Abstract
The humidification–dehumidification desalination system represents a thermal-based technology primarily intended for small-scale water desalination applications. It facilitates the production of distilled water from saline seawater at sub-boiling temperatures by employing low-grade heat sources, such as solar energy or waste heat, which are both readily available and characterized by low operational costs. This study aims to enhance the yield of distilled water from actual seawater (Suez Canal water) while simultaneously reducing production costs under the climatic conditions of Cairo, Egypt. To achieve this, an experimental, economic, and environmental evaluation was conducted on a closed-air open-water humidification–dehumidification desalination system, which is recognized for its superior energy efficiency. The pilot plant was constructed, and experimental trials were performed during the months of February and March. The investigation focused on assessing the effects of varying the seawater mass flow rate for a range of 0.39–0.63 kg/s and the air velocity during daytime operation hours. A constant flow of city water was supplied to the dehumidifier coil to condense the water vapor from the moist air. System performance was monitored from 9 AM to 5 PM daily. The findings indicate that the maximum distilled water production reached 17.04 kg/day at a seawater flow rate of 0.63 kg/s and an air velocity of 13.2 m/s. The estimated cost of distilled water production was approximately 0.017 $ per liter, while the CO2 emission was reduced by 6 tons annually for the same amount of distilled water.
Similar content being viewed by others
Introduction
Water resource management is considered an absolutely strategic priority in Egypt. As the per capita size of irrigated land is shrinking and unemployment is relatively high, national and local water management institutions are increasingly challenged to provide answers to the water crisis. Water resources in Egypt are confined to the withdrawal quota from the Nile water; the limited amount of rainfall; and the shallow groundwater reservoirs. Desalination of sea water has been practiced regularly for over 50 years and is a well-established means of water supply. Solar energy is one of the most important sources of renewable, clean, and inexpensive energy available in Egypt, in addition to the establishment of many new tourist cities near the shores of the seas, which need to have available large amounts of fresh water. There were many researchers who investigated experimentally the performance analysis of the humidification–dehumidification (HDH) desalination system.
Many researchers have been investigating the HDH desalination system, Tiwari and Kumar1 presented an experimental investigation of a solar-based HDH desalination system. The integration between double-ended open evacuated tube solar air heaters with a phase change material as thermal energy storage is used. The study was carried out at air flow rates of 100–200 kg/hr, at a constant saline water flow rate of 300 kg/hr. The use of the phase change material extended the system’s operation by 3 h after sunset, increasing freshwater yield by approximately 6.2–8.9%. A compact, solar-powered, two-stage HDH desalination system with a shared dehumidifier was presented by Yang et al.2. The seawater was heated using a 6 m2 compound parabolic solar collector. The system achieved a gain output ratio (GOR) of 0.84 and produced freshwater at a low cost ranging from 4.1 to 6.0 $/m3. Several studies were conducted to improve the freshwater production in solar HDH desalination systems. Mahmoudi and Valipour3, Mahmoudi et al.4,5 presented experimental studies on the performance of solar HDH desalination systems with a metal scrap-based porous media and parabolic dish collector. The results indicated that the optimal configuration achieved 0.975 porosity and produced 0.4 L/day. At a feed flow of 1.2 L/min and 5000 ppm salinity, the system achieved a gain output ratio of 0.24 and a specific energy consumption of 3.48 kWh/m3.
An experimental investigation of a solar desalination system using a porous activated carbon tube as a humidifier within an HDH unit in Suez City, Egypt (29.9669°N, 32.5499°E), during September and October was conducted by El-Said et al.6. The study showed that the maximum daily freshwater output reached 6.12 kg, the highest GOR was 1.24, and the freshwater production cost was estimated at 0.0138 $/L. A theoretical and experimental investigation of a solar HDH desalination system using a closed-air cycle was conducted by Mohamed et al.7. The results indicated that increasing the air flow rate enhances water productivity but reduces GOR and component efficiencies while raising energy consumption. Higher cooling water flow rates positively affected both productivity and GOR, reaching peak values of 6.32 kg/hr and 0.87, respectively, at 6 kg/min. The cost of producing one liter of potable water was estimated at 0.012 $. The experimental results closely matched theoretical predictions, confirming the reliability of the model.
Shalaby et al.8 presented the Hybrid Solar HDH system, which was tested over consecutive days during the summer at various water and air mass flow rates to desalinate highly saline water. The test results showed that the HDH system was unable to produce significant amounts of freshwater when the feed water temperature is below 60 °C. The system achieved optimal performance with a water mass flow rate of 0.11 kg/s and an air mass flow rate of 0.0004 kg/s. Under certain conditions, the hybrid solar HDH system can produce up to 72 kg/day of freshwater when using saline water at 85 °C and operating for 8 h per day. A four-stage cross-flow HDH solar desalination system study using direct contact dehumidifiers was proposed by Zhao et al.9. The system achieved a water yield of 34.1 kg/(m3 hr) and a pure water production cost of 3.86 $/ton, with a total estimated investment cost of about 6563 $ for the entire system, including 42 m2 of solar collectors.
