Abstract
Pedestrians’ thermal perceptions can be adjusted by physical environmental factors. However, the thermal environments influenced by these factors are subject to current weather conditions. Subjective responses towards physical environments have rarely been investigated previously. This study explored microenvironmental factors and their impacts on thermal perceptions (evaluated by thermal sensation vote, TSV) on the campus of the Southwest University of Science and Technology (Mianyang, China). Through combining field measurement with questionnaire, it was found that neutral temperatures (NTs) of Mianyang during the measuring periods indicated by physiologically equivalent temperature (PET) were 28.41 °C (summer), 12.37 °C (winter), and 18.92 °C (the full year), respectively. Additionally, TSV linearly correlated with parameters of vegetation (indicated by the leaf area index, LAI), land surface reflectivity (albedo), and the water surface (distance from the lake, the distance for short). LAI was usually negatively correlated with TSV. The increase in LAI by 1 point contributed to the decrease of 0.171 in TSV (10:00, R2 = 0.295, p < 0.001, summer) and increasing the distance by 1 caused a rise of 0.076 in TSV (9:00, R2 = 0.367, p < 0.001, summer). Most importantly, the statistical significance of the models varied for contexts, especially weather conditions and daily time. Generally, the summer models (R2 = 0.391 maximumly) were more significant than winter (R2 = 0.263 at most), expressed by higher R2 values. In whole seasons, model R2 polynomial correlated with PET. The TSV showed the weakest correlation with microenvironmental parameters in the neutral temperature ranges. This study has revealed subjective responses towards physical environments under various context. The findings might be directive for future physical-environment design works in pedestrians’ thermal comfort improvements.
Similar content being viewed by others
Introduction
Thermal perceptions in outdoor spaces are affected by many factors1. Generally, people respond differently to varying objective thermal environments2. Subjective thermal responses are indicated by the neutral temperature (NT3), referring to the temperature point at which respondents feel thermal-free. The thermal environment varies according to the physical properties of the location. Vegetation4, water surfaces5, land cover6, and site openness7 were found to be thermally influential. It can be deduced that humans’ thermal perceptions are affected by physical environments. This might have resulted from their meteorological adjusting effects. This hypothesis needs to be investigated further.
Outdoor thermal comfort (OTC) studies are usually divided into two types: involving subjects and uninvolving subjects8. Studies involving subjects have attempted to find meteorological effects on individual thermal perceptions9. They found people’s responses towards thermal environments, evaluated by NT, comfort zone10, preferred temperature11 and so on. A variety of complex thermal indices have been used, since the complexity of the thermal environment, such as physiologically equivalent temperature (PET12) and the universal thermal climatic index (UTCI13). Residents’ summer NTs in Tehran indicated by PET and UTCI were 25.06 and 25.82 °C, respectively14. People’s sensations are usually evaluated by thermal sensation vote (TSV, from − 3 to 3 15). The NT refers to the temperature point at which the TSV equals 0. These studies have revealed that humans are thermally sensitive in various aspects. Studies uninvolving subjects, in addition, focus on physical environmental factors and their impacts on meteorology at certain sites. The factors are thermally adjustable through sunlight obstruction and/or reflection16, wind blockage17, evaporation18, and/or biological effects19. Sites with more vegetation, higher reflectivity, lower openness, and closer to water surfaces are relatively cool20. Increasing vegetation cover might cause PET to decrease21. They influence meteorology in various ways. This might affect pedestrians’ thermal perceptions differently. The physical environment influences dwellers’ thermal perceptions as they affect various meteorological parameters22. This might be a complex process. A few studies have associated subjective thermal responses, meaning TSV, with tree traits, revealing a negative linear correlation between TSV and the crown canopying level23. Studies focusing on objects explore ways to adjust thermal environments, further improving individual comforts. Either subjective or objective OTC studies can be carried out at various outdoor sites of diverse functions, such as parks24, streets25, campuses26, and squares27. Residential spaces were sometimes considered (i.e. courtyards28). They had a high people attendance ratio. Scholars usually select several points around the sample sites for surveys.
Earlier OTC studies have acquired many important findings. Studies considering subjects have confirmed residents’ thermal preferences or comfort ranges in different regions of the world29. The studies without subjects reveal urban design and landscaping factors improving thermal environments. They are both impactful in improving the living quality in cities. Nevertheless, the study still has some limitations. Their findings have a limited value practically. Humans’ sensations towards meteorology and approaches to improving them were studied separately, and the gap between them would impact the practical effectiveness of the findings. Participants, in fact, might be thermally sensitive with physical environments. For instance, during hot sunny summer daytime, people are more comfortable under trees of wider crowns; in contrast, they might be insignificantly sensitively different on that in night/cool time. Therefore, pedestrians’ thermal perceptions would be statistically correlating with tree characteristic parameters23 (or any other microenvironment parameters), and their correlating intensities might vary for contexts (time & meteorology). In addition, statistical correlation between human perceptions and physical environments might be more practically implicative, since environmental designs aim to improve humans’ comforts. Nevertheless, the hypothesis was rarely proved previously, for very few earlier studies conducted their investigations by this type. People’s comfort with physical environments was directly implicative for environmental design and planning works. Objective physical environments have been confirmed to influence microclimates; indirectly, they can adjust human thermal perceptions as well. Meanwhile, the thermal effects of different factors varied for contexts, such as time and weather30. This variation further affects their influence on subjective thermal perceptions. This study assumed that people would thermally respond to physical environmental factors, such as trees, waterbodies, and land use23. The responses might vary depending on the contextual meteorology and time of the day. For approving this assumption, this study would conduct a field monitoring combining with questionnaire in a well vegetated site next to a water surface. The site would be physically characterised as different tree coverings and land reflectivity at various locations, and they would be also meteorologically affected by the nearby waterbody as the distance variation. Data of various aspects, e.g., meteorology parameters and subjective thermal perceptions at diverse sample points, can be collected by field survey and questionnaire. Data of various aspects would be associated with each other to find their statistical correlations directing novel findings.
