Abstract
Recycling technology for lithium-ion batteries (LIBs) is vital for reducing resource wastage and environmental pollution caused by spent LIBs. Although enterprises and Research and Development (R&D) personnel have worked hard to research and develop related technologies, they have not analyzed the entire process and future development directions of LIB technologies. Therefore, this study proposes a technical topic evolution analysis framework that combines change point detection and natural language processing technology to analyze LIB recycling technology patents. First, the change point detection method is used to quantitatively divide the period of technology development, allowing for an accurate analysis of the evolution process of technology topics. Next, using Latent Dirichlet allocation (LDA), technical topics existing in each period are identified. Furthermore, the Doc2vec model is used to obtain technical topic vectors while calculating the cosine similarity between topic vectors for constructing evolution paths. Finally, a two-dimensional evaluation model is defined to identify future research and development directions of the technology. Using the constructed framework, we systematically trace the dynamic evolution process of LIB recycling technology and further highlight the future development direction of the technology. This study contributes to developing a better understanding of the highly dynamic field of LIB recycling technology, and the framework constructed here can help analyze the evolution of technology-related topics in other fields.
Similar content being viewed by others
Introduction
As countries worldwide have paid more attention to environmental protection in recent years, new energy vehicles have gradually replaced traditional fuel vehicles, and their production and sales have risen rapidly. Lithium-ion batteries have become the primary power source for new energy vehicles due to their high energy efficiency, high power density, and long lifespan1,2. According to statistics, by 2025, the global lithium-ion battery market demand will reach about 100 billion US dollars3. However, the surge in demand for lithium-ion batteries will inevitably lead to a large number of spent lithium-ion batteries3. To solve the problems of environmental pollution and resource waste caused by spent lithium-ion batteries, countries around the world have begun to focus on the development of lithium-ion battery recycling technology to realize the secondary utilization of waste resources3,4,5.While most of the current research on lithium-ion battery recycling technology focuses on a specific technology in the recycling process, and seldom analyzes and sorts out the whole process of its recycling technology development objectively, there is still a lack of an integrated and stage-aware understanding of how the overall technology system evolves, to further clarify the future development direction of the technology. Therefore, a comprehensive analysis of lithium-ion battery recycling technologies is imperative. However, the large number of publications on lithium-ion battery recycling technology makes it difficult for R&D organizations to understand the field fully, requiring automation to improve the analytical capabilities of the technology. Meanwhile, the development of technology is a process of dynamic change, and its technology is also influencing each other6,7. In this study, we interpret technology evolution as the dynamic reconfiguration of technological knowledge, manifested in the emergence, transformation, convergence, and decline of technology-related themes over time. Therefore, a comprehensive analysis of lithium-ion battery recycling technology’s evolution process and development status is crucial to bridge the gap between isolated technical advances and systemic understanding of technology dynamics.
To respond to this demand, it is necessary to carry out the evolution analysis of technical topics, which can analyze the mutual influence and development process between technical topics8, and then accurately interpret the development status of technologies. Topic evolution analysis mainly includes the division of topic evolution periods and the construction of topic evolution paths.
However, existing methods have several limitations. In terms of the division of the topic evolution period, most studies divide the period with fixed time intervals6 or life cycle curves9. Technology evolution is typically event-driven rather than time-driven10. Innovation breakthroughs, policy interventions, and market disruptions create natural transition points that rarely align with calendar-based divisions. When periods are divided arbitrarily (e.g., every five years), evolution paths can overlap confusingly or show gaps, obscuring the true dynamics of technological change.
In terms of the construction of the topic evolution path, based on the identified technical topics, the cosine similarity6 between the topics is calculated to determine whether there is an evolution relationship between the topics. Among them, accurate extraction of semantic information of technical topics is the key to the process6,11, which determines the accuracy of path construction. Most of the existing work builds evolution paths by extracting the semantic information of words in the text, but it is difficult for independent words to reflect all the semantic information of the text12,13,14. Therefore, it is necessary to introduce a new method to realize the comprehensive extraction of semantic information. Meanwhile, although the existing technology topic evolution analysis can analyze the process of technology development well, it is difficult to provide effective suggestions for the future development of technology6,15,16. Overall, prior work often suffers from subjective or arbitrary temporal segmentation, insufficient semantic continuity tracking across periods, and limited translation of computational findings into actionable R&D implications6. These issues directly motivate our framework design.
Therefore, based on existing research, this paper developed a new technical topic evolution analysis framework, which aimed to objectively analyze the dynamic evolution process of technology and then identify the value of existing technology. This study aims to address the following questions:
RQ1 How to objectively identify development stages from patent time series without imposing arbitrary temporal boundaries?
RQ2 How to characterize the topic structure within each stage in a way that is both semantically rich and interpretable to domain experts?
RQ3 How to trace topic-level semantic transformation and highlight promising future R&D directions by linking evolution patterns to strategic implications?
In this framework, we first used the change point detection algorithm to process the time series data of patent applications to divide the technology development period quantitatively. This approach addresses a key limitation of existing methods: when periods are divided arbitrarily (e.g., every five years), evolution paths can overlap confusingly or show gaps. Our quantitative division preserves the natural flow of technology evolution. Then, we applied the Latent Dirichlet allocation (LDA) model to the topic identification under each period to clarify the technical composition under different periods. LDA is chosen over deep learning methods because interpretability is crucial. Domain experts must be able to validate that identified topics genuinely reflect recycling processes, which opaque neural models cannot provide16. Third, we used Doc2vec to extract the semantic information of technology topics in each period and calculated the cosine similarity between topics to construct technology evolution paths. Compared with using the semantic information of words to construct the evolution path, Doc2vec can more comprehensively extract all the semantic information of the document. Finally, we defined two indicators for evaluating the value of technology, which can further identify the future development direction of technology based on evolution analysis. The framework we built was applied to lithium-ion battery recycling technology to analyze the development status and direction of the technology.
This framework makes several methodological contributions. First, we demonstrate that how periods are segmented directly affects the plausibility of inferred evolution paths. Rather than treating time division as a preprocessing choice, we argue and empirically illustrate that the plausibility of inferred evolution paths depends on how development periods are defined. Second, by integrating change point detection, LDA, and Doc2Vec, the proposed framework improves cross-period semantic comparability while maintaining interpretability. Keyword overlap can be sensitive to terminology change, whereas less transparent representation learning may hinder expert validation. Our method integration balances these considerations by combining interpretable topic structures with document-level semantic representations in a shared space. Third, applying the framework to 4218 lithium-ion battery recycling patents, and identifies several stage-dependent patterns that extend prior analyses. The results suggest a divergence between research emphasis and industrial implementation in some themes, indicate that automation becomes increasingly central in later stages, and show that major transitions are consistent with regulatory interventions and market incentives. These findings inform R&D portfolio planning and timing. They support evidence-informed policy design for recycling governance and help prioritize technical directions for further investigation.
The rest of the paper is organized as follows. Sect. "Literature review" reviews the existing studies. Section "Data and methodology" describes the data and methods used in this study. Section "Results" presents the results obtained by applying the framework proposed in this paper for lithium-ion battery recycling technology. Section "Discussion" discusses the obtained results and analyzes the development process and direction of lithium-ion battery recycling technology. Section "Conclusion" concludes the research.
Literature review
Lithium-ion battery recycling technology
With the continuous improvement of lithium-ion battery demand, it is estimated that the spent lithium-ion battery packages brought by electric vehicles alone will reach 1 million in 20302. The heavy metals and electrolytes in spent lithium-ion batteries will cause severe environmental pollution and severe damage to the human body3,4,5. At the same time, metals such as lithium, manganese, cobalt, and nickel in spent lithium-ion batteries have high economic value17,18. Moreover, as the price of raw materials required for manufacturing lithium-ion batteries fluctuates significantly, the supply of raw materials is unstable, resulting in the problem of insufficient supply of lithium-ion batteries3. Therefore, it is necessary to carry out the recycling of spent lithium-ion batteries. Under the guidance of policies and demands, research and development institutions4,19, battery manufacturers, and recycling organizations have carried out a lot of research and development work to realize the recycling of lithium-ion batteries.
Existing lithium-ion battery recycling technology research mainly focuses on resource recovery and hazardous substance treatment. Resource recovery primarily involves recovering valuable metals such as cobalt, lithium, nickel, aluminum and copper in electrode materials in lithium-ion batteries17,18. Technical points can be roughly divided into physical pretreatment20, pyrometallurgical21, hydrometallurgy22, secondary utilization23, etc. Hazardous substance treatment mainly deals with heavy metals24, electrolytes25 and harmful substances26 that may cause environmental pollution or harm to the human body during the recycling process. Many papers systematically summarize the relevant technical details of lithium-ion battery recycling technology, which provides excellent help for researchers to carry out research and development work. However, these studies are predominantly process and technique oriented, and they provide limited explanation of how the overall technology system changes across development stages and how different technical themes emerge, converge, or decline over time.
