Abstract
Melanoma is responsible for the majority of skin cancer deaths, but there are ways to combat this deadly disease. One method is using anti-neoplastic agents, such as Doxorubicin (DOX). Unfortunately, DOX can be toxic and may lead to drug resistance. However, researchers are excited about the potential of Cold Atmospheric Plasma (CAP) treatment cancer cells and overcome drug resistance selectively. To better understand the effectiveness of the combination of CAP and DOX on melanoma cell viability, cytotoxicity, and cell death, we conducted a comprehensive evaluation and meta-analysis in this study. 41 studies out of 121 met our inclusion criteria. The pooled analysis found that CAP and DOX combination had a significant effect on cell viability (ES = 6.75, 95% CI 1.65 to 11.85, and I2 = 71%) and cytotoxicity (ES = 11.71, 95% CI 3.69 to 19.73, and I2 = 56%). however, no statistically significant association was found between cell death with combination treatment. Our studies have confirmed that the combined treatment of CAP and DOX has a synergistic effect on reducing cell viability and increasing cytotoxicity in melanoma cells. These results can assist researchers in selecting more effective treatment methods to address melanoma.
Similar content being viewed by others
Introduction
Cutaneous melanoma remains a significant public health challenge globally. By 2040, there will be approximately 510,000 new cases and 96,000 deaths due to this disease1. In the United States alone, around 100,640 individuals are expected to be diagnosed with melanoma in 2024, and approximately 8,290 are projected to die from it2. Unfortunately, metastatic melanoma has a survival rate of only 27%3, Early diagnosis and treatment are crucial for the prognosis and survival of primary melanoma, which has a 5-year survival rate of 99%. Treatment for melanoma includes chemotherapy4, conventional chemotherapy5, and immune checkpoint inhibitors6. And small molecules against mutant BRAF7. Despite advancements in treatment approaches, tumor heterogeneity limits disease-free survival in patients7. Tumor heterogeneity confers varying degrees of resistance and survival advantages. As a result, understanding the biology of tumors is always required, as is the development of novel or improved combination therapeutic approaches.
Cancer prevention’s first line of defense is provided by a variety of anti-neoplastic agents8. The majority of these agents cause cell cycle arrest and death by targeting or altering Deoxyribonucleic acid (DNA) synthesis and repair mechanisms9. One of the most potent chemotherapeutic agents, doxorubicin, also known as adriamycin, has significant therapeutic activity against numerous cancers. DOX is an anthracycline that causes DNA damage by intercalating DNA base pairs and inhibiting topoisomerase II activity10. However, its use is limited due to its toxicity, particularly its cardiotoxicity11.
In addition, it has been discovered that plasma or plasma-activated solution also has a good killing effect on drug-resistant cancer cells12, so CAP is expected to solve drug-resistance issues with clinical cancer chemotherapy. Recent preliminary studies have confirmed that the combination of plasma jet with the anticancer drug tegafur can effectively improve the inactivation of pancreatic cancer cells. In addition, the excellent synergistic effects of CAP and anticancer drugs can effectively reduce the treatment cycle and cumulative dose administered from a clinical perspective. numerous studies regarding the use of CAP for cancer therapy have shown that the appropriate dosages of CAP treatment can selectively kill cancer cells without causing significant damage to normal cells13,14,15. Numerous reactive oxygen and nitrogen species (ROS/RNS)16,17are produced by cold physical plasma (partially ionized gas) and Cells also accumulate ROS therefore excess intracellular ROS causes oxidative damage and further induces programmed cell death18.
However, the extent to which CAP and DOX combination therapy can influence the cell viability, death, and cytotoxicity of melanoma is yet to be known. Meta-analysis is a method to collect related studies and provide improved statistical power by combining their results. In this study, we aimed to provide a comprehensive systematic review and meta-analysis of the subgroup analysis such as cell line, plasma gases, and treatment time in melanoma cell viability, death, and cytotoxicity by DOX and CAP treatment together or alone.
Materials and methods
Search strategy
In this systematic review and meta-analysis, PubMed, Scopus, Web of Science, EMABSE, and Google Scholar electronic databases were searched up to December 2022 using the following search terms: “Melanoma” OR “Malignant Melanoma” OR “Melanoma Malignant” AND “cold atmospheric plasma” OR “Plasma Gases” OR “Gases Plasma” OR “Cold Plasma” OR “Plasma Cold” OR “Non-Thermal Atmospheric Pressure Plasma” OR “Thermal Plasma” OR “plasma jet” AND “Doxorubicin” OR “DOX”. All references cited were manually scanned to find additional studies. We followed the Preferred Reporting Items for Systematic Reviews and Meta-Analyses (PRISMA) framework. This study was registered in PROSPERO (PROSPERO ID: CRD42018117203).
