Abstract
Exercise may promote neuroprotection in multiple sclerosis (MS), but the relationships between exercise-induced brain changes, myokine release, and functional improvements are not fully understood. This pilot randomized controlled trial examined the effects of a 12-week progressive resistance training (PRT) program on brain structure, serum irisin levels, and functional performance, measured with the MS functional composite (MSFC), (PRT: *N*=11; control: *N*=10). The PRT group demonstrated increased serum irisin and enhanced motor and cognitive function, including faster walking speed, improved manual dexterity, and better processing speed. Neuroimaging revealed volumetric increases in gray matter, cerebellum, hippocampus, temporal lobe, and caudate nucleus following PRT. Compared to controls, the exercise group showed greater improvements in irisin levels, mobility, and regional brain volumes, particularly in gray matter, cerebellum, and temporal and hippocampal regions. Correlations were observed between cerebellar and frontal lobe volume changes and cognitive gains, while occipital lobe expansion was linked to fine motor improvements. However, no direct association was found between irisin elevation and brain structural changes. These results suggest that PRT induces concurrent neuroplastic adaptations and functional benefits in MS, though the role of irisin may involve mechanisms beyond volumetric effects. Resistance training represents a viable non-pharmacological strategy to support brain health and functional outcomes in MS.
Introduction
Multiple sclerosis (MS) is a progressive neurodegenerative disease characterized by white matter degeneration and grey matter atrophy1. However, exercise-based interventions have been shown to trigger neuroplasticity, offering potential for structural remodeling within the central nervous system2,3,4. Since there is no definitive cure for MS—a disease often diagnosed in early adulthood—patients require lifelong treatment to manage its detrimental impact on motor and cognitive functions5,6. While pharmacological therapies are widely used in long-term MS management, their accessibility may be limited by high costs, and their effectiveness can vary due to factors such as individual differences in disease phenotype, treatment response variability, adherence challenges, and potential adverse effects7,8. Consequently, growing scientific interest focuses on how lifestyle factors like physical activity modulate structural neuroplasticity, offering a complementary path to symptom management through understood molecular mechanisms9,10. A critical gap in the literature is the limited number of rigorous, multimodal studies that directly link exercise-induced brain structural changes with functional improvements and circulating biomarkers in people with MS. Establishing these links is important for three reasons: (1) demonstrating that structural neuroplasticity underlies measurable gains in mobility and cognition would strengthen the biological plausibility of exercise as a disease-modifying adjunct; (2) identifying peripheral mediators (such as myokines) that correlate with brain changes could provide accessible biomarkers for monitoring and tailoring exercise prescriptions; and (3) understanding which brain regions respond to specific exercise modalities would inform targeted rehabilitation strategies to preserve function and slow disability progression.
The relationship between exercise-induced structural brain changes and subsequent symptom improvement in MS remains poorly understood.Indeed, although magnetic resonance imaging (MRI) is a widely used and established neuroimaging modality, its application to assess exercise-related neurological effects—defined as exercise-induced changes in brain structure, neural connectivity, structural neuroplasticity mechanisms, and neurotrophic or neurochemical pathways remains notably underrepresented in MS research11,12. Existing evidence suggests that exercise can positively affect grey matter volume—which is often subject to MS-specific brain atrophy—and vulnerable regions such as the hippocampus2,3,9,13. For instance, a 24-week supervised resistance training intervention was shown to significantly increase cortical thickness and gray matter volume in patients with relapsing-remitting MS (RRMS)9. A 16-week progressive resistance training (PRT) program was associated with a trend towards preserved cortical gray matter volume in progressive MS, suggesting potential delayed neuroprotective effects of the intervention15. Some studies have shown that higher levels of cardiovascular fitness are positively associated with greater thalamic, basal ganglia, and hippocampal volumes, suggesting that aerobic fitness may help preserve deep gray matter structures particularly susceptible to MS-related neurodegeneration16,17. PRT may increase cortical thickness in MS patients9. The mediating mechanisms underlying exercise-induced volumetric changes remain incompletely understood, with the hormone irisin emerging as a potential biological mediator19.
Exercise can exert significant neuroprotective effects not only in the peripheral system but also within the central nervous system through myokines such as irisin, which is released from skeletal muscles and is suggested to cross the blood–brain barrier19,20. Irisin, cleaved from fibronectin type III domain-containing protein 5 (FNDC5), enters the circulation and acts systemically while also reaching brain tissue, where it modulates various neurobiological pathways. In the brain, irisin has been shown to support synaptic plasticity, enhance neuronal survival, stimulate adult neurogenesis, and activate anti-inflammatory signaling cascades m 19–22. Moreover, evidence indicates that the extent of irisin release varies with exercise modality. Specifically, aerobic training, PRT, and high-intensity interval training can significantly elevate irisin levels, thereby enhancing this myokine’s central effects21,22,23. These effects are partly explained by irisin’s ability to upregulate brain-derived neurotrophic factor (BDNF) expression in regions such as the hippocampus, frontal cortex, and cerebellum19,20. Elevated irisin levels have also been linked to improvements in cognitive performance and reduced age-related brain atrophy20,24. Accordingly, exercise-induced increases in irisin are now recognized as a plausible biological mediator of the neuroprotective impact of physical activity on brain structure.
