Abstract
Introduction The one-minute sit-to-stand test (1-min STST) is a simple and reproducible measure of functional capacity. Recently, cut-off values for the 1-min STST equivalent to guideline-recommended six-minute walk test (6MWT) thresholds have been proposed for risk stratification in patients with pulmonary hypertension (PH). However, the prognostic value of the 1-min STST for long-term outcomes remains unclear. Aim To assess the association between the 1-min STST performance and long-term adverse outcomes in patients with PH. Methods Consecutive patients with PH were prospectively enrolled and underwent both the 1-min STST and 6MWT. The primary endpoint was a composite of heart failure hospitalization, heart-lung transplantation or all-cause mortality. Associations between 1-min STST performance and long-term adverse outcomes were assessed using Cox regression. Patients were stratified into three groups based on previously published 1-min STST cut-offs (≤ 14, 15–19, ≥ 20 repetitions), aligned with 6MWT thresholds. Kaplan-Meier curves were used to compare event rates between groups. Results A total of 117 patients (mean age 66 ± 14 years, 56% female) were included. Over a median follow-up of 2.7 years [IQR 1.0–3.9], 60 (51%) patients experienced an adverse event. Lower 1-min STST performance was significantly associated with a higher risk of long-term adverse outcomes (HR per repetition: 0.94, 95% CI: 0.90–0.98, p < 0.001). This association remained significant after adjusting for age, sex, BMI and NT-proBNP levels (adjusted HR = 0.95; 95% CI: 0.91–0.99; p = 0.016) and major comorbidities (adjusted HR = 0.94; 95% CI: 0.90–0.98; p = 0.003). Kaplan-Meier analysis showed significantly worse long-term outcomes in patients performing ≤ 14 repetitions (log-rank p = 0.001). Conclusion The 1-min STST is a predictor for long-term adverse events in PH patients. Performing ≤ 14 repetitions on the 1-min STST indicates a significantly higher risk of long-term adverse outcomes. Therefore, the 1-min STST may be used for risk stratification in clinical practice.
Introduction
Pulmonary hypertension (PH) is a progressive and potentially life-threatening disease characterized by elevated pulmonary arterial pressure, ultimately leading to right ventricular failure and, if left untreated, premature death1. Despite advances in treatment, PH remains associated with high morbidity and mortality, with five-year survival rates ranging from 38% to 57%2,3,4, depending on disease severity. Hospitalization rates are high, with approximately 24.5% of patients requiring PH-related hospitalization within one year5 and many experiencing recurrent admissions6. Hence, early identification of high-risk patients – defined as those with an increased likelihood of clinical deterioration, heart failure hospitalization or mortality – is crucial for optimizing treatment strategies and improving outcomes7.
Detecting high-risk patients early allows clinicians to intervene before advanced right-ventricular dysfunction develops, thereby improving long-term outcomes.
Functional capacity is one of the strongest predictors of mortality in PH8 and current guidelines9 recommend its assessment with the six-minute walk test (6MWT) for risk stratification, as it predicts disease progression and survival in PH patients10,11,12. However, the 6MWT has practical limitations: it is time-consuming, requires a standardized walking course and may not be feasible in primary care settings or resource-limited environments.
The one-minute sit-to-stand test (1-min STST) has been proposed as a simple, reproducible13,14 and cost-effective alternative to the 6MWT15. While the prognostic value of the 1-min STST has been shown in patients with chronic obstructive pulmonary disease (COPD)16 and fibrotic interstitial lung disease17, its utility for predicting long-term adverse outcomes in patients with PH remains uncertain. Recently, 1-min STST cut-offs equivalent to guideline-recommended 6MWT thresholds were published18. In PH patients, the 1-min STST correlates strongly with the 6MWT19,20 and shows comparable associations with validated markers of functional status, disease severity (such as WHO functional class, NT-proBNP and mean pulmonary artery pressure) and quality of life19,21,22, however its ability to correctly identify patients at high risk for long-term adverse outcomes has not been investigated yet.
This study aims to analyze the prognostic value of the 1-min STST for predicting long-term adverse outcomes in patients with PH. Furthermore, it evaluates the utility of previously published 1-min STST cut-offs18 aligned with guideline-recommended 6MWT thresholds for risk stratification.
Methods
Study design and patient population
This prospective cohort study included patients with PH who were consecutively enrolled at the Medical University of Vienna between 2020 and 2024. Eligible participants were adults aged 18 to 90 years with a confirmed diagnosis of PH according to current European PH guidelines9, defined as a mean pulmonary arterial pressure (mPAP) > 20 mmHg measured by right heart catheterization (RHC), who gave their written informed consent.
