Abstract
Cardiometabolic Syndrome (CMS) is associated with increased risks of cardiovascular disease, type 2 diabetes mellitus, and all-cause mortality. The Weight-Adjusted Waist Circumference Index (WWI) has emerged as a novel metric for assessing obesity and its health implications. To investigate the relationship between WWI and mortality in CMS patients, considering the mediating role of inflammatory markers. The study analyzed the National Health and Nutrition Examination Survey (NHANES) data from 2003 to 2018 and identified 6506 patients with CMS. WWI was calculated as the square root of waist circumference (cm) divided by weight (kg). Mortality data were correlated with the National Death Index (NDI). Cox regression models, adjusted for demographic and clinical covariates, assessed the effect of WWI on all-cause and cause-specific mortality. Finally, the role of inflammatory markers in the relationship between WWI and mortality was explored using mediation analysis. The study observed a positive linear association between WWI and all-cause, cardiovascular, and diabetes-related mortalities among CMS patients. After adjusting for demographic and clinical confounders, WWI remained a significant predictor of mortality. Mediation analysis revealed that inflammatory markers, particularly the neutrophil and systemic immune-inflammation index (SII), significantly mediated the relationship between WWI and all-cause mortality. WWI is an independent predictor of mortality in CMS patients, with inflammation potentially linking obesity to mortality risk. These findings may inform clinical risk assessment and management strategies for CMS.
Similar content being viewed by others
Introduction
Cardiometabolic Syndrome (CMS) is a cluster of metabolic disorders centered around insulin resistance, encompassing abdominal obesity, hypertension, hyperglycemia, and dyslipidemia1,2,3. This syndrome significantly elevates the risk of cardiovascular disease (CVD), type 2 diabetes mellitus (T2DM), and all-cause mortality4. According to the World Health Organization (WHO), CMS is one of the leading contributors to global mortality and disability, with an increasing prevalence over the past few decades5. Reports from the Centers for Disease Control and Prevention (CDC) indicate that the risk of metabolic syndrome across the United States is approximately one in three5. In recent years, factors such as unhealthy diet, physical inactivity, obesity, and an aging population have further accelerated the epidemic of CMS6,7,8,9. Despite a plethora of research examining factors associated with the increased or decreased incidence of cardiometabolic syndrome, understanding of the long-term trends and determinants of all-cause mortality among patients with CMS remains limited.
Chronic inflammation is recognized as a key factor in the onset and progression of CVD and T2DM and is strongly associated with poor prognosis10. The presence and severity of systemic inflammation can be predicted using a variety of inflammatory markers that reflect the presence and severity of inflammation throughout the body and the poor outcome of these diseases. The systemic immune-inflammation index (SII) has been shown to have a substantial predictive value for poor prognosis in myocardial infarction patients with diabetes mellitus11. Elevated systemic inflammation response index (SIRI) has also been shown to be strongly associated with the risk of death in obese populations12. At the same time, previous studies have shown that chronic low-grade inflammation can mediate the adverse outcomes associated with excessive obesity13. Thus, systemic inflammation may have a potential role in mediating obesity-related long-term prognosis.
Traditionally, body mass index (BMI) and waist circumference (WC) have been employed as metrics to assess obesity and its associated health risks. However, the limitations of these indices in accurately reflecting the distribution of individual fat and lean mass have become increasingly recognized14,15. For instance, BMI does not differentiate between the proportion of fat and muscle in body weight, while WC, although indicative of abdominal fat, overlooks other critical factors such as height16,17. In recent years, the Weight-Adjusted Waist Circumference Index (WWI) has emerged as a novel obesity assessment tool. By considering the ratio of an individual’s weight to WC, WWI offers a more precise method of evaluation18. The advantage of WWI lies in its ability to provide a more comprehensive assessment of an individual’s fat and lean mass, surpassing the limitations of BMI and WC. Consequently, it has demonstrated potential predictive value in various disease domains, including adolescent bone density, female infertility, and erectile dysfunction19,20,21. While previous studies have indicated an association between WWI and various adverse health outcomes, the direct link between WWI and the mortality of CMS patients remains insufficiently investigated.
Therefore, this study is designed to explore the correlation between WWI and the all-cause mortality rate among patients with CMS and further examine the potential mediating role of indicators of inflammation in these relationships. We aim to equip clinicians with more precise tools for risk assessment, thereby enabling the development of more effective preventive and management strategies for individuals with CMS.
