Abstract
The high thermal conductivity of SiC single crystals makes them crucial in fields such as renewable energy and aerospace. Nevertheless, owing to the phonon scattering resulting from crystal boundary, the reported thermal conductivity of SiC ceramic is always well below the intrinsic value. For the SiC ceramic derived from β-SiC (3 C-SiC) starting powder, the β→α phase transformation (i.e. 3 C→4 H) happened imposes significant influences on its microstructure. Therefore, systematic studies of contributions from hetero-/homo- phase boundaries are necessary for understanding the thermal conductivities of resulting SiC ceramic, providing further guidance to the phase transformations control. In this work, the thermal conductivities of both β/β and α/α homophase boundary, as well as β/α heterophase boundary, are systematically investigated. Further, it is found that the highest thermal conductivity is reached at sintering temperature of around 2000 °C, where about 90% of SiC has been transformed from β to α content.
Similar content being viewed by others
Introduction
SiC ceramics, possessing attributes such as substantial strength, remarkable rigidity, and impressive resistance to corrosion, oxidation, and radiation, serve as crucial structural materials across a diverse range of industries. A wide variety of applications for energy saving and heat dissipation, such as heating elements, virtual wafers, heat exchangers, LED radiators, substrates, fusion reactor walls, solar concentrators, and all-ceramic microencapsulated fuels, need to take advantages of their superior thermal conductivity1,2,3,4,5,6. Therefore, the studies and thereby enhancing thermal conductivity of SiC play important roles for promoting the applications of SiC ceramics within thermal conduction and dissipation fields.
According to the estimation made by Slack, the thermal conductivity of SiC single crystal at room temperature is around 490 W/mK2,5,6,7. In contrast, the highest reported value of thermal conductivities for SiC ceramics in the same case is about 270 W/mK6,7,8. Attributing to its covalent bonding, SiC transfers its heat mainly through phonons2,9,10,11. Through introducing vacancies that scatter phonons and thus decrease the thermal conductivity, the presence of oxygen within SiC lattice is in the list of the primary harmful contributors that influence the heat transfer capability of SiC ceramic substances5,7,12. Currently, there is a novel fabrication strategy developed to derive SiC ceramics with high thermal conductivities where the lattice oxygen is primarily removed through the Ostwald ripening during β→α phase transition, and smaller grains are dissolved within the liquid and subsequently re-precipitated into larger grains5. The introduced heterophase boundary (the boundary where different phases come into contact) and homophase boundaries (the boundary where the same phase comes into contact), coupled with increasing grain size impose distinct phonon-scattering (phonons undergo interactions during propagation, leading to changes in the energy and direction of phonon propagation) effects on thermal conductivity of SiC ceramic2,5,6. Therefore, the studies of the thermal conductivity for SiC ceramics after phase transformation offer a theoretical guidance to enhancing the thermal properties of SiC ceramics.
At present, the calculations of thermal conductivity for SiC are mainly concentrated in the field of single crystal; and two primary strategies exist for calculating the thermal conductivity of SiC, which are based either on phonon Boltzmann transfer equation or molecular dynamics simulation4,13,14. Maldovan et al.15 discovered that the thermal conductivities of polycrystalline SiC materials are fundamentally controlled by the decrease of grain thermal conductivity by employing kinetic theory of transport processes. Samolyuk et al.16 explored the effect of vacancy and microvoid on the thermal conductivity of Si and 3 C-SiC by using Green-Kubo MD method. Kingery et al.13 proposed a thermal conductivity model for multiphase systems, linking single-phase and multiphase systems. Mao et al.3 evaluated the role of point defects in affecting thermal conductivity of bulk crystalline 3 C-SiC phonons at 750 K and 1098 K using inverse non-equilibrium molecular dynamics method. Wang et al.17 implemented molecular dynamics (MD) to calculate the impact of temperature and cascade collisions of 3 C-SiC on the thermal conductivity.
This work aims to investigate the synergy effects of grain size, symmetric tilt grain boundaries, and symmetric twist grain boundaries on the thermal conductivity during the β/α phase transformation of SiC. In particular, the thermal conductivities of both α/α and/or β/β homophase boundary and β/α heterophase boundary are investigated; where equilibrium molecular dynamics is implemented to computer the thermal conductivity of 3 C-SiC and 4 H-SiC single crystals at different temperatures, and non-equilibrium molecular dynamics is adopted to evaluate the thermal resistance of symmetric inclined grain boundaries and symmetric twisted grain boundaries at different angles and temperatures. Based on that, the polycrystalline thermal conductivities of 3 C-SiC and 4 H-SiC at different temperatures and grain boundary angles are analyzed. And finally, the thermal conductivities of SiC ceramics after β→α phase transformation at different sintering temperatures are derived.
