Abstract
Human factors are often linked to unsafe events in civil aviation transport, with the competency level and decision-making abilities of flight crews playing a significant role. The leadership and teamwork competency of the flight crew in the cockpit directly influences the occurrence of aviation safety incidents. Leadership is a developmental and trainable skill. This study aims to explore the key components of leadership and the competency model for civil aviation flight cadets. Based on classic leadership theories and leadership development theories, the research adopts a qualitative analysis using grounded theory and utilizes Nvivo 11.0 software for data analysis. An initial leadership evaluation index system for flight cadets was developed. Through a survey of 319 civil aviation pilots and using SPSS 26.0 software for data processing, an evaluation index system was established, covering 4 dimensions—core values, leader competency, outstanding thinking, and positive behavior—with 22 indicators. The study also applied AMOS 24.0 software to conduct validation factor analysis and path analysis and construct the BLVT model of leadership development for civil aviation flight cadets. The findings indicate that, within the 4 dimensions of leadership and the BLVT model, core values influence positive behavior through leader competency and outstanding thinking, resulting in appropriate performance by flight cadets. Outstanding thinking directly affects leader competency, thereby driving the leadership development of flight cadets, who form the development of their leadership skills by recognizing their leadership competencies. The results of this study clarify the 4 key elements of leadership composition and development for civil aviation flight cadets, providing valuable insights into leadership training and development. This study significantly contributes to bridging the gap in civil aviation pilot leadership training and offers a clear pathway for enhancing pilot leadership.
Similar content being viewed by others
Introduction
Leadership research has been widely applied in various fields, including university students1,2, women3,4, managers5,6, politics7,8, and healthcare9,10 achieving significant practical applications11,12. In the field of civil aviation, the International Civil Aviation Organization (ICAO) places great emphasis on competency-based training and assessment (CBTA) for aviation personnel, considering leadership and teamwork as crucial components of competencies for positions such as civil aviation pilots and dispatchers (DOC 9868, 10,056). However, research and training related to leadership in civil aviation pilots often lack strong integration with leadership theories, remaining fragmented and limited to theoretical concerns. Filipowski13 found that high-performance pilots demonstrate leadership behaviors more aligned with transformational leadership theory in emergencies; Papasava and Njeru14 revealed the relationship between different leadership theories and engagement in the airline industry,Bastola15 explored the relationship between leadership styles and aviation safety, discovering that transformational leadership scores higher in safety compared to other leadership styles, although most companies do not adopt this style15. As key personnel directly related to aviation safety, the leadership development, training, and assessment of civil aviation pilots significantly affect cockpit team collaboration efficiency and decision-making quality, ultimately impacting flight safety and passenger lives. Civil aviation flight cadets, as the starting point (initial stage) and a critical phase in a pilots career, must clearly understand the concept, connotations, and essence of their leadership, recognize its components and development paths, and continuously improve their leadership abilities to ensure alignment with the competency requirements at different stages of their future pilot career, such as the first officer and captain roles. This is crucial for enriching ICAO’s competency-based training and assessment research for civil aviation pilots, enhancing crew resource management (CRM), improving cockpit safety, and ensuring the safe operation of civil aviation transportation.
This study systematically organizes classic leadership theories, serving as the foundation for researching the leadership development of civil aviation flight cadets. By employing grounded theory from qualitative research and data analysis methods from quantitative research, the study provides a scientific and reasonable definition of the leadership components for civil aviation flight cadets. During the research process, the author discovered that in the career development of civil aviation pilots, leadership continuously evolves from flight trainee to first officer, captain, captain instructor, and examiner, with varying components and weightings at different stages. This suggests that the leadership competencies required at different stages of a pilot’s career are dynamic and evolve. This aligns with leadership development theory and leader development theory in leadership research, and these theories form the theoretical foundation for constructing the leadership development model for civil aviation flight cadets. The ongoing development of classic leadership theories accelerates and promotes the study of leadership development16. Through the research on the leadership components and development model for civil aviation flight cadets in this study, there is significant industry application value and reference for both classic leadership theory and leadership development theory.
The essence of leadership
Leadership may never reach a universal and uniform definition17, and it tends to vary depending on what is being studied. Leadership is defined as a personal skill whose essence is influence18. It is generally considered to be composed of 5 key elements, which are influence, leaders-followers, organizational objectives, change, and people19. Leadership is shared between leaders and followers, and the influence between them is a bidirectional process20. Influence is the process by which leaders convey ideas, gain acceptance, and inspire followers to support and implement these ideas through “change”21.
The fundamental task of leaders is to motivate followers22, while effective followers also influence others within the team and the leader23. Effective leaders make followers aware of what needs to be done— to achieve common goals. Goal setting can impact performance significantly24. Leadership is about leading others through interpersonal relationships,to some extent, people are the foundation for achieving goals19. Leadership is interactions between leaders and the social and organizational environment25. The process of achieving leadership or setting goals involves change, as leaders often require behavioral changes from followers19. Leaders bring about change by seeking followers’ opinions to alter the status quo21, improving work processes continuously, and developing new innovative products and services. Transformational leadership theory posits that leaders achieve team goals by engaging in behaviors related to charisma, intellectual stimulation, and individualized consideration26.
Leadership is viewed by many organizations as a source of core competence, especially those areas that rely on organizational coordination and teamwork, and in-depth studies have been conducted5,6.1 summarized the Leadership Identity Development (LID) model through in-depth interviews with college students and data analysis. However, the overly simplistic understanding of the leadership development process has posed challenges to the application of the LID model27. Building on seven core values—self-awareness, congruence, commitment, collaboration, common purpose, controversy with civility, and citizenship,28 proposed the Social Change Model of Leadership Development. It is found that the cultivation of leadership among Chinese college students should explore value orientations at the personal, social, and national levels29. The cultivation of leadership among Chinese university students should involve exploring value orientations at three levels: individual, societal, and national29. In addressing the issues within Chinese university students’ leadership education, attention should be given to the selection of leadership theories, the formation and practice of leadership, and the effective integration between researchers and educators30. A constructive approach can be adopted to conduct in-depth research on the leadership model and pathways for Chinese university students31. Research on college students’ leadership has valuable implications for the study of leadership development in civil aviation pilot trainees. Constructing a scientifically sound and effective leadership evaluation system specifically for Chinese civil aviation pilots is an urgent need in both the civil aviation sector and higher education.
Research on leadership in civil aviation can go back to crew resource management, which has not always been a part of aviation training13. As the number of flight accidents increased, researchers began to realize that a greater portion of flight accidents were caused by human factors32. Crew resource management began in 1968 and emphasized the interaction between the pilot and the machine, and the environment33. Crew Resource Management has been improved six times13, the first generation of Crew Resource Management was introduced by NASA in 1979 with a focus on managing efficiency34, and nowadays, the sixth generation, which focuses on training crews to deal with any safety threats and human errors that occur in the cockpit33. Its concept and core have changed quite a bit, but leadership has always been an important topic within it.
Leadership theory, leader development, and leadership development
Early studies in leadership theory provided foundational support for subsequent research on leadership development and leader development16. The concept of leadership has always been diverse and dynamic. It is beneficial for defining the connotations and components of leadership and constructing future leadership models for civil aviation flight cadets by framing leadership theories categorically and defining the development of leaders and leadership.
There are four classical mainstream leadership theories, which are the trait theory framework35,36, behavioral theory framework (Likert, 1967,37, relational theory framework38,39, and situational theory framework40.
The trait theory framework mainly focuses on leadership theories such as the great man theory41, the Big Five personality theory42, and the charismatic leadership theory43, which emphasizes the personal traits of leaders. This type of leadership theory suggests that leadership is a characteristic innate trait to a few individuals44, related to the leader’s traits. Many successful leaders possess certain traits45, largely based on the leader’s personality characteristics46.
The behavioral theory framework includes theories such as Theories X and Y47 and the managerial grid theory37, which emphasize leader behavior. This theory depends on classification frameworks to describe and analyze leadership behavior, for example, studies from Ohio State University categorize leadership behavior into “consideration” and “initiating structure” dimensions. And studies from the University of Michigan categorize leadership behavior into "employee-oriented" and "production-oriented" behaviors. Behavioral leadership theory focuses on the specific behaviors and patterns of leaders rather than their traits or innate characteristics.
There are well-known theories such as transactional leadership theory43, transformational leadership theory43, and servant leadership theory48 in the relational leadership theory framework. Relational leadership theory focuses on the effective leadership of leaders through building, maintaining, and developing relationships with team members39. Relational leaders drive organizational success by improving team cohesion and job satisfaction49. The relational leadership theory not only improves employees’ work experiences but also enhances organizational performance and innovation capabilities.
The situational theoretical framework is best known for Hersey and Blanchard’s50 leadership theory, which emphasizes that leaders adjust their leadership styles in different contexts to better fit the maturity level of their employees, where leadership styles include two dimensions: task-oriented behavior and relationship-oriented behavior. Situational leadership theory emphasizes the flexibility and adaptability of leadership styles, where leaders need to adjust their behaviors according to the abilities and willingness of their team members to achieve the best leadership results. By understanding and applying situational leadership theory, leaders can manage and motivate their team members more effectively, thus enhancing the overall performance of the organization.
We summarized existing classical leadership theories through four theoretical frameworks. However, as time progresses and the focus of leadership research evolves, classical theories cannot fully meet the leadership demands in real-world settings. In most cases, leadership needs are neither linear nor fixed, leaders must adopt a developmental perspective to make decisions and adapt to changing environments. It is precisely within the dual context of theory and practical application that leadership development research has gained increasing attention from scholars16.To identify the theoretical support for defining the connotations and components of leadership in civil aviation flight cadets, it is necessary to review classic leadership theories. This process also provides a theoretical framework for understanding the leader identity and leadership development of flight cadets, which will help establish a rational theoretical path for their leadership development and training.
Entering the twenty-first century, research in the field of leadership appears to focus on leadership development and leader studies increasingly. For instance, scholars have found that leadership development requires time—and may span an entire life cycle51 while reviewing the literature on leadership training. Liu52 and others have found that individuals at each stage of the cycle have opportunities to enhance their development as leaders through everyday life experiences and activities. Newstead (2021) elaborated on how virtues serve as crucial bridges between personal development and the collective development of leadership.
There are distinct differences in the definitions of leadership development and leader development53. Leader development is rooted in traditional, individualistic concepts of leadership53. It refers to the process by which leaders continuously enhance their leadership qualities, skills, and effectiveness through learning, training, accumulating experience, and self-reflection. Leader development emphasizes the development of individual leaders, who can get developmental experiences at every stage of life52. One of The primary reasons that organizations invest in leader development vigorously is to strengthen and safeguard their human capital54. The focus of human capital is to develop individual knowledge, skills, and abilities53. Excellent leaders can guide teams, inspire employee potential, and enable organizations to better utilize human resources. The capabilities of leaders impact team performance directly.
Leadership development is defined as enhancing the capacity of a collective (such as a team or organization) to engage in leadership55. Leadership development originates from resolving practical challenges in leadership development within organizations16. It represents a more modern, relational model of leadership53. The development of leadership is a social system56, where everyone has the opportunity to become a leader, which leadership turns into an effect57. Leadership development is a more complex effort than focusing solely on the development of individual leaders, that is it is an organization’s reservoir of social capital53. Leadership development is inherently multi-layered and longitudinal. The multi-layered, longitudinal essence implies that personal and interpersonal processes will become core values of leadership development with time passed by58.
The purpose of distinguishing between leader development and leadership development in this study is to clarify the differences between the development of civil aviation pilot trainees’ leader identity and leadership. As trainees, their development as leaders benefits from the enhancement and strengthening of key leadership components through training or learning. At the same time, the development of their leader identity enhances their cognitive and learning abilities, promoting the improvement and development of their leadership skills. This, in turn, may lead to a shift from one leadership theory framework to another.
Leader development and leadership development operate at different levels of analysis55, besides, both leader and leadership development are typically done haphazardly53. Researches based on fostering leader development and shared leadership are seldom based on theoretical models, however, research on competency modeling is dominant59,60. Team-based strategies are widely used to foster collective leadership, and a variety of them are used to try to develop collective leadership61. Leader development based on leadership theory should link developmental practices for leaders55, and a comprehensive theory of leader development is also needed62. The model of leader development for civil aviation flight cadets in this study will assist in establishing standardized training programs and assessment systems tailored to the practical operational needs of civil aviation. It aims to foster and enhance leadership skills during the early stages of a pilot’s career, specifically focusing on the leadership development of flight cadets.
Shared leadership could be considered as a form of collective leadership capacity, which is particularly evident in the cockpit. There is a reciprocal relationship between shared leadership and team performance, although the shared leadership to the team-performance relationship was significantly higher than the reverse63. Collective leadership involves the participation of multiple entities in the leadership process64, which can be seen between the captain and first officer in the cockpit, where their new relational leadership affects the development of collective leadership65. A variety of team-based strategies are used to try to develop collective leadership61. Leader development based on leadership theory should link developmental practices for leaders55, and a comprehensive theory of leader development is also needed62. Therefore, it is future direction research to establish a multidisciplinary and multi-perspective framework and theoretical roadmap for collective leadership development of civil aviation pilots55.
Definition of leadership and observable behavioral indicators for civil aviation pilots
The definition of leadership encompasses several elements that may vary in different theories and perspectives, but usually include the following core element: influence, especially over others, is the core of leadership. Leaders set an example through words, actions, and modeling to inspire and guide team members toward a common goal.18,66,67. Goal orientation, leaders usually can set and achieve organizational or team goals. They can set a clear vision for the team and guide members toward a common goal.18,68. Interpersonal relationships and communication, leaders need to build good interpersonal relationships with team members, communicate effectively, and listen to the team, effective communication helps build trust and empathy.69,70,71. Motivation and inspiration, leaders have the responsibility to inspire team members’ enthusiasm and motivation to work, to enhance team performance by stimulating and inspiring team members’ potential72;22,73. In decision-making and problem-solving, leaders need to make decisions and solve problems in complex environments, take responsibility for their decisions, and make wise choices in uncertainty67,74,75. Adaptability and change management, leaders need to adapt to changes and effectively guide teams to cope with them. They should possess flexibility and innovation to adapt to rapidly changing environments24,76. Accountability and trust, leaders need to be accountable for their own and their team’s actions while building trust among team members. Trust is a crucial element in leadership66,77. Vision and strategic thinking, excellent leaders have foresight and strategic thinking abilities and can be able to formulate and execute long-term organizational or team visions and strategies78,79.