Methodology
Study location
This study selected Mianyang as the sample city for field survey. OTC studies are usually implemented in areas with long-term thermal stress. Cities with hot summers and/or cold winters are frequently investigated31. Mianyang is a city belonging to the Cfa climate zone (the subtropical humid zone regarding köppen classification)32 located in southwest China (Fig. 1). It is to the north of the provincial capital city, Chengdu. Being close to the capital, it is significantly influenced by Chengdu’s climate. Mianyang is characterised by the Chengdu Plain Climate (CDPC33). It has four seasons in a year but slightly differs from other cities in the same climate zone or similar latitudes. CDPC refers to climates with hot summers and cold winters. However, the special landform contributes to the unique climate. It gets much rainwater throughout the whole year34, making it highly humid. High humidity causes severe poor OTC, especially in the warm seasons. Its extreme temperatures have surpassed 35 °C in the annual hottest month35. This is getting worse as global warming. Hence, it is necessary to find ways to address these problems.
Field measurement
The campus26 is usually applied for field surveys in OTC studies since its academic atmosphere. This study selected the campus of Southwest University of Science Technology (SWUST) for field measurement. SWUST is located in Qingyi Town, Mianyang (Fig. 1). The campus consists of two sections: the West District (constructed in the 1950s) and the East District (constructed around 2000). The Central Lake (TCL) is situated in the East District (Fig. 2). It is an important water landscape on campus and was built in 2006. Eighteen points around the lakeside land were chosen for the field survey. They included lawns, footpaths, and mini plazas. Their locations and surrounding environments are shown in Fig. 2. Previous studies have confirmed that trees, water surfaces, and albedo were thermal influential20. The 18 opted points vary for physical properties; they are different regarding tree cover, distance from the lake, and land surface albedo. This study assessed them as LAI38, DFL39, and albedo40. These could commonly affect the meteorology at each point, further affecting thermal perceptions. The measurement spanned two extreme seasons from 2022 (July, August, September, & December) to early 2023 (January to March). Two parts of the data were collected: meteorological parameters through sensors (Testo 480, Table 1) and subjective thermal responses through a questionnaire.
Locations of all measured points around the lake and their surrounding environments (aliyun41 & photographed by the author).
Thermal perceptions and the objective index
The thermal comfort is hard to be indexed exactly since it is a complex feeling that is affected by diverse factors. This includes various meteorology parameters (Ta, Va, RH etc.) and subjective factors (e.g., clothing isolation)42. Various standards and indices were used to indicate them. They involved subjective sensations or a thermal environment.
Subjective perceptions are usually evaluated by TSV. It divides humans’ thermal feelings into seven scales, -3 (cold) to 3 (hot), regarding heat levels15. A higher value indicates higher heat stress (ASHRAE Standard43). TSV was frequently used to indicate subjects’ thermal responses, which were collected using a questionnaire44. The volunteers were told that the questionnaire was ethically approved and that there would be no potential harm from being interviewed. This study opted for it as a thermal perception indicator. Volunteers attending to the lakeside were invited to vote at any point (− 3–3, resolution = 0.1) regarding their exact current thermal feelings. The questions in the questionnaire survey are listed in the supplementary file (uploaded with the submission). All participants completed the questionnaire voluntarily and anonymously. There was no illegal harm to the participating subjects. It was also confirmed that informed consent has been obtained from all subjects and/or their legal guardians. The whole questionnaire was ethically approved by Southwest University of Science and Technology. Meanwhile, all methods via in this study were performed in accordance with relevant guidelines and regulations of this journal. The original data generated or analysed during this study are included in this published article as the supplementary (the excel file named as ‘The original data’) file. Distribution of subjective responses against their personal information is listed in Table 1. It can be seen, volunteers were mostly below 25 as students have made up most of them.
Individual thermal perceptions are directly affected by the thermal environment. This is a complex phenomenon involving a variety of factors, such as diverse meteorology parameters. Previous studies have proposed complex indices to evaluate it comprehensively. This includes PET45, SET*46, and UTCI28. They contain diverse meteorological parameters. PET12 is an index often used in OTC studies. It assumes a space with certain conditions (e.g. Ta = MRT, RH = 50%, Va = 0.1 m/s, and clo = 0.9). It assumed PET equalling Ta in that case47. Its calculation is a complex process due to the inclusion of a number of factors. MRT is an important factor. This index can be calculated by Eq. (1)48:
where \(\:{\text{T}}_{\text{g}}\) (°C), \(\:{\text{T}}_{\text{a}}\) (°C), and \(\:\text{v}\) (m/s) refer to globe temperature, air temperature, and air velocity, respectively. All relevant parameters are irregularly linked with PET. The RayMan model developed by Munich University is often used22 to calculate PET. There are many other indices viable, such as UTCI (walk speed: 1.1 m/s; work metabolic: 135 W/m2; Va: 0.5 m/s at 10 m49) and SET* (thermally non-conductive; RH = 50%, Va < 1.5 m/s, and MRT = Ta50). However, PET was preferred by more researchers51. This study selected it52 as the thermal comfort index.
Meteorology parameters were collected using two sets of Testo 480 (Fig. 2). The properties of all sensors are listed in Table 2. The sensors were installed regarding ISO 773053 during the measurement (1 m above the ground).
Microenvironment indicators
Microenvironmental factors are significantly influential on microclimate and people’s thermal perception. They are defined various indicators supporting statistical analyses, such as vegetation being indicated by coverage, which is usually statistically correlating with meteorological parameters. OTC studies have developed many indicators to evaluate various aspects of microenvironments. Vegetation could be indicated by a cover ratio55, tree planting pattern56, and LAI38. Water surfaces can adjust thermal comfort to their surrounding areas. The cooling intensities vary according to distance. Distance from the waterbody bank was found to correlate with cooling intensities57. Sites closer to the water surface have higher atmospheric humidities, contributing to lower temperatures58. In addition, land-covering materials affect the thermal environment through heat absorption and reflection. This property was defined as albedo59. Three parameters indicated physical environments at the sample site: LAI, DFL, and albedo. Values of the LAI were calculated by WinSCANOPY60 through fisheye images, as shown in Fig. 3. Albedo values of all points were acquired from romullus61.
