Abstract
This study investigated whether thromboelastography (TEG) parameters on the day of embryo transfer, alone or combined with other clinical indicators, could predict early pregnancy loss in in vitro fertilization (IVF)/intracytoplasmic sperm injection (ICSI) cycles. This study included 463 women who underwent IVF/ICSI cycles at the reproductive medicine center from May 2024 to May 2025. According to the occurrence of early pregnancy loss (EPL), the participants were divided into the EPL group and the non-EPL group (129 vs. 334). All these women underwent TEG on the day of embryo transfer, and their pregnancy outcomes were continuously followed up. For risk variables, we performed LASSO analysis. To analyze the risk factors associated with EPL, we employed univariate and multivariate logistic regression analyses. A nomogram was constructed for risk scoring and prediction. The area under the curve (AUC) was compared among different factors using the receiver operating characteristic (ROC) curve. Among 463 women with clinical pregnancy, 129 (27.86%) experienced early pregnancy loss (< 12 weeks). There were significant differences in reaction time (R time), maximum amplitude (MA), estimated percent lysis, and coagulation index (CI) between women in the EPL group and those in the non-EPL group (P < 0.05). Multivariate logistic regression analysis showed that parity (OR = 1.614, 95% CI 1.004–2.571), thyroid and endocrine disorders (OR = 2.202, 95% CI 1.152–4.167), ovulatory dysfunction (OR = 4.408, 95% CI 1.992–10.01), and CI (OR = 1.222, 95% CI 1.077–1.397) were influencing factors for EPL in IVF/ICSI cycles. ROC curve analysis demonstrated that the optimal cutoff value of CI for predicting EPL was 0.75. The AUC for the combination of all five factors was 0.672, with a sensitivity of 71.3%, a specificity of 43.4%, a positive predictive value (PPV) of 32.73%, and a negative predictive value (NPV) of 79.66%, which was better than that of any single factor. CI on the day of embryo transfer is a valuable predictor for early pregnancy loss in women undergoing IVF/ICSI. However, this single-center study with a moderate sample size has some limitations.
Introduction
Early pregnancy loss (EPL) is defined as spontaneous abortion before 12 weeks’ gestation. The prevalence of EPL in natural pregnancies is about 12.5%–18.7%, while in assisted reproductive technology (ART) cycles, it can be as high as 20%, with some studies reporting even higher rates1,2. EPL causes not only physical complications such as infection and bleeding, but also severe psychological and economic burdens to patients. Therefore, identifying risk factors for EPL is critical to improving live birth rates and prognosis in ART3,4,5.
According to the Global Burden of Disease (GBD) study, the global age-standardized prevalence rate of infertility increased by 0.49% in men and 0.68% in women between 1990 and 20216. With the development of in vitro fertilization (IVF), intracytoplasmic sperm injection (ICSI), and frozen-thawed embryo transfer, ART has become the main treatment for infertility. Although clinical pregnancy rates have improved greatly, the high incidence of EPL remains an important obstacle7. Embryonic chromosomal abnormalities account for 60%–70% of EPL, but the post-implantation loss rate of preimplantation genetic testing (PGT-A) screened diploid embryos is still 15%–20%, suggesting that non-genetic factors also play an important role8,9,10,11.
Increasing evidence shows that thrombophilia and hypercoagulable states are closely related to adverse pregnancy outcomes. Pregnancy itself is a physiological hypercoagulable state, but the role of routine coagulation screening in ART remains controversial12. Some researchers recommend screening all patients with recurrent miscarriage or repeated implantation failure for thrombotic tendency. However, there are studies that take the opposite view1,13,14,15. In patients with thrombophilia, placental microthrombosis may lead to trophoblast apoptosis, impaired placental development, and eventually EPL16. Conventional coagulation markers such as prothrombin time (PT), activated partial thromboplastin time (APTT), fibrinogen (FIB), and D-dimer reflect only part of the coagulation-fibrinolysis balance. By contrast, thromboelastography (TEG) dynamically assesses the entire coagulation process, including reaction time, K time, alpha angle, maximum amplitude, and coagulation index (CI)17.
This study aimed to explore the association between TEG parameters on the day of embryo transfer and EPL after IVF/ICSI, in order to identify high-risk populations and provide a theoretical basis for optimizing ART strategies.
