Abstract
Early root establishment is vital for tobacco survival under low-temperature stress in southern China. This field study evaluated potassium humate (PH), Hymexazol and Isorothiolane emulsifiable concentrate (HIEC), and chitosan (CS). Compared to the control group (CG), PH and HIEC emerged as the most effective treatments. Agronomic traits (e.g., root length, leaf number) increased by 5.41% to 24.31% and 15.00% to 80.91% relative to the CG, respectively, while dry matter and nutrient accumulation (nitrogen, phosphorus, potassium) significantly enhanced by 10.84% to 64.83% and 28.03% to 100%, respectively. Mechanistically, PH employed a “Soil-Optimization Strategy,” improving soil pH and organic matter while maintaining microbial diversity. Conversely, HIEC utilized a ‘Functional Selection Strategy,’ stimulating growth by selectively enriching protective genera such as Gaiella and Sphingomonas (reaching relative abundances of 11.36% and 3.60%, respectively, compared to the CG), despite reducing overall bacterial diversity. Furthermore, correlation analysis revealed a positive feedback loop where root expansion enhanced Nitrogen/Potassium uptake, boosting relative chlorophyll content (SPAD) and fueling biomass accumulation. These findings highlight that distinct ecological pathways, specifically soil amelioration and functional microbiome selection, effectively drive crop resilience, providing practical cultivation measures for the tobacco industry to overcome adverse climatic conditions.
Introduction
Tobacco (Nicotiana tabacum L.) is an important cash crop in China, and its quality and economic benefits are closely related to cultivation and management measures1. The transplanting stage is one of the key links in the growth and development of tobacco, and the growth of the root system after transplanting affects the survival rate of the plant, the early growth potential, and the quality of tobacco in the later stages2,3. In Hunan Province, the transplanting period of tobacco is usually from February to March, and the low temperature and rainy climate characteristics make the soil temperature lower, and the root system activity weakened, leading to the prolongation of the transplanting period, which in turn affects the early growth of tobacco4,5.
As a class of agents that can promote the growth and functional improvement of plant roots, the mechanism of action of root promoters mainly includes promoting root cell division and elongation, enhancing root uptake, improving the soil microbial environment, and improving the resistance to stress6,7,8. Different root-promoting agents differ in their mode of action and physiological effects. Studies have shown that Potassium Humate (PH), a mineral source, is rich in organic acids and trace elements, which can significantly improve the efficiency of nutrient absorption by the root system and stimulate root growth, as well as enhance the antioxidant capacity and stress resistance of plants9,10. Hymexazol and Isorothiolane Emulsifiable Concentrate (HIEC), containing fungicidal ingredients, inhibits pathogenic bacteria and promotes healthy growth by regulating the root microenvironment11,12. Chitosan (CS) is a natural polysaccharide derived from chitin, which acts as a plant growth regulator and biostimulant that not only improves plant acclimatization to low-temperature stress but also promotes root development by inducing plant resistance responses and regulating endogenous hormones13,14, and it has been demonstrated that CS significantly enhanced the cold resistance of the rice root system15. Beyond these direct physiological effects, these promoters also distinctively reshape the rhizosphere microbiome, which is vital for nutrient cycling. For instance, organic substances like humic acid can stimulate beneficial bacteria by providing carbon sources16, whereas chemical agents (like fungicides) may alter the community by suppressing specific taxa17. Understanding these microbial shifts is crucial to fully explain how these promoters improve crop performance.
While existing research confirms the general benefits of root promoters, most studies rely on greenhouse experiments or focus on single agents, failing to capture the complexity of field environments. This limitation is particularly evident for the cold and rainy transplanting season in Hunan, where the comparative efficacy of different agents remains unknown. This study addresses that gap by evaluating PH, HIEC, and CS under these specific field conditions. We hypothesize that all three root promoters will effectively alleviate the growth stress caused by adverse weather conditions compared to the control. Furthermore, due to their distinct compositions, we anticipate significant differences in their ability to improve root morphology and soil properties. This study hopes to identify the most suitable strategy for enhancing tobacco resilience in this region.
Materials and methods
Experimental site
The field experiment was conducted in Yaopo Town, Chaling County, Zhuzhou City, Hunan Province. The test site is located in the central part of Chaling County (26°46′59″N, 113°45′00″E), which belongs to the subtropical monsoon humid climate zone, with a mild climate, abundant rainfall, and short winter cold period. The average annual temperature is 17.9 °C, the annual active cumulative temperature is 5509 °C, the frost-free period is 294d, and the average annual rainfall is 1423 mm. The experimental site is located in the area of tobacco and rice rotation, with soil pH 5.82, organic matter 44.23 g/kg, alkaline dissolved nitrogen 34.72 mg/kg, effective phosphorus 60.22 mg/kg, and quick-acting potassium 250.14 mg/kg.
Root promoters
PH(Humic Acid ≥ 60%, Organic Matter Content ≥ 80%, K2O ≥ 5%) is produced by Yangling Shangyou Biotechnology Co. HIEC(Hymexazol ≥ 10%, Isorothiolane ≥ 10%) is produced by Hubei Transplanting Spirit Agricultural Science and Technology Co. CS is produced by AIJUDAO (Qingdao) Marine Biological Fertilizer Co.