Fisheye images of all measurement points.
Data analysis
Scientific researches usually utilised statistical analyses to direct their outcomes. Multiple linear regression (MLR62) is a method of analysing with a function of expectation. It finds a statistical correlation between one dependent variable and various independent variables. This study used TSV as a dependent variable, whereas environmental factors were used as independent variables. Many earlier studies on OTC have revealed linear correlations between dependent and independent variables. This included correlations between people’s sensations and temperature63 and physical environments and temperatures30. This study assumed that volunteers would thermally respond linearly to environmental parameters. Some earlier studies have confirmed that the thermal effects of physical factors vary for time and current meteorology. It was hypothesised that the microenvironmental effects on thermal perceptions vary for contexts. Two variables were defined as contextual factors: current time and meteorology. Generally, two groups of models were established: against time and meteorology. Time was indicated by daily hours (9:00, 10:00, 11:00, etc.), whereas meteorology was evaluated using the comfort index (PET). Models against time found a statistical correlation between variables. Hourly TSV at 9:00, for instance, found a linear relationship between TSV and environmental factors during 9:00 and 9:59. That against thermal level found the relationships at various PET spans (15–20 °C; 20–25 °C; 25–30 °C, etc.).
Results
Data description
Data of the 18 sample points were collected by field monitoring. They fluctuated differently during the measurement. This is compared by Boxplots by Figs. 4, 5 and 6.
Figure 4 illustrates the daily Ta fluctuation ranges of the sample points. They varied significantly. This might have resulted from the physical characteristics of all points and weather differences between all measurement days. Relatively high temperatures were observed in Points C3 and A5, respectively. They achieved a maximum of 39 and 41 °C. In contrast, points A4 and C6 were cooler. They ranged between 23 and 30 °C for the full day, maximising at 30 and 29 °C, respectively. Most points were extremely hot as Ta was above 30 °C on average.
The Boxplot for Ta ranges of the 18 measurement points.
Figures 5 and 6 express the ranges of Va and RH for all sites. They all varied significantly. The measurement days experienced minimal wind conditions. They frequently had Va below 1.5 m/s. The most considerable variation emerged at C3. It usually reached 1.5 m/s and sometimes above 2 m/s. Several points were insignificantly windy (C1, A2, B2, etc.), with maximum values below 1 m/s. This might be the key reason for the intolerable heat stress during the measurement days. C6 was relatively windy compared with others (0.7–1.4 m/s). The RH values at all points, in contrast, were relatively steady. On average, they were around 50%. The widest range was observed at C3. Inconsiderably varying regulars in Va and RH were seen around the measurement days.
The Boxplot for Va ranges of the 18 measurement points.
The Boxplot for RH ranges of the 18 measurement points.
Neutral temperatures towards various periods
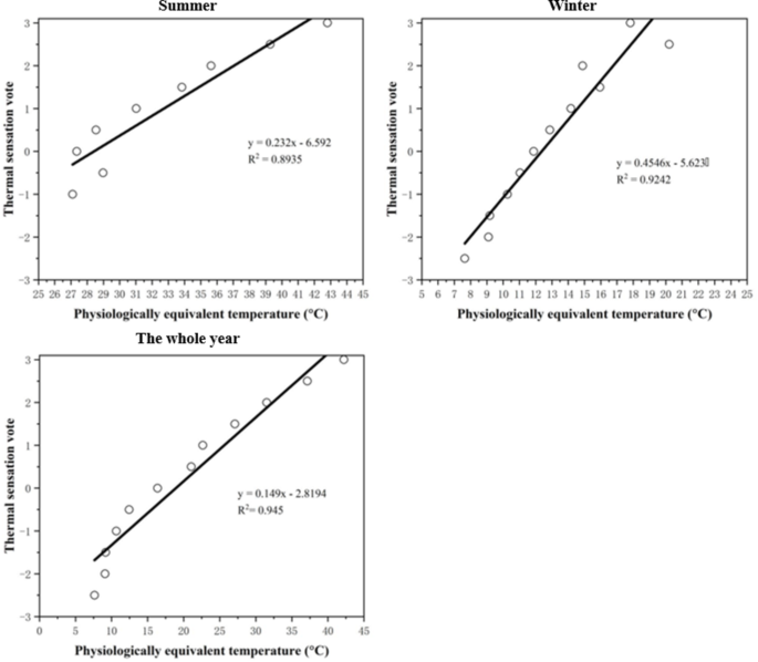
TSV was associated with PET through linear regression for different annual periods. Three models were established for summer, winter, and the whole measurement period. Figure 7 illustrates the linear relationships between TSV and PET. They were positively correlated. NTs for summer, winter, and the whole year were 28.41 °C, 12.37 °C, and 18.92 °C, respectively. The summer NT of Mianyang in 2022 was 28.41 °C, which is higher than that revealed by earlier studies. This might result from humans’ thermal adaptation towards extremely hot days during the summer of 2022.
Linear correlation between TSV and PET in different annual periods.
Data analysis against time
Table 3 lists the analysis results of the thermal perceptions of time during the summer. Some parameters expressed significant correlations with TSV, and their influencing levels differed at different times of the day. Generally, the models were significant at some time of the day. This could be explained by their low p-values (< 0.05). Each parameter expressed a negative or positive association with TSV. The effects of insignificant environmental factors were revealed in the evening. LAI showed a significant correlation with TSV at 9:00–12:00, 15:00, and 17:00 (p < 0.05, and mostly < 0.01). It generally showed negative correlations, in addition to 17:00 significantly. Thus, sites with higher LAI would cause lower TSV. The increment of LAI by 1 would contribute to a TSV decrease of 0.171 at most (10:00, R2 = 0.295, p < 0.001). Albedo was less significantly influential than LAI. It was significant at 9:00, 12:00–14:00 and 17:00 (p < 0.05). It showed the most significant effect at noon (R2 = 0.269, p < 0.001). People were also sensitive to water surfaces. The DFL showed substantial correlations with subjective responses. Rising the DFL by 1 could cause TSV growth of 0.076 in maximum (9:00, R2 = 0.367, p < 0.001).