A more relevant definition of leadership in civil aviation is that leadership is the "process of influencing" that leaders and followers to achieve organizational goals through change19, and because leadership usually requires a certain level of competency to be effective80, leadership and teamwork are considered as one of the indicators of competency for civil aviation practitioners. The International Civil Aviation Organization (ICAO) defines the pilot competency framework as shown in Fig. 181. Influences are particularly important for pilots. Relationships between experienced pilots need to be built through effective influence, with captains influencing other pilots in the cockpit through their expertise and experience, helping them to improve their flying skills and their ability to cope with complex situations82. The relationship between crew members is a direct reflection of the leader–follower dynamic. The captain acts as a leader, not only imparting knowledge and skills but also serving as a role model and mentor to his followers. The co-pilot, as a follower, and as a “future leader”, needs to be actively involved in the learning process, receiving guidance and improving through practice. Captains and co-pilots share a common goal of safe operations, changing learning and behavior patterns83,84 to improve individual performance and, consequently, organizational effectiveness85.
Pilot Competency framework.
In pilot training, organizational goals usually include developing highly qualified pilots, ensuring flight safety, and improving the skill level and ability of flight cadets to deal with unexpected situations86. Flight training is a process of constant change and improvement, and flight cadets need to continually adapt to new knowledge, and techniques, and implement standard operating procedures (SOPs). Leadership plays a key role in this process by helping flight cadets cope and adapt to these changes87. Through this goal-centered and person-centered form of leadership education for learning and behavior change83,84, flight cadets can grow and develop in an active, positive environment.
The International Civil Aviation Organization (ICAO) has established a competency framework for four key civil aviation roles: pilots, flight dispatchers, air traffic controllers, and air traffic controller trainers81. This framework provides a basis for approved training organizations and operators to develop a tailored competency model suitable for their operational environments. To strengthen human resource development, ICAO has released competency-based training guidelines for these key positions: air traffic controllers88, cabin crew89, aircraft maintenance personnel90, and flight operations officers91.With the expansion of new training methods such as Competency-based Training and Assessment (CBTA), the aviation system is accumulating a wealth of qualitative training data directly linked to personnel performance. For international aviation talent development, this training and assessment approach is performance-oriented, emphasizing performance standards and their measurement, and is committed to developing training based on these established performance standards. Research in the field of civil aviation has focused on technique, flight maneuvering, and safety performance92. As well as how to develop high-quality flight personnel who are competent to meet the requirements of their post, and utilize leadership to promote collaboration among team members to improve work efficiency and safety performance93. Although ICAO has included leadership in the competency framework for civil aviation professionals, and both ICAO and national civil aviation authorities have recognized the importance of leadership training, there is still a gap in leadership training programs and research specifically tailored to the unique characteristics of civil aviation pilots and pilot trainees. It is very important for enhancing the level of leadership competency among practitioners to clarify the definition, connotation, and elemental components of leadership in civil aviation practitioners’ competencies, as well as their leadership development and leader development.
In the civil aviation sector, leadership is similarly emphasized as a concept that evolves with identity and cognitive development. We are proposing a model that seeks to illustrate how the elements and essence of leadership differ across various flight stages for pilots, and how their leadership theories and styles may also vary. Research on the leadership development and leader identity development processes of civil aviation pilots is still in its early stages. This study aims to address the definition of leadership for civil aviation pilots, laying a foundation for future research on leadership and leader development. Once clear leadership indicators for civil aviation pilots are established, the findings can be applied to subsequent studies. This research fills a gap in the study of leadership within the civil aviation profession, while also facilitating the implementation of ICAO’s Competency-based Training and Assessment (CBTA) programs and the development of training curricula for civil aviation personnel94. By enhancing pilots’ leadership and teamwork abilities, it can reduce the likelihood of safety incidents caused by insufficient non-technical skills within flight crews95;96. This has significant practical implications for improving the safety standards of international air transportation.
Leadership is similarly emphasized as a concept that evolves both identity and cognition in the field of civil aviation. We are attempting to propose a model that illustrates the elements and connotations of leadership in different stages of pilot careers. Research on the leadership development of civil aviation pilots and the process of developing leaders are still in their early stages. International Air Transport Association (IATA)published guidance material to emphasize the importance of competency assessment and evaluation for pilots, instructors, and evaluators among civil aviation practitioners97.
The paper aims to address the connotations of leadership for civil aviation pilots and lay the foundation for subsequent research on leadership development and the development of leaders. The findings can be applied in future research once specific and clear leadership indicators for civil aviation pilots are established.
ICAO emphasizes leadership and teamwork as an important competency for pilots and flight dispatchers and lists several observable behaviors to develop competency-based training and assessment for pilot licenses, ratings, and recurrent training81.
According to ICAO81, flight crew members in the cockpit must first establish a positive communication atmosphere and effective cockpit gradient management. The flight crew should have clear roles and responsibilities, with mutual trust between the captain and first officer. The captain should encourage the first officer to participate in the decision-making process, and both parties should freely express and receive effective feedback. However, the captain is responsible for operational control and holds the final decision-making authority for flight safety, with the obligation to make decisive decisions to ensure the smooth execution of flight operations. Similar to the five basic components of leadership19, the behaviors of civil aviation pilots’ leadership manifest in various forms and are assessed through multiple dimensions, which in turn influence the structures and evaluation of a pilot’s leadership. Therefore, the following presents 8 observable behavioral indicators of civil aviation pilots’ leadership, offering practical insights for constructing the leadership elements of flight cadets in this study and providing a reference for the development of training curricula aimed at enhancing pilots’ leadership capabilities.
Encourages team participation and open communication, which is the process of transmitting information and meaning. True communication occurs only when all parties understand the information from the same perspective (meaning)19. Encouraging participation and open communication can establish trust and a collaborative atmosphere. Pilots prevent potential issues by facilitating open channels of communication, allowing team members to freely share opinions98. A harmonious and disciplined cockpit atmosphere ensures smooth flights. Additionally, effective communication enhances team morale and strengthens members’ sense of responsibility and involvement70, thereby improving overall flight efficiency and safety performance.
Demonstrates initiative and provides direction when required. Pilots must demonstrate initiative in various situations, especially during emergencies, threats, errors, or complex tasks99. The initiative involves anticipating issues and taking preventive measures, assuming control proactively, maintaining vigilance and anticipation of flight conditions, and putting the aircraft’s state under control as the top priority. Additionally, providing clear guidance when needed for the team is essential, while guidance serves as a form of coaching100, such as experienced managers assist less-experienced individuals19. Effective, proactive guidance ensures team operation efficiently under any circumstances and enables timely responses to challenges101.
Engages others in planning. It can enhance followers’ sense of identification and ownership when team members participate in the planning process102 to utilize their professional knowledge and experience103. Mature leaders appropriately prioritize followers to participate in the decision-making process, which belongs to the relational leadership framework, akin to servant leadership theory48. The approach not only enhances team members’ sense of responsibility and engagement but also leverages collective wisdom to identify and address potential issues102, ensuring the comprehensiveness and scientific basis of flight plans, thereby enhancing flight safety and efficiency.
Considers inputs from others. Team members may easily fall into personal viewpoints and overlook the collective interests of the team in high-pressure environments, so it is necessary to actively seek input from team member needs for decision-makers104. In the aviation decision-making process, it can ensure the comprehensiveness and accuracy of decisions by considering others’ opinions. Within the characteristics of servant leadership theory, considering others’ opinions is also a crucial determinant48, to promote organizational growth by focusing on the needs and development of team members. During flight missions, the pilot in command needs to listen to advice from the co-pilot, air traffic controllers, and other relevant personnel to evaluate issues from multiple perspectives. This approach enhances decision quality by considering various factors and prevents errors due to neglecting others’ opinions105, thereby improving overall flight safety.
Gives and receives feedback constructively. Feedback can motivate employees to achieve high levels of performance106, and effective feedback mechanisms contribute to the growth of personal and teams. Pilots need constructive feedback in the stage of before, during, and after flights, which helps to identify problems, improve processes, and ensure safer and more efficient future flight missions107. Additionally, received feedback makes cockpit atmospheres harmonious and crew resource management reasonable. Appropriate feedback aids pilots to enhance their professional skills and teamwork well ceaselessly107.
Addresses and resolves conflicts and disagreements in a constructive manner. Pilots may encounter conflicts and disagreements over certain decisions during flight missions, conflict is a part of daily organizational life and work108. Pilots need to possess conflict resolution skills to handle disagreements constructively, avoiding resolving conflicts does not make them disappear and may even exacerbate them109. Conflicts can be prevented from escalating through proactive communication and effective negotiation to ensure team harmony and flight operations smoothly.
Exercises decisive leadership when required. Pilots need to make decisive decisions at critical moments, especially in emergencies99. Exercising decisive leadership demands the pilots to assess the situation quickly and take prompt action110, to ensure the safety of passengers and crew members. During critical phases of flight below 10,000 feet, quick and accurate decisions regarding landing or go-around can prevent aviation accidents. In the en-route phase, decisions regarding deviations from the flight path to avoid adverse weather such as thunderstorms and whether to divert to an alternate airport can directly impact the successful completion of the flight mission. Therefore, the ability to exercise decisive leadership requires a solid understanding of flight operations knowledge and a sound judgment of the current environment.
Manages cultural and language challenges. Pilots often face challenges related to culture and language during international flight operations111 Civil aviation personnel, including pilots, flight dispatchers, and air traffic controllers from various countries and airlines, come from diverse cultural backgrounds and possess varying levels of proficiency in English for air-to-ground communication. This can increase the workload of pilots in the cockpit and pose challenges to their situational awareness and decision-making abilities. Effectively managing these challenges is crucial to ensure smooth communication between pilots, air traffic controllers, and other international crew members, preventing misunderstandings and operational errors caused by cultural and language differences. Throughout aviation history, accidents have occurred due to miscommunications between pilots and controllers during air-to-ground exchanges112,113,114.
Construction of the initial evaluation index system of leadership of civil aviation flight cadets based on grounded theory
Grounded theory
Grounded theory founded by Glaser and Strauss, and later developed by Corbin115, is a qualitative research method that establishes substantive theory from data through a bottom-up approach, which is frequently used in constructing competency models. This method involves identifying core concepts that capture the essence of phenomena from systematically collected data and constructing relevant social theories based on the relationships between these concepts. Grounded Theory continues to evolve and improve, and has been applied in various fields with new paradigms by numerous scholars116.
Grounded Theory is categorized into three main types: classic grounded theory, also named Glaserian grounded theory117, emphasizes the spontaneity of theory and a data-driven process. The coding process includes open coding, selective coding, and theoretical coding. The intrinsic connections between data are identified to form categories and core categories through continuous comparison, the scope of categories related to core categories is defined, and core categories are confirmed and saturated through further theoretical sampling and data collection. The final theoretical model is constructed on 18 coding families. Glaser advocated the principle is "all is data", and proposed that theories can exist independently of specific contexts, personal emotions, and life experiences, researchers could uncover theories through any form of data.
Programmatic grounded theory118 focuses on constructing and validating theoretical frameworks119. The coding process includes open coding, axial coding, and selective coding. The core value of this approach is to clarify the direction of concepts, while changes in direction can lead to new conceptual meanings. The changes stopped until conceptual saturation was achieved, which resulted from the interaction of different directions. The “6C” model (causes, contexts, contingencies, consequences, covariance, and conditions) aids in illustrating how categories aggregate into concepts, and the coding process involves the discovery and name of categories encompassing various directions. In contrast to classic grounded theory, Strauss emphasizes the principle is "all is scene", and he suggests that theory reflects the scenes, events, and emotions of people’s lives.
Constructive grounded theory (Charmaz grounded theory) emphasizes the interaction and construction of meaning between the researcher and the research subjects120. Charmaz formed constructive grounded theory by integrating induction, comparison, emergence, and openness from classic grounded theory, as well as causal hypothesis logic from programmatic grounded theory. Constructive grounded theory generally involves two stages: the initial coding stage, where data is coded line by line to achieve comprehensive abstraction, and the focusing and selecting stage, where interesting and frequent codes from the initial stage are further categorized to form the foundation for theory development. Charmaz argues that researchers construct their grounded theories through engagement and interaction with people, contexts, perspectives, and research practices.
121 innovatively employed a diary research design. They measured naval trainees’ safety compliance daily over a 30-day voyage, and this longitudinal design captured the psychological fluctuations within individuals, rather than just static individual differences, and offered a new perspective on understanding the dynamic process of safety compliance. Similarly, Çelik Maşalaci122 used a questionnaire survey to collect data from 450 maritime students across 10 different universities in Turkey. They comprehensively analyzed instances of bullying and influencing factors during internships by descriptive statistics, hypothesis testing, and association rule mining methods. Both studies applied unique methodologies to address research problems, and their scientific and innovative approaches to data collection and processing provide valuable insights. Inspired by their work, we seek to grounded theory a suitable methodology for researching the constituent elements of leadership of civil aviation pilot trainees.