Model construction and calculation details
Establishment of single crystal model
This paper explores the thermal conductivities of SiC ceramics after phase change at different sintering temperatures; where the phase transformation process unfolds in the order of 3 C transitioning to 6 H, followed by a further transformation to 4 H2,18. Due to the 6 H phase, as the intermediate phase, does not account for the thermal conductivity at the final stage of phase transformation; moreover, the thermal conductivities of 4 H and 6 H with the same crystal orientation are approximately equivalent19, this work focuses on the studies of the phase transformation process 3 C→4 H. In order to compare the performance of non-equilibrium molecular dynamics and equilibrium molecular dynamics on the single crystal thermal conductivities, both of the strategies are employed and attempted. All of the computations adopt periodic boundaries on x, y, z. For equilibrium molecular dynamics, the thermal conductivity is independent of cell dimension16; and thus, following the cell size chosen by Samolyuk et al.16, a cell unit of 6 × 6 × 6 is adopted. For non-equilibrium molecular dynamics, due to the periodic boundary conditions allow phonons to move freely on the cross section that is at a right angle to the path of heat flow without boundary scattering4,20, the cross-sectional cell size of non-equilibrium molecular dynamics and cross-sectional cell size of equilibrium molecular dynamics above are selected as 6 × 6. While aligned with the path of heat flow, the thermal conductivities gradually increase with model growth, indicating that the thermal conductivity calculated from non-equilibrium molecular dynamics has significant size effect on this dimension3,4,13,14,21,20. In order to make the comparisons of single crystal models, the dimensions for both 3 C-SiC and 4 H-SiC along the heat flow direction is chosen between 15 nm and 53 nm, which is the size range matches the ones in experimental studies13.
Establishment of grain boundary model
The thermal resistance mainly originates from phonon interactions and scatterings caused by crystal defects16. In this study, in order to ensure the periodic boundary conditions of the model, simple symmetric inclined grain boundaries and symmetric twisted grain boundaries (as shown in Fig. 1) are considered for revealing the influence of grain boundaries on thermal conductivities21. By considering the periodicity of the crystal structure, the homogenous grain boundary structure model is established by using coincidence position lattice (CSL) method in this study21,22. For cubic crystal systems, the CSL calculation formula is as follows:
Where x and y are two integers without a common factor, \(\:{\Sigma\:}\) is the coincidence number (there is one pair of coincident lattice points for every \(\:{\Sigma\:}\:\)pairs), [uvw] is the rotation axis vector, and θ is the grain boundary angle. For example, taking the (210) crystal plane as the grain boundary plane and rotating it around the [001] axis to have five coincidence numbers, the grain boundary is represented as \(\:{\Sigma\:}\)5 (210) [001] at this point. The grain boundary angle in this case is 53.13°. Until now the CSL model has mainly been sought for characterizing simple cubic materials; and it is difficult to apply in hexagonal materials23. Therefore, the angles employed for the CSL are calculated from 3 C-SiC of the cubic crystal system, which include 9.528°, 18.924°, 28.072°, 48.4554°, 53.13°, and these angles are further used for all grain boundaries.
Molecular dynamics
For the common strategies of evaluating the thermal conductivities of SiC, the derived values from phonon Boltzmann transfer equation are limited by the introductions of excess empirical parameters within the calculation process14. Moreover, when it comes to simulation calculations, the precision decreases with the increase of computational scale. The accuracy of molecular dynamics is not as precise as more microscopic levels, such as first-principles calculations. However, considering that this paper requires the calculation of thermal conductivity at grain boundaries, more microscopic methods are not applicable. Therefore, molecular dynamics is employed to calculate the thermal conductivities in this work. There are two types of molecular dynamics: one is equilibrium molecular dynamics (EMD) for equilibrium systems, while the other is non-Equilibrium molecular dynamics (NEMD) for non-equilibrium systems3,4,13,17,21.
The ascertaining of thermal conductivities via the Green-Kubo method (known as the GK method), which adopts strategies in equilibrium molecular dynamics, is among the most frequently used approaches13. When NEMD is utilized for simulate the thermal conductivities, the process of heat flow generated from temperature gradient is generally adopted; and the thermal conductivity is evaluated by Fourier heat conduction law. Another method, called reverse non-equilibrium molecular dynamics (RNEMD)4, is to take the opposite operation process of the traditional NEMD method, by exchanging the heat flow generated by the slowest and fastest atoms with in the middle part, as well as side part, of the simulation system to acquire the temperature gradient; based on which the thermal conductivity of the material is calculated4.This method is proposed by Muller-Plathe (known as MP method), and is employed as non-equilibrium molecular dynamics in this work.
Both GK and MP methods have their own advantages in application. The GK method, compared to the MP method, does not have a size effect and does not require post-processing, and the thermal conductivity can be obtained directly. MP method can directly provide temperature distribution information during calculation, while GK method cannot21. Due to the temperature information is required for the calculation of the grain boundary thermal resistance, MP method is implemented in this work to determine the thermal resistance.
Equilibrium molecular dynamics
The GK method employs the local heat flux fluctuation to derive the correlation function of the microscopic heat flux, as well as to estimate the thermal conductivity13,16,17,24,25,26:
where V is the volume of the system; T is the system temperature; J is the microscopic heat flow in the system. By simulate the heat flow correlation function < J(t)J(0)>, the thermal conductivity is calculated.
Non-equilibrium molecular dynamics
-
For single crystal thermal conductivity calculation.
Heat conduction in solids is generated by a temperature gradient, described via Fourier’s formula3,13,17,27:
where J is the heat flux, K is the thermal conductivity, T is the temperature, and dT/dZ is the temperature gradient.
The exchanged energy J can be obtained by the following Eq. 3:
where t is the simulated period, A is the area of the model orthogonal to the path of heat flow, m is the atomic mass, and vhot and vcold are the velocities of the lowest energy atoms in the hot zone and the highest energy atoms within the cold zone, respectively.
-
For grain boundary thermal resistance calculation.
Upon heat flows passing through the junction of two objects, temperature suddenly change occurs at the junction, called Kapitza thermal resistance. The Kapitza thermal resistance can be worked out founded on Fourier’s rule: J = ΔT/R, where J is the heat flux across the junction of both materials, ΔT is the temperature suddenly change, and R is the Kapitza thermal resistance. The interfacial thermal conductivity (G) is the reciprocal of the thermal resistance of Kapitza, as follows: G = 1/R20,28,29,30,31,32,33,34.