Field trials and design description
Field trials were conducted using the tobacco cultivar ‘Yun 87’. Before transplanting, the field was prepared for tobacco cultivation by raising ridges and applying basal fertilizer. 8-leaf tobacco seedlings were selected and transplanted on ridges (in rings) having a plant-to-row spacing of 50 × 120 cm. Root promoters were poured on the roots after transplanting. There are four treatment groups as follows: PH (247.5 kg/ha, made into a 10% solution with water), HIEC (33 kg/ha, made into a 0.3% solution with water), CS (60 kg/ha, made into a 5% solution with water), and control group (CG) was without any root promoter. Topdressing fertilizer was applied on the 14th day after transplanting. The basal fertilizer application rates were 63 kg/ha for nitrogen (N), 153 kg/ha for phosphorus pentoxide (P₂O₅), and 150 kg/ha for potassium oxide (K₂O). The topdressing fertilizer application rates were 106.5 kg/ha for N, 10.8 kg/ha for P₂O₅, and 342 kg/ha for K₂O. The integrated field management methods were adopted at the experimental site according to China’s National Standards of Tobacco Industry18. The experiment was carried out under a randomized complete block design and repeated thrice with 12 plots (Plot size = 6 m × 7 m per replication; 3 plots per treatment).
Determination of root and agronomic traits
Root traits of tobacco include root length (cm), surface area (cm2), mean diameter (mm), volume (cm3), and number of root tips. At 30 (reunion stage) and 60 (late vigorous growth stage) days after transplanting, 5 tobaccos were selected from each treatment, and the roots were dug and rinsed, then placed in LA-2400 multi-parameter root analysis system and data analyzed by WinRHIZO19.
The agronomic traits of tobacco plants, including plant height (cm), stem circumference (cm), number of effective leaves, and maximum leaf length (cm) from each treatment after 30 and 60 days of transplanting, were recorded according to the “Tobacco Industry Standard YC/T 142–1988 Tobacco Agronomic Trait Survey Methods” in China. Briefly, data were collected from 5 plants from each plot per treatment, and the mean value was calculated. The leaf area (cm2) was calculated using the following formula: leaf length × leaf width × 0.634518.
Analysis of SPAD value of tobacco leaves
The SPAD value of tobacco plants was calculated from the mid to the late maturing stage after 30 and 60 days of transplanting from each treatment. Briefly, five tobacco plants were randomly selected from each plot per treatment, and one middle leaf per plant was selected from top to bottom after transplanting to calculate the SPAD value by using the Spad-502 PLUS portable chlorophyll meter (Konica Minolta, Japan)20. Each tobacco leaf was measured at 6 points on the symmetry on both sides, 3 cm from the central vein, and the average value was recorded.
2.6 Determination of the accumulation of dry matter, total nitrogen, total phosphorus, and total potassium contents of tobacco plants.
The accumulation of dry matter contents (kg/ha) in different parts (root, stem, and leaf) of tobacco plants was determined at 30 and 60 days of post-transplanting under various treatments. Briefly, 5 plants were randomly uprooted per plot from each treatment and divided into three parts (root, stem, and leaf). The collected samples were dry at 105 °C for 30 min, dried to constant weight at 80 °C for 48 h, and the contents of dry matter were measured in each part21. The contents (kg/ha) of N, phosphorus (P), and potassium (K) were determined in different parts (root, stem, and leaf) of tobacco plants from the samples collected after 30 and 60 days of transplanting. The samples were digested with H2SO4-H2O2, and the contents of N, P, and K were determined with continuous flow analyzer, molybdenum-antimony anti-colorimetric, and flame photometric methods, respectively18. Total dry matter accumulation and total nutrient accumulation of the plant were equal to the sum of roots, stems, and leaves.
Sampling and determination of rhizosphere soil samples
Rhizosphere soil samples were collected 60 days after transplanting using the five-point sampling method. In each plot, soil from five plants was mixed thoroughly to form one composite sample. This sample was divided into two parts: one was stored at -80 °C for microbial analysis, and the other was air-dried for the analysis of soil properties.
For microbial analysis, 0.5 g of fresh soil was used for DNA extraction using the UltraClean Microbial DNA Isolation Kit (Mo Bio, USA). The V3–V4 region of the bacterial 16 S rRNA gene was amplified using primers 338 F (5′-ACTCCTACGGGAGGCAGCA-3′) and 806R (5′-GGACTACHVGGGTWTCTAAT-3′). The PCR reaction (25 µL) contained 12.5 µL 2× Premix Taq (TaKaRa), 1 µL of each primer (10 µM), 1 µL template DNA, and 9.5 µL distilled water. The PCR program was set as follows: 95 °C for 5 min; 35 cycles of 95 °C for 30 s, 55 °C for 30 s, and 72 °C for 45 s; and a final extension at 72 °C for 7 min. The PCR products were checked on a 1% agarose gel, purified, and sequenced on the Illumina HiSeq platform.
Standard methods were adopted to asses soil physicochemical attributes. Specifically, 10.0 g of air-dried soil was used to measure soil pH in a soil-water suspension (1:2.5, w/v) using a digital pH meter. For soil organic matter (SOM), 0.5 g of soil was quantified via the potassium dichromate oxidation method with external heating. Available nutrients were determined as follows: Alkali-hydrolyzable nitrogen (AN) was assayed using the alkali hydrolysis diffusion method with 2.0 g of soil. Available phosphorus (AP) was extracted from 2.5 g of soil using 0.5 mol/L NaHCO₃ and determined colorimetrically using the molybdenum blue method. Available potassium (AK) was extracted from 5.0 g of soil using 1 mol/L NH₄OAc and measured by flame photometry22.
Statistical analysis
Data were organized using Microsoft Excel 2023 software and statistically analyzed using one-way analysis of variance (ANOVA) in SPSS version 27.0 software (IBM, Chicago, USA). Significant differences between treatments were calculated by the least significant difference (Duncan) and were considered significant when p < 0.05. The α diversity was analyzed through Shannon index, Chao index, ACE index and Simpson index; the β diversity of bacterial communities was evaluated by NMDS (Non-metric Multidimensional Scaling). Stacked bar plots were employed to visualize the taxonomic composition analysis, illustrating phylum-level variations in species abundance across samples. Originpro 2024b was used to analyze the correlations and to perform correlation heat map analysis.