Methods
Our study utilized data from the National Health and Nutrition Examination Survey (NHANES), a series of investigations conducted by the CDC in the United States. This survey is designed to assess the health and nutritional status of the civilian, non-institutionalized population in the United States. The NHANES data encompass interview and physical examination results, including demographic, socioeconomic, dietary, and health-related issues, as well as physiological measurements and laboratory tests.
In this survey, we obtained data from the surveys conducted between 2003 and 2018, which included 80,312 participants. Our research focused on adults aged 18 and above, narrowing down the scope to 7,865 respondents with complete CMS data. After excluding those missing WC and weight data (n = 150), incomplete blood cell counts necessary (n = 45), and lacking covariate data (n = 1,164), 6,506 patients were included in the study. The specific screening process is depicted in Fig. 1.
CMS, WWI, and the definition of death
According to the Third Report of the National Cholesterol Education Program Expert Panel on Detection, Evaluation, and Treatment of High Blood Cholesterol in Adults (NCEP-ATPIII), the diagnosis of CMS can be made if three or more of the following criteria are present22: (1) Abdominal obesity: WC ≥ 102 cm in men, ≥ 88 cm in women; (2) Hypertension: ≥ 130/85 mmHg or on anti-hypertensive medication; (3) Fasting glucose ≥ 100 mg/dL or on diabetes treatment; (4) high-density lipoprotein (HDL): < 40 mg/dL in men, < 50 mg/dL in women; (5) Triglyceride (TG): ≥ 150 mg/dL. WWI is calculated by dividing WC (cm) by the square root of body weight (kg)23.
In the NHANES database, mortality data are typically obtained by linking records with the National Death Index (NDI). In the NHANES surveys, death is defined as the period from the baseline interview until December 31, 2019. In the analysis, we examined all-cause mortality, cardiovascular mortality, and diabetes-related mortality.
Mediator variable
After sample collection, anticoagulant treatment is administered to prevent blood coagulation. Advanced instruments such as the Beckman Coulter MAXM or HMX are utilized to automatically measure leucocytes, lymphocytes, neutrophils, platelets, and more based on the principles of optics and impedance. The neutrophil-to-lymphocyte ratio (NLR) is calculated by determining the ratio of neutrophils to lymphocytes. The SII is defined as the product of the platelet and the neutrophil divided by the lymphocyte24.
Selection of covariates
In this study, we selected a set of covariates based on the evidence from previous research and their potential relevance to the study outcomes to control for potential confounding factors and ensure the accuracy of the results25,26. These specifically include age, gender, race, education level, marital status, income-to-poverty ratio (PIR), BMI, drinking, smoking status, and medical histories, such as hypertension, diabetes, CVD, and history of cancer. Additionally, we incorporated laboratory measurement indicators, including total cholesterol (TC), triglycerides (TG), low-density lipoprotein (LDL), HDL, serum albumin, serum uric acid, blood glucose, and estimated glomerular filtration rate (eGFR).
Statistical analysis
We initially conducted descriptive statistics for the baseline characteristics of the participants, utilizing independent samples t-tests or analysis of variance (ANOVA) for between-group comparisons of continuous variables and chi-square tests for categorical variables to assess baseline differences among different exposure groups. Subsequently, we employed a cohort study design and evaluated the relationship between WWI and mortality in patients with CMS using Kaplan–Meier curves. To control for potential confounding factors, we applied multivariate Cox regression analysis, establishing three models (Model 1: unadjusted, Model 2: adjusted for age, gender, and race; Model 3: adjusted for age, gender, race, education level, PIR, marital status, alcohol consumption, smoking status, eGFR, and history of cancer). Additionally, restricted cubic splines were utilized to reflect the dose–response association between WWI and mortality.
To explore the mediating role of inflammatory markers, we first employed a multivariate linear regression model to examine the association between WWI and inflammatory markers. Secondly, we used multivariate Cox regression analysis to investigate the relationship between the mediator variable and mortality rates in patients with CMS. Finally, we conducted mediation analysis using the R package “mediation” to assess the direct and indirect effects of WWI on mortality rates. Precisely, we followed the standard approach in the “mediation” package, which uses a two-step procedure for estimating the mediation effects. In the first step, we fitted the mediator model, where inflammatory markers were treated as the mediator, using a regression model that predicts the mediator based on WWI and other covariates. In the second step, we fitted the outcome model, where mortality rates were predicted based on both WWI and the mediator (inflammatory markers), adjusting for potential confounders. To quantify the mediation effect, we computed the direct effect (the effect of WWI on mortality that is not mediated by inflammation) and the indirect effect (the portion of the effect of WWI on mortality that is mediated by inflammation). The “mediation” package provides the Average Causal Mediation Effect (ACME), which represents the average indirect effect of WWI on mortality through the mediator. The Average Direct Effect (ADE) represents the direct effect of WWI on mortality that is not mediated by inflammation. We also calculated the proportion of mediation, which is the ratio of the indirect effect (ACME) to the total effect (the sum of the direct and indirect effects). This proportion represents the percentage of the total effect of WWI on mortality that is mediated by inflammatory markers. All effects were estimated using 10,000 bootstrap samples to obtain robust confidence intervals, and the significance of the mediation effects was determined using a 95% bootstrap confidence interval (CI). All analyses were performed using R software (version 4.3.1), and a two-tailed P-value < 0.05 was considered statistically significant.
