Abstract
Patients with septic myocardial injury have a relatively high risk of death. Early identification of patients with a high risk of death is crucial for improving prognosis. The ratio of red blood cell distribution width to albumin (RAR) has been found to be associated with poor prognosis in other diseases, but its role in septic myocardial injury remains unclear. This study aims to explore the relationship between RAR and short-term all-cause death in patients with septic myocardial injury. This study adopted a retrospective cohort study design, using two publicly available datasets, MIMIC-IV and eICU-CRD, as well as data from 107 patients who visited the First Affiliated Hospital of Xinjiang Medical University from January 2021 to October 2024. Pearson analysis was used to examine the association between RAR and SOFA and APS III scores. The area under the receiver operating characteristic (ROC) curve (AUC) was used to evaluate the ability of RAR to predict short-term mortality, and the cutoff values and other indicators of RAR in predicting outcome events in the public databases were compared. Then, according to the median of RAR, it was divided into Low and High groups. RAR was used as a continuous and categorical variable for regression analysis, and the original model, a model adjusted for factors such as age, and a model further adjusted for multiple confounding factors were constructed. Restricted cubic splines were used to study the association between RAR and short-term mortality. The Kaplan-Meier survival curve and COX risk regression model were combined to calculate the hazard ratio (HR) and 90% confidence interval (CI), and subgroup analysis was performed in multiple subgroups. This study included a total of three datasets. There were differences in the death status of patients in the three cohorts, but the data volume and trends were similar. High RAR patients showed differences in many aspects and had a higher short-term mortality rate. ROC curve analysis showed that RAR had a certain predictive value for the mortality rate of the three cohorts. Among them, in the MIMIC-IV and eICU-CRD cohorts, RAR was significantly positively correlated with SOFA and APS III scores (pā<ā0.001). In the three datasets, the Kaplan-Meier survival curve showed that the short-term mortality rate of patients in the high RAR group was higher than that in the low RAR group. The multivariate COX regression model indicated that RAR was associated with short-term death risk to varying degrees. After adjusting for factors, RAR in the MIMIC-IV and eICU-CRD cohorts had a nonlinear relationship with short-term all-cause mortality. Subgroup analysis showed that in specific cohorts, the relationship between RAR and different mortality types was stable and consistent in each subgroup. RAR can be used as a predictor of mortality in patients with septic myocardial injury, which is helpful for risk stratification and prognosis prediction.
Introduction
Sepsis is a life-threatening organ dysfunction caused by a dysregulated host response to infection. It is the main cause1,2 of systemic inflammatory response syndrome and health impairment. It is a major global health problem and poses a serious threat3 to human health worldwide. It is estimated that there are more than 19 million cases of severe sepsis worldwide each year, of which at least 5 million are fatal4. Sepsis can cause a variety of complex conditions, of which multiple organ dysfunction is a very common complication5. Among the many organs susceptible to sepsis, myocardial injury is particularly prominent. It is not only a common complication, but also an important factor6 leading to the death of patients. Myocardial injury caused by sepsis is usually closely related7 to excessive inflammatory response. Studies have shown that nearly half of patients with sepsis suffer from myocardial depression, and the mortality of patients with septic myocardial injury (SMI) is significantly higher than that of patients with sepsis without myocardial injury, reaching 35ā50%8, and the prognosis is more severe. This highlights the seriousness of myocardial injury in sepsis and the urgent need for effective predictors of SMI9,10,11. Therefore, early identification and effective management of myocardial injury in patients with sepsis is essential to improve the prognosis of patients and reduce mortality, which also makes it urgent to explore easy to obtain and sensitive indicators to predict the prognosis of patients with SMI in clinical practice.
In many clinical studies, finding indicators that can effectively predict the prognosis of myocardial injury in sepsis has been a research hotspot. Red blood cell distribution width (RDW) is an easily accessible biomarker obtained from routine hematological examinations and has become a prognostic indicator for various diseases, especially infectious, inflammatory and cardiovascular diseases12. Meanwhile, RDW can reflect red blood cell volume, and its increase may be associated13 with impaired erythropoiesis and abnormal red blood cell survival. Meanwhile, albumin (ALB) is an important plasma protein, which is closely14,15,16related to nutritional status, fluid imbalance, circulatory dysfunction and inflammation, but its application as a prognostic indicator may be limited17 by other factors. In summary, RDW and ALB are both considered as comprehensive biomarkers18 of multidimensional dysfunctional physiological states related to inflammation, oxidative stress and nutrition. RDW and ALB represent different aspects of pathology, and their integration is of great value for predicting mortality. Some studies have shown that the ratio of red blood cell distribution width to albumin concentration (RAR) is a new comprehensive inflammatory marker, which has a stronger correlation19 with chronic inflammation and has become a potential risk biomarker for adverse outcomes of various diseases, such as diabetes20, sepsis21, coronary22 heart disease, acute pancreatitis23 and other diseases. However, there is still a lack of research on the relationship between RAR and SMI.
