Abstract
The integration of distributed generation (DG) units into electricity distribution networks (EDNs) is a key strategy for enhancing system performance, improving power quality, and increasing network reliability through effective voltage control. This paper presents a hybrid technique that integrates a modified grey wolf optimization (MGWO) algorithm, implemented in MATLAB, with the electrical transient and analysis program (ETAP) software for security analysis to achieve the optimal locations and sizing of DG units under protection adaptation. The proposed technique focuses on minimizing active (APL) and reactive (RPL) power losses, improving voltage stability (VS) and investigating the effects of fault current variations on the protection system to ensure its adaptability to the integration of DG units. The MGWO algorithm is an improved version of the conventional GWO algorithm, which is based on a hierarchical model inspired by the social behavior of grey wolves. MGWO is modified by the addition of adaptive weights and dynamic circling mechanisms, which improve the balance between exploration (searching for new regions of the solution space) and exploitation (improving known solutions). These modifications enable the wolves to adjust their position dynamically; thus, avoiding premature convergence and allowing them to escape local optima. The MGWO expands on the GWO with adaptive mechanisms that prevents it from becoming trapped in the local minima, yielding faster convergence time, better accuracy of solution, and increased immunity and robustness to solving optimization problems that are complex and multimodal. The effectiveness of the proposed approach is evaluated by simulations performed on the IEEE 33-bus test system and a large scale 114-bus distribution network to determine its reliability for different network sizes. The findings indicate that the optimal DG placement in the 33-bus system results in a 69.7% decrease in average power loss, a 69.6% decrease in real power loss, and a 7.3% enhancement in voltage stability. In the 114-bus system, APL and RPL decreased by 65.2% and 64.9%, respectively, accompanied by a 6.5% enhancement in VS. In addition, ETAP analysis was performed using Newton–Raphson (NR) for load flow analysis to assess the effects of DG integration at different capacity levels. The results indicate that the integration of DG units has a considerable effect on fault current behaviour, with the maximum fault current (I_max) increasing by up to 21.5%, while the minimum fault current (I_min) shows considerable fluctuations, requiring changes in protection strategies to manage altered fault current levels. The comparison of the results to the traditional and advanced metaheuristic algorithms confirm that the proposed technique achieved a higher power loss minimization while maintaining the system stability. Furthermore, the proposed MGWO–ETAP offers a global solution by combining DG placement and sizing optimization with adaptive protection controls, ensuring reliable and efficient DG integration in complex power systems.
Similar content being viewed by others
Introduction
Integrating distributed generation (DG) units in electricity distribution Networks (EDNs) is a fundamental operation aimed at improving the performance of the system while improving reliability and achieving high security and stability. DG units, including renewable energies such as solar photovoltaic (PV) panels and wind turbines, biomass and small hydro systems, help power grids reduce transmission line losses while improving voltage stability (VS) and enhancing power grid security1,2. DG systems play a key role in reducing greenhouse gas emissions while enabling the transition to future sustainable energy resources capable of meeting the world’s energy needs. The adoption of decentralized energy networks due to technological advances and government support programs, alongside climate change adaptation strategies, has gained a lot of attention over the last 10 years3,4,5. By 2024, the global DG capacity will surpass 1.500 GW, with solar and wind energy accounting for the majority of installations. Leading nations such as China, the United States, and Germany have spearheaded this transformation, leveraging DG technologies to enhance energy security, diversify energy resources, and fulfil climate emissions commitments. Integrated approaches that unite decentralized power systems with DGs create improved electrical accessibility in remote regions as they drive economic growth and improve the use of energy6,7,8. The annual CO₂ emission reduction from decentralized systems totals 1.5 billion metric tons, according to International Renewable Energy Agency (IRENA) data, while meeting Paris Agreement targets. DG systems provide an adaptable framework for electricity generation that extends the implementation of smart grid and microgrids and nano-grids technologies to energy storage solutions and demand management tools. The transition from conventional distribution networks to DG systems requires overcoming multiple technical obstacles, operational problems, financial constraints, and advanced optimization planning and simulation tools9,10,11. The dispersed nature of DG units requires advanced methodologies for optimal plant positioning and unit sizing while managing bi-directional energy flow and suppressing short-circuit currents. Systems with DG units that experience short circuits experience disruption increasing fault currents and damaging power grid components. Multiple sources of DG pose complex problems for fault detection and coordination of system protection, requiring advanced protective relaying systems and adaptive management strategies for fault isolation. Distribution networks benefit from the integration of DG by reducing active power (APL) and reactive power losses (RPL)12,13,14. For DG units to operate efficiently, modern optimization techniques, along with real-time monitoring systems using adaptive control strategies, are necessary. As DG expands its presence, regulated frameworks along with electricity market structures need to transform to ensure accessible transaction rights alongside electrical stability, cost-effectiveness and profit maximization in electricity markets15,16. The introduction of DG units into EDNs offers a way to modernize electricity systems while supporting efforts to reduce carbon emissions and enabling wider access to electricity supply. The full realization of DG requires sustained advances in grid management technologies, stronger regulatory support and inventive energy policies17. As the world’s energy needs grow, DG is playing an increasingly vital role in building sustainable and resilient electricity systems. Technically accurate placement and correct sizing of DG units are essential to effectively minimize losses18. Poorly placed DG units can unintentionally increase losses by causing optimum coordination between DG units is required to prevent reactive power circulation between units, which increases line currents and leads to higher system losses19. DG systems based on solar and wind resources have intermittent operating characteristics. The dynamic variations in their output cause erratic load imbalances, which lead to irregular power distribution problems. Strategic placement of optimal systems has significant benefits for power grids that require reliable VS to operate efficiently. Fluctuations in the amount of energy from renewable energy sources create operational hurdles for power grids, as these sources operate in both directions and exhibit irregular patterns20. Solar and wind DG units react strongly to environmental changes, creating rapid and irregular fluctuations and surges21. The installation of DG units creates voltage stabilization in the vicinity of installation sites while producing overvoltage conditions at other network nodes, particularly during periods of high production and low demand22. Insufficient reactive power support: Solar PV systems, as well as other renewable DG technologies, inherently lack integrated reactive power capabilities, which limits their ability to maintain voltage under heavy load circumstances. Power grid stability relies on advanced control measures incorporating reactive power compensation intelligent inverters and dynamic voltage controllers to manage grid voltage problems23,24. The emergence of DG systems fundamentally modifies the manner in which utility-scale grids respond dynamically to power grid disruptions. Traditional radial systems rely on directional fault currents from centralized grid generators. DG systems, however, introduce multiple sources of fault current, leading to higher fault currents flowing to short circuits in DG units, which could challenge existing circuit-breakers against their operational limits25,26. Bi-directional fault currents: The reversed power distribution from DG units creates more difficulty when detecting and isolating faults since traditional protection relays must undergo calibration adjustments. The protection issues related to DG systems are mitigated through the implementation of adaptive protection systems and directional relays, as well as fault current limiters27,28. Researchers can examine fault dynamics and develop suitable protective schemes by utilizing simulation software such as the electrical transient analyzer program (ETAP). Optimization advances prove essential for handling technical problems that emerge from integrating DG units29. The optimization challenges of DGs exceed the capabilities of linear programming (LP) and mixed nonlinear programming (MINLP)30 because these methods fail to handle the complex nonlinearity and high dimensionality of DG problems. The use of optimization algorithms based on metaheuristics such as PSO, GA and ABC demonstrates effective capabilities for dealing with complex optimization challenges31,32,33. Among modern optimization methods, the modified grey wolf optimization (MGWO) demonstrates remarkable efficiency and robustness. Modern optimization problems benefit from the MGWO algorithm because its advanced exploration and exploitation tactics utilize grey wolf social organization and hunting patterns originally developed to create this novel optimization algorithm34,35. A dynamic parameter adjustment system built into this algorithm allows it to adapt to multiple network conditions while striving to find a precise optimal solution. Different scenarios for optimizing DG units in the MGWO analysis included multiple configurations with two, three and up to four DG36,37. Experimental data shows that the algorithm adapts to multiple grid conditions while delivering significant improvements in voltage distribution and minimizing power losses (PL)38,39. Performance optimization of DG placement and sizing, including short circuits analysis at the same time, is one of the main focuses of this research, alongside the study of changes in short-circuit currents induced by DG since these currents determine the design and operating capabilities of protection systems. The ETAP software enables the evaluation of variations in short-circuit current values (Imax) and (Imin) while investigating distribution areas in the vicinity of production units. The study found that distributed production units radically alter fault characteristics, requiring the evaluation of protection systems to ensure reliability. Evaluation of the proposed approach using simulations tested on the IEEE 33-bus test system and the 114-bus large-scale system showed significant improvements in the operational performance of the power system. The proposed approach achieved significant reductions in PL through active power reductions of 69.7% and 65.2%, as well as reactive power reductions of 69.6% and 64.9% in IEEE 33-bus test system and large scale 114-bus systems. VS improved by 7.3% in addition to increments of 6.5%, boosting system reliability and operational efficiency. Maximum fault currents increased by 21.5%, while minimum fault currents improved by 18% after the integration of DG, requiring adaptations to the protection system to maintain system safety. The main contribution of this work presents an optimized evolution system consisting of the grey wolf multi-objective optimization framework that finds the optimal placement and sizing of DG to achieve minimum PL and maximum VS and network resilience. A comprehensive assessment of the effects of DG on protection coordination and fault currents contains methods for dealing with potential problems when integrating DG equipment. The proposed methodology has been tested using the ETAP simulation tool, showing successful scalability in various power system configurations. Strategic planning of DG deployment reveals its essential role in modern EDNs to improve network performance while taking into account the limits of the protection system. The outline of the paper is as follows: In “Related works” Section, the literature relating to DG integration and its optimization techniques is reviewed, and the most significant developments and gaps in research are described. In “Problem formulation” Section, the optimization problem, along with the mathematical models, system constraints, and objective functions, is formulated. In “Methodology” Section, the methodology that has been developed is explained, which, in this case, is the MGWO and its integration with ETAP to enable useful system modelling and analyses. In “Results and Discussion” Section, the discussion revolves around simulation results focusing on performance improvements and the effects of DGs on short circuit currents and fault levels. finally, “Conclusion” Section concludes the research by highlighting significant research findings, their implications, the obstacles, and practical possibilities for further studies. Such as adaptive protection schemes, post analyses, and optimization for smarter grids.
