Abstract
Ulcerative colitis (UC) is a chronic inflammatory bowel disease characterized by epithelial damage, excessive cytokine release, and dysregulated inflammasome activation. Herein, we report the design, synthesis, and multi-targeted biological evaluation of three novel mesalamine–NSAID hybrid derivatives (D1, D3, and D4) as potential therapeutic agents for UC. Structural hybridization was employed to enhance colonic targeting, suppress NLRP3 inflammasome signaling, and reduce systemic toxicity. All compounds were characterized and screened for anti-inflammatory efficacy via qRT-PCR analysis of key inflammasome-related genes (NLRP3, IL1B, IL-18, Caspase-1) in LPS-activated macrophages. Compound D3 exhibited the most potent downregulation profile, supported by molecular docking studies showing favorable interactions with NLRP3 and caspase-1. Antioxidant activity was evaluated using the DPPH assay, with D3 demonstrating the lowest IC50 (19.20 µg/mL). Antimicrobial and brine shrimp lethality assays confirmed the moderate cytotoxicity profiles and pathogen-inhibitory potential of all compounds. Collectively, these results highlight D3 as a dual-action anti-inflammatory and antioxidant agent capable of modulating key immune and redox pathways implicated in UC pathogenesis. The study supports mesalamine–NSAID hybridization as a promising strategy for developing next-generation UC therapeutics with improved efficacy and safety profiles.
Similar content being viewed by others
Introduction
Ulcerative colitis (UC) is a chronic and relapsing inflammatory bowel disease (IBD) characterized by continuous inflammation of the colonic mucosa, resulting in gastrointestinal discomfort, diarrhea, mucosal ulceration, and an increased risk of colorectal cancer. The global incidence of UC continues to rise, currently affecting over 5 million people worldwide, and highlighting the urgent need for safer and more effective therapies1,2,3. First-line treatment of mild-to-moderate UC typically involves 5-aminosalicylic acid (5-ASA) agents, among which mesalamine is the mainstay due to its favorable safety profile and localized action in the colon4,5,6. Mesalamine exerts anti-inflammatory effects through inhibition of nuclear factor-kappa B (NF-κB), suppression of cytokines such as interleukin-1β (IL-1β) and tumor necrosis factor-alpha (TNF-α), inhibition of 5-lipoxygenase (5-LOX), and scavenging of reactive oxygen species (ROS)4,5,6,7. However, its therapeutic efficacy is limited by poor oral bioavailability, the requirement for colon-targeted prodrugs, and reduced performance in moderate-to-severe UC cases6,7.
To overcome these limitations, molecular hybridization has emerged as a rational strategy for designing multifunctional agents by chemically integrating distinct pharmacophores into a single molecule. In this context, mesalamine–NSAID hybrid molecules have shown promise in delivering synergistic anti-inflammatory effects while reducing gastrointestinal toxicity8,9,10. Although NSAIDs are potent inhibitors of cyclooxygenase (COX), their use in UC is limited due to mucosal injury caused by COX-1 inhibition and direct epithelial damage linked to their carboxylic acid functionality11,12. Conjugating NSAIDs to mesalamine via ester or amide bonds can mask the acidic moiety, allowing mesalamine to serve as a colon-targeting carrier and reducing systemic toxicity13,14,15.
Beyond COX-related inflammation, emerging evidence has identified the NLRP3 inflammasome as a central driver of mucosal damage in UC. Activation of this cytosolic complex by microbial-associated molecular patterns, mitochondrial ROS, or extracellular ATP leads to assembly with ASC and pro-caspase-1, resulting in cleavage of pro-IL-1β and pro-IL-18 into their mature forms16,17,18. These cytokines perpetuate inflammation through neutrophil recruitment, epithelial barrier disruption, and pyroptotic cell death mediated by gasdermin D18,19. Elevated levels of IL-1β and IL-18 in UC tissues are strongly associated with disease activity, positioning the NLRP3 inflammasome as a key therapeutic target17,18,19,20. While mesalamine can partially inhibit this pathway via NF-κB suppression, its modulatory effects are modest and dependent on cellular context and delivery efficiency6,21.
Guided by these mechanistic insights, we synthesized a series of mesalamine–NSAID hybrid molecules designed to improve colonic bioavailability, minimize systemic toxicity, and target multiple inflammatory pathways. Among the four synthesized compounds (D1–D4), each was structurally optimized to balance COX inhibition, antioxidant capacity, and inflammasome modulation. In this design, diclofenac and PABA derivatives were specifically selected as NSAID components due to their well-established anti-inflammatory activity via COX-2 and TNF-α pathways, structural suitability for conjugation with mesalamine via ester or amide linkages, and potential for enhancing redox buffering and mucosal targeting. These design choices aimed to achieve synergistic modulation of both prostaglandin- and inflammasome-mediated inflammation in UC. In silico docking studies targeting NLRP3, caspase-1, and IL-1β supported the multi-target potential of these hybrids, with further biological assessments conducted to validate their efficacy.
Experimental evaluations included antioxidant analysis using the DPPH assay, antimicrobial screening against UC-associated pathogens, cytotoxicity testing in colon-related cell lines, and quantitative real-time PCR (qRT-PCR) analysis of inflammasome-related gene expression (IL1B, NLRP3, IL-18, and caspase-1) in LPS-stimulated macrophages. This comprehensive approach aimed to characterize the multi-target therapeutic profile of the hybrids, focusing on their ability to suppress both inflammatory and oxidative damage in UC.
However, mesalamine suffers from significant pharmacokinetic limitations, including rapid N-acetylation in the colonic epithelium via NAT1 enzymes, which may reduce its therapeutic availability. Furthermore, regional differences in colonic pH, microbial flora, and transit time complicate targeted drug delivery and consistent luminal exposure. These challenges underline the need for next-generation mesalamine-based hybrids with improved pharmacokinetic stability, selective colonic release, and multi-target anti-inflammatory capacity, as supported by recent pharmacological reviews22,23.
Recent studies underscore the therapeutic potential of concurrently targeting the cyclooxygenase (COX) and NLRP3 inflammasome pathways in UC. While COX-2-derived prostaglandins such as PGE2 contribute to epithelial barrier dysfunction, immune cell infiltration, and cytokine amplification, NLRP3 activation leads to the maturation of IL-1β and IL-18 and promotes pyroptotic cell death, thereby exacerbating mucosal damage. The two pathways are functionally interlinked, as prostaglandins can upregulate NLRP3 expression, and inflammasome-derived cytokines can enhance COX-2 transcription, creating a vicious inflammatory cycle. Therefore, dual inhibition of COX-2 and NLRP3 not only mitigates acute inflammation but also interrupts the chronic feedback loop underlying disease persistence. This strategy has been validated in preclinical models, where combined blockade of COX and NLRP3 yielded superior outcomes in suppressing colonic inflammation and restoring epithelial integrity compared to monotherapies24,25.
