Abstract
Aquaponics offers sustainable cultivation by integrating aquaculture and hydroponics, yet nutrient limitations often constrain plant performance. This study evaluated the effects of three nutrient solutions (aquaponics, Hoagland, and Hoagland + aquaponics) combined with foliar applications of iron and potassium (1000 mg/L) on morphological, physiological, and biochemical characteristics of green and purple basil (Ocimum basilicum L.) cultivars in a completely randomized factorial design with three replications. Results demonstrated that aquaponics nutrient solution significantly enhanced plant height (39.81%), internode length (43.32%), stem diameter (30.88%), shoot (40.41%) and root (105.43%) biomass, leaf number (51.92%) and leaf area (51.95%) compared to Hoagland-treated plants. Foliar potassium and iron applications substantially improved growth parameters across both cultivars, with green basil showing superior performance overall. Photosynthetic pigments (chlorophyll a, b) were highest in green basil under aquaponics with potassium spray, while purple basil accumulated more anthocyanins compared to green basil. Mineral analysis revealed that K concentration was lower in aquaponics, although foliar K treatments effectively increased K concentrations in leaves, in all nutrient solutions. Essential oil content was notably higher in aquaponics-grown plants and further enhanced by potassium and iron foliar applications, particularly in green basil. Strong positive correlations were observed between growth parameters, and essential oil production. These findings demonstrate that combining aquaponics with strategic foliar supplementation of potassium and iron represents an effective approach for optimizing basil production, quality, and essential oil yield in sustainable cultivation systems.
Similar content being viewed by others
Introduction
Despite the significant progress and development in the use of synthetic drugs, medicinal plants and various pharmaceutical materials derived from them are still widely used, and in some countries they are considered an essential part of the drug therapy system1. The side effects of chemical drugs and the growing trend of using herbal medicines have led to the allocation of large areas of agricultural land in developed countries to the cultivation of medicinal plants in recent decades2. Basil (Ocimum basilicum L.) is an annual, herbaceous plant from the mint family that is used as a medicinal herb, a spice, and as a fresh vegetable3. The amount of essential oil in the basil plant varies from 0.5 to 1.5% depending on the climatic conditions where it is grown. The components of the essential oil vary, with linalool, methyl chavicol, citral, eugenol, 1,8-cineole, geraniol, camphor, and methyl cinnamate being the major constituents2.
In recent years, many parts of the world, including Iran, have experienced drought conditions. High temperatures, chemical contamination, and oxidative stress have caused problems in the biosphere that have impacted agricultural systems. At the same time, the global population has been steadily increasing, requiring a supply of healthy food. Today, agricultural producers are seeking to create systems that increase productivity and improve product quality. Greenhouse and hydroponic cultivation have rapidly expanded to improve the quality of agricultural products and enable out-of-season production. Greenhouse production systems have advanced significantly in the past decade. This development has typically been accompanied by the progress of hydroponic (soilless) cultivation systems, which are the most efficient and effective production methods in the agricultural industry. Hydroponic cultivation systems have enabled the production of high yielding and quality agricultural products, even in areas with unfavorable growing conditions4. Hydroponic cultivation results in over 50% water savings and is highly applicable in areas facing issues of drought, water scarcity, and lack of fertile land for agriculture5.
The world is facing problems of increasing population, soil degradation, climate change, depletion of soil nutrients, limited freshwater resources, and reduction of agricultural lands. The global population currently exceeds 7.2 billion and is growing rapidly. It is expected to reach 9.5 billion by 2050, with 75% living in urban areas6, which will lead to an increased demand for animal protein7. Aquaponics, a combination of fish farming (aquaculture) and plant cultivation (hydroponics) in recirculating systems, can produce relatively secure food (fish and vegetables) while reducing environmental risks8. Recirculating aquaculture systems are recommended for dry and semiarid regions facing water scarcity. Due to the lack of good quality water for agriculture in most parts of Iran, the use of closed aquaponic systems, where water is recirculated, is highly beneficial as it increases water use efficiency by around 95%9. In aquaponic systems, the nutrient inputs for the plants come from the fish tank, which contains a nutrient rich solution of fish excreta (excreted through the gills, urine, and faeces) in the form of dissolved and solid organic compounds that are dissolved as ions in the water10. Aquaponics is a soilless natural process that can occur in lakes, ponds, and rivers. A well-known example is in the shallow lakes of Central America– “known as Chinampas”9. This method was also used 1500 years ago in the rice fields of Southeast Asia11. Studies have shown that aquaponics increases productivity and serves as an innovative solution for food security12. The ammonia excreted from the fish’s gills, which results from the metabolism of proteins and other nitrogen compounds in the fish’s body, is ultimately converted by bacteria into nitrate, which is the main source of nitrogen for the growth and cultivation of organic plants such as vegetables12. Aquaponics systems using fish like tilapia can successfully support culinary herbs such as basil, peppermint (Mentha piperita L.), and spearmint (Mentha spicata L.), maintaining suitable water quality for both plants and fish. Among the studied herbs, spearmint showed the highest productivity and nutrient assimilation, but all three species adapted well and can function effectively as part of aquaponic biological filtration13. Coupled aquaponics systems can limit basil productivity due to suboptimal nutrient availability and reduced photosynthetic performance, while decoupled aquaponics systems overcome these limitations by allowing conditions to be optimized for both fish and plants14. Decoupled aquaponics promoted basil growth and photosynthetic efficiency comparable to hydroponics, supporting its potential as an effective alternative for high-value crop production. In a study on tomatoes grown hydroponically in an integrated aquaculture system, the fruits had better quality compared to those grown in soil conditions15. Additionally, the tilapia fish waste in integrated aquaculture systems was a beneficial fertilizer for lettuce and Chinese cabbage16. In an experiment, most of the growth factors in mint were better in the hydroponic system compared to the aquaponics, such that the fresh and dry masses of the shoot and roots were greater in the hydroponic system than in the aquaponics12. Nitrogen uptake in the mint plant was also higher in the hydroponic system, whereas the photosynthesis rate of the mint plant was significantly greater in the aquaponics treatment compared to the hydroponic treatment12. One experiment compared the growth and yield of thyme (Thymus vulgaris L.) and basil in aquaponics (with Carassius auratus) and hydroponic systems, using controlled pilot-scale facilities. Results showed that, under these conditions, plant productivity was higher in aquaponic units than in hydroponic units17.
Foliar application of nutrients is one of the complementary methods to soil application and is often based on plant tissue analysis and visual deficiency symptoms. This action places a thin layer of the solution evenly on the leaf surface and makes the elements available to the plant. By adding wetting agents, it is attempted to slowly absorb these elements18. Potassium is not a component of organic molecules in plants and exists in the plant as a free ion, but it plays a role in many physiological and biochemical processes19. The most important role of potassium is to provide a suitable ionic environment for the purpose of metabolic processes within the cytosol, and these processes act as a regulator for many intracellular processes such as the growth process. Plants need potassium ions for the production of proteins and also for the opening and closing of stomata18. Potassium uptake in plants occurs through the roots in the form of the monovalent cation (K+)20. High concentrations of calcium and magnesium in the root environment due to common binding sites with potassium can limit potassium uptake due to competition19. Since potassium can be easily distributed and absorbed through the leaf tissue, foliar application can be used to supply a portion of the plant’s potassium needs21. The use of potassium through foliar application is more effective than soil application22. Various studies have shown that foliar nutrition provides nutrients more quickly and corrects observed deficiencies in a shorter time compared to soil application23. Although the amount of nutrient absorption by the leaf is less than the roots, this small amount is much more effective and faster than the roots. When nutrients are made available to the plant through the leaves, the absorption efficiency will be much higher than root absorption, as various limitations such as leaching of elements in the soil, inhibitors present in the soil environment, pH limitations and many other negative factors affecting absorption will be eliminated. With foliar nutrition, it is possible to directly provide the nutrient elements to the branches, leaves or fruits when a rapid effect is needed23.
