Abstract
This study aimed to establish a noninvasive preoperative radiomics–clinical model combining contrast–enhanced computed tomography (CT) features and serum biomarkers to accurately predict the risk of heterogeneous recurrence patterns in resectable pancreatic ductal adenocarcinoma (PDAC), with the goal of optimizing personalized postoperative management. This retrospective study included 290 patients with pathologically confirmed PDAC who underwent curative resection between May 2014 and December 2023. Patients were randomly divided into the training and test cohorts: overall recurrence model (n = 203 vs. 87), local recurrence model (n = 132 vs. 56), and distant metastasis model (n = 111 vs. 47). Radiomic features extracted from preoperative contrast–enhanced CT were selected using Lasso–Cox regression and combined with clinical variables to construct combined models. Model performance was assessed using time–dependent AUC curves, calibration curves, and decision curve analysis. Radiomics–clinical models incorporating carbohydrate antigen 19–9 (CA19–9), American Joint Committee on Cancer (AJCC) stage, tumor enhancement patterns, and radiomics scores achieved superior predictive performance over radiomics–only or clinical–only models. The 12–month AUCs were 0.801 for overall recurrence, 0.896 for distant metastasis, and 0.808 for local recurrence. Calibration and DCA confirmed good agreement and clinical utility. High– and low–risk groups stratified by model scores showed significantly different RFS (P < 0.001). The preoperative radiomics–clinical model accurately predicts the risk of distinct recurrence patterns in resectable PDAC, supporting individualized treatment planning.
Introduction
Pancreatic ductal adenocarcinoma (PDAC) is a highly malignant cancer and the fourth leading cause of cancer–related death worldwide1. Due to the high recurrence rate after curative resection, the five–year overall survival rate remains around 10%2. Consequently, preventing postoperative recurrence is critical for improving overall survival. Studies have shown that PDAC recurrence patterns primarily include local recurrence and distant metastasis3. Furthermore, pathological lymph node metastasis status after surgery may serve as a predictor for these recurrence patterns4. However, preoperative prediction of recurrence patterns remains an unmet need, hindering the development of targeted treatment strategies. Accurate preoperative prediction would allow for personalized, precision therapies, reduce postoperative recurrence risks, and improve patient outcomes.
Radiomics, an advanced imaging analysis technique, extracts a large number of features from medical images for quantitative analysis. It offers more comprehensive information than traditional methods and provides reliable preoperative predictive capabilities5,6. Previous studies have linked CT radiomic features to tumor biology, phenotypes, invasiveness, treatment response, and prognosis7. In pancreatic cancer, CT–based radiomic features have shown promise in predicting postoperative recurrence in various cancers, including chondrosarcoma, hepatocellular carcinoma, and cholangiocarcinoma8,9,10,11. Specifically, Wang F developed a machine learning model based on contrast–enhanced CT radiomics to predict overall survival in PDAC patients after resection. This indicates that preoperative contrast–enhanced CT radiomics may have significant predictive value for assessing PDAC prognosis.
However, to date, no studies have established an effective predictive model for distinct recurrence patterns after PDAC curative resection using preoperative contrast–enhanced CT radiomics. Therefore, this study aims to develop a radiomics–clinical predictive model combining preoperative contrast–enhanced CT radiomic features with clinical characteristics, enabling non–invasive, accurate preoperative prediction of recurrence risks. By utilizing preoperative assessments, this model will assist surgeons in making proactive decisions, preventing recurrence, and ultimately improving patient prognosis.
Patients and methods
Patients
This study adhered to the Declaration of Helsinki and was approved by the Clinical Research Ethics Committee of Qingdao University (QDFY–WZLL–30061), and the requirement for informed consent was waived by the Clinical Research Ethics Committee of Qingdao University due to the retrospective and observational nature of the study and the use of anonymized data. Retrospective data were consecutively collected from 547 patients who underwent surgical treatment for pancreatic masses and were diagnosed with PDAC based on postoperative pathological reports between May 2014 and December 2023. Patients with unavailable CA19–9 data or CA19–9 levels < 1 U/mL, considered CA19–9–nonsecretors, were excluded from the analysis. Preoperative imaging and clinical pathological data were gathered for analysis.
Inclusion criteria: (1) Patients with complete and clear preoperative contrast–enhanced CT imaging and clinical data available within 14 days prior to surgery; (2) Solid pancreatic masses with a diameter greater than 1.5 cm, allowing for accurate extraction of radiomic features; (3) A follow–up duration of at least 12 months; (4) No history of severe cardiovascular, hepatic, pulmonary, or renal diseases.
Exclusion criteria: (1) Patients who received neoadjuvant therapy prior to surgery; (2) Patients with evidence of distant metastasis or those deemed ineligible for curative resection (R2 resection) based on preoperative assessment; (3) Patients with a history of other malignancies; (4) Patients who died within 90 days postoperatively or had incomplete follow–up data; (5) Patients with unavailable CA19–9 data or CA19–9 levels < 1 U/mL were excluded.