Related works
Several researchers have proposed various methods for optimizing the placement and sizing of DGs in EDNs. These techniques have improved power optimization, reduced PL and improved VS while taking into account the complexity associated with the integration of DG. In40, an optimization method based on the GWO was used to allocate optimally and size DGs. Active and RPL were reduced, and the voltage profile was improved. However, the method had limited convergence accuracy when implemented for large-scale networks and did not provide detailed insight into its performance under varying operational conditions. In41, short-term load forecasting models were reviewed, and they play a key role in supporting DG placement strategies. Although the study highlights promising forecasting methods, it highlights the difficulty of implementing these methods with optimization algorithms in a real-time context, which greatly limits their practical utility in DG allocation. In42, a mixed integer non-LP model is proposed with high accuracy to determine optimal generator locations and sizes. The system is able to include complex constraints on small- and medium-scale systems, although the intense CPU demand creates serious problems for large-scale transmission networks. In43, an improved Harris Hawks optimizer (IHHO) was developed for single-objective and multi-objective tasks. This algorithm or method successfully handled the PL and VS objectives. However, the algorithm stopped producing good convergence results in multidimensional optimization cases. In44, A DG placement and sizing method based on advanced load flow analysis and the Whale Optimization Algorithm (WOA) was proposed, with the objective of minimizing losses. Although this method was, in fact, effective in minimizing losses, its usefulness for dynamic changes in network topology and varying load. In45, the hybrid optimization algorithm (HTLBOGWO) is used for DG placement in a radial distribution network. It was shown to be more effective in reducing PL but less so when dealing with complex, highly interconnected systems. In46, on-dominated sorting genetic algorithm-II (NSGA-II) was applied to the optimization of DG placement and sizing; it worked effectively in small-scale networks but was hampered by its lack of robustness under uncertain and dynamic conditions and took much time in convergence. In47, a genetic algorithm (GA) was used to optimize the location of DGs, resulting in a significant improvement in energy efficiency. However, the reliability of this method was also undermined by its tendency to converge too quickly to sub-optimal solutions for integrating several DGs in the system. In48, the effect of PL and improved VS on the multi-DG placement introduced by this bacterial foraging optimization algorithm (BFOA) was notable; however, its computational complexity prevented its effectiveness in real-time applications. In49, an improved elephant herd optimization algorithm (IEHOA) technique was added, with significant reductions in energy losses and improved results in terms of load capacity. The algorithm produces results with insufficient consistency to handle variations in system constraints. Researchers in50 evaluated a DG allocation solution generated through a hybrid combination of multiple optimization techniques. A good solution arose from the chosen method, although the extensive computational requirements limited broad scalability and real-time functionality. A new heuristic approach for active and reactive power allocation in distribution networks was developed in51. The approach generated multiple possibilities, which presented significant drawbacks pertaining to the feasibility of finding the optimal global solution. In52, a hybrid weight-improved particle swarm optimization (WIPSO) and gravitational search algorithm (GSA) WIPSO-GSA algorithm was developed to optimize the location and size of several DG units. The algorithm significantly improved the energy losses in the system and its load capacity. This hybridization increased the complexity of the algorithm and, therefore, the amount of computing resources required. In53, the optimal placement of DGs is more focused on improving reliability. This method made it possible to improve fault tolerance, but taking reliability parameters into account complicated the optimization enormously. In54, a combined method of DG placement and network reconfiguration was proposed to determine the optimal island regions. This method led to significant reliability gains but involved complex reconfiguration processes. In55, process reconfiguration was implemented to minimize PL in an IEEE 33-bus test system using GA. This method proved effective but was not sufficiently extended when applied to larger networks. In56, a reliability-based generator placement method, including demand and response scheduling, was proposed. The results of this method were promising in terms of reliability and efficiency gains, but further validation is required in various operating scenarios. In57, the placement and sizing of several DGs in distribution networks were optimized. The efficiency of the network was greatly improved, but the system became immobile in the face of load variations. While a combined approach of modified PSO and ETAP was considered for generator placement, the integration of short-circuit analysis in58 proved that it was possible to minimize generator PL; however, the computational load proved difficult for real-time applications. A modified genetic algorithm (MGA) was developed to optimize generator placement and sizing, including safety analysis59. This approach performed better than traditional approaches but required a larger number of simulations for validation purposes. Our proposed approach is therefore developed based on the MGWO algorithm combined with ETAP software simulations. The MGWO algorithm demonstrates improved exploitation and exploration capabilities in the search for a balance between convergence time and accuracy. In addition, MGWO is capable of converging while maintaining a dynamic balance between the exploration and exploitation of the solution in the research space for finding globally optimal solutions and not only local solutions, which makes it adaptable to different states of the distribution network, including uncertain variation in loads, energy flows, and bus voltage changes. Moreover, due to its scalability, it can be applied to large-scale systems without losing computational efficiency. Our approach combines these characteristics to surpass existing methods by offering a sustainable and efficient performance to modern energy distribution systems. Table 1 presents a comparative analysis between the current study and previous literature.
Compared to existing methods as presented in Table 1, our approach achieves greater accuracy in determining the optimal location and sizing of generators, thanks to advanced search mechanisms, faster convergence rates without sacrificing solution quality, better VS and significant PL reduction, validated on IEEE 33-bus and 114-bus test systems, and adaptability to protection system requirements, taking into account fault current variations resulting from DG integration.
Problem formulation
The optimization approach for DG in this paper aims to improve the voltage profile at the distribution level and reduce the PL. Minimizing PL in the distribution system is essential for the efficient operation of the power system. Based on the operational system conditions, the system can be determined according to the ‘accurate loss formula’ (1)60,61,62. The system approach is designed to reduce both the total PL and the voltage profile gradient. The objective function can be expressed mathematically as follows:
Within the constraints of the balance of power:
Voltage constraints:
Current limits:
where i is the number of buses, N is the total number of buses, \(P_{l}\) is the actual PL in the system, \(P_{DGi}\) is the actual power generated by DG in bus i, \(P_{Di}\) is the required power in bus i, \(I_{iJ}\) is current, and \(R_{i}\) is the resistance between buses i, and \(J\). Hybrid load flow is studied Backward-Forward method and Newton Raphson (NR) is used to determine current \(I_{i}\) from load flow. In single-source networks, the power is all supplied by the source, but the PL of a properly installed DG is reduced63,64. This reduction in PL is expressed as the difference in PL with and without DG. Therefore, the additional capacity loss in the network of the DG is:
Therefore, the PL minimization for bus i with DG is obtained by subtraction of Eq. (5) from (6) as follows:
The bus providing the highest PLR value is selected as the optimal position of the DG. Instead of DG, the emphasis is on maximizing losses. To get the DG current that minimizes loss, differentiate Eq. (8) about \(I_{DG}\) and set it equal to zero, yielding the current as shown in Eq. (9) below65.
The process is done for all the bus units. The highest PL reduction value is obtained because the DG units are autonomous and expressed as follows,
The best size for the DG is calculated by Eq. (10) for bus i, denoted V. The optimal placement for the DG to achieve a significant decrease in PL is bus i.
Methodology
The GWO algorithm has emerged as a powerful tool for solving various optimization problems, including the optimal location of DG systems. This bio-inspired algorithm mimics the social hierarchy and hunting behaviour of grey wolves, which allows it to explore the solution space and converge towards optimal solutions effectively. The application of GWO in optimizing the placement of DG systems is particularly relevant due to its ability to handle complex, multi-dimensional optimization problems. Figure 1 illustrates the social dominance and hierarchy of grey wolves.