By combining established anti-inflammatory agents with novel redox-active and inflammasome-targeting moieties, these mesalamine–NSAID hybrids represent a promising strategy to overcome the limitations of current monotherapies and support mucosal healing, immune modulation, and potentially reduce cancer risk in UC patients.
In contrast to previously reported hybrid derivatives that primarily focus on masking NSAID toxicity or enhancing mesalamine delivery via simple ester or amide conjugation13,14,15, the present study introduces a series of structurally novel mesalamine–NSAID hybrid molecules designed with a multi-pharmacophoric architecture. These hybrids combine mesalamine and diclofenac cores with diverse terminal moieties, such as mesalamine methyl ester and PABA ester, to enhance colonic targeting, redox buffering, and mucosal permeability. Moreover, unlike conventional hybrids, the synthesized compounds are specifically tailored to modulate not only COX-2 but also the NLRP3 inflammasome axis, offering a unique dual-action mechanism. To the best of our knowledge, such an integrated design with inflammasome-targeting potential has not been previously reported, underscoring the synthetic originality and therapeutic innovation of this work.
Experimental section
Chemicals and methods
All reagents, solvents, and chemicals utilized in this study, including mesalamine (5-aminosalicylic acid), diclofenac, dicyclohexylcarbodiimide (DCC), triethylamine, sulfuric acid, methanol, dichloromethane, benzylamine, mes ester, 3-nitroaniline, PABA ester, dimethyl sulfoxide (DMSO), and sodium hydroxide, were of analytical grade and purchased from reliable chemical suppliers. All solvents were purified by standard procedures before use.
Methods
Protection of mesalamine
Mesalamine’s carboxylic acid group was esterified to protect it during subsequent reaction steps. Mesalamine (1) (20 mmol, 3.062 g) was dissolved in dry methanol (45 mL), followed by addition of sulfuric acid (4.5 mL). The mixture was refluxed under nitrogen at 80 °C for 24 h. After reaction completion, the mixture was neutralized using sodium bicarbonate, yielding crystalline esterified mesalamine (2), which was filtered, dried at 80 °C, and stored in a desiccator (75% yield) (Scheme 1).
Synthesis of mesalamine-diclofenac hybrid
Purified diclofenac (3) (5 mmol, 1.48 g), esterified mesalamine (2) (2 mmol, 0.33 g), and N,N′-dicyclohexylcarbodiimide (DCC) (2 mmol, 0.412 g) were combined in dry dichloromethane (DCM) (20 mL) with triethylamine (0.04 mL). The mixture was stirred at room temperature under nitrogen for 24 h. The resultant hybrid product (4) was isolated, dried at 90 °C, and stored in a desiccator (60% yield) (Scheme 2).
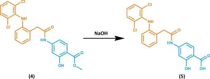
Deprotection of (4) (preparation of (5))
To remove the protecting ester group, (4) (3 mmol, 1.33 g) was refluxed in methanol (45 mL) with sodium hydroxide (pH adjusted to 12) at 75 °C for 48 h. The solution was then neutralized with dilute acid, and the resulting product (5) was crystallized, dried at 90 °C, and stored in a desiccator (70% yield) (Scheme 3).
Amidation of (5) to generate hybrid derivatives
Amidation reactions involved combining (5) (2 mmol, 0.86 g), DCC (2 mmol, 0.412 g), triethylamine (0.04 mL), and amino-functionalized derivatives (benzylamine, mes ester, 3-nitroaniline, PABA ester; 1.5 mmol each) in dry dichloromethane (20 mL). Reactions were performed at ambient temperature under nitrogen for 24 h. Resulting hybrid derivatives were dried at 90 °C and stored in a desiccator (Scheme 4).
Molecular docking studies
Molecular docking simulations were conducted using Schrodinger software to analyze interactions between synthesized ligands and target proteins, including COX-2, Caspase-1, NLR family pyrin domain containing 3 (NLRP3), and tumor necrosis factor-alpha (TNF-α). Structures were prepared and optimized via LigPrep, active sites were identified, and docking interactions were evaluated. The overall procedure followed standard molecular docking protocols as described previously in the literature26.
Antioxidant activity evaluation
The antioxidant activity of derivatives was determined via the DPPH radical scavenging assay, comparing inhibition to standard BHT. IC50 values were calculated from inhibition curves, ensuring standard accuracy within the established range (18–20 µg/mL). This method is widely used for assessing antioxidant capacity and has been validated in previous studies27,28. The working concentration of 50 μg/mL used in comparative antioxidant assays was selected based on preliminary screening experiments to ensure reproducible activity, solubility, and alignment with values reported in similar studies of hybrid anti-inflammatory agents29.
Antimicrobial activity assessment
Agar diffusion method
Antimicrobial properties were assessed using Mueller Hinton agar for bacteria and Sabouraud dextrose agar for fungi. Compounds (D1, D3, D4; 40 mg/mL in DMSO) were tested against microorganisms, incubated at 37 °C for 24 h, and inhibition zones measured. The selected concentrations for antimicrobial testing (25, 50, and 100 μg/mL) were optimized through range-finding tests and are consistent with previously reported protocols for NSAID-based or hybrid compounds against common UC-associated pathogens30,31.
Determination of MIC and MBC
Minimum inhibitory concentrations (MIC) and minimum bactericidal concentrations (MBC) were determined using the broth dilution method in sterile 96-well plates. Dilutions of test compounds were incubated with bacterial suspensions at 37 °C for 24 h, and microbial growth assessed visually. Gentamicin, rifampin (bacteria), and nystatin (fungi) were employed as positive controls.
Cytotoxicity studies
Brine shrimp lethality test (BST)
BST was employed to preliminarily evaluate anticancer potential based on compound-induced brine shrimp mortality. Shrimp larvae viability was recorded, determining compound lethality at various concentrations.
MTT assay
Toxicity of mesalamine and derivatives (D1, D3, D4) was investigated against U937 myelocyte cell lines. Cells cultured in RPMI-1640 with 10% fetal bovine serum and antibiotics were treated with compounds (0–250 µg/mL) for 48 h. Cell viability was quantified via MTT reduction, and absorbance was measured at 540 nm following standard protocols for cytotoxicity screening using U937 cells32.
Anti-inflammatory assay on macrophages
U937 monocytes differentiated into macrophages using PMA (500 ng/mL) for 48 h were stimulated with lipopolysaccharide (LPS, 500 ng/L) to induce inflammation. Cells were treated with mesalamine and derivatives (D1, D3). Following treatment, inflammation-related gene expression was analyzed via real-time PCR using optimized methods validated for THP-1 and U937 macrophages33.