Recent studies increasingly support the idea that changes in functional performance may reflect not only clinical improvement but also underlying structural brain changes13,25,26,27. Functional tests linked to grey matter regions commonly affected in MS therefore serve as indirect indicators of exercise-related structural neuroplasticity. The Timed 25-Foot Walk Test (T25-FW) is associated with cerebellar and motor cortex volume, while the 9-Hole Peg Test (9-HPT) relates to cortical thickness in the corticospinal tract, basal ganglia, and occipital cortex—regions essential for motor planning and visuomotor coordination26,27. The Paced Auditory Serial Addition Test (PASAT-3) serves as a sensitive marker of neurocognitive function, reflecting not only processing speed but also its relation to the frontal lobe, limbic regions, and overall cerebral grey matter volume13,25,26. Together, these assessments provide compelling evidence for exercise-induced functional and morphological brain plasticity in people with MS. Exercise intervention studies in MS have typically focused on single-dimensional outcomes, and there is a lack of comprehensive evidence simultaneously examining brain volume, biomarker levels, and functional clinical measures4,9,18,21. In particular, studies that evaluate brain volumetric data together with serum irisin levels and functional clinical tests in an integrated design remain rare. Our pilot randomized controlled design directly addresses this gap by integrating these measures to provide a comprehensive view of exercise-induced structural neuroplasticity in RRMS. We aimed to systematically investigate the effects of a PRT program on brain volume, serum irisin concentrations, and functional outcomes in individuals with MS, and to explore potential relationships among these variables. We hypothesized that a 12-week PRT program would induce significant increases in regional brain volumes and serum irisin, which would in turn be associated with functional improvements in mobility, dexterity, and cognition.
Methods
Participants
We screened 58 patients with confirmed RRMS according to the revised McDonald criteria28 at the Neurology Clinic of Fırat University Hospital. As this study was designed as a pilot randomized controlled trial, the sample size was determined based on comparable MRI-based exercise intervention studies, with consideration of institutional resources and MRI accessibility14,29,30. The sample size for this pilot randomized controlled trial was determined using the method proposed by Cocks and Torgerson for pilot studies31. A future definitive main trial was estimated to require 105 participants per group (total N = 210), based on a two-tailed test with an alpha of 0.05, power of 0.95, and a medium effect size (d = 0.50). In accordance with recommendations, the sample size for this pilot study was set at 9% of the main trial’s sample, resulting in 19 participants. To account for potential attrition, the sample size was increased by 10%, leading to a final target of 21 participants. Following eligibility assessment, 28 participants were enrolled in the study. The study was conducted in accordance with the Declaration of Helsinki and received approval from the Local Ethics Committee (Protocol No: 2024/13–37, Date: 10.10.2024). This clinical trial was registered at ClinicalTrials.gov (Number: NCT07101653, Date: 21/07/2025). All participants provided written informed consent before participation.
Inclusion criteria comprised: (1) definitive RRMS diagnosis per McDonald criteria, (2) age range 19–65 years, (3) Expanded Disability Status Scale (EDSS) scores ranging from 1.0 to 5.5, and (4) no steroid treatment within the preceding 3 months. Exclusion criteria included: (1) acute MS relapse within the last 3 months, (2) current engagement in regular physical activity (> 3 h/week), (3) orthopedic, cardiopulmonary, or systemic conditions that could interfere with exercise participation, (4) any contraindications for MRI scanning, (5) presence of other neurological comorbidities, (6) initiation of immunomodulatory therapy within the past 6 months, and (7) severe spasticity (Modified Ashworth Scale score ≥ 3).
Participants were informed of their right to withdraw from the study at any time without consequence. Control group members were instructed to notify investigators if they initiated any exercise regimen during the study period, which would lead to their exclusion. All control participants were offered the exercise intervention upon study completion, with 7 ultimately participating. Three participants were excluded from the exercise group: one experienced a relapse at week 4, one failed to comply with time commitments, and one sustained an orthopedic injury. Four control participants were excluded: one initiated exercise therapy, one began immunomodulatory treatment, and two failed to complete final assessments (Fig. 1).
Study design
This single-blind, pilot randomized controlled trial employed a two-arm parallel design (exercise group vs. control group) with a 12-week intervention period. We implemented sex-stratified randomization using SPSS 25.0 (IBM Corporation, Armonk, NY, USA) to ensure balanced group allocation. All outcome measures were assessed at baseline and post-intervention.
The exercise intervention consisted of supervised PRT sessions conducted three times weekly (minimum 48-hour rest between sessions) at Firat University Hospital. Control participants maintained their usual daily activities without engaging in structured exercise programs.
A blinded neurologist performed all clinical assessments to eliminate measurement bias. To control for circadian variations, we scheduled all evaluations at consistent times of day for each participant. Environmental conditions were strictly maintained during testing sessions (ambient temperature: 21–22 °C; humidity: 55–60%). To ensure this tight scheduling and prevent delays, all assessment sessions (including MRI, blood work, and functional testing) were meticulously planned and coordinated with each participant well in advance. Consequently, we can confirm that there were no significant delays in the scheduling or collection of any data for participants who completed the study.
This study was designed and reported in accordance with CONSORT guidelines for randomized trials, incorporating all essential elements for transparent randomized controlled reporting including allocation concealment, blinding procedures, and intention-to-treat principles (Fig. 1).
Data collection
Serum irisin hormone measurement
Blood samples were collected in the morning following the overnight (12 h) fasting before and after the study from all patients. Blood samples were centrifuged at 4000 × g for 5 min to obtain the serum samples. Serum samples were stored at − 80 °C until they were assayed with enzyme-linked immunosorbent assay (ELISA) analysis. Serum level was assayed using commercial irisin human ELISA kits (Aviscera Bioscience [Santa Clara, CA, USA]). The sensitivity of the ELISA kit was 75–100 pg/ml for irisin. The intra-assay and inter-assay coefficient of variation for the parameter were 4–6 and 8.0–10.0%, respectively.
MRI acquisition and volumetric analysis
High-resolution anatomical imaging for volumetric analysis was performed prospectively for all study participants at the Fırat University Hospital Radiology Department using a 3T scanner (Philips Medical Systems, Netherlands). All scans were conducted by certified radiographers. T1-weighted 3D Magnetization Prepared Rapid Gradient Echo (MPRAGE) sequences were acquired using a standardized protocol optimized for high-contrast gray/white matter segmentation with the following parameters: repetition time = 1900 ms; echo time = 2.67 ms; flip angle = 15°; field of view = 256 mm²; matrix = 256 × 256; slice thickness = 1 mm with 160 slices; and isotropic spatial resolution = 1 × 1 × 1 mm³32,33. All participants underwent MRI scanning at the beginning of the study (baseline, within one week prior to the study) and after the 12-week study period (final assessment, within one week following the period), as outlined in Fig. 1. All volumetric measurements are reported in cm³.