Inclusion and exclusion criteria
Study selection was performed by two reviewers independently. First, titles and abstracts of all studies were perused to include all the studies on CAP or DOX treatment in melanoma. Then, the full texts of selected papers were retrieved to assess and extract the relevant data thoroughly. Inclusion criteria were as follows: in-vitro experimental studies2, case-control studies3 original articles;4 English language papers;5 sufficient data to calculate effect size (ES) and its 95% CI6, melanoma cells from different human or murine lines7, Eligible studies to investigate severity, death and cell viability and cytotoxicity must include melanoma cells treated with CAP or DOX or both8, with diagnostic methods such as MTT, flow cytometry, and information about death or proliferation and Their vitality and cytotoxicity should be reported separately by cell type and type of treatment. Studies were excluded if they were:1 Non-original publications, including editorials, commentaries, and review articles;2 duplicated studies;3 animal subjects;4 studies with incomplete information. in-vitro experimental studies5, case-control studies6 original articles;7 English language papers;8 sufficient data to calculate effect size (ES) and its 95% CI9, melanoma cells from different human or murine lines10, Eligible studies to investigate severity, death and cell viability and cytotoxicity must include melanoma cells treated with CAP or DOX or both11, with diagnostic methods such as MTT, flow cytometry, and information about death or proliferation and Their vitality and cytotoxicity should be reported separately by cell type and type of treatment12, Clinical trial studies13, Articles that did not get the minimum score of the checklist. If the two reviewers could not reach an agreement about the selection of papers, the final decision was made by a third reviewer.
Data extraction and quality assessment
Information was carefully extracted from all eligible publications independently by two reviewers according to inclusion and exclusion criteria. The following information was extracted from each study: article title, author name, country, year of article publication, cell line type, measurement method, gas type, cell life rate, cytotoxicity rate, cell death, treatment time with CAP, dose Drug use. final results and Newcastle-Ottawa Scale (NOS). The quality of eligible studies was evaluated using NOS on a 0–9 scale.0–3 was classified as low-quality, 4–6 as moderate quality, and ≥ 7 as high-quality. The main characteristics of included studies have been summarized in (Tables 1, 2 and 3).
Statistical analysis
The I2 index was used to assess significant heterogeneity between studies. If the test result was I2 ≥ 50%, indicating the presence of heterogeneity, the random-effects model was used; otherwise, the fixed-effects model was selected. We evaluated publication bias using Egger’s regression intercept test (P < 0.05 was considered significant). The meta-analysis was performed with STATA version 11.1 (Stata Corp, College Station, TX, USA).
Results
The PRISMA flow diagram of the study is shown in Fig. 1. We found 129 articles related to the title of this study by search strategy, 8 of which were duplicates and were removed. We screened the title and abstract of 121 selected articles for eligibility, and then 80 studies were excluded for non according our inclusion and exclusion criteria. 41 studies have been selected for full-text analysis; after securitization of them, 1 studies were excluded due to the incomplete data or repeated data like the results of other included articles (same authors). Finally40, case-control studies were included in the systematic review. Among these selected studies, 20 studies showed the effect of DOX in melanoma, 17 studies investigated the effect of CAP in the treatment of melanoma, and 3 studies investigated the simultaneous relationship between CAP and DOX in melanoma.
The level of cell viability in these studies was mostly measured using (3-(4,5-Dimethylthiazol-2-yl)-2,5-Diphenyltetrazolium Bromide) MTT assay and the cell cytotoxicity was mostly measured by Annexin V flowcytometry, in these studies cell death was mostly measured by assessed (propodium iodide) PI. Egger’s test did non indicate any evidence of publication bias. All included studies were moderate- to high-quality (14 high-quality studies and 26 moderate quality studies). The characteristics of the included studies are described in (Tables 1, 2 and 3).
Flow chart for the selection of included studies.
Main results of meta-analysis
Meta-analysis of the association between the melanoma cell viability and treatment
Pooled analysis of the 25 studies19,20,21,22,23,24,25,26,27,28,29,30,31,32,33,34,35,36,37,38, investigated the association between the melanoma cell viability and CAP treatment. The analysis of the dominant model indicated that a significant association existed between melanoma CAP treatment and a decrease the melanoma cell viability ([ES] = 58.16, 95% [CI]: 43.59 to 72.73, I2 = 94.1%). Moreover, the 18 studies29,39,40,41,42,43,44,45,46,47,48,49,50,51,52,53,54,55,56, investigated the association between melanoma cell viability and DOX treatment. The analysis of the dominant model indicated that a significant association existed between melanoma DOX treatment and a decrease the melanoma cell viability ([ES] = 23.96, 95% [CI]: 17.26 to 13.66, I2 = 86.1%). Based on the 6 studies23,29,35, investigated the association between melanoma cell viability and CAP and DOX treatment. The analysis of the dominant model indicated that a significant association existed between melanoma CAP and DOX treatment and decreased melanoma cell viability ([ES] = 6.75, 95% [CI]: 1.65 to 11.85, I2 = 71%) (Fig. 2).