In summary, this study aims to explore the relationship between RAR and the clinical prognosis of patients with SMI. If it can be proved that elevated RAR is associated with increased short-term mortality in patients with SMI, it will help clinicians to identify patients with high risk of death early, so as to develop personalized treatment strategies more accurately and improve the survival rate of patients.
Datasets and ethics
A retrospective cohort study design was used. We used the following two publicly accessible datasets and one from our hospital: (1) the Medical Information Mart for the Intensive Care IV/MIMIC-IV 3.1 dataset (2008ā2019); (2) eICU-CRD dataset (2014ā2015) and (3) The First Affiliated Hospital of Xinjiang Medical University dataset (from January 2021 to October 2024). MIMIC-IV 3.1, a single-center dataset24, contains non-personalized data of more than 300,000 unique patient ICU admissions at Beth Israel Deaconess Medical Center between 2008 and 2019 The eICU-CRD is also a de-identified database containing more than 200,000 ICU admissions from 208 different ICUs in the United States (multicenter dataset). Importantly, since there is no shared hospital participation between the MIMIC and eICU datasets, the eICU-CRD dataset is completely independent of the MIMIC-IV dataset. To access the dataset, this research team completed the Collaborating Institutional Training Initiative (CITI) course and passed the āConflicts of Interestā and āData or Sample Researchā exams (ID: 66254112). Permission to extract data from both of the above data sets was granted. Meanwhile, the data from the First Affiliated Hospital of Xinjiang Medical University has passed the ethical review of the hospital.
Study population
This study included 769 patients diagnosed with SMI in the MIMIC-IV database between 2008 and 2019, a total of 721 patients diagnosed with SMI in the eICU-CRD database from 2014 to 2015 and 107 patients diagnosed with SMI in the First Affiliated Hospital of Xinjiang Medical University from January 2021 to October 2024 were included. The specific process is shown in Fig. 1.
Inclusion criteria: ā Patients diagnosed as sepsis according to sepsis 3.0 criteria, with infection and sequential organ failure assessment (SOFA) scores ā„ 2 and cTNT levels higher than the upper limit of normal reference value (cTNT > 0.01 ng/ml)25;26,27ā” Patients aged ā„ 18 years old; ⢠the length of ICU stay > 24 h; ⣠Complete echocardiography examination; There was no myocardial injury caused by other heart diseases. Exclusion criteria: ā Age of patients < 18 years old; ā” The length of hospital stay was less than 24 h. ⢠Important laboratory test results RDW, ALB, cTNT missing or other related covariates missing > 20%28.
Covariates
In this study, we employed structured Query language (SQL) and Navicat Premium software to retrieve data from MIMIC-IV 3.1 database and eICU-CRD database. Additionally, pertinent patient information was collected from inpatients at the First Affiliated Hospital of Xinjiang Medical University. The initial data retrieval encompassed baseline characteristics such as age, gender, and body weight. Subsequently, data were retrieved from the first 24 h of ICU admission, including laboratory test results, clinical outcomes, and comorbidity information. Specific laboratory parameters included neutrophil percentage, lymphocyte percentage; hematocrit, serum creatinine (Scr); red blood cell count (RBC), platelet count (PLT); partial pressure of carbon dioxide (PaCOā), arterial partial pressure of oxygen (PaOā); prothrombin time (PT), international normalized ratio (INR); total bilirubin (TBIL), blood urea nitrogen (BUN); creatine kinase (CK), creatine kinase-MB isoenzyme (CK-MB); alanine aminotransferase (ALT), aspartate aminotransferase (AST); serum glucose, cardiac troponin T (cTNT), and other relevant laboratory examination data. Information on glucocorticoid use was also documented. Comorbidities considered included hypertension, diabetes mellitus, chronic kidney disease, chronic lung disease, and liver disease. Sepsis-related severity scores, such as the systemic inflammatory response syndrome (SIRS) score, quick sequential organ failure assessment (qSOFA) score, acute physiology score III (APS III), and simplified acute physiology score II (SAPS II), were employed to evaluate the severity and prognosis of sepsis patients. Clinical management data, including vasopressor use, ventilator use, and renal replacement therapy (RRT), were also recorded. In addition, the patient data from the First Affiliated Hospital of Xinjiang Medical University were collected through the medical record system and incorporated into the first two databases as variables (approval number: K202501-02).
Statistical analysis
All statistical analyses were conducted using R software and Python. Two-sided p values less than 0.05 were deemed statistically significant. Normally distributed variables were presented as meanā±āstandard deviation (Xā±āS), and Studentās t-test was employed for between-group comparisons. Skewed distribution variables were presented as median (interquartile range) M(P25, P75), and the Mann-Whitney U test was used for between-group comparisons. Categorical variables were represented as count (%), and appropriate tests were used for between-group comparisons. Multiple imputation was performed using the āMiceā package for datasets with missing values of less than 20%, while data sets with missing values greater than 20% were excluded.