Iron is one of the essential but micro-nutrient elements in most plants. The role of this element is in photosynthesis. Iron is considered one of the essential and vital elements for all living organisms and is one of the elements that play a role in many metabolic processes, such as photosynthesis and respiration and the activity of some enzymes such as catalase, peroxidase, and cytochrome oxidase18. Plant access to iron is one of the limiting factors for agricultural production, and despite the abundance of iron in the soil, the plant is unable to absorb this element from the soil due to its low solubility24. Therefore, iron deficiency causes disturbances in the photosynthetic system and a decrease in chlorophyll content. Iron deficiency also causes changes in the concentration and absorption of a series of elements25. On the other hand, iron is one of the most important compounds of enzymes related to electron transfer, such as cytochrome, protein, and iron-sulfur26.
Foliar application of nutrient elements presents a promising and efficient strategy for enhancing plant growth, especially in controlled environments like aquaponics, as demonstrated in this study. For future practical applications, field trials and scaled-up greenhouse experiments under diverse environmental conditions are essential to validate foliar spray effectiveness, optimize dosage and timing, and evaluate economic feasibility. Integrating foliar nutrition with precision agriculture tools could further enhance nutrient use efficiency and sustainability in commercial basil production systems.
Basil (Ocimum basilicum) is a widely cultivated and economically important aromatic and medicinal crop in Iran, valued for its fresh leaves, essential oils, and culinary uses. Iran faces significant challenges of water scarcity and arid climate, making efficient and sustainable cultivation methods like aquaponics crucial for basil production. Optimizing nutrient management in basil can enhance biomass, essential oil content, and bioactive compounds, which have growing market demand both locally and internationally. Improving basil cultivation supports rural livelihoods, urban fresh herb markets, and Iran’s agricultural sustainability goals. This study addresses knowledge gaps in basil nutrient management in controlled environments, which is vital for enhancing yield and quality of both green and purple basil cultivars under Iran’s conditions. Therefore, this experiment was conducted to investigate the role of iron and potassium foliar application on growth and physiological characteristics of basil in hydroponic and aquaponic systems.
Materials and methods
Experimental design
This experiment was conducted in the fall and winter seasons of 2021–2022, to investigate the effect of the cultivation system (aquaponics and hydroponic) and foliar application of iron and potassium (1000 mg/L) on the morphological and physiological characteristics of two basil (Ocimum basilicum) cultivars (green and purple) in a factorial arrangement based on a completely randomized design in the hydroponic greenhouse of Vali-e-Asr University, Iran.
Plant materials and growth conditions
Green (Italian large leaf basil) and purple basil were used as biological materials. The plants were grown in a greenhouse with 11 h light phase (26 ± 3 °C) and 13 h dark phase (23 ± 3 °C). Greenhouse temperature was controlled using cool air following into greenhouse from central cooler. The relative humidity was 53.5 ± 5% to 66.5 ± 4%, and maximum light intensity above the canopy per day 963 µmol m− 2 s− 1.
Seeds were obtained from commercial company (Bazaram Seed Co., Sari, Iran). A mixture of 70% cocopeat and 30% perlite was prepared and placed in 20 cm high and 20 cm diameter pots with a volume of 5 L. Green and purple basil seeds were sown in the pots. It took three weeks from sowing the seeds until the seedlings emerged, and then 9 plants (with similar sizes) were maintained in each pot, and the rest of the plants were removed. Initially, the pots were irrigated twice a day with distilled water until the plants emerged. After the plants emerged, for better establishment, the plants were irrigated daily with 150 ml/pot of Hoagland nutrient solution in two times (morning and evening, totaling 300 ml per day) until the four-leaf stage, and after the four-leaf stage, the plants were transferred to the cultivation systems. The treatments refer to three distinct nutrient solutions: (1) Hoagland solution, (2) Coupled aquaponic system, where the nutrient solution is directly sourced from the fish tanks; and (3) Decoupled aquaponic system, which utilizes fish-derived water enriched with additional fertilizers to match the nutrient levels of the hydroponic solution, thereby optimizing nutrient availability for plant growth. A total of 18 pots (9 pots of green basil and 9 pots of purple basil) were transferred to three aquaponic systems (each system had 3 pots of green basil and 3 pots of common purple basil), and 36 pots were transferred to the hydroponic system (with 70% cocopeat and 30% perlite substrate). From these, 18 pots were fertigated with Hoagland solution made with distilled water, and 18 plants with Aquaponics + Hoagland solution made with aquaponics solution in the aquaponic system. After the eight-leaf stage, the foliar spray treatments were initiated. Iron and potassium were sprayed twice a week in the evening. The ferrous sulfate (1000 mg/L) and potassium sulfate (1000 mg/L) were used for the iron and potassium foliar treatments. The control plants sprayed with distilled water at the same volume per plant. In this experiment, each pot contained 9 plants, so each cultivation system had 18 pots (162 plants). 6 pots (54 plants) foliar-fed with Iron, 6 pots (54 plants) with potassium and 6 pots (54 plants) with distilled water as control. Half of these plants were green basil and half of them purple basil. Thus treatments were G-A-C (Green basil-Aquaponic-Control), G-A-Fe (Green basil-Aquaponic-Iron spray), G-A-K (Green basil-Aquaponic-Potassium spray), P-A-C (Purple basil-Aquaponic-Control), P-A-Fe (Purple basil-Aquaponic-Iron spray), P-A-K (Purple basil-Aquaponic-Potassium spray), G-HA-C (Green basil-Hoagland + Aquaponic-Control), G-HA-Fe (Green basil-Hoagland + Aquaponic-Iron spray), G-HA-K (Green basil-Hoagland + Aquaponic-Potassium spray), P-HA-C (Purple basil-Hoagland + Aquaponic-Control), P-HA-Fe (Purple basil-Hoagland + Aquaponic-Iron spray), P-HA-K (Purple basil-Hoagland + Aquaponic-Potassium spray), G-H-C (Green basil-Hoagland-Control), G-H-Fe (Green basil-Hoagland-Iron spray), G-H-K (Green basil-Hoagland-Potassium spray), P-H-C (Purple basil-Hoagland-Control), P-H-Fe (Purple basil-Hoagland-Iron spray), and P-H-K (Purple basil-Hoagland-Potassium spray). Each treatment contained 27 plants that all were used for growth analysis. For the biochemical analysis, three mature leaves (third, fourth and fifth leaves from the top) from each plant were used for measurements.
In the aquaponic system the water and fish waste were pumped to a 60-liter clarifier by a pump. The solid waste and impurities in the fish water were settled in this clarifier, and then the water flowed by gravity to a 60-liter filtration tank and a 90-liter degassing tank, and finally entered the 400-liter tank containing the plants, and then returned to the fish tank. This system was connected to the tap water, and the water absorbed by the plants, removed from the clarifier, and evaporated was automatically replenished by the floats in the fish tank. The aquaponic unit operated continuously with aknown density of fish biomass to maintain stable bacterial populations. Common carp (Cyprinus carpio) were stocked in the rearing tanks (diameter 1.2 m, water depth 0.75 m, and water volume 848 L) at 50 fish/m3, and cultured for 6 months. The mean mass of fishes stocked ranged from 160 to 180 g. Table 1 shows some of the nutrient solution quality parameters during the experiment in the aquaponics, Hoagland and Aquaponics + Hoagland nutrient solution systems. The important parameters in terms of fish production [nitrite (NO2−), nitrate (NO3−), pH, EC and dissolved oxygen] were in the range of tolerance limits, except for nitrite which was above the 0.2 mg/L27. The fish were fed with soy (Glycine max) every day, dehulled soybean meal, with a protein content of 50%, due to its balanced amino acid profile and high digestibility can be the primary protein ingredient in most freshwater omnivorous fish diets and a significant component of the protein composition in many marine fish diets28. The 5-centimeter-diameter polystyrene foam rafts were used to hold the plant containers in the tank. The time from the start of treatment to the time of plant harvest was 75 days.
Measurements
Growth parameters
Parameters such as leaf number, leaf area, stem diameter, plant height, fresh and dry mass of roots and shoots, root volume were measured. Plant height was measured using a ruler. Leaf area was measured using a leaf area meter (model CI 202). The fresh mass of the plant was determined by a balance after separating the shoots and roots. After placing the samples in an oven at 72 °C for 48 h, their dry mass was determined by a balance. Stem diameter was measured using a digital caliper. Root volume was measured using the water displacement method. Roots were immersed in water, and with using of graduated cylinder, the difference between the initial and final water levels was used to determine root volume expressed in cm3. The internode length determined with dividing the main stem length to the number of internode in the same stem.