Results
Basic information of participants
In this study, we categorized participants into four quartile groups (Q1 to Q4) based on WWI to assess its association with various baseline characteristics (Table 1). Our research reflects the health information of 32,217,500 individuals across the United States. We found that as WWI increased, the average age of participants, the proportion of females, and the prevalence of hypertension, diabetes, and CVD also increased. Education level and PIR decreased with higher WWI. Additionally, there were significant differences in drinking and smoking habits across different WWI groups, with current drinkers and smokers being more common in the lower WWI groups. Indicators such as lipid levels (TC, TG, LDL), leucocyte, NLR, SII, and eGFR showed significant differences across WWI groups, often exhibiting unfavorable health indicators in the higher WWI groups.
Table 2 displays the differences in demographic and clinical characteristics between the survival and death groups. Among the 6,506 participants, significant differences were observed between the two groups in terms of age, race, education level, marital status, PIR, BMI, drinking habits, smoking status, medical history, and laboratory measurement indicators (P < 0.001). Notably, the deceased group had a higher average age and a higher prevalence of hypertension, diabetes, and CVD. Furthermore, the deceased group had lower BMI, LDL, uric acid levels, and leucocyte, while higher NLR was observed.
Association between WWI and mortality in CMS patients
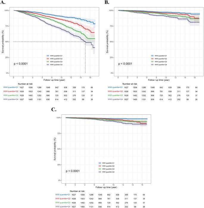
During a mean follow-up of 90.8 months, a total of 1027 all-cause deaths, 292 cardiovascular deaths, and 166 diabetes deaths were recorded. In the Kaplan–Meier survival curve analysis, the quartiles of WWI were significantly associated with all-cause mortality, cardiovascular mortality, and diabetes mortality (P < 0.001). The risk of death increased progressively with higher WWI. Details of the Kaplan–Meier survival analyses are shown in Fig. 2.
In addition, the Cox proportional hazards model was used to analyze the relationship between WWI and all-cause mortality, diabetes mortality, and cardiovascular mortality in Table 3. In Model 1, which was unadjusted for any covariates, WWI was significantly associated with all three mortality rates, and the hazard ratio (HR) increased with higher WWI. In Model 2, which further adjusted for age, gender, and race, the association between WWI and mortality remained significant, but the HR was somewhat reduced. In Model 3, which fully adjusted for age, gender, race, education level, PIR, marital status, alcohol consumption, smoking status, eGFR, and history of cancer, the positive relationship between WWI and all-cause [HR = 1.53, 95% CI = 1.19–1.98] cardiovascular mortality [HR = 1.84, 95% CI = 1.05–1.3.22] and diabetes mortality [HR = 3.20, 95% CI = 1.56–6.60] still existed. These results indicate that WWI is an independent predictor of mortality, and its impact is independent of multiple potential confounding factors. The P-values for trend tests were all less than 0.05, further confirming the presence of a dose–response relationship between WWI and mortality.
Relationships between WWI and mortality
To ascertain whether there is a nonlinear relationship between WWI and mortality, we employed restricted cubic spline models for further exploration. In the study of WWI in relation to all-cause mortality, it was observed that as WWI increased, the mortality rate among CMS patients gradually rose, and this association was found to be linear (P-non-linear > 0.05; Fig. 3). Similarly, in the investigation of WWI in association with cardiovascular and diabetes mortality risks, RCS analysis confirmed that the positive correlation was linear.
Association between WWI and all-cause mortality (A)(B)(C), cardiovascular mortality (D)(E)(F), and diabetes mortality (G)(H)(I) in patients with cardiovascular metabolic syndrome. (A)(D)(G) represent unadjusted covariates; (B)(E)(H) are adjusted for age, gender and race; and (C)(F)(I) are adjusted for age, gender, race, education level, PIR, marital status, alcohol consumption, smoking status, eGFR, and history of cancer. The solid line and purple area represent estimates and their corresponding 95% confidence intervals (CIs), respectively. Abbreviation: WWI, weight-adjusted waist circumference index; PIR, the ratio of income to poverty; eGFR, estimated glomerular filtration rate; HR, hazard ratio; CI, confidence interval.