A total of 290 patients were included in this study based on the inclusion and exclusion criteria. The enrollment process for this study is depicted in (Fig. 1). The flowchart of this study is shown in (Fig. 2). For the overall recurrence prediction model, patients were randomly assigned to the training and test sets in a 7:3 ratio for each cohort using a fixed random seed. The distribution of disease recurrence events was subsequently examined to assess balance between the two datasets. Overall, recurrence rates were comparable between the training and test sets across all cohorts. The distribution of patients and disease recurrence events in the training and test sets for each cohort is summarized in Supplementary Table S1. All patient data were fully de–identified prior to analysis to ensure confidentiality and compliance with ethical standards. Missing clinical variables were imputed using the k–nearest neighbors (KNN) imputation method, which estimates missing values based on the most similar samples in the dataset.
The inclusion and exclusion criteria of this study, 290 patients were ultimately included in our analysis.
Flowchart of the study.
Image collection and segmentation
Abdominal CT scans were performed using multidetector CT scanners (SOMATOM Definition Flash, Siemens Medical Systems; iCT 256, Philips Healthcare; or Optima CT670, GE Healthcare). Detailed information regarding the equipment and scanning parameters is provided in the Supplementary materials (Table S2). All images were reconstructed using vendor–recommended standard soft–tissue kernels for abdominal imaging. High–frequency or edge–enhancing reconstruction kernels were excluded. Although reconstruction kernels differed across vendors, identical reconstruction parameters are not achievable in routine clinical practice. To mitigate potential inter–scanner variability, standardized image preprocessing and feature selection procedures were applied prior to model development. CT images, saved in DICOM format, were retrieved from the PACS. The CT scanning parameters were consistent across all 290 enrolled patients. Two radiologists were blinded to the clinical data of patients, except for the diagnosis of pancreatic cancer. They manually delineated the pancreatic mass on the portal venous phase CT images by tracing along the tumor margins. The images were annotated using ITK–SNAP software to create the volume of interest. All images and clinical data were reviewed and assessed by two experienced hepatobiliary and pancreatic surgeons, who evaluated the recurrence status and specific recurrence patterns. In cases of discrepancies in judgment during the review process, a discussion involving four physicians was conducted to resolve and revise the findings.
Clinicopathological findings
Preoperative clinical data and relevant serological test results, as well as postoperative histopathological diagnoses, were obtained from the institution’s database and electronic medical records within 14 days prior to surgery. The clinical features included in this study were as follows: age, sex, main symptoms, location of the primary tumor, tumor size, and type of surgery. Preoperative laboratory indicators included white blood cell count, neutrophil count, hemoglobin, platelet count, CEA, AFP, total bilirubin, fibrinogen, antithrombin III, and CA19–9 levels. Pathological data included histological grade, tumor size, stage, presence of vascular invasion, perineural invasion, and lymph node involvement. Staging was performed according to the 8th edition of the American Joint Committee on Cancer (AJCC) Cancer Staging Manual. Surgical categories were recorded according to the definitions provided by the International Study Group of Pancreatic Surgery12. The threshold value for CA19–9 was determined based on levels used in previous studies4.
Follow–up
After discharge, patients were followed up regularly at our institution. For the first 12 months, CA19–9 levels and abdominal CT scans were performed every 3 months, followed by semiannual checks thereafter. Additional imaging examinations, including MRI, bone scans, and positron emission tomography–computed tomography (PET–CT), were selectively performed when necessary. Recurrence–free survival (RFS) was defined as the time interval between surgery and tumor recurrence. If recurrence was not diagnosed, the RFS period was considered to end at the time of death or the last follow–up13. Disease progression or recurrence during the follow–up period was determined by combining imaging, serological tests, or surgical exploration. Based on the site of first recurrence, postoperative recurrence was classified into two categories: local recurrence and distant metastasis. Local recurrence was defined as recurrence in the retroperitoneal area, including the surgical bed, residual pancreas, or local lymph nodes. Distant metastasis was defined as any recurrence occurring in distant organs, including the liver, lungs, brain, and bones14.
Feature extraction and selection
After acquiring the tumor CT images and regions of interest (ROIs), cubic B–spline interpolation was applied to resample the CT images, while nearest–neighbor interpolation was used for binary ROI images. This standardized the voxel dimensions to 1 × 1 × 1 mm3, ensuring consistency in subsequent analysis. Radiomic feature extraction was performed using PyRadiomics (version 3.0.1) in accordance with the Imaging Biomarker Standardization Initiative (IBSI) guidelines15, resulting in a total of 1,834 features, including 14 shape features, 360 first–order features, and 1,460 higher–order and filtered features (Figure S1), encompassing geometric, intensity, and texture characteristics (e.g., GLCM). Radiomic features were extracted using a standardized pipeline, resulting in a fully aligned feature matrix across all patients. Features that could not be reliably computed for all samples during extraction or quality control were excluded prior to feature selection. Consequently, the final set of radiomic features used for model development contained no missing values, and no imputation was performed. To assess feature reproducibility under segmentation uncertainty, two radiologists independently segmented the ROIs, and the intra–class correlation coefficient (ICC) was calculated. Features with an ICC greater than 0.75 were retained for further analysis16. All features were standardized using Z–score normalization. To minimize scanner– and protocol–related variability across centers, radiomics features were harmonized using the ComBat method, a widely adopted empirical Bayes approach for batch effect correction. ComBat harmonization was applied to the extracted radiomics feature matrix to adjust for non–biological variability while preserving true biological signal. Harmonization was performed after feature extraction and before model development. For dimensionality reduction, the Least Absolute Shrinkage and Selection Operator Cox (Lasso–Cox) regression was employed. Initially, univariate Cox regression was conducted to rank features by P–value, and the top–ranked features were selected. Lasso regression was then applied using tenfold cross–validation to identify the optimal regularization parameter (λ). The minimum λ was selected in the Lasso–Cox regression, eliminating irrelevant features and minimizing overfitting. A radiomic risk score was generated based on a linear combination of the selected features weighted by their corresponding coefficients. Patients were stratified into high– and low–risk groups using the median risk score as the cutoff.
