Abstract
The low selectivity and significant toxicity of current chemotherapeutic medicines make the research and development of novel anticancer agents an urgent necessity. This study used IR, NMR, MS, and elemental studies to rationally design, synthesize, and structurally characterize a novel class of pyrimidine-based sulfonamide derivatives. A wide variety of heterocyclic scaffolds, such as oxadiazoles, thiazolinones, chromenes, pyrazoles, pyrazolopyrimidines, triazolopyrimidines, imidazolidines, and triazines, were made possible by the synthetic approach. HepG2, MCF-7, WI-38, and VERO cell lines were used to test the synthetic compounds’ cytotoxic properties. With IC50 values ranging from 7.4 to 10.2 µg/mL against HepG2 and 8.2 to 10.0 µg/mL against MCF-7, compounds 18, 21, 23, and 24 showed extremely significant anticancer activity, nearly matching the potency of the reference medication 5-fluorouracil. Crucially, these substances showed a good therapeutic index with noticeably reduced toxicity toward normal WI-38 and VERO cells. The most active derivatives’ increased cytotoxicity and selectivity were shown to be largely due to electron-donating groups, balanced lipophilicity, and optimal heterocyclic substitution patterns, according to structure–activity relationship (SAR) research. The experimental results were corroborated by molecular docking experiments against thymidylate synthase (PDB: 2VF5), where compound 23 exhibited the highest binding affinity (S = − 5.5589 kcal/mol), creating strong H-bond interactions with Lys487 and Ala498 within the active region. Overall, compounds 18, 21, 23, and 24 are identified as interesting lead candidates for additional development as effective and selective anticancer medicines based on the combined biology, SAR, and docking results. Future optimization, mechanistic research, and even in vivo assessment can all benefit from these discoveries.
Introduction
Despite significant progress in scientific and clinical research, cancer is still one of the most concerning diseases in the world1. Even though chemotherapy is the mainstay of cancer treatment, its use is often limited because of negative side effects, which increases the need for the creation of novel chemotherapeutic medications for more effective cancer therapies2,3,4.
Furthermore, the first medications to be widely and consistently used as chemotherapeutic and preventative agents against a variety of diseases were sulfonamides, sometimes known as sulfa drugs5. The antihypertensive medication bosentan6, antibacterial7, antiprotozoal8, antifungal9, anti-inflammatory10, nonpeptidic vasopressin receptor antagonists11, and translation initiation inhibitors12 are among the more than thirty medications with this functionality that are now in clinical use. Several significant sulfonamide compounds are employed as commercially significant carbonic anhydrase inhibitors13. Additionally, they are useful in treating scalds, ulcerative colitis14, rheumatoid arthritis15, male erectile dysfunction as the phosphodiesterase-5 inhibitor sildenafil—better known by its brand name, Viagra16 and obesity17. In more recent times, sulfonamides have been utilized to treat Alzheimer’s disease18, as an anticancer drug19, and as the antiviral HIV protease inhibitor amprenavir20.
Additionally, sulfonamide prodrugs were administered in inventions relating to pharmaceutical compositions for treating hyperproliferative disorders in mammals21,22. A focus of research on sulfonamides is due to their wide applications as inhibitors as well as their effects on tyrosine kinase, protein tyrosine phosphatase 1B, human immunodeficiency virus protease-1 (HIV-1), histone deacetylase, phosphatidyl inositol 3-kinase, angiogenesis, pyrazole kinase, sphingosine kinase, and tyrosyl DNA phosphodiesterase23. Hence, the sulfonamide moiety is present in the structures of various clinical drugs1, as carbonic anhydrase (CA) inhibitors (e.g., dorzolamide, brinzolamide (Azopt), and diclofenamide), diuretics (e.g., furosemide, indapamide, and chlorthalidone), cycloxygenase 2 (COX2) inhibitors (e.g., celecoxib and valdecoxib), and anti-cancer drugs (e.g., apricoxib and pazopanib)24. The FDA has approved some secondary sulfonamide derivatives for cancer treatment such as Belinostat, and Amsacrine (Fig. 1)25,26. Belinostat, a histone deacetylase (HDAC) inhibitor, has been licensed after Vorinostat and Romidepsin for the treatment of T-cell lymphoma. ABT-199, a Bcl-2 inhibitor with good selectivity, has been approved for the treatment of patients with chronic lymphocytic leukemia (CLL). Additionally, Amsacrine has been approved for the treatment of acute leukemias and malignant lymphomas by inserting itself between the DNA strands of tumor cells. Furthermore, many sulfonamide derivatives have been clinically tested for anticancer effects, including Sulofenur, and Indisulam (Fig. 1)27. Numerous sulfonamides have also been identified to inhibit CA, which allows them to operate as antitumor agents28,29. It has been demonstrated that aromatic or hetero-aromatic sulfonamides can counteract the effect of tumor acidification, which prevents the proliferation of cancer cells and inhibits tumor invasion mediated by CAs30. At the same time, pyrimidine derivatives and heterocyclic annulated pyrimidines have garnered a lot of attention due to their therapeutic properties31,32,33,34. These medicinal activities include anticancer35, antiviral36, and antitumor37. The pyrimidine ring is the building unit of RNA and DNA, and several pharmacological actions can be recognized in pyrimidine-based chemical structures. The anticancer activity of pyrimidines is one of their purported therapeutic properties that has received the most attention. The numerous mechanisms by which the pyrimidine-based scaffolds have exerted their effects suggest their ability to interact successfully with a variety of enzymes, targets, and receptors38,39. Moreover, reported studies recognized that the introduction of the sulfonamide group into the C-2 aniline scaffold of the pyrimidine template could enhance the activity against Bruton’s tyrosine kinase (BTK), which is a potent therapeutic target for treating B-cell lymphoblastic leukemia40. All of these observations inspired us to look into the synthesis of sulfonamides containing pyrimidine moieties and their anticancer potential. As a result, the inclusion of such a moiety is most likely to produce lead compounds of significant medical potency. Furthermore, a variety of pyrimidine sulfonamides containing chloro, phenol, and anilino substitutions were synthesized and tested for their anticancer activity. The activity of these new sulfonamide derivatives seemed encouraging and should be considered a possible lead for its development as a novel anticancer medication.