However, most papers focus on theoretical and applied research on specific technology fields, which cannot systematically sort out lithium-ion battery recycling technology’s development status and context. To solve this problem, patent or literature analysis is introduced into the research process. From an industrial application perspective, patent analysis can systematically organize the current research status and future development directions of recycling technology. This provides quantitative references for technology development decisions and efficient policy guidance. Miao et al.24 analyzed lithium-ion battery production and recycling technology patents, and clarified the technical composition and technical difficulties. Hu et al.27 examined the trend of spent lithium-ion battery recycling technology through bibliometric methods and proposed relevant suggestions. However, patent analysis through bibliometrics only stays at patent indicators, and further mining of patent text content is needed to analyze the development trend of technology better. Therefore, it is necessary to carry out a topic evolution analysis. In particular, a topic evolution perspective enables a system level view that connects patent text evidence to stage dependent technological reconfiguration. It is necessary to identify not only what technologies exist, but also how their knowledge structures transform and what directions may warrant future R&D attention. However, even patent-based evolution studies remain descriptive, identifying technology clusters without explaining why certain evolutionary patterns emerge or what strategic implications they carry for R&D investment priorities and policy intervention timing. This limitation motivates our framework’s emphasis on linking evolution evidence to technology importance and potential evaluation.
Technological topic evolution analysis
Topic evolution analysis is to study the development and change trend of topics in time series and the interaction between different topics to track and analyze, revealing the development context and evolution rules of related fields28,29. It can help researchers trace the development trend of specific disciplines or technical fields6,7, identify research hotspots30,31, and provide necessary information support for governments and enterprises to formulate development plans for disciplines and fields. Compared with the traditional bibliometric analysis, it is not limited to the statistical characteristics of the literature, and can fully consider the text information of the literature6. Therefore, it has unique advantages in analyzing related fields’ development status and development process. However, existing studies often present a method list without clarifying the inferential logic of technology evolution, namely how temporal stages, topic structures, and cross period continuity jointly support an evolutionary explanation. This weakens the theoretical positioning of topic evolution results and reduces their comparability across studies. Despite these advantages, existing topic evolution methods face critical methodological challenges that limit their theoretical validity and practical utility.
One major issue is period division methods lack objectivity and theoretical grounding. The first thing to consider when conducting topic evolution analysis is the time information of technological development10. The development of topics is constantly changing with time, and the results of topic evolution analysis will vary according to the division of periods16. Therefore, the time series characteristics of technical documents must be fully considered. However, when dividing the evolutionary period, papers usually conduct analysis at fixed time intervals, such as five or ten years6,15. Although this division method is highly operable, it will lead to the loss of information on the evolutionary path, resulting in overlapping or missing evolutionary processes of different topics10. Some articles use the life cycle curve of technology development to divide the period of technology development9,32, but this process still requires humans to determine which period the technology is in in the life cycle. The fundamental issue is that technology evolution is event-driven rather than time-driven innovation breakthroughs10, policy interventions, and market disruptions create natural transition points that rarely align with calendar-based divisions or predetermined life-cycle stages. When periods are divided arbitrarily, evolution paths can split coherent innovation phases or merge distinct ones, obscuring the true dynamics of technological change. Some articles have proposed quantitative segmentation methods for time series data to improve the accuracy of the division of technology development periods10,33. By detecting the change point in the time series data, the time interval is flexibly divided from the data level, and more time characteristic information is retained7,10. Among them, the change point detection method based on dynamic programming performs excellently in identifying changes in time series data33. It has been applied in customer behavior analysis34, financial data analysis35, IoT data analysis36, etc. Therefore, the change point detection method can realize the quantitative division of the technology development period. Theoretically, this suggests that development stages should be treated as latent and empirically inferred boundaries rather than prespecified intervals, because stage definitions directly shape what is interpreted as continuity or disruption in topic evolution. Accordingly, our study positions quantitative stage identification as a necessary condition for credible evolutionary interpretation.
Second, the accurate identification of topics and tracking of their evolutionary patterns present a tradeoff involving interpretive semantics. Topic evolution path construction is the core of topic evolution analysis37. Identifying the degree of similarity between different topics in adjacent periods makes it possible to determine whether there is an evolutionary relationship between topics6,10,16,37. In this process, on the one hand, it is necessary to identify the technical topics under each period. Some studies cluster the key terms contained in the text to identify technical topics. Huang et al.10 extracted keywords in papers and used community recognition methods to identify topics. Gao et al.38 used the Affinity Propagation (AP) clustering method to identify specific semantic topics after the terms extracted by the Dynamic Topic Model (DTM) algorithm were vectorized through the Word2vec model. This method fully considers the core technical elements’ key information but ignores the technical text’s overall characteristics. Using topic modeling techniques avoids this problem. It can identify topics through the comprehensive information of the document. Ma et al.6 used the LDA topic model to determine the research topic of the mental model. Gao et al.38 used the Dynamic topic model to obtain the dynamic evolution law of topics. On the other hand, it is necessary to determine the evolution path between topics, which is usually judged according to the degree of similarity between topics39. A commonly used judgment method uses the cosine similarity between topics to measure the evolution strength between topics6,10. The magnitude of evolutionary strength is used to determine whether there is an evolutionary relationship between topics. The greater the evolution intensity, the stronger the possibility of an evolution relationship. However, when topic representations rely mainly on isolated keywords, cross period matching may become semantically ambiguous, making evolution paths appear fragmented or overly dense. This limits the theoretical claim that an evolution link reflects continuity in underlying technological knowledge rather than superficial term overlap. Therefore, this study emphasizes document and topic level semantic representations to strengthen the validity of evolution path construction, while maintaining interpretability through topic modeling outputs. Yet existing approaches typically prioritize one dimension over the other—keyword methods offer interpretability but lack semantic depth, while neural embeddings offer semantic richness but function as black boxes. This unresolved tradeoff constrains the credibility of evolution analyses.
Additionally, evolution analyses remain descriptive rather than generating strategic insights. To enhance theoretical and practical usefulness, evolution mapping should be linked to an explicit logic for identifying high priority directions rather than remaining purely descriptive, which motivates our subsequent evaluation of topic importance and development potential. Most existing studies stop at pattern description—identifying that Topic A evolved into Topic B—without explaining why this evolution occurred, what mechanisms drove it, or how stakeholders should respond. This descriptive-analytical gap limits the practical value of technology evolution research for R&D managers seeking investment priorities and policymakers seeking intervention opportunities.
In summary, these challenges point to reveal deeper theoretical issues. Existing approaches treat period division as preprocessing when it is operation, evolution path validity critically depends on how temporal boundaries are defined, yet this interdependence is rarely acknowledged. Our framework addresses these challenges through integrated change point detection, LDA and Doc2vec, treating stage identification and topic tracking as interdependent rather than separate.
Natural language processing
Topic evolution analysis through text content has become a current research hotspot. Natural language processing technology is introduced into text mining to analyze the potential information in the text better. Natural language processing is a technology that interacts the language humans use with machines40,41, and can identify characteristic information such as text content, grammar, and semantics. Natural language processing technology makes it possible to identify topics and construct evolution paths more accurately in topic evolution analysis42,43. NLP methods are not only tools for extraction, but also determine how technological knowledge is represented and compared across periods, which directly affects the interpretability and reproducibility of evolution inference.
Topic modeling is one of the natural language processing techniques. Topic modeling represents documents in vectors, and assigns texts to topics with specific probabilities. At the same time, the LDA topic model is commonly used in topic modeling44,45, and is widely used in 3D printing technology46, perovskite solar cell47, service robots15 and other fields. However, LDA mainly considers textual information in modeling, ignoring the temporal characteristics of the text. Therefore, some models are based on the LDA model, and the Dynamic Topic Model (DTM)48 and the Topic over Time (ToT)49 are proposed, which further consider the impact of temporal features on topic recognition. It is worth noting that these two models consider the change of topic development over time, but do not explain the evolution process between topics at different times10. Therefore, to analyze the dynamic evolution process of the topic, accurate identification of the topic is required, and the analysis process needs to be easy to understand. This suggests a practical measure in technology evolution analysis, where topic identification should remain interpretable for expert validation, while temporal dynamics and cross period linkage should be handled explicitly rather than implicitly assumed by a model.
To objectively analyze the evolution process of topics, it is necessary to construct the evolution path of topics based on topic identification. In this process, the similarity between the two topics needs to be measured6,10,16. The earliest method is to identify whether there is an evolutionary relationship between topics through co-word analysis. This method judges whether two topics are similar based on the shared vocabulary between the topics16, but this process ignores the semantic information of the text. Furthermore, natural language processing technology solves this problem very well. Some articles use deep learning models for text embedding to extract text feature information, such as Word2vec and GloVe. Ma et al.6 used the topic words obtained by LDA to extract topic vectors using the Word2vec model to construct evolutionary paths. Onan et al.11 used the GloVe model for word embedding for sentiment analysis of product reviews. However, capturing the semantic information of documents through words is still missing6,10. Therefore, document embeddings are proposed based on word embeddings. As a commonly used document embedding model, Doc2vec can use neural networks to capture the overall information of documents14. Lee et al.12 used Doc2vec to extract document information for further technical document classification. Jeon et al.13 used Doc2vec to vectorize text to measure the novelty of patents. Compared with word embedding, document embedding can capture the semantic information of documents more comprehensively12,13,14.