Leaf pigments
For measuring chlorophyll a, b, and total chlorophyll, the Porra29 method was used, with random sampling of 2 mature leaves (from the top of plants) from each plant (n = 3), and extraction with acetone. For this, 0.25 g of fresh leaf sample was ground in a porcelain mortar with 5 mL of 80% acetone until a uniform solution was obtained, then the samples were centrifuged at 3500 rpm for 10 min. The light absorption of the supernatant was measured using a spectrophotometer (model T80 UV/VIS Spectrometer PG Instruments Ltd) at wavelengths of 646.6 and 663.6 nanometers, and the chlorophyll concentration was calculated using the following equations:
Where OD is the measured absorbance, V is the volume of acetone used, and W is the fresh mass of the sample (in grams).
For carotenoid calculation, the method of Lichtenthaler and Wellburn30 was used, and the light absorption at a wavelength of 470 nm was measured.
OD: The absorbance value measured, V: The final volume of the extract, W: The fresh mass of the sample (in grams).
To measure the greenness index, 3 mature leaves from each plant (from the top of plants) were selected, and a chlorophyll meter (SPAD) was used. To measure the leaf anthocyanin content, the Wagner31 method was used. 0.25 g of fresh mature leaves were ground thoroughly in a porcelain mortar with 10 mL of acidic methanol (acidic methanol was 99 parts of methanol and 1 part of hydrochloric acid, V/V ratio). The extract was poured into a Falcon tube and kept in the dark at 25 °C for 24 h. It was then centrifuged at 4000 rpm for 10 min, and the absorbance of the supernatant was measured at 550 nm using a spectrophotometer. The concentration was calculated using the formula A = εbc, considering an extinction coefficient (ε) of 33,000 M− 1 cm− 1. A is the absorbance, b is the cuvette width, and c is the solution concentration.
Nutrient elements
The dried leaf samples (3 replications) were ashed by heating at 550 °C for 5 h. The resulting ash was dissolved in 5 ml of 2 N HCl, followed by the addition of 50 ml of distilled water. Sodium and K concentrations in the leaves were determined using flame photometry (Jenway, model PFP7). Iron, Mn, Zn and Cu concentrations were measured with an atomic absorption spectrophotometer (GBC-Savant AA, Australia). Magnesium and Ca concentrations were measured using EDTA titration32.
Essential oils
For the extraction and measurement of essential oil, the harvested plants were dried at room temperature (25 °C) in the shade for two weeks, followed by steam distillation using an essential oil extractor. For this purpose, 15 g of the dried shoot of basil (including leaves, stems, and flowers) was placed in a special flask with distilled water (in the ratio of 1:15), and the extraction process began by heating the flask containing water and plants using a heater. After boiling and once the extraction of essential oil began, the process continued for 2 h before turning off the device. After cooling (about half an hour), the volume of the extracted essential oil was directly read from the graduated collection tube, and the resulting oil was collected for weighing and storage33. Since the amount of essential oil is calculated in milliliters per dry mass of the plant, the moisture content of each sample was measured before extraction by placing it in an oven (at 105 °C) for three hours. Finally, the essential oil yield for each sample was calculated using the following formula:
Statistical analysis
This experiment was conducted as a factorial design in a completely randomized framework with three replications. Statistical analysis of the data was performed using SAS software at a 5% significance level, and graphs were generated using Excel. Comparisons between means were conducted using the Duncan multiple range test at 5% probability level.
Results
Carp production
Common carp were stocked at 50 fish/m3. During the harvest, production of common carp averaged 28,430 g/m3. Mean harvest mass was 568.6 g. It means mean food conversion ratio was 1.53. Survival rate was 100% for all species indicating that the water quality has been acceptable for carp growth during the experiment.
Vegetative growth
The Figs. 1, 2, 3, 4 and 5 present detailed data on the growth responses of green basil and purple basil cultivated under three nutrient solutions: Aquaponics, Hoagland, and their combination Hoagland + Aquaponics. Each treatment included foliar sprays of potassium, iron, or no spray control. The analyzed parameters include plant height, node number, internode length, branch number, stem diameter, shoot fresh mass, shoot dry mass, root fresh mass, root dry mass, root volume, leaf number, and leaf area. Results demonstrated that aquaponics nutrient solution significantly enhanced plant height (39.81%), internode length (43.32%), stem diameter (30.88%), shoot (40.41%) and root (105.43%) biomass, leaf number (51.92%) and leaf area (51.95%) compared to Hoagland-treated plants (Figs. 1, 2, 3 and 4, and 5). Plant height analysis revealed significant differences between cultivars, nutrient solutions, and foliar treatments. Purple basil demonstrated superior height compared to green basil across all treatment combinations (Fig. 1A). In aquaponics systems, purple basil treated with potassium foliar spray achieved the maximum plant height, followed by iron application, while control plants were the last one. Green basil showed a similar response pattern but with lower absolute values. The Hoagland + Aquaponics nutrient solution produced intermediate plant heights for both cultivars. The height of purple basil increased with K or Fe foliar application. In pure Hoagland solution, plant heights were generally lower, with higher purple basil height in foliar sprayed plants. Node numbers were consistently higher in purple basil than Green basil. P-A-C, P-HA-Fe, and P-HA-K had the highest node counts, while green basil treatments showed smaller but small increases with foliar Fe in aquaponics (Fig. 1B). Green basil exhibited longer internodes in aquaponics-treated plants with K foliar spray, indicating elongated stem growth under these nutrient combinations (Fig. 1C). In the purple basil branching was favored by Aquaponics and Hoagland + Aquaponics nutrient solution, with no significant differences between green and purple basil in sole Hoagland solution (Fig. 2A). Stem diameter was maximized in Aquaponics-treated green basil (Fig. 2B).
Both shoot fresh mass (SFM) and shoot dry mass (SDM) were highest in green basil subjected to Aquaponics with K spray (G-A-K), followed by Aquaponics with Fe foliar spray (G-A-Fe). Purple basil showed lower biomass overall, yet benefited from element sprays. The Hoagland and Hoagland + Aquaponics without element spray treatments yielded the lowest shoot biomass, reflecting potential nutrient limitations (Fig. 3A-B). Root biomass results mirrored shoot biomass trends, with green basil in A-K and A-Fe treatments showing significantly greater root fresh and dry mass. Purple basil roots were generally smaller but improved with foliar K or Fe under Aquaponics nutrient regimes (Fig. 4A-B). The highest root volume was achieved in Fe sprayed green basil in Aquaponics (Fig. 4C). Leaf number was not followed biomass trends, it was greatest in purple basil A-C treatment, lowest in Hoagland + Aquaponics with K sprayed green basil (Fig. 5A). Leaf area was highest for green basil, indicating enhanced photosynthetic capacity and potential yield (Fig. 5B). Foliar sprays of K and Fe has no positive effect on leaf area.
SPAD index and plant pigments
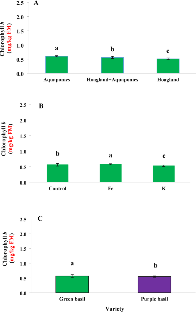
The SPAD index (Fig. 6A) was significantly higher in Hoagland + Aquaponics without and with Fe spray (HA-C and HA-Fe), and in Hoagland control (P-H-C) treatments compared to aquaponics alone and controls. Green basil had generally lower SPAD values across treatments (Fig. 6A). Total chlorophyll content (Fig. 6B) was greatest in green basil treated with Aquaponics + Fe (G-A-Fe), reaching values significantly higher than other treatments. Purple basil’s chlorophyll remained lower overall but showed some increase with Aquaponics and Hoagland + Aquaponics treatments combined with Fe spray. Chlorophyll a (Fig. 6C) followed a similar trend to total chlorophyll, with green basil treatments involving Fe foliar sprays on Aquaponics alone or Hoagland + Aquaponics exhibiting the highest content. The Aquaponics treatments yielded higher chlorophyll b (Fig. 7A). Chlorophyll b content in both green and purple basil was significantly influenced by nutrient solution. Foliar Fe application resulted in higher chlorophyll b content than K or control sprays (Fig. 7B). Green basil showed significantly higher chlorophyll b levels than purple basil, highlighting varietal differences (Fig. 7C). Carotenoid content (Fig. 8A) was maximized in green basil treated with Hoagland solution plus Fe spray (G-H-Fe), significantly exceeding other treatments.