Dehghani et al.10 presented an experimental study of brine recirculation in HDH desalination system with a direct contact dehumidifier. Their results presented that increasing the salinity of recirculation brine from 10 to 30% enhances the overall recovery ratio of the system from 66 to 86%. However, the GOR of the system slightly decreases from about 0.65 to 0.45 by increasing the salinity from 10 to 30%. Several studies to evaluate the HDH desalination system were carried out by Esfanjani et al.11,12,13 with a parabolic dish collector in a new cylindrical–conical cavity receiver, a new brine recirculation method, and a brackish water flow rate. Their system achieved a maximum thermal efficiency of 45.49% and a peak daily water production of 0.966 L/day,11. The maximum freshwater production was 1.308 L/day12. With increasing the flow rate, the gain output ratio improved by 46.67%,13. Ahmed et al.14 presented an experimental study of the performance of the HDH desalination system with corrugated packing aluminum sheets in the humidifier. When the inlet cooling water temperature reduced from 28.5 to 17 °C, the distilled water production was increased from 10 to 15 L/hr, which was enhanced significantly. The total cost of fresh water produced from the system was about 0.01 $/L. Li et al.15 developed a novel, biodegradable lignocellulose-modified cotton fabric membrane for efficient oil–water separation and solar-driven freshwater generation, achieving over 99.9% oil-in-water separation efficiency.
The performance and productivity of a solar HDH desalination unit were investigated theoretically and experimentally by Hamed et al.16. The system productivity was tested during different operating times in two periods, the first from 9 AM to 5 PM, and the second after preheating from 1 to 5 PM. Results indicated that the best operating time for the HDH system was from 1 to 5 PM. The average productivity of the HDH unit was 11 L/day.m2 of a solar collector, with an estimated distillate water cost of 0.0578 $/L. An experimental investigation of the performance of a small-scale solar HDH desalination plant based on a new type of solar air heater with all-glass evacuated tubes was conducted by Li et al.17. The increase in the inlet sprayed water temperature in the pad humidifier from 9 to 27 °C improved the relative humidity of the outlet moist air from 89 to 97% and raised the outlet air temperature from 35 to 42 °C. A comparison study of single- and multi-stage HDH desalination systems was reported theoretically by Zamen et al.18. A two-stage pilot plant with an 80 m2 solar collector was constructed and tested in an arid region during summer and winter seasons. Test results revealed that summer production exceeded twice the winter production, reaching about 580 L/day, and fresh water productivity reached 7.25 L/day m2, which was 40% higher than that of the single-stage unit. Chang et al.19 presented an experimental investigation for working principles and operating conditions on the performance of a novel multi-effect solar desalination system based on the HDH process. The results showed that the GOR of the desalination plant can reach about 2.1, while the yield productivity was 54.2% at the flow rate of feed seawater of 1000 kg/hr, compared with a flow rate of feed water of 550 kg/hr.
Bakhtiarzadeh et al.20 presented a passive, solar-powered desalination system combining a solar heater, insulated evaporation chamber, and spiral condenser linked to a water-cooling tower for continuous freshwater production. The daily water output increases by 286.8% and 231.2%, with overnight production of 1.936 ± 0.0515 L. According to Sachidananda et al.21, the performance of a pyramidal solar still can be enhanced using two active techniques with a low-power fan and an ultrasonic humidifier. The ultrasonic-assisted configuration demonstrated the best results, achieving a maximum efficiency of 57% and an energy efficiency of 25.11%, along with a distillate yield of 0.33 L. The influence of packing material types, packing height, and configuration on the performance of an HDH desalination system was examined by Hatab et al.22. Revealing that the best operation, which occurred at the 0.6 m layer of cellulose kraft paper, had maximum inlet and cooling water flow rates of 6 kg/min and 16 kg/min, respectively. Under an inlet temperature of 70 °C and a closed-air cycle, the system produced 4.2 L/hr of fresh water with a GOR of 0.63.
Although a significant number of research studies have been performed on solar desalination systems using humidification and dehumidification techniques, there is still much that needs to be investigated, especially in the Suez Canal region. The Suez Canal region representas an economically and urbanly integrated region, balanced environmentally with an integrated international model for sustainable development that leads Egypt towards global competitiveness. So, the present study aims to analyze experimentally, economically, and environmentally the closed-air, open-water solar HDH desalination system. The effect of sea water (Suez Canal water) feeding flow rate, air flow rate, and solar radiation on the gain output ratio and yield are achieved in the present study, as well as cost analysis. This aspect has received limited attention in previous studies. The study uniquely examines how variations in Suez Canal water (salinity 37–41 ppt), feed flow rate, and air velocity influence real operating performance throughout daytime hours. Moreover, it provides new quantitative data on maximum freshwater yield and the associated low production cost, offering a fresh reference point for advancing small-scale, energy-efficient desalination technologies.