Clinically relevant variables were evaluated using univariate Cox regression analyses. All candidate variables were subsequently entered into a multivariate Cox proportional hazards model using bidirectional stepwise selection, allowing for both forward inclusion and backward elimination. Variables were retained in the final model based on their independent contribution after adjustment for other covariates, rather than univariate statistical significance alone.
Model construction and evaluation
Based on the radiomic features and clinical variables selected in the previous steps, a radiomics model and a clinical model were constructed separately, and a corresponding radiomics score and clinical score were generated for each patient. For each patient, the radiomics score and clinical score were calculated as the linear predictors of their respective models. To build the combined model, the radiomics score and the clinical score were jointly entered as covariates into a Cox proportional hazards model, yielding a combined linear predictor that integrates imaging–derived and clinical information. The combined model was then visualized as a nomogram.Model performance was evaluated in both the training and test cohorts. Kaplan–Meier survival analysis was used to assess risk stratification ability. Time–dependent receiver operating characteristic analysis was performed to calculate the area under the curve (AUC) at 12 months. Model calibration was assessed using calibration curves, and clinical utility was evaluated using decision curve analysis. In addition, bootstrap resampling was applied to facilitate pairwise comparison of predictive performance between the combined model and the single–modality models. Differences in AUC were assessed using the J–L test.
Statistical analysis
Statistical analysis was performed using independent sample t–tests for continuous variables, Mann–Whitney U tests, and χ2 tests for categorical variables to compare the basic clinical characteristics of the patients. The Shapiro–Wilk test was used to assess the normality of the data (P > 0.05). All analyses were performed using Python 3.7.12. Multicollinearity among clinical predictors was assessed using variance inflation factors (VIFs). VIF analysis was restricted to variables retained in the final multivariate Cox proportional hazards model after bidirectional stepwise selection, as multicollinearity is relevant only when predictors are simultaneously included in the same model. A VIF value < 5 was considered indicative of acceptable collinearity. Predictive models for different recurrence patterns, including local recurrence and distant metastasis following curative resection, were constructed using the same methodology. This study was reported in accordance with the TRIPOD (Transparent Reporting of a multivariable prediction model for Individual Prognosis or Diagnosis) statement, and also adheres to the STROBE guidelines for observational cohort studies17.
Results
Patient characteristics
A total of 290 patients who underwent curative resection for pancreatic ductal adenocarcinoma (PDAC) in our center were included. Of these, 113 (39.0%) experienced local recurrence, 83 (28.6%) developed distant metastasis, and 75 (25.9%) showed no significant recurrence. An additional 19 patients (6.6%) had disease progression with an unclear initial recurrence pattern. Based on recurrence status, patients were categorized into a recurrence risk cohort (n = 290), local recurrence cohort (n = 188), and distant metastasis cohort (n = 158).
Among the patients, 192 (66.2%) underwent pancreaticoduodenectomy (PD), and 98 (33.8%) underwent distal pancreatectomy (DP); 209 (72.1%) received adjuvant chemotherapy. The majority of patients were staged as T2/T3 (83.5%), with AJCC stage IB (31.4%) and IIB (27.6%) being most common. Vascular invasion, including involvement of the portal vein or superior mesenteric artery, is an established prognostic factor in PDAC and may influence postoperative recurrence18. In our cohort, 76 patients (26.2%) exhibited radiologically confirmed major vascular invasion, with no significant difference observed between the training and test cohorts (P > 0.05). No significant differences were observed in other clinical lab indicators, surgical methods, or pathological features between the cohorts (P > 0.05). Detailed clinical and pathological characteristics are provided in (Tables 1, 2), with supplementary details in Table S3–S6.
Clinical risk factors associated with recurrence in PDAC
In multivariate Cox proportional hazards regression analysis, preoperative CA19–9 levels, AJCC stage, and tumor enhancement patterns remained independently associated with recurrence risk after adjustment for other clinical variables (Table 3). Variance inflation factor analysis demonstrated no evidence of significant multicollinearity among variables retained in the final multivariate Cox model, with all VIF values below 5. Detailed values are provided in Supplementary Figure S2 and Supplementary Table S7.