Recent advances in Large Language Models (LLMs) have revolutionized text analysis capabilities50. LLMs such as GPT, LLaMA, and their variants can process and understand text with remarkable accuracy. Although large language models have excellent performance in text understanding, they also have limitations. First, interpretability matters for technology evolution analysis51. LDA provides transparent topic-word distributions that domain experts can easily validate. Each topic clearly shows its constituent keywords, making the model’s reasoning explicit. In contrast, LLMs often function as black boxes52, making it difficult to understand why specific topics were identified or how they evolved. Second, computational efficiency is crucial for large-scale patent analysis. Processing fewer patent documents using lightweight methods requires modest computational resources and can be completed in minutes. LLM-based approaches, especially with retrieval-augmented generation (RAG), would require substantially more computing power and time53, particularly for the iterative topic modeling needed across multiple time periods. Meanwhile, LLMs, while powerful for tasks like summarization and question-answering54, are not specifically designed for unsupervised topic evolution tracking across time periods. Therefore, for small-scale patent analysis, traditional machine-learning methods may offer advantages in efficiency and interpretability.
This review of NLP methods reveals a persistent methodological measure in technology evolution analysis. Keyword-based approaches are interpretable but semantically shallow, missing latent relationships between concepts. Deep learning methods and LLMs offer semantic richness but lack transparency in how topics emerge or why evolution paths exist. Document embeddings like Doc2vec provide a middle ground—semantically richer than keywords, more interpretable than LLMs—but require careful integration with topic modeling to balance both needs. This measure is not merely technical but theoretical. Without validation of topic representations by domain experts, claims regarding their evolution lack credibility; similarly, neglecting semantic relationships may result in evolution paths that reflect mere term overlap rather than substantive continuity of knowledge.
Data and methodology
The analysis framework of dynamic technology topic evolution includes four steps. As shown in Fig. 1, step 1 is to quantitatively divide the period of technological development based on obtaining the time series data of the patent application date. Step 2 is to identify the technical topics covered under each period. Step 3 is to embed patent documents to construct a topic evolution path. Step 4 is to define technical value indicators and evaluate the future development direction of the technology. The analytical power comes from linking each step to the next: change-point boundaries improve within-period topic coherence, LDA outputs support Doc2Vec-based embeddings, and evolution tracking feeds directly into the TPI calculation.
The research framework of this paper.
Data collection
In this study, we focused exclusively on patent data rather than scientific papers. Patents and scientific papers serve different purposes in technology development. Patents focus on practical, implementable inventions that have commercial potential. They represent technologies that organizations consider valuable enough to protect legally, indicating readiness for industrial application. Scientific papers, while important for theoretical knowledge, often describe early-stage research that may be years away from practical use55. First, patents better reflect technology evolution in industrial contexts. Patent filing dates closely align with when technologies become commercially viable, making them ideal for tracking market-ready innovations. Second, patents provide standardized technical descriptions. The abstract and claims sections follow consistent formats, facilitating automated analysis. Scientific papers vary widely in structure and technical detail, making systematic comparison more challenging. Third, our study specifically aims to guide R&D investment decisions and policy development. Decision-makers in industry and government need to understand which technologies are progressing toward commercial deployment. Patents serve this purpose better than scientific papers because they indicate technologies that organizations have invested in protecting and developing. For this study, we focused on patent abstracts rather than full patent texts or claims sections. Patent abstracts provide concise, standardized summaries of inventions suitable for large-scale automated analysis. They contain enough technical information to identify topics while maintaining manageable computational requirements. In addition to abstracts, we retained key bibliographic metadata (e.g. application date, assignee, and classification information) to support time-series construction and interpretation of topic evolution.
So, we used the Derwent innovation index (DII) to collect lithium-ion battery recycling technology patents. We used the terms (TS = (lithium-ion battery) OR TS = (lithium ion battery) OR TS = (Li-ion battery) OR TS = (Li ion battery)) AND (TS = (recover) OR TS = (recycle) OR TS = (recycling)) as the query to search the patent data. After deleting duplicate data, 4218 patent data were retrieved up to December 31, 2022. The search was done on February 13, 2023. We removed duplicates by combining DII record identifiers with checks for repeated bibliographic/abstract information to prevent double counting in the annual series.
Methodology
Technology development period division
Traditional studies divide periods using fixed time intervals6 or subjective lifecycle stages9. However, arbitrary boundaries may split coherent development phases or merge distinct regimes, and fixed intervals cannot accommodate varying paces of technological change across domains. Therefore, change point detection offers a data-driven alternative, identifying natural transition points where time series properties fundamentally shift, in this case, where patent activity patterns indicate regime changes. Here, the time series is defined as annual patent application counts, which corresponds to typical policy and market cycles and avoids noise from intra-year reporting variations.
We specifically employ kernel-based change point detection over parametric methods because patent time series exhibit non-linear dynamics and non-Gaussian distributions that parametric assumptions cannot capture. Kernel methods handle these complexities through implicit feature space mapping. All change-point experiments were implemented in Python, and we fixed the key segmentation settings to make the stage boundaries reproducible across runs.
The first step of the technology development period division is selecting a change point detection method. Change point detection identifies moments in a time series where the data’s statistical properties change significantly. For lithium-ion battery recycling technology, these change points mark shifts in patent filing patterns, indicating new phases of technology development. We used a change point detection method based on dynamic programming to identify the change points of the time series data of lithium-ion battery recycling technology patents, and divided the period of technology development according to the change points. Dynamic programming is an optimal detection method for finding optimal solutions to change point detection problems. The method works by dividing the time series into segments and finding the segmentation that best fits the data. For a given time sequence T and the number of change points K (K ≥ 1), the optimal segmentation of sequence data is achieved by minimizing the cost function of each segment in the time series. The objective function can be defined as:
where \(V\left( \Phi \right)\) is the total cost for a specific segmentation \(\Phi\). \(\Phi\) is the set of change points defining the segmentation. \(c\left( {y_{{t_{k} .t_{k + 1} }} } \right)\) is the cost function of data \(y_{{t_{k} .t_{k + 1} }}\) in the period from tk to tk+1. \(y_{{t_{k} .t_{k + 1} }}\) represents the patent count data within that time segment.
Second, we choose the cost function, which is the key to change point detection and is related to the accuracy of change point detection. In the change point detection task, l1-norm or l2-norm is usually used as the cost function. Still, this cost function only assumes that the data conforms to the parameter model. Therefore, in this study, we chose a kernel-based method for change point detection to improve model accuracy. To better identify the nonlinear characteristics of the data, we decided on the kernel function as the Gaussian kernel function. The cost function is expressed as crbf, which is defined as follows:
where y is the bandwidth parameter, and \(\gamma\) > 0. a represents the starting point of time, and b represents the ending point of time.
Third, we compared four segmentation algorithms (bottom-up, window sliding, binary segmentation, dynamic programming) combined with three cost functions (l1, l2, RBF). Based on within-segment variance and elbow method analysis, we selected dynamic programming with RBF kernel. The constructed change point detection model is applied to the time series data of patent application dates to identify turning points in technological development. Periods of technological development are divided based on change points.
Technical topic identification
We rely on LDA to identify latent topics in the text corpus. LDA’s probabilistic formulation generates topic probability distributions at the document level, which form the basis of our technology assessment analysis. Its unsupervised nature allows topic extraction without the need for labeled data, while its relatively transparent structure enhances the interpretability of the resulting topics compared with neural topic models. We use the same preprocessing and topic number selection protocol within each period to ensure that differences across periods reflect technological change rather than inconsistent modeling choices.
Topic models are estimated separately for each period rather than jointly across the entire sample. This modeling strategy acknowledges that the substantive meaning of topics may evolve over time and ensures topic interpretations remain appropriate to each period. Cross-period relationships among documents are instead captured through the Doc2Vec approach.
We identified the technical topics under each period according to the technological development period determined by the change point detection for technology evolution analysis. The whole process is shown in Fig. 2. In the first step, the patent abstract text was preprocessed for technical topic recognition in each period.
Technical topic identification in each period.
Patent abstract text preprocessing includes the following steps: (1) Using regular expressions to remove meaningless characters such as numbers and punctuation marks. (2) Key terms contained in patent abstracts are standardized to avoid repeated use. For example, Li ion, Li-ion, Lithium-ion, etc., are uniformly expressed as Lithium-ion. (3) Using the Natural Language Processing Toolkit (NLTK) in Python to perform part-of-speech restoration, stem extraction and other operations to standardize documents. (4) By compiling a stop word list to eliminate unimportant words in the text to improve the accuracy of topic modeling. After text preprocessing, the obtained summary text is used as the input of the topic model. To make preprocessing reproducible, we fixed a domain-specific normalization dictionary and a stopword list.