Anticancer drugs contain the secondary sulfonamide moiety.
Based on the well-established anticancer relevance of sulfonamide pharmacophores and the pivotal role of pyrimidine scaffolds in nucleic acid metabolism and cancer therapy, a rational hybridization strategy was adopted in this study. The integration of sulfonamide and pyrimidine moieties was designed to generate multifunctional molecules capable of targeting key enzymes involved in cancer cell proliferation. Thymidylate synthase was selected as a molecular target due to its critical role in DNA synthesis and its established inhibition by pyrimidine-based drugs such as 5-fluorouracil. Accordingly, a series of structurally diverse pyrimidine-based sulfonamide derivatives were designed and synthesized to optimize biological activity and selectivity.
Rational design strategy
The rational design of the synthesized compounds was based on a pharmacophore hybridization approach combining the sulfonamide moiety with a pyrimidine scaffold. Sulfonamides are well known for their strong hydrogen-bonding capacity and their presence in several clinically relevant anticancer agents, while pyrimidine derivatives mimic nucleobases and are associated with inhibition of key enzymes involved in DNA synthesis, particularly thymidylate synthase.
By integrating both pharmacophores into a single molecular framework, we aimed to generate multifunctional molecules capable of enhanced enzyme binding and improved anticancer activity. Structural diversification through heterocyclic annulation (e.g., triazole, pyrazole, triazine systems) was introduced to optimize electronic distribution, lipophilicity, and steric orientation, thereby improving cellular permeability and target interaction. This strategy was intended to enhance both potency and selectivity toward cancer cells while minimizing toxicity toward normal cells.
Results and discussion
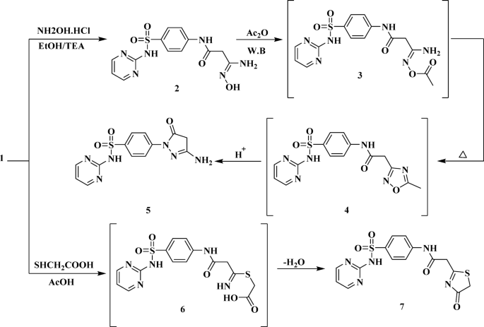
Figures 2, 3, 4 and 5 describe the synthetic routes used to produce the target compounds. Using the previously described method41 (Fig. 2), cyanoacetylation of sulfadiazine in dry xylene with 3-(3,5-dimethyl-1 H-pyrazol-1-yl)-3-oxopropanenitrile produced the known important intermediate, 2-cyano-N-(4-(N-(pyrimidin-2-yl)sulfamoyl)phenyl)acetamide (1) in high yield42.
Synthesis of starting compound 1.
Amidoxime 2 was thus produced by treating precursor 1 with hydroxylamine in the presence of TEA as a base. O-acetylation was produced when amidoxime 2 was acetylated with acetic anhydride. Compound 3 was thermally cyclized to get 1,2,4-oxadiazole derivative 4, which was then rearranged by acid catalysis to yield pyrazolin-5-one derivative 5 (Fig. 3). The absence of nitrile function in the amidoxime 2’s infrared spectrum, the emergence of a hydroxyl group at absorption band 3510 cm− 1, and amino and imino function at absorption bands 3430, 3230 and 3210 cm− 1 were its defining characteristics. The structure of 5 was thus identified by the presence of a singlet due to two protons at δ 3.19 ppm in the 1H-NMR spectrum, which represents the methylene protons of the pyrazolone moiety; two doublets attributed to the benzene ring at δ 7.84, 8.25 ppm, which were coupled to each other with coupling constant, J = 4.4 Hz; a multiplet signal at δ 7.10–7.20 ppm assigned to the C5H-pyrimidine proton; and a singlet signal at δ 11.27 ppm due to the NHSO2 proton. Additionally, stretching frequencies of 3410, 3210, 1680, and 1310 cm− 1 were detected in its infrared spectra and attributed to NH2, NH, amidic CO, and SO2, respectively.