One of the key advantages of the GWO algorithm is its strong global search capability, which is essential for identifying optimal locations for DG installations. The algorithm operates through a structured approach that includes encircling prey, hunting strategies, and social hierarchy, collectively enhancing its exploration and exploitation capabilities. This is particularly beneficial in DG placement, where the objective is to maximize efficiency and minimize costs while considering various constraints such as load demand and grid stability66,67. Hunting is a crucial and fundamental social activity for grey wolves. The tactical phases consist of (i) tracking, following, and approaching the bearer, (ii) chasing, surrounding, and intimidating, and (iii) attacking the bearer. Consequently, to illustrate the societal hierarchy and the techniques employed in angling grey wolves, α is considered the optimal option, ß is identified as the secondary optimal solution (mean solution), δ is the tertiary ideal solution (least favourable solution), and ω denotes the alternative choices. In hunting, the initial stage is to encircle the quarry (mean solution). Alpha (α) wolves guide the remaining members of the pack. They are responsible for decision-making on the other side. Subsequently, the optimal candidate options are presented. Beta (β) wolves facilitate the establishment of the alpha hierarchy and link the alpha wolves to the subordinate members of the pack. Consequently, they offer the second most favourable alternatives for prospects. Delta (δ) wolves provide more significant quantities of information than alpha (α) and beta (β) wolves. They give the third most effective solution for applicants in terms of comparability. Omega (ω) wolves are regarded as possessing advanced intelligence.
GWO mathematical model equations
Droop Hunting (angling) constitutes one of the grey wolves’ most crucial social actions. The methodological phases encompass68:
-
1.
Pursue and approach the prey.
-
2.
Observe, persecute, encircle, and intimidate the target.
-
3.
Engage in attack.
β is regarded as the second most effective alternative (mean solution) for implementing the societal hierarchy and hunting strategies of grey wolves, with α being the optimal solution; δ serves as the third best solution for representing the societal hierarchy and pursuit techniques of grey wolves, while other alternatives are merely options and solutions. β represents the second most optimal solution, whilst ω denotes alternate possibilities and solutions. This methodology is characterized by the subsequent equations69. The initial phase in hunting is to encircle the prey. Level-2 and level-3 headings can be used to detail main headings.
where \(\vec{D}\) represents the wolf’s new position vector, \(\vec{X}\) denotes the grey wolf vector’s position, \(\overrightarrow {{X_{p} }}\) signifies the chased position vector, t indicates the current iteration and \(\vec{A}\) and \(\overrightarrow {C }\) are the coefficient vectors as defined by70:
where a is a linear vector assigned to a lower value of the iterations ranging from 2 to 0, and r₁ and r₂ are unstructured vectors within the interval [0,1]. The leader wolf exclusively conducts the angling phase. This is the rationale for considering the proper solution. Beta and delta wolves participate in and collaborate on the hunting process. Consequently, the initial three answers are designated as alpha, beta, and delta. Subsequently, the alternative search tools reestablish their positions, directing attention to the most potent agents of inquiry (ω). In the updated placement vector, each grey wolf is defined by the subsequent mathematical expressions71,72:
where \(\overrightarrow {{D_{{\upalpha }} }}\), \(\overrightarrow {{D_{{\upbeta }} }}\), and \(\overrightarrow {{D_{{\updelta }} }}\) are designated vectors utilized to define the wolf’s new placements, \(\overrightarrow {{X_{{\upalpha }} }}\), \(\overrightarrow {{X_{{\upbeta }} }}\), and \(\overrightarrow {{X_{{\updelta }} }}\) represent the position vectors of the grey wolves. At the same time, \(\overrightarrow {{X_{1} }}\), \(\overrightarrow {{X_{2} }}\), and \(\overrightarrow {{X_{3} }}\) denote the position vectors of the wolves. Equations (18)-(20) determine the distances between α, β, \({\updelta }\), and ω, respectively. Equations (21)-(23) delineate the current positions of α, β, and \({\updelta }\), respectively. Finally, Eq. (21) is employed to revise the location based on the placements of the top three. The α, β, and \({\updelta }\) wolves determine their further actions during the optimization process. The alpha solution is recognized as the final answer since it consistently provides an optimal package.
The Grey Wolf Optimizer (GWO) has demonstrated potential in addressing many optimization challenges; yet, it possesses intrinsic restrictions that impact its efficacy. A primary disadvantage is its premature convergence, resulting from an imbalance between exploration and exploitation. This challenge frequently results in unsatisfactory solutions, particularly in intricate, high-dimensional scenarios such as optimal DG location and scale. Furthermore, the conventional GWO is deficient in adaptive parameter regulation, as the alpha (α), beta (β), and gamma (γ) parameters are reduced linearly, hence constraining its capacity to dynamically modify the search process. This leads to diminished local search efficacy in subsequent iterations, hence decreasing solution precision. To address these shortcomings, we offer Modified GWO (MGWO), which incorporates adaptive control methods for α, β, and γ, thereby improving exploration during initial iterations and exploitation in subsequent iterations. This guarantees a more efficient search procedure, diminishes the likelihood of becoming ensnared in local optima, and enhances convergence velocity. The alterations markedly improve the algorithm’s efficacy in power system optimization challenges, as evidenced in the results section.
Steps of implementation of MGWO
The six steps delineate the execution of the GWO method for addressing the DG allocation and sizing issue. Presented herein is a polished and organized elucidation of each phase: Initialization: Specify the number of search agents (NSA), dimensions, maximum iterations, and constraints.
-
Position generation Randomly initialize the positions of wolves (DG locations and dimensions) and evaluate fitness through load flow analysis.
-
Validation of the solution Verify restrictions; eliminate unviable solutions.
-
Revise optimal positions Revise Alpha, Beta, and Delta Wolves utilizing MGWO equations.
-
Reassess positions Calculate updated positions for all wolves and reexamine fitness.
Termination: Cease when maximum iterations or convergence conditions are satisfied; provide optimal DG sites and capacities. Figure 2 presents the flowchart of research methodology integrating MGWO and ETAP.
Pseudo-code of GWO and MGWO algorithms
Basic grey wolf optimization (GWO) algorithm
The Grey Wolf Optimizer (GWO) algorithm emulates the hunting behavior of grey wolves, categorizing solutions into alpha (α), beta (β), and gamma (γ) wolves, while the remaining wolves (omega) adhere to the leaders in the pursuit of the ideal solution. This procedure equilibrates exploration and exploitation, rendering GWO appropriate for addressing intricate and nonlinear optimization challenges. Table 2 presents the pseudo code of the GWO algorithm, outlining the essential steps, including initialization, updating wolf positions based on the leaders, and stopping criteria verification.
Figure 3 depicts the execution phases of the algorithm through a flowchart of GWO, emphasizing the manner in which solutions adjust their placements via dynamic equations that emulate the natural movement of wolves.
MGWO algorithm
An enhanced version of GWO, termed MGWO, was developed with significant enhancements to boost search efficiency and exploration capabilities. The enhancements comprise :
-
Modifying the α, β, and γ parameters to optimize the equilibrium between exploration and exploitation.
-
An enhanced exploration technique to provide superior coverage of the search space.
-
Improved exploitation tactics to expedite convergence to the optimal solution.
-
Adaptive control mechanisms to dynamically modulate search behavior.
Table 3 presents the pseudo-code of MGWO.
Figure 4 delineates the distinctions between GWO and MGWO by presenting the flowchart of MGWO, which demonstrates the alterations implemented to enhance search efficiency and diminish the probability of converging to local optima.
Results and discussion
The algorithm has been built and simulated utilizing MATLAB R2023a. The DG units are characterized as Type-2 DGs. The efficacy of the proposed MGWO algorithm is evaluated and juxtaposed with various optimization methodologies, including the GA Fireworks Algorithm (FWA). The findings illustrate the effectiveness of the MGWO algorithm in ascertaining the best quantity, dimensions, and positioning of DG units inside the IEEE 33-bus test system and 114-bus distribution systems.
Case 1: IEEE 33-bus distribution network
The IEEE 33-bus test system consists of 33 buses and 32 lines, with a generation feeder connected to Bus 1, as illustrated in Fig. 5. In73,74, five and data are presented. The IEEE 33-bus system has a total of 3,715 MW of active power and 2.3 MVAr of reactive power. The overall real PL is 210.99 kW, accompanied by an RPL of 143.12 kVAr, with a weakest voltage profile of 0.9092 p.u at the bus (18), as depicted in75. Table 4 presents the global results after optimum DG’s placement for Type 2 in the IEEE 33-bus test system.