Patients were divided into Low and High groups based on the median of RAR, and the differences in various characteristics between the two groups in different databases were compared. Pearson correlation analysis was used to examine the correlation between RAR and SOFA and APS III scores to clarify the association between RAR and the severity of sepsis. The area under the receiver operating characteristic (ROC) curve (AUC) was used to evaluate the ability of RAR to predict short-term mortality (28-days mortality, in-hospital mortality, and ICU mortality). The cutoff values of RAR for predicting outcome events in different cohorts were determined, and indicators such as sensitivity, specificity, positive predictive value (PPV), negative predictive value (NPV), and Kappa value were calculated to assess the predictive performance. To evaluate the relationship between RAR and ICU, in-hospital, and 28-days all-cause mortality, we conducted regression analysis with RAR as both a continuous variable and a categorical variable (Low group and High group). Three groups of regression models were constructed. The original model only included RAR. Model 1 was adjusted for factors such as age, gender, and ethnicity. Model 2 was a regression model that further adjusted for multiple confounding factors (such as comorbidities and laboratory indicators) on the basis of Model 1. Using adjusted restricted cubic splines (RCS) with four knots (25%, 50%, 75%, 95%), we investigated whether there was a non-linear relationship between RAR and short-term all-cause mortality (28-days mortality, in-hospital mortality, and ICU mortality). Kaplan-Meier survival curves were plotted for patients in different RAR groups (Low and High groups) to show the differences in short-term survival between the high-RAR group and the low-RAR group. Combined with the Kaplan-Meier survival curve, the COX proportional-hazards regression model was used to calculate the hazard ratio (HR) and 95% confidence interval (CI) to evaluate the correlation between RAR and short-term death risk. Subgroup analyses were performed in different sub-populations (ageā<ā65 years vs. ā„65 years, male vs. female, different ethnicities, with or without multiple diseases) to assess the relationship between RAR and 28-days, in-hospital, and ICU mortality, and to determine whether there were significant interactions, so as to evaluate the stability of the predictive value of RAR in different subgroups.
Results
Basic characteristics of the study subjects
In this study, it was found that in the MIMIC-IV cohort, eICU-CRD cohort, and the cohort from the First Affiliated Hospital of Xinjiang Medical University, patients in the high RAR group had significantly higher in-hospital mortality, ICU mortality, and 28-day mortality compared with those in the low RAR group (pā<ā0.01). Data on short-term mortality in each cohort are detailed in Supplementary Table 2.
Table 1 shows that patients with high RAR were more likely to have CAD, hypertension, liver disease, and renal injury, and had higher SOFA scores and APS III scores. Additionally, significant statistical differences (pā<ā0.05) were observed in the levels of PaOā, WBC count, neutrophil count, lymphocyte count, RBC count, hematocrit, PLT count, serum albumin, bilirubin, blood glucose, ALT, and AST between the two groups. Table 2 indicates that patients with high RAR were more prone to the following conditions: increased body weight; chronic pulmonary disease; liver disease; requirement for vasopressors and steroids; elevated SOFA scores and APS III scores; increased body temperature; higher demand for PaOā; and elevated lymphocyte count, hematocrit, and RBC count.
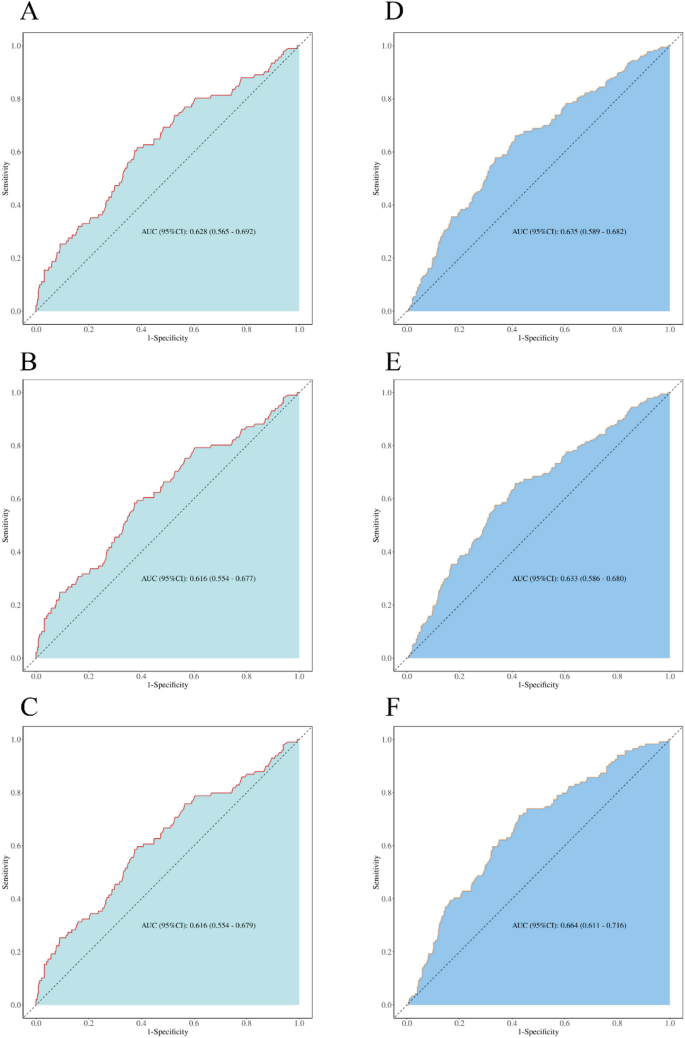
Predictive value of RAR for mortality in patients with SMI