Volumetric brain analysis was conducted using VolBrain (https://volbrain.net/), an open-access automated segmentation platform for brain MRI. The processed T1-weighted MPRAGE images were first converted into a compressed NIfTI format (.gz) using ‘mricron’ and a DICOM viewer, beginning with the DICOMDIR directory. The .gz files were then uploaded to the VolBrain interface for segmentation and volumetric quantification. The volumetric processing, which typically required 5–10 min per subject, generated standardized portable document format reports containing regional brain volume data34.
For the present study, the AssemblyNet segmentation pipeline was selected. AssemblyNet is a robust ensemble of convolutional neural networks developed for 3D whole-brain segmentation. Volumetric measures were extracted for both global and regional brain structures. These included white matter, grey matter, Cerebellum white matter, and Cerebellum grey matter. Additionally, subcortical nuclei (Amygdala, Caudate, Hippocampus, Pallidum, Putamen, and Thalamus), limbic cortex and cortical lobes (Frontal, Temporal, Parietal, and Occipital) were quantified (Fig. 2)33.
Volumetric data were additionally cross-validated using the MRICloud platform, developed by Johns Hopkins University, which incorporates advanced brain parcellation techniques to enhance the methodological rigor of volumetric analyses35. This dual-software approach provided comprehensive and reliable brain morphometry metrics for subsequent statistical evaluations. An experienced anatomist, who had received formal training in the application of this software, conducted all measurements33,34,36,37.
Multiple sclerosis functional composite
Functional performance was assessed using the Multiple Sclerosis Functional Composite (MSFC), a standardized and validated three-part quantitative tool that serves as a primary outcome measure in MS clinical studies. The MSFC provides a multidimensional assessment by evaluating lower limb function (ambulation), upper limb function (manual dexterity), and cognitive function (processing speed). The composite score is derived from the normalized results of its three components, but for the purpose of this study, we present and analyze the results of each subtest individually to better understand domain-specific effects of the intervention38.
The T25-FW provides a quantitative measure of lower extremity function. Participants are instructed to start at one end of a marked 25-foot (7.62 m) path and walk the distance as quickly and safely as possible. They then repeat the task immediately by walking back the same distance. Assistive devices are permitted if needed, and the time limit for each attempt is three minutes38.
The 9-HPT quantitatively assesses upper extremity performance, focusing on hand and arm dexterity. Both the dominant and non-dominant hands are tested in two consecutive trials each, starting with the dominant hand. The total time allowed for each hand is five minutes38.
The PASAT-3 evaluates cognitive function, specifically auditory information processing speed and working memory. The test is delivered using an audio recording to standardize stimulus presentation. Single digits are played at three-second intervals, and participants must add each new number to the one immediately before it. The total score is the number of correct sums out of 60 possible38.
The training program
Based on current recommendations for individuals with MS, the PRT program lasted 12 weeks and included three sessions per week, each lasting 60–90 min at 60–80% of one-repetition maximum39. The training sessions were conducted three times per week over the 12-week period and were supervised by a qualified physiotherapist.
The protocol consisted of a warm-up phase followed by six resistance exercises: three for the lower limbs (squat, lateral lunges, and calf plus leg flexion) and three for the upper limbs (biceps curl plus arm extension, and triceps push). The training began with a 5-minute warm-up on a cycle ergometer, followed by the main PRT exercises. Intensity was set at 60–80% of one-repetition maximum for each participant. The load, repetitions, sets, and rest intervals were adjusted progressively over time40,41 (Table S1). The session concluded with stretching exercises and breathing techniques targeting major muscle groups.
Statistical analyses
All statistical analyses were performed using SPSS version 25.0 (IBM Corp., Armonk, NY, USA). Descriptive statistics were presented as mean ± standard deviation (SD) for continuous variables and as median (interquartile range) for ordinal data (e.g., EDSS scores). Formal assessment of data normality using the Shapiro-Wilk test, supplemented by an evaluation of skewness and kurtosis, confirmed a non-normal distribution. Therefore, all subsequent analyses were conducted using non-parametric tests. Independent-samples Mann-Whitney U tests were used for all between-group comparisons of change scores due to the non-normal distribution of the data, as confirmed by Shapiro-Wilk tests (all p < 0.05). Correlation analyses were conducted using Spearman’s rank correlation coefficient (ρ). The strength of correlations was interpreted as follows: 0.00-0.20 negligible, 0.21–0.40 weak, 0.41–0.60 moderate, and > 0.61 strong42. Confidence intervals were not calculated for correlation coefficients, and no correction for multiple comparisons was applied, consistent with the exploratory nature of these analyses in our pilot study. A p-value of < 0.05 was considered statistically significant for all analyses. No missing data were encountered in the final dataset. The assumption of normality was formally assessed using the Shapiro-Wilk test, in addition to the evaluation of skewness and kurtosis. Potential outliers were inspected visually using boxplots; no data points were excluded as they were considered biologically plausible.
Results
The demographic and clinical characteristics of the 21 participants (exercise group: N = 11; control group: N = 10) are presented in Table 1. No statistically significant differences of demographic and clinical characteristics were observed between the groups in terms of demographic and clinical characteristics.
Within-group changes revealed significant improvements in the exercise group, including increased irisin levels (p = 0.016), faster T25-FW performance (p = 0.021), improved 9-HPT scores (p = 0.008), and enhanced PASAT-3 performance (p = 0.032). Significant volumetric increases were observed in grey matter (p = 0.033), cerebellum (p = 0.013), temporal lobe (p = 0.008), hippocampus (p = 0.041), and caudate nucleus (p = 0.013) in the exercise group. The control group showed only improvement in 9-HPT scores (p = 0.022) with no other significant changes (Table 2).