Figure 6 shows the voltage profile, which illustrates that in the base case (base case without DG), there is a substantial voltage decline across the branches, particularly in those distant from the primary source, signifying inadequate VS attributed to energy losses within the network. Integrating DG units results in a progressive voltage enhancement. DG-2 results in a marginal enhancement, probably attributable to its restricted capacity or less-than-ideal position, but DG-3 attains a more significant improvement owing to superior power distribution. DG-4 demonstrates exceptional performance, with voltage levels nearing the perfect value (1 p.u) across the network, signifying a considerable improvement in VS and less energy losses. This enhancement might be attributed to the capacity of DG units to stabilize local voltage and diminish the current extracted from the primary source, therefore augmenting the overall network efficacy. Additionally, the voltage variation was analyzed on the buses where DG units were integrated, as well as on the neighboring buses before and after the integration process. The results showed that the voltage improvement was more pronounced in these areas, as DG units contributed to a considerable voltage increase, enhancing network stability and reducing electrical losses. This additional analysis highlights the importance of carefully selecting DG integration locations to maximize the benefits in terms of power quality and VS. Figure 6 further investigate the effects of DG integration by assessing voltage fluctuations at the buses with DG units and at adjacent buses prior to and subsequent to integration.
The findings indicate that the placement of DG substantially affects local voltage levels, resulting in notable enhancements in stability and power quality. In the base scenario (base scenario without DG), a significant voltage decline transpires throughout the network, especially in regions distant from the primary source, signifying insufficient voltage support and heightened losses attributable to long-distance power transmission. The incorporation of DG units results in a gradual voltage increase, with DG-2 contributing only marginally, either due to its restricted capacity or inadequate positioning. DG-3 exhibits a more significant boost due to its superior placement and optimized power distribution. DG-4 demonstrates the most significant enhancement, with voltage levels nearing the ideal value (1 p.u) throughout the network, underscoring its efficacy in alleviating voltage instability and diminishing PL. Furthermore, Figs. 7 and 8 demonstrate that in the base situation, both APL and RPL are markedly elevated, indicating the network’s inefficiency stemming from its dependence on the principal source for long-distance power transmission.
The incorporation of DG units results in a gradual decrease in these losses. DG-2 results in a marginal reduction in both APL and RPL; however, DG-3 attains a more significant decrease, signifying improved power distribution across the network. DG-4 yields the most efficient outcomes, exhibiting negligible APL and RPL, indicating optimal placement and capacity allocation of DG. The decrease in APL indicates less energy dissipation over extensive distances since DG units locally provide power to loads, alleviating the strain on the primary source. Likewise, the reduction in RPL improves VS by facilitating a more efficient allocation of reactive power throughout the network. These findings underscore the paramount need for strategic DG site selection and capacity planning to optimize network efficiency, minimize losses, and enhance overall performance and stability. The findings indicated that the modified MGWO algorithm surpasses other algorithms, including SCA, IMOEHO, and GAMS, in improving the performance of the IEEE 33-bus test system. The method attained a more significant decrease in overall PL and a notable enhancement in VS inside the network. Furthermore, the MGWO algorithm demonstrated superior efficiency in identifying the ideal locations and capacities for DG units, thereby mitigating voltage swings and enhancing the overall system response. A sensitivity analysis revealing the penetration levels of DG units on network stability performance was carried out by testing the MGWO algorithm. Test results show that when DG integration exceeds a maximum threshold of about 40% of total network demand, voltage disturbances and sudden power interruptions start to behave in a non-linear manner, requiring complex protection systems. The proposed MGWO method demonstrates better performance compared to the conventional GWO method due to a slightly faster convergence time but with 27.3% higher loss reduction and 9.2% higher voltage profile improvement according to Table 5 which confirms that the MGWO method is more successful than traditional and advanced methods in optimizing network resilience and reducing power losses. Table 5 presents a comparison of proposed MGWO with other algorithms.
The scientific rationale for these outcomes is in the enhanced MGWO algorithm’s capacity to integrate the characteristics of the GWO with novel modifications that augment efficiency in navigating the solution space. The method offers a more adaptable search mechanism, dynamically adjusting to the problem’s properties, hence decreasing the probability of becoming ensnared in local optima. This dynamic adaptability facilitates a broader exploration of the solution space, resulting in improved and more precise solutions. Moreover, the enhancements to the algorithm diminish the necessity for intricate computations, expediting the search procedure and enhancing the precision of the findings achieved. The results indicate that the modified MGWO algorithm is an effective instrument for improving the performance of electrical distribution networks in the realm of DG, providing sophisticated and practical solutions to improve network efficiency, attain superior VS, and minimize losses.
Case 2: 114-bus distribution network
The 114-bus distribution network consists of 114 buses and corresponding lines, with power generation originating from a designated feeder. The network was analyzed to assess active and reactive power distribution improvements after DG integration. The MGWO algorithm successfully optimized the placement and sizing of the DG units, achieving a noticeable reduction in APL and RPL while improving the VS across the network. Figure 9 presents the single-line diagram of 114 test bus systems modelled in ETAP software. Table 4 presents the global results after optimum DG’s placement for Type 2 in 114-bus system. Table 6 presents the global results after optimum DG’s placement for type 2 in 114-bus system.
This study underscores the potential of the MGWO algorithm as a robust optimization tool for modern electrical grids, particularly in scenarios involving large-scale distribution systems and the integration of renewable energy sources. Figure 10 illustrates the improvement in the voltage profile of a 114-bus electrical network under two conditions: without DG and with the installation of 4 DG units (With 4 DG).
In the initial scenario, a notable voltage decline occurs at buses distant from the primary source, with voltage levels plummeting to 0.92 as a result of substantial PL attributed to loads and distance. Installing four DG units in the second scenario markedly enhances the voltage, elevating it over 0.95 and providing improved stability across the network, particularly in the remote branches beyond bus 60. This enhancement underscores the function of DG units in mitigating PL, improving power quality, and augmenting the electrical stability of the network. The voltage profile was examined on the buses with integrated DG units and adjacent buses, both prior to and following integration. The results indicated that voltage enhancement was significant in these regions since the DG units facilitated a substantial voltage increase, improving network stability and diminishing electrical losses. This supplementary research underscores the significance of judiciously choosing DG integration sites to optimize advantages regarding power quality and network stability. Figures 11 and 12 present the APL and RPL before and after DG placement, which indicates that in the base case (without DG), APL and RPL are significantly elevated, highlighting inefficiencies in the network attributable to dependence on a centralized power source and extensive transmission distances. This reliance results in significant energy losses. Conversely, the incorporation of DG units results in a significant reduction in both categories of losses. DG-4 exhibits superior efficiency by reducing both APL and RPL, indicative of proper placement and sizing of DG units. The decrease in active losses is attributable to local DG units satisfying demand nearer to the load, hence minimizing transmission losses over extensive distances. The reduction in reactive losses signifies a more equitable distribution of reactive power, which is essential for sustaining VS throughout the network.
It can be seen from the figures that the variations in PL provide a deeper understanding of the influence of DG unit integration on the network. These numbers demonstrate the substantial decrease in PL, both at the specific buses housing DG units and at neighbouring buses, emphasizing the criticality of strategic DG placement and capacity planning. This improved method results in a significant enhancement of the network’s efficiency, guaranteeing reduced losses and more stable voltage conditions, which are essential for the optimal functioning of the electrical distribution system.
The short-circuit analysis
This study conducted a short-circuit analysis utilizing ETAP software to evaluate the impact of DG placement on the protection systems of the radial IEEE 33-bus and 114-bus test systems. The DG units were classified as Type 2, adept at injecting both active and reactive power. ETAP was selected for its sophisticated capabilities in simulating real-world power system conditions, delivering precise short-circuit analysis, and guaranteeing accurate coordination of protection mechanisms following DG integration. ETAP software was utilized to model power flow and analyze short-circuit issues related to DG integration, as depicted in Figs. 5 and 9. The power flow analysis employed the Newton–Raphson method to analyze systems with optimally positioned DGs. Table 7 displays the global outcomes following the optimal location of type 2 DGs in the 114-bus system.
The DG units were integrated into electrical distribution networks based on the outcomes of the MGWO algorithm. Multiple scenarios were executed to evaluate the impact of these units on the performance of both the IEEE 33-bus and 114-bus systems. Initially, short-circuit currents (minimum and maximum) were analyzed prior to integrating DG units at specific buses in the networks. This preliminary analysis aimed to assess the impact of the fault on the network before the incorporation of DGs. Following this, the same analysis was performed after integrating DG units at the selected locations, focusing on monitoring changes in the network’s behavior, particularly in relation to short-circuit currents. Additionally, an extra scenario was conducted to compute the maximum (imax) and minimum (imin) short-circuit current values, both prior to and following the integration of DG units at other designated buses. This comprehensive study aimed to assess the effects of DG integration on short-circuit currents and analyze any alterations in the network’s fault characteristics.
The short-circuit analysis: IEEE 33-bus distribution network
The following analysis focuses on the fault currents (iMin and iMax) before and after the integration of DG units at various bus locations in the IEEE 33-bus network. Four different cases were considered to evaluate the impact of DG integration on the network’s fault current levels.