Second, we matched the preprocessed patent abstract text with the technology development period obtained through change point detection. The patent abstract text datasets under various periods were obtained.
Third, we used the LDA topic model to identify the technical topic distribution under each period. LDA is a triple Bayesian model56, and its probabilistic graphical model is shown in Fig. 3. Where α and β are the hyperparameters of the model, K represents the number of topics, M represents the number of documents, Nm represents the number of words in the documents, θm represents the topic distribution parameters of the text, φk represents the parameters of the topic word distribution, zmn represents the topic and wmn represents a word. As an unsupervised training model, the LDA model needs to set the number of topics K when established manually. Existing research usually determines the number of topics by calculating the perplexity or coherence score6,15. Compared with the calculated perplexity score, the coherence score can consider the coherence of the topic more, and avoid problems with unexplainable topics57. Therefore, in this study, we determined the number of topics based on calculating the topic coherence score. The higher the consistency score, the more appropriate the number of topics selected. Hyperparameters were set as α = 50/K and β = 0.01 following standard recommendations for technical documents, validated through grid search maximizing coherence scores. Specifically, we searched K over a fixed candidate set for each period and used the same coherence metric and training budget to ensure comparability.
Probabilistic graphical models of LDA.
Technology topic evolution path identification
In this paper, we vectorized the patent abstract text contained in each topic under each period, and used this to construct a topic evolution path. The whole process is shown in Fig. 4.
Technology topic evolution path identification.
First, we used Doc2vec to vectorize patent abstracts. Doc2vec is developed based on Word2vec14. Unlike Word2Vec, Doc2vec does not maintain the document’s logical structure, so a Paragraph ID vector is added to Doc2vec. Similar to Word2vec, Doc2vec includes two models: Paragraph Vector—Distributed Memory (PV-DM) and Paragraph Vector—Distributed Bag of Words (PV-DBOW). Document embeddings are constructed using the PV-DM variant of Doc2Vec. This choice reflects both its computational efficiency and its effectiveness in capturing semantic similarity in patent abstracts, where the occurrence of relevant concepts is more important than syntactic structure. The model is estimated on the full corpus spanning all periods, thereby producing a common embedding space that supports cross-period comparisons of document similarity. We set the embedding dimension to 200, the window size to 10, and train the model for 100 epochs.
The PV-DM model is shown in Fig. 5b. The model adds a paragraph matrix D based on embedding the contextual word vector W. Unlike Word2Vec’s CBOW model (see Fig. 5a), the paragraph vector matrix is unique. It does not change with the sliding window during training. During training, the PV-DM model concatenates the paragraph matrix and word vectors to predict the target central word.
CBOW model and PV-DM model. (a) CBOW model (b) PV-DM model.
Second, discrete text vectors are unsuited for identifying technological evolution paths. Therefore, we calculated the centroids of the text vectors contained in the topics of each period as topic vectors. We used cosine similarity to determine the similarity between topics. As shown in Fig. 6, We calculated the cosine distance between two topic vectors for constructing evolution paths. Cosine similarity is to determine whether there is an evolutionary relationship between topics by calculating the cosine distance between topics, which is defined as follows:
where A and B denote topic vectors under different periods. To further clarify the similarity between topics, it is necessary to set the threshold of similarity artificially. Referring to the work of Jian Ma et al.6, we choose 0.8 as the threshold. If the cosine similarity is more significant than 0.8, it is considered that there is an evolutionary relationship between the topics, and vice versa. Based on similarity patterns, we classify evolution into: continuation (Topic similarity ≥ 0.8),merge (multiple topics in period t map to one in t + 1),split (one topic maps to multiple), emergence (period t + 1 topic with no high-similarity match in t), and obsolescence (period t topic unmatched in t + 1).
Cosine similarity between topics.
Third, After the technology evolution path identification is completed, we built a technology evolution map based on the existing technology evolution relationship.
Important and potential technology assessment
Technology assessment has traditionally used single indicators, which fail to disentangle a technology’s current significance from its future potential. Consequently, high indicator values are difficult to interpret, as they may correspond either to established, mature technologies or to nascent technologies with substantial growth prospects.
Informed by R&D portfolio theory, we propose a two-dimensional evaluation framework that distinguishes between current technological importance and future growth potential. We measure these dimensions using the Topic Intensity Index (TII) and the Topic Potential Index (TPI), respectively. This framework supports a strategic taxonomy of technologies. Technologies that score highly on both dimensions call for active investment and capability development. Those with high current importance but limited growth potential signal maturity and the need for efficiency-oriented strategies and transition planning. Technologies with low current importance but high growth potential provide opportunities for early strategic positioning, while technologies that are weak on both dimensions are natural candidates for deprioritization and resource reallocation.
To make a further practical assessment of the development direction of existing technologies, we conducted a quantitative analysis of the technical topics living in the last period to identify important and potential technologies.
We introduced the Technical Importance Index (TII) to evaluate the importance of technical topics in the current period. This index primarily reflects the occurrence frequency of topics. First, frequent topics represent areas where R&D organizations actively invest resources. When many patents address a particular technology, it signals that multiple organizations consider this technology valuable enough to pursue and protect. This collective attention indicates practical importance. Meanwhile, we define importance specifically as the degree to which technology currently dominates research and development efforts. This definition differs from purely qualitative assessments of technical merit or future potential. Technology can be scientifically elegant but unimportant if no one develops it commercially. Conversely, a widely pursued technology is important precisely because it attracts investment and effort.
However, we recognize the limitations of using frequency as a proxy for importance. Frequency does not capture technical sophistication or innovation level, economic impact or commercial value, strategic importance for specific applications, and breakthrough potential versus incremental improvements. To partially address these limitations, we use topic probability rather than simple document counts. When a patent strongly belongs to a high probability topic, it contributes more to TII than patents weakly related to that topic. This weighting somewhat captures the centrality and focuses of patents within each topic.
When using the LDA model for topic identification, a document will be assigned to different topics with a certain probability, and the topic with the highest probability is the topic of this document. Meanwhile, the topic probability distribution of a document indicates the relative importance of the topic in the document58. Therefore, the importance of a technical topic can be measured by calculating the sum of the probability distributions of each technical topic of all patent abstract documents contained in the period, that is, the technical importance index of the topic, which is defined as follows:
where \(p_{i}\) represents the probability of the ith patent abstract document under the technical topic, and n is all patent abstract documents in this period.
Whether the development trend of a technical topic is strong reflects whether a topic has the potential for further development and whether it has the value of further research and development15. On this basis, we defined the Technical Potential Index (TPI) to evaluate the development potential of technical topics. Existing studies have shown that changes in the weight of technical topics reflect changes in technology attention and R&D attitudes59. The increase in the weight of a technology topic reflects the room for further development of the technology. Therefore, we sorted the patent texts in this period according to the application time, and calculated the average growth rate of the weight of the technical topic in the year to reflect the development potential of the technical topic. To calculate TPI, we first sorted all patent texts in the period by their application dates. Then, we calculated the annual weight of each technical topic. The annual weight represents the sum of topic probabilities for all patents filed in that year. Next, we computed the year-to-year growth rate of each topic’s annual weight. The TPI is the average of these yearly growth rates over the entire period. A positive TPI indicates the topic is gaining attention, while a negative TPI suggests declining interest. The Technical Potential Index of a technical topic is defined as follows:
where \(TII_{j}\) represents the technical topic weight of the jth year in the period, and n represents the number of years in the period.
We evaluated the technical topics under the current technological development period by defining two indicators, TII and TPI. Meanwhile, we built a two-dimensional evaluation system to help determine the research and development direction. Our two-dimensional framework separates current importance (TII) from future potential (TPI). This distinction is crucial. A technology with high TII but low TPI might be mature and widely used but facing saturation. A technology with low TII but high TPI might emerge with limited current adoption but strong growth prospects. By measuring both dimensions separately, we provide a more nuanced picture than a single importance metric could offer. Furthermore, we defined four development modes of technology: high importance & high potential, high importance & low potential, low importance & high potential, and low importance & low potential.
Results
Technology development period
It is necessary to pre-define the number of lithium-ion battery recycling technology development periods in the division of technology development periods. In this process, we judged the value of the number of change points by calculating the degree of distortion of the time series data. The degree of distortion is defined as follows:
where X is the mass point in the time series, xi is the sample point in the time series data, and n is the number of sample points. For time series data, the lower the degree of distortion, the closer the sample points; the higher the degree of distortion, the looser the sample points. The degree of distortion will decrease as the category increases. Still, for data with a certain degree of discrimination, the degree of distortion will significantly improve when a certain critical point is reached, and slowly decrease. This critical point can be used as the set number of change points.