Volumetric measures obtained from MRICloud were consistent with those derived from VolBrain, and no differences affecting the statistical results were observed.
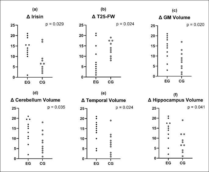
The between-group analysis of change scores (Δ) showed statistically significant differences favoring the exercise group over the control group for the following measures: serum irisin levels (p = 0.029; Fig. 3a), walking speed on the T25-FW (p = 0.024; Fig. 3b), gray matter volume (p = 0.020; Fig. 3c), total cerebellar volume (p = 0.035; Fig. 3d), temporal lobe volume (p = 0.024; Fig. 3e) and hippocampus (p = 0.041; Fig. 3f) (Table 2). In contrast, the between-group comparison of change scores for cerebellar white matter volume was not significant (p = 0.438), despite a significant within-group increase in the exercise group (p = 0.003). No other statistically significant between-group differences were observed for the remaining measures, including the 9-HPT, PASAT-3, and most subcortical structures (Table 2).
Between-group differences in changes of serum irisin, functional performance, and brain volumes. Rank plots illustrate significant differences (p < 0.05) between the exercise group (EG) and control group (CG) in (a) serum irisin levels, (b) Timed 25-Foot Walk Test (T25-FW), (c) gray matter (GM) volume, (d) cerebellar volume, (e) temporal lobe volume, and (f) hippocampal volume. All comparisons were conducted using Mann–Whitney U tests.
Our correlation analyses revealed no association between exercise-induced changes in serum irisin levels and brain volumetric changes in either group (all p > 0.05) (Table 3). Correlation analyses revealed distinct patterns between groups. In the control group, changes in cerebellar white matter volume showed strong positive correlations with improvement in the T25-FW (p = 0.010), and total cerebellar volume change was correlated with T25-FW improvement (p = 0.001). In contrast, the exercise group showed no significant correlation between cerebellar white matter changes and T25-FW performance (p = 0.200). Instead, in the exercise group, changes in cerebellar grey matter volume were correlated with PASAT-3 performance (p = 0.008). Furthermore, in the exercise group, frontal lobe volume changes were correlated with PASAT-3 scores (p = 0.046), occipital lobe volume changes were correlated with 9-HPT performance (p = 0.042), and pallidal volume changes showed a correlation with PASAT-3 scores (p = 0.001) (Table 3).
Discussion
This pilot randomized controlled trial provides multi-level evidence for the potential of exercise to support structural neuroplasticityin individuals with MS by demonstrating its integrated effects at the central nervous system level (brain volume), peripheral level (serum irisin), and functional level (physical and cognitive outcomes). In the current literature, studies that simultaneously address these three dimensions—tructural, physiological, and functional—are rare. Our findings can be summarized along three main axes: (1) significant increases were observed in grey matter, cerebellum, temporal lobe, hippocampus, and caudate nucleus volumes in the exercise group; (2) although serum irisin levels increased significantly within the exercise group post-intervention, no clear association was found between this increase and brain volume changes; and (3) exercise-specific improvements were detected in functional tests (T25-FW, 9-HPT, and PASAT-3), with distinct correlation patterns emerging between these gains and changes in brain volume.
Our findings indicate that PRT led to volumetric increases in specific brain regions, including grey matter, cerebellum, temporal lobe, hippocampus, caudate nucleus, and limbic cortex, supporting growing evidence that exercise may slow neurodegeneration and promote structural neuroplasticity3,9,30. For example, Leavitt et al. observed significant hippocampal volume gains and improved memory performance after a 12-week cycling intervention14. Similarly, Feys et al. reported increased pallidum and basal ganglia volumes following a “start-to-run” cardiovascular program4. Sandroff et al. also found that a walking-based pilot study preserved hippocampal volume30. Importantly, these effects are not limited to aerobic training, as resistance-based exercise like PRT can also trigger neuroanatomical changes9.
Preclinical evidence demonstrates that PRT elevates key neurotrophic factors (BDNF, Insulin-like Growth Factor 1, Vascular Endothelial Growth Factor) while concurrently increasing irisin secretion - a myokine that crosses the blood-brain barrier to potentiate neurogenesis and gray matter expansion through BDNF upregulation and anti-inflammatory actions20,43,44. Overall, these results suggest that PRT supports structural brain adaptations beyond muscle strength, especially in cortical and deep grey matter regions. Volume increases in the caudate nucleus, hippocampus, and limbic cortex indicate that exercise may induce broader neuroplastic effects within subcortical gray matter. Given that these regions are tied to cognitive function, PRT appears promising as an integrated strategy to help maintain and improve cognitive capacity in MS. Beyond these observed structural adaptations in gray matter and subcortical regions, our study also investigated a potential molecular mediator of exercise-induced benefits: the myokine irisin.
One of the most noteworthy biological findings of this study is the significant increase in serum irisin levels observed in the exercise group following PRT. Exercise-induced irisin elevation in RRMS shows positive cognitive correlations and inverse relationships with fatigue and depression21. These findings reinforce the notion that irisin is not merely a peripheral biomarker but may exert functional effects in neuroinflammatory and cognitive regulatory processes. Because irisin is cleaved from its precursor protein FNDC5 in skeletal muscle and enters the circulation, it may cross the blood–brain barrier and exert neuroprotective effects by regulating the production of neurotrophic factors in the brain19,23. Additionally, in both MS and experimental autoimmune encephalomyelitis models, fluctuations in serum and cerebrospinal fluid irisin levels have been reported across disease progression. Specifically, while FNDC5/irisin mRNA expression is reduced in central nervous system tissue, protein levels appear to increase—a finding that implies a dynamic, possibly compensatory role for irisin during neurodegeneration45. In Alzheimer’s disease and other neurodegenerative models, exercise-induced increases in irisin have been shown to upregulate BDNF expression, maintain cognitive performance, enhance neuronal connectivity, and suppress neuroinflammatory processes20,22,43. A review incorporating both animal and human studies found that regular physical activity promotes synaptic function, reduces amyloid-beta deposition, and provides structural protection in fronto-hippocampal networks through irisin-mediated mechanisms20. Studies in knockout mouse models further confirm that FNDC5/irisin deficiency is linked to cognitive decline and impaired neuronal healing, possibly through disrupted activation of BDNF and Signal Transducer and Activator of Transcription 3 signaling pathways44. When considered alongside these findings, the observed rise in irisin levels in the present study suggests that physical activity may amplify systemic neurotrophic responses in neurodegenerative diseases like MS.