Patients were excluded if they presented with unstable cardiac conditions (e.g., severe chest pain, acute cardiac decompensation, uncontrolled arrhythmias) at the time of enrollment, or if they had musculoskeletal or neurological impairments (e.g. severe cognitive dysfunction) that could possibly impair their test performance, including the inability to walk or perform sit-to-stand movements.
At baseline, participants underwent a comprehensive evaluation, including demographic and clinical data collection, transthoracic echocardiography, pulmonary function testing and assessment of functional capacity with both, the 1-min STST and the 6MWT. Hemodynamic parameters from RHC were extracted from electronic medical records. Data on long-term outcomes were collected during follow-up.
The study was approved by the ethics committee of the Medical University of Vienna (approval number: 1123/2020) and was conducted in accordance with the principles outlined in the Declaration of Helsinki.
Functional capacity testing
The 1-min STST was performed as previously described23,24. Briefly, patients were instructed to stand up and sit down from a standard chair (seat height: 45 cm) as many times as possible within one minute, without using their arms for support. The total number of complete repetitions was recorded.
The 6MWT was performed indoors on a flat, straight 50-meter walking course, in accordance with American Thoracic Society guidelines25. The test was supervised by trained personnel and each participant received standardized verbal encouragement during the test, as recommended25.
To minimize potential order effects, the two tests were administered in a randomized sequence: 49% of participants performed the 1-min STST first (n = 57) and 51% began with the 6MWT (n = 60). A standardized 15-minute rest interval was implemented between tests, consistent with a previous study26.
Oxygen saturation, heart rate and perceived dyspnea using the modified Borg dyspnea scale (range: 0–10)27 were measured before and after each test.
Outcome assessment and clinical endpoints
The primary endpoint for long-term outcome was defined as a composite of PH-related hospitalizations, transplantations or all-cause mortality. Additionally, all parameters of the composite endpoint were analyzed separately as a secondary endpoint.
PH-related hospitalization was defined as admission due to acute dyspnea, weight gain or peripheral edema requiring intravenous diuretic therapy. Potential hospitalizations were identified via detailed review of medical records by two independent investigators. Discrepancies between reviewers were resolved by consensus discussion, if consensus could not be reached, a third senior investigator adjudicated the case. Mortality data were obtained from institutional records and via the national death registry (“Statistik Austria”).
Follow-up time was calculated from study inclusion until the occurrence of any event or until May 2025, whichever came first.
Statistical analysis
Continuous variables are expressed as mean ± standard deviations (SD) or as median with interquartile range [IQR], depending on their distribution as assessed by the Shapiro Wilk test. Categorical variables are reported as frequencies and percentages.
Patients were stratified into two groups based on the occurrence of adverse events. Group comparisons between patients with and without events were made using the Student’s t-test or the Mann–Whitney U test for continuous variables and the Chi-square test for categorical variables. The correlation between the total number of hospitalizations per patient (as a continuous variable) and 1-min STST performance was assessed using Spearman’s rank correlation coefficient.
Univariable Cox regression was performed to identify predictors of the composite outcome in the overall cohort. To adjust for potential confounding, multivariable Cox regression models with backward selection were applied. To reduce the risk of overfitting from including multiple covariates, three separate multivariable models were constructed: Model 1 included demographics and NT-proBNP, Model 2 included major comorbidities and Model 3 included established PH severity markers.
Patients were stratified into three risk categories based on previously published cut-off values for the 1-min STST18, corresponding to established 6MWT thresholds recommended in current PH guidelines for mortality risk stratification: high-risk (≤ 14 repetitions), intermediate-risk: (15–19 repetitions) and low-risk (≥ 20 repetitions).
Kaplan-Meier survival curves were constructed to compare long-term adverse event rates across these performance risk groups for both the primary and secondary endpoints, with differences assessed using the log-rank test.
All statistical analyses were performed using SPSS version 27 (IBM Corp., Armonk, NY, USA) and R Statistical Software version 4.2.0. A two-sided p-value < 0.05 was considered statistically significant.
Results
Demographic and clinical characteristics
A total of 117 patients with PH were included. The mean age of the participants was 66 ± 14 years and 56% were female. Most patients presented with World Health Organization (WHO) functional class II (35%) or III (50%) symptoms at study inclusion. Median N-terminal pro-brain type natriuretic peptide (NT-proBNP) values were 1001 pg/ml [IQR: 229–2122]. The most prevalent cardiovascular risk factor was arterial hypertension (62%), followed by hyperlipidemia (57%). The mean number of repetitions in the 1-min STST was 17 ± 6.m RHC revealed a mPAP of 41 ± 13 mmHg, a mean pulmonary vascular resistance of 6 ± 4 Wood Units and a mean cardiac index of 2.7 ± 0.6 L/min/m2. Detailed baseline clinical, hemodynamic, echocardiographic and functional characteristics are displayed in Table 1. The distribution of PH subtypes is shown in Supplementary Table S1.