The thermal perception effects of physical factors during the winter are listed in Table 4. They showed very poor statistical correlations. Most models had low R2 values (less than 0.1). Individual factors rarely showed significant statistical contributions. This means that pedestrians were insensitive to physical factors in cold weathers. Individual factors were rarely significant. Increasing LAI by 1 resulted in a TSV descent of 0.471 (17:00, R2 = 0.120, p < 0.05). In contrast, a TSV ascent of 0.042 could result from DFL climbing by 1 m (17:00, R2 = 0.120, p < 0.05).
Tables 3 and 4 have listed the multiple analysis results towards time for different seasons. Their key information was compared using images. Generally, linear regression models in the summer (R2 = 0.1–0.4) were more significant since higher R2 values were witnessed (Fig. 8). Summer data regarding daily time changed significantly. R2 significantly decreased from nearly 0.4 to about 0.05 between 9:00 and 19:00, with a changing intensity R2 of 0.76. In contrast, the winter data were relatively low and showed insignificant varying (R2 < 0.15). Thus, pedestrians were decreasingly thermally sensitive to physical factors, and more significant sensations and daily changes were witnessed in the summer.
The change of R2 towards time in the two seasons.
Data analysis against PET
Table 5 shows the equations of linear correlations between TSV and microenvironment factors in different meteorological conditions. Generally, poor significances were witnessed in most models. A few models were statistically significant (R2 was close to 0.3). It can be clearly seen from the equations that the significance of the models varied for meteorology. Equations with relatively high R2 emerged in warmer conditions. Hence, it might be deduced that people are more sensitive to environmental factors thermally in hot weathers. Volunteers were least sensitive to environments in the 25–30 °C range. Single factors were rarely significant in the models.
Winter models for TSV towards various factors in different weathers are listed in Table 6. This was the same as that in Table 3 (Section “Neutral temperatures towards various periods”). They were rarely significant (R2 < 0.3). Additionally, relatively significant correlations were witnessed at warmer times (PET > 15 °C). The poorest correlation was seen in the 10–15 °C range. Very few environmental factors were significant individually (p > 0.05). This was similar to the finding in Table 4.
Figure 9 illustrates the changes in R2 against PET ranges during the two seasons. Both showed polynomial relationships bottoming at certain ranges, but general increasing trends could be deduced. Summer witnessed considerably higher R2 values. This was similar to that illustrated in Fig. 8. The poorest correlation emerged at the PET around 25 °C (R2 = 0.07) during the summer, whereas that for winter was 10–15 °C (R2 = 0.03). They were about seasonal neutral points. Individuals were insensitive to physical environments about their thermal-free temperatures. However, being beyond these points, they became increasingly physically sensitive.
The change of R2 towards temperature ranges in the two seasons.
Discussion
This study investigated human responses to environmental factors in various contexts and during different thermal periods of the year. People’s thermal perceptions vary depending on physical environmental changes. These phenomena could be supported by various principal and practical reasons.
Local residents’ NTs in Mianyang were 28.41 °C (summer), 12.37 °C (winter), and 18.92 °C (the full year). The summer NT of Mianyang in 2022 was higher than that found in some earlier studies (27.0 °C24). Nevertheless, the winter NT (12.37 °C) was much lower than the output in the earlier study (17.3 °C24). This would be because of the extreme weathers in the survey time. Interviewees might have adapted1 to extraordinarily hot and/or cold days physiologically64. Therefore, they would feel heat-free at very high temperatures in summer and very low temperatures in winters.
Earlier studies relevant to this one are listed in Table 7. As to studies involving subjects, their NT were different from that found by this one in both summer, which results from the variation of local climate. It has been widely approved. As to that focusing on objective environments, they have revealed that both water surfaces and trees are adjustable on meteorology and people’s perceptions. They are capable to explain findings in this study to some degree. References35,43,63,64,65 investigated subjective responses toward thermal environments, exporting local NTs. In contrast, References66,67,68 revealed effects of physical elements on microclimate, they are supportive for urban design works on comfort improvements. Their target factors (distance to the water surfaces, leaf densities, & albedo) were involved by the present study. This study has combined the focuses of them.
Pedestrians were sensitive to environmental factors but had relative sensitivities during the summer. Vegetation and waterbodies are natural cooling elements that adjust meteorology during warm seasons. Vegetation can reduce temperature at growing sites through various processes71. Physically, plants with crowns block solar radiation falling on covered lands12, creating cooler conditions than uncanopied ones during the day72,73. This mode of cooling is preferred by people24. Factually, plant cooling would also be processed by a different function: the biological effect. They increase atmospheric humidity by transpiration74. Ta would be declined by evaporation18 of the water molecules. This process is still followed after sunset. Hence, tree cooling is available throughout the day30. Therefore, TSV was found correlating to LAI at most times of the day. This phenomenon can be explained by the summer models presented in Table 3. Water cooling is a different process75. The cooling effects of water result from its high specific heat capability (SHC76). The water evaporates when warmed77, but it warms more slowly than lower-SHC substances. Thus, water is usually cooler than land, indirectly affecting the surface atmosphere78. This results in Ta variation above water and land, which causes continuous air exchange between their surfaces79. It is cooling-efficient for nearby sites. Nevertheless, the volunteers in this study responded poorly towards DFL. Compared to vegetation, physical changes in water molecules primarily occur during warm periods30. Its influencing distance is also affected by the waterbody’s size80. The sample in the present study, a campus lake, was relatively small and less thermal influential than a river81. The albedo of the land surface is thermally influential through sunlight absorption and reflection82. This process takes place at the time of solar radiation83. Nighttime with little solar radiation is unavailable. Passersby responded inactively against the albedo, apart from noon during the summer, the daily time with the strongest sunlight radiation.