Anthocyanin content (Fig. 8B) was generally higher in purple basil than green, reflecting the natural pigmentation differences. Anthocyanins were elevated in Aquaponics and Hoagland + Aquaponics with K spray, but tended to decrease slightly with foliar Fe sprays in both cultivars.
Nutrient elements
Leaf potassium concentration was significantly higher in green basil treated with Hoagland + Aquaponics with K foliar spray (G-HA-K). Purple basil showed a slightly lower K concentration but followed the same trend, with foliar K treatments outpacing controls and Fe sprays (Fig. 9A). Aquaponics alone treatments had consistently lower K levels indicating possible root zone potassium limitation without foliar supplementation, although, K spray increased the K concentration in aquaponics-grown plants.
Calcium concentration was higher in green basil compared to purple basil under similar treatments (Fig. 9B). Both cultivars increased leaf Ca under foliar K and Fe treatments (with exception of P-HA-Fe). Hoagland + Aquaponics treatments resulted in slightly higher Ca content than Aquaponics alone in K sprayed plants. Sodium content varied less consistently, with some treatments showing minor differences (Fig. 9C). The Hoagland + Aquaponics treatment had slightly elevated Na. Foliar Fe and K application decreased the leaf Na, significantly.
Foliar K and Fe sprays had not positive effect on leaf iron concentration in both cultivars, with green basil consistently exhibiting higher Fe levels than purple basil under A-Fe, HA-K, H-Fe and H-K treatments (Fig. 10A). Manganese concentration was higher in Hoagland solution (Fig. 10B). In the green basil, manganese levels decreased with foliar Fe slightly. Zinc data revealed significant effects of both cultivation system, variety and foliar treatments (Fig. 11). Hoagland + Aquaponics-treated plants showed higher Zn levels compared to Aquaponics and Hoagland alone. Foliar K and Fe sprays variably increased the Zn concentration in plants. Green basil had higher Zn compared to purple variety. Copper concentrations in leaves were highest in Aquaponics treatment, and lower in Hoagland-only treatment (Fig. 12). Foliar Fe and K spray decreased the Cu concentration in plants.
Essential oil
The Fig. 13 illustrates the effects of different cultivation systems and foliar applications of K and Fe on the essential oil content (% dry matter) in the leaves of green basil and purple basil cultivars. The results demonstrate that the essential oil concentration in green basil leaves is consistently higher than in purple basil across all nutrient solution treatments. Plants grown with the aquaponics nutrient solution exhibited greater essential oil content compared to those grown with Hoagland + aquaponics (HA) or Hoagland solutions. Foliar applications of potassium and iron significantly increased essential oil content in both basil cultivars and across all nutrient treatments relative to the control.
Correlation matrix
The correlation analysis (Fig. 14) quantifies the pairwise relationships among morphological, physiological, pigment, mineral, and secondary metabolite traits in green and purple basil plants. The intensity and direction of each correlation are denoted by color (blue for positive, red for negative), with significance denoted by asterisks. Shoot and root fresh and dry mass, root volume, plant leaf area, and single leaf area are highly positively correlated with each other, indicating that increased vegetative growth is tightly coordinated across these traits. Single leaf area and plant leaf area is positively correlated with root volume, root dry mass, shoot fresh and dry mass, but negatively with nod number.
Chlorophyll a and total chlorophyll are positively correlated with root volume, but weakly or negatively correlated with anthocyanin values. Essential oil content has positive correlations with nearly all biomass parameters, indicating a strong association of overall plant growth and oil synthesis. Manganese, Fe, K, and Ca each show varying degrees of correlation with growth and pigment metrics; K and Mn are particularly negatively linked to root/shoot mass and leaf traits. SPAD readings, usually an indicator of greenness, display moderate to strong negative correlations with most growth and essential oils traits. Mn was negatively correlated with growth parameters, pigments and essential oil, and K is negatively correlated with growth parameters, and carotenoids, and positive correlation with Ca.
Pearson correlation analysis between the different studied parameters in basil plants. The colors represent the data variations among the treatments. The r-values of pearson correlation analysis were shown in the grid. The significance levels denoted by asterisks reveal varying degrees of correlation strength, with **** indicating a highly significant correlation (p < 0.001), ** indicating a moderately significant correlation (p < 0.01), * indicating a low significant correlation (p < 0.05), and absence of strikes indicating a non-significant correlation.
Heatmap with hierarchical clustering
The heatmap (Fig. 15) visualizes the effects of various nutrient solution treatments on the morphophysiological and biochemical parameters of green and purple basil plants. The parameters measured span biomass production, root traits, leaf area, photosynthetic pigments, mineral content, and other metabolites.
Treatments G-A-Fe, and G-A-K produced the deepest blue squares for key growth traits, shoot and root biomass, leaf area, root volume, and nod length, indicating strong positive effects compared to the Hoagland and Hoagland + Aquaponics treated plants. G-A-Fe, P-A-Fe and G-HA-Fe also substantially promoted chlorophyll content, while G-A-K most benefited vegetative and root parameters. In contrast, treatments such as G-H-K and P-H-K in green and purple basil indicated negative effects across growth and pigment measures, as shown by the intense red squares. For green basil, Aquaponics + Hoagland (HA) combination treatments supplemented with minerals (G-HA-K, G-HA-Fe) clustered with blue or light blue squares for Ca and K, illustrating improved nutrient content relative to aquaponics or hydroponics alone. Sole Aquaponics treatments tended to reduce Ca, K, and Mn levels, highlighted by red squares, but responses varied across cultivars and nutrient sprays. Taken together, G-A-K treatment most effectively enhanced shoot and root dry mass, essential oil yield, plant leaf area, root volume, and nod length; P-A-K increased root fresh mass, plant height, and leaf number; and G-A-Fe treatment improved shoot fresh mass, root dry mass, essential oil, plant leaf area, root volume, chlorophyll a and total chlorophyll.
Heatmap with hierarchical clustering showing the relationships between the different treatments and the studied parameters. The colors represent the data variations among the treatments. The coding system in treatments (rows) is as follows: The first letter indicates the cultivar (G: green, and P: purple), the second letter represents the cultivation system (A: Aquaponics, H: Hoagland, HA: Hoagland + aquaponics), the third letter specifies the foliar spray (C: without spry, K: potassium spray, and Fe: iron spray). Abbreviations: shoot dry mass (SDM), shoot fresh mass (SFM), root dry mass (SDM), plant leaf area (PLA), single leaf area (LA), root fresh mass (RFM), total chlorophyll (Chl. T), chlorophyll a (Chl. a), iron (Fe), manganese (Mn), calcium (Ca), potassium (K).
Principal component analysis
The biplot (PCA score plot) displays the distribution of treatments applied to green basil and purple basil plants based on the first two principal components (PC1: 42.5%, PC2: 21.09%) (Fig. 16). Each point represents a specific treatment combining nutrient solution (Aquaponics [A], Hoagland [H], Hoagland + Aquaponics [HA]) and foliar application (potassium [K], iron [Fe], or no spray/control [C]). Green basil (G) treatments are clustered primarily in the upper right and upper left quadrants. Notably, G-A-K and G-A-Fe (green basil, Aquaponics, sprayed with K or Fe) are at the far right, indicating distinct profiles from other green basil treatments. Green basil with Hoagland (G-H-K, G-H-Fe, G-H-C) and Hoagland + Aquaponics (G-HA-K, G-HA-Fe, G-HA-C) cluster closer together in the upper left quadrant, showing relative similarity in their measured plant traits. Purple basil (P) treatments occupy the lower half of the plot. P-A-K, P-A-Fe, and P-A-C (Aquaponics only) are positioned in the lower-right quadrant, while all other purple basil treatments (with Hoagland, HA, and respective foliar sprays) cluster on the lower left, with P-HA-Fe showing the most separation. The plot shows a clear separation between green and purple basil treatments, suggesting substantial differences in their response to nutrient and foliar regimens.