Comparison by adverse event status
Over a median follow-up of 2.7 years [IQR 1.0–3.9; range: 0.01–5.11 years], 60 patients (51%) had an adverse event, defined by the primary composite endpoint. This included 5 patients (8%) who underwent transplantation (3 double-lung, 2 heart), 42 patients (70%) with ≥ 1 PH-related hospitalization and 13 patients (22%) who died.
Compared to patients without events, those with events were significantly older (70 ± 11 vs. 63 ± 16 years; p = 0.012), had higher NT-proBNP levels (1287 [435–2836] vs. 401 [162–1622] pg/mL; p = 0.002) and more frequently presented in a higher WHO functional class (class III/IV: 70% vs. 40%; p < 0.001). Long-term oxygen therapy was more common in this group (40% vs. 14%; p = 0.002). Cardiovascular risk factors such as smoking (67% vs. 40%; p = 0.004), arterial hypertension (72% vs. 51%; p = 0.021) and hyperlipidemia (67% vs. 47%; p = 0.035) were also more prevalent among patients with adverse events.
Hemodynamically, this group exhibited higher mPAP (44 ± 14 vs. 37 ± 12 mmHg; p = 0.004) and lower mixed venous oxygen saturation (SvO₂, 59 ± 10% vs. 66 ± 7.3%; p < 0.001). Functional capacity was significantly worse in the adverse event group, with lower 6MWT distances (304 ± 126 vs. 402 ± 120 m; p < 0.001) and fewer repetitions in the 1-min STST (15 ± 5.5 vs. 18 ± 7.0 repetitions; p = 0.007). Full comparisons between groups are shown in Table 1.
Based on previously published 1-min STST cut-off values, 41 patients (35%) were categorized as low-risk, 38 (32%) as intermediate-risk and 38 (32%) as high-risk. Interestingly, these cut-offs aligned with tertiles of 1-min STST performance in our cohort.
Association between 1-min STST and long-term outcome
Kaplan–Meier survival analysis revealed a significantly higher incidence of the primary composite outcome among patients in the high-risk 1-min STST group, compared to the intermediate and low-risk groups (log rank p = 0.001; Fig. 1).
Kaplan-Meier survival curve for the primary composite endpoint stratified by 1-min STST cut-offs.
In univariable Cox regression analysis, age (p = 0.026), NT-proBNP (p < 0.001) and 1-min STST repetitions (p < 0.001) were significant predictors of the primary composite outcome (Fig. 2). Each additional repetition on the 1-min STST was associated with a 6% reduction in the risk of experiencing the composite endpoint (HR per repetition: 0.94; 95% CI: 0.90–0.98; p < 0.001), corresponding to a 27% lower risk for every five additional repetitions (HR: 0.73; 95% CI: 0.60–0.90; p < 0.001).
Univariable cox regression analysis for the primary composite endpoint. Hazard ratios (HRs) with 95% confidence intervals for individual predictors. A HR < 1.0 indicates a protective effect; HR > 1.0 indicates increased risk. AFib indicates atrial fibrillation; art. HTN, arterial hypertension; BMI, body mass index; CHD, coronary heart disease; comorb, comorbidity; DM, diabetes mellitus; HLP, hyperlipidemia; mPAP, mean pulmonary artery pressure; NTproBNP, N-terminal pro-brain type natriuretic peptide; STST, sit-to-stand test; WHO, World Health Organization.
In multivariable Cox models, 1-min STST performance remained independently associated with long-term adverse outcomes after adjusting for demographic variables and NT-proBNP (Model 1: adjusted HR = 0.95; 95% CI: 0.91–0.99; p = 0.016), as well as after adjusting for key comorbidities (Model 2: adjusted HR = 0.94; 95% CI: 0.90–0.98; p = 0.003). However, statistical significance was lost in Model 3 adjusted for established PH severity markers (p = 0.987; see Table 2).