People’s sensitivities towards physical environments varied in different contexts, especially weathers. Higher R2 values emerged in warmer conditions. Environmental factors had a natural cooling effect. They were hard to be functional for warming. Thus, people were increasingly sensitive to physical conditions, as they got warmer when the cooling function was needed. The poorest correlation for winter and summer emerged at 12–15 °C and 25–30 °C ranges (Fig. 9). They were around local people’s seasonal NTs. Microenvironmental factors were functional in mitigating subjective thermal stress. They rarely experienced heat or cold stress at their neutral points. As a result, environmental factors were rarely needed. They were non-thermally impactive in people’s comfort zones.
Some important findings of this study are as follows. The study highlighted practical directives for future urban construction works on meteorology adjustment. However, the limitations of this study should not be overlooked. It has been revealed that people are thermally sensitive to physical environments. The sensitivity increased as environments grew warmer in whole models. Yet the effects of individual physical factors showed a rare association with contextual contexts, such as LAI being significantly irregular. This might contradict earlier studies about the effects on meteorology84 and intensities statistically associated with current Ta85. Meanwhile, low R2 values emerged in some models. This might result from, on the one hand, the data error during the monitoring. The monitoring needs to be improved technically. On the other, individuals should be slightly thermal sensitive with physical factors. During extreme hot sunny time, people would feel more comfortable as moving into denser vegetated sites, yet only lightly varying (e.g., reducing TSV from 3 to 2.9). The variation would be relatively insignificant at their thermal neutral points as revealed by this study. This is hard to be expressed obviously in statistical analyses. Human thermal responses toward physical environments still need further exploration. These shortcomings therefore should be addressed in future studies. Future studies in OTC could also be improved from the following aspects: (1) selecting a larger number of points for significant statistical comparing35; (2) evaluating subjective thermal perceptions in novel models, such as thermal pleasure86; (3) considering people’s comforts in other aspects87.
Conclusion
This study has explored subjective thermal responses to various microenvironmental factors in different contexts. People were sensitive to physical and thermal environments. Significant sensitivities emerged under warm conditions. Important findings of the study are as follows:
-
Neutral temperatures indicated by PET in Mianyang were 28.41 °C (summer, July to September 2022), 12.37 °C (winter, December 2022 & January to March 2023), and 18.92 °C (full year); they were slightly differed from that found in other cities since contextual variation.
-
LAI was generally negatively correlated with TSV; increasing the LAI by 1 point resulted in a TSV decrease of 0.171 (10:00, p < 0.001); this most possibly happened at a high PET time; these phenomena generally echoed previous studies revealing cooling intensities of trees increasing by leaf densities.
-
The multiple models expressed various significances owing to context change, especially in weather conditions; R2 values of the summer models climbed from 0.087 to 0.392 as heat increased; physical factors are relatively thermally perceptively effective under warmer conditions.
-
Pedestrians were insignificantly sensitive to the microenvironment in their seasonal neutral ranges.
Microenvironmental factors play a key role in urban settings. They influence various aspects of citizens’ quality of life. Future urban design efforts (including vegetation & landscaping) should consider pedestrians’ preferences to enhance thermal comfort.
Data availability
All data generated or analysed during this study are included in this published article [The original data for English 0206].
References
Zhang, J., Guo, W., Cheng, B., Jiang, L. & Xu, S. A review of the impacts of climate factors on humans’ outdoor thermal perceptions. J. Therm. Biol. 103272 https://doi.org/10.1016/j.jtherbio.2022.103272 (2022).
Guo, W. et al. A study of subtropical park thermal comfort and its influential factors during summer. J. Therm. Biol 103304 (2022).
Cheung, P. K. & Jim, C. Y. Global pattern of human thermal adaptation and limit of thermal neutrality: systematic analysis of outdoor neutral temperature. Int. J. Climatol. 38, 5037–5049. https://doi.org/10.1002/joc.939 (2018).
Lin, J., Zhang, H., Chen, M. & Wang, Q. Socioeconomic disparities in cooling and warming efficiencies of urban vegetation and impervious surfaces. Sustainable Cities Soc. 92, 104464 (2023).
Steeneveld, G. J., Koopmans, S., Heusinkveld, B. G. & Theeuwes, N. E. Refreshing the role of open water surfaces on mitigating the maximum urban heat Island effect. Landsc. Urban Plann. 121, 92–96 (2014).
Adeyeri, O. E. et al. Land use and land cover dynamics: implications for thermal stress and energy demands. Renew. Sustain. Energy Rev. 179, 113274 (2023).
Arif, V. & Yola, L. The impact of Sky view factor on pedestrian thermal comfort in tropical context: A case of Jakarta sidewalk. Sustainable Archit. Building Environ. 161, 27–33 (2021).
Zhang, J., Zhang, F., Gou, Z. & Liu, J. Assessment of macroclimate and microclimate effects on outdoor thermal comfort via artificial neural network models Urban Clim. 42, 101134 (2022).
Huang, B., Hong, B., Tian, Y., Yuan, T. & Su, M. Outdoor thermal benchmarks and thermal safety for children: A study in China’s cold region. Sci. Total Environ. 787 https://doi.org/10.1016/j.scitotenv.2021.147603 (2021).
Cao, B., Luo, M., Li, M. & Zhu, Y. Too cold or too warm? A winter thermal comfort study in different climate zones in China. Energy Build. 133, 469–477 (2016).
Yang, W., Wong, N. H. & Zhang, G. A comparative analysis of human thermal conditions in outdoor urban spaces in the summer season in Singapore and Changsha, China. Int. J. Biometeorol. 57, 895–907. https://doi.org/10.1007/s00484-012-0616-9 (2013).
Alawadhi, E. M. Thermal comfort analyses on jogging trails: the effect of trail direction and tree shading on trial surface and physiological equivalent temperatures. J. Therm. Biol. 110, 103358 (2022).