Association between WWI and inflammation
To investigate the effect of inflammation, the correlations of five blood biomarkers of inflammation were analyzed. As shown in Fig. 4, the strongest correlation was found between NLR and SII (r-value = 0.84). There was also a strong correlation between leucocytes and neutrophils (r-value = 0.82). Table 4 shows the relationship between various inflammatory markers and WWI. In the fully adjusted regression model, the results showed a positive correlation with WWI for all markers (all p < 0.05).
Association between inflammation and mortality
Cox regression models of inflammatory markers with all-cause mortality and cardiovascular mortality are shown in Table 5. The results showed that leucocyte, neutrophil, NLR and SII were significantly and positively associated with all three mortality outcomes. These associations persisted after adjustment for age, gender, race, and other potential confounders. The association between lymphocytes and all-cause, cardiovascular, and diabetes mortality was not significant in the fully adjusted model.
Intermediary analysis
Finally, mediation analysis was employed to investigate the role of inflammatory markers as mediators in the relationship between WWI and all-cause mortality (Fig. 5). The findings revealed that all four inflammatory markers significantly mediated the relationship between WWI and all-cause mortality, with leucocyte, neutrophils, NLR and SII accounting for 14.6%, 24.52%, 17.7% and 22.64% of the total, respectively (P < 0.05).
Discussion
This study utilized the NHANES database to investigate the association between WWI and all-cause mortality among patients with CMS and further analyzed the potential mediating role of inflammatory markers in this relationship. The results indicated that WWI was positively correlated with all-cause mortality, cardiovascular mortality, and diabetes mortality in CMS patients, and these associations remain highly uniform across the different adjustment models. These results strongly indicate that WWI is an independent predictor of mortality, and its predictive value remains significant even after adjusting for a wide range of demographic, clinical, and behavioral factors. Additionally, inflammatory markers, particularly leucocytes, neutrophils, NLR and SII, were found to mediate the relationship between WWI and all-cause mortality. These findings highlight the potential mediating role of inflammatory markers in the link between obesity and mortality risk, underscoring the significance of obesity-related inflammation in all-cause mortality.
Our findings are consistent with existing literature, which indicates that obesity is a significant risk factor for CVD and T2DM and is associated with an increased risk of all-cause mortality27,28. WWI, as an emerging indicator for obesity assessment, provides a more accurate reflection of an individual’s fat distribution and body composition compared to traditional BMI and WC, thereby demonstrating greater precision in predicting health risks23,29. Previous research has identified the prognostic role of WWI in diseases such as diabetes and asthma30,31. A retrospective cohort study from the United States involving 3,223 asthma patients found that for each unit increase in WWI, there is a 43% increase in the risk of all-cause mortality31. Furthermore, WWI is associated with a higher risk of death from CVD, cancer, and respiratory issues in patients with asthma. Additionally, a study from China suggested that an increase in WWI negatively affected the daily living activities elderly32. In our study, we highlight the potential value of WWI in assessing the mortality risk for CMS patients. Notably, for each unit increase in WWI, the rates of all-cause mortality, cardiovascular mortality, and diabetes mortality increased by 31%, 45%, and 84%, respectively, offering clinicians a more accurate tool for risk assessment.
In addition, our study further explored the correlations between the various inflammatory factors and their mediating role in the relationship between WWI and all-cause mortality. Among them, strong correlations were shown between NLR and SII, as well as leucocytes and neutrophils. This high correlation reflects the overlapping effects of inflammatory responses in patients. NLR is calculated as the ratio of neutrophils to lymphocytes and is widely used as a marker of systemic inflammation. SII combines neutrophil, platelet, and lymphocyte counts to provide a more comprehensive measure of immune activation. The strong correlation between NLR and SII suggests that the two metrics capture similar pathways of inflammation and that neutrophils play a central role in both. The strong correlation between leucocytes and neutrophils suggests that when neutrophil levels increase due to inflammation, the overall leucocyte count also increases, as would be expected in an inflammatory situation. This relationship further emphasizes the key role of neutrophils in systemic inflammation and their potential as a key predictor of poor patient prognosis. Additionally, inflammation is a key component of obesity and CMS, with obesity being considered a state of chronic low-grade inflammation associated with increased white blood cell counts and elevated NLR, both of which are indicators of inflammatory activity33. Studies have indicated that leucocytes are linked to an increased risk of metabolic syndrome. For instance, research on non-obese children with leukocytosis and obstructive sleep apnea syndrome has shown correlations between leucocytes and specific components of metabolic syndrome34,35. A multicentre study suggests that inflammatory factors mediate the association between obesity index and poor prognosis in hypertensive patients36. In our study, inflammatory markers mediated the positive correlation between WWI and mortality rates in CMS patients. The mediating effects were 24.52%, 22.64%, 17.7%, and 14.6% for neutrophils, SII, NLR, and leucocytes respectively. This effect may be facilitated by various mechanisms that promote the development of CVD and diabetes, including atherosclerosis, insulin resistance, and beta-cell dysfunction. As a result, measuring inflammatory markers could help identify CMS patients at higher risk of mortality.