Results
Root promoters affect agronomic traits
As detailed in Table 1; Fig. 1, root promoter treatments significantly improved root morphological traits—including length, surface area, volume, and tip number—compared to the control (CG) throughout the experiment. The only exception was the mean root diameter at 30 d, where no significant difference was observed. Relative to the CG, the PH, HIEC, and CS treatments increased root length by 70.48%, 80.91%, and 43.65% at 30 d, and by 49.15%, 15.00%, and 14.53% at 60 d, respectively. Similar enhancing effects were observed for root surface area and volume. For instance, root surface area increased by 14.84% to 85.84% at 30 d and 3.95% to 39.47% at 60 d. The number of root tips also significantly exceeded the CG, with increases ranging from 16.58% to 49.02% across the treatments and time points. Meanwhile, the mean root diameter only exhibited a slight but significant increase (0.66% to 4.64%) at 60 d.
Representative phenotypes of tobacco plants under different root promoter treatments at 30 and 60 days post-transplanting. Images display the whole-plant growth performance, including shoot development and root morphology, at (a) 30 days (scale bar = 5 cm) and (b) 60 days (scale bar = 15 cm). PH, Potassium Humate; HIEC, Hymexazol and Isorothiolane Emulsifiable Concentrate; CS, Chitosan; CG, Control Group.
The efficacy of the different root promoters varied across sampling periods. 30d root length in HIEC and PH, root surface area in HIEC, root volume in HIEC, and root tip count in PH and HIEC were relatively effective, 60d root length in PH, root surface area in HIEC, average root diameter in HIEC, root volume in HIEC, root tip count in HIEC were relatively effective. Taken together, PH and HIEC root promoters were more effective.
Root promoters affect agronomic traits
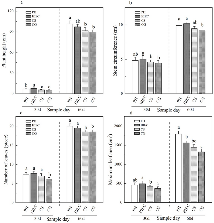
As shown in Fig. 2, at 30 d, plant height (a) of PH, HIEC, and CS increased by 30.98%, 45.89%, and 10.33%, stem circumference (b) increased by 9.73%, 13.57%, and 4.52%, the number of effective leaves (c) increased by 18.80%, 24.31%, and 13.45%, and maximum leaf area (d) increased by 24.76%, 33.83%, and 14.95%, respectively, compared to CG. At 60 d, the plant height of PH, HIEC, and CS increased by 13.28%, 8.98%, and 2.36%, the stem circumference increased by 8.18%, 11.01%, and 3.05%, the number of leaves of PH and HIEC increased by 8.11% and 5.41%, and the maximum leaf area increased by 35.52%, 17.92% and 9.06% compared with that of CG, respectively. The effects of different root promoter treatments differed in different sampling periods, and comprehensively, PH and HIEC promoted aboveground growth better.
Effects of different root promoters on the agronomic traits of tobacco at 30 and 60 days post-transplanting. The agronomic traits measured include (a) plant height, (b) stem circumference, (c) number of effective leaves, and (d) maximum leaf area. PH, potassium humate; HIEC, hymexazol and isorothiolane emulsifiable concentrate; CS, chitosan; CG, control group. Data are presented as mean ± standard deviation (n = 3). Different lowercase letters above the bars indicate significant differences between treatments at the same time point (one-way ANOVA followed by Duncan’s multiple range test, p < 0.05).
SPAD values of tobacco leaves
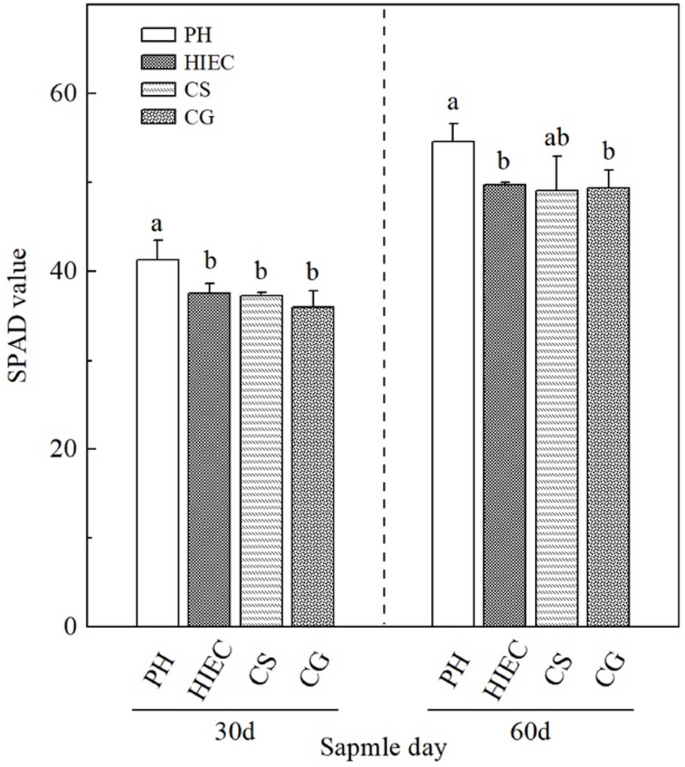
SPAD values represent the relative value of leaf chlorophyll content. As can be seen from Fig. 3, at 30d, the SPAD value of PH was the highest, both significantly higher than the other treatments, while there was no significant difference between the other treatments; at 60d, the SPAD value of PH was significantly higher than that of HIEC and CG treatments. Taken together, the root promoter PH was favorable to increasing the SPAD value of tobacco.
Effect of root promoter application on SPAD values of tobacco leaves at 30 and 60 days after transplanting. PH, Potassium Humate; HIEC, Hymexazol and Isorothiolane Emulsifiable Concentrate; CS, Chitosan; CG, Control Group. Data are presented as mean ± standard deviation (n = 3). Different lowercase letters above the bars indicate significant differences among treatments within the same sampling time (one-way ANOVA followed by Duncan’s multiple range test, p < 0.05).