Materials and methods
This study was a prospective analysis of data from participants treated at the Department of Reproductive Medicine, Shanghai Sixth People’s Hospital Affiliated to Shanghai Jiao Tong University School of Medicine (Shanghai, China) between 2024 and 2025. The study was approved by the Ethics Committee of Shanghai Sixth People’s Hospital Affiliated to Shanghai Jiao Tong University School of Medicine (No. 2018-R09). All methods were performed in accordance with the Declaration of Helsinki and relevant guidelines and regulations. All participants provided written informed consent. The purpose, methods of data collection, usage, and privacy protection were explained in detail. To protect privacy, all participants were anonymized during the study, and data were stored securely using encryption and access control techniques.
Sample size calculation: early pregnancy loss rate (P) ≈ 25% (0.25); allowable error (δ) = 5% (0.05); significance level (α) = 0.05; power = 0.8 (two-tailed, Zα/2 = 1.96). The minimum required sample size was determined to be 288. A 10% buffer was added for potential data loss, resulting in a final sample size of 317.
Participants and data collection
The participants were undergoing assisted reproductive technology (ART) at the Department of Reproductive Medicine. All participants underwent the necessary clinical laboratory tests and evaluations during in vitro fertilization and embryo transfer (IVF-ET) procedures according to standard medical protocols. We performed TEG testing and collected the data on the day of IVF-ET. Additional information was obtained from the Hospital Information System (HIS), which mainly included sociodemographic and clinical information such as age, education level, spouses’ age, gravidity, parity, history of abortion, number of living children, body mass index (BMI), indications for ART, medical history, comorbidities, and fertilization method. Endocrine and thyroid disorders included current or past endocrine and metabolic abnormalities, all diagnosed by specialists. These conditions were grouped for analysis due to small sample sizes. The ovarian stimulation protocol was the gonadotropin-releasing hormone antagonist protocol (GnRH-ant protocol). All included cycles were frozen embryo transfer cycles. Embryo quality was graded using the Gardner scoring system and only grade I/II embryos were included for transfer. All patients were followed up from the day of embryo transfer until delivery.
Thromboelastography (TEG)
Thromboelastography (TEG)18 was performed using a TEG 5000 thromboelastograph (Haemonetics Corporation, USA). TEG is a blood test that provides a comprehensive assessment of the entire clotting process in vitro (in a test cup). Unlike standard coagulation tests (e.g., prothrombin time (PT), activated partial thromboplastin time (aPTT), platelet count) that analyze isolated parts of hemostasis, TEG measures the viscoelastic properties of a blood clot as it forms, strengthens, and eventually breaks down (fibrinolysis). The key parameters measured from this tracing are:
Reaction time (R Time): The time from the start of the test until the first evidence of a clot forms (amplitude reached 2 mm).
Kinetics time (K Time): The time from the end of R until the clot reaches a fixed strength (amplitude of 20 mm is reached). It reflects the speed of clot formation.
Alpha angle (α-angle): The angle between the line in the middle of the tracing and the tangent to the developing curve. It also measures the rate of fibrin buildup and cross-linking.
Maximum amplitude (MA): The maximum strength/stiffness of the clot.
Lysis at 30 minutes (LY30): The percentage of clot dissolution 30 min after the MA is reached.
Coagulation index (CI): A composite index that represents the global coagulation status of the patient.
Estimated percent lysis: Estimated percentage lysis was determined by TEG. It represents the estimated percentage of clot lysis during the observation period, reflecting the status of fibrinolysis.
Inclusion criteria
-
(1)
Women have reached the legal marriage age and obtained a marriage certificate.
-
(2)
Women have a clear indication for IVF and intracytoplasmic sperm injection (ICSI) in accordance with medical norms and undergo embryo transfer at our center.
-
(3)
Women undergo blastocyst transfer (on day 5).
-
(4)
Women undergo either conventional IVF or ICSI.
-
(5)
Women have a singleton pregnancy.
Exclusion criteria
-
(1)
Women have incomplete medical history information or missing TEG data.
-
(2)
Women or their spouses have chromosomal abnormalities or are balanced translocation carriers.
-
(3)
Women are diagnosed with an ectopic pregnancy following IVF-ET.
-
(4)
Women have concomitant uterine malformations.