The thiazolinone derivative 7 was produced in large quantities by cyclocondensation of cyanoacetanilide 1 with 2-mercapto acetic acid in boiling glacial acetic acid. Thiazolinone derivative 7’s infrared spectra showed stretching frequencies at 3290 and 3250 cm− 1, which were attributed to 2NH groups, and a significant absorption band at 1680 and 1675 cm− 1, which were assigned to 2CO functions. Its 1H-NMR spectra showed a singlet signal at δ 3.10 ppm attributed to methylene protons and a singlet signal at δ 4.04 ppm corresponding to two protons attributed to methylene protons of the thiazolinone moiety.
Reaction of cyanoacetyl sulfadiazine with hydroxyl amine hydrochloride and mercapto acetic acid.
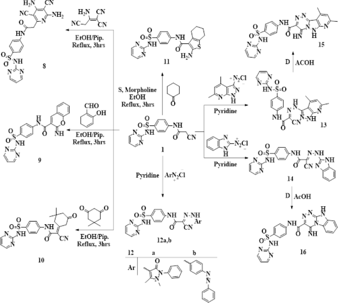
Here, we reported the reaction of cyanoacetanilide 1 reacts with malononitrile dimer in refluxing EtOH with a few drops of piperidine to produce pyridinyl acetanilide 8. The spectral measurements of structure 8 were consistent. The goal of 2-iminochromene derivative 9 was achieved by reacting compound 1 with salicylaldehyde in hot ethanol with catalytic drops of piperidine (Fig. 4). Conversely, compound 10 was synthesized when compound 1 interacted with dimedone while hot ethanolic piperidine was present (Fig. 4).
Additionally, the required thiophene derivative 11 was produced under the Gewald reaction conditions by heterocyclization of cyanoacetanilide 1 with both cyclohexanone and elemental sulfur in ethanol upon heating under reflux and the presence of drops of catalytically morpholine (basic catalyst) (Fig. 4). IR, 1H-NMR, and elemental studies all support the suggested structure. Additionally, compound 1 diazocoupled with antipyrine diazonium chloride and azobenzene diazonium chloride in pyridine at 0–5 °C to produce the expected highly physiologically active hydrazone derivatives 12a and 12b, respectively (Fig. 4). The presence of two singlet signals equivalent to two methyl protons at δ 2.25, 3.15 ppm in the 1H-NMR spectrum, which indicate the CH3, N-CH3 protons of the pyrazolone moiety of antipyrine, confirmed sulfonamide pyrimidine containing antipyrine nucleus, 12a. The IR spectra of 12a showed stretching frequencies at 3330 − 3255, 2218, 1680, and 1675 cm− 1 that might be attributed to 3NH, nitrile, and two amidic carbonyls functions. The infrared spectra of 12b showed absorption bands at 3345 and 3260 cm− 1 that were attributed to (3NH) functions, an absorption band at 2220 cm− 1 that was attributed to the (CN) function, and an absorption band at 1677 cm− 1 that was attributed to the amidic (CO) function group.
The synthesis of bridged-head nitrogen heterocyclic systems from diazotized heterocyclic amines, a perfect building block, is described in this work. The corresponding hydrazono compounds 13 and 14 were therefore obtained by coupling the crucial intermediate 1 with 4,6-dimethyl-1 H-pyrazolo[3,4-b]pyridin-3-diazonium chloride and 1 H-benzo[d]imidazol-2-diazonium chloride in pyridine at 0–5 °C. Compounds 13 and 14 cyclized to compounds 15 and 16, respectively, when heated in refluxing acetic acid (Fig. 4).
In addition to three singlets at δ 2.61, 2.68, and 6.87 ppm characterized for two CH3 protons of the pyridine ring and one aromatic proton of the pyridine ring H-3, the 1H-NMR spectrum of 15 showed three D2O-exchangeable singlets at δ 8.15, 9.34, 9.99, and 11.36 ppm due to endo cyclic NH, NHCO, =NHSO2 protons. The absence of a cyano group absorption band was shown in the IR spectra of 16. The amidic carbonyl group showed a high absorption at 1685 cm− 1, whereas four NH showed a broad absorption band at 3310–3260 cm− 1.
Reaction of cyanoacetyl sulfadiazine with different reagents.
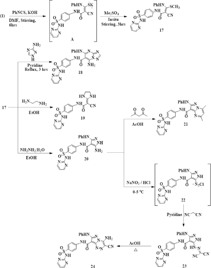
The non-isolable intermediate thiocarbamoyl salt (A) was produced when 1 was reacted with phenyl isothiocyanate in DMF with potassium hydroxide at room temperature. The equivalent acrylamide 17 was produced when the intermediate thiocarbamoyl salt A was insitu alkylated with (CH3)2SO4 (Fig. 5). Spectral and elemental investigations confirmed the presence of the ketene N, S-acetal 17. A singlet signal at δ 2.30 ppm in its 1H-NMR spectrum was attributed to SCH3 protons. Acrylamide 17’s reactivity with nitrogen nucleophiles was examined. Triazolo[1,5-a]pyrimidine derivative 18 was then obtained by heating compound 17 with 3-amino-1H-1,2,4-triazole in pyridine. The Michael addition of the amino group to the ethylenic bond in 17, followed by the removal of methanethiol, could be assumed as the reaction mechanism. The nitrogen atom was then nucleophilically added to the nitrile carbon to yield 18 (Fig. 5). Its spectral measurements supported Structure 18. As a result, its infrared spectrum showed absorption bands at 3440, 3310 − 3260, and 1681 cm− 1 that were attributed to NH2, 3NH, and amidic CO functions, respectively, and showed no conjugated cyano function absorption band.