The analysis focuses on the following scenarios:
-
Before and after integrating DG units into the network.
-
The specific buses studied included Bus 13, Bus 3, Bus 26, and Bus 23. And Bus 15, Bus 5, Bus 28, Bus 25
-
Locations for DG integration include Bus 14, Bus 4, Bus 27, and Bus 24.
Figure 13 presents the recorded values of the minimal Fault current (iMin) in the network before and after the incorporation of DG units at different bus locations. The emphasis was on examining the influence of DG integration on fault current at buses before and after the DG sites. An escalation in fault current was noted in both the buses before and after the DG integration locations. Nevertheless, the rise was far more significant in the buses prior to the DG. This suggests that DG integration exerts a more pronounced impact on buses immediately preceding the DG sites, likely due to the interaction between the network and the integrated units, resulting in alterations in fault current levels at these locations. This transition necessitates modifications in protective methods to guarantee the system’s safety and efficiency in the occurrence of failures. Figure 14 displays the values of the maximum fault current (iMax) before and after integrating DG units into the network.
As shown in Table 1, the emphasis was on the buses that preceded and succeeded the DG integration sites. An observable rise in the maximum fault current was detected in the buses prior to the DG integration sites, accompanied by a comparable increase in the buses subsequent to the DG locations. Nonetheless, the increase in iMax was more significant in the buses prior to the DG. This indicates that DG integration substantially elevates the maximum fault current, particularly in buses next to the integration sites, hence requiring a reevaluation of protection schemes to address these alterations in fault current levels.
Impact of short circuit on voltage regulation
Figure 15 illustrates the impact of short-circuit currents on the voltage profile at the integration bus and its neighbouring buses before and after the integration. Four DG units were integrated into the system, and the figures represent several scenarios:
-
Voltage profile without DG (Base case).
-
Voltage profile with 4 DG.
-
Short-circuit With DG.
The initial results indicated that the incorporation of four DG units into the system markedly enhanced VS during typical operating conditions by diminishing the voltage oscillations noted in the base scenario (without DG). Nonetheless, when a short circuit transpired in the network with integrated DG units, a significant voltage decline was noted at the buses at the integration point. The incorporation of DG units does not mitigate the effects of short circuits; rather, it intensifies this impact at the integration point and adjacent buses. The rationale for these outcomes is that the incorporation of DG units exacerbates the adverse impacts of short circuits. During a short circuit, DG units facilitate an increased current flow at the connected terminals, hence exacerbating the short-circuit effects at these sites. An elevated current flow may result in a significant decrease in voltage at the integration point and adjacent buses. This event illustrates the difficulties encountered by the system when DG units are integrated during a short circuit, highlighting the necessity to assess the effects of short circuits on protection schemes and control devices. Consequently, enhancing network protection measures during the integration of DG is crucial to alleviate negative impacts on VS and overall system performance.
Impact of short circuit on PL
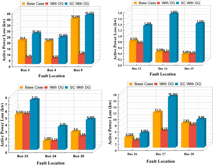
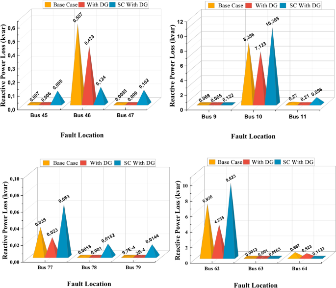
Figure 16 illustrates the impact of short-circuit currents on APL and RPL in the network when integrating DG units. The APL and RPL were analyzed across several scenarios, including the base case without DG. Figure 17 presents the impact of the Short-Circuit on the RPL-IEEE 33Bus.
The analysis of APL and RPL was conducted across multiple situations, including the baseline case without DG, the case with four DG units, and the scenario including a short circuit with DG. The initial results indicated that the incorporation of four DG units into the system markedly diminished both APL and RPL relative to the baseline scenario (without DG), hence enhancing the network’s efficiency during standard operating conditions. Nonetheless, when a short circuit transpired in the network with integrated DG units, a significant rise in both APL and RPL was detected at the integration point and adjacent buses. The incorporation of DG units did not mitigate the effects of short circuits on PL; instead, it exacerbated these losses at the integration point and adjacent regions. The rationale for these outcomes is found in the conduct of the DG units during short-circuit situations. During standard operation, DG units mitigate both APL and RPL by meeting local load demands and enhancing overall system efficiency. During a short circuit, the elevated fault current from DG units results in increased losses of both active and reactive power at the integration points and adjacent buses. The elevated fault current from the DG units during a short circuit leads to increased PL in the network, adversely affecting power distribution. This occurrence underscores the necessity for robust protective measures to alleviate the detrimental impacts of short circuits on PL, particularly in networks with DG units. Consequently, the incorporation of DG units into the network necessitates a meticulous evaluation of their influence on PL during fault scenarios. Effective solutions must be employed to mitigate these losses and guarantee the system’s efficient functioning.
Short-circuit analysis: 114-bus distribution network
The same scenarios and studies were applied to the 114-bus distribution network, with the integration of DG units being different from the 33-bus network, as the DG was integrated at various locations. Figure 18 presents the minimum short circuit before and after DG-114 Bus. Figure 19 presents the maximum short circuit before and after DG-114 Bus. The analysis focuses on the following scenarios:
-
Before and after integrating DG units into the network.
-
The specific buses studied included Bus 9, Bus 77, Bus 62, and Bus 45. And Bus 11, Bus 79, Bus 64, Bus 47
-
Locations for DG integration include Bus 10, Bus 78, Bus 63, and Bus 46.
Increases in fault currents (iMin and iMax) were observed in the buses preceding and following the DG integration sites in the 114-bus network. As with the first network, the increase in fault current was more pronounced in the buses preceding the DG integration compared to those following the integration sites, indicating the impact of DG integration on fault currents at these points. Although the integration sites were different in the 114-bus network, the results were similar to those obtained in the 33-bus network, suggesting that the effect of DG integration on fault currents is a general phenomenon that can be observed in various distribution networks, even with different integration locations. When a DG unit is embedded in the network, its contribution to the fault current (Ik) reduces the current measured by the feeder relay (I1). If the DG unit is larger, the injected Fault current will be higher. Additionally, if the unit is located closer to the grid, a higher I1 will be observed due to the lower impedance of the line76,77. Therefore, it can be concluded that the impact of DG integration increases with the size of the unit and its proximity to the feeder. This results in a failure of the protection devices to cover their designed protective zones, as DG integration decreases the sensitivity of these devices, thereby reducing the protected distance.
Impact of short circuit on voltage regulation
The identical conditions examined in the IEEE 33-bus network were also investigated in a more extensive distribution network (114-bus). The results indicated analogous effects, characterized by a significant voltage decline at the integration point and adjacent buses during a short circuit. While the incorporation of DG units enhanced VS during standard operational conditions, the effects of short circuits became more significant when these units were assimilated into the broader network. The results indicate that incorporating DG into extensive distribution networks may intensify the impact of short circuits at the connection points. Consequently, it is imperative to improve protective mechanisms and design methodologies to guarantee VS and mitigate detrimental effects during fault conditions, particularly in extensive network configurations. Figure 20 presents the impact of short-circuit on the voltage profile in the 114-Bus Network.
Impact of short circuit on PL
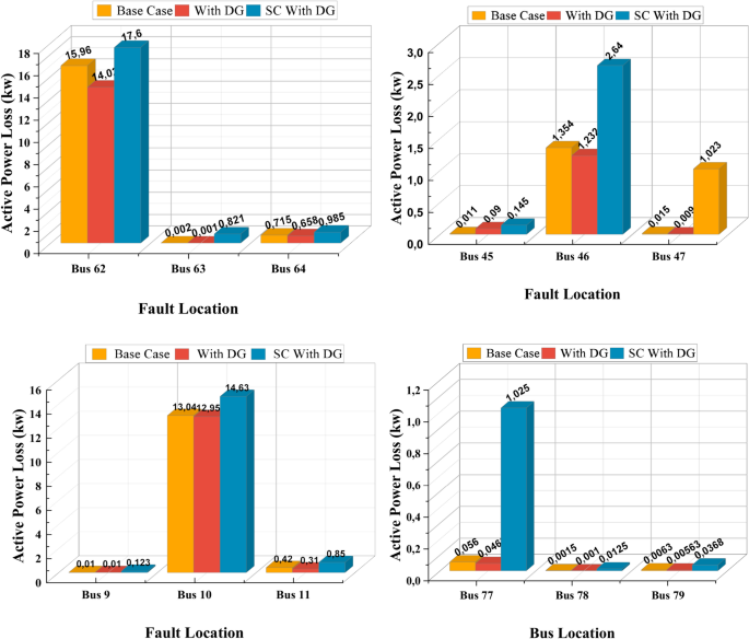
The impact of short circuits on APL and RPL was studied in a larger 114-bus distribution network using the same scenarios applied to the IEEE 33-bus network. Figures 21 and 22 present the impact of short-circuit on the APL and RPL, respectively. The findings indicated that the incorporation of DG units into the network enhanced efficiency and diminished both APL and RPL during standard operating conditions. Nonetheless, a substantial rise in losses was noted at the integration points and adjacent buses during a short circuit. This augmentation results from the input of DG units, which causes an escalation in fault currents, hence amplifying PL in the connected regions. Consequently, whereas DG units enhance network efficiency under standard conditions, they may intensify APL and RPL under fault scenarios. This signifies the necessity to reevaluate protection tactics and design methodologies when including DG units in extensive distribution networks to minimize losses during faults, hence reaching a balance between enhancing efficiency and mitigating adverse effects during such events.