Plot for the association between melanoma treatment and cell viability. (A) CAP treatment vs. viability analysis. (B) DOX treatment vs. viability analysis. (C) DOX-CAP treatment vs. viability.
Meta-analysis of the association between melanoma cell death and treatment
7 studies19,20,23,24,25,26,29,31, evaluated the association between melanoma cell death and CAP treatment. The overall results showed that a significant association existed between melanoma CAP treatment and an increase the melanoma cell death ([ES] = 3.95, 95% [CI]: 1.59 to 6.31, I2 = 68.1%). Moreover, based on 10 studies23,29,42,48,51,52,54,57,58 association of melanoma cell death with DOX treatment was evaluated. Significant associations were found for DOX treatment and increased the melanoma cell death ([ES] = 8.17, 95% [CI]: 3.71 to 12.64, I2 = 84.2%). Pooled analysis of the 3 studies23,29, investigated the association between melanoma cell death and CAP and DOX treatment. The analysis of the dominant model indicated that an association existed between melanoma CAP and DOX treatment and an increase the melanoma cell death ([ES] = 2.14, 95% [CI]: -0.55 to 4.84, I2 = 71.0%) (Fig. 3).
Forest plot of for association between melanoma treatment and cell death. (A) CAP treatment vs. cell death analysis. (B) DOX treatment vs. cell death analysis. (C) DOX-CAP treatment vs. cell death.
Meta-analysis of the association between melanoma cell cytotoxicity and treatment
Based on 12 studies19,20,21,23,28,29,31,34,38, association of melanoma cell cytotoxicity with CAP treatment was evaluated. Significant associations were found for CAP treatment and increased the melanoma cell cytotoxicity ([ES] = 5.76, 95% [CI]: 2.80 to 8.73, I2 = 82.8%). In addition, no significant association was found between the melanoma cell cytotoxicity and DOX23,29,39,40 treatment ([ES] = 7.27, 95% [CI]: 3.91 to 10.64, I2 = 0). 3 studies23,29, evaluated the association between the melanoma cell cytotoxicity and CAP and DOX treatment. The overall results showed that a significant association existed between melanoma CAP and DOX treatment and an increase the melanoma cell death ([ES] = 11.71, 95% [CI]: 3.69 to 19.73, I2 = 56%) (Fig. 4).
Forest plot of for association between melanoma treatment and cell cytotoxicity. (A) CAP treatment vs. cell cytotoxicity analysis. (B) DOX treatment vs. cell cytotoxicity analysis. (C) DOX-CAP treatment vs. cell cytotoxicity.
Subgroup and intragroup analyses
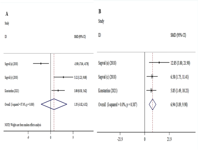
Due to significant heterogeneity between studies, subgroup analyses were performed. The data related to the subgroup analyses of the studied studies are shown in (Table 4). In addition, among the 3 studies that investigated the effects of CAP and DOX and used 5 different types of melanoma, intragroup analyses were performed. The analysis of the dominant model indicated that a significant association existed between melanoma cell viability with CAP treatment ([ES] = 82, 95% [CI]: 72.8 to 92.29, I2 = 62.7%) and DOX treatment ([ES] = 40.80% [CI]: 19.63 to 61.97, I2 = 85.6%). intragroup analyses indicated that CAP treatment ([ES] = 1.21% [CI]: 0.09 to 2.33, I2 = 39%) and DOX treatment ([ES] = 1.35% [CI]: -3.82 to 6.52, I2 = 87.4%) have an association with melanoma cell death. Moreover among the 3 studies Significant associations were found for CAP treatment and increased melanoma cell cytotoxicity ([ES] = 1.84% [CI]: -1.14 to 4.09, I2 = 75%) (Figs. 5 and 6).
Forest plot of intragroup analysis of the cell death and cytotoxicity in melanoma-based CAP treatment.