This study evaluated the predictive performance of RAR for ICU, in-hospital, and 28-days all-cause mortality by ROC curve analysis (Fig. 2). Table 3 indicates that in the MIMIC-IV cohort, the AUC of RAR for 28-days mortality, in-hospital mortality, and ICU mortality was all close to 0.63, demonstrating a modest but statistically significant predictive ability. The corresponding cut-off values were 4.45, 4.485, and 4.485 respectively. For 28-days mortality, both the sensitivity and specificity were 0.615; for in-hospital mortality, the sensitivity was 0.584 and the specificity was 0.62; for ICU mortality, the sensitivity was 0.586 and the specificity was 0.62. The positive predictive values (PPV) were 0.177, 0.191, and 0.188 respectively, and the negative predictive values (NPV) were 0.923, 0.909, and 0.911 respectively. The Kappa values were 0.111, 0.112, and 0.111 respectively. In the eICU-CRD cohort, the AUC of the three mortalities was also close to 0.63, showing a comparable level of modest predictive performance.The cut-off value was 5.275. For 28-days mortality, the sensitivity was close to 0.66 and the specificity was close to 0.59; for in-hospital mortality, the sensitivity was close to 0.58 and the specificity was close to 0.62; for ICU mortality, the sensitivity was approximately 0.59 and the specificity was close to 0.62. The PPV for 28-days mortality in this cohort was 0.348, the NPV was 0.839, and the Kappa value was 0.191. For in-hospital mortality and ICU mortality, the PPVs were 0.354 and 0.249 respectively, and the NPVs were 0.834 and 0.91 respectively. The Kappa values were 0.192 and 0.164 respectively. Supplementary Fig. 1 shows that in the cohort of the First Affiliated Hospital of Xinjiang Medical University, the AUC of RAR for 28-day mortality, in-hospital mortality, and ICU mortality were 0.80, 0.82, and 0.81 respectively.
Meanwhile, we investigated the correlation between RAR and SOFA score and APS III score by the Pearson method. As shown in Fig. 3, in both cohorts, we observed a positive correlation between RAR and SOFA score and APS III score (pā<ā0.001).
Correlation analysis between RAR and short-term mortality risk in patients with SMI
As can be seen from the Kaplan - Meier survival curve (Fig. 4), patients in the high RAR group had a higher short - term mortality rate compared with those in the low RAR group. The risks of 28 - day mortality and in - hospital mortality increased in the cohorts of the two public databases, and the risk of ICU mortality increased in the eICU - CRD cohort.
The association between RAR and short-term mortality was assessed using multivariable Cox regression models across all three cohorts, namely the MIMIC-IV, eICU-CRD, and the First Affiliated Hospital of Xinjiang Medical University cohorts, and the results are summarized in Table 4. In the MIMIC-IV cohort, the high RAR group had a hazard ratio (HR) of 2.32 (95% CI: 1.23ā4.37) for 28-days mortality, 2.13 (95% CI: 1.04ā4.38) for ICU mortality, and 1.79 (95% CI: 0.97ā3.29) for in-hospital mortality. In the eICU-CRD cohort, the hazard ratio (HR) (95% CI) for 28-days mortality was 1.98 (1.39ā2.82); for ICU mortality, it was 2.14 (1.35ā3.38); and for in-hospital mortality, it was 1.96 (1.38ā2.78). The association between high RAR level and in-hospital mortality was not statistically significant in the MIMIC-IV cohort in the fully adjusted model (pā=ā0.06). However, consecutive RAR values were significantly associated with 28-days, in-hospital, and ICU mortality in both databases (pā<ā0.05).
Independent validation of the relationship between RAR and short-term mortality
As can be seen from the Kaplan - Meier survival curve, the cohort from the First Affiliated Hospital of Xinjiang Medical University was divided into the Low and High groups based on the cut - off value of 6.04 (Supplementary Fig. 2). The 28 - day mortality, in - hospital mortality, and ICU mortality of patients in the High group were all significantly higher than those in the Low group, with statistical significance (pā<ā0.05).