In exploring the underlying mechanisms of these associations, we have identified significant connections between inflammation, obesity, and mortality. Chronic inflammation is thought to be the central bridge between obesity and multiple metabolic and CVD. During obesity, the over-expansion and dysfunction of adipose tissue release various pro-inflammatory factors (e.g., IL-6 and TNF-α), triggering chronic low-grade systemic inflammation37,38. This inflammatory state not only extends beyond adipose tissue but also impairs insulin signaling through the activation of inflammatory pathways like nuclear factor-κB (NF-κB). This process induces insulin resistance39, further disrupting glucose and lipid metabolism and triggering protein kinase C and oxidative stress cascades, which exacerbate atherosclerosis, endothelial dysfunction, and metabolic disorders39,40. In addition, elevated free fatty acids and damage-associated molecular patterns (DAMPs) released by adipose tissue apoptosis continue to stimulate the immune system, further exacerbating the spread of chronic inflammation41,42. Pro-inflammatory factors trigger vascular injury, fibrosis and microcirculation disorders through abnormal activation of immune cells such as neutrophils and macrophages, thus creating a vicious circle of metabolic disorders and vascular pathology42. Meanwhile, oxidative stress increases reactive oxygen species (ROS) levels and depletes nitric oxide (NO), further deteriorating endothelial function43,44. Ultimately, chronic inflammation and obesity-associated insulin resistance collaborate to notably elevate the risk of CVD and death in patients with CMS.
Furthermore, chronic inflammation is not only an essential bridge between obesity and cardiovascular metabolic disorders, but is also strongly associated with aging, muscle loss, and the prognosis of chronic diseases. Aging is usually accompanied by a progressive imbalance between the accumulation of stochastic damage and the body’s damage repair mechanisms. The chronic mild elevation of inflammatory factors during aging is primarily associated with continued activation of the immune system, as evidenced by elevated levels of circulating inflammatory markers and continued activation of immune cells in circulation and tissues. The chronic inflammatory state resulting from aging has been shown to be strongly associated with an increased risk of death45. Higher BMI may provide better nutritional reserve and muscle mass in some cases, especially in patients with chronic diseases or in older age groups. However, weight loss often involves muscle loss, malnutrition, and higher levels of systemic inflammation, all of which can speed up disease progression and impact survival prognosis46. Despite the lower BMI and WC in the deceased group, their WWI was significantly higher, suggesting that these individuals may have had more severe visceral adiposity accumulation and muscle loss. In particular, excessive accumulation of visceral adipose tissue induces chronic low-grade inflammation and secretion of inflammatory mediators, which interferes with insulin signaling pathways and leads to insulin resistance47. Patients with diabetes mellitus may have increased metabolic disturbances due to long-term insulin resistance and chronic inflammation, which may contribute to the development of atherosclerosis, renal impairment and CVD, all of which are associated with increased all-cause mortality48. In addition, hypertension is one of the most important factors affecting survival. Hypertension can lead to vascular damage, atherosclerosis and cardiovascular complications, and inflammation is considered one of the central drivers of elevated blood pressure. Although the inflammatory response is essentially the body’s defense mechanism to cope with imbalances in the internal and external environments, when inflammation is unbalanced, it may cause tissue damage and metabolic disorders, thereby increasing the risk of disease progression and death49.In this study, NLR, serving as a comprehensive indicator of systemic inflammation and immune status, was capable of reflecting the inflammatory load and immunosuppression of the body simultaneously time. The elevated levels of NLR, neutrophils, and leucocytes in the deceased group suggested that the inflammatory response was enhanced and the immune function was impaired. In addition, SII was also elevated in the deceased group. However, it did not reach statistical significance, which may be related to the high heterogeneity of individual inflammation levels or specific disease states.