Simulation process
The Large-scale Atomic/Molecular Massively Parallel Simulator (LAMMPS)33is utilized to execute the computational tasks in this study. Using GK and MP methods both require structural relaxation of the system first32,33,35. Due to the simulation of single-atom stress is required by GK method, and follow the analysis conducted by Wang et al.17, where the tersoff potential is inappropriate for computing the per-atom stress, MEAM potential function is chosen in this paper16,17. The simulation time step of all systems is 1 femtosecond.
By analogy with the molecular gas dynamics theory, thermal conductivity of the lattice is expressed as13:
where k is the lattice thermal conductivity; \(\:{c}_{v}\)is the heat capacity; l is the mean free path of phonons; v is the average speed of phonons. The mean free path of phonons is mainly affected by two factors: (1) The collision between phonons and phonons, which decreases the mean free path of sound; (2) Various defects, impurities and grain boundaries in the crystal, which causes the scattering of lattice waves, resulting the reduced free mean path of phonons. At low temperature, the free path of phonons is only affected by the crystal boundary size; while at high temperature, the interaction between phonons exerts the most significant impact on the thermal conductivity10,13. The next study will look at what happens at different temperatures.
Among them, non-equilibrium molecular dynamics can only simulate one-dimensional thermal conductance13. When the number of defects is below a certain degree, the thermal conductivity of different crystal directions of SiC crystals is similar19. In non-equilibrium molecular dynamics, only the thermal conductivity of [001] crystal direction for 3 C-SiC is studied, and only the thermal conductivity of [0001] crystal direction for 4 H-SiC is studied.
Equations (2–8) is leveraged to estimate the polycrystalline thermal conductivity13,15:
where \(\:{K}_{pc}\) is the effective thermal conductivity of polycrystalline, and \(\:{K}_{G}\) is the thermal conductivity of grain. \(\:{\sigma\:}_{B}\)is Kapitza grain boundary thermal conductivity (interfacial thermal conductivity (G)); d is the average grain size. This model is an ideal polycrystalline model, considering only the effects of single crystal thermal conductivity and grain boundary thermal resistance. Considering the existence of β/α heterophase boundary, Eqs. (2–9) and (2–10) are employed13.
Where Eqs. (2–9) is applied for the case of two phases are arranged in parallel plate shape, and Formula (2–10) is applied to the case of heat flow is perpendicular to the plate surface. k1 and k2 are the respective thermal conductivity of the two phases. v1 and v2are the volume fractions of each component. Since the two phases can be arranged in various ways after the phase transition, and there is no research on this aspect for SiC at present, the average value of the above two formulas is employed as the ultimate calculation output of the multiphase thermal conductivity. The average value of five times of calculations is adopted for ensuring the reliability35.
Results and discussion
Single crystal thermal conductivity calculations
Calculations of single crystal thermal conductivity via equilibrium molecular dynamics
In this paper, the thermal conductivities of SiC single crystals are calculated with three temperatures of 500 K, 900 K and 1500 K; and the reasons for this choice are:1) the calculated values from GK method can be well matched with the experimental values above 400 K13,24; 2) In the case of SiC, the thermal conductivity of single crystal and ceramic is basically equivalent, but only when the temperature exceeds 800 K13; 3) the measured thermal conductivity values is accurate solely if the molecular dynamics exceeds the Debye temperature13.
In the GK approach for determining final thermal conductivity, the greatest influence is the time interval τ during heat flow calculation21, that is, the parameter dt in formula (2–4). The potential sources of errors in Fig. 2 are due to the selection of different random number seed. As can be seen from Fig. 2, when τ is less than 40ps, too frequent statistics will cause the heat flow calculation to lose the connection, resulting in a small calculation result. When τ is greater than 40 ps, the statistical cost is obviously increased, and a greater computational cost is needed to obtain a stable result, and the statistical error will be amplified. Therefore, the value of τ adopted in this work is 40 ps.
It is shown in Fig. 2that the thermal conductivities of both SiC decline with the increasing of temperature.3 C-SiC has higher thermal conductivity than 4 H-SiC at various temperatures due to its greater symmetry and order in the cubic structure9,10,25,33. It is observed that temperature escalation leads to the single crystal thermal conductivity of 3 C-SiC and 4 H-SiC become closer.
Calculations of single crystal thermal conductivity via non-equilibrium molecular dynamics
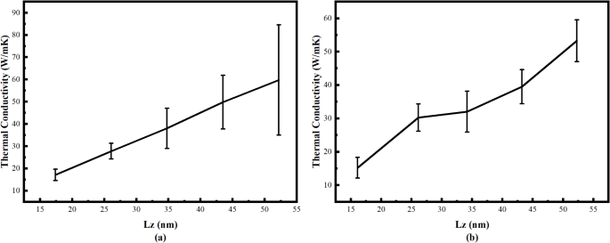
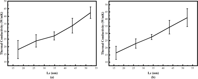
Errors in Figs. 3 and 4are attributed to use the different random number seeds. These figures illustrate that the thermal conductivities of 3 C-SiC and 4 H-SiC enhance with increasing model size along the heat flow direction, exhibiting higher values at 300 K compared to 900 K, consistent with equilibrium molecular dynamics findings. The thermal conductivity discrepancy between 300 K and 900 K widens with increasing size due to phonon free path limitations. Phonon interactions decrease mean free paths at high temperatures. The difference in thermal conductivity between 3 C-SiC and 4 H-SiC enlarges with size at 300 K but is minimal at 900 K. True thermal conductivity values require extrapolation. Simulations suggest that thermal conductivity increases with film thickness, with the rate of increase slowing in thicker films as surface phonon mean free path limitations are mitigated by size20. Below 55 nm, thermal conductivity scales with size without significant reduction. For greater accuracy, larger models are necessary, which increases computational expense. Since EMD predictions are more precise than RNEMD36, EMD is employed for subsequent single crystal thermal conductivity calculations.
