds, increased overall at fast speed, and did not decrease in the N condition (See Fig. 5d). Since these results differ from those of healthy subjects, further research is needed to explore the influence of speed and the ratio of Positive and Negative SVM amplitudes.
In general, the paretic side swing phase of stroke patients is longer, and step length varies from patient to patient7. As shown in Fig. 5e and f, the swing phase of the subject’s paretic side (left) was measured as longer in NW, and the left step length was measured as shorter. Thus, the target direction was set to make the subject’s left step length longer. The SLS ratio improved in all conditions (See Fig. 5e). The average value was lowest at the preferred speed in the C and N conditions (NW: −0.13 ± 0.00, C: −0.01 ± 0.04, N: 0.02 ± 0.04), but the standard deviation was large. Additionally, at fast speed, the standard deviation of the C condition remained large (C_F: 0.03 ± 0.03). In contrast, the P and PN conditions tended to improve with speed (P: −0.07 ± 0.01, P_F: −0.02 ± 0.01, PN: −0.04 ± 0.01, PN_F: −0.03 ± 0.01). In particular, the N condition showed the highest improvement at the fast speed (N: 0.00 ± 0.00). Interestingly, an improvement in SWS under N, P, and PN SVM was observed at both speed conditions (See Fig. 5f). As in the healthy subjects’ experimental results (See Fig. 4f), there may be a relationship between the P and N ratios and the SWS. The improvement of P and PN SVM increased with speed, and the SWS value of PN SVM improved the most at fast speed (NW: 0.11 ± 0.03, PN_F: 0.04 ± 0.00). Lamontagne et al. reported that fast walking can improve limb kinematics and muscle activation with temporal symmetry improvement34. From the experimental results, since both SLS and SVM can be improved with PN SVM at faster speeds, training with fast PN SVM may be more effective in improving symmetry. Additionally, we believe that SLS may be controlled by the P, N, and PN SVM ratio and the baseline HC speed.
As for gait balance, the RMS of ML and AP pelvic tilt values were measured as lower in all conditions compared to NW, similar to healthy participants. Therefore, we believe that both SLS and SWS can be improved without affecting gait balance, depending on the SVM profile and gait speed. However, additional studies on patients are needed to explore the relationship between gait speed and the ratio of Positive & Negative SVM.
Implications and future work
Split-belt treadmill training for SLS has been reported to significantly improve spatial asymmetry but not temporal asymmetry14,15. This is because split-belt walking induced the adaptation of gait pattern (efferent signals), without altering sensory signals16. Furthermore, stance time, a reactive parameter, heavily relies on sensory signals (peripheral feedback) from hip flexor afferents, limb load receptors, and cutaneous feedback14. However, the HC can provide sensory signals as somatosensory feedback21,30, and the proposed SVM can create speed differences depending on the gait phase which can contribute to efferent signals. Thus, HC-based SVM may improve temporal asymmetry as well as SLS. However, our results are from a pilot test with a stroke patient, and future clinical studies with stroke patients are needed. During the healthy subjects’ experiment and patient pilot test, no adverse events or instability occurred. Subjects, including stroke patients, expressed confidence. However, we will conduct the survey to evaluate the acceptance of the technology for everyday use for the future study. In this study, we equipped a physical safety switch at the handle of a robotic haptic cane and a software safety switch on the operating laptop. Furthermore, the doctor accompanied the patient one step behind. However, in future patient studies, we will add an algorithm that will stop the device if a preset threshold value is exceeded by the force sensor attached to the handle for safety.
Padmanabhan et al. reported that providing visual feedback to patients improved their SLS on the split-belt treadmill but showed no difference in energy consumption. In addition, they reported that this was because they used different strategies with still aberrant gait mechanics (specifically, an impaired ability to generate positive paretic work) to improve SLS through visual feedback5. It is necessary to examine energy expenditure resulting from improved SLS caused by external forces rather than the patient’s effort alone, without guiding appropriate strategies for improving SLS. Since HC has been shown to provide proprioceptive augmentation and activate muscles on the paretic side in the gait of stroke patients21,30, we expect that HC-based SVM profiles may positively affect the gait mechanism and energy expenditure. Therefore, future studies will examine the improved SLS and energy consumption based on interaction forces.