Meanwhile, in the cohort of the First Affiliated Hospital of Xinjiang Medical University, this study also verified the relationship between RAR and 28 - day mortality, in - hospital mortality, and ICU mortality using a multivariate Cox regression model. Table 4 shows the predictive performance of RAR values for 28 - day death, in - hospital death, and ICU death. For RAR (in the model adjusted for covariates), the hazard ratio (HR) (95% confidence interval [CI]) for 28 - day mortality was 2.70 (1.36ā5.38), the HR (95% CI) for ICU mortality was 1.39 (0.97ā1.98), and the HR (95% CI) for in - hospital mortality was 1.41 (1.02ā1.95). For the High group (in the model adjusted for covariates), the HR (95% CI) for 28 - day mortality was 29.22 (3.10ā275.85), the HR (95% CI) for ICU mortality was 10.31 (1.13ā94.20), and the HR (95% CI) for in - hospital mortality was 7.51 (1.41ā39.94), and the differences were statistically significant (pā<ā0.05).
Linear relationship between RAR and short-term all-cause mortality
To further investigate the association between RAR and short-term all-cause mortality, we used adjusted restricted cubic splines. As shown in Fig. 5, there was no linear relationship between RAR and short-term all-cause mortality (28-days, in-hospital, and ICU mortality) in both the MIMIC-IV cohort and the eICU-CRD cohort (p for non-linearityā<ā0.05) after adjusting for age, sex, body weight, and ethnicity.
Restricted cubic spline for the associations between the RAR value and short-term mortality. (A,D) The 28-days mortality rates (B) and (E) In- hospital mortality rates. (C) and (F) The ICU mortality rates. The solid lines represent the adjusted hazard ratios and 95% CI after multivariable adjustment in Model II. Histograms represent the distribution of the RAR value in the two cohorts.
Subgroup analysis
In addition, to further explore the correlation between the RAR index and in - hospital mortality, ICU mortality, and 28 - day mortality in different subgroups, this study conducted a stratified analysis based on factors such as age, gender, race, coronary artery disease (CAD), heart failure, atrial fibrillation, hypertension, diabetes, chronic kidney disease, chronic pulmonary disease, and liver disease. In the MIMIC - IV cohort and the eICU - CRD cohort, except for the missing data on liver disease in the eICU - CRD cohort, the relationship between the RAR value and 28 - day all - cause mortality, in - hospital mortality, and ICU mortality remained stable and consistent across all subgroups, and there were no significant interactions between the studied factors and each subgroup. (Fig. 6)
Discussion
This study aimed to explore the prognostic value of RAR in patients with SMI. Through a retrospective analysis of data from two large databases, MIMIC - IV and eICU - CRD, as well as patient information from the First Affiliated Hospital of Xinjiang Medical University, our study showed that the RAR value was closely related to the short - term mortality of patients and exhibited good stability and consistency in different subgroups. Restricted cubic spline analysis further revealed that as RAR increased, the short - term risk of death increased nonlinearly, suggesting that RAR has a high potential to be an effective biomarker for identifying patients with SMI at high risk of death in clinical practice.
Previously, numerous studies have confirmed that RAR is associated with adverse outcomes in a variety of diseases. A predictive study of RAR and the risk of cardiorenal syndrome type I in patients with acute myocardial infarction showed that RAR is an independent risk factor for cardiorenal syndrome type I29. Another prognostic study of RAR in nonischemic heart failure found that for every log2 increase in RAR, the risk of all-cause death or heart transplantation increased by 132.9%. High levels of RAR were independent risk factors for poor outcomes in nonischemic heart failure30. RAR level is an independent prognostic factor for the risk of death in the American sarcopenic obese population31. At the same time, some studies have shown that RAR level has a reliable predictive value for the risk of rehospitalization and all-cause death in patients with sepsis. In female patients aged < 65 years old, it is essential to monitor RAR for at least 1 year after surviving sepsis32. The results of this study are consistent with the previous research findings on the association between RAR and poor prognosis in other diseases, highlighting the important role of RAR in disease prognosis assessment. Collectively, while these studies underscore the broad utility of RAR, our study provides the first multicenter evidence specifically establishing its role as an independent prognostic marker in patients with septic myocardial injury (SMI). This positions RAR not just as a general marker of critical illness, but as a specific risk indicator in this high-mortality phenotype.
In different datasets of this study, the ability of RAR to predict short-term mortality in patients with SMI was variable. Analysis of the two public databases revealed consistently modest predictive power for RAR, with AUC values around 0.63 for all short-term mortality outcomesIn contrast, the predictive power of RAR was substantially stronger in the cohort from the First Affiliated Hospital of Xinjiang Medical University, with AUCs of 0.80, 0.82, and 0.81 for 28-day mortality, in-hospital mortality, and ICU mortality, respectively. These results indicate that while RAR demonstrates a modest predictive ability for short-term mortality in heterogeneous ICU populations, its performance is notably enhanced in more homogeneous clinical settings.The Kaplan-Meier survival curves showed that the short-term mortality rates of patients in the high RAR group were significantly higher than those in the low RAR group in all three cohorts, clearly demonstrating the survival differences of patients with different RAR levels over time and providing intuitive evidence for the association between RAR and short-term death risk. After constructing a COX regression model and adjusting for multiple confounding factors, it was found that there was an independent association between RAR values and short-term mortality. In the MIMIC-IV cohort, the HRs for 28-day mortality, ICU mortality, and in-hospital mortality were 1.27, 1.48, and 1.35 respectively; in the eICU-CRD cohort, the corresponding HRs were 1.10, 1.09, and 1.10. In the cohort of the First Affiliated Hospital of Xinjiang Medical University, the HRs for 28-day mortality, ICU mortality, and in-hospital mortality were 2.70, 1.39, and 1.41 respectively. The risk of death further increased in the high RAR groups in each cohort.The prognostic value of RAR was demonstrated by its consistent and largely independent association with increased short-term mortality across all three cohorts. Although its discriminative power was modest in the public databases and the association with in-hospital mortality was not significant in the MIMIC-IV cohort, the overall robustness of this relationship solidly positions RAR as a reliable marker for risk stratification in patients with SMI. It is worth noting that the RCS curve indicates that there is no linear relationship between RAR and mortality. From the overall trend, the three outcomes of in-hospital death, ICU death, and 28-day death in the two databases all showed a certain positive correlation trend with the changes of factors related to the severity of patientsā conditions.
