Abstract
The transportation infrastructure is a crucial component of social capital, as it aids in fostering national economic growth. The speed of resource elements’ spatial movement is increased by high-speed railways (HSR), thereby affecting the intensity and direction of regional economic connections. This study investigates how HSR impacts urban regional accessibility and the spatial spillover of urban residents’ income from a spatial viewpoint. The study found that: First, between 2000 and 2018, the introduction and functioning of HSR, along with the increased speed of regular railway services, led to an overall enhancement in urban regional accessibility and urban positioning. Second, there exists a notable spatial correlation between regional accessibility and labor market income. Cities with either high or low labor market income exhibit spatial clustering in the same direction at the spatial level. Enhancing regional accessibility typically leads to an increase in labor market income throughout the entire region. Third, the nearby cities with greater regional accessibility exert a siphon effect on the local area. Fourth, the labor market income is interdependent and promoted among cities. The labor market income of a city is positively influenced by the nearby cities and neighboring cities with comparable income levels. Fifth, between 2012 and 2018, the construction of HSR and the structural transformation of the labor market led to a notable increase in income through a positive spatial spillover effect.
Similar content being viewed by others
Introduction
During the 1980s, a significant change in the labor force and its concentration in Western countries occurred due to globalization and information technology. In addition to the size of the labor force, the spatial concentration or dispersion of the labor force can also affect economic output. A high concentration of productive social activities, like population size or labor density, can result in reduced production costs, improved labor productivity, enhanced economic efficiency, and an expansion of regional income (Ottaviano and Pinelli, 2006). The reform and opening up of China has disrupted the traditional urbanization process observed in Western nations. As a result, there has been a shift of excess rural laborers to cities, causing the merging of agricultural and urban areas and the labor division between these two sectors to become less distinct. This has led to the creation of a distinctive industrial employment system in China (Zhang et al., 2019). As of 2000, the majority of the institutional barriers that had previously limited labor movement had been lifted. This enabled the rural labor force to freely transition between urban and rural areas, leading to a substantial influx of rural laborers into cities and the establishment of a unified national labor market (He, 2019). With the construction of large-scale transportation infrastructure and the liberalization of the household registration system in the 21st century, labor mobility, spatial distribution, and agglomeration have emerged as significant concerns in China. Through institutional reforms and policy adjustments, China has been able to gradually eliminate various institutional barriers, allowing workers to transition between regions and industries based on market signals for job opportunities and relative incomes (Cai, 2017).
Despite China’s significant economic growth, there is a growing disparity in inter-regional development, leading to a large income gap between citiesFootnote 1. This imbalance is a result of uneven economic development, industrial structure, culture, and education across regions. In 2000, 2008, and 2018, the percentile curve of urban residents’ income across the country became steeper, indicating that the income gap between cities with high and low incomes increased over the years (as shown in Fig. 1). In 2000, the city with the lowest income was 2830 yuan, while the city with the highest income was 20,990 yuan. In 2018, the city with the lowest income was 22,470 yuan, while the city with the highest income was 68,030 yuan. Residents in certain central cities or cities with higher administrative levels and stronger economic foundations had relatively high incomes, particularly in eastern cities. In the meantime, there are few cities that have a higher income level, and the income level of residents in cities at the prefecture level and above is noticeably varied.
Note: ① The data on per capita disposable income of urban residents from 2000 to 2018 was derived from the China Urban Statistical Yearbook from 2001 to 2019. ② The decile curve corresponds to the main vertical axis (left), indicating that the income levels of all prefecture-level and above cities in 2000, 2010, and 2018 are divided into 10 equal deciles, forming a trend of the change in income quantiles over time. This trend is shown for the years 2000, 2010, and 2018. From the gradual rise of the three decile curves in 2000, 2010, and 2018, it can be seen that the income level at each percentile has increased. This indicates that residents’ income has generally increased over time. However, the curve has also gradually steepened, which suggests that in the same year, the difference between the income levels of higher and lower-income individuals has increased. This means that the income gap has widened. ③ The quartile curve corresponds to the secondary vertical axis (right) and represents the difference in income levels between 2018 and 2000 at each subpoint. The slope of the quartile spread curve is positive. In 2018, compared to 2000, the difference in income levels for the lower quartile was smaller, while the difference in income levels for the higher quartile was larger. This resulted in an increased degree of dispersion in the income gap, leading to an expansion of the income gap.
China’s High-speed railway (HSR) construction stands out as one of the most remarkable events in recent years in the history of global transport infrastructure construction. Ever since the Beijing-Tianjin-Hebei inter-city HSR began operating in 2008, China’s HSR network has expanded to 29,000 kilometers by the end of 2018, making it the largest in the world. From 2008 to 2018, 286 cities at the prefecture level and above in China introduced HSR, but there is an imbalance in the spatial distribution of HSR. Additionally, the spatial distribution of urban residents’ income level does not match it (as shown in Fig. 2). The emergence of new economic geography has incorporated spatial elements into traditional economics, prompting researchers to consider the influence of transportation advancements on the spatial distribution of resource factors. The rapid transit network supports the flow of various factors, including people, logistics, capital, technology, and information. This impacts all aspects of social production, altering the spatial allocation of labor factors within and between regions, as well as the division of labor and labor market efficiency. Additionally, it reshapes the spatial distribution of economic geography.