In this study, we conducted an experiment with 24 healthy individuals and a pilot test with a patient to confirm the feasibility of the proposed SVM of robotic HC. Although the feasibility was confirmed, there is a limitation to generalizing the results from the patient pilot test. Furthermore, we acknowledge that the results of the healthy subject protocol may have been influenced by the system familiarization conducted before the experiment. However, the brief time for familiarization was provided for two key reasons: to ensure identical conditions for every subject and to prevent a reduction in the RMS pelvic tilt value under the SVM-applied experimental conditions (for applying in a future study with stroke patients). We aimed to minimize this effect by ensuring all participants were experimented on under the same conditions. In addition, the proposed scheme generates force interaction through velocity variation rather than direct force control to avoid system instability. Due to this design, the resulting force interaction was somewhat less than the desired values. This was caused by two issues: slippage between the haptic cane’s wheel and the floor, and variations in the force interaction among different subjects.
Conclusion
We proposed a novel scheme based on speed variation of a HC to improve SLS in overground walking. To evaluate the suggested method and test protocols for patient studies, we conducted an experiment to lengthen the left step length of 24 healthy young participants. In addition, we examined the possibility in a stroke patient. Results from healthy subjects’ experiments and a patient pilot test demonstrated the potential of HC to improve gait speed and SLS while maintaining walking balance. In particular, the patient pilot test showed that SWS also improved. Furthermore, the subject’s response was sensitive to baseline HC speed and Negative SVM. Therefore, in the future, we plan to verify the effectiveness of the proposed method through experiments with stroke patients and explore the relationship between walking speed and the ratio of Positive & Negative SVM. In addition, since impairments due to stroke can lead to a high variability in disability levels (and recovery patterns), we will develop an adaptive controller that smoothly changes the velocity-based patterns to dynamically adjust to user needs.
While improving SLS on a split-belt treadmill has yielded clinically significant results, its high cost limits its accessibility in the clinical environment. In contrast, the proposed 1-DOF HC device-based SVM is inexpensive and can enhance proprioception and gait balance during overground walking. Therefore, we expect that robotic HC-based SVM could provide overground walking rehabilitation similar to a real environment, improving SLS and walking speed alongside a proprioceptive augmentation effect.
Therefore, this study suggests a novel scheme for symmetry training by leveraging low-cost, portable hardware and an intuitive force interaction by SVM on overground walking. Suggested robotic HC with SVM provides somatosensory feedback (sensory signals), linked to specific gait phases (efferent signals) based on speed variation under overground. Since most stroke patients suffer from asymmetric gait, this approach may offer a more ecologically valid training experience, as patients are trained in an environment that more closely mimics their daily lives.
Data availability
All data analyzed during this study are included in the main text. However, data will be available upon formal request to the corresponding author.
References
Olney, S. J. & Richards, C. Hemiparetic gait following stroke. part i: Characteristics. Gait & posture 4, 136–148 (1996).
Afzal, M. R. et al. Effects of vibrotactile biofeedback coding schemes on gait symmetry training of individuals with stroke. IEEE Transactions on Neural Syst. Rehabil. Eng. 27, 1617–1625 (2019).
Zhang, Y. et al. Exoskeleton rehabilitation robot training for balance and lower limb function in sub-acute stroke patients: a pilot, randomized controlled trial. J. NeuroEngineering Rehabil. 21, 98 (2024).
Viteckova, S. et al. Gait symmetry measures: A review of current and prospective methods. Biomed. Signal Process. Control. 42, 89–100 (2018).
Padmanabhan, P. et al. Persons post-stroke improve step length symmetry by walking asymmetrically. J. neuroengineering and rehabilitation 17, 105 (2020).
Sombric, C. J. & Torres-Oviedo, G. Augmenting propulsion demands during split-belt walking increases locomotor adaptation of asymmetric step lengths. J. NeuroEngineering Rehabil. 17, 69 (2020).
Lauziere, S., Betschart, M., Aissaoui, R. & Nadeau, S. Understanding spatial and temporal gait asymmetries in individuals post stroke. Int J Phys Med Rehabil 2, 201 (2014).