Grain boundary thermal resistance calculations
As shown in Fig. 5, The 3 C-SiC model depicts heat transfer between 3 C-SiC materials via homogeneous grain boundaries (the same applies to 4 H-SiC), while 3C4H shows heat flow from 3 C-SiC to 4 H-SiC through heterogeneous grain boundaries (the same applies to 4H3C). The discrepancies in Figs. 6 and 7 are attributed to use the different random number seeds. Figure 6reveals that for symmetric inclined grain boundaries, thermal resistance initially decreases with temperature increase before stabilizing or slightly increasing, regardless of the grain boundary angle. This initial decrease is due to enhanced non-harmonic vibrations at higher temperatures, which couple the phonon vibrations across the interface, promote energy transfer. The higher phonon density at high temperatures20,37,38,39,40,41 contributes to this effect. However, as temperatures continue to rise, thermal resistance may level off or increase due to increased phonon scattering at the grain boundaries, reducing the mean free path8,13,19. According to Eqs. (2–7), this leads to a decrease in thermal conductivity, which is inversely proportional to thermal resistance, explaining the observed trend. Across various temperatures and grain boundaries, 3 C-SiC generally exhibits higher thermal resistance than 4 H-SiC. Figure 7 further shows that thermal resistance for both symmetric torsional and inclined grain boundaries follows a similar pattern of initial decrease followed by minimal change, with some angles showing an uptick at higher temperatures. Consistently, 3 C-SiC’s grain boundary thermal resistance surpasses that of 4 H-SiC under different conditions. Table 1 contains all the data from Fig. 6, while Table 2 includes all the data from Fig. 7.
To mitigate the intensifying effects of phonon interactions at higher temperatures, we compare grain boundary thermal resistance only at 300 K and 900 K. Figure 8 shows that for symmetric inclined grain boundaries, thermal resistance generally increases with the grain boundary angle at in-phase boundaries. However, the behavior of 3 C→4 H and 4 H→3 C grain boundaries is inconsistent. The thermal resistance of 3 C-SiC to 4 H-SiC grain boundaries tends to rise with the angle, whereas the reverse direction first decreases before increasing with the angle. In Fig. 9, for symmetric torsional grain boundaries, 4 H-SiC’s thermal resistance remains relatively stable with angle changes, while 3 C-SiC’s thermal resistance increases as the angle increases from 9.528° to 48.4554°, due to the linear relationship between interface energy and torsional angle for 3 C-SiC below 45°20,37, with a decrease beyond 48.4554° to 53.13°. For heterophase grain boundaries, thermal resistance changes little with angle, but resistance is higher for heat flow from 4 H-SiC to 3 C-SiC, indicating thermal rectification influenced by the thermal conductivity of materials on either side of the boundary40. As mentioned by Pei et al.40, it is considered that thermal rectification is affected by the quality of materials on both sides of the interface. In this work, despite using SiC with similar material quality, the direction of heat flow (from lower to higher thermal conductivity) results in higher thermal resistance, suggesting thermal rectification is influenced by the relative thermal conductivities. The thermal resistance of symmetric inclined grain boundaries, especially heterophase boundaries, varies more with angle than symmetric torsional boundaries attributing to the distinct heat conduction paths in SiC19,42. The rotation required for symmetric inclined boundaries changes the crystal direction and thermal conductivity, while symmetric torsional boundaries maintain a constant crystal direction and thermal conductivity. Compared to 900 K, thermal resistance at 300 K shows greater variability, likely due to reduced grain boundary effects and increased phonon interactions at high temperatures.
SiC polycrystalline thermal conductivity calculations
In order to realize diverse extents of phase change of SiC ceramics, Huang et al.5 conducted sintering between 1850 °C and 2050 °C for 1 h. The grain size and the proportion of 4 H-SiC are as follow: 0.53 μm and 49.8% at 1850 °C (2123 K), 0.69 μm and 63.2% at 1900 °C (2173 K), respectively. At subsequent temperatures, the proportions were 0.93 μm and 76.4% at 1950 °C (2223 K), 1.83 μm and 89.2% at 2000 °C (2273 K), and finally reaching 2.41 μm and 100% at 2050 °C (2323 K). In the following work, we utilize the data from the aforementioned literature as the computational basis for our subsequent work.
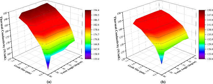
Due to this study needs to adopt single crystal thermal conductivity, the grain boundary thermal resistance, and grain size, to calculate polycrystalline thermal conductivity by using formula (2–8), the single crystal thermal conductivity is calculated through equilibrium molecular dynamics. For SiC single crystal thermal conductivity above 800 K, it is basically the same as that of ceramics. For grain boundary thermal resistance, the interaction between phonons becomes stronger at higher temperature. Therefore, only the grain boundary thermal resistance of 900 K and the thermal conductivity of 900 K single crystal are discussed during the next, and the grain size is used from 0.53 μm to 2.41 μm. It can be seen from Fig. 10 that in the event of symmetric inclined grain boundaries, the thermal conductivities of two SiC polycrystals changed little at the beginning with the rise in grain boundary angle; and dropped sharply from the value of 48.46° to 53.13°, attributing to the sudden rise of grain boundary thermal resistance (shown in Fig. 8).