Reproducibility and feature selection
To ensure the reproducibility of radiomics features, 120 randomly selected cases were independently segmented by two radiologists with more than 8 years of experience in abdominal imaging. Intraclass correlation coefficients (ICCs) were calculated for all 1,834 extracted features. Among them, 1,589 features (86.6%) demonstrated good reproducibility with ICC > 0.75 and were retained for subsequent analyses. The overall reproducibility was high, with a mean ICC of 0.873 ± 0.069 (range: 0.752–0.999) across the retained features, indicating strong inter–observer agreement. Features with ICC ≤ 0.75 were excluded to minimize variability arising from segmentation differences.
Construction and validation of the recurrence risk prediction model for PDAC
Using Lasso–Cox regression, 35 features were selected from 115 candidates (Fig. 3A), with 10 key features retained (Fig. 3D) (Table S8). The radiomics risk score ([HR] 1.53, 95% CI 1.31–1.80, P < 0.005) yielded a 12–month AUC of 0.798 and 0.757 in the training and test cohorts, respectively. The clinical model, based on AJCC stage, CA19–9, and tumor enhancement, showed AUCs of 0.723 and 0.711 (Table 4).
Radiomic features selected via Lasso–Cox regression (A: recurrence; B: local; C: distant). The ranking of radiomic features based on their importance in the distinct recurrence pattern predictive model (D: recurrence; E: local; F: distant).
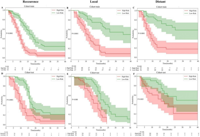
The combined radiomics–clinical model improved prediction with a 12–month AUC of 0.801 and 0.760 in the training and test cohorts (Fig. 4A and S3A). The decision curves confirmed clinical value (Fig. 4D,G), and calibration curves showed good agreement. To facilitate clinical application, a nomogram based on the combined clinical score and radiomics score was constructed, as shown in (Fig. 5A). Prognostic stratification revealed significant survival differences between high– and low–risk groups based on the median radiomics score. Kaplan–Meier analysis showed that the low–risk group had better RFS in both cohorts (P < 0.0001 in training, P < 0.0001 in test) (Fig. 6A,D), demonstrating the model’s discriminative value. Although the increase in AUC of the combined model compared with single–modality models was modest on the test cohort, bootstrap analysis confirmed that the improvement was statistically significant (P < 0.05). This indicates that the combined model consistently outperformed both clinical and radiomics models across repeated resampling, demonstrating greater robustness and predictive stability (Fig. 4J).
Evaluation of the models for predicting 1–year distinct patterns recurrence–free survival: time–dependent AUC curves (A–C), decision curve analyses (D–F), calibration plots (G–I) and bootstrap AUC p–values (J–L) in the training cohorts.
The nomogram for predicting overall recurrence (A), local recurrence (B) and distant metastasis (C) 1–year recurrence risk after radical resection of pancreatic ductal adenocarcinoma.
The Kaplan–Meier curves show RFS in PDAC patients from the training (A: recurrence; B: local; C: distant) and validation cohorts (D: recurrence; E: local; F: distant), stratified by the median nomogram score derived from the recurrence risk model. Patients with high risk scores had significantly lower RFS compared to those with low risk scores in both cohorts.
Construction and validation of the local recurrence risk prediction model for PDAC
Using Lasso–Cox regression, 35 features were selected from 122 candidates (Fig. 3B), with 19 key features retained (Fig. 3E) (Table S8). The radiomics risk score ([HR]: 1.67, 95% CI 1.33–2.10, P < 0.005) achieved a 12–month AUC of 0.742 and 0.743 in the training and test cohorts. The clinical model had AUCs of 0.785 and 0.748 (Table 4).
The combined model showed improved prediction, with AUCs of 0.808 and 0.760 in the training and test cohorts (Fig. 4B and S3B). Calibration and decision curves confirmed its clinical value (Fig. 4E,H). The nomogram based on the combined clinical score and radiomics score was constructed, as shown in (Fig. 5B). Stratification by median radiomics score showed significant survival differences (Fig. 6B,E), with the low–risk group having better RFS in both cohorts (P < 0.0001 in training, P < 0.0001 in test). The combined model outperformed the individual models in stratification. Bootstrap analysis confirmed that the modest AUC improvement of the combined model was statistically significant (P < 0.05), indicating its greater robustness and predictive stability (Fig. 4K).
Construction and validation of the distant metastasis risk prediction model for PDAC
Using Lasso–Cox regression, 25 features were selected from 318 candidates (Fig. 3C), with 18 key features retained (Fig. 3F) (Table S8). The radiomics risk score ([HR]: 1.13, 95% CI 1.08–1.19, P < 0.005) yielded a 12–month AUC of 0.871 and 0.720 in the training and test cohorts. The clinical model had AUCs of 0.784 and 0.756 (Table 4).
The combined model showed improved prediction, with AUCs of 0.801 and 0.760 in the training and test cohorts (Fig. 4C and S2C). Calibration and decision curves confirmed its clinical value (Fig. 4F,I). The nomogram based on the combined clinical score and radiomics score was constructed, as shown in (Fig. 5C). Stratification by the median radiomics score revealed significant survival differences (Fig. 6C,F), with the low–risk group having better RFS in both cohorts (P < 0.0001 in training, P = 0.003 in test). The combined model showed superior stratification compared with the individual models. Bootstrap analysis confirmed that the modest AUC improvement of the combined model was statistically significant (P < 0.05), indicating its greater robustness and predictive stability (Fig. 4L).