Although our results showed a statistically significant increase in serum irisin levels post-intervention, no robust or statistically significant correlations were found between this biomarker and brain volume outcomes. This suggests that the effects of irisin on the central nervous system may operate through indirect and multilevel mechanisms—such as the suppression of neuroinflammation, modulation of glial cell activity, and upregulation of neurotrophic pathways, particularly BDNF—rather than via direct morphological changes19,20,22,43. Indeed, both clinical and experimental studies have shown that irisin elevations following exercise enhance synaptic plasticity, support neuronal survival, and regulate inflammatory signaling19,20,44. The lack of a correlation between irisin elevation and brain volume in this study strengthens the hypothesis that irisin exerts its neuroprotective actions via indirect routes—such as BDNF upregulation, modulation of microglial activation, or suppression of proinflammatory cytokines19,43. However, the pilot-level sample size in this study may have limited the statistical power needed to establish significant associations between biomarker levels and neuroimaging outcomes14,30. Thus, future studies should aim to confirm these interactions using larger sample sizes, advanced neuroimaging modalities, and longer follow-up periods. While the rise in irisin did not directly correlate with volumetric changes, the functional improvements observed following PRT were strongly linked to the structural brain adaptations.
This study showed that PRT led to significant improvements not only in motor function but also in cognitive performance. The observed enhancements in T25-FW, 9-HPT, and PASAT-3 scores among exercisers are consistent with earlier intervention trials4,9,21. What distinguishes this study is its integrative evaluation of how these functional gains relate to structural brain changes.
Notably, increased cerebellar grey matter volume was positively correlated with PASAT-3 performance, supporting the growing literature suggesting that the cerebellum contributes to cognitive domains such as attention, working memory, and processing speed beyond its classical motor roles25,26,46. A prior subregional cerebellar analysis also linked grey matter volume with executive functioning and processing speed47, while other studies have demonstrated cerebellar connectivity correlates of cognitive status in MS48.
In the control group, T25-FW performance correlated positively with cerebellar white matter volume, reaffirming the cerebellum’s motor relevance. By contrast, this association was absent in the exercise group, which instead showed a significant correlation between cerebellar grey matter volume and cognitive function. This pattern suggests that PRT may be associated with a shift in the cerebellar role or engagement from motor to cognitive circuits. Regions like Crus I–II have known anatomical connections to the prefrontal cortex and are implicated in higher-order cognition49,50. These findings imply that exercise-induced cerebellar neuroplasticity may underlie both motor and cognitive restructuring, potentially mediated by myokines such as irisin and BDNF20,51.
The significant association between frontal lobe volume increases and PASAT-3 scores aligns with established evidence of the frontal cortex’s pivotal role in attention, executive function, and processing speed25,46. This association suggests that the plasticity potential of the frontal lobe in cognitive processes can be triggered by interventions such as exercise. Additionally, the observed correlation between pallidal volume and cognitive performance highlights the basal ganglia’s involvement in task switching, information processing, and cognitive flexibility13,16. A study by Motl et al. showed a positive link between cardiorespiratory fitness and basal ganglia volume, underscoring the connection between physical conditioning and neuroanatomical integrity17.
Furthermore, the association between occipital lobe volume and 9-HPT performance suggests that the occipital cortex plays an active role in visual–motor integration, rather than serving solely as a passive visual processor27. Structural integrity in occipital regions has been linked to successful fine motor performance by supporting visuomotor transformations6. Matias-Guiu et al. emphasized the role of this region in information processing speed and sensorimotor integration46, while Prakash et al. linked grey matter volume gains with improved motor and cognitive outcomes following exercise16. Together, these studies suggest the occipital cortex acts as a functional node within motor coordination circuits. The parallel increases in occipital volume and fine motor performance in our study point to visual–motor plasticity as a likely substrate of exercise-induced adaptation6,16,27,46.
Several limitations of this study should be acknowledged. First, the small sample size, while acceptable for a pilot MRI study, provided insufficient statistical power to detect small-to-moderate effects. This particularly limits the interpretation of our null findings, such as the lack of a significant correlation between exercise-induced changes in serum irisin levels and brain volumetric changes. Future studies with larger cohorts are needed to conclusively explore these relationships. Second, volumetric analyses were conducted across multiple brain regions without correction for multiple comparisons. While this exploratory approach is common in pilot neuroimaging studies, it increases the risk of Type I errors (false positives). Therefore, the reported neuroimaging findings, particularly those with borderline significance, should be interpreted with caution and require replication in larger, confirmatory trials. Third, the 12-week intervention period, while sufficient to detect gray matter changes, may have been too brief to observe measurable effects on white matter integrity. Fourthly, the observed improvement on the PASAT-3 may partially reflect practice effects due to task repetition, a common limitation in cognitive intervention studies. Although the use of a control group helps mitigate this concern, the potential influence of familiarity on performance cannot be fully discounted. Fifth, the generalizability of our findings may be influenced by selection bias. As shown in Fig. 1, of the 30 potentially eligible patients who were excluded, 22 did not meet the inclusion criteria (primarily related to physical activity levels and clinical stability) and 8 declined to participate. While the strict criteria were necessary for internal validity and participant safety, this process may limit the applicability of our results to the broader, more heterogeneous MS population. Sixth, the use of a passive control group, while common in initial exercise trials, introduces the possibility of contamination effects from participants’ expectations or changes in daily behavior outside the study. Furthermore, the lack of an active control condition (e.g., a stretching or balance program) means we cannot fully disentangle the specific effects of resistance training from the non-specific effects of attention, social interaction, or increased physical activity in general. Seventh, despite our efforts to control the testing environment and blind the neurologist performing clinical assessments, we cannot entirely rule out the potential for measurement bias, particularly for functional outcomes where participant effort or expectation might play a role. Lastly, despite rigorous environmental and temporal control during testing sessions, the lack of long-term follow-up data prevents conclusions regarding the durability of the observed exercise-induced effects.