As shown in Fig. 11, under the condition of symmetric torsion of grain boundaries, the thermal conductivity of 3 C-SiC first drops sharply with the rises of grain boundary angle, then changes little, and finally increases sharply from 48.46° to 53.13°; while the thermal conductivity of 4 H-SiC first drops slightly with the rise of grain boundary angle, then changes little, and finally increases slightly. It is revealed in Fig. 9that the thermal resistance values and the amplitude of grain boundary change for the two phases are all caused by the difference. For the cases of these two grain boundaries, the thermal conductivity of polycrystalline SiC also rises with the rises of grain size. This is due to smaller grains exhibit more grain boundaries within each unit of volume; and causing a concomitant rise in phonon scattering6,18. Also the polycrystalline thermal conductivity of 3 C-SiC is exceeds that of 4 H-SiC in any case. It appears that the influence of SiC single crystal thermal conductivity on polycrystalline thermal conductivity at 900 K is greater than that of grain boundary thermal resistance. The thermal conductivity of SiC polycrystal at symmetric twist grain boundary is higher than that at symmetric tilt grain boundary. The thermal conductivity of SiC polycrystals is inferior to that of their single crystals because of the grain boundary between them2,13,26.
The thermal conductivity changes of SiC ceramics
Since the proportion of 4 H-SiC in total SiC is affected by sintering temperature, the effect of sintering temperature of phase transformation on thermal conductivity of SIC ceramics after phase transformation is analyzed here. As shown in Fig. 12, two different models are proposed: (1) In Model A, 4 H-SiC is only generated at the edge of 3 C-SiC, but not in the interior, 3 C-SiC and 4 H-SiC are clustered separately, and there is only one heterophase grain boundary, on this occasion, the heterophase grain boundary is not obvious, so we only consider the single phase grain boundary. (2) In model B, the two phases of 4 H-SiC and 3 C-SiC are evenly distributed and completely dispersed. In this case, single-phase grain boundaries are not obvious, so we only consider the heterophase grain boundaries.
Figure 13 (a) shows that for symmetric inclined grain boundaries, the thermal conductivity of SiC ceramics in both models remains stable between 1850 °C and 1950 °C, but increases at 2000 °C and decreases at 2050 °C. In contrast, Fig. 13 (b) reveals that for symmetric torsion grain boundaries, model A’s thermal conductivity decreases with rising sintering temperature, while model B’s remains consistent from 1850 °C to 1950 °C before increasing at 2000 °C and decreasing at 2050 °C. The thermal conductivity of model A surpasses model B for both symmetric inclined and twisted grain boundaries, likely due to the higher thermal resistance of out-of-phase grain boundaries compared to in-phase ones. The thermal conductivity of SiC ceramic with symmetric twisted grain boundaries in model A is higher than with symmetric inclined boundaries, but in model B, there is little difference between the two types of grain boundaries. This suggests that grain boundary type has a more significant impact on single-phase boundaries than on dissimilar ones.
Figure 13 indicates that, except for homophase grain boundaries under symmetric twist conditions where thermal conductivity continuously decreases with temperature, thermal conductivity generally peaks at 2000 °C before plummeting at 2050 °C. Thermal conductivity due to phase transformation is influenced by phase composition, grain size, and grain boundary thermal resistance. The polycrystalline thermal conductivity under symmetric twist grain boundaries is higher than the occurrence of symmetric tilt grain boundaries; and the grain boundary thermal resistance of homophase grain boundaries is lower than the occurrence of heterophase grain boundaries. The thermal conductivity of each phase may predominantly influence the overall value. Notably, 3 C’s thermal conductivity exceeds 4 H’s. As sintering temperature increases and phase transformation reduces 3 C content, thermal conductivity at homophase grain boundaries of symmetric twist boundaries decreases continuously. In other cases, between 1850 and 1950 °C, the grain size, boundary thermal resistance, and single-phase thermal conductivity reach an equilibrium to determine the overall thermal conductivity. At 2000 °C, a near doubling of grain size disrupts this balance, boosting thermal conductivity. However, at 2050 °C, the loss of the high-thermal-conductivity phase may outweigh other factors, leading to a decrease in thermal conductivity.
Due to the inconsistent variation trends in thermal conductivity under symmetric tilt grain boundaries and symmetric twist grain boundaries between homophase and heterophase conditions in Fig. 13, suggesting that the behavior of thermal conductivity in response to phase transformations and grain boundary types is complex and may require a more detailed analysis of each scenario for fully understand the mechanisms at play. Figure 14 is obtained by calculating the four sets of data from Eqs. (2–9) and (2–10) for symmetric tilt grain boundaries and symmetric twist grain boundaries under both homophase and heterophase conditions. Here, the curve a represents the highest thermal conductivity calculated from these four groups of data; curve b represents the thermal conductivity calculated from these data at a proportion of 1:1:1:1; and curve c represents the lowest thermal conductivity calculated from these data. It can be evident from curve a that the highest thermal conductivity occurs precisely when the A model in Fig. 13(b) accounts for 100%, which means that the homogeneous grain boundaries with symmetric twist have the highest thermal conductivity. From curve c, it can be clear that the lowest thermal conductivity occurs when the B model in Fig. 13(a) accounts for 100%, indicating that the heterogeneous grain boundaries with symmetric tilt have the lowest thermal conductivity.