Statistical analysis
Statistical analyses were performed using SPSS 27.0 and R software (version 4.2.2). Normality of continuous variables was tested via Shapiro-Wilk test (sample size < 500) or Kolmogorov-Smirnov test (sample size ≥ 500). Normally distributed continuous variables were expressed as mean ± SD, with between-group differences analyzed by independent-samples t-test; non-normally distributed ones were presented as median (25th, 75th percentiles) and compared using Mann-Whitney U-test. Categorical variables were expressed as n (%), with Chi-square test for expected frequencies ≥ 5 and Fisher’s exact test for any expected frequency < 5.
Univariate logistic regression assessed associations between early pregnancy loss (EPL) and potential influencing factors. LASSO regression (glmnet package) with tenfold cross-validation was used for variable selection; the tuning parameter λ was determined by minimizing MSE, retaining 6 predictors. These variables were incorporated into multivariate logistic regression via backward stepwise method (glm function, stats package) to identify independent risk factors.
ROC curve analysis (pROC, ROCR, ggROC, fbroc packages) evaluated the predictive value of indicators for EPL (< 12 weeks), with optimal cutoff values determined by Youden index. A P value < 0.05 was statistically significant.
Results
Clinical characteristics of the participants
During the entire study period, 1136 women underwent embryo transfer; 974 women met the inclusion criteria, of whom 463 became pregnant after transfer. The screening process is shown in Fig. 1. Of these 463 women, 129 (27.86%) experienced early pregnancy loss (EPL), while 334 (72.14%) achieved successful delivery, resulting in a live birth rate of 34.29% (334/974) among the total enrolled cohort. Comparative analysis revealed statistically significant differences between the two groups (EPL group vs. non-EPL group) in age, parity, number of children, ovulatory dysfunction, thyroid and endocrine disorders, coagulation index (CI), maximum amplitude (MA), reaction time (R), and estimated percent lysis (all P < 0.05, Table 1). As shown in Table 1, there were no significant differences in baseline characteristics related to reproductive function, including antral follicle count, number of retrieved oocytes, number of metaphase-II oocytes, and fertilization rate, between the two groups (all P > 0.05).
Univariable logistic regression analysis of EPL for in vitro fertilization (IVF)/intracytoplasmic sperm injection (ICSI)
Building on the above comparative findings, univariable logistic regression analysis was performed, and Table 2 shows that among the 26 variables included in the analysis, age, parity, ovulatory dysfunction, thyroid and endocrine disorders, and thromboelastography (TEG) parameters (R, K, MA, CI, and α-angle) were significantly associated with early pregnancy loss in in vitro fertilization and embryo transfer (IVF-ET) (all P < 0.05). To further screen for predictors of EPL, tenfold cross-validated LASSO regression was conducted on the 26 candidate variables. At the optimal penalty value (λ1se = 0.051204), the final model retained 6 influential factors (Fig. 2), specifically: maternal age, parity, comorbid thyroid and endocrine disorders, ovulatory dysfunction, reaction time (R), and coagulation index (CI).
Multivariate logistic regression analysis and nomogram development of early pregnancy loss in IVF-ET
Backward stepwise regression was performed using the likelihood ratio test with a removal threshold of P > 0.10. A multivariate logistic regression model was constructed (Table 3) incorporating 5 variables. The final model exhibited good calibration (Hosmer-Lemeshow test, P = 0.516), and all variance inflation factors (VIF) were < 1.1. The five influencing factors ultimately included in the multivariate regression equation were as follows:
logit(P(y = 1)) = −2.89944 + 0.04785*Age + 0.47913*Parity + 0.78974*Thyroid and endocrine disorders + 1.48359*Ovulatory dysfunction + 2.0086*CI
For example, assuming an individual with the following variables: Age = 35, Parity = 2, Thyroid /endocrine disorders = 1 (YES), Ovulatory dysfunction = 0 (NO), CI = 5, the calculated logit(P(y = 1)) = 1.52761, corresponding to a predicted probability of 0.822. The calculations are as follows:
Multivariable logistic regression analysis showed that ovulatory dysfunction (OR = 4.408, 95% CI 1.992–10.01), thyroid and endocrine disorders (OR = 2.202, 95% CI 1.152–4.167), parity (OR = 1.614, 95% CI 1.004–2.571), and CI (OR = 1.222, 95% CI 1.077–1.397) were risk factors for early pregnancy loss (all P < 0.05). Multivariable analysis showed that each additional parity was associated with a 61.4% increased risk of EPL. Pregnant women with thyroid and endocrine disorders had 2.202 times theodds of EPL compared to those without these conditions. Women with ovulatory dysfunction showed 4.408 times greater odds of pregnancy loss than those without ovulatory dysfunction. Each unit increase in CI was associated with a 22.2% elevated risk of EPL. The association between age and EPL did not reach statistical significance (P= 0.059).