Discussion
This study retrospectively evaluated the predictive value of preoperative contrast–enhanced CT radiomic features and clinical parameters for recurrence risk and recurrence pattern stratification following radical resection of PDAC. Three prognostic models—radiomics, clinical, and a radiomics–clinical—were developed. The combined model consistently demonstrated the best performance in predicting recurrence and differentiating between local and distant recurrence patterns. Calibration curves confirmed excellent agreement between predicted probabilities and observed outcomes, while decision curve analysis indicated that the integrated model offered the highest net clinical benefit across all recurrence endpoints. Early identification of recurrence risk may help guide individualized therapeutic strategies.
Importantly, by incorporating decision curve analysis (DCA) and clinically interpretable thresholds, this study also provides a quantitative framework for translating model–derived risk probabilities into actionable clinical decisions. For example, a decision threshold corresponding to the upper quartile of predicted recurrence probability could be used to identify patients who may benefit from intensified surveillance or adjuvant therapy. Such threshold–based stratification enhances the model’s clinical applicability and may assist in defining risk–adapted follow–up protocols in real–world settings.
For patients identified as having a high risk of distant metastasis or peritoneal recurrence, more aggressive systemic treatment strategies may be considered either preoperatively or postoperatively to improve survival outcomes. In such cases, performing a staging laparoscopy with peritoneal lavage and cytology prior to radical resection may be beneficial, as contemporary institutional data have demonstrated that this approach can detect occult peritoneal metastases in approximately 18–20% of radiographically localized PDAC cases. Identifying such patients early could help avoid non–therapeutic laparotomy and allow timely initiation of systemic chemotherapy or enrollment into clinical trials exploring novel regimens19.
Conversely, for patients predicted to have a high risk of locoregional recurrence, more intensive locally targeted strategies may be appropriate. These include neoadjuvant chemoradiotherapy to improve R0 resection rates, reduce locoregional failure, and potentially enhance disease–free survival. Recent meta–analyses have supported the role of neoadjuvant chemoradiotherapy in improving R0 resection rates and 2–year disease–free survival compared with upfront surgery in selected patients with resectable or borderline resectable PDAC20. Additionally, for patients with anatomically localized high–risk features, extended surgical resection or adjuvant radiotherapy may be considered to achieve better locoregional control.
These predictive results could directly inform preoperative and postoperative management decisions. For instance, patients stratified as high–risk for distant metastasis may be prioritized for neoadjuvant or early systemic chemotherapy, while those at high risk of locoregional recurrence may benefit from preoperative radiotherapy or extended surgical margins. This tailored approach provides a framework for multidisciplinary decision–making and may ultimately improve overall treatment efficiency and survival outcomes.
These findings underscore the clinical utility of integrating radiomic and clinical variables into a unified predictive framework, enabling preoperative risk stratification not only for overall recurrence but also for specific recurrence patterns21. To further contextualize these findings, a comparison with previously published prediction models is warranted.
Radiomics, as a noninvasive, reproducible, and cost–effective imaging analysis technique, allows for high–throughput extraction of quantitative tumor features. These features capture information on tumor heterogeneity and microstructural characteristics that are not discernible by the human eye5,7. Several studies have confirmed the prognostic value of CT–based radiomic features in PDAC. For example, Yun et al.22 demonstrated that CT texture features could predict disease–free survival after surgery. Additionally, low gray–level run–length matrix (GLRLM) features extracted from venous–phase CT scans have been associated with stromal fibrosis23, a known factor contributing to hepatic metastasis in PDAC.
Despite promising results, prior research has not yielded effective models for individualized recurrence pattern prediction in PDAC. The nomogram developed in the present study integrates a radiomics–derived score with established clinical predictors, thereby providing a comprehensive and interpretable approach for patient–specific risk prediction. This integrated strategy enhances the clinical applicability of radiomics and addresses a major gap in the literature.
It is well established that recurrence after PDAC resection occurs predominantly in two distinct forms: local recurrence and distant metastasis. These patterns differ significantly in terms of tumor biology, metastatic potential, and response to therapy3,4,24. Thus, early differentiation is crucial for tailoring treatment approaches. Ge et al. showed that recurrence patterns correlated with pathological lymph node status12, and Qu et al.14 found that multiparametric MRI metrics were predictive of recurrence types. However, neither study implemented a predictive model, underscoring the novelty of our approach. Clinically, the liver is the most common site for distant metastasis following PDAC surgery, and hepatic metastasis is often associated with dismal survival outcomes25. For high–risk individuals, hepatic arterial infusion chemotherapy may offer local disease control and delay systemic progression. Meanwhile, patients at risk of local recurrence might benefit from extended surgical margins, neoadjuvant therapy, or intraoperative radiation26. Our study not only reinforces these clinical observations but also provides a preoperative predictive framework to support such decision–making.
Our results may therefore contribute to a more individualized treatment paradigm by informing the timing and type of systemic versus local interventions. Such integration of predictive analytics into the treatment workflow represents a practical step toward precision oncology in PDAC.