It is apparent from Curve b in Fig. 14, which corresponds to the calculated values represented by the line in Fig. 15, that the thermal conductivity of the ceramic remains largely unchanged before 2000 °C when all types of grain boundaries are present in equal proportions. However, after reaching the highest value around 2000 °C, the thermal conductivity undergoes a sharp decrease as the phase transition completes at 2050 °C. This trend is also evident from the lines representing Experiment 1 and Experiment 2 in Fig. 15. As observed in other studies, the thermal conductivity increases with the sintering temperature until it reaches a peak, after which it starts to decline9,43. Different from this work, the data in the relevant literature initially show that the thermal conductivity gradually reaches a maximum as the sintering temperature increases. This is because the literature generally holds that the thermal conductivity rises due to a decrease in oxygen content with increasing sintering temperature. However, this work does not consider the effect of oxygen defects on the thermal conductivity during the phase transition process. Therefore, the thermal conductivity in this work does not change significantly in the early stage of sintering temperature increase. However, as the sintering temperature continues to increase, the thermal conductivity in the literature, similar to the findings of this paper, all show a decrease. Liu et al.9 believe that the phase transformation leading to the solid solution effect causes a reduction in thermal conductivity. In contrast, Eom et al.43 attribute the decrease in thermal conductivity to an increase in porosity. Zhou et al.12 found that as the content of α-SiC increases, the thermal conductivity continuously decreases, and is attributed to Al-induced phase transformation and stacking faults. In this work, it is found that the phase transition to 4 H with a content of 90% (i.e., when the sintering temperature is 2000 °C) exhibits the highest thermal conductivity, which can be ascribed to the competing effects of grain growth and the reduction of 3 C on thermal conductivity. Between the sintering temperatures of 1850 °C and 2000 °C, there is no significant change in thermal conductivity. This stability may be imputed to a balance between the increase in thermal conductivity due to grain size enlargement and the decrease resulting from the reduced proportion of phases with higher thermal conductivity. At 2050 °C, however, thermal conductivity experiences a marked decline. The completion of the phase transformation results in the complete loss of the phase with higher thermal conductivity, and this effect on reducing thermal conductivity surpasses the impact of grain growth. Consequently, preserving a fraction of the 3 C phase, which has higher thermal conductivity, could be more beneficial for enhancing thermal conductivity. Therefore, for the purpose of improve the thermal conductivity of the ceramic following the SiC phase transition, the sintering temperature for the SiC ceramic phase transition should be set close to 2000 °C (with approximately 90% 4 H content).
Comparison of the thermal conductivity of SiC ceramics at different sintering temperatures from literature and calculations, where the calculated values are the average thermal conductivities under different conditions (Fig. 13). Experiment 1 is the experimental data of thermal conductivity versus sintering temperature by Liu et al.9, and Experiment 2 is the experimental data of thermal conductivity versus sintering temperature by Eom et al.43.
Conclusion
The thermal conductivity of single crystal SiC is calculated by molecular dynamics, the thermal resistance of in-phase and out-of-phase grain boundaries is calculated by non-equilibrium molecular dynamics, and the thermal conductivity of polycrystalline and ceramic SiC is calculated by formula.The summary of the conclusions is as follows:
(1) As the temperature increases, the thermal conductivity gap between 3 C-SiC and 4 H-SiC becomes smaller and smaller.
(2) Under the same grain boundary Angle and grain boundary type, the grain boundary thermal resistance of 3 C-SiC exceeds that of 4 H-SiC.
(3) The interface thermal resistance depends on the direction of heat flow, and the thermal conductivity on both sides of the interface is one of the key factors.
(4) At 900 K, the polycrystalline thermal conductivity of 3 C-SiC exceeds that of 4 H-SiC, and the influence of SiC single crystal thermal conductivity on polycrystalline thermal conductivity is greater than that of grain boundary thermal resistance.
(5) The thermal conductivity of SiC polycrystals at symmetric twist grain boundaries is greater than that at symmetric tilt grain boundaries.
(6) The type of grain boundary has greater influence on single-phase grain boundary than on heterophase grain boundary under thermal conductivity.
(7) In the absence of oxygen defects, the sintering temperature can be chosen as 2000 °C for reaching highest thermal conductivities (where about 90% of SiC has been transformed from β to α content).
In conclusion, this work first provides an analytical strategy and workflow for the presence of symmetric tilt and symmetric twisted grain boundaries within industrial SiC. At the same time, it is proposed that our analysis strategy and process could also be referenced for other types of grain boundaries.
Data availability
1. The datasets used and/or analysed during the current study available from the corresponding author on reasonable request.2.All data generated or analysed during this study are included in this published article.
Change history
15 May 2025
A Correction to this paper has been published: https://doi.org/10.1038/s41598-025-00093-4
References
Suzuki, T. S., Uchikoshi, T. & Sakka, Y. Effect of sintering conditions on microstructure orientation in α-SiC prepared by slip casting in a strong magnetic field. J. Eur. Ceram. Soc. 30, 2813–2817 (2010).
Cho, T. Y. & Kim, Y. W. Effect of grain growth on the thermal conductivity of liquid-phase sintered silicon carbide ceramics. J. Eur. Ceram. Soc. 37, 3475–3481 (2017).
Mao, Y., Li, Y., Xiong, Y. & Xiao, W. Point defect effects on the thermal conductivity of β-SiC by molecular dynamics simulations. Comput. Mater. Sci. 152, 300–307 (2018).
Mao, Y., Xiong, Y. & YUE, Y. Numerical Simulation of Thermal Conductivity of Silicon Carbon Crystal by Non-equilibrium Molecular Dynamics. J. Univ. Jinan Sci. Tech. 33, 15–21 (2019). (In Chinese).