Civil aviation flight cadets exhibit both general traits of youth and college students as well as specific characteristics of key aviation industry professionals. There are few research on leadership among civil aviation pilots and flight cadets, and the available references are descriptions of "leadership and teamwork" in the competency framework outlined in ICAO DOC 9868 and explanations of observable behavior items. Additionally, there is limited research on the competency and non-technical skills of civil aviation flight cadets123, with the distinctions between explicit and implicit competency elements being somewhat ambiguous124,125. Through the previous summary and organization of the definition and observable behavioral indicators of leadership for civil aviation flight cadets, combined with the current effective reference literature, we have roughly outlined a framework and scope for the elements of leadership in pilot trainees. By integrating the characteristics of the three main streams of grounded theory, we ultimately adopted a programmatic grounded theory approach. This method includes pre-established logic in the data processing, reflecting the researchers’ subjective agency. This logic represents our initial understanding of the leadership components in pilot trainees. At the same time, the observable behavioral indicators of leadership align with the principle of "all is scene" in programmatic grounded theory, where theory is reflected in real-life scenarios and events. This allows for the exploration of causal relationships hidden within the data, representing the scientific process of identifying leadership components. A comparison reveals that programmatic grounded theory is the most suitable method for studying the leadership components of civil aviation pilot trainees, offering unparalleled applicability compared to the other two approaches. This study employs the procedural grounded theory method to conduct a qualitative analysis of relevant literature in the field, preliminarily exploring the components of leadership in civil aviation pilot trainees, thus laying the foundation for further research based on empirical analysis.
Research approach
The research process is divided into three main parts, joint collection, coding, and data analysis. The coding process involves three steps to analyze the textual materials: open coding, axial coding, and selective coding. The coding follows the principle of theoretical saturation, which means that when no new concepts can be derived from the textual materials, it is considered to have reached theoretical saturation. Since the theory is an ever-developing entity, strictly adhering to a typical research paradigm may cause researchers to focus on one step at a particular time while neglecting the contributions of the other two steps to the theory. This clear separation of steps may hinder the generation of theory. Therefore, the study adheres to the principle of "theory as a process", and allows the three operational steps to be conducted simultaneously and interwoven throughout the research.
The grounded theory research process adopted in this study is shown in Fig. 2. The design and implementation of this study were approved by the Academic Committee of the Flight Branch of Civil Aviation University of China (approval date: June 20, 2022) and carried out under its supervision and guidance. All procedures involving human participants were conducted in strict adherence to the principles of the Declaration of Helsinki. Before participation, all individuals were fully informed about the study’s objectives, potential risks, and the anonymization of data, and they provided informed consent to complete the questionnaire. Data were anonymized during collection and will be used exclusively by the research team to ensure the confidentiality and security of the data.
Research flow chart of grounded theory.
Literature collection and data screening
In order to ensure the reliability and relevance of the materials included in this study, a systematic literature collection and data screening process was employed. This process aimed to identify and select high-quality research that aligns with the study objectives and provides a robust foundation for further analysis. The following sections outline the methodology used for literature selection, including the inclusion and exclusion criteria, and the key steps followed during the screening process.
With the rapid development of the civil aviation industry, the competency requirements for aviation personnel have continuously evolved. To standardize the training and assessment of civil aviation personnel, the International Civil Aviation Organization (ICAO) issued Doc 9868 in 2006, providing guidelines for competency-based training and assessment to ensure a safe and efficient air transportation system. This document outlines the training requirements for key roles such as pilots, air traffic controllers, and maintenance personnel, emphasizing competency standards for both training and evaluation in line with ICAO’s safety and operational norms.
In 2014, ICAO introduced a significant revision to Doc 9868, defining competencies for all aviation activities affecting safety. This led to the formation of the Competency Task Force to focus on pilot competency research. The second edition, released in 2015, marked a shift from traditional skill-based training to the Competency-Based Training and Assessment (CBTA) approach. The third edition, published in 2020, introduced the ICAO competency framework, which includes "leadership and teamwork" as one of its core competencies. CBTA has been widely adopted, highlighting the importance of standardized frameworks in pilot competency analysis.
The selection of the 2014–2024 period was driven by significant developments in the civil aviation sector and related research. In 2014, ICAO introduced a key revision to Doc 9868, which defined competencies for all aviation activities affecting safety and established the competency task force to focus on pilot competency research. This revision marked a critical turning point in pilot competency research, making it an ideal time frame for this study. We have selected this time frame to ensure that the research is both current and aligned with the significant changes in the industry and research methodologies.
Prior to 2014, pilot competency research was limited, with outdated indicators failing to address the complexities of modern aviation. Systematic review methodology suggests setting appropriate time frames for literature selection to ensure the scientific rigor and applicability of referenced studies. Given advancements in aviation training and international standards, this study focuses on research from 2014 to 2024 to ensure both relevance and timeliness.
This study adopts the systematic literature review (SLR) methodology and establishes a structured and transparent literature selection process. Through rigorous standards and procedures, it ensures the high relevance and quality of the literature included in relation to the research objectives. The selection of materials follows 4 basic principles: relevance, reliability, timeliness, and diversity. To ensure that the selected materials reflect the research objectives as comprehensively as possible, this study has established the following inclusion and exclusion criteria based on these principles.
Inclusion criteria
(1)Relevance to the research topic. The researcher selects the following keywords in the database based on relevance to the study topic: youth/college student leadership, engineering leadership, non-technical skills, pilot competency/leadership.
(2)Reliability principle. The selected literature types mainly include academic journals, evaluation reports, presentations, and press releases, as long as they offer reliable theoretical or practical value. In terms of language, only Chinese and English literature are included to ensure accurate understanding and analysis, avoiding the inclusion of erroneous theories due to language comprehension issues.
(3)Timeliness principle. The selected literature reflects the latest advancements in the discipline, with content that can be integrated with practical applications. Research on pilot training is closely linked with the theoretical development of leadership and non-technical skills. As aviation technology advances and industry standards evolve, both academic theories and practical applications continue to progress. Therefore, to ensure that the final theoretical framework aligns with current civil aviation industry standards and practices, articles published from 2014 to 2024 are included in the initial screening phase.
(4)Diversity principle. The researcher expands the analysis scope beyond pilot research to topics such as college student leadership and engineering leadership, which are strongly correlated with the pilot trainees, but avoids excessively divergent topics.
Exclusion Criteria
(1)Literature that does not align with the research objectives, such as those not directly related to civil aviation, leadership, or the competency components of pilot trainees, and studies where the target population significantly differs from civil aviation pilot trainees.
(2)Literature with insufficient theoretical depth, lacking a clear theoretical framework, case studies only, or descriptive research.
(3)Duplicate content. Materials that overlap significantly with the included literature without offering new insights or information.
There are 3 steps in the process of selecting the articles.
Step 1: Clarify the topic and search for literature. The research problem is defined as the leadership components of civil aviation pilot trainees. Using China’s most authoritative literature database China National Knowledge Infrastructure (CNKI),Scopus, and Web of Science, the researcher searches and selects keywords such as "civil aviation pilot trainees/pilots leadership","college student/youth leadership", “engineering leadership”, "pilot trainee/pilot non-technical skills", and "pilot trainee/pilot competency", utilizing a strategy of combining subject words with free-text searching. In terms of disciplines, relevant fields such as civil aviation, higher education, and engineering are selected. Given that this study uses grounded theory, citation counts are not a requirement. The selected time frame is from 2014 to 2024. Results from this stage: 21 articles on pilot trainee/pilot competency, 0 articles on civil aviation pilot trainee/pilot leadership, 8 articles on pilot trainee/pilot non-technical skills, 201 articles on college student/youth leadership, and 109 articles on engineering leadership. There are 198 Chinese articles and 141 English articles.
Step 2: Inclusion and exclusion. Based on the inclusion and exclusion criteria, all literature passing the initial screening is thoroughly read to further select studies that meet the research requirements. All eligible articles are evaluated using a pre-established quality assessment tool to ensure their scientific validity and reliability.
Step 3: Final screening and result integration. The final selected articles are input into a research database and systematically classified by theme to facilitate subsequent theory generation and data analysis. During this process, duplicate articles are removed using Notepress software, ensuring the uniqueness and clarity of the literature.
We primarily relied on CNKI for Chinese-language articles. For the collection of English-language articles, we used international academic databases such as Scopus and Web of Science to ensure a comprehensive and balanced selection of literature. By combining Chinese and English resources, we ensured that the literature selected reflects a wide spectrum of relevant research.
A total of 339 articles were initially retrieved from international academic databases such as CNKI, Scopus, and Web of Science, 152 articles were excluded due to irrelevance, duplication, or failure to meet the inclusion criteria. In the second round, 85 articles were excluded due to insufficient theoretical depth or non-relevance to the research objectives. Finally, 102 articles met the inclusion criteria and were retained. These materials, authored by researchers and evaluation experts from various fields, contain a rich set of concepts that can effectively describe the leadership capabilities of civil aviation pilot trainees. This provides the foundation for generating a theoretical framework from the materials, preliminarily constructing an evaluation index system for civil aviation flight cadets’ leadership abilities, and supporting empirical research.
Data coding
Open coding
In the open coding process, all textual materials were imported into Nvivo software for systematic analysis. The software provides powerful text analysis capabilities, which assist researchers in efficiently conducting initial classification, coding, and abstraction of the data. First, researchers used Nvivo’s automation tools, such as text search and query functions, to thoroughly screen all data and highlight text fragments related to the research topic of “leadership”. During this process, special attention was given to preserving the original meaning of the authors and interviewees, avoiding over-interpretation or alteration of the text content.
To ensure the validity and reliability of the text fragments, Nvivo’s node feature was used to label each relevant text fragment. Each node represents an initial concept, which is refined through repeated comparisons of similar text fragments. For example, by coding the text fragments related to the theme of "decision-making", the researchers identified the performance of flight cadets’ decision-making under pressure and categorized them into an initial concept.
Nvivo’s query function was used for cross-analysis of the text data, ensuring connections and consistency between different text fragments, thereby improving the effectiveness of the coding process. The data grouping and visualization features helped researchers clearly see the relationships between different concepts, and through comparisons of similarities and differences, the nodes formed from these raw text fragments were generalized into initial concepts. This laid the foundation for subsequent abstraction and categorization. All initial coding concepts were systematically classified within the software, and they were abstracted and categorized based on their inherent meaning and scope, resulting in 30 initial categories. Through iterative verification, it was ensured that each category reflected the core issues of the flight cadets’ leadership study, such as decision-making abilities, team communication, and stress management, thereby providing a solid foundation for the in-depth analysis of axial coding (shown in Table 1).
Axial coding
In this phase of analysis, the researchers integrated both inductive and deductive reasoning to enhance the depth and theoretical rigor of the coding process.
During the axial coding phase, the researchers systematically derived major patterns and trends from the data by inductively refining the initial categories. For instance, they identified that "decision-making" and “stress management” were recurring themes across multiple text segments. This observation suggests that the leadership performance of flight cadets is closely linked to their decision-making ability under high-pressure conditions. The inductive process enabled the researchers to extract key concepts from the raw data and integrate them into broader, more generalizable categories.
To further substantiate the relevance of these initial categories, the researchers engaged existing leadership theories, such as Situational Leadership Theory and Emotional Intelligence Theory. Situational Leadership Theory emphasizes the importance of leaders adapting their behavior based on contextual factors, while Emotional Intelligence Theory highlights the role of self-awareness and emotional regulation in influencing leadership behaviors. These theoretical frameworks provided essential guidance, ensuring that the category formation was not only grounded in empirical data but also aligned with established leadership theories.
The researchers also employed Nvivo’s classification and node-linking functions to examine the interrelations between the initial categories. For example, they identified a clear causal relationship between “values” and “behavior”, illustrating that the core values held by flight cadets significantly shape their decision-making processes and leadership styles. This approach enabled the researchers to map the connections between categories and ultimately consolidate them into four major categories: values, knowledge, thinking, and behavior. These categories address distinct dimensions of flight cadet leadership, including intrinsic motivators (such as values), external competencies (such as knowledge), cognitive processes (such as decision-making and problem-solving), and observable behaviors (such as leadership actions). The categorization process was rigorously supported by Nvivo’s analytical tools, ensuring both the reliability and validity of the findings. This systematic approach not only refined the core elements of flight cadet leadership but also ensured that the resulting categories were consistent with relevant leadership theories, thereby strengthening the study’s theoretical and empirical foundation.
Selective coding and construction of the initial evaluation index system
Further inductive and refining research was conducted on the principal categories to ultimately obtain a core category that encompasses all categories. This process forms a new theory by systematically analyzing the relationships between categories at all levels, supplements concepts, initial categories, and principal categories which need further development and revision. It describes the phenomena and the underlying driving factors in the form of a “storyline”.
Table 1 shows a complete three-level coding system, including examples of initial concepts and the number of nodes of the initial categories. The number of reference points corresponding to the initial categories reflects their influence to some extent. However, for rigor, this study does not consider its empirical significance. The principal categories and initial categories derived from the qualitative research analysis can form an initial evaluation index system for the leadership of civil aviation flight cadets. We number each index from V1 to V30 and form an initial evaluation index system for the leadership of civil aviation flight cadets, containing 4 primary indices and 30 secondary indices, as shown in Fig. 3.
Topology diagram of the initial evaluation index system of civil aviation flight cadets’ leadership.
Table 1 presents the complete three-level coding system, the reference points of each node, and some examples of three-level coding, in which the score of the reference points corresponding to the second-level codes indicates the size of their influence. The higher the reference points, the greater the influence. The primary codes and secondary codes derived from the qualitative research and analysis can constitute the initial evaluation index system of civil aviation flight cadets’ leadership.
Determination of the initial evaluation index system of civil aviation flight cadets’ leadership
The initial evaluation index system was determined by Nvivo version 11.0 qualitative analysis and expert interview, but the rationality of the index setting needs to be further verified. To reduce the influence of the authors’ subjective tendency, the initial index system is verified using questionnaires to finalize the evaluation index system of civil aviation flight cadets’ leadership.