Gene expression analysis (RT-PCR)
Total RNA was extracted and quantified following standard protocols, and cDNA was synthesized from 1 µg of RNA using oligo (dT) primers and reverse transcriptase34. The RNA sample (10 µL) was combined with 1 µL oligo primer and heated at 70 °C for 5 min. Subsequently, 5X reaction buffer, deoxynucleotide triphosphates (dNTPs), and ribonuclease inhibitor were added, followed by incubation at 37 °C for 5 min. Reverse transcriptase enzyme was then added, and the reaction mixture was incubated at 42 °C for 60 min, followed by a final heat inactivation step at 70 °C for 10 min.
Real-time PCR was conducted in a 25 µL reaction volume containing cDNA, gene-specific primers, and master mix. PCR cycling conditions included an initial denaturation at 94 °C for 2 min, followed by 30 cycles of 94 °C for 30 s, 57–58 °C for 30 s, and 72 °C for 30 s, with a final extension at 72 °C for 10 min34. Melting curve analysis was performed to confirm specificity. Primers were designed in-house using Primer3 and validated for specificity via NCBI BLAST. The sequences used in this study are listed in Table 1.
Results and discussion
Design rationale of mesalamine–NSAID hybrid derivatives
In pursuit of novel anti-inflammatory therapeutics for UC, a structurally diverse series of four hybrid molecules (D1–D4) was designed by covalently linking mesalamine with diclofenac, a potent NSAID known for its systemic anti-inflammatory efficacy. The design aimed to combine mesalamine’s mucosal targeting with diclofenac’s COX inhibition, producing dual-acting agents with complementary anti-inflammatory mechanisms.
This hybridization strategy was driven by the need to modulate both prostaglandin-mediated inflammation (via COX-2 inhibition by diclofenac) and cytokine-driven mucosal damage (via NLRP3 inflammasome suppression by mesalamine). As depicted in Fig. 1, all synthesized compounds share a common structural framework wherein the diclofenac-derived moiety occupies the N-terminal segment (highlighted in orange), mesalamine is positioned centrally (in blue), and the C-terminal pharmacophore (in black) varies across the series to modulate physicochemical and biological properties.
In compound D1, a terminal phenyl group was incorporated to provide a hydrophobic aromatic surface for interaction with lipophilic domains of inflammatory proteins such as COX-2 and TNF-α.
Compound D2 features a para-nitrophenyl substituent, introduced to enhance electrophilicity and enable stronger π-stacking or hydrogen bonding with nucleophilic residues within inflammation-associated enzymes (e.g., NF-κB, caspase-1).
D3 includes a methyl ester derivative of mesalamine, which mimics salicylic acid functionality and may engage in polar interactions and hydrogen bonding at active sites of redox-sensitive targets like NLRP3.
In D4, the terminal moiety is a methyl ester of PABA, selected for its electron-donating character and structural similarity to bacterial folate intermediates, potentially enhancing colonic uptake through transporter-mediated mechanisms.
By engineering these substitutions, the hybrids were tailored to optimize membrane permeability, mucosal targeting, and multi-receptor affinity, particularly aiming for synergistic modulation of COX-2, TNF-α, and inflammasome-related pathways. Notably, the structures of all four hybrids (D1–D4) are novel and, to the best of our knowledge, have not been previously reported in the literature, underscoring the synthetic originality and therapeutic potential of these derivatives.
Molecular docking and in silico ADMET analysis
To investigate the multi-target anti-inflammatory potential of the synthesized hybrid compounds (D1–D4), molecular docking simulations were performed using AutoDock Vina against four key proteins critically implicated in the pathogenesis of UC. The selected targets were:
Cyclooxygenase-2 (COX-2; PDB ID: 5W58): A pivotal enzyme catalyzing prostaglandin synthesis from arachidonic acid, COX-2 is highly upregulated in inflamed colonic mucosa and serves as a primary therapeutic target for NSAIDs.
Caspase-1 (PDB ID: 1ICE): The canonical executioner of the NLRP3 inflammasome pathway, responsible for the proteolytic activation of IL-1β and IL-18, thereby exacerbating mucosal inflammation and epithelial damage.
Tumor necrosis factor-alpha (TNF-α; PDB ID: 2AZ5): A central proinflammatory cytokine in UC, promoting leukocyte infiltration and epithelial barrier disruption; it is also targeted by biologic therapies such as infliximab.
NLRP3 (PDB ID: 7ALV): A cytosolic pattern recognition receptor forming the core of the inflammasome complex. NLRP3 activation contributes to disease exacerbation and therapeutic resistance in UC.
MCC950 was included as a validated NLRP3 inhibitor for benchmarking. Grid box parameters were individually optimized for each protein to ensure precise spatial sampling of active site residues (Figs. S19–S22, Supporting Information). Docking scores, representing predicted ligand–protein binding energies (kcal/mol), are summarized in Table 2.
Among the hybrids, as shown in Fig. 1, D1 exhibited the strongest COX-2 binding (− 11.43 kcal/mol), surpassing mesalamine, primarily due to π–π stacking with Trp385 and hydrogen bonding with Tyr355, which are critical residues in the NSAID-binding cleft of COX-2. These interactions mimic those of clinically used inhibitors like celecoxib, providing a structural basis for the enhanced inhibitory potential of D1 (Fig. 2).
D4 showed favorable NLRP3 affinity (− 6.98 kcal/mol), approaching MCC950’s performance, suggesting potential binding near the NACHT domain’s ATPase site, which is essential for inflammasome activation and oligomerization.
D3 exhibited balanced interactions across targets, likely benefiting from its methyl ester moiety that enhances hydrogen bonding flexibility, enabling it to adaptively fit various active site topologies.
The relatively low COX-2 affinity of D2 is likely due to the bulky and electron-withdrawing nitro group, which may introduce steric clashes and electronic repulsion within the hydrophobic binding pocket, thus reducing binding strength. Docking coordinates (X, Y, Z) for all compounds are detailed in Table S1.
In parallel, in silico ADMET profiling was conducted using SwissADME and pkCSM tools (Table 3). All hybrid derivatives met Lipinski’s rule of five and Veber’s criteria, indicating good oral drug-likeness and bioavailability. Molecular weights ranged from 520.4 to 580.4 Da, with acceptable hydrogen bond donor and acceptor counts.
D1 exhibited the highest predicted permeability (943.8 nmol·s-1), aligning with its relatively low polarity and compact structure. D3 and D4 demonstrated favorable trade-offs between permeability and binding affinity, suggesting their potential for effective oral absorption and sustained biological activity. These results confirm that rational hybridization improved both pharmacokinetic and target engagement profiles.
Docking and ADMET results together support D1 and D3 as lead candidates with multi-target potential and oral bioavailability.
Additional comparative data (binding affinity, HSA binding, ΔG) with mesalamine are reported in Table S2.
To validate docking reliability, redocking of celecoxib (COX-2, PDB: 5W58) yielded RMSD = 0.29 Å, confirming accuracy. RMSD values for D3 (1.75 Å) and D4 (2.10 Å) also supported the plausibility of predicted binding poses (Fig. S26).