Application of root promoters improves dry matter accumulation and distribution in tobacco plants
Figure 4 shows, at 30 d, the total dry matter of PH, HIEC, and CS was 59.53%, 64.83%, and 15.72% more than that of CG, respectively, and the dry matter accumulations of roots, stems, and leaves in PH and HIEC were significantly higher than those of CS and CG. At 60d, the total dry matter accumulation for PH, HIEC and CS was 14.10%, 10.84%, and 3.35% more than that of CG, respectively. No significant difference between the total dry matter accumulation of CS and CG, and the dry matter accumulation of roots, stems and leaves in PH and HIEC was significantly higher than that of CG. In contrast, the stems and leaves in CS were significantly higher than those in CG. It can be seen that the application of root promoter had a greater effect on tobacco dry matter accumulation, especially the greatest effect on leaf dry matter accumulation.
Effect of root promoter application on dry matter accumulation in tobacco plants, roots, stems, and leaves at 30d (a) and 60d (b) after transplanting. The stacked bars represent the dry matter distribution in roots, stems, and leaves, while the black bars represent the total plant dry matter. PH, Potassium Humate; HIEC, Hymexazol and Isorothiolane Emulsifiable Concentrate; CS, Chitosan; CG, Control Group. Data are presented as mean ± standard deviation (n = 3). Different lowercase letters indicate significant differences in total dry matter accumulation among treatments (one-way ANOVA followed by Duncan’s multiple range test, p < 0.05).
Nitrogen accumulation and distribution in tobacco plants under different root promoter applications
As can be seen from Fig. 8, the total nitrogen accumulation of PH, HIEC, and CS was 65.56%, 70.37%, and 11.85% more than that of CG at 30 d, and 45.24%, 42.16%, and 23.26% more than that of CG at 60 d. However, the difference between CS and CG was not significant at 30 d. Meanwhile, the nitrogen accumulation in the roots, stems, and leaves of PH and HIEC was significantly higher than that of CS and CG. It can be seen that the PH and HIEC root promoters were more effective in promoting N accumulation in tobacco plants. The application of root promoter had a significant effect on the nitrogen accumulation in roots, stems, and leaves of tobacco, but the effects on different organs were not the same in different periods, the effect on leaves was the greatest in 30d; the effect on stems was the greatest in 60d.
Phosphorus accumulation and distribution in tobacco plants under different root promoter applications
As shown in Fig. 5, the total phosphorus accumulation of PH, HIEC, and CS was 100.00%, 91.30%, and 43.48% more than that of CG at 30d, and 36.52%, 28.03% and 8.70% more than that of CG at 60d, respectively. The use of root promoters favored phosphorus accumulation in tobacco plants. In both periods, the total amount of phosphorus accumulation, as well as the accumulation of roots, stems, and leaves in PH, were significantly higher than that in CG, which can be seen that PH root promoter had the best effect on promoting phosphorus accumulation in tobacco plants, followed by HIEC. The effects of root promoter application on the phosphorus accumulation of roots, stems, and leaves were all at a significant level, but the effects on different organs were not the same at different periods, and the effects on roots, stems, and leaves were greater in 30d, and on the stems in 60d.
Effect of root promoter application on phosphorus accumulation in tobacco plants, roots, stems and leaves at 30d (a) and 60d (b) after transplanting. PH, Potassium Humate; HIEC, Hymexazol and Isorothiolane Emulsifiable Concentrate; CS, Chitosan; CG, Control Group. Data are presented as mean ± standard deviation (n = 3). Different lowercase letters above the bars indicate significant differences in total phosphorus accumulation among treatments (one-way ANOVA followed by Duncan’s multiple range test, p < 0.05).
Potassium accumulation and distribution in tobacco plants under different root promoter applications
At 30d, the total potassium accumulation of PH, HIEC, and CS was 62.77%, 67.12%, and 17.39% more than that of CG, and at 60d, it was 30.72%, 35.98%, and 26.36% more than that of CG, respectively (Fig. 9). PH and HIEC root promoters were more effective in promoting potassium accumulation in tobacco plants. The effects of root promoters on potassium accumulation in roots, stems, and leaves reached significant levels, and root promoters had a greater effect on stems and leaves in both periods, which shows that the use of root promoters helps potassium accumulation in tobacco leaves.
Effects of different root promoters on soil properties
Table 2 presents the soil properties under different treatments. Compared to CG, the application of root promoters significantly improved SOM content, with PH recording the highest value (47.97 mg/kg). Soil pH also increased significantly in the PH and CS treatments relative to CG, whereas HIEC showed no statistical difference. Conversely, residual nutrient levels in the treated plots were generally lower than in the control. Specifically, AK content was significantly higher in CG compared to all root promoter treatments. A similar pattern was observed for AN, where CG levels significantly exceeded those of PH and HIEC. However, no significant variation was found in AP content across the four treatments.
Diversity and differential analysis of soil bacterial communities
Table 3 illustrate the variations in soil bacterial diversity. Regarding α diversity, the HIEC treatment significantly reduced bacterial richness compared to the CG. Specifically, the Chao1 and Ace indices in the HIEC were significantly lower than those in the CG. In contrast, the PH and CS treatments maintained bacterial richness at levels comparable to the CG, showing no significant statistical differences in Chao1 or Ace indices. While the Shannon index appeared highest in the PH group and lowest in the HIEC group, no significant difference was observed between any root promoter treatment and the CG. Similarly, the Simpson index showed no significant variation across the four experimental groups.