While our study provides significant insights into the association between WWI and mortality in patients with CMS and reveals the potential role of inflammation, several limitations should be addressed. First, the cross-sectional nature of the NHANES database limits the ability to draw causal inferences since it captures only associations at a single point in time. Second, although we controlled for multiple known confounding factors, such as demographic and clinical variables, there may still be unmeasured confounders, particularly genetic predispositions and lifestyle factors, which could influence the outcomes in ways not fully captured in this study. Genetic factors, such as inherited susceptibility to certain diseases or genetic variations that affect inflammatory responses, could play a significant role in determining an individual’s risk for mortality. For example, individuals with genetic variants that predispose them to lower levels of inflammation may have better survival outcomes, regardless of their WWI status. Similarly, lifestyle factors are known to influence both inflammation and mortality outcomes. These factors, if not measured or controlled for, could act as confounders, potentially masking or exaggerating the effect of WWI on mortality. For instance, individuals with healthier lifestyles may exhibit lower levels of inflammation, which could mitigate the adverse impact of WWI on their survival. In contrast, individuals with poor lifestyle choices may have higher inflammatory markers and worse survival, irrespective of their WWI values. These unmeasured factors could lead to residual confounding, potentially biasing our results and limiting the generalizability of our findings. Future research should aim to incorporate genetic data and more comprehensive lifestyle information to better account for these confounders. Additionally, prospective cohort studies, which allow for the establishment of temporal relationships, would provide more substantial evidence for causal inference. Exploring the mediating role of inflammation and examining the impact of genetic and lifestyle factors on the WWI and mortality association would further refine our understanding of these complex interactions.
Conclusion
In summary, the findings of this study highlight the potential value of WWI in assessing the mortality risk among patients with CMS and reveal the mediating role of inflammation between obesity and the risk of mortality. These results provide significant biological insights for the development of preventive and management strategies targeted at CMS patients and may contribute to improving the clinical outcomes for these individuals.
Data availability
The data used in this study are publicly available from the CDC’s NHANES and NDI databases. Corresponding authors will make datasets available upon reasonable request.
References
Moore, K. J. & Shah, R. Introduction to the obesity, metabolic syndrome, and CVD compendium. Circ. Res. 126(11), 1475–1476 (2020).
Redon, J. et al. Mechanisms of hypertension in the cardiometabolic syndrome. J. hypertens. 27(3), 441–451 (2009).
Srikanth, S. & Deedwania, P. Management of dyslipidemia in patients with hypertension, diabetes, and metabolic syndrome. Curr. Hypertens. Rep. 18(10), 76 (2016).
Liu, Q. et al. Association of the triglyceride-glucose index with all-cause and cardiovascular mortality in patients with cardiometabolic syndrome: a national cohort study. Cardiovasc. Diabetol. 23(1), 80 (2024).
Saklayen, M. G. The global epidemic of the metabolic syndrome. Curr. Hypertens. Rep. 20(2), 12 (2018).
Guo, Y. et al. Intermittent fasting improves cardiometabolic risk factors and alters gut microbiota in metabolic syndrome patients. J. Clin. Endocrinol. Metabolism. 106(1), 64–79 (2021).
Kivimaki, M. et al. Physical inactivity, cardiometabolic disease, and risk of dementia: An individual-participant meta-analysis. BMJ. 365, l1495 (2019).
Rus, M. et al. Prevalence and risk factors of metabolic syndrome a prospective study on cardiovascular health. Medicina https://doi.org/10.3390/medicina59101711 (2023).
Mohammadian Khonsari, N. et al. Normal weight obesity and cardiometabolic risk factors: A systematic review and meta-analysis. Front. Endocrinol. 13, 857930 (2022).
Donath, M. Y., Meier, D. T. & Böni-Schnetzler, M. Inflammation in the pathophysiology and therapy of cardiometabolic disease. Endocr. Rev. 40(4), 1080–1091 (2019).
Luo, J. et al. Prognostic implications of systemic immune-inflammation index in myocardial infarction patients with and without diabetes: Insights from the NOAFCAMI-SH registry. Cardiovasc. Diabetol. 23(1), 41 (2024).
Kong, F. et al. System inflammation response index: A novel inflammatory indicator to predict all-cause and cardiovascular disease mortality in the obese population. Diabetol. Metab. Syndr. 15(1), 195 (2023).
Gregor, M. F. & Hotamisligil, G. S. Inflammatory mechanisms in obesity. Ann. Rev. Immunol. 29, 415–445 (2011).
Sweatt, K., Garvey, W. T. & Martins, C. Strengths and limitations of BMI in the diagnosis of obesity: What is the path forward?. Curr. Obes. Rep. 13(3), 584–595 (2024).