Hale, K. S. & Stanney, K. M. Deriving haptic design guidelines from human physiological, psychophysical, and neurological foundations. IEEE computer graphics and applications 24, 33–39 (2004).
Schauer, M. & Mauritz, K.-H. Musical motor feedback (mmf) in walking hemiparetic stroke patients: randomized trials of gait improvement. Clin. rehabilitation 17, 713–722 (2003).
Afzal, M. R., Oh, M.-K., Lee, C.-H., Park, Y. S. & Yoon, J. A portable gait asymmetry rehabilitation system for individuals with stroke using a vibrotactile feedback. BioMed research international 2015, 375638 (2015).
Krasovsky, T. & Levin, M. F. Toward a better understanding of coordination in healthy and poststroke gait. Neurorehabilitation and neural repair 24, 213–224 (2010).
Awad, L. N., Palmer, J. A., Pohlig, R. T., Binder-Macleod, S. A. & Reisman, D. S. Walking speed and step length asymmetry modify the energy cost of walking after stroke. Neurorehabilitation and neural repair 29, 416–423 (2015).
Patterson, K. K., Gage, W. H., Brooks, D., Black, S. E. & McIlroy, W. E. Evaluation of gait symmetry after stroke: a comparison of current methods and recommendations for standardization. Gait & posture 31, 241–246 (2010).
Wang, C. et al. Split-belt treadmill training improves gait symmetry and lower limb function in patients with stroke. Sci. Reports 15, 16123 (2025).
Lewek, M. D., Braun, C. H., Wutzke, C. & Giuliani, C. The role of movement errors in modifying spatiotemporal gait asymmetry post stroke: a randomized controlled trial. Clin. rehabilitation 32, 161–172 (2018).
Sombric, C., Gonzalez-Rubio, M. & Torres-Oviedo, G. Split-belt walking induces changes in active, but not passive, perception of step length. Sci. Reports 9, 16442 (2019).
Reisman, D. S., Wityk, R., Silver, K. & Bastian, A. J. Locomotor adaptation on a split-belt treadmill can improve walking symmetry post-stroke. Brain 130, 1861–1872 (2007).
Cao, S. et al. Single-belt versus split-belt: Intelligent treadmill control via microphase gait capture for poststroke rehabilitation. IEEE transactions on human-machine systems 53, 1006–1016 (2023).
Combs-Miller, S. A. et al. Body weight-supported treadmill training vs. overground walking training for persons with chronic stroke: a pilot randomized controlled trial. Clin. rehabilitation 28, 873–884 (2014).
Park, I.-M., Lee, Y.-S., Moon, B.-M. & Sim, S.-M. A comparison of the effects of overground gait training and treadmill gait training according to stroke patients’ gait velocity. J. physical therapy science 25, 379–382 (2013).
Lee, H. et al. Comparative study on overground gait of stroke survivors with a conventional cane and a haptic cane. IEEE transactions on neural systems and rehabilitation engineering 29, 2183–2192 (2021).
Seo, J. S. et al. Effect of reducing assistance during robot-assisted gait training on step length asymmetry in patients with hemiplegic stroke: A randomized controlled pilot trial. Medicine 97, e11792 (2018).
Sorrento, G. U., Archambault, P. S. & Fung, J. Adaptation and post-adaptation effects of haptic forces on locomotion in healthy young adults. J. neuroengineering and rehabilitation 15, 20 (2018).
Lee, H. et al. Development of a robotic companion to provide haptic force interaction for overground gait rehabilitation. Ieee Access 8, 34888–34899 (2020).
Lee, H., Eizad, A., Lee, J. & Yoon, J. Development and evaluation of a gait assistance system based on haptic cane and active knee orthosis. In 2022 International Conference on Robotics and Automation (ICRA), 5419–5425 (IEEE, 2022).
Allen, J. L., Kautz, S. A. & Neptune, R. R. Step length asymmetry is representative of compensatory mechanisms used in post-stroke hemiparetic walking. Gait & posture 33, 538–543 (2011).
Lee, B.-C., Kim, C.-S. & Seo, K.-H. The body’s compensatory responses to unpredictable trip and slip perturbations induced by a programmable split-belt treadmill. IEEE Transactions on Neural Syst. Rehabil. Eng. 27, 1389–1396 (2019).