Conclusion
This pilot randomized controlled trial demonstrates that a 12-week PRT program significantly enhances brain volume, serum irisin levels, and functional performance in RRMS patients. The observed volumetric increases in gray matter, cerebellum, hippocampus, and temporal lobe, alongside improvements in motor and cognitive functions, underscore the potential of exercise to promote structural neuroplasticity and mitigate neurodegenerative processes. While the rise in irisin levels suggests its role as a peripheral biomarker of exercise-induced neuroprotection, the lack of direct correlations with brain structural changes highlights the complexity of underlying mechanisms. These findings advocate for resistance training as a viable, non-pharmacological intervention to preserve brain integrity and functionality in MS, calling for larger, long-term studies to validate and expand upon these promising results.
Data availability
Anonymized data not published within this article will be made available upon reasonable request from the corresponding author.
References
Cortese, R. et al. Grey matter atrophy and its relationship with white matter lesions in patients with Myelin oligodendrocyte glycoprotein Antibody-associated Disease, Aquaporin-4 Antibody-Positive neuromyelitis Optica spectrum Disorder, and multiple sclerosis. Ann. Neurol. 96, 276–288. https://doi.org/10.1002/ana.26951 (2024).
Raji, C. A. et al. Exercise-Related physical activity relates to brain volumes in 10,125 individuals. J. Alzheimers Dis. 97, 829–839. https://doi.org/10.3233/jad-230740 (2024).
Negaresh, R. et al. Physical activity May contribute to brain health in multiple sclerosis: an MR volumetric and spectroscopy study. J. Neuroimaging. 31, 714–723. https://doi.org/10.1111/jon.12869 (2021).
Feys, P. et al. Effects of an individual 12-week community-located start-to-run program on physical capacity, walking, fatigue, cognitive function, brain volumes, and structures in persons with multiple sclerosis. Mult Scler. 25, 92–103. https://doi.org/10.1177/1352458517740211 (2019).
Sá, M. J. et al. Natural history of relapsing remitting multiple sclerosis in a long-lasting cohort from a tertiary MS centre in Portugal. Multiple Scler. Relat. Disorders. 54, 103091. https://doi.org/10.1016/j.msard.2021.103091 (2021).
Braune, S. et al. The natural history of primary progressive multiple sclerosis: insights from the German neurotransdata registry. BMC Neurol. 23, 258. https://doi.org/10.1186/s12883-023-03273-9 (2023).
Simoens, S. Societal economic burden of multiple sclerosis and cost-effectiveness of disease-modifying therapies. Front. Neurol. 13, 1015256. https://doi.org/10.3389/fneur.2022.1015256 (2022).
Webb, E. J. D. et al. Decision making about Disease-Modifying treatments for Relapsing-Remitting multiple sclerosis: stated preferences and Real-World choices. Patient 16, 457–471. https://doi.org/10.1007/s40271-023-00622-1 (2023).
Kjølhede, T. et al. Can resistance training impact MRI outcomes in relapsing-remitting multiple sclerosis? Mult Scler. 24, 1356–1365. https://doi.org/10.1177/1352458517722645 (2018).
Bilek, F., Ercan, Z., Deniz, G., Ozgul, S. & Demir, C. F. High-intensity intermittent exercise increases serum levels of chitinase 3-like protein-1 and matrix metalloproteinase-9 in persons with multiple sclerosis. J. Neuroimmunol. 395, 578434. https://doi.org/10.1016/j.jneuroim.2024.578434 (2024).
Giesser, B. S. Exercise in the management of persons with multiple sclerosis. Ther. Adv. Neurol. Disord. 8, 123–130. https://doi.org/10.1177/1756285615576663 (2015).
Learmonth, Y. C. & Motl, R. W. Exercise training for multiple sclerosis: A narrative review of history, benefits, safety, guidelines, and promotion. Int. J. Environ. Res. Public. Health. 18, 13245 https://doi.org/10.3390/ijerph182413245 (2021).
Erickson, K. I. et al. Exercise training increases size of hippocampus and improves memory. Proc. Natl. Acad. Sci. U S A. 108, 3017–3022. https://doi.org/10.1073/pnas.1015950108 (2011).
Leavitt, V. M. et al. Aerobic exercise increases hippocampal volume and improves memory in multiple sclerosis: preliminary findings. Neurocase 20, 695–697. https://doi.org/10.1080/13554794.2013.841951 (2014).
Gravesteijn, A. S. et al. Effects of 16-week progressive resistance training on neurodegeneration in people with progressive multiple sclerosis: an extended baseline within-person trial. Multiple Scler. Relat. Disorders. 98, 106411. https://doi.org/10.1016/j.msard.2025.106411 (2025).
Prakash, R. S., Snook, E. M., Motl, R. W. & Kramer, A. F. Aerobic fitness is associated with Gray matter volume and white matter integrity in multiple sclerosis. Brain Res. 1341, 41–51. https://doi.org/10.1016/j.brainres.2009.06.063 (2010).