Li, H., Zhang, Y., Luo, H. & Lin, R. The lipid accumulation product is a powerful tool to diagnose metabolic dysfunction-associated fatty liver disease in the United States adults. Front. Endocrinol. 13, 977625 (2022).
Ferreira, A. S. et al. Body fat and skeletal muscle mass, but not body mass index, are associated with pressure hyperalgesia in young adults with patellofemoral pain. Braz. J. Phys. Ther. 26(4), 100430 (2022).
Ashwell, M., Gunn, P. & Gibson, S. Waist-to-height ratio is a better screening tool than waist circumference and BMI for adult cardiometabolic risk factors: Systematic review and meta-analysis. Obes. Rev. 13(3), 275–286 (2012).
Kim, K. J., Son, S., Kim, K. J., Kim, S. G. & Kim, N. H. Weight-adjusted waist as an integrated index for fat, muscle and bone health in adults. J. Cachexia, Sarcopenia muscle 14(5), 2196–2203 (2023).
Cao, S. et al. Relationship between weight-adjusted-waist index and erectile dysfunction in the United State: Results from NHANES 2001–2004. Front. Endocrinol. 14, 1128076 (2023).
Wen, Z. & Li, X. Association between weight-adjusted-waist index and female infertility: A population-based study. Front. Endocrinol. 14, 1175394 (2023).
Wang, X., Yang, S., He, G. & Xie, L. The association between weight-adjusted-waist index and total bone mineral density in adolescents: NHANES 2011–2018. Front. Endocrinol. 14, 1191501 (2023).
Grundy, S. M. et al. Definition of metabolic syndrome: Report of the National Heart, Lung, and Blood Institute/American Heart Association conference on scientific issues related to definition. Circulation. 109(3), 433–438 (2004).
Park, Y., Kim, N. H., Kwon, T. Y. & Kim, S. G. A novel adiposity index as an integrated predictor of cardiometabolic disease morbidity and mortality. Sci. Rep. 8(1), 16753 (2018).
Cao, W. et al. Neutrophils are associated with higher risk of incident amyotrophic lateral sclerosis in a BMI- and age-dependent manner. Ann. Neurol. 94(5), 942–954 (2023).
Magge, S. N. et al. The metabolic syndrome in children and adolescents: Shifting the focus to cardiometabolic risk factor clustering. Pediatrics https://doi.org/10.1542/peds.2017-1603 (2017).
Geto, Z. et al. Cardiometabolic syndrome and associated factors among Ethiopian public servants, Addis Ababa, Ethiopia. Sci. Rep. 11(1), 20635 (2021).
Hariharan, R. et al. The dietary inflammatory index, obesity, type 2 diabetes, and cardiovascular risk factors and diseases. Obes. Rev. 23(1), e13349 (2022).
Barry, V. W. et al. Fitness vs. fatness on all-cause mortality: A meta-analysis. Prog. Cardiovasc. Dis. 56(4), 382–390 (2014).
Wang, S. et al. Differential associations of 6 adiposity indices with dementia in older adults: The MIND-China study. J. Am. Med. Dir. Assoc. 24(9), 1412–1419 (2023).
Tao, Z., Zuo, P. & Ma, G. The association between weight-adjusted waist circumference index and cardiovascular disease and mortality in patients with diabetes. Sci. Rep. 14(1), 18973 (2024).
Wang, S., Li, D. & Sun, L. Weight-adjusted waist index is an independent predictor of all-cause and cause-specific mortality in patients with asthma. Heart Lung 68, 166–174 (2024).
Sun, J. et al. Associations of body mass index, waist circumference and the weight-adjusted waist index with daily living ability impairment in older Chinese people: A cross-sectional study of the Chinese longitudinal healthy longevity survey. Diabetes, Obes. Metab. 26(9), 4069–4077 (2024).
Fahed, G. et al. Metabolic syndrome: Updates on pathophysiology and management in 2021. Int. J. Mol. Sci. https://doi.org/10.3390/ijms23020786 (2022).
Ruggiero, A., Rizzo, D., Amato, M. & Riccardi, R. Management of Hyperleukocytosis. Curr. Treat. Options Oncol. 17(2), 7 (2016).
Di Sessa, A. et al. Cardiometabolic risk profile in non-obese children with obstructive sleep apnea syndrome. Eur. J. Pediatr. 181(4), 1689–1697 (2022).
Huang, Y. et al. Inflammatory markers link triglyceride-glucose index and obesity indicators with adverse cardiovascular events in patients with hypertension: Insights from three cohorts. Cardiovasc. Diabetol. 24(1), 11 (2025).