The imidazolidine derivative 19 was produced by treating 17 with bifunctional nucleophilic reagents, such as ethylenediamine in boiling ethanol (Fig. 5). In addition to a significant absorption band at 1670 cm− 1 attributable to the carbonyl function, the IR spectra of 19 revealed stretching bands at 3330 –3260 cm− 1 attributed to four NH groups and an absorption band at 2220 cm− 1 related to the cyano function. The two methylene protons were responsible for the signal at δ 3.44 ppm in its 1H-NMR spectrum, which is equivalent to four protons. The required 5-aminopyrazole derivatives 20 were produced by cyclocondensation of acrylamide 17 with hydrazine hydrate in EtOH after heating under reflux. The IR spectra of 20 showed that the amidic (CO) function group is responsible for the absorption band at 1687 cm− 1, the (4NH) groups are responsible for the absorption band at 3275 cm− 1, and the (NH2) function is responsible for the absorption band at 3460 cm− 1. NH2 protons were identified by 1H-NMR as a singlet signal equivalent for two protons at δ 6.05 ppm.
5-Aminopyrazoles have been widely employed as a crucial intermediary for the synthesis of many polyfunctionalized fused pyrazoles with expected biological response and as a flexible precursor for the synthesis of a variety of heterocycles. Pyrazolo[1,5-a]pyrimidine derivative 21 was therefore produced by the cyclocondensation reaction of aminopyrazole 20 with acetylacetone in glacial acetic acid when heated under reflux (Fig. 5). With a parent ion peak (M+) at m/z 514, attributed to the chemical formula C25H22N8O3S, the reported structure 21 was consistent with its IR, NMR, and elemental analysis. Additionally, compound 20 was diazotized with sodium nitrite and concentrated HCl to produce the matching diazonium chloride 22. This was then coupled with malononitrile in pyridine to produce the intended hydrazono derivatives 23. Pyrazolo[5,1-c]1,2,4 triazine derivatives 24 were obtained by heating compound 23 in glacial acetic acid (Fig. 5). The IR spectra of 23 showed a carbonyl function at 1702 cm− 1, two cyano functions at 2219 and 2198 cm− 1, large absorption bands at 3340 and 3313 cm− 1 attributable to (5NH), and an azo peak at 1573 cm− 1.
Reaction of thiocarbamoyl 17 with nitrogen N-nucleophiles and for mation of pyrazolotriazine derivative 24.
Cytotoxicity evaluation
The cytotoxic evaluation of the newly synthesized compounds against HepG2, WI-38, VERO, and MCF-7 cell lines revealed significant differences in their anticancer potential and selectivity profiles (Table 1). Overall, several compounds exhibited potent inhibitory effects toward cancer cells while maintaining relatively low toxicity against normal cell lines, indicating a favorable therapeutic window.
HepG2 liver cancer cells demonstrated the highest sensitivity to the tested compounds. Compounds 24, 23, 18, and21 showed very strong cytotoxic activity, with IC₅₀ values of 14.0, 15.9, 18.0, and 19.8 µM, respectively. These values are comparable to or slightly higher than the reference drug 5-fluorouracil (5-FU, IC₅₀ = 66.1 µM). Compounds 13, 15, 16, and 17 also demonstrated strong activity, with IC₅₀ values ranging from 27.5 to 36.4 µM. In contrast, compounds such as 2, 5, and 19 exhibited weak cytotoxicity, indicating lower affinity or limited cellular uptake. These results highlight compounds 24, 23, 18 and 21 as the most promising candidates for liver cancer inhibition.
A similar pattern was observed for the MCF-7 cell line, where compounds 18, 21, 23, and 24 again showed very strong cytotoxic activity, with IC₅₀ values between 16.3 and 18.9 µM. Although 5-FU displayed higher potency (IC₅₀ = 17.7 µM), the newly synthesized compounds still demonstrated significant activity. Moderate activity was observed for compounds 7, 9, 10, and 20, whereas compounds 2 and 5 showed weaker inhibitory effects. Taken together, compounds 18, 21, 23, and 24 consistently constitute the most active series against both liver and breast cancer cells.
Assessment of cytotoxicity toward normal cells is critical in determining the safety and selectivity of anticancer agents. The majority of the tested compounds exhibited moderate to weak toxicity against WI-38 and VERO cells. Notably, compounds 18, 21, 23, and24, despite their strong anticancer activity, maintained moderate IC₅₀ values (39-58.7 µM) toward WI-38 and VERO cells, indicating acceptable safety margins. In contrast, 5-FU demonstrated marked toxicity against normal cells, particularly WI-38 (IC₅₀ = 24.6 µM), confirming its well-known lack of selectivity. The lower toxicity of the synthesized compounds suggests a more favorable therapeutic profile.