Compared with traditional predictors such as TNM staging or lymph node involvement, our model enables the preoperative, noninvasive assessment of multiple recurrence endpoints. Although AJCC stage remains a cornerstone in clinical practice, it has limitations in capturing inter–individual variability in tumor behavior. Even patients within the same TNM stage often exhibit heterogeneous outcomes27,28,29,30,31. Our findings suggest that combining radiomics with AJCC stage significantly improves prognostic precision, as radiomic features provide tumor–intrinsic information that complements conventional stage systems.
CA19–9, a widely used serological biomarker in PDAC, was also incorporated into the model. While elevated CA19–9 is often indicative of advanced disease and poor prognosis32,33, it lacks specificity and may be elevated in benign conditions such as cholangitis or pancreatitis34,35,36. Nonetheless, integrating CA19–9 with radiomics helps offset these limitations and enhances the robustness of the combined model.
Another important feature considered in our model was the tumor peripheral enhancement pattern observed on preoperative contrast–enhanced CT (CE–CT), which reflects the vascularization and tissue heterogeneity of pancreatic ductal adenocarcinoma (PDAC). Prior studies have indicated that heterogeneous peripheral enhancement is often associated with tumor necrosis, fibrosis, hypoperfusion, and stromal desmoplasia, all of which are pathological factors linked to increased recurrence risk and aggressive tumor behavior37,38.
The interpretation of enhancement patterns can vary with image acquisition parameters, tumor heterogeneity, and reader experience. To maximize reproducibility and pathophysiological relevance, we specifically utilized venous–phase CE–CT images, as this phase provides optimal contrast between tumor tissue and surrounding parenchyma, allowing more consistent assessment of peripheral vascularization and stromal characteristics. By integrating these enhancement patterns with radiomic features, AJCC stage, and CA19–9, our model captures both macroscopic and microscopic heterogeneity, thereby enhancing the predictive accuracy and generalizability for postoperative recurrence risk in PDAC.Although several clinicopathological variables such as tumor size and lymph node involvement are known prognostic factors, they were not retained in the final multivariate model, likely due to their structural overlap with AJCC staging. Multicollinearity assessment confirmed that the predictors included in the final model were statistically independent, supporting the robustness of the estimated associations.
Despite the encouraging findings, several limitations merit consideration. First, this retrospective study was conducted at a single center, which may limit generalizability due to institution–specific imaging protocols and clinical management. Second, CT images were acquired over an extended period using scanners from multiple vendors with non–identical reconstruction kernels. Although standardized preprocessing was applied to mitigate inter–scanner variability, residual vendor–related effects on radiomic features cannot be fully excluded. Third, model performance was evaluated using a single random train–test split, and repeated resampling–based stability analyses were not performed, which may introduce some uncertainty related to data partitioning. In addition, heterogeneity in chemotherapy and adjuvant treatment strategies may have influenced recurrence outcomes. Finally, no formal sample size or power calculation was performed. Future multicenter prospective studies with external validation are warranted to further confirm the robustness and clinical applicability of the proposed model.From a clinical implementation perspective, integrating such a radiomics–clinical model into preoperative multidisciplinary discussions could facilitate early risk communication, personalized counseling, and evidence–based adjustments of perioperative plans. Furthermore, prospective evaluation of optimal decision thresholds—such as identifying high–risk subgroups with predicted recurrence probabilities exceeding 0.7—may help determine when to recommend intensified follow–up, systemic therapy, or enrollment in clinical trials.
Conclusion
The combined radiomics–clinical predictive model based on contrast–enhanced CT radiomic features and clinical factors enables prediction and stratification of recurrence risk and different recurrence patterns in PDAC. This study holds promise in effectively predicting recurrence pattern risks preoperatively, thereby may guide personalized decision–making interventions to improve surgical outcomes.
Data availability
The data that support the findings of this study are not publicly available due to patient privacy and institutional policies. De–identified data may be made available from the corresponding authors upon reasonable request and with permission from the Affiliated Hospital of Qingdao University.
Abbreviations
- PDAC:
-
Pancreatic ductal adenocarcinoma
- CA19–9:
-
Carbohydrate antigen 19–9
- AJCC:
-
American joint committee on cancer
- AFP:
-
Alpha–fetoprotein
- CEA:
-
Carcinoembryonic antigen
- ROC:
-
Receiver operating characteristic
- AUC:
-
Area under the curve
- RFS:
-
Recurrence–free survival
- DICOM:
-
Digital imaging and communications in medicine
- PACS:
-
Picture archiving and communication system
- ICC:
-
Intra–class correlation coefficient
- GLRLM:
-
Low gray–level run–length matrix
References
Siegel, R. L., Giaquinto, A. N. & Jemal, A. Cancer statistics, 2024. CA Cancer J. Clin. 74, 12–49 (2024).
Li, J. et al. Recent estimates and predictions of 5–year survival rate in patients with pancreatic cancer: a model–based period analysis. Front. Med. (Lausanne) 9, 1049136 (2022).
Groot, V. P. et al. Patterns, timing, and predictors of recurrence following pancreatectomy for pancreatic ductal adenocarcinoma. Ann. Surg. 267, 936–945 (2018).