Antioxidant activity assay and mechanistic insights
To evaluate the free radical scavenging activity of the synthesized hybrid compounds (D1–D4), the DPPH assay was employed. This method assesses reduction of the DPPH radical (absorbance at 517 nm) via hydrogen atom or electron transfer, expressed as IC50 values As summarized in Table 4, D1 demonstrated the strongest antioxidant activity (IC50 = 18.50 µg/mL), followed by D3 (19.20 µg/mL) and D4 (19.40 µg/mL). Complete inhibition profiles and raw absorbance data are presented in Figs. S27–S29 and Tables S3–S5.
All hybrids exhibited moderate but distinct scavenging efficiency, with D1 displaying the most effective hydrogen- or electron-donating ability.
The observed antioxidant activity can be mechanistically interpreted based on the structural features of each compound:
D1, composed of mesalamine and diclofenac moieties, benefits from the redox-active phenolic –OH and amino groups of mesalamine. These groups are well known for engaging in hydrogen atom transfer (HAT) and single electron transfer (SET) reactions. The diclofenac portion also contributes via its electron-rich aromatic structure, which can stabilize radical intermediates through π-delocalization, thereby enhancing the overall antioxidant potential. This synergistic interaction between redox-active domains underlies the superior IC50 value observed for D1.
D3 features an additional methyl ester of mesalamine, potentially enhancing π–π stacking and hydrogen bonding capacity. However, the modification appears to impose minor steric hindrance, which may reduce the effective exposure of redox-active sites to free radicals, leading to a slightly diminished scavenging efficiency compared to D1, as reflected in its IC50 value.
D4 incorporates a PABA ester unit in place of the methyl mesalamine. Although PABA derivatives can engage in π-conjugation and limited hydrogen donation, their antioxidant effect appears limited. The slightly higher IC50 of D4 (19.40 µg/mL) supports this conclusion, indicating that antioxidant action in D4 may primarily arise from resonance stabilization rather than direct HAT or SET mechanisms.
D2 was excluded from the assay due to its weak redox contribution and prior low biological response.
Although antioxidant capacity is not the primary mechanism of action for NSAIDs, oxidative stress is a critical contributor to mucosal injury in UC. The inclusion of mesalamine’s redox-active moieties enhances ROS neutralization, with phenolic and amine groups across the hybrids enabling partial free-radical quenching and potential mucosal protection.
In summary, the antioxidant evaluation confirms the dual-functional potential of the synthesized compounds, particularly D1, as both anti-inflammatory and redox-modulating agents. These findings reinforce the utility of hybridizing NSAIDs with redox-active moieties to generate next-generation therapies for chronic inflammatory diseases like UC.
Cell viability and anti-inflammatory effects (e.g., RT-PCR or ELISA)
Biocompatibility assessment by MTT assay
To evaluate cytotoxicity and determine a safe concentration range for downstream anti-inflammatory assays, the biocompatibility of mesalamine and its synthesized hybrid derivatives (D1, D3, D4) was assessed in U937 monocytic cells using the MTT assay. As shown in Fig. 3, compound D1 exhibited a clear concentration-dependent cytotoxic effect, with cell viability dropping below 50% at concentrations above 10 µg/mL, suggesting mitochondrial dysfunction or oxidative stress amplification, possibly linked to the diclofenac-induced ROS generation, rendering it unsuitable for further in vitro immunomodulatory evaluation.
In contrast, compounds D3 and D4 exhibited excellent biocompatibility up to 250 µg/mL, similar to the parent drug mesalamine. This may reflect better intracellular redox buffering and membrane compatibility of their ester-linked terminal groups, minimizing mitochondrial perturbation. These findings establish the non-cytotoxic nature of D3 and D4 within the therapeutic window and support their use in further anti-inflammatory testing.
Gene expression analysis by RT-PCR
The NLRP3 inflammasome is a central mediator of mucosal inflammation in UC, orchestrating the activation of Caspase-1 and subsequent maturation of IL-1β and IL-18. In this study, qRT-PCR analysis was employed to evaluate the expression of inflammasome-associated genes (IL1B, NLRP3, CASP1, IL18, and CASP8) in LPS-stimulated U937-derived macrophages treated with Mesalamine, D3, and D4, with B2M used as an internal normalization control (Table 5 and Fig. 4).
Mesalamine moderately inhibited IL1B (0.671-fold) and NLRP3 (0.532-fold), with limited suppression of CASP1 (0.324-fold). However, it unexpectedly upregulated IL-18 (15.096-fold) and CASP8 (25.253-fold), potentially indicating oxidative or ER stress-triggered apoptotic signaling via non-canonical inflammasome pathways. These findings suggest that, although Mesalamine can reduce inflammasome priming, it may be insufficient in controlling downstream signaling and apoptosis under high-inflammatory conditions.
By contrast, compound D3 demonstrated a more balanced anti-inflammatory effect, moderately suppressing IL1B (0.736-fold) and NLRP3 (0.920-fold), with effective downregulation of CASP1 (0.574-fold). Most notably, D3 significantly reduced IL-18 (2.598-fold) and maintained CASP8 expression at a minimal level (0.413-fold), indicating both reduced pyroptosis and minimal apoptotic stress. This profile suggests that D3 likely interferes with both signal 1 (NF-κB-driven transcription) and signal 2 (ROS or ion flux-driven inflammasome activation), resulting in comprehensive inflammasome repression.
Compound D4, while structurally similar to D3, exhibited a less favorable gene expression profile. Despite partial suppression of CASP1 (0.765-fold) and IL-18 (2.192-fold), it failed to sufficiently downregulate upstream activators IL1B (1.386-fold) and NLRP3 (1.498-fold). The moderate elevation of CASP8 (0.562-fold) further supports a suboptimal anti-inflammatory effect and suggests possible involvement of apoptosis-related signaling. This discrepancy may arise from weaker hydrogen-donating capacity and lower π–π stacking interaction of the PABA ester terminal group in D4 compared to the methyl-mesalamine moiety in D3.
The differential performance of D3 and D4 may stem from their terminal functional groups. D3 features a methyl ester of mesalamine, which likely enhances hydrogen-bonding interactions and redox buffering, thereby more effectively neutralizing inflammatory stimuli. In contrast, D4 incorporates a PABA methyl ester, which, while moderately lipophilic, lacks sufficient redox activity to impact mitochondrial ROS or modulate autophagy-linked inflammasome regulation.
Caspase-8 expression, a critical node connecting apoptosis and non-canonical inflammasome pathways, was substantially elevated in Mesalamine (25.253-fold), but remained tightly controlled in D3 and D4 (0.413-fold and 0.562-fold, respectively). This suggests that both D3 and D4 can prevent excessive cell death signaling, but D3 achieves this with greater upstream suppression of inflammasome priming genes, possibly through modulation of redox-sensitive transcription factors such as NF-κB or Nrf2. Thus, the anti-inflammatory effect of D3 appears to be more targeted, consistent, and safer compared to both the parent drug and D4.