Cox, A. J., West, N. P. & Cripps, A. W. Obesity, inflammation, and the gut microbiota. lancet Diabetes Endocrinol. 3(3), 207–215 (2015).
Unamuno, X. et al. Adipokine dysregulation and adipose tissue inflammation in human obesity. Eur. J. Clin. Investig. 48(9), e12997 (2018).
Neeland, I. J. et al. Visceral and ectopic fat, atherosclerosis, and cardiometabolic disease: A position statement. lancet Diabetes Endocrinol. 7(9), 715–725 (2019).
Rana, M. N. & Neeland, I. J. Adipose tissue inflammation and cardiovascular disease: An update. Curr. Diabetes Rep. 22(1), 27–37 (2022).
Amezcua-Castillo, E. et al. C-Reactive protein: The quintessential marker of systemic inflammation in coronary artery disease-advancing toward precision medicine. Biomedicines https://doi.org/10.3390/biomedicines11092444 (2023).
Guria, S., Hoory, A., Das, S., Chattopadhyay, D. & Mukherjee, S. Adipose tissue macrophages and their role in obesity-associated insulin resistance: An overview of the complex dynamics at play. Biosci. Rep. https://doi.org/10.1042/BSR20220200 (2023).
Heitzer, T., Schlinzig, T., Krohn, K., Meinertz, T. & Münzel, T. Endothelial dysfunction, oxidative stress, and risk of cardiovascular events in patients with coronary artery disease. Circulation. 104(22), 2673–2678 (2001).
Furukawa, S. et al. Increased oxidative stress in obesity and its impact on metabolic syndrome. J. Clin. Investig. 114(12), 1752–1761 (2004).
Singh, A. et al. Aging and Inflammation. Cold Spring Harb. Perspect. Med. https://doi.org/10.1101/cshperspect.a041197 (2024).
Antuña, E. et al. Inflammaging: Implications in sarcopenia. Int. J. Mol. Sci. https://doi.org/10.3390/ijms232315039 (2022).
Szukiewicz, D. Molecular mechanisms for the vicious cycle between insulin resistance and the inflammatory response in obesity. Int. J. Mol. Sci. https://doi.org/10.3390/ijms24129818 (2023).
Duan, M. et al. Metabolic score for insulin resistance (METS-IR) predicts all-cause and cardiovascular mortality in the general population: Evidence from NHANES 2001–2018. Cardiovasc. Diabetol. 23(1), 243 (2024).
Aboukhater, D. et al. Inflammation and hypertension: Underlying mechanisms and emerging understandings. J. Cell. Physiol. 238(6), 1148–1159 (2023).
Acknowledgements
We acknowledge the NHANES and NDI databases for data provision and all participants involved.
Funding
This research did not receive any specific grant from funding agencies in the public, commercial, or not-for-profit sectors.
Author information
Authors and Affiliations
Contributions
HW ,YL and ZW designed the study. HZ, ZX and XL collected the data. HW, JW and WC performed the analysis. All authors contributed to the writing and approved the final manuscript.
Corresponding authors
Ethics declarations
Competing interests
The authors declare no competing interests.
Ethics approval and consent to participate
This study was conducted using de-identified data from the NHANES, which is publicly available and exempt from ethical approval as per the CDC guidelines. No additional consent was required for this retrospective analysis.
Additional information
Publisher’s note
Springer Nature remains neutral with regard to jurisdictional claims in published maps and institutional affiliations.
Rights and permissions
Open Access This article is licensed under a Creative Commons Attribution-NonCommercial-NoDerivatives 4.0 International License, which permits any non-commercial use, sharing, distribution and reproduction in any medium or format, as long as you give appropriate credit to the original author(s) and the source, provide a link to the Creative Commons licence, and indicate if you modified the licensed material. You do not have permission under this licence to share adapted material derived from this article or parts of it. The images or other third party material in this article are included in the article’s Creative Commons licence, unless indicated otherwise in a credit line to the material. If material is not included in the article’s Creative Commons licence and your intended use is not permitted by statutory regulation or exceeds the permitted use, you will need to obtain permission directly from the copyright holder. To view a copy of this licence, visit http://creativecommons.org/licenses/by-nc-nd/4.0/.
About this article
Cite this article
Wang, H., Cai, W., Zeng, H. et al. Inflammatory markers mediate the association between weight-adjusted waist circumference and mortality in patients with cardiometabolic syndrome. Sci Rep 15, 8505 (2025). https://doi.org/10.1038/s41598-025-92733-y
Received:
Accepted:
Published:
Version of record:
DOI: https://doi.org/10.1038/s41598-025-92733-y