Experimental test rig
The schematic diagram and the photograph of the experimental test rig are illustrated in Fig. 1A,B, respectively. The experimental test rig consists of two main cycles. Open sea water flow cycle and closed air flow cycle. The first part of the water cycle is the evacuated tube solar collector, which consists of 30 vacuum tubes. A cylindrical stainless steel water tank insulated with 0.055 m of polyurethane foam and having a 300-L capacity is used to feed the humidifier with hot water through insulated tubes. The humidifier consists of a packing, humidifier body, and acrylic door in two stages. The specification of the packing used is illustrated in Table 1. The humidifier is made of 1.5 mm thick galvanized steel with a rectangular cross-sectional area of 0.4 × 1.6 m2 and a height of 2 m. The humidifier is insulated with fiberglass with a thickness of 1 inch and a density of 24 kg/m3. The base of the humidifier has a gradual slope to permit highly concentrated sea water to be blown down out of the humidifier. While the dehumidifier consists of a body, an acrylic door, and a condensing coil. The dehumidifier body is made of 1.5 mm thick galvanized steel with a rectangular cross-sectional area of 0.4 × 0.8 m2 and a height of 2 m. The condensing coil is made from a finned copper tube of 20 m length with aluminum louvered fins (12 fins/inch). The lower end of the dehumidifier consists of a cone-shaped basin formed from galvanized steel for collecting condensate distilled water. Three centrifugal pumps are used to circulate the water in the pipeline of the cold and hot water cycle. The sea water pump flow rate ranged from 0.39 to 0.63 kg/s. Ball valves are used to separate each part of the sea water loop from the system when it is necessary. A centrifugal fan is used to circulate the air through the closed insulated duct loop between the humidifier and dehumidifier. The sea water storage tank having a volume of 1 m3 is constructed 2 m above the ground, which helps to maintain a constant water flow rate. Sea water flows from the storage tank to the evacuated tube solar collector, where it is heated by solar energy up to 80 °C. After the solar collector heated the sea water in the tank, the water is pumped to the humidifier, where it is sprayed over the packing material using nozzles to facilitate evaporation. The moist air is then carried by a centrifugal fan through a closed duct toward the dehumidifier. The centrifugal fan transported the moist air at velocities ranging from 10.2 to 13.2 m/s. Meanwhile, the highly saline water collects at the bottom of the humidifier and is regularly discharged. The moisture-laden air passes into the dehumidifier, where it flows over cooling coils supplied with city water, which is causing the water vapor to condense. Finally, the condensed distilled water is collected at the bottom of the dehumidifier in a measuring cylinder. The geometric characteristic of the evacuated tube solar collector is illustrated in Table 2.
The experimental test rig. (A) Schematic diagram, and (B) Photograph of the test rig.
Uncertainty analysis
The effect of experimental errors on the accuracy of the obtained results was evaluated through an uncertainty analysis following the methodology proposed by Alaian23. Considering the uncertainties in the independent variables (x1, x2, x3,…,xn), the corresponding uncertainties in the dependent results (ψR) were determined using the root-sum-square method, which can be given as;
The uncertainty values of thermocouples, solar power meter, anemometer, measuring cylinder and calculated productivity were ± 0.2, ± 1.6, ± 0.06, ± 2.88 and ± 0.01 respectively.
Data reduction
A comprehensive energy balance is now provided, including the solar energy input, the thermal storage tank, the latent heat gain in the humidifier, and the heat rejection process in the dehumidifier. The governing energy balance equations for each subsystem have been explicitly presented.
Dehumidifier (condenser)
Energy and mass balance of the dehumidifier as follow:
The flow rate of the distillate water;
Humidifier (evaporator)
Energy and mass balance of the humidifier as follow:
where;
The thermal efficiency of the desalination system gain output ratio (GOR) is defined as the ratio of latent heat of vaporization of distilled water total amount of heat utilized to produce it24;
where hfg is the latent heat of vaporization of water at water temperature in humidifier unit calculated according to Alaian et al.23;
The gain output ratio (GOR) is a performance indicator used to evaluate the thermal efficiency of thermal desalination systems, including humidification–dehumidification (HDH) systems. While overall gain output ratio (GORoverall) is defined as the ratio of the latent heat of the total produced fresh water to the total thermal energy input to the whole system per day.