These transcriptomic results align with the broader therapeutic profile of D3, including its antioxidant properties and favorable docking interactions (discussed elsewhere), reinforcing its potential as a multi-target modulator capable of suppressing inflammasome activation while preserving epithelial viability.
Mechanistic interpretation: engagement of AMPK–inflammasome pathway
Given the observed transcriptomic signatures, especially in compound D3, it is plausible that the anti-inflammatory activity of these hybrids involves modulation of the AMPK–NLRP3 axis, a well-established regulatory pathway in epithelial inflammation.
Activation of AMPK leads to inhibition of mTORC1, induction of ULK1-mediated autophagy, and attenuation of NLRP3 inflammasome formation, thereby disrupting the IL-1β/IL-18 inflammatory loop. Compound D3, with its enhanced redox properties and capacity to downregulate IL1B, NLRP3, CASP1, and IL-18 expression, likely exerts its effects through indirect AMPK activation, possibly via ROS suppression or engagement of upstream kinases such as LKB1 or SIRT1.
The phenolic ester in D3 may act as a redox relay, quenching mitochondrial ROS and triggering AMPK-mediated autophagic degradation of inflammasome components.
In support of this mechanism, previous studies have shown that mesalamine derivatives can influence mitochondrial ROS and reduce oxidative stress-induced inflammasome activation. The presence of dual phenolic structures in D3 may enhance this effect by providing multiple sites for hydrogen atom donation and redox buffering.
Furthermore, AMPK activation has been linked to restoration of mucosal barrier integrity, through:
Enhancement of tight junction protein expression,
Promotion of autophagic clearance of damaged mitochondria,
Suppression of inflammatory transcription via SIRT1–NF-κB deacetylation.
Thus, the multi-pharmacophoric design of D3 offers synergistic engagement of both immune checkpoints (inflammasome suppression) and metabolic regulation (AMPK activation), supporting its potential utility in UC therapy.
In contrast, while D4 also shows partial suppression of inflammasome genes, its lower efficacy in downregulating IL1B and NLRP3 suggests weaker engagement of the AMPK–autophagy axis, possibly due to its less redox-active terminal group (PABA methyl ester).
In summary, the gene expression patterns, antioxidant potential, and structural features of D3 support its dual mechanism of action, combining direct inflammasome inhibition with AMPK-mediated modulation of metabolic stress responses, rendering it a promising candidate for advanced therapeutic strategies against UC.
Although the direct molecular mechanism through which the synthesized mesalamine–NSAID hybrids inhibit the NLRP3 inflammasome remains to be fully elucidated, several lines of evidence from the literature suggest plausible pathways. One well-established regulatory axis involves the NF-κB signaling pathway, which is critical for NLRP3 priming (Signal 1) by promoting transcription of NLRP3 and pro-IL-1β genes. Prior studies have demonstrated that mesalamine and various NSAIDs can inhibit NF-κB activation, thereby attenuating inflammatory signaling at an upstream level35,36,37.
Another possible regulatory mechanism is through the AMP-activated protein kinase (AMPK) pathway, which has been shown to suppress NLRP3 activation by promoting mitophagy and reducing mitochondrial ROS—both key activators of inflammasome assembly38. For instance, Zhong et al. reported that AMPK activation leads to inhibition of NLRP3 via autophagy induction and dampening of the inflammatory cascade38.
Given these findings, the observed downregulation of inflammasome genes by D3 is consistent with a possible dual modulation of the NF-κB and AMPK axes, which aligns with its antioxidant and transcriptomic profiles. Although further mechanistic studies, including Western blotting, reporter assays, and kinase activity assays, are required to validate this hypothesis, the present data likely indicate a role for the AMPK–NLRP3 axis in mediating the bioactivity of compound D3.
Antimicrobial activity evaluation
The antimicrobial performance of the synthesized mesalamine–NSAID hybrid derivatives (D1, D3, and D4) was systematically evaluated against a panel of clinically significant Gram-positive and Gram-negative bacterial strains, along with a representative fungal pathogen (Candida albicans), using standard assays including agar well diffusion, minimum inhibitory concentration (MIC), and minimum bactericidal concentration (MBC).
All three compounds showed inhibition zones (19–24 mm) against S. aureus and P. aeruginosa, confirming broad-spectrum activity (Fig. S30).
Notably, D1 exhibited the largest inhibition zone (48 mm) against E. coli, likely due to PABA-mediated enhancement in membrane permeability or interference with nucleic acid synthesis. As summarized in Table 6, the MIC and MBC values confirm potent activity against E. coli (MIC = 6 µg/mL; MBC = 8–10 µg/mL).
Moderate effects were seen against S. aureus, while K. pneumoniae, B. subtilis, and Shigella exhibited partial susceptibility.
Structure, activity relationship (SAR) analysis suggests that the presence of the PABA moiety in D1 enhances nucleophilic attack on bacterial metabolic targets, potentially increasing DNA or folate biosynthesis inhibition. On the other hand, the methylated mesalamine structure in D3 contributes moderate lipophilicity and membrane permeability, while D4’s PABA ester imparts moderate π-conjugation and electron-donating capability.
All compounds showed weak antifungal effects (Candida albicans, zone < 15 mm), but strong antibacterial profiles, particularly D1, highlight their potential in managing UC-associated dysbiosis and infections.
Taken together, these data support the antimicrobial potential of the mesalamine, NSAID hybrids, with D1 emerging as the most promising candidate in this context. Further mechanistic and resistance studies are needed to validate these observations.
Anti-cancer potential assessed by brine shrimp lethality assay
The cytotoxic and anticancer potential of hybrid compounds D1, D3, and D4 was evaluated using the Artemia salina (brine shrimp) lethality bioassay, which serves as a reliable and cost-effective preliminary model for assessing general cytotoxic activity. Larval lethality was recorded at various concentrations (10–1000 µg/mL), and LC50 values were determined by probit regression analysis.
Compound D1 demonstrated the highest toxicity, with an LC50 value of approximately 10 µg/mL, correlating well with its previously observed cytotoxic effects in U937 macrophage viability assays. Compounds D3 and D4 also exhibited considerable cytotoxicity, with LC50 values close to 10 µg/mL, suggesting potential anticancer activity. The relatively similar toxicity profiles across these derivatives imply a shared mechanism, possibly involving mitochondrial dysfunction or ROS-mediated apoptosis.
The data indicate that incorporation of NSAID and mesalamine pharmacophores, particularly in ester-linked formats, may enhance cytotoxicity through synergistic interaction with cellular redox or membrane targets. While additional mechanistic studies are warranted, the observed brine shrimp lethality supports further investigation into the anticancer efficacy of these hybrids in colon-derived cell lines and in vivo tumor models.
Figures S31–S33 and Tables S6–S8 (Supporting Information) present dose–response lethality profiles for D1, D3, and D4.