Huang, B. et al. Effect of β to α phase transformation on microstructure and thermal conductivity of SiC ceramic densified with Y2O3-MgO additives in argon. J. Eur. Ceram. Soc. 43, 6758–6764 (2023).
Kim, H. S. & Kim, Y. W. Thermal conductivity of liquid-phase sintered silicon carbide ceramics: a review. J. Eur. Ceram. Soc. 43, 3855–3874 (2023).
Zhou, Y., Hirao, K., Watari, K., Yamauchi, Y. & Kanzaki, S. Thermal conductivity of silicon carbide densified with rare-earth oxide additives. J. Eur. Ceram. Soc. 24, 265–270 (2004).
Watari, K. et al. Effect of Grain boundaries on Thermal Conductivity of Silicon Carbide Ceramic at 5 to 1300K. J. Am. Ceram. Soc. 86, 1812–1814 (2003).
Liu, D. M. & Lin, B. W. Thermal conductivity in hot-pressed silicon carbide. Ceram. Int. 22, 407–414 (1996).
Snead, L. L. et al. Handbook of SiC properties for fuel performance modeling. J. Nucl. Mater. 371, 329–377 (2007).
Xu, Y., Fan, H., Li, Z. & Zhou, Y. Signatures of anharmonic phonon transport in ultrahigh thermal conductance across atomically sharp metal/semiconductor interface. Int. J. Heat. Mass. Transf. 201, 123628 (2023).
Zhou, Y., Hirao, K., Yamauchi, Y. & Kanzaki, S. Effects of rare-earth oxide and alumina additives on thermal conductivity of liquid-phase-sintered silicon carbide. J. Mater. Res. 18, 1854–1862 (2003).
Zhang, C., Liang, H., LI, Y., Chen, J. & Zhang, J. Development of calculation of Thermal Conductivity of Silicon Carbide. J. Chin. Ceram. Soc. 43, 268–275 (2015). (In Chinese).
Bai, S., Jia, M., Wu, B., Cong, S. & Bai, R. Numerical Simulation of Thermal Conductivity of Nanofilm of β-SiC. J. Anshan Norm Univ. 21, 23–27 (2019). (In Chinese).
Maldovan, M. Thermal energy transport model for macro-to-nanograin polycrystalline semiconductors. J. Appl. Phys. 110, 114310 (2011).
Samolyuk, G. D., Golubov, S. I., Osetsky, Y. N. & Stoller, R. E. Molecular dynamics study of influence of vacancy types defects on thermal conductivity of β-SiC. J. Nucl. Mater. 418, 174–181 (2011).
Wang, Q. et al. The effect of temperature and cascade collision on thermal conductivity of 3 C-SiC: a molecular dynamics study. Int. J. Heat. Mass. Transf. 180, 121822 (2021).
Kim, Y. H., Kim, Y. W., Lim, K. Y. & Lee, S. J. Mechanical and thermal properties of silicon carbide ceramics with yttria–scandia–magnesia. J. Eur. Ceram. Soc. 39, 144–149 (2019).
Qi, Z., Xu, T., Liu, X. & Wang, D. Effect of impurities and defects on the Thermal Conductivity of single crystal SiC. J. Synth. Cryst. 50, 816–824 (2021). (In Chinese).
Wang, S. & Liang, X. Thermal conductivity and interfacial thermal resistance in Bilayered Nanofilms by Nonequilibrium Molecular Dynamics Simulations. Int. J. Thermophys. 31, 1935–1944 (2010).
Liu, Z. Multiscale Simulation Study for Mechanical and Thermal Properties of UO2-FeCrAl Fuel-Cladding System [doctor thesis], (Ningbo Institute of Materials Technology and Engineering, Chinese Academy of Sciences) (In Chinese) (2018).
Vaid, A., Mittal, K., Sahu, S. & Shekhar, S. Controlled evolution of coincidence site Lattice Related Grain boundaries. Trans. Indian Inst. Met. 69, 1745–1753 (2016).
Ostapovets, A., Šedá, P., Jäger, A. & Lejček, P. Characteristics of coincident site lattice grain boundaries developed during equal channel angular pressing of magnesium single crystals. Scr. Mater. 64, 470–473 (2011).
Li, J., Porter, L. & Yip, S. Atomistic modeling of finite-temperature properties of crystalline β-SiC II. Thermal conductivity and effects of point defects. J. Nucl. Mater. 255, 139–152 (1998).
Kawamura, T. et al. Thermal conductivity of SiC calculated by Molecular Dynamics. Jpn J. Appl. Phys. 47, 8898–8901 (2008).
Ju, S. & Liang, X. Investigation of argon nanocrystalline thermal conductivity by molecular dynamics simulation. J. Appl. Phys. 108, 104307 (2010).
Müller-Plathe, F. & Reith, D. Cause and effect reversed in non-equilibrium molecular dynamics: an easy route to transport coefficients. Comput. Theor. Polym. Sci. 9, 203–209 (1999).
Roodbari, M., Abbasi, M., Arabha, S., Gharedaghi, A. & Rajabpour, A. Interfacial thermal conductance between TiO2 nanoparticle and water: a molecular dynamics study. J. Mol. Liq. 348, 118053 (2022).
Jamshideasli, D., Babaei, H., Keblinski, P. & Khodadadi, J. M. Interfacial thermal conductance between multi-layer graphene sheets and solid/liquid octadecane: a molecular dynamics study. J. Energy Storage. 37, 102469 (2021).