Discussion
Over the past 30 years, melanoma rates have increased worldwide59. Tumor heterogeneity, which refers to the genetic and phenotypic differences between tumor cells, can restrict the disease-free survival period for patients60, Despite advancements in cancer treatment, novel combination therapies are often required. Recently, there has been significant attention paid to the clinical application of CAP in cancer therapy61,62,63. The ROS generated by CAP plays a significant role in this specific anticancer effect64,65,66. Cancer cells produce a large amount of ROS due to their abnormally active metabolism during rapid proliferation67. Injection of only a small dose of CAP generates exogenous reactive species, allowing cancer cells to reach a lethal ROS threshold quickly while normal cells remain unharmed68. Additionally, clinical cancer chemotherapy is expected to address drug resistance issues with CAP12. As a result, CAP and DOX combination therapy is one of the most effective melanoma chemotherapies that have a positive impact11,59. DOX, similar to CAP, is known to generate ROS through the redox cycle, which exacerbates oxidative damage. The synergistic effects of these compounds may; overcome the antioxidant defense mechanisms of cancer cells, induce lipid peroxidation and protein oxidation, and cause mitochondrial dysfunction, ultimately leading to cell death69,70. It is non yet clear how effective the combination of CAP and DOX therapy is in influencing the cell viability, death, and cytotoxicity of melanoma. To gain a better understanding of this therapy’s mechanism, we conducted a systematic review and meta-analysis to summarize the role of CAP and DOX therapy in the viability, cytotoxicity, and death of melanoma cells.
Forest plot of intragroup analysis of the cell death and cytotoxicity in DOX treated melanoma.
The results of previous studies have shown that the treatment of melanoma cells with CAP in the process of dealing with the tumor reduces cell viability19,20,31. In addition, past studies have shown that the use of DOX for the treatment of melanoma is effective and reduces cell viability39,40,45. The results of our meta-analyses have also confirmed this decrease in cell viability with CAP(ES: 58.23) and DOX(ES: 23) treatment alone compared to the control group. The cell viability test results from the previous study also showed that the combination mode of CAP and DOX was most effective against cancer23,29. The results of our analyzes were also in following with previous studies and showed that, the cell viability in the studies that used the combined treatment CAP and DOX was significantly reduced (ES: 6.75) compared to the studies that used the treatment CAP(ES: 58.23) or DOX(ES: 23) alone (Fig. 2). In the subgroup analysis of cell viability in the subgroup of cell line A375, the cell viability was significantly reduced with the combined treatment(ES: 1.20) compared to the CAP(ES: 1.54) or DOX(ES: 13.63) group alone. In addition, in the subgroup of cell line SKMEL28(ES: 13.52) and B16F0(ES: 7.90) the cell viability was significantly reduced with the combined treatment compared to the CAP or DOX group alone. the Treat-time subgroup analysis indicated that the cell viability in the combined treatment of CAP and DOX was significantly reduced(ES: 1.20) compared to group DOX(ES: 29.09) alone. Moreover in the subgroup of the gas used in the CAP device, in the Helium gas group, the cell viability in the combined treatment of CAP and DOX was significantly reduced(ES: 16.09) compared to group CAP(ES: 55.50) alone (Table 4). In the intragroup analyses among the studies that used the combined treatment, following our previous analyses, a significant decrease in cell viability was shown in the combined treatment(ES: 6.75) compared to the CAP(ES: 52.54) and DOX(ES: 40.80) treatment alone (Figs. 5 and 6).
Previous studies have shown that the use of CAP to treat melanoma has increased cytotoxicity19,20,29. In addition, previous studies have shown that dox treatment increased cytotoxicity in melanoma cells23,29,39. Our analysis in the field of cytotoxicity showed that the combined treatment of CAP and DOX significantly increases (ES: 11.71) cytotoxicity compared to the treatment of CAP(ES: 5.75) or DOX(ES: 7.27) alone (Fig. 4). In addition, in the intragroup analyses among the studies that used the combined treatment, an increase in cytotoxicity was shown in the combined treatment (ES: 11.71) compared to the CAP(ES: 1.48), DOX(ES: 6.94) treatment, but this increase was nonsignificant (Figs. 5 and 6). The results of previous studies, consistent with the results of our analysis, have shown an increase in cytotoxicity due to combined treatment with CAP and DOX23,29.
Many studies about the use of CAP for cancer therapy have shown that plasma can initiate cell death19,20,29. Similarly, doxorubicin can also cause increased cell death in melanoma cancer cells23,29,39. Moreover, a previous study indicated that combined treatment with CAP and DOX had an increased effect on melanoma cell death23,29. In contrast, our meta-analyses have shown that cell death is reduced by combined treatment, but this reduction was not significant (Fig. 3). However, in the intra-group analysis of studies that had combined treatment, cell death increased (ES: 2.14) compared to the cap (ES: 1.21) and dox(ES: 1.35) treatment group alone. but, this increase was not statistically significant. As a result, it is not possible to give a firm opinion on this matter (Figs. 5 and 6).