The recovery ratio (RR) is defined as the ratio between the distilled water produced and the inlet sea water to the cycle and is calculated as the following25;
The mass flow rate ratio (MR) is defined as the inlet sea water mass flow rate to the dry air mass flow rate circulated in the cycle, which is calculated according to Zubair et al.24;
The collector efficiency ηc is calculated;
Results and discussion
The performance characteristics of the humidification–dehumidification solar desalination system were presented involving productivity, total productivity, gain output ratio, mass flow rate ratio, and recovery ratio at different key design parameters of daytime, saline water mass flow rate, and air velocity. In particular, the salinity of the Mediterranean Sea water ranges from 38 to 39 parts per thousand (ppt), while the salinity of the Red Sea water ranges from 36 to 41 ppt. The salinity of the Suez Canal water at Suez City ranges between 37 and 41 ppt because it is influenced by the waters of the Red Sea and the Gulf of Suez streams. This salinity is higher than the global average salinity of ocean water (which is approximately 35 ppt).
The solar humidification and dehumidification plant (test rig) is built in Cairo, Egypt. (Latitude 30.10°N, Longitude 31.29°E). All the experimental runs through this study used the Suez Canal water with measurable salinity ranging from 36.9 to 37.75 ppt. The experimental results were obtained through a matrix of experimental runs, in which the air velocities vary over six levels in the range of 10.2–13.2 m/s (10.2, 10.8, 11.8, 12.1, 12.6, 13.2 m/s), and by varying the sea water flow rate over six values from 0.39 to 0.63 kg/s (0.39, 0.42, 0.45, 0.5, 0.56, 0.63 kg/s) for each air velocity. The total experimental runs equal 36 experiments; each experiment was recorded over a full working day, from 9:00 AM to 5:00 PM. A sample of the ambient (weather) conditions during one week in February 2025 is presented in Table 3, while the water is supplied to the condensing coil as city water with a temperature that varies from 18 to 19 °C depending upon the time of day.
The effect of daytime on the distilled water production (productivity) at various air velocities is shown in Fig. 2. The productivity increases from the morning and reaches the maximum values at noon, then decreases. The maximum value of the productivity occurred at an air velocity of 13.2 m/s at 12:00, which recorded 3.6 kg/hr. For the same daytime of 12:00, the productivity of the system at an air velocity of 13.2 m/s is higher than that of 10.2 m/s by 172.7%. This can be attributed to the increases in the air velocity that present a higher air volume flow rate, which carried more water vapor from the humidifier into the dehumidifier, which led to more distilled water being condensed.
Productivity versus day time at m°sw = 0.63 kg/s.
The results indicated that the productivity depended on the solar radiation; in the morning the heat absorbed is less and the rate of the evaporation from salty water is low. Furthermore, the air temperature and the solar radiation increased during the noon time, and hence the evaporation rate from salty water rose, which led to higher evaporation and production rates. This behavior is attributed to the high solar irradiance levels during this time. From afternoon to the evening hours, the solar intensity decreases, and the heat absorbed and the productivity decrease. For all values of sea water mass flow rate, it can be seen that the distilled water production (productivity) increases from the morning and reaches the maximum values at noon, then decreases. This can be clearly noticed from Fig. 3. This figure shows that the maximum value of the productivity occurred at sea water mass flow rate of 0.63 kg/s at 12:00, which is recorded as 3.6 kg/hr. At a certain daytime of 12 PM, the productivity of the system at sea water mass flow rate of 0.63 kg/s is higher than that of 0.39 kg/s by 57.9%.
Productivity versus day time at Va = 13.2 m/s.
Figure 4 illustrates the total water productivity with the daytime at various air velocities. It is noted that the total water productivity increased from 4.59 to 17.04 kg/day when the moist air velocity increased from 10.2 to 13.2 m/s; this represents a percent increase of 271.24%. For all values of sea water mass flow rate, it can be seen that the total water productivity of distilled water increases from the morning until the distilled plant is switched off. It can also be noticed from Fig. 5 that the total water productivity increases by 113.5% from 7.98 to 17.04 kg/day when the sea water mass flow rate increases from 0.39 to 0.63 kg/s. For all values of sea water mass flow rate, it can be seen that the total water productivity of distilled water increases by increasing the air velocity. It can also be noticed from Fig. 6 that the maximum value of the total water productivity of distilled water (17.04 kg/hr) occurred at sea water mass flow rate of 0.63 kg/s with the air velocity = 13.2 m/s. At a certain value of air velocity, 13.2 m/s, the total water productivity of the system at sea water mass flow rate of 0.63 kg/s is higher than that of 0.39 kg/s by 113.5%.
Total water productivity versus day time at m°sw = 0.63 kg/s.
Total water productivity versus day time at Va = 13.2 m/s.
Total water productivity versus air velocity.