The analysis of bacterial composition at the genus level (Fig. 6a) showed that the community structures in the PH and CS treatments were similar to the CG. In these groups, Gp6 and Nitrososphaera were the dominant genera, accounting for 17.97% to 18.91% and 13.42% to 15.84% of the total sequences, respectively. However, the HIEC treatment caused a distinct shift in the community. The relative abundance of the dominant taxa Gp6 and Nitrososphaera decreased sharply to approximately 4%. Instead, distinct functional taxa colonized the community. Gaiella (Actinomycetota) became the most abundant genus, reaching 11.36%, which was significantly higher than the approximately 4% observed in the other groups. Additionally, the HIEC treatment led to a twofold increase in the abundance of Sphingomonas (to 3.60%) and the emergence of Gp3 (3.38%) as a top-ranking taxon. This change suggests that HIEC exerts selective pressure that favors microbial populations capable of tolerating stress or adapting to chemical inputs, replacing sensitive resident taxa such as Gp6.
Impact of root promoters on the composition and diversity of the rhizosphere bacterial community. (a) Relative abundance of dominant bacterial taxa at the genus levels across different treatments. (b) Non-metric Multidimensional Scaling (NMDS) analysis based on Bray-Curtis distances showing the beta-diversity of bacterial communities (Stress = 0.042). PH, Potassium Humate; HIEC, Hymexazol and Isorothiolane Emulsifiable Concentrate; CS, Chitosan; CG, Control Group.
NMDS analysis (Fig. 6b) confirmed these structural shifts. The scatter plot (Stress = 0.042) displays clustered distributions. Notably, samples from PH, HIEC, and CS formed clusters clearly separated from CG. This separation suggests that, particularly for HIEC, the overall bacterial community structure was significantly altered compared to the control.
Correlation analysis between different indexes
Spearman’s correlation analysis elucidated the interplay between the rhizosphere environment, root development, and nutrient status (Fig. 7). Soil pH and SOM acted as positive drivers for root growth, exhibiting significant positive correlations (p < 0.05 or p < 0.01) with root length, surface area, volume, and tip count. This statistical link aligns with the Tables 1 and 2 results, where PH and CS—treatments that effectively improved soil pH and SOM—yielded significant increases in root biomass compared to the control. Conversely, soil AN and AK showed significant negative correlations with these root traits. This pattern suggests that vigorous root growth accelerates the uptake of N and K, thereby reducing their residual concentrations in the rhizosphere. AP showed no significant correlation with root morphology. A distinct negative correlation was observed between bacteria α diversity and root morphological traits (p < 0.05 for surface area; p < 0.01 for volume). This relationship reflects the divergent effects of the treatments: while PH and CS promoted roots while maintaining high diversity, HIEC stimulated significant root expansion (second only to PH) but drastically reduced bacterial richness (Table 3). Consequently, the data indicates that root system expansion does not always synergize with microbial diversity, particularly under specific chemical regulation (HIEC).Regarding plant nutrition, root morphology served as the determinant factor for nutrient assimilation. Root length, surface area, and volume showed highly significant positive correlations (r > 0, p < 0.01) with N, P, and K accumulation in roots, stems, and leaves. In contrast, root mean diameter exhibited negative correlations with nutrient accumulation, implying that fine roots contribute more efficiently to uptake than thicker roots. Overall, the correlation analysis confirms that promoting root morphogenesis is the central mechanism for enhancing tobacco nutrient accumulation. This can be achieved through two distinct pathways: optimizing soil physicochemical properties (as seen with PH and CS) or applying specific growth regulators (as seen with HIEC). Although their impacts on soil biodiversity differ, both strategies effectively increased root absorptive surface area, translating into higher nutrient accumulation in the plant.
Spearman’s rank correlation heatmap illustrating the relationships among soil physicochemical properties, bacterial diversity, root morphological traits, and plant nutrient accumulation. (a) Correlation matrix between soil physicochemical properties (pH; SOM, Soil Organic Matter; AN, Alkali-hydrolyzable Nitrogen; AP, Available Phosphorus; AK, Available Potassium), bacterial alpha-diversity, and root morphological traits. (b) Correlation matrix between root morphological traits and nutrient accumulation in different plant tissues. (c) Correlation matrix between soil properties and nutrient accumulation. The color gradient represents the correlation coefficient (r), where red indicates a positive correlation and blue indicates a negative correlation. Asterisks denote statistical significance: * p < 0.05, ** p < 0.01, and *** p < 0.001.
Discussion
The results indicate that different root promoters significantly promoted root development, yet the effects varied, closely correlating with their specific mechanisms of action. PH, being of mineral origin and rich in humic acid, promotes root extension by stimulating meristematic tissue and improving nutrient uptake efficiency23. Soil analysis in the present study supports this mechanism, showing that PH treatment significantly increased soil pH and organic matter content (Table 2). Crucially, correlating the soil data with plant nutrient status reveals a clear depletion-accumulation dynamic. Although the residual AN and AK in the rhizosphere were lower in the PH treatment compared to the control, the total N and K accumulation in the plant tissues increased significantly (Figs. 8 and 9). This implies that the lower soil nutrient levels were not due to deficiency, but rather driven by the vigorous root system which accelerated the active uptake of N and K, effectively transferring them from the soil pool to the plant biomass. This optimization extends to P mobilization, the significant rise in soil pH induced by PH reduces phosphorus fixation by iron and aluminum typical of acidic red soils24, complementing the physical interception by the maximized root surface area. Thus, PH facilitated superior root expansion through a dual mechanism of uptake efficiency and physicochemical amelioration.
Effect of root promoter application on nitrogen accumulation in tobacco plants, roots, stems, and leaves at 30d (a) and 60d (b) after transplanting. PH, Potassium Humate; HIEC, Hymexazol and Isorothiolane Emulsifiable Concentrate; CS, Chitosan; CG, Control Group. Data are presented as mean ± standard deviation (n = 3). Different lowercase letters above the bars indicate significant differences in total nitrogen accumulation among treatments (one-way ANOVA followed by Duncan’s multiple range test, p < 0.05).