To identify change points in time series more accurately, we selected four change point detection models (Bottom-up segmentation, Window sliding segmentation, Binary segmentation and Dynamic programming) and three different cost functions (cL1, cL2, crbf). We evaluated the model effect by calculating the degree of distortion of the time series under different models. Figure 7 shows the results of our experiments. It can be seen from Fig. 7a that when the cost function is crbf, the overall distortion of time series data is low among the four change point detection models. Figure 7b shows that when the cost function is crbf the overall degree of distortion of the four models, except for Window sliding segmentation, the effect of the remaining models is close. To further distinguish the results of the four models, we analyzed the numerical values of the degrees of distortion of different models. From the data in Table 1, the degree of distortion of Dynamic programming is generally smaller than that of the other three models. Therefore, we chose the Dynamic programming model, whose cost function is crbf to calculate the number of change points in the time series.
The number of change points obtained using different models.
It can be seen from Fig. 7b that when the number of change points is 5, the degree of distortion begins to decrease slowly. Therefore, we identified six periods based on five change points: August 1988 to June 2006, July 2006 to March 2010, April 2010 to August 2015, September 2015 to February 2018, March 2018 to December 2021 and January 2022 to December 2022. However, the patents successfully applied after December 2021 have not been fully included in the DII database, and changes in the number of patent applications have no practical significance. Therefore, we merged the last two periods, and the result of the technology development period division is shown in Fig. 8. The number of patents under each period is shown in Table 2.
Technological development period.
To validate whether these data-driven boundaries capture meaningful technological transitions rather than arbitrary statistical breaks, we examined their correspondence with external events. The 2006 transition aligns with the EU Battery Directive (2006/66/EC) implementation, which shifted research focus from disposal to recovery. The 2010 change point corresponds to post-financial crisis green stimulus policies that accelerated electric vehicle development. The 2015 boundary coincides with China’s New Energy Vehicle subsidy programs that triggered market expansion. The 2018 change point aligns with stricter recycling regulations (e.g., GB/T 37,234–2018 in China) mandating higher recovery rates. This strong correspondence between detected change points and policy or market interventions supports the validity of our method in identifying substantive regime shifts.
Technical topic in the period
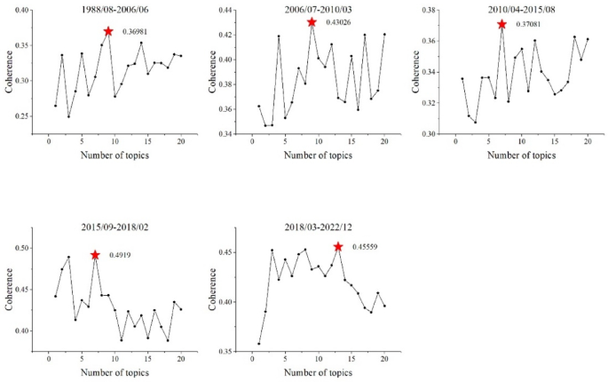
Before using LDA to identify technical topics in each period, we first determined the number of topics in each period. We used the Gensim library in Python to calculate the consistency score of the text under different topic numbers in each period. We selected the number of topics corresponding to the highest consistency score as the optimal number of topics. The consistency scores are shown in Fig. 9. The results show that there are nine technical topics from August 1988 to June 2006; Nine technical topics existed from July 2006 to March 2010; There are seven technical topics from April 2010 to August 2015; From September 2015 to February 2018, there are seven technical topics; There are thirteen technical topics from March 2018 to December 2022.
Coherence for LDA models with different numbers of topics.
After determining the number of topics in each period, we used the Gensim library to establish an LDA model to identify technical topics in each period. We combined the topic keywords obtained using the LDA model and the patent abstract texts under each topic to name the topic. Table 3 shows the topics and keywords included in each period.
To ensure the objectivity and accuracy of our topic labels, we conducted a systematic validation process. First, we calculated the topic coherence scores for each identified topic using the coherence measure. All topics achieved coherence scores above 0.4, indicating good internal consistency. Then, we performed a validation check using representative patents. For each topic, we randomly selected 10 patent abstracts with the highest topic probabilities (> 0.8). Two domain experts independently reviewed these abstracts and assigned descriptive labels without seeing our labels. The inter-rater agreement was 87%, and the agreement between expert labels and our labels was 84%, demonstrating high validity. Furthermore, we conducted a keyword overlap analysis. For each topic, we compared the LDA-generated keywords with the most frequent technical terms extracted from the top 20 patents in that topic. The average overlap was 73%, confirming that the LDA keywords accurately captured the core content. These results indicate that our topic naming is accurate.
The number of topics varies across periods—nine topics in Periods 1–2, seven in Periods 3–4, and thirteen in Period 5—indicating initial exploration, subsequent consolidation, and recent diversification. Meanwhile, topic composition shifts substantially across periods. Period 1 is dominated by foundational recovery methods. Period 2 shows emergence of hydrometallurgical topics as environmental concerns grew. Periods 3–4 witness integration of mechanical preprocessing with chemical recovery, reflecting systematic process thinking. Period 5 exhibits the most diverse topic landscape, including emerging areas such as direct recycling and automated sorting technologies. This progression from basic recovery to integrated systems to specialized approaches reflects technology maturation.
Technical topic evolution path
We used the Doc2vec module of the Gensim library in Python to vectorize the patent text of lithium-ion battery recycling technology. Referring to the work of Lee et al.12, we set the embedding dimension to 200, the window size to 10, and trained the model for 100 epochs. After document embedding, we obtained high-dimensional vectors for each patent document. Table 4 shows some document vector results.
We calculated the patent vector centroid of patents contained in each topic in each period, and used this as the topic vector. We calculated the cosine similarity between different topics in adjacent periods, and selected topic pairs with a similarity greater than 0.8. There is an evolutionary relationship between these topics. To validate this choice for our dataset, we tested multiple thresholds (0.6, 0.7, 0.8, and 0.9) and evaluated their results. At 0.6 and 0.7, the evolution map showed too many connections, creating unclear and overlapping paths that made interpretation difficult. At 0.9, many valid evolution relationships were missed, resulting in fragmented paths that did not reflect the continuous nature of technology development. The 0.8 threshold provided the best balance. It was strict enough to identify only meaningful evolution relationships while maintaining the continuity of technology development paths. This threshold also aligns with the domain knowledge of battery recycling technology, where major technological shifts typically involve substantial changes in approach rather than minor incremental adjustments. Table 5 shows the technological evolution probabilities of the nine technical topics in the first period to the nine technical topics in the second period. Thus, we identified lithium-ion battery recycling technology’s dynamic technological evolution path. Figure 10 shows the complete evolution path of lithium-ion battery recycling technology.
Lithium-ion battery recycling technology topic evolution map.
As shown in Fig. 10, each node represents a technical topic in each period, the flow represents the evolution relationship between the topics in adjacent periods, and the width of the flow represents the probability that the topic of the previous period will evolve into the topic of the next period, the larger the width of the flow, the higher the probability of the evolution relationship.
Analyzing these evolution paths reveals distinct patterns. We observe three types of evolutionary dynamics. First, continuation: topics maintaining high similarity across consecutive periods indicate sustained research directions. Second, emergence: topics appearing without high-similarity predecessors represent new research directions driven by external factors such as technological breakthroughs or policy shifts. Third, obsolescence: topics from earlier periods with no high-similarity successors indicate declining research interest as they are superseded by alternative approaches.
Identification of important and potential technologies
We identified important and potential technologies from 13 technical topics in the last lithium-ion battery recycling technology development period. Table 6 shows the probability distribution of each topic in the patent abstract text during the period obtained by LDA modeling. Each document has a certain probability of belonging to all technical topics, which is the basis for calculating the importance and potential of technology.
In this paper, we calculated the TII and TPI of the 13 technical topics that existed in the last period, and Table 7 shows the calculation results. To intuitively demonstrate the important and potential technologies of lithium-ion battery recycling technology, we mapped the thirteen technical topics from March 2018 to December 2022 into a two-dimensional coordinate system, and the results are shown in Fig. 11. The division of the four development modes is bounded by the mean value of TII and TPI in the thirteen technical topics.
The development model of lithium-ion battery recycling technology.
The two-dimensional distribution reveals distinct strategic positions for different technologies. Topics in the high TII, high TPI quadrant represent technologies that currently dominate research and exhibit strong growth momentum, indicating mainstream future directions requiring continued intensive investment. Topics in the high TII, low TPI quadrant show current dominance but slowing growth, suggesting mature technologies approaching saturation that may require cost optimization and transition planning. Topics in the low TII, high TPI quadrant represent emerging technologies with limited current presence but strong growth trajectories, offering opportunities for early strategic positioning despite higher uncertainty. Topics in the low TII, low TPI quadrant indicate limited current activity and declining or stagnant growth, suggesting resource reallocation unless niche applications exist. This assessment framework enables differentiation that single-metric approaches cannot provide. By separating these dimensions, our framework provides actionable intelligence for R&D portfolio management.
