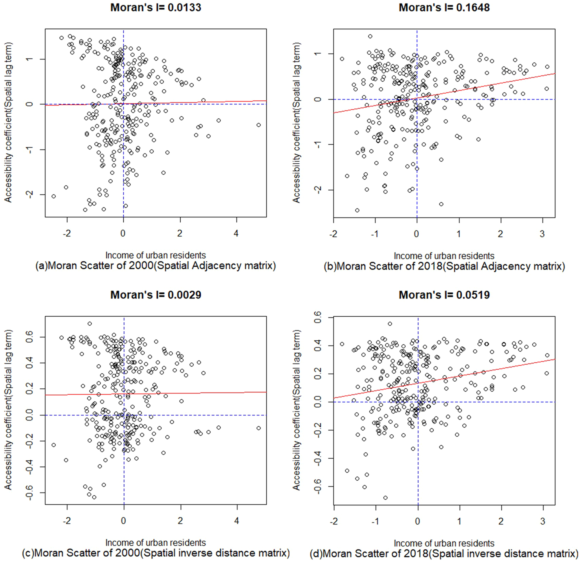
Fig. 4: Moran index scatter plot of urban accessibility and income in 2000, 2018.

Note: The horizontal coordinate of the Moran index scatter plot represents the observed value, while the vertical coordinate represents the spatial lag term of the observed variable. The four quadrants of the Moran scatter plot correspond to the four local spatial connection forms between space units and other units, respectively. The first and third quadrants represent the spatial connection forms of high and low observation units surrounded by the same high and low observation units, which is the spatial positive correlation of similar values. The second and fourth quadrants represent the spatial connection form of different observation values surrounded by high and low observation units, which indicates spatial negative correlation.