We also constructed a nomogram (Fig. 3) based on the results of the multivariable logistic regression analysis. The nomogram serves as a predictive tool for EPL in IVF/ICSI cycles, enabling risk assessment on the day of embryo transfer. Each predictive parameter is assigned a specific score, and the total score determines the probability of EPL occurrence.
Receiver operating characteristic (ROC) curve analysis for early pregnancy loss in IVF-ET
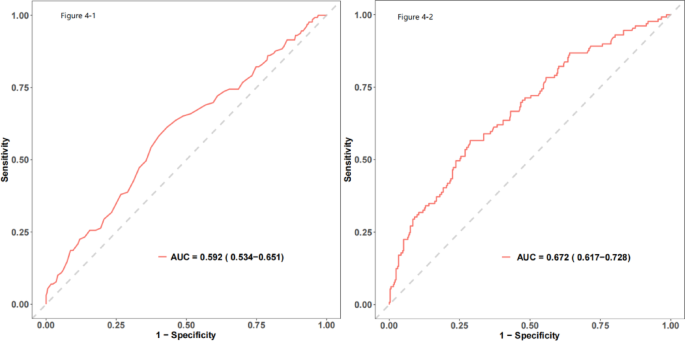
ROC curve analysis showed that the coagulation index (CI) in thromboelastography (TEG) predicted early pregnancy loss with a sensitivity of 61.2% and a specificity of 56.9%. The optimal cutoff value for CI was determined to be 0.75, corresponding to the aforementioned sensitivity and specificity. The predictive value of other individual risk factors for EPL was inferior to that of CI (as previously noted, the area under the curve (AUC) of CI = 0.592): maternal age (AUC = 0.559), parity (AUC = 0.551), thyroid and endocrine disorders (AUC = 0.541), and ovulatory dysfunction (AUC = 0.544). The AUC for the combination of all five factors was 0.672, with a sensitivity of 71.3%, a specificity of 43.4%, a positive predictive value (PPV) of 32.73%, and a negative predictive value (NPV) of 79.66% — a performance superior to that of any individual factor (Figs. 4).
Discussion
In this study, we showed that the coagulation index (CI) on thromboelastography, thyroid and endocrine disorders, ovulatory dysfunction, and parity were significantly associated with early pregnancy loss (EPL) in in vitro fertilization (IVF)/intracytoplasmic sperm injection (ICSI) cycles. In addition, the area under the curve (AUC) value of CI in predicting EPL was superior to that of other risk factors. This study demonstrates that the integrated evaluation of all variables in our prediction model yielded optimal predictive performance (AUC = 0.672). Most importantly, through a prospective investigation, we established the critical threshold for CI at 0.75. A CI value > 0.75 was significantly associated with an increased risk of EPL in IVF/ICSI cycles (P = 0.002). To the best of our knowledge, this study provides a well-defined predictive threshold for coagulation function in assisted reproduction, helping to address the current gap in establishing quantitative standards for coagulation parameters associated with early pregnancy loss.
Previous studies primarily associated EPL with embryonic chromosomal abnormalities. However, subsequent research has demonstrated the multifactorial etiology of EPL, encompassing maternal age, endometrial tolerance, coagulation abnormalities, abnormalities in circulating natural killer (NK) cells and other immune cells, low hCG levels, and obesity19,20. However, most existing studies lack specific quantitative indicators to assess the probability of EPL in IVF/ICSI cycles. In this study, we developed a predictive nomogram that integrates the CI on embryo transfer day to quantify the individualized risk of EPL occurrence. This nomogram aims to enable earlier intervention and improve live birth rates in IVF/ICSI cycles. Therefore, we can take necessary measures to prevent EPL as much as possible after confirmation of intrauterine pregnancy. For high-risk patients (CI > 0.75), we suggest more frequent follow-up and enhance comorbidity management. For patients with excessively high CI values, low-molecular-weight heparin (LMWH) may be used for prophylaxis when necessary. Studies have shown that LMWH can prevent thrombosis, and for pregnant women with a tendency to thrombosis, it can also improve placental blood flow21,22. However, there is conflicting evidence: LMWH provides no significant benefit to patients without coagulation abnormalities and LMWH did not improve IVF pregnancy outcomes23.