Ge, J. et al. Nomogram and competing risk model to predict recurrence after curative surgical resection of PDAC. Pancreatology 21, 1102–1111 (2021).
Nardone, V. et al. Delta radiomics: a systematic review. Radiol. Med. 126, 1571–1583 (2021).
Abbaspour, E. et al. Application of radiomics for preoperative prediction of lymph node metastasis in colorectal cancer: a systematic review and meta–analysis. Int. J. Surg. 110, 3795–3813 (2024).
Lambin, P. et al. Radiomics: the bridge between medical imaging and personalized medicine. Nat. Rev. Clin. Oncol. 14, 749–762 (2017).
Wei, J. et al. A multi–sequence and habitat–based MRI radiomics signature for preoperative prediction of MGMT promoter methylation in astrocytomas with prognostic implication. Eur. Radiol. 29, 877–888 (2019).
Yin, P. et al. Can clinical radiomics nomogram based on 3d multiparametric MRI features and clinical characteristics estimate early recurrence of pelvic chondrosarcoma?. J. Magn. Reson. Imaging 51, 435–445 (2020).
Zhang, Z. et al. Hepatocellular carcinoma: radiomics nomogram on gadoxetic acid–enhanced MR imaging for early postoperative recurrence prediction. Cancer Imaging 19, 22 (2019).
Chen, B. et al. Predicting very early recurrence in intrahepatic cholangiocarcinoma after curative hepatectomy using machine learning radiomics based on CECT: a multi–institutional study. Comput. Biol. Med. 167, 107612 (2023).
Hartwig, W. et al. Extended pancreatectomy in pancreatic ductal adenocarcinoma: definition and consensus of the international study group for pancreatic surgery (ISGPS). Surgery 156, 1–14 (2014).
Nakanishi, Y. et al. Time to recurrence after surgical resection and survival after recurrence among patients with perihilar and distal cholangiocarcinomas. Ann. Surg. Oncol. 27, 4171–4180 (2020).
Qu, C. et al. Preoperative multiparametric quantitative magnetic resonance imaging correlates with prognosis and recurrence patterns in pancreatic ductal adenocarcinoma. Cancers (Basel) 14, 4243 (2022).
Zwanenburg, A. et al. The image biomarker standardization initiative: standardized quantitative radiomics for high–throughput image–based phenotyping. Radiology 295, 328–338 (2020).
Koo, T. K. & Li, M. Y. A guideline of selecting and reporting intraclass correlation coefficients for reliability research. J. Chiropr. Med. 15, 155–163 (2016).
von Elm, E. et al. The strengthening the reporting of observational studies in epidemiology (STROBE) statement: guidelines for reporting observational studies. Ann. Intern. Med. 147, 573–577 (2007).
Pancreatic adenocarcinoma, version 2.2021.
Fong, Z. V. et al. Reappraisal of staging laparoscopy for patients with pancreatic adenocarcinoma: a contemporary analysis of 1001 patients. Ann. Surg. Oncol. 24, 3203–3211 (2017).
Hu, Q. et al. Network meta–analysis comparing neoadjuvant chemoradiation, neoadjuvant chemotherapy and upfront surgery in patients with resectable, borderline resectable, and locally advanced pancreatic ductal adenocarcinoma. Radiat. Oncol. 14, 120 (2019).
Li, X. et al. Preoperative recurrence prediction in pancreatic ductal adenocarcinoma after radical resection using radiomics of diagnostic computed tomography. EClinicalMedicine 43, 101215 (2022).
Yun, G. et al. Tumor heterogeneity of pancreas head cancer assessed by CT texture analysis: association with survival outcomes after curative resection. Sci. Rep. 8, 7226 (2018).
De Robertis, R. et al. Liver metastases in pancreatic ductal adenocarcinoma: a predictive model based on CT texture analysis. Radiol. Med. 127, 1079–1084 (2022).
Kolbeinsson, H. et al. Recurrence patterns and postrecurrence survival after curative intent resection for pancreatic ductal adenocarcinoma. Surgery 169, 649–654 (2021).
Oba, A. et al. Radiologically occult metastatic pancreatic cancer: how can we avoid unbeneficial resection?. Langenbecks Arch. Surg. 405, 35–41 (2020).
Lee, S. J. et al. Percutaneous radiofrequency ablation for metachronous hepatic metastases after curative resection of pancreatic adenocarcinoma. Korean J. Radiol. 21, 316–324 (2020).
Zhang, X. et al. A novel online calculator to predict early recurrence and long–term survival of patients with resectable pancreatic ductal adenocarcinoma after pancreaticoduodenectomy: a multicenter study. Int. J. Surg. 106, 106891 (2022).
Takayanagi, T. et al. Clinical features and prognostic impact of pancreatic ductal adenocarcinoma without dilatation of the main pancreatic duct: a single–center retrospective analysis. Diagnostics (Basel) 13, 963 (2023).
Crippa, S. et al. Implications of perineural invasion on disease recurrence and survival after pancreatectomy for pancreatic head ductal adenocarcinoma. Ann. Surg. 276, 378–385 (2022).