Data acquisition
A questionnaire was used to validate the reliability of the initial evaluation index system. The first part of the questionnaire was used to collect the demographic information of the participants, including their occupation and position, years of working experience, age, flight hours, etc. The second part of the questionnaire was the main part, which adopted a 5-point Likert-scale to measure the initial 30 indicators of civil aviation flight cadets’ leadership, and there were 30 questions in total. The scale was scored as follows: 1 = subject strongly disagrees with the leadership items stated in the title,2 = subject disagrees, 3 = not sure,4 = subject agrees, and 5 = subject strongly agrees. The distribution process lasted 7 days, and a total of 330 questionnaires were distributed, of which 328 were received, 9 invalid questionnaires were excluded, and 319 valid scales were collected, with a valid return rate of 96.6%.
The questionnaire survey was oriented to 3 groups of subjects, the first group was in-service pilots, including co-pilots, captains, and instructors of civil aviation transportation airlines. The second group was civil aviation educators, including ground theory instructors and staff engaged in student management (counselors, teaching assistants, administrators, etc.); and the third group was student cadres of flight cadets and administrators of student societies, etc. Among them, 158 (about 49.5%) were in-service pilots, 85 (about 26.6%) were civil aviation educators, and 76 (about 23.8%) were flight student cadets.
The target population of this study consists of active pilots, civil aviation educators, and flight cadets within the Chinese civil aviation sector. According to statistical data from the end of 2023, there are 61,480 pilots employed by Chinese commercial airlines (Civil Aviation of China 2023 Statistics, 2023). The exact number of civil aviation education practitioners is not available, and the study was unable to further specify the size of this group. Due to the diversity of the overall population and the lack of some data, this study adopted a simple random sampling method. During the implementation, a combination of online platforms and offline paper questionnaires was used, distributing a total of 330 questionnaires. Since the core objective of the research is to assess the general characteristics of flight cadets’ leadership rather than conduct an in-depth comparison of differences between groups, simple random sampling was used to ensure the representative of the sample while simplifying the data collection process.
Although the sample size reached 319 participants, covering three groups—pilots, educators, and cadet leaders—the adequacy of this sample to represent the entire civil aviation industry, particularly the differences across various regions and airlines, requires further investigation. The limitation of this study lies in the fact that it did not cover all potential industry groups, nor did it perform a more detailed stratified analysis within these groups. Therefore, while the sample has a high response rate and is relatively representative, the generalizability and applicability of the findings should be interpreted with caution, particularly in cases where differences might exist between various types of pilots or educators.
Exploratory factor analysis
Exploratory factor analysis (EFA) was applied to the questionnaire data, as it can summarize variables with intricate relationships to extract a few core dimensions, verify the rationality and scientificity of the leadership index system of flight cadets from a quantitative perspective, i.e., establish the construct validity of the scale. The index system was validated by following the four steps of EFA: fitness test, extraction by principal component analysis, analysis of post-rotation component results, and factor naming.
Fitness test
The purpose of the fitness test is to determine whether the data is suitable for factor analysis. Commonly used methods for this test include the Kaiser–Meyer–Olkin (KMO) sampling adequacy test and Bartlett’s test of sphericity. This step ensures that the data meets the prerequisites for factor analysis126,127.
Bartlett’s test of sphericity and the Kaiser–Meyer–Olkin (KMO) test were used to measure whether the scale could be subjected to factor analysis before EFA, i.e., the fitness test. The KMO value of the 30 indicators calculated by SPSS version 26.0 was 0.979, and the p value of the sphericity test was 0, which was less than 0.05 and significant, so it can be judged that the scale is well suited for factor analysis (Table 2).
Structural validity test
Principal factor extraction involves extracting a few components from the original variables that can summarize most of the information from the original data set. Common factor extraction methods include principal factor analysis and maximum likelihood estimation. This process reduces the number of variables and lays the foundation for subsequent component analysis126,127. Building on this, orthogonal or oblique rotation methods can be applied to enhance the interpretability of the extracted components, facilitating the subsequent factor naming. Factor naming involves assigning appropriate names to each component based on its content characteristics, considering the factor loadings and theoretical rationale. This step enhances the practical significance and explanatory power of the components126,127. In this study, we also applied confirmatory factor analysis (CFA) and path analysis. These methods helped us assess whether the theoretical model aligns with the actual data128 and clarified the direct and indirect effects between variables, contributing to a better understanding of their relationships129.
In the factor extraction, principal component analysis based on the setting of eigenvalues greater than 1 was used to extract the common factors, and the 30 indicators were processed by dimensionality reduction to derive the cumulative variance contribution of factor groups. The common factors were extracted by rotating the factors through the varimax rotation method. The total variance Table 3 shows that there are 4 components with characteristic roots greater than 1, and 4 common factors were extracted, which the variance contribution rates after rotation were 19.768%, 19.725%, 18.645%, and 15.238% respectively. The cumulative variance contribution rate after rotation is 73.385%, which means that the four main factors extracted can reflect 73.385% of the information of the initial variables, and the explanation rate meets the requirement of more than 60%130, indicated that the factors retained after extraction are quite satisfactory.
When analyzing factor loading coefficients, the higher the factor loading, the smaller the measurement residuals, and the residuals must be statistically restrictive to establish a latent variable which is formed by a set of observed variables with measurement error. In general, it can be considered “good” if the factor loading is greater than 0.55, and “excellent” if greater than 0.71131. Based on this criterion, eight indicators with standardized loading were less than 0.55, namely V7, V11, V14, V15, V16, V20, V21, and V29, and they were eliminated from the rotated matrix. As shown in Table 3, the 4-factor structure of civil aviation flight cadet leadership is clear and stable, and the loading sizes of the remaining 22 items in the questionnaire met the requirements, indicating that the meaning of the indicators represented by each item is consist. The results indicate that the data obtained from this questionnaire had a high construct validity.
Reliability and validity analysis
Reliability analysis
The reliability analysis of the questionnaire is a test of the reliability of the obtained survey data. In this article, the reliability level of the questionnaire was tested by examining Cronbach’s α values, and the coefficients of the four first-order factor inclusion items derived from EFA and the coefficients of the total scale were calculated separately to indicate whether there was internal consistency of the data (Table 4).
The Cronbach’s α coefficients for all sub-scales and total scales of the questionnaire reached a value of 0.8(Table 4), indicating that the questionnaire has a relatively high level of reliability of the questionnaire and that no modification of variables and indicators is needed for the time being.
In terms of content validity, according to the main part of the questionnaire, the interviewees believe that the content and logic of the questionnaire are reasonable. At the same time, interviewees also mentioned that the family environment and social relations of flight cadets would affect their psychological development. The difficulty of the course corresponding to the training stage for flight cadets will also have a certain impact on their competency.
Content validity test
In terms of content validity, according to the main part of the questionnaire, the interviewees believe that the content and logic of the questionnaire are reasonable. At the same time, interviewees also mentioned that the family environment and social relations of flight cadets would affect their psychological development. The difficulty of the course corresponding to the training stage for flight cadets will also have a certain impact on their Leader competency.
In terms of the methodology of the study, the scale used in this study was an evaluation index system formed by grounded theory from established theories of students’ leadership and pilot’s competency traits.
In terms of database composition, the coding database was constructed with mature trait theories as the main components, including classic leadership models such as the leadership challenge model, the leadership social change model, and the leadership emotional intelligence model, which provided superior reliability. In terms of coding operation, the coding results passed the theoretical saturation test with the participation of experts, which can effectively reflect the essential characteristics of the leadership of civil aviation flight cadets.
Meanwhile, the study invited 4 experts from the industry to evaluate the reliability of the scale, including 2 ground theory instructors of flight technology majors in civil aviation colleges and universities, one A320 pilot from civil aviation airlines, and 1 manager in the personnel department of civil aviation airlines. The experts thought that the questionnaire was designed with reasonable content and logic, and they also mentioned that the family environment and social relationships of flight cadets would have a certain degree of influence on the leadership development of flight cadets.
Determination of the evaluation index system
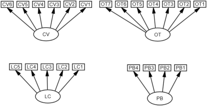
The initial evaluation index system of civil aviation flight cadets’ leadership has been verified after data analysis, which combined practical experience and experts’ opinions, re-examined the meaning of the original viewpoints, concepts, and categories, and repeated the step of “selective coding” to more accurately and scientifically to develop and revise the categories at all levels. It is determined that the initial evaluation index system of civil aviation flight cadets leadership consists of four primary indicators and 22 secondary indicators, among which the primary indicators are the core values, Outstanding thinking, Leader competency, and positive behavior. The core values dimension includes six secondary indicators: self-cognition (CV1), ethical values(CV2), self-identification (CV3), the spirit of social transformation (CV4), devotion (CV5), and awareness of safety and responsibility (CV6); and the dimension of Outstanding thinking includes 7 secondary indicators: knowledge of interdisciplinary knowledge(OT1), general knowledge (OT2), English proficiency (OT3), and sagacity (OT4), international vision (OT5), creative thinking (OT6) and empathy (OT7); Leader competency dimension includes five secondary indicators: experiential learning (LC1), good discipline (LC2), decision-making capacity (LC3), teamwork (LC4) and introspection (LC5); and positive behaviors includes 4 secondary indicators altruism (PB1), establishing shared vision (PB2), incentive authorization (PB3) and leading change in organizations (PB4). The adjusted leadership evaluation index system for civil aviation flight cadets is shown in Fig. 3.
This study drew on McClelland’s "Iceberg Competency Model Structure", and constructed the “Iceberg Structure” of civil aviation flight cadets’ leadership based on sorting out the relationships and meanings of each category, as shown in Fig. 4 and Fig. 5. Altruism, establishing shared vision, incentive authorization, and leading change in organizations in the positive behavior dimension, as well as good discipline and teamwork in the Leader competency dimension, are part of the exposed surface, which are the requirements for the basic performance of flight cadets. But the surface can not differentiate the good leaders from the mediocre ones, nor can it distinguish the good ones from the mediocre ones. This component is easily measured and observed and therefore can be easily imitated, so it can be acquired through targeted training.
Topology diagram of the evaluation index system of civil aviation flight cadets’ leadership. Note: The evaluation index system consists of 4 primary indicators and 22 secondary indicators.
“Iceberg structure” of civil aviation flight cadets’ leadership.
The 3 elements of the leader competency dimension (experiential learning, decision-making capacity, introspection), outstanding thinking, and core values dimensions are qualities that belong to the implicit part of the iceberg, which are the key factors that distinguish the good leader from the mediocre, and which are not easy to be observed and measured, and are difficult to be altered and evaluated, and are even more difficult to be acquired through acquired training.
Determination of index weight system of the leadership model of civil aviation flight cadets
The study adopts the factor analysis method and entropy method to determine the index weight at different levels, which can eliminate the resulting bias brought by human subjective assignment, improve the objectivity and accuracy of evaluation results, and make the evaluation results in line with reality.
Determination of the primary index weight
"Leadership of civil aviation flight cadets" is the overall goal, so there is no need to consider its weight. The primary indicators were extracted from the questionnaire data by factor rotation using the maximum variance method and renamed according to the meaning of the secondary indicators they contained, resulting in 4 main factors: core values, outstanding thinking, Leader competency, and positive behaviors.
The total cumulative variance contribution of the four primary factors was 73.385% through the factor analysis by the SPSS 26.0 platform, with variance contributions of 19.768%, 19.725%, 18.645%, and 15.238% separately, which indicated the extent to which the primary factors contribute to the overall goal. Therefore, this data can be used to determine the weights of the primary indicators on the overall objective. After the normalization of the contribution rate of the main factors, the weight value Ai of the four primary factors core values, Outstanding thinking, Leader competency, and Positive behaviors are 0.269, 0.2688, 0.254, and 0.208 respectively. The results are shown in Table 6.
Determination of the secondary index weight
The entropy method was used to determine the weight of the secondary indicators on the primary indicators. The entropy method is an objective assignment method that measures the weight of each indicator by determining the entropy value of each indicator to indicate the magnitude of the amount of information it carries and then measures the weight of each indicator. The smaller the entropy, the more information the data carries; therefore, the greater the utility value, the greater the weight, and vice versa, the smaller the weight. In SPSS version 26.0, the data of secondary indicators corresponding to each primary indicator were imported separately to obtain the weight coefficients of each secondary indicator before and after weighting. The entropy value of the indicators was between 99.4% and 99.6%, greater than 95.5%, which indicated that the selected indicators contained the vast majority of the original information. The weight values of the secondary indicators under the four primary indicators were in the vicinity of 0.167, 0.143, 0.200, and 0.250 respectively, and were relatively uniform. The specific calculation results are listed in Table 6.
Determination of the secondary weight of indicators with the overall goal
The product of the weight Ai of each primary indicator (main factor) on the overall goal and the weight Aij of the secondary indicators (each variable) which included the main factor can be used to determine the weight ωj of the secondary indicators on the overall goal. At the same time, the entropy value of all the 22 secondary indicators was calculated by applying SPSS version 26.0 and the deviation of the results of the two was within 0.001, and the error was under the control range. The specific results are shown in Table 5.
ωj = Ai * Aij.
According to the weight coefficients table of primary and secondary indexes, among the 22 secondary indexes, incentive authorization (0.056), leading change in organizations(0.050), establishing shared vision(0.049) and teamwork(0.049) accounted for a relatively higher percentage, ranking in the top four. These four indicators are the key points of the "leadership and teamwork" competency, which is from the ICAO competency framework for airplane pilots(ICAO DOC9868). It also shows that incentive authorization, leading change in organizations, establishing a shared vision and teamwork are also important measures for leadership in the flight cadets stage, and positive behaviors can improve their leadership. General literacy(0.039), interdisciplinary knowledge(0.040), decision-making ability(0.041), and reflective enhancement(0.041) are ranked lower in weight, and less influential.
Correlation analysis of the four primary index
Correlation analysis refers to the analysis of two or more variable elements with correlation, to quantitatively describe the nature and closeness of the correlation between two variables, and to provide a theoretical basis for the subsequent determination of the influence relationship between factors.