In addition to the physiological risk factors and intervention measures, the psychological impact caused by early pregnancy loss (EPL) cannot be ignored either. Evidence indicates that guilt, depression, loneliness, and suicidal ideation are strongly associated with pregnancy loss24,25. A multicenter prospective cohort study conducted in London revealed that the prevalence of post-traumatic stress disorder (PTSD) among women after pregnancy loss was 34% at 1 month post-loss, 26% at 3 months post-loss, and 21% at 9 months post-loss, respectively. The corresponding prevalence of moderate-to-severe depression was 10%, 8%, and 7%26. Most concerning is that these psychological traumas often present with few or no outward physical manifestations, making them likely to go unrecognized by healthcare professionals, family members, and friends. Identifying risk factors for EPL and implementing targeted interventions is significant that extends beyond ensuring a single successful pregnancy — it represents a crucial contribution to improving long-term maternal and neonatal health outcomes. A study of 954 IVF/ICSI cycles focusing on EPL showed that a low total antral follicle count (< 10), estradiol/progesterone ratio < 1.1, and low serum hCG levels were significantly associated with EPL27. In our study, we found that EPL was significantly associated with CI. The odds of EPL were significantly increased (OR = 1.222, 95% CI 1.077–1.397) in women undergoing IVF/ICSI when the CI on the day of embryo transfer was > 0.75. Therefore, for women with a CI value > 0.75 on the day of embryo transfer, enhanced follow-up and closer monitoring should be implemented upon confirmation of an intrauterine pregnancy.
Previous studies have explored the role of thromboelastography (TEG) in pregnancy loss, primarily in the context of recurrent miscarriage. For instance, a study of 575 women with recurrent miscarriage found that LY30 — a TEG parameter reflecting fibrinolysis — was associated with fetal loss28. Another study in 160 patients with unexplained recurrent spontaneous abortion (URSA) identified reaction time(R time), α-angle, and maximum amplitude(MA) as independent TEG-derived risk factors29. However, these findings were largely limited to populations with established recurrent loss and did not establish clear, quantitative thresholds applicable to routine assisted reproductive technology (ART) practice. In contrast, our study focuses on a broader IVF/ICSI population and demonstrates that the TEG-derived CI — a comprehensive measure of overall coagulation status — is significantly associated with EPL. Higher CI values reflect a hypercoagulable state, which may compromise pregnancy outcomes through two potential mechanisms: (1) impaired uterine microcirculation due to reduced spiral artery perfusion, leading to embryonic hypoxia and disrupted embryo–maternal communication; (2) increased risk of microthrombosis at the implantation site, which can obstruct local blood supply to the gestational sac and hinder successful implantation or maintenance12,15.
Importantly, our study has several strengths. First, it is a prospective cohort study with standardized TEG measurements performed on the day of embryo transfer, minimizing recall and measurement bias. Second, we provide a well-defined, clinically actionable CI threshold (> 0.75) for predicting EPL in IVF/ICSI cycles — addressing a critical gap in establishing quantitative coagulation standards in ART. Third, our integrated prediction model combining CI with key clinical variables demonstrates moderate but meaningful discriminatory performance (AUC = 0.672), offering a practical tool for individualized risk stratification and early intervention.
There are several limitations to the study. Firstly, the sample size was relatively modest. Second, data on key peripartum hormone levels (e.g., progesterone, estradiol) were not included, which may influence EPL risk. Third, this was a single-center study, limiting generalizability and lacking external validation. Finally, TEG measurements were only performed on the day of embryo transfer; serial assessments across multiple timepoints were not conducted. Despite these limitations, our study identifies a clinically actionable CI threshold of 0.75 on embryo transfer day as a quantifiable indicator for stratifying EPL risk in IVF/ICSI cycles. This finding suggests that women with CI > 0.75 may benefit from closer monitoring after confirmation of intrauterine pregnancy. Future studies should expand on these findings by: (1) validating the CI threshold in multicenter and ethnically diverse IVF/ICSI cohorts; (2) investigating whether interventions guided by CI levels — such as prophylactic LMWH — may improve live birth outcomes; and (3) implementing longitudinal TEG monitoring at critical ART timepoints (e.g., baseline, hCG trigger day, and embryo transfer) to capture dynamic shifts in coagulation status and enhance the accuracy of EPL prediction models.