Principal component analysis (PCA) based on plant characteristics measured under different treatment conditions. The coding system in the figure is as follows: The first letter indicates the cultivar (G: green, and P: purple), the second letter represents the cultivation system (A: Aquaponics, H: Hoagland, HA: Hoagland + Aquaponics), the third letter specifies the foliar spray (C: without spry, K: potassium spray, and Fe: iron spray).
Discussion
The results of this experiment reveal the critical role of nutrient solution type and foliar mineral supplementation in modulating basil growth, morphology, and biomass. The Aquaponics solution generally outperformed Hoagland + Aquaponics or Hoagland, likely due to optimized nutrient balance from both organic and mineral sources enhancing plant nutrition and growth34,35. Foliar application of K consistently improved shoot and root biomass, and plant height across cultivars and nutrient solutions. Potassium’s role in osmotic regulation and enzyme activation likely contributed to improved vigor36. Foliar Fe application also enhanced plant biomass and height but less consistently than K, reflecting its specific function in chlorophyll synthesis and photosynthesis efficiency26. Green basil showed superior growth responses compared to purple basil in biomass production, possibly reflecting cultivar differences in nutrient uptake efficiency or metabolism37. The treatments without foliar application showed the lowest growth and biomass. This suggests that Aquaponics and Hoagland nutrient solutions, may require supplementation with key elements like K and Fe to achieve optimal basil growth35. The researchers indicated that foliar application of some elements can effectively alleviate nutrient deficiencies in tomatoes grown on aquaponics12. In terms of plant height, purple basil under Aquaponics with K spray (P-A-K) attained the greatest values, indicating superior vegetative growth, while green basil exhibited shorter plants overall but benefitted from K or Fe sprays in the Hoagland solution. Hoagland alone generally resulted in lower growth metrics. Shoot fresh mass and dry mass were highest in green basil with A-K treatment, followed by A-Fe, highlighting the beneficial effect of combined aquaponics nutrient solutions and foliar mineral applications for biomass accumulation. Purple basil showed similar but muted trends. Root fresh and dry mass, patterns mirrored shoot biomass results, with green basil A-K and A-Fe treatments exhibiting significantly enhanced root growth. Leaf number and leaf area also peaked in Aquaponics, favoring greater photosynthetic potential. In a study on tomato plants, it was reported that the growth characteristics of the plant were higher under Hoagland nutrient concentrations compared to those grown in aquaponic conditions12. The higher growth characteristics of tomato plants in the hydroponic system were attributed to the higher concentration of Hoagland nutrient elements compared to Aquaponics. Although some research has been done on plant nutrition conditions related to the lower growth characteristics of plants in the aquaponic system compared to hydroponic cultivation, plant species show different reactions under different conditions. A study on spinach (Spinacia oleracea L.) plants in aquaponic conditions showed that the growth characteristics of spinach were higher compared to hydroponic conditions, and the increase in growth characteristics of spinach in aquaponic conditions was attributed to increased root growth and higher nutrient uptake38. Roosta39 (2014) also showed in a study on green basil plants that the fresh root mass under Hoagland nutrient conditions with aquaponic solution was higher than the plants fed with Hoagland solution alone. The presence of superior compounds like organic compound in aquaponic solution can play an important role in increasing plant growth.
In general, in the aquaponic system, since the excreta from the fish contains varying amounts of mineral elements, some elements such as potassium and some micronutrients are less than the required amount in the nutrient solution for the plants. Therefore, foliar application of some elements such as potassium and iron can improve the growth and functional characteristics of the plant40. The results of the present study showed that foliar application of potassium and iron significantly increased the vegetative characteristics such as height, shoot fresh mass, root fresh mass, shoot dry mass, and root dry mass of green basil under aquaponic nutrient conditions. Roosta and Hamidpour12 in a study on the application of potassium and iron foliar spray on tomato plants under aquaponic and hydroponic conditions showed that the vegetative growth of tomato plants in the aquaponic system increased with the application of potassium and iron foliar spray, but the application of potassium and iron had no effect on the growth characteristics of the plant under hydroponic conditions. The increase in growth characteristics of aquaponics-grown plants by the application of iron may be due to the insufficient amount of Fe in this culture system, and the role of iron in many enzymes involved in physiological and biochemical processes, which leads to an increase in physiological processes such as photosynthesis41.
The combined use of Hoagland + Aquaponics (HA) nutrient solution consistently enhanced SPAD index values, particularly in purple basil. This suggests improved nutrient availability and uptake under mixed nutrient regimens, supporting enhanced photosynthetic potential. Aquaponics alone often resulted in higher pigment contents in Fe sprayed plants, indicating possible nutrient limitations or imbalances inherent in the aquaponics system without supplementation35. It is proven that the utilization of aquaponics solutions cannot completely replace a profitable and efficient hydroponic solution for plant cultivation42. Iron foliar application notably boosted chlorophyll concentration, reflecting Fe crucial role in photosynthesis, chlorophyll synthesis, and photoprotection. Foliar sprays of K slightly increased anthocyanin levels in all nutrient solution type compared to controls, possibly due to its effects on anthocyanin biosynthesis43. Green basil showed higher pigment contents (chlorophylls and carotenoids) than purple basil, consistent with their leaf color and physiological differences. Purple basil accumulated more anthocyanins, especially in the presence of K sprays, aligning with their natural pigmentation and antioxidant profile. Kumar and Kumar44 reported that foliar application of potassium sulfate resulted in an increase in the relative chlorophyll content. These researchers also stated that the increase in the activity of the photosynthetic apparatus due to the increase in the relative chlorophyll content in the leaves could be due to the role of potassium in the synthesis of the precursor of chlorophyll pigments. Potassium also plays an effective role in activating the enzymes of the chlorophyll biosynthesis pathway and also increasing the activity of antioxidants in protecting against chlorophyll degradation. Pal and Ghosh45 reported that the application of potassium sulfate and potassium chloride resulted in an increase in the amount of leaf chlorophyll in coriander plants. They also showed that the application of potassium increased the rate of nitrate uptake, which resulted in increased chlorophyll synthesis in the leaves.
The results of the current study showed that foliar application of green and purple basil plants with iron increased leaf chlorophyll content compared to the control treatment, which is consistent with the results of Roosta and Mohsenian46 on pepper. Roosta et al.47 addressed the role of iron in chlorophyll content and the photosynthetic system and showed that iron deficiency not only reduces chlorophyll content but also disrupts the electron transport chain, likely due to the role of iron in the structure of chlorophyll and the photosynthetic apparatus. Additionally, the leaf chlorophyll content of lemon plants increased due to foliar application of iron chelate under hydroponic conditions48, which is consistent with the results of the current study.
Foliar K spray, effectively increased K leaf concentration, demonstrating successful foliar uptake and translocation. It has been reported that, potassium foliar application increased leaf potassium levels in sunflower plants49. Potassium application and foliar spraying also significantly increased potassium uptake by cotton (Linum usitatissimum L.) plant roots50. The results also showed that iron foliar application increased the potassium levels in basil leaves. A study on Spathiphyllum (Spathiphyllum wallisii L.) indicated that the foliar application of various iron sources increased potassium levels. They found that foliar application of different iron sources led to increased plant growth, particularly root growth, by enhancing photosynthesis rates and dry matter production, which in turn improved water and nutrient uptake50. The amounts of essential macronutrients like potassium, nitrogen, and phosphorus in spinach increased due to iron application, aligning with the results of the present study51.
The present study’s results demonstrated that the leaf calcium content in the Hoagland solution with aquaponic solution was significantly higher, while plants grown in the aquaponics system had lower calcium levels. This is attributed to the lower calcium content in the aquaponics solution and the higher calcium levels in the Hoagland + Aquaponics solution, which aligns with Mangeli’s40 findings on tomato plants. Two distinct experiments reported no significant difference in the leaf calcium content of green basil and mint plants grown under aquaponics and hydroponics52,53. One study indicated that the calcium content of the aerial parts of basil plants grown in aquaponics increased due to the application of micronutrients52, which corresponds with the current findings. Additionally, a study on pepper plants showed that the foliar application of various iron sources increased calcium levels in both leaves and roots under aquaponics conditions46.