Meili, N. et al. Vegetation cover and plant-trait effects on outdoor thermal comfort in a tropical City. Build. Environ. 195 https://doi.org/10.1016/j.buildenv.2021.107733 (2021).
Hadianpour, M., Mahdavinejad, M., Bemanian, M. & Nasrollahi, F. Seasonal differences of subjective thermal sensation and neutral temperature in an outdoor shaded space in Tehran, Iran. Sustainable Cities Soc. 39, 751–764. https://doi.org/10.1016/j.scs.2018.03.003 (2018).
Asif, A., Zeeshan, M., Khan, S. R. & Sohail, N. F. Investigating the gender differences in indoor thermal comfort perception for summer and winter seasons and comparison of comfort temperature prediction methods. J. Therm. Biol. 110, 103357. https://doi.org/10.1016/j.jtherbio.2022.103357 (2022).
Walton, D., Dravitzki, V. & Donn, M. The relative influence of wind, sunlight and temperature on user comfort in urban outdoor spaces. Build. Environ. 42, 3166–3175. https://doi.org/10.1016/j.buildenv.2006.08.004 (2007).
Ai, Z. T. & Mak, C. M. Wind-induced single-sided natural ventilation in buildings near a long street Canyon: CFD evaluation of street configuration and envelope design. J. Wind Eng. Ind. Aerodyn. 172, 96–106 (2018).
Moss, J. L., Doick, K. J., Smith, S. & Shahrestani, M. Influence of evaporative cooling by urban forests on cooling demand in cities. Urban Forestry Urban Green. 37, 65–73 (2019).
Deng, J., Yao, J., Zhang, X. & Gao, G. Transpiration and canopy stomatal conductance dynamics of Mongolian pine plantations in semiarid deserts, Northern China. Agric. Water Manage. 249, 106806 (2021).
Lai, D., Liu, W., Gan, T., Liu, K. & Chen, Q. A review of mitigating strategies to improve the thermal environment and thermal comfort in urban outdoor spaces. Sci. Total Environ. 661, 367–386. https://doi.org/10.1002/joc.939 (2019).
Yang, A. S., Juan, Y. H., Wen, C. Y. & Chang, C. J. Numerical simulation of cooling effect of vegetation enhancement in a subtropical urban park. Appl. Energy. 192, 178–200 (2017).
He, X. et al. Influence of Sky view factor on outdoor thermal environment and physiological equivalent temperature. Int. J. Biometeorol. 59, 285–297. https://doi.org/10.1007/s00484-014-0841-5 (2015).
Zhang, J. & Gou, Z. Tree crowns and their associated summertime microclimatic adjustment and thermal comfort improvement in urban parks in a subtropical City of China. Urban Forestry Urban Green. 59, 126912. https://doi.org/10.1016/j.ufug.2020.126912 (2021).
Cheng, B., Gou, Z., Zhang, F., Feng, Q. & Huang, Z. Thermal comfort in urban mountain parks in the hot summer and cold winter climate. Sustainable Cities Soc. 51, 101756. https://doi.org/10.1002/joc.939 (2019).
Chiang, Y. C., Liu, H. H., Li, D. & Ho, L. C. Quantification through deep learning of Sky view factor and greenery on urban streets during hot and cool seasons. Landsc. Urban Plann. 232, 104679 (2023).
Niu, J., Hong, B., Geng, Y., Mi, J. & He, J. Summertime physiological and thermal responses among activity levels in campus outdoor spaces in a humid subtropical City. Sci. Total Environ. 728, 138757 (2020).
Yu, H., Zhang, T., Fukuda, H. & Ma, X. The effect of landscape configuration on outdoor thermal environment: A case of urban plaza in Xi’an, China. Build. Environ. 231, 110027 (2023).
Mahdavinejad, M., Shaeri, J., Nezami, A. & Goharian, A. Comparing universal thermal climate index (UTCI) with selected thermal indices to evaluate outdoor thermal comfort in traditional courtyards with BWh climate. Urban Clim. 54, 101839. https://doi.org/10.1016/j.uclim.2024.101839 (2024).
Lai, D. et al. A comprehensive review of thermal comfort studies in urban open spaces. Sci. Total Environ. 742, 140092. https://doi.org/10.1016/j.scitotenv.2020.140092 (2020).
Zhang, J., Gou, Z., Cheng, B. & Khoshbakht, M. A study of physical factors influencing park cooling intensities and their effects in different time of the day. J. Therm. Biol. 109 https://doi.org/10.1016/j.jtherbio.2022.103336 (2022).
Zhang, J. et al. A clustering review of vegetation-indicating parameters in urban thermal environment studies towards various factors. J. Therm. Biol. 110 https://doi.org/10.1016/j.jtherbio.2022.103340 (2022).
Lifepersona Dec. Subtropical Climate: Classifications and Characteristics. https://www.lifepersona.com/subtropical-climate-classifications-and-characteristics(2021).
Ruiwen Jul. Landforms and climatic features in Chengdu Plain. https://www.ruiwen.com/ziliao/kepu/2896166.html, accessed at 17 (2022).
Zong, H., Chen, Y., Liu, L., Zhang, L. & Chen, X. Influence of rainfall factors and tree structure on rainfall partitioning for typical trees in Linpan settlements, the typical agroforestry ecosystem of the Chengdu plain. J. Hydrol. Reg. Stud. 36, 100874 (2021).
Liu, T. et al. Investigating the impact of a largeriver and its surroundingcontextual conditions onpedestrians’ summer thermalperceptions in a Cfa-climate City. Sci. Rep. 14, 1–21 (2024).
aliyun. DataV.GeoAtlas. http://datav.aliyun.com/portal/school/atlas/area_selector, Accessed at 18 (2022).
Adobe Photoshop. Let the imagination run wild. https://aill.gjx91.cn/?bd_vid=8339462806567988547. Accessed at 11 (2024).