These findings highlight the potential dual role of these compounds as anti-inflammatory and cytotoxic agents, which could be especially valuable in the context of inflammation-driven carcinogenesis, such as that observed in UC-associated colorectal cancer.
Overall, the integration of redox-active, anti-inflammatory, and colonic-targeting features within a single molecular scaffold highlights the therapeutic potential of these hybrids, particularly compound D3. The ability to simultaneously modulate COX-2 activity and suppress the NLRP3 inflammasome pathway through a structurally novel multi-pharmacophoric design represents a significant advancement over previously reported mesalamine–NSAID conjugates. This dual-action mechanism may offer a new direction for the development of safer and more effective therapies for UC.
Future perspectives: enhancing hybrid efficacy via redox modulation, drug delivery systems, and biopolymer-based nanocarriers
While the synthesized mesalamine–NSAID hybrids (D1–D4) demonstrated promising anti-inflammatory, antioxidant, and cytotoxic properties, further structural optimization may enhance their therapeutic efficacy, especially in refractory UC. To improve clarity based on reviewer feedback, future directions are now differentiated into evidence-supported strategies and hypothetical prospects. Recent studies indicate that adjunctive incorporation of redox-active moieties, such as glucosamine—a biocompatible amino sugar capable of stabilizing mitochondrial function, attenuating NF-κB signaling, and suppressing IL-1β/IL-18 production—can reinforce NLRP3 inflammasome inhibition through upstream modulation of ROS39,40,41,42,43. Beyond glucosamine, other redox-modulating bioactives including N-acetylcysteine44, curcumin analogs45, dimethyl itaconate46, resveratrol47, sulforaphane48, and quercetin49 have also demonstrated significant potential in dampening inflammasome activation and oxidative inflammatory cascades in UC, representing supported strategies grounded in published experimental data.
In parallel, advancements in drug delivery systems offer further promise. Incorporating the hybrids into biopolymer-based nanocarriers, such as chitosan, can enhance mucosal adhesion, prolong drug residence time, and improve colon-specific release. Chitosan’s mucoadhesive, antioxidant, and anti-inflammatory properties make it an excellent carrier for targeted UC therapy50,51. These delivery-based enhancements are similarly categorized as supported approaches, given their established efficacy in colonic drug delivery. In addition, a variety of inorganic nanomaterials have emerged as effective platforms for co-delivering anti-inflammatory agents. For instance, silver ferrite (AgFe2O4) nanoparticles possess intrinsic antimicrobial and ROS-scavenging properties, offering dual benefits in reducing microbial dysbiosis and oxidative damage in UC models52. Similarly, cerium oxide (CeO2) nanoparticles, known for their redox buffering capacity, and magnesium oxide (MgO) nanoparticles, which exert mucosal protective and anti-inflammatory effects, have shown potential in UC treatment53,54,55. Iron oxide nanoparticles (Fe3O4)56, especially when functionalized with targeting ligands or embedded within polysaccharide matrices, also enhance localized drug accumulation and immune modulation. However, integrating these inorganic nanomaterials with mesalamine–NSAID hybrids remains hypothetical at this stage, representing promising but untested avenues for future investigation.
These nanocarriers, when integrated with mesalamine–NSAID hybrids, may provide a synergistic strategy that combines site-specific delivery, redox regulation, and immunosuppression for effective management of UC.
Conclusions
In this study, a rationally designed series of mesalamine–NSAID hybrid derivatives (D1, D3, and D4) was synthesized and evaluated for their multi-target therapeutic potential against UC. The hybridization strategy integrated anti-inflammatory, antioxidant, and antimicrobial functionalities into a single scaffold to enhance efficacy while reducing systemic toxicity.
Among the tested compounds, D3 emerged as the most promising candidate, showing a balanced profile of inflammasome inhibition, antioxidant performance, selective cytotoxicity, and antimicrobial activity. D3 significantly downregulated key inflammasome-related genes (NLRP3, IL1B, IL-18, Caspase-1) in LPS-primed macrophages, indicating inhibition of both priming and activation steps of the inflammasome pathway. Molecular docking further supported its mechanistic role through favorable binding interactions with inflammatory targets.
Antioxidant assays revealed effective DPPH radical scavenging across all hybrids, with D3 exhibiting slightly superior activity, consistent with enhanced redox modulation relevant to UC pathology. D3 also demonstrated broad-spectrum antimicrobial effects and cytotoxic activity in the brine shrimp model, suggesting potential benefits in infection-associated inflammation and protection against UC-related carcinogenic processes.
The incorporation of antioxidant and anti-inflammatory pharmacophores within the D3 framework enabled coordinated modulation of immune, oxidative, and microbial pathways central to UC progression. Moreover, esterification of the acidic NSAID moieties likely improved mucosal compatibility and reduced epithelial irritation, addressing a critical limitation of conventional NSAIDs in IBD therapy.
Collectively, these findings highlight the therapeutic relevance of mesalamine–NSAID hybrids as next-generation UC agents, with D3 emerging as a dual-action molecule that synergistically engages NF-κB–NLRP3–Caspase-1 and oxidative stress pathways. Further preclinical validation, including in vivo efficacy testing, toxicity profiling, and pharmacokinetic studies, will be necessary to advance these hybrids toward translational application.
Despite the encouraging in vitro and in silico outcomes, the lack of preclinical in vivo validation currently limits translational generalizability. Future investigations involving DSS- or TNBS-induced colitis models, alongside comprehensive pharmacokinetic and toxicity assessments, are crucial to advance these hybrid candidates toward clinical application. Furthermore, to comprehensively evaluate their translational feasibility, upcoming studies will assess the gastrointestinal safety profile of these hybrids using mucosal integrity assays and histopathological analysis in colitis models.
Data availability
All spectral data including FTIR, 1H NMR, and 13C NMR spectra for the synthesized mesalamine–NSAID hybrid derivatives (D1–D4) are provided in the Supporting Information. Additional characterization data and analytical details are also available upon request.
References
Gros, B. & Kaplan, G. G. Ulcerative colitis in adults: A review. JAMA 330(10), 951–965. https://doi.org/10.1001/jama.2023.15389 (2023).
Kaplan, G. G. The global burden of IBD: From 2015 to 2025. Nat. Rev. Gastroenterol. Hepatol. 12, 720–727. https://doi.org/10.1038/nrgastro.2015.150 (2015).
Ghosh, S. & Mitchell, R. Impact of inflammatory bowel disease on quality of life: Results of the European Federation of Crohn’s and Ulcerative Colitis Associations (EFCCA) patient survey. J. Crohns Colitis 1, 10–20. https://doi.org/10.1016/j.crohns.2007.06.005 (2007).
Dignass, A. et al. Second European evidence-based consensus on the diagnosis and management of ulcerative colitis Part 2: Current management. J. Crohns Colitis 6, 991–1030. https://doi.org/10.1016/j.crohns.2012.09.002 (2012).