The effect of the air velocity on the gain output ratio (GOR) at the sea water mass flow rate of 0.63 kg/s at different times of day is illustrated in Fig. 7. The gain output ratio (GOR) increases from the morning and reaches the maximum values at noon, which reflects a maximum solar intensity, then decreases. The maximum value of the GOR (1.79) occurred at an air velocity of 13.2 m/s and 12 PM. At a certain daytime of 12 PM, the GOR of the system at an air velocity of 13.2 m/s is higher than that of 10.2 m/s by 225.45%. This can be referred to as the solar incident effect on the distilled water production according to the heat absorbed by the collector.
Gain output ratio versus day time at m°sw = 0.63 kg/s.
The results indicated that the system productivity is strongly influenced by solar radiation throughout the day. In the morning, the absorbed heat is relatively low, leading to limited saltwater evaporation. As the air temperature and solar radiation increase toward noon, the evaporation rate rises significantly, resulting in higher distilled water production. This behavior is directly related to the elevated solar irradiance during midday. From the afternoon to evening hours, the decline in solar intensity reduces the absorbed heat and consequently decreases productivity. The effect of varying salty water mass flow rate on GOR over the daytime is illustrated in Fig. 8. For all values of sea water mass flow rate, it can be seen that the GOR increases from the morning and reaches the maximum values at noon, then decreases. The maximum value of the GOR (1.79) occurred at sea water mass flow rate of 0.63 kg/s and a daytime of 12 PM. At a certain daytime, the GOR of the system at sea water mass flow rate of 0.63 kg/s is higher than that of 0.39 kg/s by 68.9%.
Gain output ratio versus day time at Va = 13.2 m/s.
Figure 9 illustrates the total water productivity with the mass flow rate ratio MR (water to air flow ratio) in the dehumidifier at various sea water mass flow rates. The total water productivity of distilled water decreases by increasing the MR. The maximum value (17.04) of the total water productivity occurred at sea water mass flow rate of 0.63 kg/s at an MR of 0.44. The reason for this phenomenon is the decreasing of the water temperature and the driving force of humidification in the humidifier. The productivity increases by increasing the moist air velocity; however, the mass flow rate ratio increases by decreasing the air velocity. The total distilled water productivity decreases from 17.04 kg/day to 4.59 kg/day, and the mass flow rate ratio increases from 0.44 to 0.57 at a feed seawater rate of 0.63 kg/s.
Total water productivity versus mass flow rate ratio at Va = 13.2 m/s.
For all seawater mass flow rates, it can be seen that the recovery ratio (RR) decreases by increasing the MR in the dehumidifier, which is illustrated in Fig. 10. It can be noticed that the maximum value of the RR (0.093) occurs at sea water mass flow rate of 0.63 kg/s and MR = 0.44. The reason for this phenomenon is that the recovery ratio decreases by increasing the sea water mass flow rate; however, the mass flow rate ratio increases by increasing it. The recovery ratio decreases from 0.093 to 0.025% as the mass flow rate ratio increases from 0.44 to 0.57.
Recovery ratio versus mass flow rate ratio.
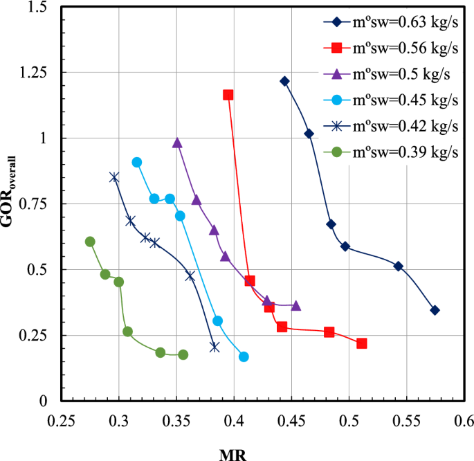
Figure 11 illustrates the GORoverall with the MR at various sea water mass flow rates. The overall gain output ratio is the ratio of the latent heat of the total produced fresh water to the total thermal energy input to the whole system per day.
Gain output ratio overall versus mass flow rate ratio.
The GORoverall decreases by increasing the MR in the dehumidifier. The maximum value of the GORoverall occurred at sea water mass flow rate of 0.63 kg/s and MR of 0.44, which is recorded as 1.22. The GORoverall decreases from 1.22 to 0.34 when the MR increases from 0.44 to 0.57. A sample of the results summary of the system outputs at different air velocities from February to March 2025 through six working weeks at a water mass flow rate of 0.63 kg/s is presented. The average of productivity, GORoverall, RR%, and MR over six days (one working week) divided by 6 to obtain the average parameter per day with air velocity is illustrated in Table 4.
Economic analysis
The economic analysis of the humidification–ehumidification desalination system is considered one of the most important factors used to evaluate the system’s efficiency and effectiveness through efforts to reduce the cost of producing desalinated water. HDH plant cost estimation for various components of the system is given in Table 5. The total fixed cost of the plant is about F = 1000$.