In terms of the biological mechanism, the relationship between RAR and the risk of death is not clear. However, it may be related to chronic inflammation and nutritional status, which have been shown to play a key role33,34 in mortality and the development of various chronic diseases. Specifically, the inflammatory response plays a key role in changes in the RAR value, which may trigger a series of physiological changes. Under an inflammatory state, the body releases a variety of inflammatory factors, such as tumor necrosis factor-α (TNF-α)35, interleukin-6 (IL-6)36 and so on. These inflammatory factors can affect the production and metabolism of red blood cells through a variety of ways, leading to the increase37 of RDW. TNF-α can inhibit renal production of erythropoietin (EPO), a key hormone that promotes erythropoiesis, and reduced secretion of EPO can lead to insufficient38 erythropoiesis. These inflammatory factors also inhibit the synthesis of albumin by the liver and promote its catabolism, which results in lower serum albumin levels39. I Due to this dual effect of inflammation on red blood cells and albumin, RAR increases. This change in RAR is not merely a simple alteration in the values of the two indicators but also reflects the overall state of inflammation and nutritional imbalance in the body. An elevated RAR value often predicts a worse prognosis for patients because it reflects the severity of erythropoietic and metabolic disorders and the imbalance of liver protein synthesis and metabolism under the continuous action of chronic inflammation40. This imbalance will further affect cardiac function recovery, immune regulation, and other aspects, ultimately increasing the risk of mortality.
The advantages of this study are that it adopts a retrospective cohort study design, uses two large independent databases along with the dataset from the First Affiliated Hospital of Xinjiang Medical University, and has a large sample size, which enhances the reliability and representativeness of the results. Confounding factors were fully considered in the analysis process, and the results were adjusted by constructing a model to make them more scientifically robust. However, the limitations of the study cannot be ignored. Due to the nature of this retrospective study, selection bias may exist, which could cause an unbalanced distribution of included patients, thereby affecting the accuracy of the results. Specifically, the complete-case analysis applied to key variables, while necessary to ensure data integrity, may have introduced additional selection bias if the missingness of these values was not random.Despite efforts to collect data, there may still be unmeasured variables interfering with the relationship between RAR and mortality. Moreover, this study was based on data from only two databases and one hospital, limiting the diversity of sample sources. In the future, studies with more centers and larger sample sizes are needed to further verify the prognostic value of RAR in patients with SMI and to explore its application in clinical practice.
In conclusion, this study shows that RAR has predictive value for short-term mortality in patients with SMI and may affect prognosis by reflecting inflammation and nutritional status. The risk of death increases proportionally with the increase in RAR. Our study suggests that RAR can be used as a predictor of mortality in patients with SMI, which is helpful for risk stratification and prognosis prediction.
Data availability
The data that support the findings of this study are available from the corresponding author upon reasonable request.
Change history
24 January 2026
The original online version of this Article was revised: In this article the Funding information section was incomplete and should have read ' This paper is funded by the Youth Scientific Research Launch Special Fund Project of The First Affiliated Hospital of Xinjiang Medical University (No. 2022YFY-QKQN-19) and the Tianshan Talent Training Program of Xinjiang Uygur Autonomous Region (No. 2022TSYCLJ0067). ' The original article has been corrected.
References
Rudd, K. E. et al. Global, regional, and National sepsis incidence and mortality, 1990ā2017: analysis for the global burden of disease study. Lancet 395 (10219), 200ā211 (2020).
Kakihana, Y., Ito, T., Nakahara, M., Yamaguchi, K. & Yasuda, T. Sepsis-induced myocardial dysfunction: pathophysiology and management. J. Intensive Care. 4, 22 (2016).
Liu, A. B., Li, S. J., Yu, Y. Y., Zhang, J. F. & Ma, L. Current insight on the mechanisms of programmed cell death in sepsis-induced myocardial dysfunction. Front. Cell. Dev. Biol. 11, 1309719 (2023).