Guo, W., Cheng, B., Wang, C. & Tang, X. Tree planting indices and their effects on summer park thermal environment: A case study of a subtropical satellite City, China. Indoor Built Environ. 31, 109–120. https://doi.org/10.1177/1420326X20977614 (2022).
Kou, Y. et al. Factors affecting urban climate at different times of the day in China: a case study in Yibin, a riverside mountain City. Nature-Based Solutions. https://doi.org/10.1016/j.nbsj.2022.100043 (2022).
Smith, I. A., Fabian, M. P. & Hutyra, L. R. Urban green space and albedo impacts on surface temperature across seven united States cities. Sci. Total Environ. 857, 159663 (2023).
aliyun. DataV.GeoAtlas. http://datav.aliyun.com/portal/school/atlas/area_selector (2022).
Höppe, P. Different aspects of assessing indoor and outdoor thermal comfort. Energy Build. 34, 661–665 (2002).
Gagge, A. P., Fobelets, A. & Berglund, L. A standard predictive index of human response to the thermal environment. ASHRAE Trans.(United States) 92 (1986).
Chen, L., Kalonji, G., Xu, L., Ma, P. & Hu, L. Combining microclimatic monitoring with questionnaires, for Understanding thermal comfort in Linpan, a typical agricultural ecosystem settlement in the Chengdu plain. Build. Environ. 228 https://doi.org/10.1016/j.buildenv.2022.109868 (2023).
Dashti, A., Mohammadsharifi, N., Shokuhi, M. & Matzarakis, A. A comprehensive study on wintertime outdoor thermal comfort of blue-green infrastructure in an arid climate: A case of Isfahan, Iran. Sustain. Cities Soc. 113, 105658. https://doi.org/10.1016/j.scs.2024.105658 (2024).
Jia, X., Li, S., Zhu, Y., Du, Z. & Cao, B. Development of the universal standard effective temperature for evaluating thermal comfort across different metabolic rates. Build. Environ. 250, 111149. https://doi.org/10.1016/j.buildenv.2023.111149 (2024).
Höppe, P. The physiological equivalent temperature–a universal index for the biometeorological assessment of the thermal environment. Int. J. Biometeorol. 43, 71–75 (1999).
Zhang, J., Gou, Z., Zhang, F. & Yu, R. The tree cooling pond effect and its influential factors: A pilot study in gold Coast, Australia. Nature-Based Solutions. 3 https://doi.org/10.1016/j.nbsj.2023.100058 (2023).
Jendritzky, G., Dear, R. & Havenith, G. UTCI—Why another thermal index? Int. J. Biometeorol. 56, 421–428 (2012).
Zhou, Z., Deng, Q., Yang, W. & Zhou, J. Effect of seasonal adaptation on outdoor thermal comfort in a hot-summer and cold-winter City. Adv. Building Energy Res. 14 (2020).
Binarti, F., Koerniawan, M. D., Triyadi, S., Utami, S. S. & Matzarakis, A. A review of outdoor thermal comfort indices and neutral ranges for hot-humid regions. Urban Clim. 31 https://doi.org/10.1016/j.uclim.2019.100531 (2020).
Manavvi, S. & Rajasekar, E. Semantics of outdoor thermal comfort in religious squares of composite climate: new Delhi, India. Int. J. Biometeorol. 64, 253–264. https://doi.org/10.1007/s00484-019-01708-y (2020).
ISO 7730. Ergonomics of the thermal environment - Analytical determination and interpretation of thermal comfort using calculation of the PMV and PPD indices and local thermal comfort criteria, Geneva, Switzerland (2005).
Global-Test. Testo 480 Description. GLOBAL-TEST EOOD is an general representative of the companies ТЕSТО, VEGA - Germany and CASELLA CEL - England (2018).
Liu, R. et al. Effects of ground cover management on improving water and soil conservation in tree crop systems: A meta-analysis. Catena 199 https://doi.org/10.1016/j.catena.2020.105085 (2021).
Tsoka, S., Leduc, T. & Rodler, A. Assessing the effects of urban street trees on Building cooling energy needs: the role of foliage density and planting pattern. Sustainable Cities Soc. 65, 102633 (2021).
Zhang, J., Gou, Z. & Shutter, L. Effects of internal and external planning factors on park cooling intensity: field measurement of urban parks in gold Coast, Australia. AIMS Environ. Sci. 6, 417–434 (2019).
Dai, Z., Guldmann, J. M. & Hu, Y. Spatial regression models of park and land-use impacts on the urban heat Island in central Beijing. Sci. Total Environ. 626, 1136–1147 (2018).
Mohammad, P. et al. Evaluating the role of the albedo of material and vegetation scenarios along the urban street Canyon for improving pedestrian thermal comfort outdoors. Urban Clim. 40, 100993 (2021).
WinSCANOPY. WinSCANOPY 2017a for Canopy Analysis (Regent Instrument Inc, 2017). https://regentinstruments.com/.
romullus. List of reflectance/ albedo of common materials. https://forum.corona-renderer.com/index.php?topic=2359.0, Accessed at 18 (2014).
Statistics Solutions. What is Multiple Linear Regression? CompleteDissertatio. https://www.statisticssolutions.com/what-is-multiple-linear-regression/ (2018).
Xiong, J. et al. A study of waterside microenvironmental factors and their effects on summer outdoor thermal comfort in a Cfa-climate campus. J. Therm. Biol. 117 https://doi.org/10.1016/j.jtherbio.2023.103700 (2023).
Jendritzky, G. & Tinz, B. The thermal environment of the human being on the global scale. Glob Health Action. 2 https://doi.org/10.3402/gha.v2i0.2005 (2009).
Li, Z., Zhou, L., Hong, X. & Qiu, S. Outdoor thermal comfort and activities in urban parks: an experiment study in humid subtropical climates. Build. Environ. 253, 111361. https://doi.org/10.1016/j.buildenv.2024.111361 (2024).
Su, Y. et al. Summer outdoor thermal comfort assessment in City squares—A case study of cold dry winter, hot summer climate zone. Sustainable Cities Soc. 101, 105062. https://doi.org/10.1016/j.scs.2023.105062 (2024).