Effect of root promoter application on potassium accumulation in tobacco plants, roots, stems and leaves at 30d (a) and 60d (b) after transplanting. PH, Potassium Humate; HIEC, Hymexazol and Isorothiolane Emulsifiable Concentrate; CS, Chitosan; CG, Control Group. Data are presented as mean ± standard deviation (n = 3). Different lowercase letters above the bars indicate significant differences in total potassium accumulation among treatments (one-way ANOVA followed by Duncan’s multiple range test, p < 0.05).
Microbial community profiling revealed that these outcomes are underpinned by fundamentally different ecological strategies. Both PH and CS treatments maintained a stable bacterial community structure similar to the control, dominated by nutrient-cycling generalists such as Gp6 (driving carbon cycling) and Nitrososphaera (driving nitrogen turnover)25,26. For PH, this stability synergized with its direct nutrient supply to fuel a robust feedback loop. However, this comparison highlights the limitation of CS. Although CS successfully mirrored PH in maintaining high microbial diversity, it functions primarily by inducing systemic resistance rather than providing direct stimulation27. Without the potent nutrient boost of PH, mere environmental stability was insufficient to drive rapid root establishment during the cold transplanting season. In contrast, HIEC took a functional selection path. The fungicide components suppressed sensitive resident taxa but created a niche quickly filled by stress-tolerant and functionally specific genera. Specifically, Gaiella (Actinomycetota) became dominant, a genus reported to contribute to disease suppression and organic matter turnover in stressed soils25. Notably, the specific enrichment of Sphingomonas—renowned for degrading xenobiotics including pesticides28—suggests the microbiome actively adapted to the chemical inputs. Furthermore, the emergence of Gp3 (Acidobacteriota Subdivision 3) concomitant with the collapse of Gp6 indicates a niche succession favoring oligotrophic or resilient subgroups under chemical stress. By recruiting these defensive taxa, HIEC built a protective shield, allowing the plant to thrive despite the perturbation.
Root promoters significantly enhanced vegetative traits (height, leaf area, stem girth) and dry matter accumulation, particularly at 30 days. This growth surge in the PH treatment is underpinned by specific nutrient interactions: humic acid promotes the absorption of nitrogen and magnesium29,30, essential components for chlorophyll synthesis. This explains the significant correlation between root surface area and leaf SPAD values, suggesting that PH enhances the plant’s ability to partition photosynthetic products to the leaves31. Additionally, the enhanced supply of mineral elements aids cell wall formation, directly contributing to increased stem girth32. The varying performance of HIEC and CS reveals the critical role of environmental context, particularly during the early crop stages. HIEC enhanced tolerance to low-temperature stress via systemic resistance, a benefit that was particularly significant at the 30-day mark33. The difference at 30 days likely reflects the rate of nutrient uptake efficiency, whereas the 60-day results reflect the combined effect of sustained nutrient availability and stress tolerance34. While CS improved the environment by activating defense genes, it lacked the direct nutrient stimulation of PH. Consequently, although CS functioned well ecologically, it was less effective in promoting direct vegetative growth. Significant differences in N, P, and K accumulation were directly related to these mechanisms. Notably, PH treatment increased TP (Total Phosphorus) accumulation by approximately 100% at 30 days compared to the control. As mentioned earlier, this is driven by the synergistic reduction of phosphorus fixation (via pH elevation)24and the physical amplification of interception by the root system. In contrast, HIEC maintained high uptake efficiency through disease suppression35,36, but could not match the depletion-accumulation intensity of PH.
Plant organs operate as an integrated system, and correlation analysis (Fig. 7) reveals a “positive feedback loop” driving this coordination, intricately modulated by the rhizosphere microbiome. The driving force initiates with root morphological expansion (Length/Volume), which significantly enhances the interception and uptake of N and K. This nutrient acquisition triggers a physiological cascade: high N accumulation directly boosts chlorophyll synthesis (SPAD values) and photosynthetic efficiency37, while K regulates osmotic potential to maintain turgor pressure38. Consequently, the resulting surplus of photo-assimilates is partitioned back to the rhizosphere, fueling further root proliferation. Crucially, this physiological cycle is coupled with microbial ecological shifts. Figure 7 displays a distinct negative correlation between bacterial α diversity and root traits (p < 0.05 for surface area). This statistical relationship highlights the distinct strategies employed to sustain the feedback loop. For PH and CS, the loop is supported by a “Synergistic Strategy,” where root exudates nourish a diverse microbial community that facilitates nutrient cycling39. Conversely, HIEC sustains this loop through a “Functional Selection Strategy.” Despite reducing overall diversity, HIEC enriches protective taxa like Actinomycetota, creating a disease-suppressive environment that allows the plant to channel energy into the root-shoot growth cycle rather than defense40. Thus, whether through maintaining diversity (PH) or selecting specific functional groups (HIEC), the modulation of the microbiome is an essential component that stabilizes this positive feedback loop for biomass accumulation.
Conclusions
In conclusion, this study confirms that applying root promoters is an effective way to improve tobacco growth during the cold and rainy transplanting season in southern China. Among the treatments, PH and HIEC were the most effective. PH mainly promoted growth by improving soil quality and maintaining microbial diversity. HIEC promoted root growth by selecting beneficial bacteria (such as Actinomycetota) to protect the roots. However, this study has certain limitations. The experiment was conducted in only one location over a single growing season, and the rhizosphere microbiome was only analyzed at 60 days. Therefore, the results might be influenced by specific local weather or soil conditions. Future research should include multi-location, multi-year, and multi-time-point trials, as well as molecular experiments, to verify these findings and the proposed mechanisms. Additionally, since PH and HIEC showed strong root-promoting effects, their potential application in other crops, such as vegetables or other economic crops, is worth further investigation.