Structure–activity relationship (SAR) considerations
Clear SAR trends can be inferred from the data. Compounds belonging to the 18–24 series consistently demonstrated enhanced cytotoxicity, suggesting that their structural features—such as increased lipophilicity, optimized ring substitution, or reduced steric hindrance—may facilitate improved cellular penetration or stronger interaction with biological targets. Conversely, compounds with higher IC₅₀ values, including 2, 5, and 19, may lack optimal substituent orientation or electronic characteristics needed for effective activity. These observations provide valuable insight for future structural optimization.
Selectivity and therapeutic potential
Selectivity is a key criterion in anticancer drug development. Compounds 18, 21, 23, and 24 displayed high selectivity indices, characterized by strong activity toward cancer cells and significantly lower toxicity toward normal cells. This contrasts with 5-FU, which, despite its potent anticancer activity, was highly cytotoxic to normal fibroblasts. The improved selectivity of the newly synthesized compounds underscores their potential as safer and more effective anticancer agents.
In summary, the cytotoxicity results highlight compounds 18, 21, 23, and 24 as the most promising candidates, exhibiting very strong activity against HepG2 and MCF-7 cancer cell lines while retaining acceptable safety toward normal cells. Their superior selectivity compared with 5-FU indicates significant therapeutic potential and warrants further investigation through mechanistic, molecular docking, and in vivo studies.
Structure–activity relationship (SAR) analysis
The cytotoxicity data presented in Table 1 allow the establishment of clear structure–activity relationship (SAR) trends among the synthesized compounds. Several structural features appear to strongly influence the potency and selectivity of the compounds toward cancer cell lines.
The most active compounds (18, 21, 23, and 24) share common structural features that likely contribute to their superior activity:
They contain electron-donating substituents, which enhance electron density across the pharmacophoric scaffold. These groups may facilitate stronger interactions with cellular targets involved in apoptosis or cell-cycle regulation. The enhanced electron density may also improve molecular recognition and binding affinity.
In contrast, compounds 2, 5, and 19, which exhibited weak activity, appear to lack these favorable electronic features, suggesting that electron-withdrawing or sterically demanding substituents negatively impact cytotoxic potency.
Compounds displaying high potency consistently share moderate to high lipophilicity, which improves:
-
Cell membrane permeability,
-
Intracellular accumulation, and.
-
Target accessibility.
Compounds 18, 21, 23, and 24 likely benefit from an optimal lipophilic balance that promotes penetration into cancer cells without excessively increasing nonspecific toxicity. Less active analogues (e.g., compounds 2 and 19) may be too hydrophilic or may possess bulky substituents that limit membrane diffusion.
The most potent compounds tend to exhibit reduced steric hindrance around the active core. Excessive bulk near the pharmacophore may:
-
Obstruct interactions with critical binding sites,
-
Decrease binding affinity,
-
Impair proper orientation within the target protein.
Therefore, the superior activity of compounds 18–24 suggests that their steric profile supports optimal molecular fitting into the target binding domain.
The compounds that showed the highest cytotoxicity share specific ring substitution patterns that likely enhance both electronic distribution and conformational flexibility. These substitution patterns may favor:
-
Improved π–π stacking or hydrophobic interactions,
-
Enhanced planarity of the molecule,
-
Stronger binding to key enzymes or DNA structures involved in cancer cell proliferation.
Compounds with suboptimal substitution patterns (compounds 2, 5, 7, and 19) demonstrated significantly weaker activity, indicating that proper ring decoration is critical for activity.
An important SAR observation is the improved selectivity of compounds 18, 21, 23, and 24. Their structural characteristics not only enhance cytotoxicity toward cancer cells but also minimize toxicity toward normal cell lines. This suggests:
-
A possible target-specific mechanism,
-
Better differential uptake by cancer cells driven by structural advantages,
-
Lower nonspecific interactions with normal cellular components.
This distinction highlights the pivotal role of optimized substituents in controlling both potency and safety.
Molecular docking
The docking scores for the selected analogues 18, 21, 23, and 24 toward the thymidylate synthase protein (PDB: 2VF5) are with good bindings compared to the reference 5-fluorouracil, indicating high compatibility with the active pocket of the enzyme protein (Table 2). Specifically, analogue 18 recorded a binding score (S = -5.2198 kcal/mol and RMSD = 1.4076 Å), which is stabilized by one accepting hydrogen-bonding among the N10 atom of the triazole-ring and Gly301 (3.64 Å), complemented by a π–H stacking with Leu484 (4.47 Å) revealing diverse polar and hydrophobic anchoring throughout the binding groove (Fig. 6).
the molecular docking images between the analogue 18 and PDB: 2VF5.