Association between 1-min STST and secondary endpoints
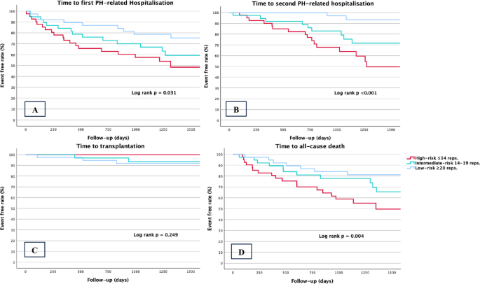
Regarding secondary endpoints, 43 patients (37%) were hospitalized at least once. Among them, 23 patients (20%) had ≥ 2 admissions, 11 (10%) ≥ 3 and 5 (4.3%) ≥ 4 admissions. Kaplan-Meier analysis demonstrated significant differences across 1-min STST risk groups for both time to first hospitalization (log rank p = 0.031; Fig. 3A) and time to second hospitalization (log rank p < 0.001; Fig. 3B). Additionally, 1-min STST repetitions correlated inversely with the total number of hospitalizations (Spearman rs = −0.21, p = 0.024).
D. Kaplan-Meier survival curves for secondary endpoints stratified by 1-min STST cut-offs. (A) Time to first PH-related hospitalization (log rank p = 0.031). (B) Time to second PH-related hospitalization (log rank p < 0.001). (C) Time to transplantation (log rank p = not significant). (D) Time to all-cause mortality (log rank p = 0.004).
During the observation period, five patients (4.3%) underwent transplantation after a median of 3.7 years [IQR 2.6–4.1 years]. Transplant-free survival did not significantly differ by 1-min STST performance group based on published cut-offs (log rank p = 0.249; Fig. 3C). Over a median follow-up of 3.4 years [IQR: 1.7–4.7] years, 38 patients (32%) died. The cumulative survival rates at 1, 3, and 5 years were 11% (n = 13), 26% (n = 31) and 32% (n = 38), respectively. Kaplan-Meier analysis demonstrated a significant difference in overall survival across the 1-min STST risk groups (log rank p = 0.004; Fig. 3D), with lower test performance associated with reduced survival.
Discussion
In this study, we explored the prognostic utility of the 1-min STST in patients with PH. Our findings show that the 1-min STST is a significant and independent predictor of long-term adverse outcomes making it a feasible and easy-to-administer tool for assessing functional capacity and long-term mortality risk in PH patients. To the best of our knowledge, this is the first study that investigates the prognostic value of the 1-min STST specifically in PH patients with respect to PH-related hospitalizations, transplantations and long-term mortality.
Consistent with prior studies highlighting the prognostic role of functional capacity in PH28,29, we observed that patients who experienced adverse long-term outcomes had significantly lower performance on both the 6MWT and the 1-min STST. Importantly, the 1-min STST remained a significant predictor of adverse long-term outcomes even after adjustment for demographic factors, and relevant comorbidities including NT-proBNP and age – both well-established predictors of adverse outcomes in PH30,31 – highlighting the test’s value as a complementary prognostic marker.
The diminished prognostic value found in one of our three adjusted models (Model 3), which included established PH severity markers as outlined in current PH guidelines9 and prior studies32,33,34, is likely attributable to multicollinearity, particularly with WHO functional class, as both measures reflect similar aspects of functional capacity. Previous studies have demonstrated strong correlations between the 1-min STST and clinical parameters such as mPAP and WHO functional class19, which may explain the loss of statistical significance when all markers are included simultaneously. Nevertheless, our findings suggest that the 1-min STST is a practical, resource-efficient and informative tool for mortality risk stratification in PH patients, comparable to the 6MWT.
When patients were stratified by established 1-min STST cut-offs18, which aligned with 1-min STST tertiles in our cohort, those in the lowest performance group (≤ 14 repetitions) exhibited significantly highest risk for the primary composite endpoint. This provides further support for the use of the 1-min STST as a prognostic marker in settings where the 6MWT is not feasible. The current findings validate our previously proposed thresholds of 14 and 20 repetitions18 to identify low- and high-risk PH patients, respectively, and confirm their applicability in clinical practice.
Among the secondary endpoints, PH-related hospitalizations, which represent a major clinical and economic burden in PH, were particularly well predicted by the 1-min STST. Patients with fewer repetitions were more likely to experience both first and second hospitalizations and had higher cumulative admission rates, highlighting the test’s potential in identifying patients at risk of repeated hospitalizations – a key metric for healthcare resource planning and patient management.
Our findings align with prior studies suggesting that the STST can serve as a triage tool for care planning in various clinical settings35,36,37, including emergency departments and prehospital care. Its safety and feasibility even in critically ill populations, as shown by prior studies38,39, support our hypothesis of its application for risk stratification even in patients with severe symptoms or disease. Moreover, the test has been proposed as a valuable preoperative screening tool to identify patients at increased risk for postoperative complications in the acute hospital setting following lung transplantations40, providing further evidence of its prognostic value across diverse healthcare settings.