Motl, R. W. et al. Cardiorespiratory fitness and its association with thalamic, hippocampal, and basal ganglia volumes in multiple sclerosis. Neuroimage Clin. 7, 661–666. https://doi.org/10.1016/j.nicl.2015.02.017 (2015).
Langeskov-Christensen, M. et al. Efficacy of High-Intensity aerobic exercise on brain MRI measures in multiple sclerosis. Neurology 96, e203–e213. https://doi.org/10.1212/wnl.0000000000011241 (2021).
Sadier, N. S. et al. Irisin: an unveiled Bridge between physical exercise and a healthy brain. Life Sci. 339, 122393. https://doi.org/10.1016/j.lfs.2023.122393 (2024).
Kim, E., Tanzi, R. E. & Choi, S. H. Therapeutic potential of exercise-hormone Irisin in alzheimer’s disease. Neural Regen Res. 20, 1555–1564. https://doi.org/10.4103/nrr.Nrr-d-24-00098 (2025).
Bilek, F., Cetisli-Korkmaz, N., Ercan, Z., Deniz, G. & Demir, C. F. Aerobic exercise increases Irisin serum levels and improves depression and fatigue in patients with relapsing remitting multiple sclerosis: A randomized controlled trial. Multiple Scler. Relat. Disorders. 61, 103742. https://doi.org/10.1016/j.msard.2022.103742 (2022).
Li, D. J., Li, Y. H., Yuan, H. B., Qu, L. F. & Wang, P. The novel exercise-induced hormone Irisin protects against neuronal injury via activation of the Akt and ERK1/2 signaling pathways and contributes to the neuroprotection of physical exercise in cerebral ischemia. Metabolism 68, 31–42. https://doi.org/10.1016/j.metabol.2016.12.003 (2017).
Mohammad Rahimi, G. R., Hejazi, K. & Hofmeister, M. The effect of exercise interventions on Irisin level: a systematic review and meta-analysis of randomized controlled trials. Excli j. 21, 524–539. https://doi.org/10.17179/excli2022-4703 (2022).
Kim, K. Y. et al. Loss of association between plasma Irisin levels and cognition in alzheimer’s disease. Psychoneuroendocrinology 136, 105624. https://doi.org/10.1016/j.psyneuen.2021.105624 (2022).
Wen, J. et al. Detection and quantification of regional cortical Gray matter damage in multiple sclerosis utilizing gradient echo MRI. Neuroimage Clin. 9, 164–175. https://doi.org/10.1016/j.nicl.2015.08.003 (2015).
Daams, M. et al. Unraveling the neuroimaging predictors for motor dysfunction in long-standing multiple sclerosis. Neurology 85, 248–255. https://doi.org/10.1212/wnl.0000000000001756 (2015).
Onu, M., Aroceanu, A., Ferastraoaru, V. & Bajenaru, O. Gray matter changes in demyelinating disease: correlations with clinical scores. Maedica (Bucur). 10, 319–324 (2015).
Thompson, A. J. et al. Diagnosis of multiple sclerosis: 2017 revisions of the McDonald criteria. Lancet Neurol. 17, 162–173. https://doi.org/10.1016/s1474-4422(17)30470-2 (2018).
Mayo, C. D., Harrison, L., Attwell-Pope, K., Stuart-Hill, L. & Gawryluk, J. R. A pilot study of the impact of an exercise intervention on brain structure, cognition, and psychosocial symptoms in individuals with relapsing-remitting multiple sclerosis. Pilot Feasibility Stud. 7, 65. https://doi.org/10.1186/s40814-021-00806-2 (2021).
Sandroff, B. M. et al. Effects of walking exercise training on learning and memory and hippocampal neuroimaging outcomes in MS: A targeted, pilot randomized controlled trial. Contemp. Clin. Trials. 110, 106563. https://doi.org/10.1016/j.cct.2021.106563 (2021).
Cocks, K. & Torgerson, D. J. Sample size calculations for pilot randomized trials: a confidence interval approach. J. Clin. Epidemiol. 66, 197–201. https://doi.org/10.1016/j.jclinepi.2012.09.002 (2013).
Acer, N. et al. Diffusion tensor and volumetric magnetic resonance imaging findings in the brains of professional musicians. J. Chem. Neuroanat. 88, 33–40. https://doi.org/10.1016/j.jchemneu.2017.11.003 (2018).
Coupé, P. et al. AssemblyNet: A large ensemble of CNNs for 3D whole brain MRI segmentation. Neuroimage 219, 117026. https://doi.org/10.1016/j.neuroimage.2020.117026 (2020).
Manjón, J. V., Coupé, P. & volBrain An online MRI brain volumetry system. Front. Neuroinform. 10, 30. https://doi.org/10.3389/fninf.2016.00030 (2016).
Sakamoto, R. et al. Cloud-based brain magnetic resonance image segmentation and parcellation system for individualized prediction of cognitive worsening. J. Healthc. Eng. 2019, 9507193 https://doi.org/10.1155/2019/9507193 (2019).
Deniz, G., Karakurt, N., Özcan, H. & Acer, N. Comparison of brain volume measurements in methamphetamine use disorder with healthy individuals using Volbrain method. J. Health Sci. Adıyaman Univ. 9, 188–198. https://doi.org/10.30569/adiyamansaglik.1355955 (2023).
Deniz, G., Yalçın, A., Yıldırım, E. & Tan, H. Evaluation of lesion burden in pediatric patients with multiple sclerosis by computer aided algorithm and comparison with standard detection methods. J. Harran Univ. Med. Fac. 21, 159–165. https://doi.org/10.35440/hutfd.1455339 (2024).
Rudick, R. A., Cutter, G. & Reingold, S. The multiple sclerosis functional composite: a new clinical outcome measure for multiple Sderosis trials. Mult. Scler. 8, 359–365. https://doi.org/10.1191/1352458502ms845oa (2002).