Discussion
The temporal evolution of lithium-ion battery recycling technology
Our results reveal distinct evolution patterns—continuation, emergence, and obsolescence—across five technological periods. However, describing these patterns does not explain why they occurred. Here we interpret the underlying mechanisms governing technology evolution in this domain.
Several forces drive the observed evolution patterns. First, policy incentives promote the development of lithium-ion battery recycling technology. Miao et al.24 noted that policy plays an important role in shaping this domain. After the EU Battery Directive 2006/66/EC was issued in 200660, policy attention to batteries and end-of-life management increased. Subsequently, multiple jurisdictions introduced measures to support recycling technology development. For example, in 2018, China issued the Interim Regulations on the Recycling and Reuse of Power Batteries of New Energy Vehicles61, requiring automobile manufacturers to collect spent power batteries, store them centrally, and transfer them to cooperating enterprises. In the same year, the European Union released the Strategic Action Plan on Batteries62 to strengthen the battery value chain, including recycling. Consistent with these policy signals, patenting activity in recycling technologies increased rapidly after March 2018.
Second, rising prices of key battery raw materials have strengthened economic incentives for recycling. Since 2016, prices of critical materials used in lithium-ion batteries have increased markedly2. For example, the cobalt price increased by more than 300 percent from 2016 to 201863, and the lithium carbonate price increased by more than 170 percent over the same period. Higher material costs encouraged battery manufacturers to recover valuable metals to reduce costs64. At the same time, higher input prices improved the profitability outlook for recyclers65, which further increased incentives for research and development investment.
Third, rapid growth of electric vehicles has increased the scale of end-of-life batteries that require recycling. Since 2010, lithium-ion batteries have been widely used in electric and hybrid vehicles66, supported by policies aimed at reducing fossil fuel consumption. Anticipating large volumes of spent batteries, recyclers began to deploy recycling technologies. By 2015, China promulgated the Standard Conditions for the Automobile Traction Battery Industry67, requiring replacement of traction battery packs when capacity decays to 80 percent, which accelerated the formation of an end-of-life battery stream. By 2018, electric vehicle sales grew rapidly68 and the volume of spent batteries is expected to continue increasing. These practical needs therefore continuously promote the development of recycling technology.
These forces explain why our detected change points occur at 2006, 2010, 2015, and 2018. Each transition corresponds to the convergence of regulatory, economic, and market pressures. These forces interact to create transition points where established technological paths become more impressionable and alternative directions become feasible. The transition around 2018 illustrates this interaction. Mandatory recycling requirements increased compliance pressure, high cobalt prices strengthened economic incentives, and rapid electric vehicle growth expanded material supply. Together, these factors were associated with a shift from pyrometallurgy-dominated approaches with high energy consumption toward advanced hydrometallurgical and direct recycling methods with lower environmental impact.
Overall, the evidence suggests a punctuated pattern of evolution rather than a purely smooth progression in this domain. During periods without strong external shocks, incremental refinement is more common, which is consistent with the relatively stable topic composition observed during 2010 to 2015. When regulatory requirements and market conditions change simultaneously, topic reorganization becomes more pronounced. Compared with domains where internal technical breakthroughs are the primary triggers of transitions, lithium-ion battery recycling appears to be more strongly conditioned by institutional and market environments in determining when and how rapid evolution occurs.
Dynamic evolution of lithium-ion battery recycling technology
Our evolution path analysis reveals how technologies transform across periods. To illustrate the transformation logic, we use the valuable metal recovery topic as a representative case.
In the first period, the valuable metal recycling topic (Topic 4) focused on acid leaching of spent batteries using sulfuric acid or hydrochloric acid, electrolysis-based recovery of cobalt metal from cobalt compounds, and precipitation-based recovery of lithium salts. In the second period, the valuable metal recycling topic (Topic 2) evolved from Topic 2 (Lithium cobaltate recovery) and Topic 4 in the previous period. The core objective remained similar, but the topic began to emphasize direct conversion of metal-containing battery materials, or acid leachate solutions, into reusable cathode materials such as lithium cobalt oxide. In the third period, the valuable metal recycling topic (Topic 6) evolved from Topic 2 in the previous period and expanded beyond cobalt to include recovery of nickel, manganese, copper, aluminum, iron, and titanium. In the fourth period, the valuable metal recycling topic (Topic 3) evolved from Topic 6 and increasingly focused on power battery recycling, including ternary cathode systems such as nickel cobalt manganese oxide batteries. In the fifth period, the valuable metal recycling topic (Topic 6) evolved from Topic 1 (Electrode material recovery), Topic 3, and Topic 4 (Waste pollutant treatment) in the previous period, and it emphasized efficient recovery of valuable metals from power batteries while simultaneously reducing environmental pollution.
This trajectory reflects continuous adaptation to changing technological and market contexts. Initial cobalt-focused recovery corresponds to the dominance of lithium cobalt oxide batteries in earlier stages. Multi-metal recovery became more salient as battery chemistry shifted toward ternary materials. The more recent emphasis on environmental performance is consistent with tighter environmental requirements. Overall, each transition reflects a shift in objectives from maximizing single-metal yield toward system-level optimization that balances recovery rate, cost, and environmental impact.
Some topics disappeared during technological development. A primary reason is that topics that were once important can become less important as battery chemistries and industrial practices change. For example, the recovery of lithium cobaltate and lithium carbonate in the first period (Topic 2 & Topic 5) disappeared in the later technical topics. Lithium cobaltate and lithium carbonate are the most used materials for the early preparation of lithium-ion battery cathodes. In the early stage of lithium-ion battery recycling technology, it is necessary to focus on research and development of lithium cobaltate and lithium carbonate69. In the next stage, the recovery technology of lithium cobaltate and lithium carbonate is relatively mature, and no key research and development is required. Therefore, ‘Lithium cobaltate recovery’ has evolved into the next stage of ‘Valuable metal recovery’ (Topic 2), focusing on the recovery of the valuable metal cobalt contained in lithium-ion batteries. ‘Lithium carbonate recovery’ evolves into the next stage of ‘Active material’ (Topic 1), ‘Recovery device’ (Topic 5) and ‘Water leaching method’ (Topic 6).
At the same time, some topics emerged. Such emerging topics represent emerging research and development hotspots at the current stage, and usually have the value of further research10. For example, ‘Lithium iron phosphate recovery’ (Topic 11) and ‘Green recovery’ (Topic 13) appeared in the last period. Although lithium iron phosphate is not a battery material that has appeared recently, as the primary material for electric vehicle batteries3, the large number of waste power lithium batteries has made lithium iron phosphate a new research and development focus at the current stage. Meanwhile, with the improvement of environmental protection requirements in various countries, it is required to reduce the pollution caused by recycling lithium-ion batteries70. Therefore, it is necessary to focus on research and development of green recycling at the current stage. This indicates that in application-oriented domains, research focus is strongly shaped by market scale and regulatory constraints, and some technologies may receive limited attention until external conditions create clear demand.
These findings suggest that technology evolution in domains is strongly influenced by external pressures rather than only internal technical logic. Understanding these dynamics is important for strategic R&D planning and policy design.
Future R&D direction of lithium-ion battery recycling technology
Our TII and TPI assessment framework enables differentiation that single-metric approaches cannot provide. By separating current importance from future potential, we identify strategic positions for different technologies and derive guidance for R&D resource allocation.
Technologies with high current importance and high growth potential represent mainstream future directions requiring intensive investment. Electrode material recovery exemplifies this category. As the user’s demand for battery charge and discharge efficiency increases, the electrode materials of the battery are also constantly updated. The positive electrode material has developed from the earliest lithium cobalt oxide to lithium iron phosphate to the ternary material mainly used now69. Recycling of different materials involves different recycling methods and processes2. The development of electrode materials drives the progress of recycling technology. Organizations may pursue broader capability building and targeted intellectual property protection in these areas while maintaining continuous process innovation. At the same time, high visibility attracts competition, which increases the importance of differentiation and defensible process advantages.
Technologies with low current presence but high growth potential offer opportunities for early strategic positioning. Green recycling technology is an emerging direction in this period. To meet environmental protection needs, it is necessary to realize the green recycling of spent lithium-ion batteries70. Green recycling methods such as bioleaching71, waste for waste approach72, and electrodeposition73 are still in their infancy and are worthy of further research. Given higher uncertainty, organizations may diversify across multiple emerging options rather than concentrating on a single route. Collaborative R&D with universities can share risks while building capabilities, and earlier patenting can be beneficial before competition intensifies, even when commercial deployment is not immediate.
Technologies with ‘High importance & Low potential’ tend to be relatively mature and widely adopted. In this period, valuable metal recovery (Topic 6) is the most representative example. Valuable metal recovery has long been a hotspot in lithium-ion battery recycling and is relatively mature, with many practical implementations based on pyrometallurgy and hydrometallurgy2,3. Although alternative methods exist, firms may be reluctant to increase investment due to constraints in efficiency and cost. For this category, the strategic focus should shift from expansion to cost optimization and transition planning. Actions may include incremental process improvements, avoiding major capacity lock-in, and selectively licensing mature technologies in markets where they remain viable. In parallel, capability building in emerging alternatives should begin to support a smoother transition when market conditions and regulations shift.