Analogue 21 showed an improved binding score (S = -5.3020 kcal/mol and RMSD = 1.9988), forming two strong accepting hydrogen bindings: one between the oxygen O3 atom of the amide moiety with Tyr304 (3.11 Å) and the oxygen O12 atom of the sulphonamide group with Lys487 (2.95 Å), creating a wide polar anchoring across both the aromatic and the basic residues and drawing deeper into the amino-acid pocket (Fig. 7).
the molecular docking images between the analogue 21 and PDB: 2VF5.
The highest binding analogue, 23, reached the highest binding affinity with a binding score ( S = -5.5589 kcal/mol with RMSD = 1.8323 Å), driven by two strong acceptor H-bonds: one between the oxygen O12 atom of the sulphonamide group with Lys487 at an optimal distance = 2.87 Å, and another between the N38 atom of the nitrile moiety with Ala498 at distance = 3.27 Å, resulting in dual anchoring across the pocket that maximizes electrostatic complementarity, thus stabilizing ligand alignment (Fig. 8).
the molecular docking images between the analogue 23 and PDB: 2VF5.
Analogue 24, in spite of fewer contacts, still showed a strong binding energy (S = -5.0656 kcal/mol and the lowest RMSD = 1.2156 Å) that proposes a highly stable pose maintained mainly by a H-bonding acceptor between the oxygen O13 atom of the sulphonamide group and Asn392 (3.07 Å) (Fig. 9).
the molecular docking images between the analogue 24 and PDB: 2VF5.
For comparison, the standard drug 5-fluorouracil demonstrated a weak score (S = -3.7870 kcal/mol), depend on only two moderate bindings: an H-donor bond between N1atom of the pyrimidinedione ring and Cys300 (2.89 Å) and an H-acceptor bond between O3 of the oxo group and Thr302 (3.35 Å). Co-operatively, these results recommend analogue 23 as the most promising inhibitor scaffold, followed by analogues 21 and 18 (Fig. 10).
the molecular docking images between 5-fluorouracil and PDB: 2VF5.
It should be emphasized that molecular docking was used to provide a mechanistic hypothesis for the observed anticancer activity rather than definitive proof of thymidylate synthase inhibition. Further enzymatic and cell-cycle/apoptosis studies are planned to validate this mechanism.
Given the pyrimidine-based structure of the synthesized compounds and their strong activity against rapidly proliferating HepG2 and MCF-7 cells, thymidylate synthase represents a biologically relevant and rational target for initial in-silico evaluation.
Experiment
Synthesis and procedure
See supplementary File.
Antitumor evaluation
The cell lines HepG-2, WI38, VERO, and MCF-7 were obtained from the American Type Culture Collection (ATCC).
It was carried out according to the previously reported work43.
Molecular Docking
Using the Protein Data Bank (PDB) (https://www.rcsb.org), the crystal structures of thymidylate synthase binding site represented by (ID Code: 2VF5) were downloaded44. Compounds 18, 21, 23, and 24’s chemical structures were created using the ChemDraw 16.0 program, which was ascribed with the proper 2D, 3D, and surface map positioning. Besides, ChemBio3D program was used to minimize the potential energy of each individual compound. To create the ligands and maintain them in PDB format, the goal protein was first converted in PDB format before being exported into the M.O.E. program. Using the M.O.E. with normal technique to perform docking of ligand-receptor bindings, the docked findings were exhibited.
Conclusion
Using thorough spectroscopic studies, a variety of pyrimidine-based sulfonamide derivatives were successfully developed, synthesized, and structurally verified in this work. The synthetic method made it possible to create a number of heterocyclic frameworks that had a big impact on the molecules’ biological activity. Compounds 18, 21, 23, and 24 exhibited exceptionally strong anticancer activity against HepG2 and MCF-7 cell lines, according to the cytotoxicity screening, with IC50 values that are comparable to, and often even closer to, the reference medication 5-fluorouracil. In contrast to 5-FU, which showed noticeably more cytotoxicity against normal cells, these compounds showed modest toxicity toward normal WI-38 and VERO cells, indicating an improved selectivity profile. According to SAR analysis, balanced lipophilicity, optimal heterocyclic fusion, and electron-donating functions are crucial for improving both potency and selectivity. These results were corroborated by molecular docking studies, which demonstrated that the most active compounds, namely compound 23, had substantial binding affinities to thymidylate synthase due to important hydrogen-bond interactions inside the active site of the enzyme. Compounds 18, 21, 23, and 24 appear to be attractive lead scaffolds for upcoming anticancer drug development, according to the biological evaluation, SAR interpretation, and in-silico docking study taken together. To bring them closer to potential therapeutic uses, further optimization, mechanistic research, and in vivo testing are necessary, given their high potency, favorable safety margins, and robust molecular interactions.
Data availability
Data generated or analyzed during this study are included in this published article and submitted as a supplementary file [supplementary data].
References
Elgemeie, G. H. & Mohamed-Ezzat, R. A. New Strategies Targeting Cancer Metabolism 1st edn, 1–619 (Elsevier, 2022).
Rojo, F., Albanell, J., Rovira, A., Corominas, J. M. & Manzarbeitia, F. Targeted Therapies in Breast Cancer. Semin. Diagn. Pathol. 25, 245–261 (2008).