The impact of short circuits on APL and RPL was studied in a larger 114-bus distribution network using the same scenarios applied to the IEEE 33-bus network. The findings indicated that the incorporation of DG units into the network enhanced efficiency and diminished both APL and RPL during standard operating conditions. Nonetheless, a substantial rise in losses was noted at the integration points and adjacent buses during a short circuit. This augmentation results from the input of DG units, which causes an escalation in fault currents, hence amplifying PL in the connected regions. Consequently, whereas DG units enhance network efficiency under standard conditions, they may intensify APL and RPL under fault scenarios. This signifies the necessity to reevaluate protection tactics and design methodologies when including DG units in extensive distribution networks to minimize losses during faults, hence reaching a balance between enhancing efficiency and mitigating adverse effects during such events.
Conclusion
In this work, a hybrid optimization framework was developed by integrating the MGWO algorithm with the ETAP software to improve the efficiency, adaptability, and reliability of power distribution networks by optimizing DG placement and sizing. The MGWO algorithm utilized dynamic alteration of the alpha (α), beta (β), and gamma (γ) parameters to improve the algorithm’s exploration and exploitation balance, avoiding premature convergence, and enhancing solution quality, and by altering the initial estimates dynamically. The proposed adaptive control strategy allowed the algorithm to address the complexity and nonlinearity of DG optimization problems, providing improved operational performance and increased stability of the system. The effectiveness of the method was evaluated using IEEE 33-bus test system, and the 114-bus large scale test system. The integration of DG caused a significant reduction in power losses and improved voltage stability. Additionally, the effect of integrating DG on the fault current behavior was investigated. Short-circuit studies conducted in ETAP showed higher fault current levels with the integration of DG, which would require adaptive protection settings to retain network resilience. The MGWO algorithm achieved higher accuracy than the traditional optimization methods, and a faster convergence rate across complex network conditions was also observed. The contributions of the proposed MGWO-based approach are demonstrated by the following key results. APL was reduced by 69.7% in the IEEE 33-bus system and by 65.2% in the 114-bus system, while RPL decreased by 69.6% and 64.9%, respectively. VS increased by 7.3% and 6.5% in the IEEE 33-bus and 114-bus systems, respectively, demonstrating the MGWO’s better performance in stabilizing the voltage profile. Imax increased by 21.5% after the integration of distributed generation, indicating the need for modified protection coordination. The MGWO algorithm achieved faster convergence and achieved a better solution than the conventional approaches, contributing to a more reliable DG placement and sizing. Future research will focus on applying and testing the proposed framework on real power grid like the Algerian systems incorporating the artificial neural networks (ANN) to improves optimization process efficiency together with prediction accuracy under dynamic operation conditions. Future works will also focus on using various renewable power generators like wind and solar in protective decision-making mechanisms which can adapt to growing system voltage uncertainty and elevated fault conditions. Different network configurations alongside various load tests will prove the practical value and long-term dependable nature of the MGWO-ANN-ETAP based approach by verifying its robustness.
Data availability
The datasets generated and/or analyzed during the current study are available from the corresponding author on reasonable request.
Abbreviations
- DG:
-
Distributed generation
- EDN:
-
Electricity distribution network
- MGWO:
-
Modified grey wolf optimization
- GWO:
-
Grey Wolf optimization
- ETAP:
-
Electrical transient analyzer program
- VS:
-
Voltage stability
- APL:
-
Active power losses
- RPL:
-
Reactive power losses
- PL:
-
Power losses
- PV:
-
Photovoltaic
- IRENA:
-
International renewable energy agency
- LP:
-
Linear programming
- IHHO:
-
Improved Harris Hawks optimizer
- BOA:
-
Bat optimization algorithm
- AIS:
-
Artificial immune system
- GA:
-
Genetic algorithm
- BFOA:
-
Bacterial foraging optimization algorithm
- IEHOA:
-
Improved elephant herd optimization algorithm
- WIPSO:
-
Weight improved particle swarm optimization
- GSA:
-
Gravitational search algorithm
- MGA:
-
Modified genetic algorithm
- SCA:
-
Sine cosine algorithm
- FWA:
-
Fireworks algorithm
- NSA:
-
Number of search agents
- NR:
-
Newton Raphson
- ANN:
-
Artificial neural networks
References
Ahmed, K., Sakravdia, D. & Sharma, C. Impact analysis of combining distributed generation with charging loads for electric vehicles accounting reliability. Energy Stor. https://doi.org/10.1002/est2.70138 (2025).
Adiche, S. et al. Advanced control strategy for AC microgrids: A hybrid ANN-based adaptive PI controller with droop control and virtual impedance technique. Sci. Rep. 14, 31057. https://doi.org/10.1038/s41598-024-82193-1 (2024).
Agajie, T. F., Salau, A. O., Hailu, E. A. & Awoke, Y. A. Power loss mitigation and voltage profile improvement with distributed generation using grid-based multi-objective harmony search algorithm. J. Electr. Electron. Eng. 13(2), 5–10 (2020).
Alstone, P., Gershenson, D. & Kammen, D. Decentralized energy systems for clean electricity access. Nat. Clim. Chang. 5, 305–314. https://doi.org/10.1038/nclimate2512 (2015).
Achar, A. et al. Lyapunov-based robust power controllers for a wind farm using parallel multicell converters. Przegląd Elektrotech. 99, 247–254. https://doi.org/10.15199/48.2023.04.43 (2023).
Ilyushin, P., Mujohn, M. M. & Boyko, E. Increased effectiveness of photovoltaic power stations for frequency control in off-grid regions. in 2024 International Ural Conference on Electrical Power Engineering (UralCon) 254–259 (IEEE, 2024). https://doi.org/10.1109/uralcon62137.2024.10718994.
Swadi, M. et al. Investigating and predicting the role of photovoltaic, wind, and hydrogen energies in sustainable global energy evolution. Glob. Energy Interconnect. 7, 429–445. https://doi.org/10.1016/j.gloei.2024.08.009 (2024).
Achar, A., Djeriri, Y., Benbouhenni, H., Bouddou, R. & Elbarbary, Z. M. S. Modified vector-controlled DFIG wind energy system using robust model predictive rotor current control. Arab. J. Sci. Eng. https://doi.org/10.1007/s13369-024-09310-0 (2024).
Harkouss, R., Habli, S. & Dimassi, A. Carbon criminal: A literature review chasing the smooth break of renewable energy into the power spectrum. Arab. J. Sci. Eng. https://doi.org/10.1007/s13369-024-09920-8 (2025).
Arévalo, P. & Jurado, F. Impact of artificial intelligence on the planning and operation of distributed energy systems in smart grids. Energies 17, 4501. https://doi.org/10.3390/en17174501 (2024).
Aghahadi, M. et al. Digitalization processes in distribution grids: A comprehensive review of strategies and challenges. Appl. Sci. 4(11), 4528. https://doi.org/10.3390/app14114528 (2024).
Purkait, P., Basu, M. & Nath, S. R. Renewable energy integration to electric power grid: Opportunities, challenges, and solutions. in Energy, Environment, and Sustainability, 37–100. (Springer Nature Singapore, Singapore, 2024). https://doi.org/10.1007/978-981-97-1406-3_3
Zeggai, A., Benhamida, F. & Bouddou, R. Power system analysis of seawater desalination plant in Algeria with different load scenarios. J. Eur. Syst. Autom. 54, 423–434. https://doi.org/10.18280/jesa.540305 (2021).
Fettah, K. et al. Optimal integration of photovoltaic sources and capacitor banks considering irradiance, temperature, and load changes in electric distribution system. Sci. Rep. https://doi.org/10.1038/s41598-025-85484-3 (2025).
Saxena, V. et al. Navigating the complexities of distributed generation: Integration, challenges, and solutions. Energy Rep. 12, 3302–3322. https://doi.org/10.1016/j.egyr.2024.09.017 (2024).
Bouddou, R., Benhamida, F. & Belgacem, M. Profit analysis and optimization in a deregulated electricity market using DCOPF based LMP. in 2019 International Conference on Applied Automation and Industrial Diagnostics (ICAAID) vol. 1 1–6, https://doi.org/10.1109/icaaid.2019.8934977 (IEEE, 2019).