Heuvelmans, P. et al. Concurrent validation of the noraxon myomotion wearable inertial sensors in change-of-direction and jump-landing tasks. Sports biomechanics 24, 184–199 (2025).
Thomas, J. M. & Kollock, R. O. The reliability of three-dimensional inertial measurement units in capturing lower-body joint kinematics during single-leg landing tasks. Int. J. Exerc. Sci. 15, 1306 (2022).
Afzal, M. R., Pyo, S., Oh, M.-K., Park, Y. S. & Yoon, J. Evaluating the effects of delivering integrated kinesthetic and tactile cues to individuals with unilateral hemiparetic stroke during overground walking. J. neuroengineering and rehabilitation 15, 33 (2018).
Kong, S. W., Jeong, Y. W. & Kim, J. Y. Correlation between balance and gait according to pelvic displacement in stroke patients. J. physical therapy science 27, 2171–2174 (2015).
Kim, M.-K., Kim, S.-G., Shin, Y.-J., Choi, E.-H. & Choe, Y.-W. The relationship between anterior pelvic tilt and gait, balance in patient with chronic stroke. J. physical therapy science 30, 27–30 (2017).
Boonsinsukh, R., Panichareon, L., Saengsirisuwan, V. & Phansuwan-Pujito, P. Clinical identification for the use of light touch cues with a cane in gait rehabilitation poststroke. Top. stroke rehabilitation 18, 633–642 (2011).
Lamontagne, A. & Fung, J. Faster is better: implications for speed-intensive gait training after stroke. Stroke 35, 2543–2548 (2004).
Acknowledgements
We would like to thank the physical therapists at the Rehabilitation Center of Gyeongsang National University Hospital (Jinju, Republic of Korea) for their support during the course of this research.
Funding
This work was supported in part by the Translational Research Center for Rehabilitation Robots (#NRCTR-EX24008), National Rehabilitation Center, Ministry of Health and Welfare, Korea, in part by the National Research Foundation of Korea (NRF) grant, and Government of Korea (MSIT) with grant no. RS-2025-00554248, in part by the research grant of the Gyeongsang National University in 2023, and in part by the Regional Innovation System & Education(RISE) program through the RISE Center, Gyeongsangnam-do, funded by the Ministry of Education(MOE) and the Gyeongsangnam-do Provincial Government, Republic of Korea.(2025-RISE-16-001).
Author information
Authors and Affiliations
Contributions
H.L.: Drafted the complete manuscript, participated in conducting the experimental trials and data collection, performed statistical data analysis and operated the HC hardware. J.L.: Participated in the data collection and operated the HC hardware. H.P. and M.K.O.: Designed the whole experimental protocol, managed the pilot trials and assisted with manuscript writing. J.Y.: Conceived the whole idea, supervised the research and helped in finalizing the manuscript. All authors read and approved the final manuscript.
Corresponding authors
Ethics declarations
Competing interests
The authors declare no competing interests.
Additional information
Publisher’s note
Springer Nature remains neutral with regard to jurisdictional claims in published maps and institutional affiliations.
Rights and permissions
Open Access This article is licensed under a Creative Commons Attribution-NonCommercial-NoDerivatives 4.0 International License, which permits any non-commercial use, sharing, distribution and reproduction in any medium or format, as long as you give appropriate credit to the original author(s) and the source, provide a link to the Creative Commons licence, and indicate if you modified the licensed material. You do not have permission under this licence to share adapted material derived from this article or parts of it. The images or other third party material in this article are included in the article’s Creative Commons licence, unless indicated otherwise in a credit line to the material. If material is not included in the article’s Creative Commons licence and your intended use is not permitted by statutory regulation or exceeds the permitted use, you will need to obtain permission directly from the copyright holder. To view a copy of this licence, visit http://creativecommons.org/licenses/by-nc-nd/4.0/.
About this article
Cite this article
Lee, H., Lee, J., Park, H. et al. A novel scheme for speed variation of a robotic cane to improve step length symmetry during overground walking. Sci Rep 16, 1906 (2026). https://doi.org/10.1038/s41598-025-31563-4
Received:
Accepted:
Published:
Version of record:
DOI: https://doi.org/10.1038/s41598-025-31563-4