Although the overall results and subgroup analyses were not statistically significant, the inverse association with cell death observed in the overall meta-analysis and subgroup analyses may be linked to variations in cell lines, drug dosages, or experimental conditions in each study.
In the present study, a significant relationship between cell viability and cytotoxicity was observed with the combination of CAP and DOX in melanoma. Furthermore, due to limitations such as high heterogeneity in several included studies, probably the result of variation in study design, and relatively small sample size, further studies are necessary to understand the effect of combined CAP and DOX treatment on cell death.
Conclusion
Our findings demonstrate that the combination of cold atmospheric plasma (CAP) and doxorubicin (DOX) produces synergistic effects in reducing melanoma cell viability and increasing cytotoxicity compared to either treatment alone. These effects are likely mediated through mechanisms such as enhanced oxidative stress and DNA damage. However, the reliance on in vitro data underscores the need for further in vivo and clinical research to validate these results and to explore the therapeutic potential of this combination in melanoma treatment.
Limitation
Sources of variation contributing to the high heterogeneity in our study include study design, sample size, and methodology. Suggested future approaches to minimize heterogeneity involve classifying studies based on experimental context. In addition, most studies were in vitro, and validation of in vivo models and clinical trials is needed in future studies.
Data availability
Data is provided within the manuscript or supplementary information files.
Change history
04 November 2025
A Correction to this paper has been published: https://doi.org/10.1038/s41598-025-26577-x
Abbreviations
- DNA:
-
Deoxyribonucleic acid
- DOX:
-
Doxorubicin
- CAP:
-
Cold atmospheric plasma
- ROS/RNS:
-
Reactive oxygen and nitrogen species
- NOS:
-
Newcastle–Ottawa Scale
- MTT:
-
3-(4,5-dimethylthiazol-2-yl)-2,5-diphenyltetrazolium bromide
- PI:
-
Propodium iodid
References
Arnold, M. et al. Global burden of cutaneous melanoma in 2020 and projections to 2040. JAMA Dermatol. 158(5), 495–503 (2022).
Siegel, R. L, Giaquinto, A. N. & Jemal, A. Cancer statistics, 2024. Cancer J. Clin. 74(1), 12–49 (2024).
Eddy, K., Shah, R. & Chen, S. Decoding melanoma development and progression: Identification of therapeutic vulnerabilities. Front. Oncol. 10, 626129 (2021).
Bajetta, E. et al. Multicenter phase III randomized trial of polychemotherapy (CVD regimen) versus the same chemotherapy (CT) plus subcutaneous interleukin-2 and interferon-α2b in metastatic melanoma. Ann. Oncol. 17(4), 571–577 (2006).
Bafaloukos, D. et al. Temozolomide and cisplatin versus temozolomide in patients with advanced melanoma: A randomized phase II study of the Hellenic Cooperative Oncology Group. Ann. Oncol. 16(6), 950–957 (2005).
Larkin, J. et al. Combined nivolumab and ipilimumab or monotherapy in untreated melanoma. N. Engl. J. Med. 373(1), 23–34 (2015).
McArthur, G. A. et al. Safety and efficacy of vemurafenib in BRAFV600E and BRAFV600K mutation-positive melanoma (BRIM-3): Extended follow-up of a phase 3, randomised, open-label study. Lancet Oncol. 15(3), 323–332 (2014).
Mattia, G. et al. Cell death-based treatments of melanoma: Conventional treatments and new therapeutic strategies. Cell Death Dis. 9(2), 1–14 (2018).
Isanbor, C. & O’Hagan, D. Fluorine in medicinal chemistry: A review of anti-cancer agents. J. Fluorine Chem. 127(3), 303–319 (2006).
Yang, F., Teves, S. S., Kemp, C. J., Henikoff, S. & Doxorubicin DNA torsion, and chromatin dynamics. Biochim. Biophys. Acta BBA. Rev. Cancer 1845(1), 84–89 (2014).
Gabizon, A. A., Patil, Y. & La-Beck, N. M. New insights and evolving role of pegylated liposomal doxorubicin in cancer therapy. Drug Resist. Updates 29, 90–106 (2016).
Utsumi, F. et al. Effect of indirect nonequilibrium atmospheric pressure plasma on anti-proliferative activity against chronic chemo-resistant ovarian cancer cells in vitro and in vivo. PloS One 8(12), e81576 (2013).
Xu, D. et al. Cold atmospheric plasma as a potential tool for multiple myeloma treatment. Oncotarget 9(26), 18002 (2018).