Normality test
The graphical method test and non-parametric test were combined to analyze the data distribution. The four variables and their means were derived as P-P plots by using SPSS software version 26.0. The P-P plots of the variable means are shown in Fig. 6. The cumulative proportion of the actual data was used as the X-axis, and the cumulative proportion of the corresponding normal distribution was used as the Y-axis for making the scatter plot, so that if the data obeyed the normal distribution, then the data points should be overlapped with the theoretical straight line. The figure showed that the scatter plot was approximately presented as a diagonal straight line, but the fit was not perfect, indicating that the data presented an approximate normal distribution characteristic.
P-P diagram of normality test.
In terms of non-parametric tests, the Kolmogorov–Smirnov test was used for normality for the four variables leader competency(LC), positive behavior(PB), outstanding thinking(OT), and core values(CV), which is suitable for larger sample sizes. It showed significance (p < 0.05) between LC, PB, OT, and CV in Table 6, implying the rejection of the original hypothesis (normal distribution of the data), and all of the LC, PB, OT, and CV did not have the trait of normality. Considering the above results, it can be concluded that the data had an approximately normal distribution characteristic, but was not perfectly normal.
Linear correlation analysis
Spearman’s rank correlation coefficient was used to investigate the correlations between core values and 3 items Outstanding thinking, Leader competency, and positive behavior individually, since the data for this variable did not exactly satisfy the normal distribution property. Specific analysis showed that between CV and all three items LC, OT, and PB showed significance, and the Spearman’s correlation coefficient values were 0.865, 0.846, and 0.803 respectively, greater than 0, which means that there was a positive correlation between CV and the three items of LC, OT, and PB. The results are shown in Table 7.
Construction of the leadership model of civil aviation flight cadets
Propose hypotheses based on a structural equation model
A structural equation model (SEM) is a statistical method that combines factor analysis and path analysis which can better cope with the characteristics of civil aviation flight cadets’ leadership evaluation indexes. These characteristics include massive content, not easily quantifiable evaluation indexes, larger sample sizes of subjects errors in the process of evaluation, etc. In this study, the causal model among the four latent variables in the leadership model of civil aviation flight cadets was assumed, and multivariate analysis was conducted through SEM hypothesis testing to verify the reasonableness of the relationships among the factors in the model. A structural equation model usually consists of a structural model and a measurement model, so assumptions were raised for the two modules as follows.
Assumptions of the measurement model
In terms of the measurement model, since the latent variables cannot be measured directly, it was necessary to construct the observed variables that can be observed and measured into latent variables with the help of the measurement model. The measurement model solved the relationship between the observed variables and the latent variables. The measurement model was constructed as shown in Fig. 7 based on the civil aviation flight cadet leadership evaluation index system.
Assumption diagram of the measurement model. Note:CV1 = self-cognition; CV2 = ethical values; CV3 = self-identification; CV4 = the spirit of social transformation; CV5 = devotion; CV6 = awareness of safety and responsibility;OT1 = Interdisciplinary knowledge; OT2 = general knowledge; OT3 = English proficiency; OT4 = sagacity; OT5 = international vision; OT6 = creative thinking; OT7 = empathy; LC1 = experiential learning; LC2 = good discipline; LC3 = decision-making capacity; LC4 = teamwork; LC5 = introspection; PB1 = altruism; PB2 = establishing shared vision; PB3 = incentive and authorization; PB4 = leading change in organizations.
Assumptions of the structural model
The following hypotheses were proposed for the interrelationships of the four latent variables in the leadership evaluation index system of civil aviation flight cadets established in the previous section:
H1: There was a causal relationship among the primary index, i.e., core values positively influenced positive behavior through the mediators of Outstanding thinking and Leader competency. There was also a relationship between the mediators of Outstanding thinking and Leader competency, and it was hypothesized that Outstanding thinking had a positive influence on Leader competency.
H1.1:There is a direct positive effect between core values and outstanding thinking;
H1.2:There is a direct positive effect between core values and leader competency;
H1.3:There is a direct positive effect between core values and positive behavior;
H1.4:There is a direct positive effect between outstanding thinking and positive behavior;
H1.5:There is a direct positive effect between leader competency and positive behavior;
H1.6:There is a direct positive effect between outstanding thinking and leader competency;
H2:Outstanding thinking and leader competency played a mediating effect in the relationship between core values and positive behaviors:
H2.1:Core values influenced positive behavior through the mediator’s outstanding thinking;
H2.2:Core values influenced positive behavior through the mediator leader competency;
H2.3:Core values ultimately influenced positive behaviors through outstanding thinking (mediator 1) and leader competency (mediator 2).
The leadership conceptual model of civil aviation flight cadets established the relationships among the latent variables (Fig. 8). Core values were the exogenous latent variables, outstanding thinking, leader competency, and positive behaviors were the endogenous latent variables, and there were causal relationships among the three endogenous latent variables.
Hypothesis diagram of structural model.
Validation factor analysis
Validation factor analysis is an analytical method to validate the fitness and test whether the causal model between observed and latent variables in the measurement model fits the observed data to confirm the structural validity of the measurement by using the structural equation model. First-order/second-order confirmatory factor analysis (CFA) was performed on the data using AMOS version 24.0 to test the reasonableness of the model. In the structural equation model, first-order confirmatory factor analysis is a prerequisite for second-order confirmatory factor analysis. It is necessary to make a second-order confirmatory factor analysis if there is a high degree of correlation between the first-order factor constructs and the first-order validation factor analysis model is adapted to the sample data.
First-order confirmatory factor analysis
The first step in the first-order confirmatory factor analysis is to check the appropriateness of the estimated parameter value by examining the standardized factor loading of the variables in the model. As can be seen in Fig. 8, all of the data meet the requirements. The core values (CV), Outstanding thinking (OT), Leader competency (LC), and positive behavior (PB), four primary indicators are latent variables, and 22 secondary indicators (CV1-6, OT1-7, LC1-5, and PB1-4) are observed variables. AMOS software version 24.0 was used to conduct the first-order validation factor analysis of the above variables, and the first-order model fit results derived from the “Model Fit” page are shown in Table 8, in which each model fit index is in the standard range.
The standardized factor loading of the variables in the model was tested and it was found that the loading values of all the variables were following the requirements. In terms of the path coefficients, the output of AMOS software version 24.0 showed that all path coefficients were significant at the 0.01 level and ranged from 0.5 to 0.95, with no negative error variances. Therefore, it is concluded that the model assumed in the article is reasonable. The output standardized path coefficient estimation results are shown in Fig. 9.
First-order confirmatory factor analysis model diagram. Note: Note:CV1 = self-cognition; CV2 = ethical values; CV3 = self-identification; CV4 = the spirit of social transformation; CV5 = devotion; CV6 = awareness of safety and responsibility; OT1 = Interdisciplinary knowledge; OT2 = general knowledge; OT3 = English proficiency; OT4 = sagacity;OT5 = international vision; OT6 = creative thinking; OT7 = empathy; LC1 = experiential learning;LC2 = good discipline; LC3 = decision-making capacity; LC4 = teamwork; LC5 = introspection; PB1 = altruism; PB2 = establishing shared vision;PB3 = incentive and authorization; PB4 = leading change in organizations.r. All the path coefficients in the figure are less than 1. Example: 0.87 means 0.87 (CV1 → CV).
Second-order confirmatory factor analysis
As can be seen from Fig. 8, the path coefficients among the four first-order indexes (CV, OT, LC, and PB) were all over 0.75, showing that there was a higher-order factor between the four latent variables that explained the original four latent variables. Assuming that the four first-order latent variables can measure higher-order latent variables, the factor was temporarily named "leadership composition of civil aviation flight cadets", and is denoted by "M" in the model diagram. The second-order validated factor analysis model is shown in Fig. 10.
Second-order confirmatory factor analysis model diagram. Note: CV1 = self-cognition; CV2 = ethical values; CV3 = self-identification; CV4 = the spirit of social transformation; CV5 = devotion; CV6 = awareness of safety and responsibility; OT1 = Interdisciplinary knowledge; OT2 = general knowledge; OT3 = English proficiency; OT4 = sagacity; OT5 = international vision; OT6 = creative thinking; OT7 = empathy; LC1 = experiential learning; LC2 = good discipline; LC3 = decision-making capacity; LC4 = teamwork; LC5 = introspection; PB1 = altruism; PB2 = establishing shared vision; PB3 = incentive and authorization; PB4 = leading change in organizations.r. All the path coefficients in the figure are less than 1. Example: 0.87 means 0.87 (CV1 → CV).
According to the output of the second-order model fit in Table 9, all model fit indicators comply with the standard scope. All path coefficients of the model remained significant at the 0.01 level and ranged from 0.5 to 0.95 with no negative error variances. After the confirmatory factor analysis iterative test, the modified model was a structure consisting of one second-order factor and four first-order factors, where the second-order factor was flight cadets’ leadership, and the 4 first-order factors were core values, outstanding thinking, leader competency, and positive behaviors. The multidimensional hypothesis about the components of leadership of flight cadets was verified, and the high structural validity of the scale was ensured.
Common method variance test
Common method variance (CMV) refers to the overlap of variance between two variables due to the use of similar measurement instruments, rather than representing a true relationship between underlying constructs132. The data in this study was obtained from self-reports in the same field, and common method variance may have been present in the measurements. The CMV effect was a major potential threat to the validity test because it provided an alternative explanation of the observed relationships among the variables, and therefore it was necessary to conduct a common method variance test in this study.
The researchers applied anonymous filling, multi-session filling, and elimination of invalid questionnaires in the questionnaire survey process to avoid the possible common method bias as far as possible in advance. The control unmeasured single method-factor approaches were used to test the common method variance on this basis. The advantages of this method were that there was no need to measure the method factor beforehand, the method factor was constructed at the level of the measurement questions, and measurement errors were taken into account. The conceptualization scores, which were the scores after excluding the method and error variations, represented the concepts better. The disadvantage was that the assumption of the additive effect of CMV may be difficult to fulfill.
A latent factor was added based on the original confirmatory factor analysis model M1 to form model M2. The results are shown in Table 10, and compared with the original model, the changes in the fitting indices including △NFI, △GFI, △CFI, and △RMSEA were all less than 0.02, and the change in △χ2/df(0.023)was close to the standard number. It can be concluded that there was no significant improvement in the new model after adding a common method factor, so there was no obvious common method variation in the measurements. Therefore, the results of the study (model M1) are not only valid in a sample of a specific population, but have wider applicability in the field of civil aviation.
Determination of the leadership model of civil aviation flight cadets
The hypothesis model of the leadership model of civil aviation flight cadets was constructed by using the SEM mentioned earlier, and first-order and second-order confirmatory factor analysis models were conducted. All the fitness indicators of the model achieved a good fitting degree, so the leadership model of civil aviation flight cadets could be finalized(Fig. 11).
Second-order confirmatory factor analysis model diagram.
Path analysis and hypothesis testing
Measurement model path analysis
The data on the path coefficients and their parameter significance between each observed and latent variable and the parameter significance results were derived in AMOS version 24.0. A standardized path coefficient greater than 0.7 is usually used as a criterion for evaluating measurement models in studies. The path coefficients of all the secondary indexes to the primary indexes reach the criterion of greater than 0.7(Table 11), indicating that there was a strong correlation between each primary and secondary indicator, the second indexes can illustrate the primary indexes, while the covariance relationships between the factors all showed significance at the 0.01 level, indicating that all variables were reasonable.
∗ ∗ ∗ p < 0.001, significant relationship.
Note: CR = composite reliability; p = parameter to judge the result of hypothesis test.
Path analysis for initial leadership model of civil aviation flight cadets (Model I)
The results of the previous confirmatory factor analysis indicated that this model fits well. The results of SEM path analysis based on AMOS version 24.0 are shown in Table 12 and Fig. 12. The results showed that the direct effects of core values → outstanding thinking, core values → leader competency, outstanding thinking → leader competency, outstanding thinking → positive behaviors, and leader competency → positive behaviors are significant. The standardized path coefficient of core values → positive behaviors was 0.018, non-significant, indicating that there was no direct relationship between core values and positive behaviors. Based on the results of the path analysis of the structural equation model, it was believed that there was a fully mediated effect in the relationship of core values on positive behaviors, which needs to be verified by further empirical analysis of the data.
Initial leadership model diagram of civil aviation flight cadets (Model I). Note: All the path coefficients in the figure are less than 1. Example: 0.87 means 0.87. CV1 = self-cognition; CV2 = ethical values; CV3 = self-identification; CV4 = the spirit of social transformation; CV5 = devotion; CV6 = awareness of safety and responsibility; OT1 = Interdisciplinary knowledge; OT2 = general knowledge; OT3 = English proficiency; OT4 = sagacity; OT5 = international vision; OT6 = creative thinking; OT7 = empathy; LC1 = experiential learning; LC2 = good discipline; LC3 = decision-making capacity; LC4 = teamwork;LC5 = introspection;PB1 = altruism; PB2 = establishing shared vision; PB3 = incentive and authorization; PB4 = leading change in organizations.r. All the path coefficients in the figure are less than 1. Example: 0.87 means 0.87 (CV1 → CV).
There is no direct effect of core values on positive behaviors, suggesting that as far as the leadership of civil aviation flight cadets is concerned, a single inculcation of core values does not help flight cadets shape an appropriate leadership style and thus obtain positive leadership behaviors. Among the three dimensions of core values, outstanding thinking and leader competency, outstanding thinking has the greatest direct effect on positive behavior, and the two indicators, insight, and empathy, have the greatest weight, suggesting that a high degree of insight and sufficient empathy are important factors influencing on flight cadets’ ability to develop an excellent leadership style.
Path analysis for leadership model of civil aviation flight cadets (Model II)
Model II was formed by eliminating the path that was not statistically significant (core values → positive behaviors) based on the path analysis and test results of Model I(Fig. 13). The fitting results of Model II showed that there was no significant change in the test indexes and all met the requirements of the model fittings, which indicated that Model II had a better fitting effect(Table 13). The results showed that all paths were statistically significant(Table 14).