Regarding long-term mortality, another secondary endpoint, our study found significant differences between 1-min STST performance groups, further supporting the clinical value of this test. This is in line with previous findings from Puhan et al., who identified the 1-min STST among others as the best predictor of mortality in patients with COPD. The authors reported an average of 19.5 repetitions in patients alive at 2 years, compared to 11.8 repetitions among those who died16, values closely aligned with our cut-offs of 20 and 14 repetitions. Similarly, Crook et al. confirmed the long-term prognostic value of the test over a five-year follow-up in COPD patients41 and De Buyser et al. likewise reported that lower STST performance predicted increased mortality in older men42. Extending these observations to PH, our findings confirm that reduced performance on the 1-min STST is associated with increased long-term mortality.
Although the 1-min STST did not significantly predict transplantations in our cohort, another secondary endpoint, this is likely due to limited statistical power, as only five transplant events occurred. Additionally, transplantation eligibility is influenced by factors beyond functional capacity, such as organ availability and institutional policies. Nevertheless, prior studies have demonstrated the utility of the 1-min STST in lung transplant candidates43 and its responsiveness to postoperative changes following transplantation44.
Given its simplicity, short duration and minimal logistical requirements, the 1-min STST may serve as a practical alternative to the 6MWT, especially in outpatient clinics, general practitioner offices and resource-limited settings where space or staff constraints may limit the use of longer functional tests. While the 6MWT remains the guideline-recommended9 standard for functional capacity assessment in PH, its implementation can be limited by space, time and personnel constraints. In contrast, the 1-min STST requires minimal equipment and infrastructure, which also reduces healthcare costs, making it a practical alternative. It could be easily digitized or incorporated into mobile health platforms for remote monitoring.
Furthermore, the 1-min STST has demonstrated high reliability and validity in assessing functional capacity in cardiopulmonary populations45,46, including patients with PH22. The previously demonstrated strong correlation between the 1-min STST and the 6MWT19, the routine standard for functional capacity assessment, further supports the use of the 1-min STST as a surrogate measure of functional capacity in PH.
Clinical implications and future directions
The 1-min STST is simple and low-cost, making it especially attractive for routine use in healthcare environments where tests like the 6MWT or cardiopulmonary exercise testing may not be feasible. Its implementation in routine visits could aid in tailoring monitoring intensity and allow clinicians to personalize monitoring intervals and treatment decisions based on individual patient risk profiles. Our findings underscore the broader clinical value of assessing functional capacity in PH. Patients who perform well on physical tests are more likely to maintain independence in daily living and may experience more favorable outcomes overall. Future research should explore the 1-min STST in PH not only as a baseline prognostic tool but also as a longitudinal marker of disease progression and treatment response.
Study limitations
This study has some limitations. First, although we included a wide variety of potential prognostic factors to control for confounding, some important factors may have been omitted (e.g., physical activity, participation in rehabilitation programs).
Second, we excluded participants who failed to complete the 1-min STST and did not group these participants as unable to complete it. Thus, we did not compare participants unable to complete the test with those who were able, which should be investigated in future studies. Third, because our study was conducted in a single center generalizations should be made with caution. However, the single center study-design also offers advantages regarding the consistency of diagnostic work-up, treatment and follow-up and the prospective study design assures consistency and accuracy of the acquired data. Finally, in this study, the 1-min STST and 6MWT were only performed once, without accounting for potential learning effects. While this approach aligns with previous PH studies evaluating the 1-min STST20,47, the impact of repeated 1-min STST testing warrants further investigation.
Conclusion
The 1-min STST is a predictor for long-term adverse outcomes in patients with PH and may serve as a simple and cost-effective tool for risk stratification in this population. Therefore, we postulate that incorporating the 1-min STST into routine clinical assessments of patients with PH as an objective measure may help optimize risk-stratification and improve patient management.
Data availability
The data that support the findings of this study are available from the corresponding author on request.
Abbreviations
- COPD:
-
Chronic obstructive pulmonary disease
- mPAP:
-
Mean pulmonary artery pressure
- NT-proBNP:
-
N-terminal pro-brain type natriuretic peptide
- 1-min STST:
-
One-minute sit-to-stand test
- PH:
-
Pulmonary hypertension
- RHC:
-
Right heart catheterization
- 6MWT:
-
Six-minute walk test
- WHO:
-
World Health Organization
References
Montani, D. et al. Pulmonary arterial hypertension. Orphanet J. Rare Dis. 8, 97. https://doi.org/10.1186/1750-1172-8-97 (2013).
Hendriks, P. M. et al. The evolution of survival of pulmonary arterial hypertension over 15 years. Pulm Circ. 12, e12137. https://doi.org/10.1002/pul2.12137 (2022).
Gall, H. et al. The Giessen pulmonary hypertension registry: survival in pulmonary hypertension subgroups. J. Heart Lung Transpl. 36, 957–967. https://doi.org/10.1016/j.healun.2017.02.016 (2017).