Duan, J., Lu, X. & He, G. The selective effect of plasma activated medium in an in vitro co-culture of liver cancer and normal cells. J. Appl. Phys. 121(1), 013302 (2017).
Cheng, H., Xu, J., Li, X., Liu, D. & Lu, X. On the dose of plasma medicine: Equivalent total oxidation potential (ETOP). Phys. Plasmas 27(6), 063514 (2020).
Schmidt-Bleker, A., Bansemer, R., Reuter, S. & Weltmann, K. D. How to produce an NOx‐instead of Ox‐based chemistry with a cold atmospheric plasma jet. Plasma Process. Polym. 13(11), 1120–1127 (2016).
Laroussi, M., Lu, X., Keidar, M. & Perspective The physics, diagnostics, and applications of atmospheric pressure low temperature plasma sources used in plasma medicine. J. Appl. Phys. 122(2), 020901 (2017).
Lopaczynski, W. & Zeisel, S. H. Antioxidants, programmed cell death, and cancer. Nutr. Res. 21(1–2), 295–307 (2001).
Liu, J-R. et al. Low-temperature plasma induced melanoma apoptosis by triggering a p53/PIGs/caspase-dependent pathway in vivo and in vitro. J. Phys. D 52(31), 315204 (2019).
Xu, G. et al. Effects of atmospheric pressure plasma jet with floating electrode on murine melanoma and fibroblast cells. Phys. Plasmas 24(8), 083504 (2017).
Saadati, F. et al. Comparison of direct and indirect cold atmospheric-pressure plasma methods in the B16F10 melanoma cancer cells treatment. Sci. Rep. 8(1), 1–15 (2018).
Yan, D. et al. The correlation between the cytotoxicity of cold atmospheric plasma and the extracellular H2O2-scavenging rate. IEEE Trans. Radiat. Plasma Med. Sci. 2(6), 618–623 (2018).
Pefani-Antimisiari, K. et al. Synergistic effect of cold atmospheric pressure plasma and free or liposomal doxorubicin on melanoma cells. Sci. Rep. 11(1), 1–15 (2021).
Bekeschus, S. et al. Toxicity and immunogenicity in murine melanoma following exposure to physical plasma-derived oxidants. Oxid. Med. Cell. Longev. (2017).
Lin, A. et al. Non-thermal plasma as a unique delivery system of short‐lived reactive oxygen and nitrogen species for immunogenic cell death in melanoma cells. Adv. Sci. 6(6), 1802062 (2019).
Bekeschus, S. et al. Medical gas plasma jet technology targets murine melanoma in an immunogenic fashion. Adv. Sci. 7(10), 1903438 (2020).
Li, X. et al. Cold atmospheric plasma jet-generated oxidized derivatives of tryptophan and their selective effects on murine melanoma and fibroblast cells. Plasma Chem. Plasma Process. 38(5), 919–936 (2018).
Gandhirajan, R. K. et al. Cytochrome c oxidase inhibition and cold plasma-derived oxidants synergize in melanoma cell death induction. Sci. Rep. 8(1), 1–12 (2018).
Sagwal, S. K., Pasqual-Melo, G., Bodnar, Y., Gandhirajan, R. K. & Bekeschus, S. Combination of chemotherapy and physical plasma elicits melanoma cell death via upregulation of SLC22A16. Cell Death Dis. 9(12), 1–13 (2018).
De Backer, J., Lin, A., Berghe, W. V., Bogaerts, A. & Hoogewijs, D. Cytoglobin inhibits non-thermal plasma-induced apoptosis in melanoma cells through regulation of the NRF2-mediated antioxidant response. Redox Biol. 55, 102399 (2022).
Shaw, P. et al. Synergistic effects of melittin and plasma treatment: A promising approach for cancer therapy. Cancers 11(8), 1109 (2019).
Tian, M. et al. Metabolome analysis of selective inactivation of human melanoma and normal cells by cold atmospheric plasma. Plasma Chem. Plasma Process. 41(2), 591–605 (2021).
Muneekaew, S., Huang, Y. H. & Wang, M-J. Selective killing effects of atmospheric pressure plasma jet on human melanoma and lewis lung carcinoma cells. Plasma Chem. Plasma Process. 41(6), 1613–1629 (2021).
Xia, J. et al. Cold atmospheric plasma induces apoptosis of melanoma cells via Sestrin2-mediated nitric oxide synthase signaling. J. Biophotonics 12(1), e201800046 (2019).
Zhang, H. et al. Synergistic anticancer effects of different combinations of He + O2 plasma jet and doxorubicin on A375 melanoma cells. Plasma Process. Polym. 18(6), 2000239 (2021).