Tian, S., Xu, Z., Wu, S., Luo, T. & Xiong, G. Anisotropically tuning interfacial thermal conductance between graphite and poly(ethylene oxide) by lithium-ion intercalation: a molecular dynamics study. Int. J. Heat. Mass. Transf. 195, 123134 (2022).
Hu, M., Keblinski, P., Wang, J. S. & Raravikar, N. Interfacial thermal conductance between silicon and a vertical carbon nanotube. J. Appl. Phys. 104, 083503 (2008).
Xu, Y., Wang, G. & Zhou, Y. Broadly manipulating the interfacial thermal energy transport across the Si/4H-SiC interfaces via nanopatterns. Int. J. Heat. Mass. Transf. 187, 122499 (2022).
He, Q., Xu, Y., Wang, H., Li, Z. & Zhou, Y. Role of elastic phonon couplings in dictating the thermal transport across atomically sharp SiC/Si interfaces. Int. J. Therm. Sci. 204, 109182 (2024).
Wang, G. & Zhou, Y. Thermal management modeling for β-Ga2O3-Highly thermal conductive substrates heterostructures. IEEE Trans. Compon. Packag Manuf. Technol. 12, 638–646 (2022).
Wang, G., Fan, H., Li, J., Li, Z. & Zhou, Y. Direct observation of tunable thermal conductance at solid/porous crystalline solid interfaces induced by water adsorbates. Nat. Commun. 15, 2304 (2024).
Yang, X., Gao, Y., Zhang, M., Jiang, W. & Cao, B. Comparison of atomic simulation methods for computing thermal conductivity of n-decane at sub/supercritical pressure. J. Mol. Liq. 342, 117478 (2021).
Wang, Q. & Wang, C. Effect of irradiation on the Grain Boundary Thermal Conductivity of SiC: a Molecular Dynamics Study. J. Mater. Sci. Eng. 34, 127–130 (2016). (In Chinese).
Lyeo, H. K. & Cahill, D. G. Thermal conductance of interfaces between highly dissimilar materials. Phys. Rev. B. 73, 144301 (2006).
Zhan, T., Minamoto, S., Xu, Y., Tanaka, Y. & Kagawa, Y. Thermal boundary resistance at Si/Ge interfaces by molecular dynamics simulation. AIP Adv. 5, 047102 (2015).
Pei, Q. X., Zhang, Y. W., Sha, Z. D. & Shenoy, V. B. Carbon isotope doping induced interfacial thermal resistance and thermal rectification in graphene. Appl. Phys. Lett. 100, 101901 (2012).
Xu, Y., Yang, L. & Zhou, Y. The interfacial thermal conductance spectrum in nonequilibrium molecular dynamics simulations considering anharmonicity, asymmetry and quantum effects. Phys. Chem. Chem. Phys. 24, 24503–24513 (2022).
Su, G. P., Zheng, X. H., Qiu, L., Tang, D. W. & Zhu, J. Measurement of Thermal Conductivity of Anisotropic SiC Crystal. Int. J. Thermophys. 34, 2334–2342 (2013).
Eom, J. H., Seo, Y. K., Kim, Y. W. & Lara-Curzio, E. Mechanical and thermal properties of Pressureless Sintered Silicon Carbide Ceramics with Alumina–Yttria–Calcia. J. Am. Ceram. Soc. 99, 1735–1741 (2016).
Acknowledgements
The authors acknowledge the financial support of Science and Technology Innovation 2025 Major Project of Ningbo (2024Z284), Key R & D Projects of Zhejiang Province No. 2022C01236, National Key Research and Development Program of China (2019YFB1901001), National Natural Science Foundation of China (Grants No. 21875271, 21707147, 11604346, 21671195, 51872302), the project of the key technology for virtue reactors from NPIC.
Author information
Authors and Affiliations
Contributions
J. Xu wrote the main manuscript text, S. Du and Y. Zhang are in charge of the inspector.All authors reviewed the manuscript.
Corresponding author
Ethics declarations
Competing interests
The authors declare that they have no known competing financial interests or personal relationships that could have appeared to influence the work reported in this paper.
Additional information
Publisher’s note
Springer Nature remains neutral with regard to jurisdictional claims in published maps and institutional affiliations.
The original online version of this Article was revised: The Acknowledgements section in the original version of this Article was incomplete. Full information regarding the corrections made can be found in the correction published with this Article.
Rights and permissions
Open Access This article is licensed under a Creative Commons Attribution-NonCommercial-NoDerivatives 4.0 International License, which permits any non-commercial use, sharing, distribution and reproduction in any medium or format, as long as you give appropriate credit to the original author(s) and the source, provide a link to the Creative Commons licence, and indicate if you modified the licensed material. You do not have permission under this licence to share adapted material derived from this article or parts of it. The images or other third party material in this article are included in the article’s Creative Commons licence, unless indicated otherwise in a credit line to the material. If material is not included in the article’s Creative Commons licence and your intended use is not permitted by statutory regulation or exceeds the permitted use, you will need to obtain permission directly from the copyright holder. To view a copy of this licence, visit http://creativecommons.org/licenses/by-nc-nd/4.0/.
About this article
Cite this article
Xu, J., Du, S. & Zhang, Y. The molecular dynamic studies of thermal conductivity of SiC ceramic derived from β/α phase transformation. Sci Rep 15, 6432 (2025). https://doi.org/10.1038/s41598-025-90386-5
Received:
Accepted:
Published:
Version of record:
DOI: https://doi.org/10.1038/s41598-025-90386-5

