Leadership model diagram of civil aviation flight cadets(Model II). Note: All the path coefficients in the figure are less than 1. Example: 0.87 means 0.87. CV1 = self-cognition; CV2 = ethical values; CV3 = self-identification; CV4 = the spirit of social transformation; CV5 = devotion; CV6 = awareness of safety and responsibility; OT1 = Interdisciplinary knowledge; OT2 = general knowledge; OT3 = English proficiency; OT4 = sagacity; OT5 = international vision; OT6 = creative thinking; OT7 = empathy; LC1 = experiential learning; LC2 = good discipline; LC3 = decision-making capacity; LC4 = teamwork; LC5 = introspection; PB1 = altruism; PB2 = establishing shared vision; PB3 = incentive and authorization; PB4 = leading change in organizations.r. All the path coefficients in the figure are less than 1. Example: 0.87 means 0.87 (CV1 → CV).
It can be seen from the above analysis that the hypotheses:
H1.1: There is a direct positive effect between core values and outstanding thinking, established;
H1.2: There is a direct positive effect between core values and leader competency, established;
H1.4: There is a direct positive effect between outstanding thinking and positive behaviors, established;
H1.5:There is a direct positive effect between leader competency and positive behaviors, established;
H1.6: There is a direct positive effect between outstanding thinking and leader competency, established;
H1.3:There is a direct positive effect between core values and positive behaviors, but it is not established;
and all the above results are supported by empirical data.
Significance Test of Mediation Effects and Hypothesis Validation
Bootstrapping is a statistical estimation method that allows the simultaneous test of multiple mediating effects and the test of the overall mediating effect133 due to its strong statistical power and more stable test results. The confidence interval is chosen to be 95% and the point estimate of the mediating effect is considered significant if the interval does not contain zero134. To investigate the intrinsic links between the four primary indexes in the leadership model of civil aviation flight cadets and the mechanisms by which core values influenced positive behaviors, the Bootstrapping method was used to test the mediating roles of outstanding thinking and leader competency in the model by repeating sampling 5,000 times by the AMOS version 24.0.
The total effect of core values on positive behavior was equal to the total indirect effect, which was 0.863, with a 95% confidence interval of [0.642,0.916], which did not contain zero, indicating that the total effect was significant to the total indirect effect, and the direct effect did not exist(Table 15). The empirical data confirmed that the two elements of outstanding thinking and leader competency played a fully mediating role in the influential relationship between core values and positive behaviors.
The mediation effect of outstanding thinking (hypothesis H2.1) was 0.477 with a 95% confidence interval of [0.245,0.726], played a significant mediation effect, and had a mediation effect of 60.37%.
The mediation effect of leader competency (Hypothesis H2.2) was 0.129 with a 95% confidence interval of [0.024,0.334], played a significant mediation effect, and had a mediation effect of 16.20%.
The chained mediation effect (Hypothesis H2.3) for outstanding thinking and leader competency was 0.185 with a 95% confidence interval of [0.071,0.424], with a significant chained mediation effect and a mediation effect of 23.41%.
The results of the two-by-two comparison of the three indirect effects showed that there was no significant difference between H2.1&H2.3, H2.2&H2.3 (P values > 0.05). The difference between H2.1 and H2.2 was significant, but the p-value of the two-sided test was 0.041 (close to the α-value of 0.05), which was close to the threshold of non-significance, and the rest of the comparisons were not significantly different. Therefore, it indicated that the effect sizes of the three influence pathways were the same, with the influence of the pathway H2.1 > H2.3 > H2.2.
In conclusion, hypothesis H2, outstanding thinking and leader competency played a mediating effect in the relationship between core values and positive behaviors’ was established.
Core values represent an individual’s fundamental views, shaping their behavior choices, decision-making processes, and interaction patterns with others. In organizational behavior, core values are considered critical factors that influence employee behavior, work attitudes, and overall performance. Wong and Law135 found that an individual’s core values not only affect their work attitude but also influence their behavior patterns, which in turn impact their job performance and decision-making capabilities. Specifically, values drive an individual’s intrinsic motivation, which affects their behavior in the workplace. Strengthening core values can foster positive behavioral patterns, further enhancing the individual’s contributions and performance within the organization. Schwartz136 proposed the theory of cultural universality of values, emphasizing both the commonality and variability of core values across different cultural contexts. Core values not only influence how individuals behave but also play a significant role in shaping their decision-making processes and interpersonal relationships.
The impact of outstanding thinking on leadership competency has been explored in multiple domains. A leader’s cognitive approach, including innovative thinking, critical thinking, and problem-solving abilities, is often considered a significant factor influencing their leadership competency. Yukl137 found that a leader’s innovative thinking and problem-solving skills significantly enhance their leadership effectiveness. Leaders must possess an adaptive mindset to make effective decisions in complex and dynamic work environments, stimulate team creativity, and foster efficient collaboration. Exceptional thinking enables leaders to identify and solve problems, formulate long-term strategies, and motivate employees, thereby improving leadership effectiveness. One of the core elements of leadership is cognitive ability, particularly in complex situations, where leaders need strong judgment and decision-making skills138. Exceptional thinking helps leaders assess situations, make informed decisions, and drive organizational change and innovation.
Leadership development model of civil aviation flight cadets—BLVT model
The training phases of civil aviation pilots need to go through three stages: flight cadet, co-pilot, and captain, if taking the two extra stages of a career as a flight instructor and an inspector into account, the overall number of stages is five. In the process of training flight cadets, they need to go through four stages: theoretical learning, instructor-led flight, solo flight, student captain, and high-performance aircraft training. Different stages require different competencies for flight cadets, and naturally, leadership is no exception. The leadership level of flight cadets at different training stages is different. The four dimensions of the flight cadet leadership model remain unchanged, but the weight index of each dimension will vary. From a leadership theory perspective, flight cadets at different stages of flight training have different leadership styles. From the perspective of leadership development, the leadership of flight cadets is constantly evolving and the level of leadership is spiraling upwards, which is closely related to the level of competency and leadership required at different training stages. In cases where leadership development has been studied, leaders base their competencies on individuals generally from three dimensions: knowledge, skills, and attitudes, which enable people to think and act in new ways139. Flight cadets gain a sense of self-identity by constantly revising their perceptions of their careers and self-cognition as a means of exerting stable self-efficacy in their leadership behaviors, which greatly facilitates the opportunities and possibilities for individuals to seek to learn and develop their leadership skills, and their leadership will develop rapidly140.
The civil aviation flight cadet’s leadership development model is a three-order model constructed with 22 factors in 4 dimensions, which are leader competency, core values, outstanding thinking, and positive behaviors, and we call it BLVT model for short shown in Fig. 14. The leadership competency of flight cadets is the core of the BLVT model, and according to leadership development theory, the leadership competency of flight cadets is also evolving, and their core values promote outstanding thinking and leadership competency. Their core values contribute to the development of outstanding thinking and leadership competency, which ultimately leads to positive behaviors and overall leadership improvement. When entering a new phase of flight training, the flight cadets’ pursuit of outstanding thinking gives them good insight, and they will continue to learn the required knowledge, improve their English proficiency, pay attention to the operating environment, expand their horizons, solve complex problems through creative thinking, and continue to improve their leader competency, thus achieving overall leadership improvement.
Civil aviation flight cadet’s leadership development model – BLVT model.
In the BLVT model, leader development and leadership development are interconnected, leadership development transcends rather than replaces leader development, and both must be well-balanced if they are to be effective141. Flight cadets at different training stages have different dimensions and elements of knowledge, skills, and leadership which are required, and in turn, the leadership exhibited will vary in dimensions and elements at different stages. However, as flight training progresses, a cadet’s leader competency spirals upward, and outstanding thinking will enable the cadet to complete his or her leader development and thus demonstrate good leadership competency.
Each person in the cockpit needs to embody different leadership, the flight cadet’s low identity in leadership will directly reduce his or her “directness” in the cockpit. It ultimately tends to the inability to think independently and become overly dependent on their instructor’s commands during flight training in most cases because of a lack of courage and decisiveness to state his or her views, which will easily cause the cockpit environment to fall into an unfavorable situation of "high authority—low directness". As a crew member, even as a flight cadet, this kind of inactive, non-thinking behavior will increase the probability of errors caused by human factors greatly, which is not conducive to the safety of the flight training mission. Therefore, it is especially important to develop flight cadets’ sense of leadership, and leadership education should first allow flight cadets to view their leader identity as an important part of their many identities. In the early stages of leadership identity development, the construction of leadership concepts is not a personal identity but comes from others, i.e., older people (Komives et al. 2006). Therefore the development of leadership awareness in flight cadets relies heavily on the flight instructor’s development during flight and participation in leadership development activities such as clubs. It is core values to ensure the flight cadets have a correct attitude and perception of themselves and their future careers, always maintain a clear self-awareness of themselves, identify appropriate life goals, and constantly revise their career development plans.
As the special characteristics of the civil aviation pilot profession, flight cadets must have good technical and non-technical skills, and possess cross-disciplinary knowledge with a "T" structure of breadth of knowledge and depth of specialization. Not only to have good technical skills but also to have a certain degree of professional knowledge in the fields of management science, psychological science, leadership science, etc., to have good English communication skills, general literacy, international vision, good empathy, and creative thinking to solve complex problems. Outstanding thinking ensures flight cadets learn and gain at the knowledge aspect, while also maximizing the direct effect on positive behaviors.
The absence of a direct effect of core values on positive behaviors suggests that in the case of civil aviation flight cadet leadership, a single inculcation of values does not help flight cadets develop appropriate leadership styles that lead to positive leadership behaviors. Positive behaviors can be achieved by the effect of core values through outstanding thinking and leadership competency. Among the three dimensions of core values, outstanding thinking and leader competency, outstanding thinking has the greatest direct effect on positive behavior.
Conclusions
This study constructs an initial evaluation index system for the leadership of civil aviation flight cadets, based on classic leadership theories and leadership development theories with a qualitative analysis grounded theory approach. A survey of 319 civil aviation pilots was conducted, and the data were processed to establish an evaluation index system that covers 4 dimensions: core values, leader competency, outstanding thinking, and positive behavior, and 22 indicators. Additionally, a structural equation model (SEM) was used to construct the leadership development model for civil aviation flight cadets—the BLVT model—revealing the internal mechanisms between core values, leader competency, outstanding thinking, and positive behavior during the leadership development process of flight cadets.
Core values are the core of a pilot trainee’s leadership and leadership development, as well as the ethical foundation of leadership. This dimension encompasses self-cognition, ethical values, self-identification, spirit of social transformation, devotion, and awareness of safety and responsibility. It emphasizes the trainee’s clear understanding of their traits and roles, along with a commitment to ethical values such as loyalty, integrity, and a sense of responsibility. By cultivating these values, pilot trainees may become capable of identifying psychological and behavioral risks besides demonstrating a high level of professional responsibility and social accountability within the organization, ensuring flight safety and promoting industry development.
Outstanding thinking forms the foundation for all effective actions by flight cadets, which is demonstrated by the balance between depth and breadth of knowledge, as well as their innovative abilities from an interdisciplinary perspective and commitment to lifelong learning. The core of this concept is the development of a "T-shaped" knowledge structure, where trainees are not only proficient in aviation technology and safety management but also knowledgeable in related fields such as organizational behavior and public administration. The civil aviation industry is constantly applying new technologies, so pilots must maintain a lifelong learning mindset and interdisciplinary thinking, continuously improving their ability to solve problems in practice. Proficient use of checklists to handle issues both in and outside the cockpit, to avoid errors, should become the priority logic for pilot trainees when addressing problems. An international vision and English proficiency are crucial for pilot trainees to adapt to the globalized aviation environment. The sagacity and creative thinking enable trainees to keenly perceive changes in complex situations and find solutions, providing a strong impetus for the development of the civil aviation industry.
Leader competency is key for pilot trainees to accumulate experience through practice and transfer it to leadership behaviors, thereby enhancing their professional proficiency. Through practical learning embedded in real work scenarios and task reflection, pilot trainees can continuously optimize their decision-making and team collaboration skills through metacognitive reflection. In dynamic and high-risk flight environments, they employ systematic methods to help them quickly assess situations, formulate plans, and make decisions. The development of competence not only improves the individual leadership qualities of the trainees but also enhances crew collaboration efficiency.
Positive behavior is the behavioral manifestation of a pilot trainee’s leadership and reflects a leadership style that drives organizational change. By leveraging their influence, pilot trainees create a high-efficiency, trust-based team atmosphere through the service and motivation of team members. They uphold an altruistic spirit, a strong sense of social responsibility, and an innovative mindset, driving organizational change and bringing about positive transformations and sustainable development for the organization, team, and industry. From an individual perspective, a trainee’s leadership emphasizes the participation of each team member, fostering the development of correct core leadership values and enhancing knowledge, skills, and leadership, thereby achieving transformative education. From a team perspective, each trainee’s outstanding leadership behavior provides a permanent self-improvement pathway for the organization, making the team a self-developing entity. From an industry perspective, the collective contribution of qualified leaders trains more and more individuals with leadership potential for the civil aviation industry, resulting in a qualitative change driven by the accumulation of quantity, which strongly supports the progress of the entire industry. At the 3 levels of individual, team, and industry, the implementation of positive behavior ultimately contributes to the construction of a stable, safe, and innovative operational model for the civil aviation industry.
Research on the BLVT model for civil aviation flight cadets’ leadership development revealed several key insights. Firstly, core values do not directly influence positive behavior. This suggests that, for civil aviation flight cadets, simply instilling a set of values is not sufficient to shape an appropriate leadership style or generate positive leadership actions. However, core values do have an indirect effect on positive behavior through excellence in thinking and competence. This indicates that the process of internalizing values requires cognitive processing and skill development before it can translate into observable actions. This finding emphasizes the need for integrating value development with skill-building in leadership training.