Zelt, J. G. E. et al. Mortality trends in pulmonary arterial hypertension in Canada: a temporal analysis of survival per ESC/ERS guideline era. Eur. Respir J. https://doi.org/10.1183/13993003.01552-2021 (2022).
Zhang, C., Tsang, Y., He, J. & Panjabi, S. Predicting risk of 1-Year hospitalization among patients with pulmonary arterial hypertension. Adv. Ther. 40, 2481–2492. https://doi.org/10.1007/s12325-023-02501-5 (2023).
Canavan, N. Rehospitalization is driving costs in pulmonary arterial hypertension. Am. Health Drug Benefits. 6, 600–601 (2013).
Kylhammar, D. et al. A comprehensive risk stratification at early follow-up determines prognosis in pulmonary arterial hypertension. Eur. Heart J. 39, 4175–4181. https://doi.org/10.1093/eurheartj/ehx257 (2018).
Benza, R. L. et al. Predicting survival in pulmonary arterial hypertension: insights from the registry to evaluate early and Long-Term pulmonary arterial hypertension disease management (REVEAL). Circulation 122, 164–172. https://doi.org/10.1161/circulationaha.109.898122 (2010).
Humbert, M. et al. 2022 ESC/ERS guidelines for the diagnosis and treatment of pulmonary hypertension. Eur. Heart J. 43, 3618–3731. https://doi.org/10.1093/eurheartj/ehac237 (2022).
Souza, R. et al. Association between six-minute walk distance and long-term outcomes in patients with pulmonary arterial hypertension: data from the randomized SERAPHIN trial. PLoS One. 13, e0193226. https://doi.org/10.1371/journal.pone.0193226 (2018).
Farber, H. W. et al. Predicting outcomes in pulmonary arterial hypertension based on the 6-minute walk distance. J. Heart Lung Transpl. 34, 362–368. https://doi.org/10.1016/j.healun.2014.08.020 (2015).
Miyamoto, S. et al. Clinical correlates and prognostic significance of six-minute walk test in patients with primary pulmonary hypertension. Comparison with cardiopulmonary exercise testing. Am. J. Respir Crit. Care Med. 161, 487–492. https://doi.org/10.1164/ajrccm.161.2.9906015 (2000).
Strassmann, A. et al. Population-based reference values for the 1-min sit-to-stand test. Int. J. Public. Health. 58, 949–953. https://doi.org/10.1007/s00038-013-0504-z (2013).
Tanriverdi, A., Kahraman, B. O., Ozpelit, E. & Savci, S. Test retest reliability and validity of 1-Minute Sit-to-Stand test in patients with chronic heart failure. Heart Lung Circ. https://doi.org/10.1016/j.hlc.2023.01.008 (2023).
Yee, X. S. et al. Performance on sit-to-stand tests in relation to measures of functional fitness and sarcopenia diagnosis in community-dwelling older adults. Eur. Rev. Aging Phys. Act. 18, 1. https://doi.org/10.1186/s11556-020-00255-5 (2021).
Puhan, M. A., Siebeling, L., Zoller, M., Muggensturm, P. & ter Riet, G. Simple functional performance tests and mortality in COPD. Eur. Respir J. 42, 956–963. https://doi.org/10.1183/09031936.00131612 (2013).
Tsai, M. Y., Huang, K. T., Hsu, C. Y., Yu, Y. H. & Fu, P. K. Reference values for the 1-minute sit-to-stand test to assess functional capacity and short-term mortality in people with idiopathic pulmonary fibrosis and fibrotic connective tissue related interstitial lung diseases: a prospective real-world cohort study. BMC Pulm Med. 25, 61. https://doi.org/10.1186/s12890-025-03521-3 (2025).
Kronberger, C. et al. One-minute sit-to-stand test cut-offs for risk stratification based on six-minute walk test thresholds in pulmonary hypertension. Eur. J. Prev. Cardiol. https://doi.org/10.1093/eurjpc/zwaf031 (2025).
Kronberger, C. et al. Functional capacity testing in patients with pulmonary hypertension (PH) using the one-minute sit-to-stand test (1-min STST). PLoS One. 18, e0282697. https://doi.org/10.1371/journal.pone.0282697 (2023).
Pavsic, N., Kacar, P., Dolenc, J. & Prokselj, K. One-minute sit-to-stand test in patients with pulmonary arterial hypertension associated with congenital heart disease: A single-center prospective study. Hellenic J. Cardiol. 75, 41–47. https://doi.org/10.1016/j.hjc.2023.06.006 (2024).