Hasse, S., Müller, M-C., Schallreuter, K. U. & von Woedtke, T. Stimulation of melanin synthesis in melanoma cells by cold plasma. Biol. Chem. 400(1), 101–109 (2019).
Hasse, S., Meder, T., Freund, E., von Woedtke, T. & Bekeschus, S. Plasma treatment limits human melanoma spheroid growth and metastasis independent of the ambient gas composition. Cancers 12(9), 2570 (2020).
Vermeylen, S. et al. Cold atmospheric plasma treatment of melanoma and glioblastoma cancer cells. Plasma Process. Polym. 13(12), 1195–1205 (2016).
Maghsoudinia, F. et al. Ultrasound responsive Gd-DOTA/doxorubicin-loaded nanodroplet as a theranostic agent for magnetic resonance image-guided controlled release drug delivery of melanoma cancer. Eur. J. Pharm. Sci. 106207 (2022).
Chen, Y. et al. Co-delivery of doxorubicin and epacadostat via heparin coated pH-sensitive liposomes to suppress the lung metastasis of melanoma. Int. J. Pharm. 584, 119446 (2020).
Jones, A. K., Bejugam, N. K., Nettey, H., Addo, R. & D’Souza, M. J. Spray-dried doxorubicin-albumin microparticulate systems for treatment of multidrug resistant melanomas. J. Drug Target. 19(6), 427–433 (2011).
Yang, C. et al. Macrophage membrane-camouflaged shRNA and doxorubicin: A pH-dependent release system for melanoma chemo-immunotherapy. Research (2022).
Kao, F-H. et al. In vivo and in vitro demonstration of gold nanorod aided photothermal presoftening of B16F10 melanoma for efficient chemotherapy using doxorubicin loaded graphene oxide. ACS Appl. Bio Mater. 2(1), 533–543 (2018).
Alizadeh, N., Akbari, V., Nurani, M. & Taheri, A. Preparation of an injectable doxorubicin surface modified cellulose nanofiber gel and evaluation of its anti-tumor and anti‐metastasis activity in melanoma. Biotechnol. Prog. 34(2), 537–545 (2018).
An, L. et al. A sulfur dioxide polymer prodrug showing combined effect with doxorubicin in combating subcutaneous and metastatic melanoma. Bioactive Mater. 6(5), 1365–1374 (2021).
Zhu, S. et al. Partly PEGylated polyamidoamine dendrimer for tumor-selective targeting of doxorubicin: The effects of PEGylation degree and drug conjugation style. Biomaterials 31(6), 1360–1371 (2010).
Talelli, M. et al. Core-crosslinked polymeric micelles with controlled release of covalently entrapped doxorubicin. Biomaterials 31(30), 7797–7804 (2010).
Banstola, A. et al. Localized therapy using anti-PD-L1 anchored and NIR-responsive hollow gold nanoshell (HGNS) loaded with doxorubicin (DOX) for the treatment of locally advanced melanoma. Nanomed. Nanotechnol. Biol. Med. 33, 102349 (2021).
Patras, L. et al. Trojan horse treatment based on PEG-coated extracellular vesicles to deliver doxorubicin to melanoma in vitro and in vivo. Cancer Biol. Ther. 23(1), 1–16 (2022).
Grabowska, K. et al. Multidirectional anti-melanoma effect of galactolipids (MGDG-1 and DGDG-1) from Impatiens parviflora DC. and their synergy with doxorubicin. Toxicol. In Vitro 76, 105231 (2021).
Lima, I. B. et al. Improved antiproliferative activity of doxorubicin-loaded calcium phosphate nanoparticles against melanoma cells. bioRxiv (2022).
Salvador, D., Bastos, V. & Oliveira, H. Hyperthermia enhances doxorubicin therapeutic efficacy against A375 and MNT-1 melanoma cells. Int. J. Mol. Sci. 23(1), 35 (2021).
Pegoraro, C. et al. Enhanced drug delivery to melanoma cells using PMPC-PDPA polymersomes. Cancer Lett. 334(2), 328–337 (2013).
Yu, P. et al. Eukaryotic elongation factor-2 kinase regulates the cross-talk between autophagy and pyroptosis in doxorubicin-treated human melanoma cells in vitro. Acta Pharmacol. Sin. 40(9), 1237–1244 (2019).
Lai, M. et al. Acid ceramidase controls apoptosis and increases autophagy in human melanoma cells treated with doxorubicin. Sci. Rep. 11(1), 1–14 (2021).
Song, M. et al. Self-assembled polymeric nanocarrier-mediated co-delivery of metformin and doxorubicin for melanoma therapy. Drug Deliv. 28(1), 594–606 (2021).