Conclusion
This study found that the coagulation index (CI), thyroid and endocrine disorders, ovulatory dysfunction, and parity were associated with early pregnancy loss (EPL) in women undergoing in vitro fertilization (IVF)/intracytoplasmic sperm injection (ICSI) cycles. We further identified that a CI > 0.75 on the day of embryo transfer (ET) was significantly associated with an increased risk of EPL, and 0.75 was established as the critical threshold. Clinically, patients with a CI > 0.75 on the day of ET may benefit from more frequent follow-up and enhanced management of relevant comorbidities. Despite these promising findings, the single-center design and relatively small sample size represent the main limitations of this study. Further large-scale, multicenter prospective studies are needed to verify these results.
Flowchart of study design.
A LASSO regression model for early pregnancy loss in IVF-ET
Nomogram for the prediction of EPL in IVF/ICSI cycles. The points of each factor were added to obtain the total points, and a vertical line was drawn on the total points to obtain the corresponding risk of EPL.
The ROC curves analysis for predicting of EPL in IVF-ET cycles. The AUC of CI in TEG predicted early pregnancy loss. Predictive performance (AUC) of the combined model incorporating CI, ovulatory dysfunction, thyroid disorders, and parity for EPL in IVF-ET cycles
Data availability
Some or all datasets generated during and/or analyzed during the current study have been made available to the journal, and can be obtained from the corresponding author and the journal upon reasonable request.
References
Quenby, S. et al. Miscarriage matters: the epidemiological, physical, psychological, and economic costs of early pregnancy loss. Lancet 397 (10285), 1658–1667 (2021).
Neill, S. Management of early pregnancy loss. JAMA 329 (16), 1399–1400 (2023).
Mumusoglu, S., Telek, S. B. & Ata, B. Preimplantation genetic testing for aneuploidy in unexplained recurrent pregnancy loss: a systematic review and meta-analysis. Fertil. Steril. 123 (1), 121–136 (2025).
Chaiken, S. et al. Public perceptions of abortion complications. Obstetric Anesth. Digest. 44 (3), 2 (2024).
Aziz, T., Gobioff, S. & Flink-Bochacki, R. Effect of a family planning program on documented emotional support and reproductive goals counseling after previable pregnancy loss. Patient Educ. Couns. 105 (10), 3071–3077 (2022).
Yu, L. et al. Global, regional, and national prevalence and trends of infertility among individuals of reproductive age (15–49 years) from 1990 to 2021, with projections to 2040. Hum. Reprod. 40 (3), 529–544 (2025).
Carson, S. A. & Kallen, A. N. Diagnosis and management of infertility: a review. JAMA 326 (1), 65–76 (2021).
Kubelka-Sabit, K. et al. Delineation of partial chromosomal abnormalities in early pregnancy losses. Balkan J. Med. Genet. 27 (2), 23 (2025).
Bellver, J. BMI and miscarriage after IVF. Curr. Opin. Obstet. Gynecol. 34 (3), 114–121 (2022).
Wang, L. et al. Differential mRNA and lncRNA expression profiles associated with early pregnancy loss in ART patients. Reprod. Sci. 32 (1), 229–237 (2025).
Jackson, T. & Watkins, E. Early pregnancy loss. JAAPA 34 (3), 22–27 (2021).
Huang, O. et al. A randomized, controlled clinical study of low-molecular-weight heparin improving pregnancy outcomes in PCOS women undergoing IVF: Study protocol. Trials 25(1), 16 (2024).
Regan, L. et al. Recurrent Miscarriage Green-top Guideline No. 17. BJOG 130(12), e9–e39 (2023).
Dhillon-Smith, R. K., Melo, P. & Kaur, N. C. A. Interventions to prevent miscarriage. Fertil. Steril. 120(5), 951–954 (2023).
Malinowski, A. K. The pathophysiology of hypercoagulability and infertility. Semin. Reprod. Med. 39(1–2), 34–61 (2021).
Vucić, N. et al. Thrombophilia, preeclampsia and other pregnancy complications. Acta Med. Croatica. 63 (4), 297–305 (2009).
Erez, O. et al. DIC in pregnancy: Pathophysiology, clinical characteristics, diagnostic scores, and treatments. J. Blood Med. 13, 21–44 (2022).
Xie, X. et al. Thromboelastography (TEG) in normal pregnancy and its diagnostic efficacy in patients with gestational hypertension, gestational diabetes mellitus, or preeclampsia. J. Clin. Lab. Anal. 35(2), e23623 (2021).