Micronutrients are essential elements that play a significant role in plant production and performance. They are primarily involved in enzymatic interactions within the plant and are key components of photosynthetic enzymes that facilitate energy transfer in plant cells and the synthesis of essential compounds54. Manganese and copper are metal components of superoxide dismutase enzymes55. Under conditions of copper and manganese deficiency, the rate of photosynthesis and plant carbohydrate levels decrease43. Among micronutrients, zinc plays an important role in RNA metabolism and ribosome content, stimulating the metabolism of carbohydrates, proteins, and DNA in plant cells56. Iron is a transition element, primarily involved in oxidation-reduction reactions. Additionally, iron plays a role in photosynthesis and the formation of chlorophyll molecules, which is why iron-deficient plants appear chlorotic55.
A study on peppermint and common mint revealed that the zinc content in the aerial parts was higher under aquaponics compared to hydroponics, while the iron and manganese levels were lower in aquaponics than in hydroponics52. Roosta and Arabpour53 showed that the iron and manganese levels in two basil cultivars were higher under hydroponics compared to aquaponics, while the zinc content was greater under aquaponics than hydroponics. Mangeli40 found that the leaf iron concentration in hydroponics was higher than in aquaponics, which aligns with the current findings. The low iron levels in aquaponics can be attributed to the low amounts found in fish waste; consequently, iron absorption decreases. Since the absorption of iron and zinc has an antagonistic relationship, a reduction in iron levels in the root environment increases zinc absorption51. Green and purple basil differed in their mineral profiles: green basil accumulated more K, Ca, Fe, Mn, and Zn compared to purple basil. These differences may reflect genotypic variations in nutrient uptake efficiency, metabolic needs, or translocation capacities. The combined Hoagland + Aquaponics solution consistently supported higher leaf K content than Aquaponics alone, highlighting the limitations of K availability in solely aquaponics-based systems and the benefit of supplementing K-rich solutions. These results align with findings from studies on tomato40 and basil39 plants. Increased leaf K content, is crucial for improving the nutritional and functional quality of basil leaves, enhancing their health benefits and market value. These improvements are achievable by integrating foliar sprays with optimized nutrient solutions, tailoring to cultivar-specific needs.
The higher essential oil content under aquaponics nutrient solution may be due to the unique nutrient composition and natural organic compounds derived from fish waste, which possibly act as elicitors enhancing secondary metabolite pathways in basil. In a study on mint and peppermint under aquaponic and hydroponic conditions, it was found that the essential oil content of common mint was not significantly affected by the cultivation conditions, while the essential oil of peppermint was higher in aquaponics than in hydroponics52. In the all three nutrient solutions of current experiment, potassium foliar application increased essential oil concentration in basil plants. Potassium, being crucial for enzyme activation and osmotic regulation, likely supports the metabolic processes involved in terpenoid and phenolic synthesis contributing to essential oils57. Research related to potassium application on essential oil content indicated that potassium application increased the essential oil yield of oregano (Origanum vulgare L.) plants58. It has been reported that the essential oil content and composition of thyme significantly increased due to the application of potassium, phosphorus, and nitrogen, and the increase in essential oil content from these nutrient element applications can be attributed to their effects on photosynthetic indices, as photosynthesis has a direct relationship with the quantity and production of essential oils59. In a study on holy basil, it was shown that the application of iron chelate significantly increased the essential oil yield and performance of this plant60. In the all three nutrient solutions of current experiment, iron foliar application also increased essential oil concentration in basil plants. Iron, essential for chlorophyll formation and electron transport, may indirectly promote biosynthetic pathways that influence essential oil accumulation60.
Green basil inherently produces more essential oils than purple basil, possibly due to genetic and biochemical pathway differences related to volatile compound production and leaf morphology, which affects oil gland density and biosynthesis. The aquaponics nutrient solution with foliar potassium or iron sprays presents a promising strategy to enhance essential oil yield, thereby improving the aromatic and commercial quality of basil products in sustainable production systems.
The strong positive correlations among all mass and leaf area variables highlight that shoot and root growth, expansion, and productivity are improved simultaneously under optimal nutrient regimens, especially when key minerals such as K and Fe are provided. This is consistent with literature showing that foliar or nutrient solution supplementation of these elements stimulates both above- and below-ground growth in basil60. The generally weaker correlation of Fe with most growth and pigment metrics, but stronger negative correlation with anthocyanin trait, aligns with Fe specific role in photosynthetic efficiency and enzyme activation47. However, under conditions where root uptake of Fe is constrained (e.g., pH fluctuations in aquaponics), foliar Fe becomes pivotal. The inverse relationships between SPAD and growth indices might suggest that while SPAD is useful for estimating greenness or N-content, it may not fully reflect photosynthetic pigment abundance or plant vigor in basil under variable mineral regimens. Essential oil content is maximized when general plant vigor (biomass, leaf area) is high, reinforcing the need for robust nutritional support throughout development.
The matrix supports the agronomic relevance of foliar K and Fe sprays for maximizing fresh and dry mass, pigment concentration (only Fe spray), and valuable secondary metabolites (like essential oils) in Aquaponics-grown green basil. In the same conditions, treatments that optimize root growth and enable higher leaf area are also those that enhance functional compound production. The observed inter-relationships allow growers to target nutritional interventions that synergistically boost several economically desirable basil traits at once.
The heatmaps illustrate strong treatment-specific and species-specific responses in basil physiology and potassium and iron foliar sprays produced the most consistent and significant positive effects on biomass accumulation, chlorophyll content, and mineral assimilation in both green and purple basil, especially when supplied aquaponics solution. Potassium is required in high amounts for optimal plant growth and metabolic function, and its foliar application effectively overcame potential root-zone limitations, especially in aquaponics, where K supply may sometimes be limiting35.
Iron foliar application directly increased shoot growth in all three cultivation systems, and chlorophyll formation in Aquaponics and aquaponics + Hoagland cultivation systems. This is attributable to improved Fe bioavailability via the leaf, bypassing nutrient solution constraints such as high pH and precipitation, which are known issues in water-based growing systems41.
Aquaponics-treated plants consistently supported the highest growth and physiological parameters, highlighting the sufficiency of mineral nutrition in these recipes for basil. Hoagland-based treatments, particularly without supplementary minerals, resulted in suboptimal performance for most traits. Green basil showed the most dramatic improvements from Fe and K sprays on nearly all measured growth and pigment indices, suggesting greater responsiveness or higher demand for these nutrients compared to purple basil under aquaponics conditions.
The biplot clearly separates green basil and purple basil treatments, especially along PC2 (21.09%), indicating that genotype (plant color/variety) is a major source of variation in response to nutrient solution and foliar spray combinations. This separation reflects intrinsic physiological or biochemical differences between green and purple basil. Aquaponics solutions (A) for both green and purple basil treatments (G-A-K, G-A-Fe, G-A-C; P-A-K, P-A-Fe, P-A-C) occupy distinctive positions compared to Hoagland and HA treatments. This likely indicates that aquaponics solution imparts a unique nutrient composition or triggers different plant metabolic responses, diverging considerably from mineral-based solutions. Hoagland (H) and Hoagland + Aquaponics (HA) treatments cluster closer for each basil variety, suggesting their more similar effects on plant physiological state compared to pure Aquaponics. This highlights the stabilizing and nutrient-comprehensive impact of standard or mixed mineral solutions. Within each nutritional group, foliar treatments modulate plant performance patterns but to a lesser magnitude than genotype or nutrient solution. For green basil, K and Fe sprays in Aquaponics produce the strongest separation (G-A-K, G-A-Fe), suggesting that these foliar applications maximize the expression of distinct traits not achieved with controls. Similar but less pronounced trends appear in purple basil, with P-HA-Fe showing the highest divergence within HA-based treatments. Green basil grown in Aquaponics with foliar K or Fe (G-A-K, G-A-Fe) exhibit the most distinct trait profiles, likely reflecting enhanced growth and/or bioactive compound accumulation unique to these treatment combinations. Purple basil responds most distinctly to Aquaponics treatments (P-A-K, P-A-Fe, P-A-C), which cluster away from HA and H-based treatments, further underlining genotype-dependent nutrient solution × foliar interaction effects.