Zhou, J. et al. Chrysotoxine regulates ferroptosis and the PI3K/AKT/mTOR pathway to prevent cervical cancer. J. Ethnopharmacol. 338, 119126 (2025).
Wang, Z. B. et al. Immunotherapy and the ovarian cancer microenvironment: Exploring potential strategies for enhanced treatment efficacy. Immunology 173 (1), 14–32 (2024).
Abraham, D. Burgers Medicinal Chemistry and Drug Discovery (Hoboken, 2003).
Anand, N., Corcoran, J. W., Hahn, F. E., Snell, J. F. & Arora, K. L. Mechanism of Action of Antimicrobial and Antitumor Agents Vol. 3, 668–698 (Springer, 1975).
The Nobel Prize in Physiology or Medicine. Nobel Prize.Org; Nobel Media AB, 2014. (1939).
Fouts, J. R., Kamm, J. J. & Brodie, B. B. Enzymatic reduction of prontosil and other azo dyes. J. Pharmacol. Exp. Ther. 120, 291–300 (1957).
Neo, H. C. & Gootz, T. D. Medical Microbiology 4th edn (The University of Texas Medical Branch at Galveston, 1996).
VanMeter, K. C. & Hubert, R. J. Microbiology for the Healthcare Professional 2nd edn (Elsevier, 2016).
Zhao, Z. J. et al. Novel indole-3-sulfonamides as potent HIV nonnucleoside reverse transcriptase inhibitors (NNRTIs). Bioorg. Med. Chem. Lett. 18, 554–559 (2008).
Supuran, C. T., Innocenti, A., Mastrolorenzo, A. & Scozzafava, A. Antiviral sulfonamide derivatives. Mini-Reviews Med. Chem. 4, 189–200 (2004).
Garcia, M., Diaz, S. & Barcelo, D. Combining chemical analysis and ecotoxicity to determine environmental exposure and to assess risk from sulfonamides. Trends Anal. Chem. 75, 417–434 (2009).
Eswaran, S., Adhikari, A. V. & Shetty, N. S. Synthesis and antimicrobial activities of novel quinoline derivatives carrying 1,2,4-triazole moiety. Eur. J. Med. Chem. 44, 4637–4647 (2009).
Blunden, S. J., Patel, B. N., Smith, P. J. & Sugavanam, B. Synthesis, 119Sn NMR and Mössbauer studies and bioassay data of O-tricyclohexylstannyl derivatives of substituted 8‐hydroxyquinolines. Appl. Organomet. Chem. 1, 241–244 (1987).
Denny, W. A. et al. Anti-cancer 2,3-dihydro-1H-pyrrolo[3,2-f]quinoline complexes of cobalt and chromium, US Patent 7064117B2 (2006).
Deady, L. W., Kaye, A. J., Finlay, G. J., Baguley, B. C. & Denny, W. A. Synthesis and antitumor properties of N-[2-(dimethylamino)ethyl]carboxamide derivatives of fused tetracyclic quinolines and quinoxalines. J. Med. Chem. 40, 2040–2046 (1997).
Desai, N. C., Kotadiya, G. M. & Trivedi, A. R. Studies on molecular properties prediction, antitubercular and antimicrobial activities of novel quinoline based pyrimidine motifs. Bioorg. Med. Chem. Lett. 24, 3126–3130 (2014).
Lilienkampf, A. et al. Structure–activity relationships for a series of quinoline-based compounds active against Mycobacterium tuberculosis. J. Med. Chem. 52, 2109–2118 (2009).
Sharma, A. & Mishra, N. C. Inhibition of a protein tyrosine kinase activity in Plasmodium falciparum by chloroquine. Indian J. Biochem. Biophys. 36, 299–304 (1999).
Elgemeie, G. H. et al. N-Sulfonated N-Heterocycles 1st edn, 1–507 (Elsevier, 2022).
Supuran, C. T. Indisulam: An anticancer sulfonamide in clinical development. Expert Opin. Investig. Drugs. 12, 283–287 (2003).
Gulçin, İ. & Taslimi, P. Sulfonamide inhibitors: A patent review 2013–present. Expert Opin. Ther. Pat. 28, 541–549 (2018).
Ning, Q. et al. CHB patients with rtA181T-mutated HBV infection are associated with higher risk hepatocellular carcinoma due to increases in mutation rates of tumour suppressor genes. J. Viral Hepatitis. 30 (12), 951–958 (2023).
Garaj, V. et al. Carbonic anhydrase inhibitors: Novel sulfonamides incorporating 1,3,5-triazine moieties. Bioorg. Med. Chem. Lett. 15, 3102–3108 (2005).
Wan, Y., Fang, G., Chen, H., Deng, X. & Tang, Z. Sulfonamide derivatives as potential anti-cancer agents and their SARs. Eur. J. Med. Chem. 226, 113837 (2021).
Gul, H. I. et al. New anticancer drug candidates sulfonamides as selective hCA IX or hCA XII inhibitors. Bioorg. Chem. 77, 411–419 (2018).