Bortoletto, P. et al. Miscarriage syndrome: Linking early pregnancy loss to obstetric and age-related disorders. EBioMedicine 79, 104134 (2022).
Ferrell, E. L., Choudhry, A. A. & Schon, S. B. Obesity and in vitro fertilization. Semin. Reprod. Med. 41(3–4), 87–96 (2023).
Akinshina, S., Makatsariya, A., Bitsadze, V., Khizroeva, J. & Khamani, N. Thromboprophylaxis in pregnant women with thrombophilia and a history of thrombosis. J. Perinat. Med. 46, 893–899 (2018).
Borella, F., Marozio, L. & Bertschy, G. Placenta-mediated pregnancy complications in women with a history of late fetal loss and placental infarction without thrombophilia: Risk of recurrence and efficacy of pharmacological prophylactic interventions: A 10-year retrospective cohort study. J. Matern. Fetal Neonatal Med. 36(1), e2167599 (2023).
Sun, B., Li, L., Chen, X. & Sun, Y. Effect of low-molecular-weight heparin in women undergoing frozen-thawed embryo transfer cycles: A retrospective cohort study. BMC Pregnancy Childbirth 23(1), 335 (2023).
Donegan, G., Noonan, M. & Bradshaw, C. Parents’ experiences of pregnancy following perinatal loss: An integrative review. Midwifery 119, 103673 (2023).
Kukulskienė, M. & Emaitienė, N. Postnatal depression and post-traumatic stress risk following miscarriage. Int. J. Environ. Res. Public Health 19(11), 6515 (2022).
Farren, J. et al. Differences in post-traumatic stress, anxiety and depression following miscarriage or ectopic pregnancy between women and their partners: Multicenter prospective cohort study. Ultrasound Obstet. Gynecol. 57(1), 141–148 (2021).
Wang, L. et al. Risk factors related to early pregnancy loss in fresh IVF/ICSI: An analysis of 954 embryo transfer cycles. Medicine (Baltimore) 101(34), e30166 (2022).
Mu, F. et al. A new prognostic model for recurrent pregnancy loss: Assessment of thyroid and thromboelastograph parameters. Front Endocrinol (Lausanne) 15, 1415786 (2024).
Xu, J. et al. Prediction of unexplained recurrent miscarriages using thromboelastography. Int. J. Womens Health 16, 1573–1581 (2024).
Acknowledgements
We are very grateful to all the staff of Shanghai Sixth People’s Hospital Affiliated to Shanghai Jiao Tong University School of Medicine and the couples who participated in this study for their support and help.
Author information
Authors and Affiliations
Contributions
ZY, WN and TM have drafted the articles or made critical revisions to important parts of the content. WN and TM are both corresponding authors. ZY and SX were responsible for data analysis and the collection of the field data and for the follow-up work. WN and TM designed and coordinated the study, reviewed and revised the final manuscript, and approved the final manuscript to go to publication. All authors made substantial contributions to this study.
Corresponding authors
Ethics declarations
Competing interests
The authors declare no competing interests.
Additional information
Publisher’s note
Springer Nature remains neutral with regard to jurisdictional claims in published maps and institutional affiliations.
Rights and permissions
Open Access This article is licensed under a Creative Commons Attribution-NonCommercial-NoDerivatives 4.0 International License, which permits any non-commercial use, sharing, distribution and reproduction in any medium or format, as long as you give appropriate credit to the original author(s) and the source, provide a link to the Creative Commons licence, and indicate if you modified the licensed material. You do not have permission under this licence to share adapted material derived from this article or parts of it. The images or other third party material in this article are included in the article’s Creative Commons licence, unless indicated otherwise in a credit line to the material. If material is not included in the article’s Creative Commons licence and your intended use is not permitted by statutory regulation or exceeds the permitted use, you will need to obtain permission directly from the copyright holder. To view a copy of this licence, visit http://creativecommons.org/licenses/by-nc-nd/4.0/.
About this article
Cite this article
Zheng, Y., Shi, X., Wang, N. et al. The value of coagulation index in thromboelastography for predicting early pregnancy loss in in vitro fertilization (IVF)/intracytoplasmic sperm injection (ICSI) cycles. Sci Rep 16, 10736 (2026). https://doi.org/10.1038/s41598-026-43675-6
Received:
Accepted:
Published:
Version of record:
DOI: https://doi.org/10.1038/s41598-026-43675-6