The capital recovery factor (CRF) is calculated according to Mahmoudi et al.5;
where i is the interest rate for bank, and it can be assumed 12%, and n is the life time of the system, where it can be assumed 10 years7.
The fixed annual cost (FAC)5;
Sinking fund factor (SFF)5;
The salvage value of HDH desalination system (S) can be assumed 20% from the unit total cost7;
The annual salvage value (ASV);
The annual maintenance cost (AMC) can be assumed of 15% from the fixed annual cost;
The total annual running cost (AC)
The cost per liter production of distilled water (CPL) can be determined by the ratio between total annual cost (AC) and total annual productivity (M);
The annual productivity of the HDH desalination system is found to be 9792 L/year. The daily period of running the desalination system is 8 h/day (from 9 AM to 5 PM). The HDH desalination system is assumed to operate 340 days/year, as Egypt is characterized by sunshine throughout the year7. The cost of producing one liter of desalinated water by the proposed system is 0.017 $/L. A comparison of the fresh water production rate and the cost of plant productivity for different types of thermal sources with the corresponding previous studies was presented in Table 6.
Environmental analysis
The environmental analysis to the system was performed based on the formulation for estimating carbon dioxide emissions reduction during the life time of the investigated desalination system5.
The amount of energy (electrical or fuel energy) saved due to using solar energy for obtaining the same amount of distilled water over a year for the lifetime of the plant, and the reduction of the estimated number of tons of CO2 emissions to the environment, are presented in Table 7.
Conclusion
The present study conducts an experimental, economic, and environmental evaluation of a closed-air, open-water HDH desalination system operating with real seawater (Suez Canal water) under the climatic conditions of Cairo. This work provides new insights into performance optimization, offers updated productivity and cost data, and contributes a reference for developing efficient small-capacity HDH desalination systems. The effect of the seawater mass flow rate for a range and air velocity for a range of 10.2–13.2 m/s with daytime on the system performance is tested. The following conclusions are summarized as;
-
The productivity of the system at an air velocity of 13.2 m/s is higher than that of 10.2 m/s by 172.7% and 12 PM.
-
The total water productivity increases by 271.24% from 4.59 to 17.04 kg/day when the air velocity increases from 10.2 to 13.2 m/s. Moreover, the total water productivity increases by 113.5% from 7.98 to 17.04 kg/day when the seawater mass flow rate increases from 0.39 to 0.63 kg/s.
-
The maximum value of the GOR occurred at an air velocity of 13.2 m/s and a seawater mass flow rate of 0.63 kg/s at 12 PM.
-
The GOR of the system at an air velocity of 13.2 m/s is higher than that of 10.2 m/s by 225.45% and 12 PM. Moreover, the GOR of the system at a seawater mass flow rate of 0.63 kg/s is higher than that of 0.39 kg/s by 68.9%.
-
The maximum value of the total water productivity occurred at a seawater mass flow rate of 0.63 kg/s and MR of 0.44.
-
The maximum value of the recovery ratio RR occurred at a seawater mass flow rate of 0.63 kg/s and MR of 0.44.
-
The maximum value of the GORoverall of 1.22 is obtained at a feed seawater mass flow rate of 0.63 kg/s and MR of 0.44. The GORoverall value decreases from 1.22 to 0.34 as the mass flow rate ratio increases from 0.44 to 0.57.
-
The estimated cost of distilled water production was approximately 0.017 $ per liter, while the CO2 emission was reduced by 6 tons annually due to solar energy usage.
Data availability
The datasets generated during and/or analyzed during the current study are available from the corresponding author upon reasonable request.
Abbreviations
- A :
-
Area (m2)
- CPL :
-
Cost per liter ($)
- C P :
-
Specific heat (kJ/kg K)
- Enout :
-
Annual useful energy (kwh/year)
- F :
-
Fixed cost ($)
- h fg :
-
Latent heat of vaporization (kj/kg K)
- H :
-
Enthalpy (kj/kg)
- I :
-
Incident radiation (W/m2)
- \(\dot{m}\) :
-
Mass flow rate (kg/s)
- n :
-
The plate life time (year)
- P :
-
Power (kW)
- Q :
-
Heat absorbed by collector (kW)
- T :
-
Temperature (K)
- T ∞ :
-
Ambient temperature (K)
- V :
-
Velocity(m/s)
- η :
-
Efficiency (–)
- \(\rho\) :
-
Density (kg/m3)
- ω:
-
Absolute humidity (Kg/kg dry air)
- Ø co2 :
-
Environmental factor (ton)
- a :
-
Air
- c :
-
Collector
- d :
-
Dehumidifier
- dw :
-
Distilled water
- h :
-
Humidifier
- in :
-
Inlet
- p :
-
Pump
- rad :
-
Radiation
- sw :
-
Sea water
- GOR :
-
Gain output ratio
- MR :
-
Mass flow rate ratio
- RR :
-
Recovery ratio
- HDH :
-
Humidification–dehumidification
- CAOW :
-
Closed air open water
- PPT :
-
Part per thousand
References
Tiwari, A. & Kumar, A. Experimental investigation of humidification–dehumidification desalination system based on double-ends open evacuated tube solar air heater with inbuilt heat storage unit. J. Energy Storage 89, 111807. https://doi.org/10.1016/j.est.2024111807 (2024).