Conclusion
This study shows that basil growth and biomass are significantly improved by using Aquaponics nutrient solution combined with foliar K and Fe sprays. Green basil exhibited a more vigorous response compared to purple basil comparing stem diameter, stem and root biomass, and leaf area. Optimal production in Aquaponics systems requires foliar mineral supplementation, particularly K, to maximize yield and development. Nutrient solutions and foliar sprays also influenced pigment composition and photosynthetic capacity, with the best results achieved under Aquaponics and Hoagland + Aquaponics with Fe spray in green basil. Mineral nutrient content including K and Zn was enhanced by combining these nutrient systems with foliar K and Fe applications, compensating for Aquaponics’ nutrient limitations. Essential oil content was higher in Aquaponics-grown plants and further increased by K and Fe sprays, especially in green basil. Overall, coordinated mineral nutrition and foliar supplementation are critical for elevating growth, quality, and nutritional value in controlled basil cultivation. Cultivar was a major factor in differential responses, highlighting the need for cultivar-specific nutrient strategies. It is also possible that they are two different genotypes, other scientists and studies would have to find that out. These findings support optimized aquaponics designs integrating mineral foliar nutrition for sustainable high-quality basil production.
Data availability
The data presented in this study are available on request from the corresponding authors. The data are not public.
References
Abdallah, E. M., Alhatlani, B. Y., de Paula Menezes, R. & Martins, C. H. G. Back to nature: medicinal plants as promising sources for antibacterial drugs in the post-antibiotic era. Plants. 12, (2023).
Panahinia, M., Sanikhani, M. & Kheyri, A. Effects of nitrogen and iron fertilizers on photosynthetic pigments and essential oil yield of purple basil. In Eighteenth National Congress and Seventh International Congress of Iranian Biology (2016).
Filip, S. Basil (Ocimum Basilicum L.) a source of valuable phytonutrients. Int J. Clin. Nutr. Diet 3, (2017).
Putra, P. A. & Yuliando, H. Soilless culture system to support water use efficiency and product quality: A review. Agric. Agric. Sci. Procedia. 3, 283–288 (2015).
Smith, J. Hydroponics: A practical guide for the soilless grower. Horttechnology 15, 731 (2018).
UNDP. Human Development Report. (2009).
Alexandratos, N. Expert Meeting on ‘How to feed the world in 2050’. Critical evaluation of selected projections. (2010).
Azad, K. N., Salam, M. A. & Azad, K. N. Aquaponics in Bangladesh: current status and future prospects. J. Biosci. Agric. Res. 669–677. https://doi.org/10.18801/jbar.070216.79 (2016).
Goddek, S. et al. Challenges of sustainable and commercial aquaponics. Sustain 7, 4199–4224 (2015).
Rakocy, J. E., Shultz, R. C., Bailey, D. S. & Thoman, E. S. Aquaponic production of tilapia and basil: comparing a batch and staggered cropping system. Acta Hortic. 648, 63–69 (2004).
Piacco, R. Fish culture in rice fields. Risicoltura 35, 144–147 (1986).
Roosta, H. R. & Hamidpour, M. Effects of foliar application of some macro- and micro-nutrients on tomato plants in aquaponic and hydroponic systems. Sci. Hortic. (Amsterdam). 129, 396–402 (2011).
Espinosa-Moya, A., Alvarez-Gonzalez, A., Albertos-Alpuche, P., Guzman-Mendoza, R. & Martínez-Yáñez, R. Growth and development of herbaceous plants in aquaponic systems. Acta Univ. 28, 1–8 (2018).
Mourantian, A., Aslanidou, M., Mente, E., Katsoulas, N. & Levizou, E. Basil functional and growth responses when cultivated via different aquaponic and hydroponics systems. PeerJ. 11, (2023).
Lewis, W. M., Yopp, J. H., Schramm, H. L. & Brandenburg, A. M. Use of hydroponics to maintain quality of recirculated water in a fish culture system. Trans. Am. Fish. Soc. 107, 92–99 (1978).
Attafy, T. & Elsbaay, A. Integrated management of fish (Nile Tilapia) and leaf vegetable crop (Head Lettuce) culture under drip irrigation system. Misr J. Agric. Eng. 35, 105–124 (2018).
Rotaru, M., Manuel, L. & Sîrbu, D. Comparative study on the growth and development of lettuce (Lactuca sativa Lollobionda) in Aquaponic system and hydroponic system. J. Young Sci. VII, (2019).
Marschner, H. Marschner’s mineral nutrition of higher plants. Miner. Nutr. High. Plants (2012).
Lester, G. E., Jifon, J. L. & Makus, D. J. Impact of potassium nutrition on postharvest fruit quality: Melon (Cucumis melo L) case study. Plant. Soil. 335, 117–131 (2010).
Sardans, J. & Peñuelas, J. Potassium control of plant functions: ecological and agricultural implications. Plants 10, 1–31 (2021).
Zhao, C., Liu, J., Zhu, F. & Wang, S. Effects of foliar application of potassium fertilizer on anatomical and physiological changes of Neosinocalamus affinis leaves. Forests. 16, (2025).
Ishfaq, M., Kiran, A., Wakeel, A., Tayyab, M. & Li, X. Foliar-applied potassium triggers soil potassium uptake by improving growth and photosynthetic activity of wheat and maize. J. Plant. Nutr. 46, 2691–2706 (2023).
Ahmed, F. & Ahmed, O. Integrated chemical fertilizer management for mulberry (Morus spp.) plant production. Int. J. Trop. Agric. 2, 13–20 (2015).
Molnár, Z., Solomon, W., Mutum, L. & Janda, T. Understanding the mechanisms of Fe deficiency in the rhizosphere to promote plant resilience. Plants. 12, (2023).
Welch, R. M., Norvell, W. A., Schaefer, S. C., Shaff, J. E. & Kochian, L. V. Induction of iron(III) and copper(II) reduction in pea (Pisum sativum L.) roots by Fe and Cu status: Does the root-cell plasmalemma Fe(III)-chelate reductase perform a general role in regulating cation uptake? Planta. 190, 555–561 (1993).
Taiz, L. & E. Z. Plant Physiology (Sinauer Assoc. Inc., 2002).
Graber, A. & Junge, R. Aquaponic systems: nutrient recycling from fish wastewater by vegetable production. Desalination 246, 147–156 (2009).
Marchi, A. et al. Towards a free wild-caught fishmeal, fish oil and soy protein in European sea bass diet using by-products from fishery and aquaculture. Aquaculture 573, (2023).
Porra, R. J. The chequered history of the development and use of simultaneous equations for the accurate determination of chlorophylls a and b. Discov. Photosynth.. 633–640. https://doi.org/10.1007/1-4020-3324-9_56 (2006).
Lichtenthaler, H. K. & Wellburn, A. R. Determinations of total carotenoids and chlorophylls a and b of leaf extracts in different solvents. Biochem. Soc. Trans. 11, 591–592 (1983).
Wagner, G. J. Content and vacuole/extravacuole distribution of neutral sugars, free amino acids, and anthocyanin in protoplasts. Plant. Physiol. 64, 88–93 (1979).
Estefan, G. & Sommr, R. R. J. Methods of Soil, plant and water analysis. Int. Cent. Agric. Res. Dry. Areas 3, (2013).
Charles, D. J. & Simon, J. E. A new geraniol chemotype of Ocimum gratissimum L. J. Essent. Oil Res. 4, 231–234 (1992).
Khan, S. & Muhammad, D. Effects of organic amendments and mineral fertilizers on optimizing nutrient cycling in alkaline soil. Plant. Bull. 3, 26–35 (2024).
Bittsánszky, A. et al. Nutrient supply of plants in aquaponic systems. Ecocycles 2, 17–20 (2016).
Ragel, P., Raddatz, N., Leidi, E. O., Quintero, F. J. & Pardo, J. M. Regulation of K+ nutrition in plants. Front. Plant. Sci. 10, (2019).