Technologies with low current activity and low growth potential generally warrant deprioritization unless niche applications are justified. These technologies may be mature, constrained by economics, or losing relevance as battery systems evolve. For new entrants and organizations planning recycling deployment, reducing investment in these topics can be a prudent choice. In this period, six topics fall into this category. These topics show limited current activity and limited growth in our indicators, and they are therefore not prioritized in the main discussion. However, organizations should evaluate whether specialized applications justify continued limited investment, for example, when specific waste stream compositions or regulatory contexts favor particular methods despite limited mainstream potential.
Beyond technology specific guidance, our findings also have broader implications for R&D strategy. The complementary co-evolution patterns identified in Sect. "Dynamic evolution of lithium-ion battery recycling technology" suggest that investing in isolated technologies without considering process integration can create bottlenecks. Organizations may adopt portfolio approaches that balance investment across complementary technology elements. In addition, the policy sensitive nature of evolution identified in Sect. "The temporal evolution of lithium-ion battery recycling technology" indicates that monitoring regulatory developments can be as important as tracking technical advances. Strategic planning may incorporate policy scenario analysis to anticipate regime shifts and to position ahead of regulatory transitions.
Conclusion
This study addresses a core challenge in technology evolution analysis, namely, how to move beyond static descriptions to identify development stages, trace topic transformation across time, and translate evidence into decision relevant insights. Based on 4218 lithium-ion battery recycling patents, we developed an integrated analytical framework that combines data driven stage identification, topic modeling, cross period semantic mapping, and dual dimensional technology assessment. The results indicate clear stage transitions and multiple evolution patterns, including topic continuation, emergence, merging, and obsolescence. In addition, the inferred stage transitions are consistent with major changes in regulation, market incentives, and end of life battery supply, supporting the interpretability of the detected temporal regimes. Methodologically, the study demonstrates that empirically inferred stages can improve within stage topic coherence compared with fixed interval segmentation. Semantic based matching provides a more reliable basis for cross period topic tracking than keyword overlap under terminology change. Practically, the proposed importance and potential assessment helps R&D organizations distinguish technologies that warrant intensive investment from those that require efficiency oriented optimization or transition planning, thereby supporting portfolio decision making in lithium-ion battery recycling.
While the empirical analysis focuses on lithium-ion battery recycling, the framework can be applied to other technology domains that exhibit non uniform temporal development and cross period topic transformation. This is particularly relevant for emerging technologies where understanding evolution dynamics can inform investment timing, capability building, and resource allocation.
Although our work makes some contributions, several limitations warrant discussion. First, we analyzed only patent abstracts rather than full texts or claims sections, which inevitably results in information loss. Recent advances in LLMs have made it computationally feasible to analyze entire patent documents. Future work should explore using LLMs to combine abstracts and claims to improve topic granularity and reveal finer evolution patterns. Second, integrating both scientific papers and patents could create a more complete picture of technology evolution, capturing both early-stage theoretical advances and commercialization pathways. Third, while we used LDA for interpretability, future work could explore hybrid approaches combining LDA’s transparency with LLMs’ semantic richness. Finally, our TII metric primarily reflects frequency; future work could incorporate additional measures such as citation counts, patent family size, or economic impact indicators to provide more comprehensive assessment of technological importance. Beyond methodological extensions, future research should investigate technology interaction effects, validate dual-metric assessments against actual commercialization outcomes, and examine how national contexts moderate evolution patterns.
Data availability
The data that support the findings of this study are openly available in GitHub at https://github.com/yanjingbo1997/evolution-analysis.git.
References
Chen, J. C. et al. Combining empirical mode decomposition and deep recurrent neural networks for predictive maintenance of lithium-ion battery. Adv. Eng. Inform. 50, 101405 (2021).
Chen, M. et al. Recycling end-of-life electric vehicle lithium-ion batteries. Joule 3(11), 2622–2646 (2019).
Wei, Q. et al. Spent lithium ion battery (LIB) recycle from electric vehicles: A mini-review. Sci. Total Environ. 866, 161380 (2023).
Ciez, R. E. & Whitacre, J. Examining different recycling processes for lithium-ion batteries. Nat. Sustain. 2(2), 148–156 (2019).
Velázquez-Martínez, O. et al. A critical review of lithium-ion battery recycling processes from a circular economy perspective. Batteries 5(4), 68 (2019).
Ma, J. et al. An integrated latent Dirichlet allocation and Word2vec method for generating the topic evolution of mental models from global to local. Expert Syst. Appl. 212, 118695 (2023).
Yuan, X. et al. Understanding the evolution of photovoltaic value chain from a global perspective: Based on the patent analysis. J. Clean. Prod. 377, 134466 (2022).
Chen, B. et al. Understanding the topic evolution in a scientific domain: An exploratory study for the field of information retrieval. J. Informetr. 11(4), 1175–1189 (2017).
Hong, T. et al. State-of-the-art on research and applications of machine learning in the building life cycle. Energy Build. 212, 109831 (2020).
Huang, L. et al. Identification of topic evolution: Network analytics with piecewise linear representation and word embedding. Scientometrics 127(9), 5353–5383 (2022).
Onan, A. Sentiment analysis on product reviews based on weighted word embeddings and deep neural networks. Concurrency Comput. Pract. Exp. 33(23), e5909 (2021).
Lee, M. et al. Technology opportunity discovery using deep learning-based text mining and a knowledge graph. Technol. Forecast. Soc. Change 180, 121718 (2022).
Jeon, D. et al. A doc2vec and local outlier factor approach to measuring the novelty of patents. Technol. Forecast. Soc. Change 174, 121294 (2022).
Le, Q. & Mikolov, T. Distributed representations of sentences and documents. In International Conference on Machine Learning. (PMLR, 2014).
Savin, I., Ott, I. & Konop, C. Tracing the evolution of service robotics: Insights from a topic modeling approach. Technol. Forecast. Soc. Change 174, 121280 (2022).
Zhou, H., Yu, H. & Hu, R. Topic evolution based on the probabilistic topic model: A review. Front. Comput. Sci. 11, 786–802 (2017).
Mishra, G. et al. A review on recycling of lithium-ion batteries to recover critical metals.. J. Environ. Chem. Eng. https://doi.org/10.1016/j.jece.2022.108534 (2022).
Yang, Y. et al. On the sustainability of lithium ion battery industry–A review and perspective. Energy Storage Mater. 36, 186–212 (2021).
Dunn, J., Kendall, A. & Slattery, M. Electric vehicle lithium-ion battery recycled content standards for the US–Targets, costs, and environmental impacts. Resour. Conserv. Recycl. 185, 106488 (2022).
Zhang, G. et al. Recent advances in pretreating technology for recycling valuable metals from spent lithium-ion batteries. J. Hazard. Mater. 406, 124332 (2021).
Rajaeifar, M. A. et al. Life cycle assessment of lithium-ion battery recycling using pyrometallurgical technologies. J. Ind. Ecol. 25(6), 1560–1571 (2021).
Jung, J.C.-Y., Sui, P.-C. & Zhang, J. A review of recycling spent lithium-ion battery cathode materials using hydrometallurgical treatments. J. Energy Storage 35, 102217 (2021).
Yang, J., Gu, F. & Guo, J. Environmental feasibility of secondary use of electric vehicle lithium-ion batteries in communication base stations. Resour. Conserv. Recycl. 156, 104713 (2020).
Miao, Y. et al. An overview of global power lithium-ion batteries and associated critical metal recycling. J. Hazard. Mater. 425, 127900 (2022).
Werner, D. M., Mütze, T. & Peuker, U. A. Influence of cell opening methods on electrolyte removal during processing in lithium-ion battery recycling. Metals 12(4), 663 (2022).
Lombardo, G. et al. Incineration of EV lithium-ion batteries as a pretreatment for recycling–determination of the potential formation of hazardous by-products and effects on metal compounds. J. Hazard. Mater. 393, 122372 (2020).
Hu, Y. et al. Development tendency and future response about the recycling methods of spent lithium-ion batteries based on bibliometrics analysis. J. Energy Storage 27, 101111 (2020).
Zhang, Y. et al. Scientific evolutionary pathways: Identifying and visualizing relationships for scientific topics. J. Assoc. Inf. Sci. Technol. 68(8), 1925–1939 (2017).
Wang, J. et al. Tracking and predicting technological knowledge interactions between artificial intelligence and wind power: Multimethod patent analysis. Adv. Eng. Inform. 58(10), 102177 (2023).
Wang, X. et al. Tracking knowledge evolution, hotspots and future directions of emerging technologies in cancers research: A bibliometrics review. J. Cancer. 10(12), 2643 (2019).