Secondly, among the three dimensions—core values, outstanding thinking, and leader competency—outstanding thinking has the strongest direct effect on positive behavior. Within this dimension, the sub-indicators of insight and empathy are weighted most heavily, suggesting that sharp insight and adequate empathy are vital factors in cultivating an effective leadership style in flight cadets. Therefore, future leadership training for flight cadets, particularly in course design, should focus on the targeted development of insight and empathy. Techniques such as scenario-based teaching and case analysis can be particularly effective in enhancing trainees’ abilities to respond to complex situations and become more attuned to team needs.
In the iceberg model, core values and outstanding thinking among the implicit factors have higher variance contribution rates and express more information, while the positive behaviors’ weight coefficient is low. It is indicated that as far as the leadership composition of civil aviation flight cadets is concerned, core values and outstanding thinking, two dimensions consisting entirely of implicit qualities, can measure the leadership level of a civil aviation flight cadet to a large extent. Implicit factors can directly influence explicit factors, i.e., a flight cadet’s values and thinking can influence his or her behavior. It can establish a rigorous, professional, responsible, and efficient airmanship to optimize a flight cadet’s leadership performance by understanding and improving these implicit factors.
The results of this study not only enrich the theoretical research on leadership within the civil aviation sector but also provide important practical guidance for the development of leadership in civil aviation flight cadets. The theoretical framework and BLVT model for leadership in civil aviation flight cadets proposed in this study offer effective, multifaceted educational strategies and new perspectives for civil aviation universities, airlines, and society at large. These findings provide significant reference value for leadership evaluation and curriculum design for flight cadets.
However, this study also has certain limitations. First, when incorporating core values, outstanding thinking, leader competency, and positive behavior into the model analysis, further exploration of the paths between the 22 secondary indicators within the 4 dimensions was not conducted. As a result, the study has yet to fully clarify the relationships between the 22 leadership observation variables and how they influence the interactions between the 4 dimensions. Secondly, the study sample was primarily focused on specific geographical, educational, and cultural contexts, and the limited scope of the sample may affect the external applicability of the research findings. Future research should expand the sample scope to include the influence of factors such as regional culture and nationality, to further validate the applicability and universality of the BLVT model. From the perspective of the 22 secondary indicators of leadership, future studies should explore the mechanism through which implicit factors influence explicit factors, providing further evidence for the theoretical assumptions of the iceberg model. By combining both qualitative and quantitative research methods, future studies could conduct an in-depth analysis of observable leadership behaviors in real flight scenarios and assess their relationship with safety performance, thus optimizing existing pilot training curricula and evaluation systems.
Data availability
The dataset generated and analyzed during this study originates from a questionnaire survey of pilots. Due to privacy concerns, these data are not publicly available but can be obtained from the corresponding author upon reasonable request.
References
Komives, S. R. et al. Developing a leadership identity: A grounded theory. J. Coll. Stud. Dev. 46(6), 593–611 (2005).
Kouzes, J. M., & Posner, B. Z. The student leadership challenge: Five practices for becoming an exemplary leader. John Wiley & Sons (2024).
Fries, A., Kammerlander, N. & Leitterstorf, M. Leadership styles and leadership behaviors in family firms: A systematic literature review. J. Fam. Bus. Strat. 12(1), 100374 (2021).
Hessami, Z. & da Fonseca, M. L. Female political representation and substantive effects on policies: A literature review. Eur. J. Polit. Econ. 63, 101896 (2020).
McCall, M. W., Lombardo, M. M. & Morrison, A. M. The lessons of experience: How successful executives develop on the job (Lexington Books, 1988).
Vicere, A. A. & Fulmer, R. M. Leadership by design (Harvard Business School, 1998).
Hartley, J. Leading communities: Capabilities and cultures. Leadersh. Organ. Dev. J. 23, 419–429 (2002).
Taylor, M. The Four Axes of Civic Leadership (Local Government Centre, University of Warwick, 1993).
Sarto, F. & Veronesi, G. Clinical leadership and hospital performance: Assessing the evidence base. BMC Health Serv. Res. 16, 85–97 (2016).
Spurgeon, P. et al. Do we need medical leadership or medical engagement?. Leadersh. Health Serv. 28(3), 173–184 (2015).
Humphrey, R. H. Effective leadership: Theory, cases, and applications. Sage Publications (2013).
Northouse, P. G. Leadership: Theory and practice. Sage publications (2025).
Filipowski, C. R. A Qualitative Case Study of Airline Pilot Leadership Behaviors and Practices During Crisis Situations. Grand Canyon University (2017).
Papasava, A. & Njeru, B. B. Leadership styles as perceived in the changing aviation industry and their effect on pilot commitment: A Kenyan case study. Leadersh. Dev. Soc. https://doi.org/10.47697/lds.35360088 (2022).
Bastola, D. P. The relationship between leadership styles and aviation safety: A study of aviation industry. Journal of Air Transport Studies. https://doi.org/10.38008/JATS.V11I1.155 (2020).
Vogel, B., Reichard, R. J., Batistič, S. & Černe, M. A bibliometric review of the leadership development field: How we got here, where we are, and where we are headed. Leadersh. Q. 32(5), 101381 (2021).
Newstead, T., Dawkins, S., Macklin, R. & Martin, A. We don’t need more leaders–We need more good leaders. Advancing a virtues-based approach to leader (ship) development. Leadersh. Q. 32(5), 101312 (2021).
Yukl, G. Effective leadership behavior: What we know and what questions need more attention. Acad. Manag. Perspect. 26(4), 66–85 (2012).
Lussier, R. N., & Achua, C. F. Leadership: Theory, Application, & Skill Development (6th ed.). Sage Publications (2022).
Owens, P. & Hekman, D. R. Modeling how to grow: An inductive examination of humble leader behaviors, contingencies, and outcomes. Acad. Manag. J. 55(4), 787–818 (2012).
Burris, E. R. The risks and rewards of speaking up: Mmanagerial responses to employee voice. Acad. Manag. J. 55(4), 851–875 (2012).
Grant, A. M. Leading with meaning: Beneficiary contact, prosocial impact, and the performance effects of transformational leadership. Acad. Manag. J. 55(2), 458–476 (2012).
Oc, B. & Bashshur, M. R. Followership, leadership and social influence. Leadersh. Q. 24(6), 919–934 (2013).
Johnson, S. K., Garrison, L. L., Bronnme, G. H., Fleenor, J. W. & Steed, J. L. Go for the Goals: Relationship between goal setting and transfer of training following leadership development. Acad. Manag. Learn. Edu. 11(4), 555–569 (2012).
Fiedler, F. E. Research on leadership selection and training: One view of the future. Adm. Sci. Q. 41, 241–250 (1996).
Bass, B. M. Leadership and performance beyond expectations (Free Press, 1985).
Komives, S. R. et al. leadership identity development: challenges in applying a developmental model. J. Leadersh. Edu. 8(1), 11–47 (2009A).
Komives, S. R. Leadership for a Better World: Understanding the Social Change Model of Leadership Development. John Wiley & Sons (2009B).
Weng, W. Practical exploration of college students’ leadership development based on core values. Youth J. 03, 80–86 (2017).
Tao, S., Jing, D. & Yuqi, Z. Some problems in college students’ leadership education. Contemp. Youth Res. 05, 37–42 (2012).
Xu, G. Theoretical analysis of contemporary college students’ leadership model and realization approach. J. Beijing University Posts Telecom. (Soc. Sci. Edition) 13(06), 110–116 (2011).
Reeves, S., Kitto, S. & Masiello, I. Crew resource management: how well does it translate to an interprofessional healthcare context?. J. Interprof. Care 27, 207–209 (2013).
Wagener, F. & Ison, D. C. Crew resource management application in commercial aviation. J. Aviation Technol. Eng. 3, 2–23 (2014).
Lofaro, R. J. & Smith, K. M. Critique and proposed revision of crew resource management (CRM): A new paradigm. J. Inf. Technol. Res. (JITR) 5(2), 46–72 (2012).
Mann, R. D. A review of the relationships between personality and performance in small groups[J]. Psychol. Bull. 56(4), 241 (1959).
Stogdill, R. M. Personal factors associated with leadership: A survey of the literature. J. Psychol. 25(1), 35–71 (1948).
Blake, R. R., Mouton, J. S., & Bidwell, A. C. "Managerial Grid." Advanced Management-Office Executive (1962).
Graen, G. B. & Uhl-Bien, M. Relationship-based approach to leadership: Development of leader-member exchange (LMX) theory of leadership over 25 years: Applying a multi-level multi-domain perspective. Leadersh. Q. 6(2), 219–247 (1995).
Bennis, W. G. & Townsend, R. On becoming a leader Vol. 36 (Addison-Wesley, 1989).
Fiedler, F. E. A theory of leadership effectiveness (McGraw-Hill, 1967).
Carlyle, T. On Heroes, Hero-Worship, and the Heroic in History. 1 Univ of California Press (1993).
Costa, P. T., & McCrae, R. R. Neo Personality Inventory-Revised (NEO PI-R). Odessa, FL: Psychological Assessment Resources (1992).
Burns, J. M. Leadership. Open Road Media (2012).
Wren, J. T. The Leader’s Companion: Insights on Leadership Through the Ages (The Free Press, 1995).
Eagly, A. H. Female leadership advantage and disadvantage: resolving the contradictions. Psychol. Women Q. 31(1), 1–12 (2007).
Vough, H. C. et al. What clients don’t get about my profession: A model of perceived role-based image discrepancies. Acad. Manag. J. 56(4), 1050–1080 (2013).
McGregor, D. Theory X and theory Y. Org. Theory 358(374), 5 (1960).
Greenleaf, R. K. The Servant Leader. Westfield, IN: The Robert K. Greenleaf Center (1991).
Battilana, J. & Casciaro, T. Change agents, networks, and institutions: A contingency theory of organizational change. Acad. Manag. J. 55(2), 381–398 (2012).
Hersey, P., & Blanchard, K. H. Management of Organizational Behavior: Utilizing Human Resources. 526–526 (1969).
Day, D. V. & Sin, H. P. Longitudinal tests of an integrative model of leader development: charting and understanding developmental trajectories. Leadersh. Q. 22(3), 545–560 (2011).
Liu, Z., Venkatesh, S., Murphy, S. E. & Riggio, R. E. Leader development across the lifespan: A dynamic experiences-grounded approach. Leadersh. Q. 32(5), 101382 (2021).
Day, D. V. Leadership development: A review in context. Leadersh. Q. 11(4), 581–613 (2000).
Lepak, D. P. & Snell, S. A. The human resource architecture: Toward a theory of human capital allocation and development. Acad. Manag. Rev. 24, 31–48 (1999).
Day, D. V., Riggio, R. E., Tan, S. J. & Conger, J. A. Advancing the science of 21st-century leadership development: Theory, research, and practice. Leadersh. Q. 32(5), 101557 (2021).
Wenger, E. Communities of Practice: Learning, Meaning, and Identity (Cambridge University, 1998).
Drath, W. H. Approaching the Future of Leadership Development. In The Center for Creative Leadership Handbook of Leadership Development (eds McCauley, C. D. et al.) 403–432 (Jossey-Bass, 1998).
Day, D. V. Integrative perspectives on longitudinal investigations of leader development: from childhood through adulthood. Leadersh. Q. 22(3), 561–571 (2011).
Hollenbeck, G. P., McCall, M. W. & Silzer, R. F. Leadership competency models. Leadersh. Q. 17(4), 398–413 (2006).
Kragt, D. & Day, D. V. Predicting leadership competency development and promotion among high-potential executives: The role of leader identity. Front. Psychol. 11, 1816 (2020).
Lorinkova, N. M. & Bartol, K. M. Leadership development and team performance: A new look at the dynamics of shared leadership. Pers. Psychol. 74, 77–107 (2021).
Day, D. V., Harrison, M. M. & Halpin, S. M. An integrative approach to leader development: Connecting adult development, identity, and expertise (Psychology Press, 2009).
D’Innocenzo, L., Kukenberger, M., Farro, A. C. & Griffith, J. A. Shared leadership performance relationship trajectories as a function of team interventions and members’ collective personalities. Leadersh. Q. 32(5), 101499 (2021).
Eva, N., Cox, J. W., Herman, H. M. & Lowe, K. B. From competency to conversation: A multi-perspective approach to collective leadership development. Leadersh. Q. 32(5), 101346 (2021).
McCauley, C. D. & Palus, C. J. Developing the theory and practice of leadership development: A relational view. Leadersh. Q. 32(5), 101456 (2021).
Kouzes, J. M., & Posner, B. Z. The Leadership Challenge 3 John Wiley & Sons (2006).
Maxwell, J. C. The 21 Irrefutable Laws of Leadership: Follow Them and People Will Follow You. HarperCollins Leadership (2007).
Drucker, P. The Practice of Management (Routledge, 2012).
Blume, B. L., Baldwin, T. T. & Ryan, K. C. Communication apprehension: A barrier to students’ leadership, adaptability, and multicultural appreciation. Acad. Manag. Learn. Edu. 12(2), 158–172 (2013).
Long, C. R., Bendersky, C. & Morrill, C. Fairness monitoring: Linking managerial controls and fairness judgments in organizations. Acad. Manag. J. 54(5), 1045–1056 (2011).
Simha, A. & Cullen, J. B. Ethical climates and their effects on organizational outcomes: Implications from the past and prophecies for the future. Acad. Manag. Perspect. 26(4), 20–34 (2012).
Hogg, M. A., Van Knippenberg, D. & Rast, D. E. III. Intergroup leadership in organizations: Leading across group and organizational boundaries. Acad. Manag. Rev. 37(2), 232–255 (2012).
Kotter, J. P. Leading Change (Harvard Business Review Press, 1996).
Drucker, P. The Effective Executive (Routledge, 2018).
Simon, H. A. Administrative Behavior (Simon and Schuster, 2013).
Sitkin, S. B. & Hackman, J. R. Developing team leadership: an interview with coach mike Krzyzewski. Acad. Manag. Learn. Edu. 10(3), 494–501 (2011).