Cheng, Q., Zhang, Z., Wang, Y. & Zhang, L. A review of distributed energy systems: Technologies, classification, and applications. Sustainability https://doi.org/10.3390/su17041346 (2025).
Haba, M., Benhamida, F., Souag, S., Bouddou, R. & Graa, A. Post-contingency assessment by sensitivity factors for power system congestion. Eng. Rev. https://doi.org/10.30765/er.2518 (2024).
Qiao, J. et al. Active and reactive power coordination optimization for active distribution network considering mobile energy storage system and dynamic network reconfiguration. Electr. Power Syst. Res. 238, 111080. https://doi.org/10.1016/j.epsr.2024.111080 (2025).
Ravi, T., Kumar, K., Dhanamjayulu, C., Khan, B. & Rajalakshmi, K. Analysis and mitigation of PQ disturbances in grid connected system using fuzzy logic based IUPQC. Sci. Rep. https://doi.org/10.1038/s41598-023-49042-z (2023).
Agajie, T. F., Gebru, F. M., Salau, A. O. & Aeggegn, D. B. Investigation of distributed generation penetration limits in distribution networks using multi-objective particle swarm optimization technique. J. Electr. Eng. Technol. 18, 4025–4038. https://doi.org/10.1007/s42835-023-01457-4 (2023).
Sultan, A. S., Abdelaziz, A. Y., Attia, M. A. & Ray, P. Investigation of DG units influence on 66 kV sub-transmission system network considering region load growth: A case study. Int. J. Emerg. Electr. Power Syst https://doi.org/10.1515/ijeeps-2023-0166 (2024).
Bajaj, M. & Singh, A. K. Grid integrated renewable DG systems: A review of power quality challenges and state-of-the-art mitigation techniques. Int. J. Energy Res. 44, 26–69. https://doi.org/10.1002/er.4847 (2020).
Yachir, A. et al. Improved sliding mode control of a wind turbine system based on a developed permanent magnet synchronous generator. J. Renew. Energ. https://doi.org/10.54966/jreen.v1i3.1304 (2024).
Zhang, D., Shafiullah, G. M., Das, C. K. & Wong, K. W. Optimal allocation of battery energy storage systems to improve system reliability and voltage and frequency stability in weak grids. Appl. Energy 377, 124541. https://doi.org/10.1016/j.apenergy.2024.124541 (2025).
Qusayer, A. F. & Hussain, S. M. S. Communication assisted protection scheme based on artificial neural networks for multi-microgrid. IEEE Access 12, 24442–24452. https://doi.org/10.1109/access.2024.3352027 (2024).
Pujari, R. & Alam, M. N. Review on distance relaying for the protection of modern power system networks. IEEE Access https://doi.org/10.1109/access.2025.3539919 (2025).
Islam, K., Kim, D. & Abu-Siada, A. A review on adaptive power system protection schemes for future smart and micro grids, challenges and opportunities. Electric Power Syst. Res. 230, 110241. https://doi.org/10.1016/j.epsr.2024.110241 (2024).
Haruna, H. M., Badrududeen, T. U., Ayanlade, S. O. & Salau, A. O. Investigation of power system stability enhancement through multiple distributed generations. J. Electr. Electron. Eng. 16(2), 25–30 (2023).
Valencia-Díaz, A., Hincapié, R. A. & Gallego, R. A. Optimal placement and sizing of distributed generation in electrical DC distribution networks using a stochastic mixed-integer LP model. Arab. J. Sci. Eng. https://doi.org/10.1007/s13369-024-09655-6 (2024).
Houssein, E. H., Saeed, M. K., Hu, G. & Al-Sayed, M. M. Metaheuristics for solving global and engineering optimization problems: Review, applications, open issues and challenges. Arch. Comput. Methods Eng. 31, 4485–4519. https://doi.org/10.1007/s11831-024-10168-6 (2024).
Bouddou, R., Benhamida, F., Zeggai, A., Ziane, I. & Belgacem, M. The dynamic economic dispatch in an integrated wind-thermal electricity market using simulated annealing algorithm. Przeglad Elektrotechn 96, 55–60. https://doi.org/10.15199/48.2020.11.12 (2020).
Wang, Y. & Xiong, G. Metaheuristic optimization algorithms for multi-area economic dispatch of power systems: Part I—a comprehensive survey. Artif. Intell. Rev. https://doi.org/10.1007/s10462-024-11070-0 (2025).
Mirjalili, S., Mirjalili, S. M. & Lewis, A. Grey wolf optimizer. Adv. Eng. Softw. 69, 46–61. https://doi.org/10.1016/j.advengsoft.2013.12.007 (2014).
Negi, G., Kumar, A., Pant, S. & Ram, M. GWO: A review and applications. Int. J. Syst. Assur. Eng. Manag. 12, 1–8. https://doi.org/10.1007/s13198-020-00995-8 (2021).
Zhu, D. et al. Cumulative significant advances in particle swarm optimization from 2018 to the present: Variants, analysis and applications. Arch. Comput. Methods Eng https://doi.org/10.1007/s11831-024-10185-5 (2025).
Singh, A. R. et al. Advanced microgrid optimization using price-elastic demand response and greedy rat swarm optimization for economic and environmental efficiency. Sci. Rep. https://doi.org/10.1038/s41598-025-86232-3 (2025).
Alyu, A. B., Salau, A. O., Khan, B. & Eneh, J. N. Hybrid GWO-PSO based optimal placement and sizing of multiple PV-DG units for power loss reduction and voltage profile improvement. Sci. Rep. 13(1), 6903. https://doi.org/10.1038/s41598-023-34057-3 (2023).
Ahmadi, B., Younesi, S., Ceylan, O. & Ozdemir, A. An advanced grey wolf optimization algorithm and its application to planning problem in smart grids. Soft Comput. 26, 3789–3808. https://doi.org/10.1007/s00500-022-06767-9 (2022).
Sanjay, R., Jayabarathi, T., Raghunathan, T., Ramesh, V. & Mithulananthan, N. Optimal allocation of distributed generation using hybrid grey wolf optimizer. IEEE Access 5, 14807–14818. https://doi.org/10.1109/access.2017.2726586 (2017).
Akhtar, S. et al. Short-term load forecasting models: A review of challenges, progress, and the road ahead. Energies 16, 4060. https://doi.org/10.3390/en16104060 (2023).
Montoya, O. D., Gil-González, W. & Grisales-Noreña, L. F. An exact MINLP model for optimal location and sizing of DGs in distribution networks: A general algebraic modeling system approach. Ain Shams Eng. J. 11, 409–418. https://doi.org/10.1016/j.asej.2019.08.011 (2020).
Selim, A., Kamel, S., Alghamdi, A. S. & Jurado, F. Optimal placement of DGs in distribution system using an improved Harris Hawks optimizer based on single- and multi-objective approaches. IEEE Access 8, 52815–52829. https://doi.org/10.1109/access.2020.2980245 (2020).
Subbaramaiah, K. & Sujatha, P. Optimal DG unit placement in distribution networks by multi-objective whale optimization algorithm & its techno-economic analysis. Electr. Power Syst. Res. 214, 108869 (2023).
Kc, B. & Alkhwaildi, H. Multi-objective TLBO and GWO-based optimization for placement of renewable energy resources in distribution system. Comput. Res. Progress Appl. Sci. Eng. https://doi.org/10.52547/crpase.7.2.2356 (2021).
Prasad, K. R. K. V. et al. A multi-objective strategy for optimal DG and capacitors placement to improve technical, economic, and environmental benefits. Int. J. Electr. Power Energy Syst. 165, 110491 (2025).
Gopu, P., Naaz, S. & Aiman, K. Optimal placement of distributed generation using genetic algorithm. in 2021 International Conference on Advances in Electrical, Computing, Communication and Sustainable Technologies (ICAECT) 1–6 (IEEE, 2021). https://doi.org/10.1109/icaect49130.2021.9392496.
Mohamed Imran, A. & Kowsalya, M. Optimal size and siting of multiple distributed generators in distribution system using bacterial foraging optimization. Swarm Evol. Comput. 15, 58–65. https://doi.org/10.1016/j.swevo.2013.12.001 (2014).
Meena, N. K., Parashar, S., Swarnkar, A., Gupta, N. & Niazi, K. R. Improved elephant herding optimization for multiobjective DER accommodation in distribution systems. IEEE Trans. Industr. Inform. 14, 1029–1039. https://doi.org/10.1109/tii.2017.2748220 (2018).
Selim, A., Kamel, S., Mohamed, A. A. & Elattar, E. E. Optimal allocation of multiple types of distributed generations in radial distribution systems using a hybrid technique. Sustainability 13, 6644. https://doi.org/10.3390/su13126644 (2021).
Bayat, A. & Bagheri, A. Optimal active and reactive power allocation in distribution networks using a novel heuristic approach. Appl. Energy 233–234, 71–85. https://doi.org/10.1016/j.apenergy.2018.10.030 (2019).