Halabchi, F., Alizadeh, Z., Sahraian, M. A. & Abolhasani, M. Exercise prescription for patients with multiple sclerosis; potential benefits and practical recommendations. BMC Neurol. 17, 185. https://doi.org/10.1186/s12883-017-0960-9 (2017).
Gravesteijn, A. S., Beckerman, H., de Jong, B. A., Hulst, H. E. & de Groot, V. Neuroprotective effects of exercise in people with progressive multiple sclerosis (Exercise PRO-MS): study protocol of a phase II trial. BMC Neurol. 20, 177. https://doi.org/10.1186/s12883-020-01765-6 (2020).
Nezhad, N. N., Parnow, A., Khamoushian, K., Eslami, R. & Baker, J. S. Resistance training improves functional capacities in women with multiple sclerosis: a randomized control trial. BMC Neurol. 24, 457. https://doi.org/10.1186/s12883-024-03964-x (2024).
Prion, S. & Haerling, K. A. Making sense of methods and measurement: pearson Product-Moment correlation coefficient. Clin. Simul. Nurs. 10, 587–588. https://doi.org/10.1016/j.ecns.2014.07.010 (2014).
Xu, B. BDNF (I)rising from exercise. Cell. Metab. 18, 612–614. https://doi.org/10.1016/j.cmet.2013.10.008 (2013).
Park, J., Kim, J. & Mikami, T. Exercise hormone Irisin prevents physical inactivity-induced cognitive decline in mice. Behav. Brain Res. 433, 114008. https://doi.org/10.1016/j.bbr.2022.114008 (2022).
Zhang, Q. X., Zhang, S. N., Zhang, L. J., Zhang, D. Q. & Yang, L. Irisin levels in the serum and cerebrospinal fluid of patients with multiple sclerosis and the expression and distribution of Irisin in experimental autoimmune encephalomyelitis. Clin. Exp. Immunol. 206, 208–215. https://doi.org/10.1111/cei.13656 (2021).
Matias-Guiu, J. A. et al. Structural MRI correlates of PASAT performance in multiple sclerosis. BMC Neurol. 18, 214. https://doi.org/10.1186/s12883-018-1223-0 (2018).
Nadkarni, N. K. et al. Association between cerebellar Gray matter volumes, gait speed, and information-processing ability in older adults enrolled in the health ABC study. J. Gerontol. Biol. Sci. Med. Sci. 69, 996–1003. https://doi.org/10.1093/gerona/glt151 (2014).
Sarica, A., Cerasa, A. & Quattrone, A. The neurocognitive profile of the cerebellum in multiple sclerosis. Int. J. Mol. Sci. 16, 12185–12198. https://doi.org/10.3390/ijms160612185 (2015).
Stoodley, C. J. & Schmahmann, J. D. Evidence for topographic organization in the cerebellum of motor control versus cognitive and affective processing. Cortex 46, 831–844. https://doi.org/10.1016/j.cortex.2009.11.008 (2010).
Alasmar, Z., Chakravarty, M. M., Penhune, V. B. & Steele, C. J. Patterns of Cerebellar-Cortical structural covariance mirror anatomical connectivity of sensorimotor and cognitive networks. Hum. Brain. Mapp. 46, e70079. https://doi.org/10.1002/hbm.70079 (2025).
Liu, P. Z. & Nusslock, R. Exercise-Mediated neurogenesis in the hippocampus via BDNF. Front. Neurosci. 12, 52. https://doi.org/10.3389/fnins.2018.00052 (2018).
Acknowledgements
The authors would like to express their sincere gratitude to all the patients and colleagues at the hospital, as well as to the Fırat Neurology Association, for their valuable support and collaboration.
Funding
The author(s) received no financial support for the research and/or authorship of this article.
Author information
Authors and Affiliations
Contributions
FB: Conceptualization; Data curation; Formal analysis; Investigation; Supervision; Writing—review & editing. GD: Conceptualization; Data curation; Investigation; Methodology; Software; and Writing—review & editing. GE: Conceptualization; Data curation; Investigation; Methodology. ZE: Data curation; Formal analysis; Investigation; Methodology; and Writing-review & editing. CFD: Conceptualization; Methodology; Supervision; and Writing—review & editing.
Corresponding author
Ethics declarations
Competing interests
The authors declare no competing interests.
Ethical approval and consent to participate
The study was approved by the Human Research Ethics Board (Protocol No: 2024/13–37, Date: 10.10.2024) and registered at ClinicalTrials.gov (Number: NCT07101653, Date: 21/07/2025). The study was done according to the Declaration of Helsinki and written informed consent was obtained from all participants at the time of enrollment by a study team member.
Additional information
Publisher’s note
Springer Nature remains neutral with regard to jurisdictional claims in published maps and institutional affiliations.
Supplementary Information
Below is the link to the electronic supplementary material.
Rights and permissions
Open Access This article is licensed under a Creative Commons Attribution-NonCommercial-NoDerivatives 4.0 International License, which permits any non-commercial use, sharing, distribution and reproduction in any medium or format, as long as you give appropriate credit to the original author(s) and the source, provide a link to the Creative Commons licence, and indicate if you modified the licensed material. You do not have permission under this licence to share adapted material derived from this article or parts of it. The images or other third party material in this article are included in the article’s Creative Commons licence, unless indicated otherwise in a credit line to the material. If material is not included in the article’s Creative Commons licence and your intended use is not permitted by statutory regulation or exceeds the permitted use, you will need to obtain permission directly from the copyright holder. To view a copy of this licence, visit http://creativecommons.org/licenses/by-nc-nd/4.0/.
About this article
Cite this article
Bilek, F., Deniz, G., Elidar, G. et al. Exercise induces structural brain changes and elevates irisin levels and enhances functional performance in multiple sclerosis a pilot randomized study. Sci Rep 16, 3463 (2026). https://doi.org/10.1038/s41598-025-33434-4
Received:
Accepted:
Published:
Version of record:
DOI: https://doi.org/10.1038/s41598-025-33434-4