Yang, J., Zheng, H., Ma, X., Liang, S. & Zhu, Z. Experimental study on a compact solar driven two-stage humidification–dehumidification desalination system with shared dehumidifier. Appl. Therm. Eng. 249, 123423. https://doi.org/10.1016/j.applthermaleng.2024123423 (2024).
Mahmoudi, A. & Valipour, M. S. Effects of porous medium utilization on condensation heat transfer in dehumidifier of a humidification– dehumidification desalination system: a numerical study. Int. J. Numer. Methods Heat & Fluid Flow https://doi.org/10.1108/HFF-05-2025-0333 (2025).
Mahmoudi, A., Valipour, M. S. & Rashidi, S. Performance enhancement techniques in humidification–dehumidification desalination systems: A detailed review. J. Therm. Anal. Calorim. 150, 8413–8442. https://doi.org/10.1007/s10973-024-13489-7 (2025).
Mahmoudi, A., Valipour, M. S. & Rashidi, S. Potentials of porous materials and thermal control system for performance enhancement of humidification–dehumidification desalination unit powered by solar dish collector: Experimental study with 4E analysis. Int. Commun. Heat Mass Transf. 164, 108958. https://doi.org/10.1016/j.icheatmasstransfer.2025.108958 (2025).
El-Said, E. M. S., Dahab, M. A., Omara, M. A. & Abdelaziz, G. B. Humidification–dehumidification solar desalination system using porous activated carbon tubes as a humidifier. Renew. Energy 187, 657–670. https://doi.org/10.1016/j.renene.2022.01.023 (2022).
Mohamed, A. S. A., Shahdy, A. G. & Ahmed, M. S. Investigation on solar humidification dehumidification water desalination system using a closed-air cycle. Appl. Therm. Eng. 188, 116621. https://doi.org/10.1016/j.applthermaleng.2021116621 (2021).
Shalaby, S. M., Kabeel, A. E., Moharram, B. M. & Fleafl, A. H. Experimental study of hybrid solar humidification dehumidification system for extremely saline water desalination. Energy Convers. Manag. 235, 114021. https://doi.org/10.1016/j.enconman.2021114021 (2021).
Zhao, Y., Zheng, H., Liang, S., Zhang, N. & Ma, X. Experimental research on four-stage cross flow humidification dehumidification (HDH) solar desalination system with direct contact dehumidifiers. Desalination 467, 147–157. https://doi.org/10.1016/j.desal.2019.06.003 (2019).
Dehghani, S., Date, A. & Akbarzadeh, A. An experimental study of brine recirculation in humidification–dehumidification desalination of seawater. Case Stud. Therm. Eng. 14, 100463. https://doi.org/10.1016/j.csite.2019100463 (2019).
Esfanjani, P., Mahmoudi, A., Rashidi, S. & Valipour, M. S. Experimental investigation of a novel design of cavity receiver for a parabolic dish collector humidification–dehumidification desalination system. Energy Convers. Manag. 299, 117845. https://doi.org/10.1016/j.enconman.2023.117845 (2024).
Esfanjani, P. et al. Performance investigation of a novel solar thermal desalination system with brine recirculation approach: An experimental study. Therm. Sci. Eng. Prog. 65, 103861. https://doi.org/10.1016/j.tsep.2025.103861 (2025).
Esfanjani, P. et al. An experimental study of brackish water flow rate influence on the efficiency of a solar thermal-driven HDH desalination setup for remote areas. Appl. Comput. Mech. x, 1–10. https://doi.org/10.22055/jacm.2025.48385.5198 (2025).
Ahmed, H. A., Ismail, I. M., Saleh, W. F. & Ahmed, M. Experimental investigation of humidification - Dehumidification desalination system with corrugated packing in the humidifier. Desalination 410, 19–29. https://doi.org/10.1016/j.desal.2017.01.036 (2017).
Li, J. et al. Environmental ‑ friendly regenerated lignocellulose functionalized cotton fabric to prepare multi ‑ functional degradable membrane for efficient oil – Water separation and solar seawater desalination. Sci. Rep. 13, 5251. https://doi.org/10.1038/s41598-023-32566-9 (2023).
Hamed, M. H., Kabeel, A. E., Omara, Z. M. & Sharshir, S. W. Mathematical and experimental investigation of a solar humidification–dehumidification desalination unit. Desalination 358, 9–17. https://doi.org/10.1016/j.desal.2014.12.005 (2015).