Wang, D. et al. Research hotspots and evolution trends of carbon neutrality—visual analysis of bibliometrics based on CiteSpace. Sustainability 14(3), 1078 (2022).
Khandelwal, H. et al. Application of life cycle assessment in municipal solid waste management: A worldwide critical review. J. Clean. Prod. 209, 630–654 (2019).
Truong, C., Oudre, L. & Vayatis, N. Selective review of offline change point detection methods. Signal Process. 167, 107299 (2020).
Abbasimehr, H. & Shabani, M. A new methodology for customer behavior analysis using time series clustering: A case study on a bank’s customers. Kybernetes 50(2), 221–242 (2021).
Han, T. et al. A pattern representation of stock time series based on DTW. Phys. A Stat. Mech. Its Appl. 550, 124161 (2020).
Apostol, E.-S. et al. Change point enhanced anomaly detection for IoT time series data. Water 13(12), 1633 (2021).
Liu, H. et al. Mapping the technology evolution path: A novel model for dynamic topic detection and tracking. Scientometrics 125, 2043–2090 (2020).
Gao, Q. et al. Semantic-enhanced topic evolution analysis: A combination of the dynamic topic model and word2vec. Scientometrics 127(3), 1543–1563 (2022).
Chen, X. et al. Past, present, and future of smart learning: A topic-based bibliometric analysis. Int. J. Educ. Technol. High. Educ. 18, 1–29 (2021).
Kang, Y. et al. Natural language processing (NLP) in management research: A literature review. J. Manag. Anal. 7(2), 139–172 (2020).
Maulud, D. H. et al. State of art for semantic analysis of natural language processing. Qubahan Acad. J. 1(2), 21–28 (2021).
Putri, T. D. Intelligent transportation Systems (ITS): A Systematic Review Using a Natural Language Processing (NLP) Approach e08615 (Heliyon, 2021).
Wu, C. et al. Natural language processing for smart construction: Current status and future directions. Autom. Constr. 134, 104059 (2022).
Vayansky, I. & Kumar, S. A. P. A review of topic modeling methods. Inf. Syst. 94, 101582 (2020).
Trappey, A. J. C. et al. Digital transformation of technological IP portfolio analysis for complex domain of satellite communication innovations. Adv. Eng. Inform. 55, 101879 (2023).
Mühlroth, C. & Grottke, M. Artificial intelligence in innovation: How to spot emerging trends and technologies. IEEE Trans. Eng. Manag. 69(2), 493–510 (2020).
Yeo, J.-S. & Jeong, Y. Pathway toward market entry of perovskite solar cells: A detailed study on the research trends and collaboration networks through bibliometrics. Energy Rep. 6, 2075–2085 (2020).
Blei, D.M. & Lafferty, J.D. Dynamic topic models. In Proceedings of the 23rd International Conference on Machine Learning. (2006).
Wang, X. & McCallum, A. Topics over time: a non-markov continuous-time model of topical trends. In Proceedings of the 12th ACM SIGKDD International Conference on Knowledge Discovery and Data Mining. (2006).
Kumar, P. Large language models (LLMs): Survey, technical frameworks, and future challenges. Artif. Intell. Rev. 57(10), 260 (2024).
Wu, Z. et al. Interpretability at scale: Identifying causal mechanisms in Alpaca. Adv. Neural Inf. Process. Syst. 36, 78205–78226 (2023).
Chao, P., et al. Jailbreaking black box large language models in twenty queries. In 2025 IEEE Conference on Secure and Trustworthy Machine Learning (SaTML). (IEEE, 2025).
Fan, W., et al. A survey on rag meeting LLMS: Towards retrieval-augmented large language models. In Proceedings of the 30th ACM SIGKDD Conference on Knowledge Discovery and Data Mining. (2024).
Arefeen, M. A., Debnath, B. & Chakradhar, S. Leancontext: Cost-efficient domain-specific question answering using LLMs. Nat. Lang. Process. J. 7, 100065 (2024).
Van de Ven, A. H. & Johnson, P. E. Knowledge for theory and practice. Acad. Manag. Rev. 31(4), 802–821 (2006).
Blei, D. M., Ng, A. Y. & Jordan, M. I. Latent dirichlet allocation.. J. Mach. Learn. Res. 3(Jan), 993–1022 (2003).
Röder, M., A. Both & Hinneburg, A. Exploring the space of topic coherence measures. In Proceedings of the 8th ACM International Conference on Web Search and Data Mining. (2015).
Ma, T. et al. Combining topic modeling and SAO semantic analysis to identify technological opportunities of emerging technologies. Technol. Forecast. Soc. Change 173, 121159 (2021).
Li, X., Xie, Q. & Huang, L. Identifying the development trends of emerging technologies using patent analysis and web news data mining: The case of perovskite solar cell technology. IEEE Trans. Eng. Manag. 69(6), 2603–2618 (2019).
Tytgat, J. The recycling efficiency of Li-ion EV batteries according to the European Commission Regulation, and the relation with the end-of-life vehicles directive recycling rate. In 2013 World Electric Vehicle Symposium and Exhibition (EVS27). (IEEE, 2013).
Hua, Y. et al. Sustainable value chain of retired lithium-ion batteries for electric vehicles. J. Power Sources 478, 228753 (2020).
Beuse, M., Schmidt, T. S. & Wood, V. A “technology-smart” battery policy strategy for Europe. Science 361(6407), 1075–1077 (2018).
Fu, X. et al. Perspectives on cobalt supply through 2030 in the face of changing demand. Environ. Sci. Technol. 54(5), 2985–2993 (2020).
Leal, V. et al. Recycling of spent lithium-ion batteries as a sustainable solution to obtain raw materials for different applications. J. Energy Chem. 79, 118–134 (2022).
Nguyen-Tien, V. et al. Optimising the geospatial configuration of a future lithium ion battery recycling industry in the transition to electric vehicles and a circular economy. Appl. Energy 321, 119230 (2022).
Rajaeifar, M. A. et al. Challenges and recent developments in supply and value chains of electric vehicle batteries: A sustainability perspective. Resour. Conserv. Recycl. 180, 106144 (2022).
Xie, Y.-h., et al. Progress in traction battery recycling industry for electric vehicles. In 2017 5th International Conference on Mechatronics, Materials, Chemistry and Computer Engineering (ICMMCCE 2017) (Atlantis Press, 2017).
Yu, W. et al. A review on comprehensive recycling of spent power lithium-ion battery in China. Etransportation 11, 100155 (2022).
Nzereogu, P. et al. Anode materials for lithium-ion batteries: A review. Appl. Surf. Sci. Adv. 9, 100233 (2022).
Wang, R. et al. Emerging green technologies for recovery and reuse of spent lithium-ion batteries-a review. J. Mater. Chem. A https://doi.org/10.1039/d2ta03295c (2022).
Do, M. P. et al. Green closed-loop cathode regeneration from spent NMC-based lithium-ion batteries through bioleaching. ACS Sustain. Chem. Eng. 10(8), 2634–2644 (2022).
Yang, J.-L. et al. Advanced cathode for dual-ion batteries: Waste-to-wealth reuse of spent graphite from lithium-ion batteries. eScience 2(1), 95–101 (2022).
Trofimov, A. et al. Electrodeposition of silicon from molten KCl-K2SiF6 for lithium-ion batteries. J. Electrochem. Soc. 169(2), 020537 (2022).
Acknowledgements
This research did not receive any specific grant from funding agencies in the public, commercial, or not-for-profit sectors.
Funding
This research did not receive funding.
Author information
Authors and Affiliations
Contributions
J.Y. and Z.Z. wrote the main manuscript text
Corresponding authors
Ethics declarations
Competing interests
No potential conflict of interest was reported by the authors.
Additional information
Publisher’s note
Springer Nature remains neutral with regard to jurisdictional claims in published maps and institutional affiliations.
Rights and permissions
Open Access This article is licensed under a Creative Commons Attribution-NonCommercial-NoDerivatives 4.0 International License, which permits any non-commercial use, sharing, distribution and reproduction in any medium or format, as long as you give appropriate credit to the original author(s) and the source, provide a link to the Creative Commons licence, and indicate if you modified the licensed material. You do not have permission under this licence to share adapted material derived from this article or parts of it. The images or other third party material in this article are included in the article’s Creative Commons licence, unless indicated otherwise in a credit line to the material. If material is not included in the article’s Creative Commons licence and your intended use is not permitted by statutory regulation or exceeds the permitted use, you will need to obtain permission directly from the copyright holder. To view a copy of this licence, visit http://creativecommons.org/licenses/by-nc-nd/4.0/.
About this article
Cite this article
Yan, J., Zhang, Z. Tracking the dynamic evolution of lithium-ion battery recycling technology using natural language processing. Sci Rep 16, 10872 (2026). https://doi.org/10.1038/s41598-026-45690-z
Received:
Accepted:
Published:
Version of record:
DOI: https://doi.org/10.1038/s41598-026-45690-z