Mittal, A., Tabasum, S. & Singh, R. P. Berberine in combination with doxorubicin suppresses growth of murine melanoma B16F10 cells in culture and xenograft. Phytomedicine 21(3), 340–347 (2014).
Park, K. et al. Combination therapy of heparin–deoxycholic acid conjugate and doxorubicin against squamous cell carcinoma and B16F10 melanoma. Pharm. Res. 25(2), 268–276 (2008).
Garbe, C. & Blum, A. Epidemiology of cutaneous melanoma in Germany and worldwide. Skin Pharmacol. Physiol. 14(5), 280–290 (2001).
Hachey, S. J. & Boiko, A. D. Therapeutic implications of melanoma heterogeneity. Exp. Dermatol. 25(7), 497–500 (2016).
Fridman, G. et al. Applied plasma medicine. Plasma Process. Polym. 5(6), 503–533 (2008).
Kong, M. G. et al. Plasma medicine: An introductory review. New J. Phys. 11(11), 115012 (2009).
Lu, X. et al. Reactive species in non-equilibrium atmospheric-pressure plasmas: Generation, transport, and biological effects. Phys. Rep. 630, 1–84 (2016).
Zhang, H. et al. Differential sensitivities of HeLa and MCF-7 cells at G1-, S-, G2-and M-phase of the cell cycle to cold atmospheric plasma. J. Phys. D 53(12), 125202 (2020).
Kaushik, N. K. et al. Low doses of PEG-coated gold nanoparticles sensitize solid tumors to cold plasma by blocking the PI3K/AKT-driven signaling axis to suppress cellular transformation by inhibiting growth and EMT. Biomaterials 87, 118–130 (2016).
Keidar, M. et al. Cold plasma selectivity and the possibility of a paradigm shift in cancer therapy. Br. J. Cancer 105(9), 1295–1301 (2011).
Cairns, R. A., Harris, I. S. & Mak, T. W. Regulation of cancer cell metabolism. Nat. Rev. Cancer 11(2), 85–95 (2011).
Hanahan, D. & Weinberg, R. A. Hallmarks of cancer: The next generation. cell 144(5), 646–674 (2011).
Mateu-Sanz, M., Ginebra, M-P., Tornín, J. & Canal, C. Cold atmospheric plasma enhances doxorubicin selectivity in metastasic bone cancer. Free Radic. Biol. Med. 189, 32–41 (2022).
Mai, Y. et al. An oxidative stress-based mechanism of doxorubicin cytotoxicity suggests new therapeutic strategies in ABC-DLBCL. Blood J. Am. Soc. Hematol. 128(24), 2797–2807 (2016).
Acknowledgements
The authors gratefully acknowledge the student research committee of Mazandaran University of Medical Science, Sari, Iran for financially supporting this research.
Author information
Authors and Affiliations
Contributions
A.R. and Z.R. designed the study; R.A., A.R., and Z.R. performed the experiments; all authors contributed to the generation of the figures; Z.R. and R.A. wrote the draft and revised the manuscript.
Corresponding author
Ethics declarations
Competing interests
The authors declare no competing interests.
Ethical approval
The conducted research is not related to either human or animal use. Because this is a meta-analysis review article that used data from other articles that have been approved and published.
Additional information
Publisher’s note
Springer Nature remains neutral with regard to jurisdictional claims in published maps and institutional affiliations.
The original online version of this Article was revised: The original version of this Article contained errors in the Conclusion. Full information regarding the corrections made can be found in the correction for this Article.
Rights and permissions
Open Access This article is licensed under a Creative Commons Attribution 4.0 International License, which permits use, sharing, adaptation, distribution and reproduction in any medium or format, as long as you give appropriate credit to the original author(s) and the source, provide a link to the Creative Commons licence, and indicate if changes were made. The images or other third party material in this article are included in the article’s Creative Commons licence, unless indicated otherwise in a credit line to the material. If material is not included in the article’s Creative Commons licence and your intended use is not permitted by statutory regulation or exceeds the permitted use, you will need to obtain permission directly from the copyright holder. To view a copy of this licence, visit http://creativecommons.org/licenses/by/4.0/.
About this article
Cite this article
Rostami, Z., Alizadeh-Navaei, R., Golpoor, M. et al. Synergistic effects of cold atmospheric plasma and doxorubicin on melanoma: A systematic review and meta-analysis. Sci Rep 15, 7870 (2025). https://doi.org/10.1038/s41598-025-90508-z
Received:
Accepted:
Published:
Version of record:
DOI: https://doi.org/10.1038/s41598-025-90508-z