Rogler, G. Where are we heading to in pharmacological IBD therapy?. Pharmacol. Res. 100, 220–227. https://doi.org/10.1016/j.phrs.2015.07.005 (2015).
Govindarasu, M., Vaiyapuri, M. & Kim, J. C. Protective effect of zinc oxide nanoparticles synthesized using Cassia alata for DSS-induced ulcerative colitis in mice model. Bioprocess Biosyst. Eng. 47, 1393–1407. https://doi.org/10.1007/s00449-024-03047-8 (2024).
Le Berre, C., Roda, G., Nedeljkovic Protic, M., Danese, S. & Peyrin-Biroulet, L. Modern use of 5-aminosalicylic acid compounds for ulcerative colitis. Expert Opin. Biol. Therapy 20, 363–378. https://doi.org/10.1080/14712598.2019.1666101 (2020).
Talevi, A. Multi-target pharmacology: Possibilities and limitations of the “skeleton key approach” from a medicinal chemist perspective. Front. Pharmacol. https://doi.org/10.3389/fphar.2015.00205 (2015).
Oliveira Pedrosa, M. D. et al. Hybrid compounds as direct multitarget ligands: A review. Curr. Top. Med. Chem. 17, 1044–1079 (2017).
O’Boyle, M. N. & Meegan, J. M. Designed multiple ligands for cancer therapy. Curr. Med. Chem. 18, 4722–4737 (2011).
Lanas, A. & Chan, F. K. Peptic ulcer disease. Lancet 390, 613–624 (2017).
Wallace, J. L. NSAID gastropathy and enteropathy: Distinct pathogenesis likely necessitates distinct prevention strategies. Br. J. Pharmacol. 165, 67–74 (2012).
Hammoodi, S. H., Ismael, S. S. & Mustafa, Y. F. Mutual prodrugs for colon targeting: A review. Eurasian Chem. Commun. 4, 1251–1265 (2022).
Narsinghani, T. & Sharma, R. Lead optimization on conventional non-steroidal anti-inflammatory drugs: An approach to reduce gastrointestinal toxicity. Chem. Biol. Drug Des. 84, 1–23 (2014).
Sehajpal, S., Prasad, D. N. & Singh, R. K. Prodrugs of non-steroidal anti-inflammatory drugs (NSAIDs): A long march towards synthesis of safer NSAIDs. Mini. Rev. Med. Chem. 18, 1199–1219 (2018).
Guo, H., Callaway, J. B. & Ting, J. P. Y. Inflammasomes: Mechanism of action, role in disease, and therapeutics. Nat. Med. 21, 677–687. https://doi.org/10.1038/nm.3893 (2015).
Zhen, Y. & Zhang, H. NLRP3 inflammasome and inflammatory bowel disease. Front. Immunol. 10, 276 (2019).
Liu, T., Zhang, L., Joo, D. & Sun, S.-C. NF-κB signaling in inflammation. Signal Transduct. Target. Ther. 2, 1–9 (2017).
Schroder, K. & Tschopp, J. The inflammasomes. Cell 140, 821–832 (2010).
Perera, A. P. et al. MCC950, a specific small molecule inhibitor of NLRP3 inflammasome attenuates colonic inflammation in spontaneous colitis mice. Sci. Rep. 8, 8618 (2018).
Foresto-Neto, O., Menezes-Silva, L., Leite, J. A., Andrade-Silva, M. & Câmara, N. O. S. Immunology of kidney disease. Annu. Rev. Immunol. 42, 207–233 (2024).
Bayan, M. F. & Bayan, R. F. Recent advances in mesalamine colonic delivery systems. Future J. Pharm. Sci. 6, 43 (2020).
Berends, S. E. et al. Clinical pharmacokinetic and pharmacodynamic properties of 5-ASA compounds in the treatment of ulcerative colitis: A review. J. Clin. Pharmacol. 58, 393–408 (2018).
Govindarasu, M. et al. In silico modeling and molecular docking insights of kaempferitrin for colon cancer-related molecular targets. J. Saudi Chem. Soc. 25, 101319 (2021).
Mangan, M. S. J. et al. Targeting the NLRP3 inflammasome in inflammatory diseases. Nat. Rev. Drug Discov. 17, 588–606 (2018).
Chanput, W., Peters, V. & Wichers, H. THP‑1 and U937 Cells. In The Impact of Food Bioactives on Health: In vitro and Ex Vivo Models, 147–159 (2015).
Gulcin, İ & Alwasel, S. H. DPPH radical scavenging assay. Processes 11, 2248 (2023).
Kedare, S. B. & Singh, R. P. Genesis and development of DPPH method of antioxidant assay. J. Food Sci. Technol. 48, 412–422 (2011).
Theodosis-Nobelos, P., Marc, G. & Rekka, E. A. Design, synthesis and evaluation of antioxidant and NSAID derivatives with antioxidant, anti-inflammatory and plasma lipid-lowering effects. Molecules 29, 1016 (2024).
Jasim, E. Q., Muhammad-Ali, M. A. & Almakki, A. S. Synthesis, characterization, and antibacterial activity of some mesalazine derivatives. Sci. Technol. Indones. 8, 338–343. https://doi.org/10.26554/sti.2023.8.3.338-343 (2023).
Gorantla, V. et al. Molecular hybrid design, synthesis and biological evaluation of N-phenyl sulfonamide-linked N-acyl hydrazone derivatives functioning as COX-2 inhibitors, new anti-inflammatory, antioxidant and antibacterial agents. New J. Chem. 41, 13516–13532. https://doi.org/10.1039/C7NJ03332J (2017).
Yoon, S. J., Kang, G. Y., Yoon, Y. D. & Park, J. H. Anti-inflammatory effects of hirsutanol A in LPS-stimulated human monocytic U937 cells via suppression of NF-κB and MAPK activation. Int. J. Mol. Sci. 22, 13161. https://doi.org/10.3390/ijms222313161 (2021).
Yoodee, S. et al. Effects of secretome derived from macrophages exposed to calcium oxalate crystals on renal fibroblast activation. Commun. Biol. 4, 959. https://doi.org/10.1038/s42003-021-02479-2 (2021).
Cseke, L. J., Kaufman, P. B. & Podila, G. K. Real-time PCR-based gene expression analysis. In Handbook of Molecular and Cellular Methods in Biology and Medicine, 3rd ed., Chapter 6, 111–122 (CRC Press, 2011). https://doi.org/10.1016/B978-0-12-385118-5.00006-2.
Bantel, H. et al. Mesalazine inhibits activation of transcription factor NF-κB in inflamed mucosa of patients with ulcerative colitis. Am. J. Gastroenterol. 95, 3452–3457 (2000).
Ali, F. E. M. et al. Therapeutic interventions target the NLRP3 inflammasome in ulcerative colitis: Comprehensive study. World J. Gastroenterol. 29, 1026–1053. https://doi.org/10.3748/wjg.v29.i6.1026 (2023).