Data availability
The raw 16 S rRNA sequencing data generated in this study have been deposited in NCBI SRA under accession number PRJNA1381751. All other datasets, including agronomic measurements, root traits, soil physicochemical properties, SPAD values, and nutrient accumulation, are available from the corresponding author upon reasonable request (contact: [elisa@upm.edu.my]) NCBI Reviewer Link: [https://dataview.ncbi.nlm.nih.gov/object/PRJNA1381751?reviewer=qc5p10q4is7jhtfmllhalssqgi].
Abbreviations
- AN:
-
Alkali-hydrolyzable nitrogen
- AP:
-
Available phosphorus
- AK:
-
Available potassium
- CS:
-
Chitosan
- CG:
-
Control group
- HIEC:
-
Hymexazol and isorothiolane emulsifiable concentrate
- K:
-
Potassium
- K₂O:
-
Potassium oxide
- N:
-
Nitrogen
- P:
-
Phosphorus
- P₂O₅:
-
Phosphorus pentoxide
- PH:
-
Potassium humate
- SOM:
-
Soil organic matter
References
Wang, Z. et al. Time-course relationship between environmental factors and microbial diversity in tobacco soil. Sci. Rep. 9, 19969 (2019).
Ren, T. et al. Effects of biochar on root system development and leaf photosynthetic characteristics of flue-cured tobacco by the three-years located experiment. Preprint at. https://doi.org/10.21203/rs.3.rs-278676/v1 (2021).
Xie, Z., He, Y., Xu, C. & Tu, S. Effects of transplanting time on 15-Nitrogen utilization and industrial quality of Flue-Cured tobacco. Rev. Bras. Ciênc Solo. 41, e0160537 (2017).
Sinatrya, A. N., Soeparjono, S. & Setiawati, T. C. Soil drenching with silicon improves the adaptive response of tobacco cultivation under excess water condition. Caraka Tani J. Sustain. Agric. 37, 344–356 (2022).
Yi, J. H. et al. Enhanced tolerance to low temperature in tobacco (Nicotiana tabacum L.) sprayed with a low-temperature-resistant agent. Exp. Agric. 51, 179–190 (2015).
Escudero, N. et al. Chitosan increases tomato root colonization by Pochonia chlamydosporia and their combination reduces root-knot nematode damage. Front. Plant. Sci. 8, 1415 (2017).
Olaetxea, M., Mora, V., Baigorri, R., Zamarreño, A. M. & García-Mina, J. M. The singular molecular conformation of humic acids in solution influences their ability to enhance root hydraulic conductivity and plant growth. Molecules 26, 3 (2021).
Tsalgatidou, P. C. et al. Calendula officinalis—a great source of plant growth promoting endophytic bacteria (PGPEB) and biological control agents (BCA). Microorganisms 11, 206 (2023).
Canellas, L. P. & Olivares, F. L. Physiological responses to humic substances as plant growth promoter. Chem. Biol. Technol. Agric. 1, 3 (2014).
Latef, A. A. A., Hasanuzzaman, M. & Tahjib-Ul-Arif, M. Mitigation of salinity stress by exogenous application of cytokinin in Faba bean (Vicia Faba L). Not Bot. Horti Agrobot Cluj-Napoca. 49, 12192–12192 (2021).
Ali-Dinar, H. Rooting of date palm (Phoenix dactylifera L.) offshoots by isoprothiolane (IPT). (2015).
Liu, J. et al. Protective role of Agarwood essential oil and compounds thereof in crop-associated fungal pathogens. J. Phytopathol. 172, e13251 (2024).
Francesconi, S. et al. Chitosan hydrochloride decreases fusarium graminearum growth and virulence and boosts growth, development and systemic acquired resistance in two durum wheat genotypes. Molecules 25, 4752 (2020).
Lopez-Moya, F. et al. Induction of auxin biosynthesis and WOX5 repression mediate changes in root development in Arabidopsis exposed to Chitosan. Sci. Rep. 7, 16813 (2017).
Rathod, R., Sandyakishore, N., Kumar, G. P. & Shahana, F. Natural response of rice seedlings under cold conditions. Curr. J. Appl. Sci. Technol. 1–6 https://doi.org/10.9734/cjast/2020/v39i930600 (2020).
Kraiem, K. et al. Effects of short- and long-term exposures of humic acid on the anammox activity and microbial community. Environ. Sci. Pollut Res. 26, 19012–19024 (2018).
Vasilchenko, A. V. et al. Triazoles and strobilurin mixture affects soil microbial community and incidences of wheat diseases. Plants 12, 660 (2023).
Yang, Y. et al. Exploring the effect of different application rates of Biochar on the accumulation of nutrients and growth of flue-cured tobacco (Nicotiana tabacum). Front Plant. Sci 15, (2024).
Zhao, H. et al. RhizoPot platform: a high-throughput in situ root phenotyping platform with integrated hardware and software. Front. Plant. Sci. 13, 1004904 (2022).
Li, X. et al. Effects of effective microorganisms biochar-based fertilizer on photosynthetic characteristics and chlorophyll content of flue-cured tobacco under water-saving irrigation strategies. Chil. J. Agric. Res. 80, 422–432 (2020).
Li, C. et al. Biochar suppresses bacterial wilt disease of flue-cured tobacco by improving soil health and functional diversity of rhizosphere microorganisms. Appl. Soil. Ecol. 171, 104314 (2022).
Wang, X. et al. Synergistic effects of deep rotary tillage and microbial decomposition agents on straw decomposition, soil nutrient dynamics, and microbial communities in rice systems. Agriculture 15, 1447 (2025).