Li, X., Yuan, G., Wang, Z., Li, H. & Xu, Z. Experimental study on a humidification and dehumidification desalination system of solar air heater with evacuated tubes. Desalination 351, 1–8. https://doi.org/10.1016/j.desal.2014.07.008 (2014).
Zamen, M. et al. Experimental investigation of a two-stage solar humidification–dehumidification desalination process. Desalination 332, 1–6. https://doi.org/10.1016/j.desal.2013.10.018 (2014).
Chang, Z., Zheng, H., Yang, Y., Su, Y. & Duan, Z. Experimental investigation of a novel multi-effect solar desalination system based on humidification - Dehumidification process. Renew. Energy 69, 253–259. https://doi.org/10.1016/j.renene.2014.03.048 (2014).
Bakhtiarzadeh, M., Effatnejad, R. & Rezapour, K. Efficient passive solar desalination using cooling tower integration and thermal insulation. Sci. Rep. 15(1), 24108. https://doi.org/10.1038/s41598-025-09769-3 (2025).
Sachidananda, H. K., Salins, S. S., Mulchandani, K. A., Biradar, A. S. & Kumar, S. Impact of rotating fan and ultrasonic humidifier on the thermal performance of pyramidal solar still. Sci. Rep. 15, 38021. https://doi.org/10.1038/s41598-025-21863-0 (2025).
Hatab, S. I., Abdel-sayed, A. H., Mansour, A. S. & Mubarak, A. K. Experimental study of productivity enhancement in a humidification–dehumidification desalination system through various packing materials and configurations. Sci. Rep. 15, 39547. https://doi.org/10.1038/s41598-025-23471-4 (2025).
Alaian, W. M., Elnegiry, E. A. & Hamed, A. M. Experimental investigation on the performance of solar still augmented with pin-finned wick. Desalination 379, 10–15. https://doi.org/10.1016/j.desal.2015.10.010 (2016).
Zubair, S. M., Antar, M. A., Elmutasim, S. M. & Lawal, D. U. Performance evaluation of humidification–dehumidification (HDH) desalination systems with and without heat recovery options: An experimental and theoretical investigation. Desalination 436, 161–175. https://doi.org/10.1016/j.desal.2018.02.018 (2018).
Sharqawy, M. H., Antar, M. A., Zubair, S. M. & Elbashir, A. M. Optimum thermal design of humidification dehumidification desalination systems. Desalination 349, 10–21. https://doi.org/10.1016/j.desal.2014.06.016 (2014).
Funding
Open access funding provided by The Science, Technology & Innovation Funding Authority (STDF) in cooperation with The Egyptian Knowledge Bank (EKB). The authors declare that they have no financial support for the research, authorship, and/or publication of this article.
Author information
Authors and Affiliations
Contributions
Abdalla Gomaa: Visualization, Validation, Supervision, Software, Resources, Project administration, Methodology, Investigation and Data curation. Ahmed E. Hassaneen: review & editing, Visualization, Validation, Supervision, Software, Resources, Hatem Ibrahim: Funding, acquisition, Formal analysis, Data curation and Conceptualization. Mahmoud Abdelmagied: Supervision, Software, Methodology, Writing—review & editing, Writing—original draft, Data curation and Validation.
Corresponding author
Ethics declarations
Competing interests
The authors declare that they have no known competing financial interests or personal relationships that could have appeared to influence the work reported in this paper.
Ethical approval
Not applicable.
Consent to participate
Not applicable.
Consent to publish
Not applicable.
Additional information
Publisher’s note
Springer Nature remains neutral with regard to jurisdictional claims in published maps and institutional affiliations.
Rights and permissions
Open Access This article is licensed under a Creative Commons Attribution 4.0 International License, which permits use, sharing, adaptation, distribution and reproduction in any medium or format, as long as you give appropriate credit to the original author(s) and the source, provide a link to the Creative Commons licence, and indicate if changes were made. The images or other third party material in this article are included in the article’s Creative Commons licence, unless indicated otherwise in a credit line to the material. If material is not included in the article’s Creative Commons licence and your intended use is not permitted by statutory regulation or exceeds the permitted use, you will need to obtain permission directly from the copyright holder. To view a copy of this licence, visit http://creativecommons.org/licenses/by/4.0/.
About this article
Cite this article
Gomaa, A., Hassaneen, A.E., Ibrahim, H. et al. Performance analysis of a solar desalination system operated by humidification–dehumidification technique. Sci Rep 16, 9805 (2026). https://doi.org/10.1038/s41598-026-40700-6
Received:
Accepted:
Published:
Version of record:
DOI: https://doi.org/10.1038/s41598-026-40700-6