Sirisoma, N. et al. Discovery of substituted 4-anilino-2-(2-pyridyl)pyrimidines as apoptosis inducers. Bioorg. Med. Chem. 14, 7761–7773 (2006).
Sirisoma, N. et al. Discovery of substituted 4-anilino-2-arylpyrimidines as apoptosis inducers. Bioorg. Med. Chem. Lett. 19, 2305–2309 (2009).
Zhang, L., Li, C. & Pang, S. Dual-aromaticity in nitrogen-rich compounds: from fundamental concepts to the application of high-energy-density materials. Coord. Chem. Rev. 546, 217081 (2026).
Cecchi, A. et al. Carbonic anhydrase inhibitors: Design of fluorescent sulfonamides. J. Med. Chem. 48, 4834–4841 (2005).
Elgemeie, G. H. & Mohamed, R. A. Microwave chemistry: Synthesis of purine and pyrimidine nucleosides. J. Carbohydr. Chem. 38, 1–47 (2019).
Mohamed-Ezzat, R. A., Elgemeie, G. H. & Jones, P. G. Crystal structures of pyrimidine derivatives. Acta Crystallogr. Sect. E. 77, 547–550 (2021).
Ahmed, E. A., Elgemeie, G. H. & Azzam, R. A. Synthesis of new sulfapyrimidine and pyrazolo derivatives. Synth. Commun. 53, 386–401 (2023).
Dou, K. et al. Switch on amine substrate reactivity towards hexaazaisowurtzitane cage: Insights from a tailored machine learning model. Chem. Eng. J. 501, 157677 (2024).
Nasr, M. N. & Gineinah, M. M. Pyridopyrimidines as new antiviral agents. Arch. Pharm. 335, 289–295 (2002).
Lin, R. et al. Synthesis and evaluation of thiazolopyrimidine analogues as EGFR inhibitors. Bioorg. Med. Chem. Lett. 19, 2333–2337 (2009).
Sondhi, S. M. et al. Anticancer and anti-inflammatory activity of heterocyclic compounds. Aust. J. Chem. 54, 69–74 (2001).
Winum, J. Y., Scozzafava, A., Montero, J. L. & Supuran, C. T. Inhibition of carbonic anhydrase IX. Anti-cancer Agents Med. Chem. 9, 693–702 (2009).
Liu, H. et al. Design and synthesis of BTK inhibitors. Eur. J. Med. Chem. 14, 60–69 (2017).
Bondock, S., Tarhoni, A. E. & Fadda, A. A. Recent progress in the synthesis and applications of heterocycles. Curr. Org. Chem. 15, 753–781 (2011).
Ghareb, N., El-Sayed, N. M., Abdelhameed, R., Yamada, K. & Elgawish, M. S. Benzene-sulfonamide derivatives as PTP-1B inhibitors. Bioorg. Chem. 86, 322–338 (2019).
Fadda, A. A., El-Mekawy, R. E. & El-Shafei, A. I. Synthesis, antiviral and antitumor evaluations of porphyrins. J. Porphyr. Phthalocyanines. 19, 753–768 (2015).
Arshad, M. & Matiychuk, V. Substituted pyrimidine-sulfonamide derivatives. Biointerface Res. Appl. Chem. 13, 239 (2022).
Funding
Open access funding provided by The Science, Technology & Innovation Funding Authority (STDF) in cooperation with The Egyptian Knowledge Bank (EKB).
Author information
Authors and Affiliations
Contributions
Nesma M Bayoumy: Methodology, Editing, and revision of the research work.Ahmed A. Fadda: Suggested project research, supervised group research, writing the research work.Hatem E. Gaffer: Docking study.Nanees N. Soliman: Methodology, Editing, and revision of the research work.
Corresponding author
Ethics declarations
Competing interests
The authors declare no competing interests.
Additional information
Publisher’s note
Springer Nature remains neutral with regard to jurisdictional claims in published maps and institutional affiliations.
Supplementary Information
Below is the link to the electronic supplementary material.
Rights and permissions
Open Access This article is licensed under a Creative Commons Attribution 4.0 International License, which permits use, sharing, adaptation, distribution and reproduction in any medium or format, as long as you give appropriate credit to the original author(s) and the source, provide a link to the Creative Commons licence, and indicate if changes were made. The images or other third party material in this article are included in the article’s Creative Commons licence, unless indicated otherwise in a credit line to the material. If material is not included in the article’s Creative Commons licence and your intended use is not permitted by statutory regulation or exceeds the permitted use, you will need to obtain permission directly from the copyright holder. To view a copy of this licence, visit http://creativecommons.org/licenses/by/4.0/.
About this article
Cite this article
Bayoumy, N.M., Fadda, A.A., Gaffer, H.E. et al. Design, synthesis, molecular docking and cytotoxic evaluation of novel pyrimidine-based sulfonamide derivatives as potent anticancer agents: SAR insights and biological profiling. Sci Rep 16, 9820 (2026). https://doi.org/10.1038/s41598-026-41711-z
Received:
Accepted:
Published:
Version of record:
DOI: https://doi.org/10.1038/s41598-026-41711-z