Vuyyuru, M., Sandhu, H. S., McCray, J. M. & Raid, R. N. Effects of Soil-Applied fungicides on sugarcane root and shoot Growth, rhizosphere microbial Communities, and nutrient uptake. Agronomy 8, 223 (2018).
Guo, X. et al. Red soils harbor diverse culturable actinomycetes that are promising sources of novel secondary metabolites. Appl. Environ. Microbiol. 81, 3086–3103 (2015).
Amon, C. E. R. et al. The core bacteriobiome of côte d’ivoire soils across three vegetation zones. Front Microbiol 14, (2023).
Gubry-Rangin, C. et al. Niche specialization of terrestrial archaeal ammonia oxidizers. Proc. Natl. Acad. Sci. 108, 21206–21211 (2011).
Hassan, N., Elsharkawy, M. M., Shimizu, M. & Hyakumachi, M. Control of root rot and wilt diseases of roselle under field conditions. Mycobiology 42, 376–384 (2014).
Aylward, F. O. et al. Comparison of 26 sphingomonad genomes reveals diverse environmental adaptations and biodegradative capabilities. Appl. Environ. Microbiol. 79, 3724–3733 (2013).
Mwambichi, A. Effects of temperature variation on plant growth in East African countries. Am. J. Nat. Sci. 4, 12–23 (2023).
Tang, A., Haruna, A. O., Majid, N. M. A. & Jalloh, M. B. Effects of selected functional bacteria on maize growth and nutrient use efficiency. Microorganisms 8, 854 (2020).
Singh, B. N., Dwivedi, P., Sarma, B. K., Singh, G. S. & Singh, H. B. Trichoderma asperellum T42 reprograms tobacco for enhanced nitrogen utilization efficiency and plant growth when fed with N nutrients. Front. Plant. Sci 9, (2018).
Paporisch, A., Bavli, H., Strickman, R. J. & Neumann, R. B. & Schwartz, N. Root exudates alters nutrient transport in soil. Water Resour. Res. 57, e2021WR029976 (2021).
Adesemoye, A. O., Torbert, H. A. & Kloepper, J. W. Increased plant uptake of nitrogen from 15N-depleted fertilizer using plant growth-promoting rhizobacteria. Appl. Soil. Ecol. 46, 54–58 (2010).
Zhang, W. P. et al. Temporal dynamics of nutrient uptake by neighbouring plant species: evidence from intercropping. Funct. Ecol. 31, 469–479 (2017).
Fang, S., Tao, Y., Zhang, Y., Kong, F. & Wang, Y. Effects of Metalaxyl enantiomers stress on root activity and leaf antioxidant enzyme activities in tobacco seedlings. Chirality 30, 469–474 (2018).
Peng, Q., Liu, C., Zou, Z. & Zhang, M. Ectopic expression of Jatropha Curcas JcTAW1 improves the vegetative growth, yield, and drought resistance of tobacco. BMC Plant. Biol. 23, 77 (2023).
Bao, A. et al. Accumulated expression level of cytosolic glutamine synthetase 1 gene (OsGS1;1 or OsGS1;2) alter plant development and the carbon-nitrogen metabolic status in rice. PLOS One. 9, e95581 (2014).
Athipornchai, A. & Sripreechasak, P. Potential antimicrobial properties of streptomyces isolated from Sammuk mountain soil, Chonburi province, Thailand. J. Adv. Pharm. Technol. Amp Res. 10, 195 (2019).
Bais, H. P., Weir, T. L., Perry, L. G., Gilroy, S. & Vivanco, J. M. The role of root exudates in rhizosphere interactions with plants and other organisms. Annu. Rev. Plant. Biol. 57, 233–266 (2006).
Abdelrahman, O. et al. Evaluating the antagonistic potential of actinomycete strains isolated from sudan’s soils against phytophthora infestans. Front. Microbiol. 13, (2022).
Author information
Authors and Affiliations
Contributions
EAA and LY contributed to the conception and design of the work; LY, ZT, DX, AC, and SD contributed to the acquisition, analysis, and interpretation of data; LY, RI, and DX contributed to the creation of new software; LY, EAA, RN, DX, and YL drafted the work and substantively revised it. All authors reviewed and approved the final manuscript.
Corresponding authors
Ethics declarations
Competing interests
The authors declare no competing interests.
Ethics approval and consent to participate
The collection of tobacco plants and field studies were conducted in accordance with institutional and national guidelines. All samples were taken with landowner consent and for research use only.
Additional information
Publisher’s note
Springer Nature remains neutral with regard to jurisdictional claims in published maps and institutional affiliations.
Rights and permissions
Open Access This article is licensed under a Creative Commons Attribution-NonCommercial-NoDerivatives 4.0 International License, which permits any non-commercial use, sharing, distribution and reproduction in any medium or format, as long as you give appropriate credit to the original author(s) and the source, provide a link to the Creative Commons licence, and indicate if you modified the licensed material. You do not have permission under this licence to share adapted material derived from this article or parts of it. The images or other third party material in this article are included in the article’s Creative Commons licence, unless indicated otherwise in a credit line to the material. If material is not included in the article’s Creative Commons licence and your intended use is not permitted by statutory regulation or exceeds the permitted use, you will need to obtain permission directly from the copyright holder. To view a copy of this licence, visit http://creativecommons.org/licenses/by-nc-nd/4.0/.
About this article
Cite this article
Li, Y., Azman, E.A., Ismail, R. et al. Effect of root promoter on tobacco (Nicotiana tabacum L.) growth and nutrient accumulation at Hunan Province, China. Sci Rep 16, 8675 (2026). https://doi.org/10.1038/s41598-026-40215-0
Received:
Accepted:
Published:
Version of record:
DOI: https://doi.org/10.1038/s41598-026-40215-0