Ma, T. & Zhang, J. Integrating thermal perception and public space use – an experimental outdoor comfort study in cold winter-hot summer zone: Beijing, China. Urban Clim. 58, 102138. https://doi.org/10.1016/j.uclim.2024.102138 (2024).
Xu, J., Wei, Q., Huang, X., Zhu, X. & Li, G. Evaluation of human thermal comfort near urban waterbody during summer. Build. Environ. 45, 1072–1080. https://doi.org/10.1016/j.buildenv.2009.10.025 (2010).
Xiao, Q. et al. Tree form characteristics as criteria for tree species selection to improve pedestrian thermal comfort in street canyons: case study of a humid subtropical City. Sustain. Cities Soc. 105, 105339. https://doi.org/10.1016/j.scs.2024.105339 (2024).
Lopez-Cabeza, V. P., Alzate-Gaviria, S., Diz-Mellado, E., Rivera-Gomez, C. & Galan-Marin, C. Albedo influence on the microclimate and thermal comfort of courtyards under mediterranean hot summer climate conditions. Sustain. Cities Soc. 81, 103872. https://doi.org/10.1016/j.scs.2022.103872 (2022).
Feyisa, G. L., Dons, K. & Meilby, H. Efficiency of parks in mitigating urban heat Island effect: an example from addis Ababa. Landsc. Urban Plann. 123, 87–95 (2014).
Ayutthaya, T. K. N. et al. The influence of bioretention assets on outdoor thermal comfort in the urban area. Energy Rep. 9, 287–294 (2023).
Huang, J. et al. Transpirational cooling and physiological responses of trees to heat. Agric. For. Meteorol. 320, 108940 (2022).
Tan, P. Y. et al. Transpiration and cooling potential of tropical urban trees from different native habitats. Sci. Total Environ. 705, 135764 (2020).
NASA. How Does Heat Travel. Coolcosmos (2018).
Olson, V. Causes and effects of sea and land breeze. Simple Explanation Fundamental Concepts Geogr. (2016). https://geographymaterials.blogspot.com/2016/02/land-and-sea-breezes.html
Bitesize, B., Energy & Heating GCSE AQA. https://www.bbc.com/bitesize/guides/z2gjtv4/revision/5 (2018).
Monster, F. HEAT TRANSFER. Encyclopedia Science. https://www.factmonster.com/dk/encyclopedia/science/heat-transfer (2007).
Regenerative. 5 Factors That Affect Microclimates. https://regenerative.com/five-factors-affect-microclimates/, accessed at 23 (2017).
Sun, R. & Chen, L. How can urban water bodies be designed for climate adaptation? Landsc. Urban Plann. 105, 27–33 (2012).
Jiang, L., Liu, S., Liu, C. & Feng, Y. How do urban Spatial patterns influence the river cooling effect? A case study of the Huangpu riverfront in Shanghai, China. Sustain. Cities Soc. https://doi.org/10.1016/j.scs.2021.102835 (2021).
Yang, X. & Li, Y. The impact of Building density and Building height heterogeneity on average urban albedo and street surface temperature. Build. Environ. 90, 146–156 (2015).
Huang, Z., Gou, Z. & Cheng, B. An investigation of outdoor thermal environments with different ground surfaces in the hot summer-cold winter climate region. J. Building Eng. 27, 100994 (2020).
Theeuwes, N., Solcerová, A. & Steeneveld, G. Modeling the influence of open water surfaces on the summertime temperature and thermal comfort in the City. J. Geophys. Research: Atmos. 118, 8881–8896 (2013).
Yan, H., Wu, F. & Dong, L. Influence of a large urban park on the local urban thermal environment. Sci. Total Environ. 622-623, 882–891 (2018).
Cui, H. et al. Relative thermal pleasure model: A unified framework for Understanding and predicting thermal comfort in dynamic environments. J. Building Eng. 87, 109020 (2024).
Zeng, F. et al. The effects of acoustic-light-thermal environment quality parameters on pedestrians’ overall comforts in residential districts. Sci. Rep. 14, 1–16 (2024).
Author information
Authors and Affiliations
Contributions
Yang Zhang funded and drafted the manuscript; Shuangyan Feng and Jiaying Liu analysed the data; Jian Zhang revised the manuscript; the rest authors participated in field measurement.
Corresponding author
Ethics declarations
Competing interests
The authors declare no competing interests.
Conflict of interest
There is no conflict of interest in this study.
Ethical approval
The experimental protocol was approved by Southwest University of Science and Technology.
Additional information
Publisher’s note
Springer Nature remains neutral with regard to jurisdictional claims in published maps and institutional affiliations.
Electronic supplementary material
Below is the link to the electronic supplementary material.
Rights and permissions
Open Access This article is licensed under a Creative Commons Attribution-NonCommercial-NoDerivatives 4.0 International License, which permits any non-commercial use, sharing, distribution and reproduction in any medium or format, as long as you give appropriate credit to the original author(s) and the source, provide a link to the Creative Commons licence, and indicate if you modified the licensed material. You do not have permission under this licence to share adapted material derived from this article or parts of it. The images or other third party material in this article are included in the article’s Creative Commons licence, unless indicated otherwise in a credit line to the material. If material is not included in the article’s Creative Commons licence and your intended use is not permitted by statutory regulation or exceeds the permitted use, you will need to obtain permission directly from the copyright holder. To view a copy of this licence, visit http://creativecommons.org/licenses/by-nc-nd/4.0/.
About this article
Cite this article
Zhang, Y., Feng, S., Liu, J. et al. Campus microenvironmental factors and their effects on people’s outdoor thermal perceptions under different conditions. Sci Rep 15, 12335 (2025). https://doi.org/10.1038/s41598-025-96651-x
Received:
Accepted:
Published:
Version of record:
DOI: https://doi.org/10.1038/s41598-025-96651-x