Fleischmann-Struzek, C. et al. Incidence and mortality of hospital- and ICU-treated sepsis: results from an updated and expanded systematic review and meta-analysis. Intensive Care Med. 46 (8), 1552ā1562 (2020).
Hollenberg, S. M. & Singer, M. Pathophysiology of sepsis-induced cardiomyopathy. Nat. Rev. Cardiol. 18 (6), 424ā434 (2021).
Bi, C. F., Liu, J., Yang, L. S. & Zhang, J. F. Research progress on the mechanism of sepsis induced myocardial injury. J. Inflamm. Res. 15, 4275ā4290 (2022).
Zheng, P. et al. Cardiac troponin as a prognosticator of mortality in patients with sepsis: A systematic review and meta-analysis. Immun. Inflamm. Dis. 11 (9), e1014 (2023).
Lv, X. & Wang, H. Pathophysiology of sepsis-induced myocardial dysfunction. Mil Med. Res. 3, 30 (2016).
LāHeureux, M., Sternberg, M., Brath, L., Turlington, J. & Kashiouris, M. G. Sepsis-Induced cardiomyopathy: a comprehensive review. Curr. Cardiol. Rep. 22 (5), 35 (2020).
Shen, X. D. et al. Progress in the clinical assessment and treatment of myocardial depression in critically ill patient with sepsis. J. Inflamm. Res. 15, 5483ā5490 (2022).
Sun, P. F. et al. Development and validation of a nomogram to predict risk of septic cardiomyopathy in the intensive care unit. Sci. Rep. 14 (1), 14114 (2024).
Wu, Y. C., Chen, H. H. & Chao, W. C. Association between red blood cell distribution width and 30-day mortality in critically ill septic patients: a propensity score-matched study. J. Intensive Care. 12 (1), 34 (2024).
Salvagno, G. L., Sanchis-Gomar, F., Picanza, A. & Lippi, G. Red blood cell distribution width: A simple parameter with multiple clinical applications. Crit. Rev. Clin. Lab. Sci. 52 (2), 86ā105 (2015).
Sheinenzon, A., Shehadeh, M., Michelis, R., Shaoul, E. & Ronen, O. Serum albumin levels and inflammation. Int. J. Biol. Macromol. 184, 857ā862 (2021).
Fanali, G. et al. Human serum albumin: from bench to bedside. Mol. Aspects Med. 33 (3), 209ā290 (2012).
Wiedermann, C. J. Controversies surrounding albumin use in sepsis: lessons from cirrhosis. Int. J. Mol. Sci. 24(24). (2023).
Caironi, P., Langer, T. & Gattinoni, L. Albumin in critically ill patients: the ideal colloid? Curr. Opin. Crit. Care. 21 (4), 302ā308 (2015).
Hao, M. et al. Ratio of red blood cell distribution width to albumin level and risk of mortality. JAMA Netw. Open. 7 (5), e2413213 (2024).
Qi, X. et al. The associations between dietary fibers intake and systemic immune and inflammatory biomarkers, a multi-cycle study of NHANES 2015ā2020. Front. Nutr. 10, 1216445 (2023).
Liu, J. et al. Red blood cell distribution width to albumin ratio associates with prevalence and long-term diabetes mellitus prognosis: an overview of NHANES 1999ā2020 data. Front. Endocrinol. (Lausanne). 15, 1362077 (2024).
Xu, W. et al. Association between red blood cell distribution width to albumin ratio and prognosis of patients with sepsis: A retrospective cohort study. Front. Nutr. 9, 1019502 (2022).
Chen, S. et al. Prognostic value of red blood cell distribution width-to-albumin ratio in ICU patients with coronary heart disease and diabetes mellitus. Front. Endocrinol. (Lausanne). 15, 1359345 (2024).
Acehan, F. et al. The red cell distribution width-to-albumin ratio: A simple index has high predictive accuracy for clinical outcomes in patients with acute pancreatitis. Pancreatology 24 (2), 232ā240 (2024).
Johnson, A. E. W. et al. MIMIC-IV, a freely accessible electronic health record dataset. Sci. Data. 10 (1), 1 (2023).
ęē ęęč, ęę”äŗ, å Øé¦č±, å¼ ę°č¶ . ęäŗŗčęÆēēøå ³åæčę伤å(ę)åæåč½éē¢: ę„čÆäøå®¶å ±čÆ. äøå½ę„ęå»å¦ 45 (09), 737ā747 (2025).
Cavaillon, J. M. & ChrĆ©tien, F. From septicemia to sepsis 3.0-from Ignaz Semmelweis to Louis Pasteur. Genes Immun. 20 (5), 371ā382 (2019).
Chen, S. et al. The lactate to albumin ratio linked to all-cause mortality in critically ill patients with septic myocardial injury. Front. Cardiovasc. Med. 10, 1233147 (2023).
Jakobsen, J. C., Gluud, C., Wetterslev, J. & Winkel, P. When and how should multiple imputation be used for handling missing data in randomised clinical trials - a practical guide with flowcharts. BMC Med. Res. Methodol. 17 (1), 162 (2017).