Bennis, W. & Nanus, B. The Strategies for Taking Charge 41 (Harper & Row, 1985).
Kantabutra, S. & Avery, G. The power of vision: Statements that resonate. J. Bus. Strateg. 31(1), 37–45 (2010).
Salleh, M. & Grunewald, D. Organizational leadership—the strategic role of the chief exec. J. Leadersh., Accountability Ethics 10(5), 9–20 (2013).
Hoffmann, T. The meanings of competency. J. Eur. Ind. Train. 23(6), 275–286 (1999).
International Civil Aviation Organization. Procedures for Air Navigation Services – Training (PANS-TRG), Doc 9868 2nd edn. (ICAO, 2020).
Ohlander, U., Alfredson, J., Riveiro, M., & Falkman, G. Understanding Team Effectiveness in a Tactical Air Unit. In D. Harris (Ed.) International Conference on Engineering, Psychology and Cognitive Ergonomics 472–479 Geneva, Switzerland: Springer International (2015).
Hall, D. T., Otazo, K. L. & Hollenbeck, G. P. Behind closed doors: What really happens in executive coaching. Organ. Dyn. 29(Winter), 39–53 (1999).
Peterson, D. B. Executive coaching at work: The art of one-on-one change. Consult. Psychol. J.: Pract. Res. 48, 78–86 (1996).
Kilburg, R. R. Toward a conceptual understanding and definition of executive coaching. Consult. Psychol. J.: Pract. Res. 48, 134–144 (1996).
Fraher, A. Airline downsizing and its impact on team performance. Team Perform. Manag. 19, 109–126 (2013).
Calarco, A. & Gurvis, J. Flexible flyers: A leader’s framework for developing adaptability. Leadership Action 25(6), 14–16 (2006).
International Civil Aviation Organization. Manual on air traffic controller competency-based training and assessment (Doc 10056). International Civil Aviation Organization (2015).
International Civil Aviation Organization. Cabin crew safety training manual (Doc 10002). International Civil Aviation Organization (2019).
International Civil Aviation Organization. Manual on competency-based training and assessment for aircraft maintenance personnel (Doc 10098). International Civil Aviation Organization (2018).
International Civil Aviation Organization. Manual on flight operations officers/flight dispatchers competency-based training and assessment (Doc 10106). International Civil Aviation Organization (2018).
Susanto, Y. et al. The effect of task complexity, independence and competence on the quality of audit results with auditor integrity as a moderating variable. Int. J. Innov., Creat. Change 12(12), 742–755 (2020).
Hopp, C. & Zenk, L. Collaborative team networks and implications for strategic HRM. Int. J. Hum. Resour. Manag. 23(14), 2975–2994 (2012).
Ziakkas, D., Flores, A. D. C. & Suckow, M. W. The implementation of competency-based training and assessment (CBTA) framework in aviation intelligence human systems. Intel. Hum. Syst. Integr., AHFE Int. 69, 862–868 (2023).
Kanki, B. G., Anca, J., & Chidester, T. R. (Eds.). Crew resource management. Academic Press (2019).
Ricci, M. A. & Brumsted, J. R. Crew resource management: using aviation techniques to improve operating room safety. Aviat. Space Environ. Med. 83(4), 441–444 (2012).
IATA, Competency Assessment and Evaluation for Pilots, Instructors and Evaluators, 3rd edition 2023.
Thorpe, A. et al. Pilot errors: Communication comes last. Saf. Sci. 149, 105686 (2022).
Myers, C., & Orndorff, D. Crew Resource Management: Not Just for Aviators Anymore. Journal of Applied Learning Technology 3 (3) (2013).
Baldwin, T. T., Pierce, J. R., Jones, R. C. & Farouk, S. The elusiveness of applied management knowledge: A critical challenge for management education. Acad. Manag. Learn. Edu. 10(4), 583–605 (2011).
Gordon, S., Mendenhall, P. & O’Connor, B. B. Beyond the Checklist: What Else Health Care Can Learn from Aviation Teamwork and Safety (Cornell University Press, 2013).
Locke, E. A. & Latham, G. P. Building a practically useful theory of goal setting and task motivation: A 35-year odyssey. Am. Psychol. 57(9), 705 (2002).
Van Knippenberg, D., De Dreu, C. K. W. & Homan, A. C. Work group diversity and group performance: An integrative model and research agenda. J. Appl. Psychol. 89(6), 1008 (2004).
Driskell, J. E., Salas, E. & Johnston, J. Does stress lead to a loss of team perspective?. Group Dyn. Theory Res. Pract. 3(4), 291 (1999).
Salas, E., Sims, D. E. & Burke, C. S. Is there a ‘Big Five’ in teamwork?. Small Group Res. 36(5), 555–599 (2005).
Feys, M., Anseel, F. & Wille, B. Improving feedback reports: The role of procedural information and information specificity. Acad. Manag. Learn. Edu. 10(4), 661–681 (2011).
Orasanu, J. Crew collaboration in space: A naturalistic decision-making perspective. Aviat. Space Environ. Med. 76(6), B154–B163 (2005).
Fehr, R. & Gelfand, M. J. The forgiving organization: A multilevel model of forgiveness at work. Acad. Manag. Rev. 37(4), 664–688 (2012).
Shellenbarger, S. "Shouting Is Less Tolerated in the Workplace, but Nasty Emails and Other Ways of Venting Take a Toll." Wall Street Journal. D1 D2 (2012).
Bienefeld, N., Grote, G. Teamwork in an Emergency: How Distributed Leadership Improves Decision Making. Proceedings of the Human Factors and Ergonomics Society Annual Meeting, 55(1). Sage CA: Los Angeles, CA: SAGE Publications (2011).
Pacheco, A. & Silva, T. F. The challenges of pilot language training for effective aeronautical communications in multicultural contexts. J. Aviation/Aerospace Edu. Res. 33(2), 11 (2024).
Kaya, M. & Ateş, S. S. The share of communication errors in aircraft accidents and artificial intelligences that can be developed based on communication in aviation. Int. J. Entrep. Manag. Inq. 7(12), 82–95 (2023).
Tavlin, L. Aviation communication: Strategy and messages for ensuring success and preventing failures. Routledge (2019).
Goguen, J., Linde, C., & Murphy, M. Crew communication as a factor in aviation accidents (No. NAS 1.15: 88254) (1986).
Glaser, B. G., & Strauss, A. L. The discovery of grounded theory: strategies for qualitative research (grounded theory). Taylor & Francis eBooks DRM Free Collection (1967).
Dey, I. Grounded theory. Qualitative research practice, 80–93 (2004).
Glaser, B. G. Advances in the methodology of grounded theory: Theoretical sensitivity. University of California (1978).
Corbin, J. M. & Strauss, A. Grounded theory research: Procedures, canons, and evaluative criteria. Qual. Sociol. 13(1), 3–21 (1990).
Heath, H. & Cowley, S. Developing a grounded theory approach: A comparison of glaser and strauss. Int. J. Nurs. Stud. 41(2), 141–150 (2004).
Charmaz, K. Constructing grounded theory. Sage (2014).
Olsen, K. et al. Passive avoidant leadership and safety non-compliance: A 30 days diary study among naval cadets. Saf. Sci. 138, 105100 (2021).
ÇelikMaşalaci, B. Mobbing exposed by deck cadets at onboard training during the internship period. Transp. Res. Rec. https://doi.org/10.1177/03611981241275540 (2024).
Flin, R., Martin, L., Goeters, K. M., Hörmann, H. J., Amalberti, R., Valot, C., Nijhuis, H. Development of the NOTECHS (non-technical skills) system for assessing pilots’ CRM skills. In Human factors and aerospace safety 97-119 Routledge (2018).
Lilleväli, U. & Täks, M. Competence models as a tool for conceptualizing the systematic process of entrepreneurship competence development. Edu. Res. Int. 2017(1), 5160863 (2017).
Wong, S. C. Competency definitions, development and assessment: A brief review. Int. J. Acad. Res. Prog. Edu. Dev. 9(3), 95–114 (2020).
Weaver, B. & Maxwell, H. Exploratory factor analysis and reliability analysis with missing data: A simple method for SPSS users. Quant. Meth. Psychol. 10(2), 143–152 (2014).
Yong, A. G. & Pearce, S. A beginner’s guide to factor analysis: Focusing on exploratory factor analysis. Tutorials Quant. Meth. Psychol. 9(2), 79–94 (2013).
Schreiber, J. B., Nora, A., Stage, F. K., Barlow, E. A. & King, J. Reporting structural equation modeling and confirmatory factor analysis results: A review. J. Educ. Res. 99(6), 323–338 (2006).
Musil, C. M., Jones, S. L. & Warner, C. D. Structural equation modeling and its relationship to multiple regression and factor analysis. Res. Nurs. Health 21(3), 271–281 (1998).
Wu, M. Questionnaire statistical analysis practice—SPSS operation and application. Chongqing: Chongqing University Press. 5 160 (2010).
Qiu, H. & Lin, B. Principle and application of structural equation model 83–89 (China Light Industry Press, 2009).
Teo, T. Considering common method variance in educational technology research. Br. J. Edu. Technol. 42, 94–96 (2011).
Malhotra, M. K., Singhal, C., Shang, G. & Ployhart, R. E. A critical evaluation of alternative methods and paradigms for conducting mediation analysis in operations management research. J. Oper. Manag. 32(4), 127–137 (2014).
Zhao, X., Lynch, J. G. Jr. & Chen, Q. Reconsidering baron and Kenny: Myths and truths about mediation analysis. J. Cons. Res. 37(2), 197–206 (2010).
Wong, C. S. & Law, K. S. The effects of leader and follower emotional intelligence on performance and attitude: An exploratory study. Leadersh. Q. 13(3), 243–274. https://doi.org/10.1016/S1048-9843(02)00099-1 (2002).
Schwartz, S. H. Universals in the content and structure of values: Theoretical advances and empirical tests in 20 countries. Adv. Exp. Soc. Psychol. 25, 1–65 (1992).
Yukl, G. Leadership in Organizations (7th ed.). Pearson Education (2010).
Zaccaro, S. J. Trait-based perspectives of leadership. Am. Psychol. 62(1), 6–16. https://doi.org/10.1037/0003-066X.62.1.6 (2007).
Mulder, M. Competence development—some background thoughts. J. Agric. Educ. Ext. 7(4), 147–158. https://doi.org/10.1080/13892240108438822 (2001).
Day, D. V., Harrison, M. M. & Halpin, S. M. An integrative approach to leader development: Connecting adult development, identity, and expertise (Routledge, 2008).
Kegan, R. In Over Our Heads: The Mental Demands of Modern Life (Harvard University Press, 1994).
Acknowledgements
We thank each author for their contributions to the research, writing, and review of this paper. This work was financially supported by several funding projects, including those from research centers, government planning funds, and university research initiatives, which have greatly contributed to the successful completion of this study.Additionally, we would like to express our sincere appreciation to the pilots who participated in the survey, whose valuable time and insights were crucial to this research.
Funding
This article was funded by 5 projects, namely the project entitled: 1. Construction of Civil Aviation Pilot Talent Training Model Based on Competency Perspective hosted by Chengdu Aviation Industry and Culture Development Research Center.(Project number: CAIACDRCXM2024-01). 2. The Humanities and Social Science Research Planning Fund of the Ministry of Education. (Project number: 23YJA190010). 3. Basic scientific research business project of central university(Project number: 3122022035). 4. Development and Evaluation System of Internationalized Training Programs for Civil Aviation Pilots in Belt and Road Countries,2025,CAAC. 5. Research on the Competency of Civil Aviation Flight Instructors Based on the CBTA Concept (Project number: JT2024YB034).
Author information
Authors and Affiliations
Contributions
CL conceptualized the study, designed the methodology, analyzed the data, and wrote the original draft; LBW collected the data, designed the experiments, analyzed the data; HSC contributed to data interpretation and data collection; ZYC contributed to experiment design and revised the manuscript; LN provided research resources; ZJQ assisted in data analysis; ZHL contributed to manuscript editing; AJY provided critical revisions to the manuscript; ZX contributed to data analysis and manuscript editing; WYQ contributed to data analysis and result interpretation.
Corresponding author
Ethics declarations
Competing interests
The authors declare that they have no known competing financial interests or personal relationships that could have appeared to influence the work reported in this paper.
Ethics approval
This study was conducted in accordance with the ethical standards of the institutional and national research committee and with the 1964 Helsinki Declaration and its later amendments or comparable ethical standards. All participants provided informed consent before taking part in the survey, and their anonymity and confidentiality were strictly protected throughout the study.
Additional information
Publisher’s note
Springer Nature remains neutral with regard to jurisdictional claims in published maps and institutional affiliations.
Rights and permissions
Open Access This article is licensed under a Creative Commons Attribution-NonCommercial-NoDerivatives 4.0 International License, which permits any non-commercial use, sharing, distribution and reproduction in any medium or format, as long as you give appropriate credit to the original author(s) and the source, provide a link to the Creative Commons licence, and indicate if you modified the licensed material. You do not have permission under this licence to share adapted material derived from this article or parts of it. The images or other third party material in this article are included in the article’s Creative Commons licence, unless indicated otherwise in a credit line to the material. If material is not included in the article’s Creative Commons licence and your intended use is not permitted by statutory regulation or exceeds the permitted use, you will need to obtain permission directly from the copyright holder. To view a copy of this licence, visit http://creativecommons.org/licenses/by-nc-nd/4.0/.
About this article
Cite this article
Lin, C., Bingwei, L., Sicheng, H. et al. Construction of leadership competency model for civil aviation flight cadets: An empirical study from China. Sci Rep 15, 12739 (2025). https://doi.org/10.1038/s41598-025-93713-y
Received:
Accepted:
Published:
Version of record:
DOI: https://doi.org/10.1038/s41598-025-93713-y
