Rajendran, A. & Narayanan, K. Optimal multiple installation of DG and capacitor for energy loss reduction and loadability enhancement in the radial distribution network using the hybrid WIPSO–GSA algorithm. Int. J. Ambient Energy 41, 129–141. https://doi.org/10.1080/01430750.2018.1451371 (2020).
Ahmad, S. & ul Asar, A. Reliability enhancement of electric distribution network using optimal placement of distributed generation. Sustainability 13, 11407. https://doi.org/10.3390/su132011407 (2021).
Cikan, M., Cikan, N. N. & Kekezoglu, B. Determination of optimal island regions with simultaneous DG allocation and reconfiguration in power distribution networks. IET Renew. Power Gener. https://doi.org/10.1049/rpg2.12942 (2025).
AbdelQader, D. A. & Alkhayyat, M. T. Power loss minimization of an IEEE 33 bus radial distribution grid using system reconfiguration with genetic algorithm. Diagnostyka https://doi.org/10.29354/diag/197296 (2025).
Chu, Y. & Hu, F. Presenting a new method for optimal placement of reliability-based distributed generation units in the transmission system considering the demand response schedule. Electr. Eng. (Berl., Print) 107, 79–93. https://doi.org/10.1007/s00202-024-02504-7 (2025).
Babu Magadum, R. & Kulkarni, D. B. Optimal placement and sizing of multiple distributed generators in power distribution networks. Int. J. Ambient Energy https://doi.org/10.1080/01430750.2023.2288136 (2024).
Bouchikhi, N., Boussadia, F., Habchi, Y., Haouam, I. & Bouddou, R. Optimal sizing and placement of distributed generation with short-circuit analysis using a combined technique based on modified PSO and ETAP. in 2024 2nd International Conference on Electrical Engineering and Automatic Control (ICEEAC) 1–6 (IEEE, 2024). https://doi.org/10.1109/iceeac61226.2024.10576230.
Bouchikhi, N. et al. A Modified Genetic Algorithm for optimizing the placement and sizing of distributed generators in radial distribution systems including security analysis. J. Renew. Energ. 1, 10. https://doi.org/10.54966/jreen.v1i3.1298 (2024).
Gönen, T., Chee-Wooi, T. & Mehrizi-Sani, A. Electric Power Distribution Engineering: International Student Edition (Taylor & Francis, 2024). https://doi.org/10.1201/9781003129721.
Bouddou, R., Benhamida, F., Haba, M., Belgacem, M. & Meziane, M. A. Simulated annealing algorithm for dynamic economic dispatch problem in the electricity market incorporating wind energy. Ingénierie des Systèmes d Inf 25, 719–727. https://doi.org/10.18280/isi.250602 (2020).
Nahak, N. & Mallick, R. K. Damping of power system oscillations by a novel DE-GWO optimized dual UPFC controller. Eng. Sci. Technol. Int. J. 20, 1275–1284. https://doi.org/10.1016/j.jestch.2017.09.001 (2017).
Haider, W. et al. Voltage profile enhancement and loss minimization using optimal placement and sizing of distributed generation in reconfigured network. Machines 9, 20. https://doi.org/10.3390/MACHINES9010020 (2021).
Zare, K. & (Eds. )., N. S. Operation of distributed energy resources in smart distribution networks. https://doi.org/10.1016/C2017-0-02272-3 (2018).
Suresh, M. C. V. & Edward, J. B. A hybrid algorithm based optimal placement of DG units for loss reduction in the distribution system. Appl. Soft Comput. 91, 106191. https://doi.org/10.1016/j.asoc.2020.106191 (2020).
Faris, H., Aljarah, I., Al-Betar, M. A. & Mirjalili, S. Grey wolf optimizer: A review of recent variants and applications. Neural Comput. Appl. 30, 413–435. https://doi.org/10.1007/s00521-017-3272-5 (2018).
Liu, Y., As’arry, A., Hassan, M. K., Hairuddin, A. A. & Mohamad, H. Review of the grey wolf optimization algorithm: Variants and applications. Neural Comput. Appl. 36, 2713–2735. https://doi.org/10.1007/s00521-023-09202-8 (2024).
Elsisi, M. Optimal design of adaptive model predictive control based on improved GWO for autonomous vehicle considering system vision uncertainty. Appl. Soft Comput. 158, 111581. https://doi.org/10.1016/j.asoc.2024.111581 (2024).
Hatta, N. M., Zain, A. M., Sallehuddin, R., Shayfull, Z. & Yusoff, Y. Recent studies on optimisation method of grey wolf optimiser (GWO): A review (2014–2017). Artif. Intell. Rev. 52, 2651–2683. https://doi.org/10.1007/s10462-018-9634-2 (2019).
Makhadmeh, S. N. et al. Recent advances in grey wolf optimizer, its versions and applications: Review. IEEE Access 12, 22991–23028. https://doi.org/10.1109/ACCESS.2023.3304889 (2024).
Dong, L. et al. An improved grey wolf optimization with multi-strategy ensemble for robot path planning. Sensors (Basel) 22, 6843. https://doi.org/10.3390/s22186843 (2022).
Joshi, H. & Arora, S. Enhanced grey wolf optimization algorithm for global optimization. Fundam. Inform. 153, 235–264. https://doi.org/10.3233/fi-2017-1539 (2017).
Manafi, H., Ghadimi, N., Ojaroudi, M. & Farhadi, P. Optimal placement of distributed generations in radial distribution systems using various PSO and DE algorithms. Elektron. Ir Elektrotech. 19, 53–57. https://doi.org/10.5755/j01.eee.19.10.1941 (2013).
Meddeb, A., Sahbeni, N., Jmii, H. & Chebbi, S. Impact of distributed generation on the protection system in Tunisian distribution network. in 2018 15th International Multi-Conference on Systems, Signals & Devices (SSD) 514–520, https://doi.org/10.1109/ssd.2018.8570584 (IEEE, 2018).
Nuhanović, A., Hivziefendić, J. & Hadžimehmedović, A. Distribution network reconfiguration considering power losses and outages costs using genetic algorithm. J. Electr. Eng. 64, 265–271. https://doi.org/10.2478/jee-2013-0039 (2013).
Gallery, T., Martinez, L. & Klopotan, D. Impact of distributed generation on distribution network protection. ESBI Eng. Fac. Manag. Ireland (2005).
Sadeh, J., Bashir, M. & Kamyab, E. Effect of distributed generation capacity on the coordination of protection system of distribution network. in 2010 IEEE/PES Transmission and Distribution Conference and Exposition: Latin America (T&D-LA) 110–115 (IEEE, 2010). https://doi.org/10.1109/tdc-la.2010.5762869.
Funding
No funding was received for the research.
Author information
Authors and Affiliations
Contributions
Nasreddine Bouchikhi: Conceptualization, Data curation, formal analysis Fethi Boussadia: Methodology, Writing—original draft, writing—review and editing Riyadh Bouddou: Investigation, Formal analysis Ayodeji Olalekan Salau: Conceptualization, Data curation, formal analysis Saad Mekhilef: Writing—original draft, writing—review and editing. Chaima Gouder: Investigation, Formal analysis Sarra Adiche: Methodology, Formal analysis, writing—review and editing. Abdallah Belabbes: Methodology, Writing—original draft, writing—review and editing.
Corresponding author
Ethics declarations
Competing interests
The authors declare no competing interests.
Consent to participate
Written informed consent was obtained from all individual participants included in the study.
Consent to publish
Informed consent was obtained from all individual participants included in the study.
Additional information
Publisher’s note
Springer Nature remains neutral with regard to jurisdictional claims in published maps and institutional affiliations.
Rights and permissions
Open Access This article is licensed under a Creative Commons Attribution-NonCommercial-NoDerivatives 4.0 International License, which permits any non-commercial use, sharing, distribution and reproduction in any medium or format, as long as you give appropriate credit to the original author(s) and the source, provide a link to the Creative Commons licence, and indicate if you modified the licensed material. You do not have permission under this licence to share adapted material derived from this article or parts of it. The images or other third party material in this article are included in the article’s Creative Commons licence, unless indicated otherwise in a credit line to the material. If material is not included in the article’s Creative Commons licence and your intended use is not permitted by statutory regulation or exceeds the permitted use, you will need to obtain permission directly from the copyright holder. To view a copy of this licence, visit http://creativecommons.org/licenses/by-nc-nd/4.0/.
About this article
Cite this article
Bouchikhi, N., Boussadia, F., Bouddou, R. et al. Optimal distributed generation placement and sizing using modified grey wolf optimization and ETAP for power system performance enhancement and protection adaptation. Sci Rep 15, 13919 (2025). https://doi.org/10.1038/s41598-025-98012-0
Received:
Accepted:
Published:
Version of record:
DOI: https://doi.org/10.1038/s41598-025-98012-0
Keywords
This article is cited by
-
Modified cheetah optimizer for optimal techno-economic placement of distributed energy source planning
Discover Sustainability (2025)
