Nakazato, L. et al. Association of daily physical activity with psychosocial aspects and functional capacity in patients with pulmonary arterial hypertension: a cross-sectional study. Pulm Circ. 11, 2045894021999955. https://doi.org/10.1177/2045894021999955 (2021).
Takeda, K. et al. The utility and safety of one-minute sit-to-stand test in pulmonary hypertension: A prospective study. Respir Investig. 63, 61–66. https://doi.org/10.1016/j.resinv.2024.12.003 (2024).
Vaidya, T. et al. Is the 1-minute sit-to-stand test a good tool for the evaluation of the impact of pulmonary rehabilitation? Determination of the minimal important difference in COPD. Int. J. Chron. Obstruct Pulmon Dis. 11, 2609–2616. https://doi.org/10.2147/copd.S115439 (2016).
Kronberger, C. et al. Exercise capacity assessed with the one-minute sit-to-stand test (1-min STST) and echocardiographic findings in patients with heart failure with preserved ejection fraction (HFpEF). Heart Lung. 55, 134–139. https://doi.org/10.1016/j.hrtlng.2022.05.001 (2022).
ATS statement. Guidelines for the six-minute walk test. Am. J. Respir Crit. Care Med. 166, 111–117. https://doi.org/10.1164/ajrccm.166.1.at1102 (2002).
Zeren, M. et al. Cut-off values of 6-min walk test and sit-to-stand test for determining symptom burden in atrial fibrillation. Ir. J. Med. Sci. 191, 2587–2595. https://doi.org/10.1007/s11845-021-02901-y (2022).
Wilson, R. C. & Jones, P. W. A comparison of the visual analogue scale and modified Borg scale for the measurement of dyspnoea during exercise. Clin. Sci. (Lond). 76, 277–282. https://doi.org/10.1042/cs0760277 (1989).
Paolillo, S. & Agostoni, P. Prognostic role of cardiopulmonary exercise testing in clinical practice. Ann. Am. Thorac. Soc. 14, S53–s58. https://doi.org/10.1513/AnnalsATS.201610-818FR (2017).
Tran, D. L., Lau, E. M. T., Celermajer, D. S., Davis, G. M. & Cordina, R. Pathophysiology of exercise intolerance in pulmonary arterial hypertension. Respirology 23, 148–159. https://doi.org/10.1111/resp.13141 (2018).
Chin, K. M. et al. Association of N-Terminal pro brain natriuretic peptide and Long-Term outcome in patients with pulmonary arterial hypertension. Circulation 139, 2440–2450. https://doi.org/10.1161/circulationaha.118.039360 (2019).
Hjalmarsson, C. et al. Impact of age and comorbidity on risk stratification in idiopathic pulmonary arterial hypertension. Eur. Respir J. https://doi.org/10.1183/13993003.02310-2017 (2018).
Sugiyama, Y., Matsubara, H., Shimokawahara, H. & Ogawa, A. Outcome of mean pulmonary arterial pressure-based intensive treatment for patients with pulmonary arterial hypertension. J. Cardiol. 80, 432–440. https://doi.org/10.1016/j.jjcc.2022.04.003 (2022).
Ishiguro, M. et al. Pulmonary artery pressure as a treatment target to improve the prognosis of idiopathic pulmonary arterial hypertension - Insight from a cohort from two Japanese pulmonary hypertension centers. Circ. Rep. 2, 249–254. https://doi.org/10.1253/circrep.CR-20-0006 (2020).
Fukuda, K. et al. Guidelines for the treatment of pulmonary hypertension (JCS 2017/JPCPHS 2017). Circ. J. 83, 842–945. https://doi.org/10.1253/circj.CJ-66-0158 (2019).
Guha Niyogi, S. et al. One minute sit-to-stand test as a potential triage marker in COVID-19 patients: A pilot observational study. Trends Anaesth. Crit. Care. 39, 5–9. https://doi.org/10.1016/j.tacc.2021.04.007 (2021).
Kjerulff, J., Bach, A., Væggemose, U., Skaarup, S. H. & Bøtker, M. T. Implementation and findings on a one-minute sit-stand test for prehospital triage in patients with suspected COVID-19-a pilot project. BMC Emerg. Med. 22, 54. https://doi.org/10.1186/s12873-022-00605-9 (2022).
Davies, P. et al. Exercise-induced hypoxia among emergency department patients admitted for suspected COVID-19. Emerg. Med. J. 38, 794–797. https://doi.org/10.1136/emermed-2021-211220 (2021).
Melo, T. A. et al. The five times Sit-to-Stand test: safety and reliability with older intensive care unit patients at discharge. Rev. Bras. Ter. Intensiva. 31, 27–33. https://doi.org/10.5935/0103-507x.20190006 (2019).