Allen, P. J. et al. Multi–institutional validation study of the American joint commission on cancer (8th edition) changes for t and n staging in patients with pancreatic adenocarcinoma. Ann. Surg. 265, 185–191 (2017).
Shin, D. W. et al. Validation of the American joint committee on cancer 8th edition staging system for the pancreatic ductal adenocarcinoma. Eur. J. Surg. Oncol. 45, 2159–2165 (2019).
Luo, G. et al. Roles of CA19–9 in pancreatic cancer: biomarker, predictor and promoter. Biochim. Biophys. Acta Rev. Cancer 1875, 188409 (2021).
Yang, Y. et al. Relationship between autophagy and perineural invasion, clinicopathological features, and prognosis in pancreatic cancer. World J. Gastroenterol. 23, 7232–7241 (2017).
Rompen, I. F. et al. Development of a composite score based on carbohydrate antigen 19–9 dynamics to predict survival in carbohydrate antigen 19–9–producing patients with pancreatic ductal adenocarcinoma after neoadjuvant treatment. JCO Precis. Oncol. 8, e2400193 (2024).
Takagi, T. et al. Importance of triple tumor markers as biomarkers in patients with pancreatic ductal adenocarcinoma. Ann. Gastroenterol. Surg. 7, 326–335 (2023).
Udgata, S. et al. THBS2/CA19–9 detecting pancreatic ductal adenocarcinoma at diagnosis underperforms in prediagnostic detection: implications for biomarker advancement. Cancer Prev. Res. (Phila) 14, 223–232 (2021).
Yamaguchi, T. et al. Rim enhancement on contrast–enhanced CT as a predictor of prognosis in patients with pancreatic ductal adenocarcinoma. Diagnostics (Basel) 14, 782 (2024).
Cao, X. et al. A cox nomogram for assessing recurrence free survival in hepatocellular carcinoma following surgical resection using dynamic contrast–enhanced MRI radiomics. J. Magn. Reson. Imaging 58, 1930–1941 (2023).
Acknowledgements
The authors would like to express their sincere gratitude to the radiology and gynecology departments of the Affiliated Hospital of Qingdao University for their support in data collection and patient management. The authors also thank all clinicians, radiologists, and research staff involved in image acquisition, ROI delineation, and data annotation for their valuable contributions to this study.
Funding
This study was supported by the Taishan Scholar Foundation of Shandong Province, the Shandong Provincial Natural Science Foundation (ZR2024QH265), the Qingdao Natural Science Foundation (24–4–4–zrjj–103–jch) and the Youth Research Fund of the Affiliated Hospital of Qingdao University (QDFYQN2023116).
Author information
Authors and Affiliations
Contributions
YJ and JZ contributed equally to this work and are co–first authors.YJ was responsible for study conception and design, radiomics feature extraction and analysis, statistical modelling, figure preparation, and drafting of the manuscript.JZ contributed to study design, radiomics workflow optimization, data interpretation, and manuscript writing and revision.RS assisted with literature review, radiomics–related methodology support, and manuscript editing.SN contributed to imaging data collection, ROI segmentation validation, and data quality control.YH was responsible for clinical data acquisition, database establishment, and data verification. BT provided technical support, participated in feature preprocessing, model development, and visualization.BX, KL, and JC assisted with data entry, reference organization, and proofreading of the manuscript.CQ and WH are co–corresponding authors and provided overall supervision, guidance on study design and methodology, critical revision of the manuscript, and final approval of the version to be submitted.All authors reviewed the final manuscript and approved its submission.
Corresponding authors
Ethics declarations
Competing interests
The authors declare no competing interests.
Ethics declarations
This study was conducted in accordance with the Declaration of Helsinki and was approved by the Clinical Research Ethics Committee of Qingdao University (QDFY–WZLL–30061).
Additional information
Publisher’s note
Springer Nature remains neutral with regard to jurisdictional claims in published maps and institutional affiliations.
Supplementary Information
Rights and permissions
Open Access This article is licensed under a Creative Commons Attribution-NonCommercial-NoDerivatives 4.0 International License, which permits any non-commercial use, sharing, distribution and reproduction in any medium or format, as long as you give appropriate credit to the original author(s) and the source, provide a link to the Creative Commons licence, and indicate if you modified the licensed material. You do not have permission under this licence to share adapted material derived from this article or parts of it. The images or other third party material in this article are included in the article’s Creative Commons licence, unless indicated otherwise in a credit line to the material. If material is not included in the article’s Creative Commons licence and your intended use is not permitted by statutory regulation or exceeds the permitted use, you will need to obtain permission directly from the copyright holder. To view a copy of this licence, visit http://creativecommons.org/licenses/by-nc-nd/4.0/.
About this article
Cite this article
Jiang, Y., Zeng, J., Sun, R. et al. Preoperative radiomics models for predicting risks of distinct recurrence patterns in pancreatic ductal adenocarcinoma based on contrast enhanced CT. Sci Rep 16, 7129 (2026). https://doi.org/10.1038/s41598-026-37459-1
Received:
Accepted:
Published:
Version of record:
DOI: https://doi.org/10.1038/s41598-026-37459-1