Lin, K. H., Huang, M. Y. & Hsu, M. H. Morphological and physiological response in green and purple basil plants (Ocimum basilicum) under different proportions of red, green, and blue LED lightings. Sci. Hortic. (Amsterdam). 275, (2021).
Endut, A., Jusoh, A., Ali, N., Nik, W., Hassan, A. & W. N. S. & Effect of flow rate on water quality parameters and plant growth of water spinach (Ipomoea aquatica) in an aquaponic recirculating system. Desalin. Water Treat. 5, 19–28 (2009).
Roosta, H. R. Comparison of the vegetative growth, eco-physiological characteristics and mineral nutrient content of basil plants in different irrigation ratios of hydroponic:aquaponic solutions. J. Plant. Nutr. 37, 1782–1803 (2014).
Mangeli, A. Effect of Calcium Nitrate Foliar Application on Vegetative Growth and some Physiological Characteristics of Tomato in Hydroponic and Aquaponic Systems (Vali-e-Asr University of Rafsanjan, 2016).
Waqas, M. et al. Impact of iron sulfate (FeSO4) foliar application on growth, metabolites and antioxidative defense of Luffa cylindrica (Sponge gourd) under salt stress. Sci. Rep. 14, (2024).
Andriani, Y., Dhahiyat, Y., Zahidah, Z. & Zidni, I. The effect of stocking density ratio of fish on water plant productivity in aquaponics culture system. Nusant Biosci. 9, 31–35 (2017).
Taiz, J. & Zeiger, E. Plant Physiology (Benjamin/Cummings Publication Company, 2001).
Kumar, A. R., Kumar, N. & Jeyakumar, P. Studies on the efficacy of sulphate of potash (SOP) on the physiological, yield and quality parameters of banana cv. Robusta (Cavendish- AAA). J. Biosci. 4, 655–659 (2008).
Pal, P. & Ghosh, P. Effect of different sources and levels of potassium on growth, flowering and yield of African marigold (Tagetes erecta Linn.) cv. ‘Siracole’. Indian J. Nat. Prod. Resour. 1, 371–375 (2010).
Roosta, H. R. & Mohsenian, Y. Effects of foliar spray of different Fe sources on pepper (Capsicum annum L.) plants in aquaponic system. Sci. Hortic. (Amsterdam). 146, 182–191 (2012).
Roosta, H. R., Estaji, A. & Niknam, F. Effect of iron, zinc and manganese shortage-induced change on photosynthetic pigments, some osmoregulators and chlorophyll fluorescence parameters in lettuce. Photosynthetica 56, 606–615 (2018).
Zavar, H. The Effect of Foliar Application of Different Levels of Nano Iron Chelate and Nano Super Micro on Growth characteristics, Essential Oil Yield and Antioxidant Properties of Lemon Plants Under Soilless Cultivation Conditions (Vali-E-Asr University, 2014).
Jabeen, N. & Ahmad, R. Foliar application of potassium nitrate affects the growth and nitrate reductase activity in sunflower and safflower leaves under salinity. Not Bot. Horti Agrobot Cluj-Napoca. 39, 172–178 (2011).
Sawan, Z. M., Mahmoud, M. H. & El-Guibali, A. H. Influence of potassium fertilization and foliar application of zinc and phosphorus on growth, yield components, yield and fiber properties of Egyptian cotton (Gossypium barbadense L). J. Plant. Ecol. 1, 259–270 (2008).
EL-Aila, H. I., EL-Sayed, S. A. & Yassen, A. A. Response of spinach plants to nanoparticles fertilizer and foliar application of iron. Int. J. Environ. 4, 181–185 (2015).
Roosta, H. R. & Ghorbani, F. Investigation of the growth and development, essential oil and minerals content in two species of mint in hydroponics and aquaponics. J. Sci. Technol. Greenh. Cult. 2, 19–28 (2011).
Roosta, H. R. & Arabpour, S. Comparision of the growth, mineral nutrient concentrations and essential oil of two Iranian local basil (Ocimum basilicum) in hydroponic and aquaponic systems. J. Hortic. Sci. (Agric. Sci. Technol.) 27, 235–246 (2013).
Bhat, B. A. et al. Role of micronutrients in secondary metabolism of plants. Plant. Micronutr. Defic. Toxic. Manag. 311–329. https://doi.org/10.1007/978-3-030-49856-6_13 (2020).
Marschner’s mineral nutrition of higher plants. Miner. Nutr. High. Plants 89, (2012).
Ayad, H. S., Reda, F. & Abdalla, M. S. A. Effect of putrescine and zinc on vegetative growth, photosynthetic pigments, lipid peroxidation and essential oil content of geranium (Pelargonium graveolens L). World J. Agric. Sci. 6, 601–608 (2010).
Chrysargyris, A., Drouza, C. & Tzortzakis, N. Optimization of potassium fertilization/nutrition for growth, physiological development, essential oil composition and antioxidant activity of Lavandula angustifolia mill. J. Soil. Sci. Plant. Nutr. 17, 291–306 (2017).
Said-Al Ahl, H. A. H., Ayad, H. S. & Hendawy, S. F. Effect of potassium humate and nitrogen fertilizer on herb and essential oil of oregano under different irrigation intervals. Ozean J. Appl. Sci. 2(3), 319–323 (2009).
Pavela, R., Žabka, M., Vrchotová, N. & Tříska, J. Effect of foliar nutrition on the essential oil yield of thyme (Thymus vulgaris L). Ind. Crops Prod. 112, 762–765 (2018).
Moghadam, E. et al. The effect of foliar application of iron chelate type on morphological traits and essential oil content of holy basil (Ocimum sanctum). Cabdirect.Org (2015).
Funding
The authors received no specific funding for this work.
Author information
Authors and Affiliations
Contributions
Conceptualization, H.R.R., M.R.; methodology, H.R.R., S.M.A.R.; software, H.R.R., S.M.A.R.; validation, H.R.R., S.M.A.R.; formal analysis, H.R.R., S.M.A.R.; investigation, H.R.R., S.M.A.R., M.R.; resources, H.R.R., S.M.A.R.; data curation, H.R.R., S.M.A.R.; writing—original draft preparation, H.R.R.; writing—review and editing, H.R.R.; visualization, H.R.R.; supervision H.R.R., M.R.; project administration H.R.R.; funding acquisition, H.R.R., S.M.A.R.; All authors reviewed the manuscript.
Corresponding author
Ethics declarations
Ethical statement
No plants were collected in this experiment. Green (Italian large leaf basil) and purple basil seeds were purchased from commercial company (Bazaram Seed Co., Sari, Iran). In the all experiments on plants/plant parts in the present study, the use of plants complies with international, national and/or institutional guidelines.
Competing interests
The authors declare no competing interests.
Additional information
Publisher’s note
Springer Nature remains neutral with regard to jurisdictional claims in published maps and institutional affiliations.
Rights and permissions
Open Access This article is licensed under a Creative Commons Attribution-NonCommercial-NoDerivatives 4.0 International License, which permits any non-commercial use, sharing, distribution and reproduction in any medium or format, as long as you give appropriate credit to the original author(s) and the source, provide a link to the Creative Commons licence, and indicate if you modified the licensed material. You do not have permission under this licence to share adapted material derived from this article or parts of it. The images or other third party material in this article are included in the article’s Creative Commons licence, unless indicated otherwise in a credit line to the material. If material is not included in the article’s Creative Commons licence and your intended use is not permitted by statutory regulation or exceeds the permitted use, you will need to obtain permission directly from the copyright holder. To view a copy of this licence, visit http://creativecommons.org/licenses/by-nc-nd/4.0/.
About this article
Cite this article
Roosta, H., Rezaei, S.M.A. & Raghami, M. Foliar application of potassium and iron enhances biomass and essential oil production of basil cultivated in aquaponics and hydroponics. Sci Rep 16, 3828 (2026). https://doi.org/10.1038/s41598-025-33937-0
Received:
Accepted:
Published:
Version of record:
DOI: https://doi.org/10.1038/s41598-025-33937-0


