O’Grady, H. K. et al. The sit-to-stand test as a patient-centered functional outcome for critical care research: a pooled analysis of five international rehabilitation studies. Crit. Care. 26, 175. https://doi.org/10.1186/s13054-022-04048-3 (2022).
Boujibar, F. et al. The 6-minute stepper test and the sit-to-stand test predict complications after major pulmonary resection via minimally invasive surgery: a prospective inception cohort study. J. Physiother. 68, 130–135. https://doi.org/10.1016/j.jphys.2022.03.001 (2022).
Crook, S., Frei, A., ter Riet, G. & Puhan, M. A. Prediction of long-term clinical outcomes using simple functional exercise performance tests in patients with COPD: a 5-year prospective cohort study. Respir. Res. 18, 112. https://doi.org/10.1186/s12931-017-0598-6 (2017).
De Buyser, S. L. et al. Physical function measurements predict mortality in ambulatory older men. Eur. J. Clin. Invest. 43, 379–386. https://doi.org/10.1111/eci.12056 (2013).
Kohlbrenner, D., Benden, C. & Radtke, T. The 1-Minute Sit-to-Stand test in lung transplant candidates: an alternative to the 6-Minute walk test. Respir Care. 65, 437–443. https://doi.org/10.4187/respcare.07124 (2020).
Tarrant, B. J. et al. The utility of the Sit-to-Stand test for inpatients in the acute hospital setting after lung transplantation. Phys. Ther. 100, 1217–1228. https://doi.org/10.1093/ptj/pzaa057 (2020).
Crook, S. et al. A multicentre validation of the 1-min sit-to-stand test in patients with COPD. Eur. Respir J. https://doi.org/10.1183/13993003.01871-2016 (2017).
Bohannon, R. W. & Crouch, R. 1-Minute Sit-to-Stand test: SYSTEMATIC REVIEW OF PROCEDURES, PERFORMANCE, AND CLINIMETRIC PROPERTIES. J. Cardiopulm. Rehabil Prev. 39, 2–8. https://doi.org/10.1097/hcr.0000000000000336 (2019).
Pereira, M. C., Lima, L. N. G., Moreira, M. M. & Mendes, F. A. R. One minute sit-to-stand test as an alternative to measure functional capacity in patients with pulmonary arterial hypertension. J. Bras. Pneumol. 48, e20210483. https://doi.org/10.36416/1806-3756/e20210483 (2022).
Acknowledgements
We thank the PH patients at our center who made this study possible by their enthusiastic involvement. We further thank the PH outpatient clinic team for the support.
Author information
Authors and Affiliations
Contributions
Ms. C.K., R.A.M, B.L. and R.B.E. designed the study. Ms. C.K., R.A.M., N.E., M.P., L.M.S., M.E., N.R., M.B.K. were involved in the acquisition and interpretation of the data. Ms. C.K., R.A.M., Mr. C.K. and M.T.G. conducted the statistical analysis and drafted the manuscript. B.L., I.M., and R.B.E. supervised the study and revised the manuscript for important intellectual content. All authors contributed to the interpretation of the results and editing of the manuscript. All authors approved the manuscript for publication.
Corresponding author
Ethics declarations
Competing interests
The authors declare no competing interests.
Additional information
Publisher’s note
Springer Nature remains neutral with regard to jurisdictional claims in published maps and institutional affiliations.
Supplementary Information
Below is the link to the electronic supplementary material.
Rights and permissions
Open Access This article is licensed under a Creative Commons Attribution-NonCommercial-NoDerivatives 4.0 International License, which permits any non-commercial use, sharing, distribution and reproduction in any medium or format, as long as you give appropriate credit to the original author(s) and the source, provide a link to the Creative Commons licence, and indicate if you modified the licensed material. You do not have permission under this licence to share adapted material derived from this article or parts of it. The images or other third party material in this article are included in the article’s Creative Commons licence, unless indicated otherwise in a credit line to the material. If material is not included in the article’s Creative Commons licence and your intended use is not permitted by statutory regulation or exceeds the permitted use, you will need to obtain permission directly from the copyright holder. To view a copy of this licence, visit http://creativecommons.org/licenses/by-nc-nd/4.0/.
About this article
Cite this article
Kronberger, C., Mousavi, R.A., Ermolaev, N. et al. Performance on the one-minute sit-to-stand test predicts long-term adverse outcomes in pulmonary hypertension. Sci Rep 16, 6562 (2026). https://doi.org/10.1038/s41598-026-37611-x
Received:
Accepted:
Published:
Version of record:
DOI: https://doi.org/10.1038/s41598-026-37611-x