Ruan, L. et al. Red blood cell distribution width to albumin ratio for predicting type I cardiorenal syndrome in patients with acute myocardial infarction: A retrospective cohort study. J. Inflamm. Res. 17, 3771ā3784 (2024).
Zhou, P. et al. Association between red blood cell distribution width-to-albumin ratio and prognosis in non-ischaemic heart failure. ESC Heart Fail. 11 (2), 1110ā1120 (2024).
Ma, X. B. et al. Ratio of red blood cell distribution width to albumin level and risk of mortality in sarcopenic obesity. Sci. Rep. 14 (1), 27886 (2024).
Tan, Y. et al. The ratio of red blood cell distribution width to albumin as a predictor for rehospitalization risk and rehospitalization All-Cause mortality in Middle-Aged and elderly survivors with sepsis: an ambispective ICU cohort study. J. Inflamm. Res. 17, 1227ā1240 (2024).
Sha, S., Gwenzi, T., Chen, L. J., Brenner, H. & Schƶttker, B. About the associations of vitamin D deficiency and biomarkers of systemic inflammatory response with all-cause and cause-specific mortality in a general population sample of almost 400,000 UK biobank participants. Eur. J. Epidemiol. 38 (9), 957ā971 (2023).
Jayanama, K., Theou, O., Blodgett, J. M., Cahill, L. & Rockwood, K. Frailty, nutrition-related parameters, and mortality across the adult age spectrum. BMC Med. 16 (1), 188 (2018).
Idriss, H. T. & Naismith, J. H. TNF alpha and the TNF receptor superfamily: structure-function relationship(s). Microsc Res. Tech. 50 (3), 184ā195 (2000).
Moreno-Torres, V. et al. Red blood cell distribution width as a marker of hyperinflammation and mortality in COVID-19. Ann. Palliat. Med. 11 (8), 2609ā2621 (2022).
Xing, B. & Liu, P. Effects of staged rehabilitation training on inflammatory factor levels and red blood cell distribution width followingcardiac valve replacement. BMC Cardiovasc. Disord. 24 (1), 153 (2024).
Graham, J. M., Ayati, B. P., Ding, L., Ramakrishnan, P. S. & Martin, J. A. Reaction-diffusion-delay model for EPO/TNF-α interaction in articular cartilage lesion abatement. Biol. Direct. 7, 9 (2012).
Artigas, A., Wernerman, J., Arroyo, V., Vincent, J. L. & Levy, M. Role of albumin in diseases associated with severe systemic inflammation: pathophysiologic and clinical evidence in sepsis and in decompensated cirrhosis. J. Crit. Care. 33, 62ā70 (2016).
Guo, H., Wang, Y., Miao, Y. & Lin, Q. Red cell distribution width/albumin ratio as a marker for metabolic syndrome: findings from a cross-sectional study. BMC Endocr. Disord. 24 (1), 227 (2024).
Acknowledgements
We appreciate the support of the First Affiliated Hospital of Xinjiang Medical University for our work.
Funding
This paper is funded by the Youth Scientific Research Launch Special Fund Project of The First Affiliated Hospital of Xinjiang Medical University (No. 2022YFY-QKQN-19) and the Tianshan Talent Training Program of Xinjiang Uygur Autonomous Region (No. 2022TSYCLJ0067).
Author information
Authors and Affiliations
Contributions
First author: Lina Chen conducted the data analysis, utilized the software, and wrote the first draft. Xinmiao Huang revised the article and collected the data. Corresponding author: Yitong Ma contributed to project management. All authors have read and approved the final manuscript.
Corresponding author
Ethics declarations
Competing interests
The authors declare no competing interests.
Additional information
Publisherās note
Springer Nature remains neutral with regard to jurisdictional claims in published maps and institutional affiliations.
Supplementary Information
Below is the link to the electronic supplementary material.
Rights and permissions
Open Access This article is licensed under a Creative Commons Attribution-NonCommercial-NoDerivatives 4.0 International License, which permits any non-commercial use, sharing, distribution and reproduction in any medium or format, as long as you give appropriate credit to the original author(s) and the source, provide a link to the Creative Commons licence, and indicate if you modified the licensed material. You do not have permission under this licence to share adapted material derived from this article or parts of it. The images or other third party material in this article are included in the articleās Creative Commons licence, unless indicated otherwise in a credit line to the material. If material is not included in the articleās Creative Commons licence and your intended use is not permitted by statutory regulation or exceeds the permitted use, you will need to obtain permission directly from the copyright holder. To view a copy of this licence, visit http://creativecommons.org/licenses/by-nc-nd/4.0/.
About this article
Cite this article
Chen, L., Huang, X. & Ma, Y. Association between red cell distribution width to albumin ratio and short-term mortality in patients with septic myocardial injury: a multicenter analysis. Sci Rep 15, 45096 (2025). https://doi.org/10.1038/s41598-025-32791-4
Received:
Accepted:
Published:
Version of record:
DOI: https://doi.org/10.1038/s41598-025-32791-4