Wang, H. et al. Inflammasome-independent NLRP3 is required for epithelial-mesenchymal transition in colon cancer cells. Exp. Cell Res. 342, 184–192. https://doi.org/10.1016/j.yexcr.2016.03.009 (2016).
Zhong, Z. et al. Autophagy, NLRP3 inflammasome and auto-inflammatory/immune diseases. Clin. Exp. Rheumatol. 34, 12–16 (2016).
Mojtabazadeh, H. & Safaei-Ghomi, J. Sustainable electrochemical depolymerization of chitosan into glucosamine hydrochloride using N-hydroxyphthalimide as a redox catalyst. Carbohyd. Polym. 367, 124008. https://doi.org/10.1016/j.carbpol.2025.124008 (2025).
Li, F. et al. Glucosamine improves non-alcoholic fatty liver disease induced by high-fat and high-sugar diet through regulating intestinal barrier function, liver inflammation, and lipid metabolism. Molecules 28, 6918 (2023).
Mousavi-Ebadi, M. & Safaei-Ghomi, J. Melamine phosphate-modified magnetic chitosan, a novel biocompatible catalyst for the synthesis of biological tetrahydrodipyrazolopyridine and pyrazolopyranopyrimidine derivatives. Front. Chem. 12, 1395008. https://doi.org/10.3389/fchem.2024.1395008 (2024).
Palenca, I. et al. N-palmitoyl-D-glucosamine inhibits TLR-4/NLRP3 and improves DNBS-induced colon inflammation through a PPAR-α-dependent mechanism. Biomolecules 12, 1163 (2022).
Chiu, H.-W. et al. Glucosamine inhibits IL-1β expression by preserving mitochondrial integrity and disrupting assembly of the NLRP3 inflammasome. Sci. Rep. 9, 5603 (2019).
He, F. et al. N-acetylcysteine alleviates post-resuscitation myocardial dysfunction and improves survival outcomes via partly inhibiting NLRP3 inflammasome induced-pyroptosis. J. Inflamm. 17, 25 (2020).
Hewlings, S. J. & Kalman, D. S. Curcumin: A review of its effects on human health. Foods 6, 92 (2017).
Mills, E. L. et al. Itaconate is an anti-inflammatory metabolite that activates Nrf2 via alkylation of KEAP1. Nature 556, 113–117 (2018).
Wei, W. et al. Rhapontin ameliorates colonic epithelial dysfunction in experimental colitis through SIRT1 signaling. Int. Immunopharmacol. 42, 185–194 (2017).
Zhang, Y. et al. Anti-inflammatory, anti-colitis, and antioxidant effects of columbianadin against DSS-induced ulcerative colitis in rats via alteration of HO-1/Nrf2 and TLR4-NF-κB signaling pathway. Inflammopharmacology 33, 341–352 (2025).
Wu, J. et al. The role of quercetin in NLRP3-associated inflammation. Inflammopharmacology 32, 3585–3610 (2024).
Mousavi-Ebadi, M., Safaei-Ghomi, J. & Mojtabazadeh, H. Anchoring cobalt nanoparticles on to the grafted mono(6-ethylene-diamino-6-deoxy)-β-cyclodextrin to magnetic chitosan for enhanced catalytic performance of the synthesis of pyrano[2,3-c]pyrazole-3-carboxylates. Carbohydr. Polym. Technol. Appl. 11, 100923. https://doi.org/10.1016/j.carpta.2025.100923 (2025).
Mondal, S. et al. Chitosan functionalized Mn(3)O(4) nanoparticles counteracts ulcerative colitis in mice through modulation of cellular redox state. Commun. Biol. 6, 647. https://doi.org/10.1038/s42003-023-05023-6 (2023).
Hashemi, A. et al. Structural and antibacterial properties of AgFe2O4 and Fe3O4 nanoparticles, and their nanocomposites. Progr. Phys. Appl. Mater. 4, 37–46. https://doi.org/10.22075/ppam.2024.33349.1091 (2024).
Mojtabazadeh, H. & Safaei-Ghomi, J. High conductivity graphite paste for radio frequency identification tag with wireless hydrogen sensor based on CeO2–Fe2O3–graphene oxide. RSC Adv. 15, 12773–12784. https://doi.org/10.1039/D5RA00587F (2025).
Mi, L. et al. Hollow cerium nanoparticles synthesized by one-step method for multienzyme activity to reduce colitis in mice. World J. Gastroenterol. 31, 98732. https://doi.org/10.3748/wjg.v31.i5.98732 (2025).
Nedelcu, A., Mosteanu, O., Pop, T., Mocan, T. & Mocan, L. Recent advances in nanoparticle-mediated treatment of inflammatory bowel diseases. Appl. Sci. 11, 438 (2021).
Yang, M. et al. Nanoparticle-based therapeutics of inflammatory bowel diseases: a narrative review of the current state and prospects. J. Bio-X Res. 03, 157–173. https://doi.org/10.1097/JBR.0000000000000078 (2020).
Acknowledgements
The authors are grateful to the University of Kashan for supporting this work.
Author information
Authors and Affiliations
Contributions
M. Y., H. J. and H. M. Designed and conducted some of the experiments and wrote the manuscript. S.-G. and A. H.-E. discussed the experiments, analyzed the results, and rewrite the manuscript. J. S-G. supervised the whole project. All authors reviewed the manuscript.
Corresponding author
Ethics declarations
Competing interests
The authors declare no competing interests.
Additional information
Publisher’s note
Springer Nature remains neutral with regard to jurisdictional claims in published maps and institutional affiliations.
Supplementary Information
Rights and permissions
Open Access This article is licensed under a Creative Commons Attribution-NonCommercial-NoDerivatives 4.0 International License, which permits any non-commercial use, sharing, distribution and reproduction in any medium or format, as long as you give appropriate credit to the original author(s) and the source, provide a link to the Creative Commons licence, and indicate if you modified the licensed material. You do not have permission under this licence to share adapted material derived from this article or parts of it. The images or other third party material in this article are included in the article’s Creative Commons licence, unless indicated otherwise in a credit line to the material. If material is not included in the article’s Creative Commons licence and your intended use is not permitted by statutory regulation or exceeds the permitted use, you will need to obtain permission directly from the copyright holder. To view a copy of this licence, visit http://creativecommons.org/licenses/by-nc-nd/4.0/.
About this article
Cite this article
Yahya, M., Safaei-Ghomi, J., Haghir-Ebrahimabadi, A. et al. Design and biological evaluation of mesalamine–NSAID hybrids targeting the NLRP3 inflammasome: a multi-target strategy for ulcerative colitis therapy. Sci Rep 16, 2060 (2026). https://doi.org/10.1038/s41598-025-31910-5
Received:
Accepted:
Published:
Version of record:
DOI: https://doi.org/10.1038/s41598-025-31910-5