Spatial effects in regional space are a result of the interplay between geographical and economic variables, leading to phenomena such as the movement and integration of population, labor force, capital, technology, and information, the expansion and contraction of economic regional systems, the evolution of economic regional system hierarchy and structure, and other dynamic processes. The labor force stands as the sole revolutionary and dynamic factor among all production factors. Labor force and population migration, as the central factors of market integration and resource reallocation in economic structural transformation, will impact economic output either through spatial agglomeration or diffusion. The transfer of labor force and other production resources from low-productivity activities to high-productivity activities can lead to a dynamic change in economic structure, employment structure, and industrial structure, which in turn can play a significant role in promoting overall economic growth.
According to the report of the 19th National Congress of the Communist Party of China, the main contradiction in Chinese society has shifted to the disparity in development and the increasing demands of the people for a higher quality of life. The widening income gap between different regions is a clear indication of the imbalance and inadequacies in the current economic development. The 20th National Congress of the Communist Party of China’s report emphasized that “the main contradiction in Chinese society is the disparity between insufficient development and the increasing demands of the people for a higher quality of life. In all our work, we must closely focus on this principal contradiction to enrich and develop a new form of human civilization”. “Although there has been some improvement, the divide in development between urban and rural areas and between regions, as well as in income distribution, continues to be substantial. People encounter numerous challenges in employment, education, medical care, childcare, elderly care, and housing”. “The objective is to drive balanced development throughout regions, constructing a regional economic layout and territorial space system that complement each other’s strengths and facilitate high-quality development”. China, as a developing economy, encounters a significant gap in economic development level and labor productivity among various regions and economic sectors.
With the population dividend decreasing over time, it is crucial to explore ways to promote the rational distribution of labor space and minimize the regional development gap through effective spatial planning, in order to restructure the spatial pattern of China’s economy. The advancement of transportation infrastructure, such as HSR, extends the market scope, with income (wages) acting as the price of labor factor to regulate the movement of labor. The spatial distribution pattern of income is shaped by labor flow, while also influencing the spatial economic distribution structure. The examination of HSR’s influence on the comprehensive spatial income dimension of China’s labor market holds great theoretical and practical importance. It can help leverage the spatial-temporal contraction effect of HSR to reshape the spatial distribution pattern, promote balanced and coordinated development, bridge the regional economic development gap, reduce residents’ income inequality, and foster the common prosperity of the people.
Literature review
Conventional economic theories often oversimplify the flow of factors in geographic space as instantaneous and assume that the transportation of factors is cost-free. Consequently, it is generally believed that the likelihood of spatial spillover effects of transportation infrastructure on regional economic development is low (Song et al., 2014). In the New Economic Geography, as represented by Krugman (1996), tangible transportation costs, which are formed by transportation infrastructure, are a significant factor in influencing economic development. The utilization of transportation infrastructure will result in a spatial spillover effect, leading to economic agglomeration, diffusion, and externality in neighboring areas (Krugman, 1996). The spatial spillover effect operates through two main mechanisms: firstly, it serves to lower transportation expenses by linking different areas, and secondly, it enhances the geographical strengths of specific regions by increasing their accessibility and appeal and expedites the movement of production resources (Li and Qi, 2016).
Spillover in economics occurs when the actions of one economic agent have an impact, positive or negative, on other economic agents due to externalities. By disrupting the equilibrium of the original centripetal and centrifugal forces within a region, the development of transport infrastructure facilitates both agglomeration and diffusion (Krugman, 1996). Spatial spillover effects consist of both spatial agglomeration effect and spatial diffusion effect, with the latter indicating a positive spillover effect. The connection of transport infrastructure allows the more developed areas to drive the economic development of the less developed areas (Fujita et al., 2001). The siphon effect, or spatial agglomeration effect, occurs when more developed areas draw production factors from less developed areas through transportation infrastructure. This results in a negative spillover effect, causing the economy of developed areas to become even more developed while the economy of less developed areas becomes even more backward (Boa and Floriob, 2012). The impact of HSR on economic distribution enhances the urban spatial structure and expands the functional radius from the center to the periphery. Its substantial influence on the regional economy is mainly attributed to the spatial spillover effect (Haynes et al., 2015; Yao and Zhao, 2022), and neglecting the spatial lag term in estimation may result in bias (Cohen, 2010).
Transportation cost and labor flow play a crucial role in the regional economic development and income gap formation in China (Lin and Wang, 2006). With the introduction of HSR, regional accessibility is improved, leading to more convenient urban transportation, boundary breakthrough, and location enhancement, and an expansion of the spatial boundary for the circulation of production factors such as capital, resources, and intermediate products (Piyapong et al., 2009). The saving of time costs can lead to the creation of more value, the optimization of production factor allocation in a larger geographical space, the enhancement of economic efficiency, and the increase of residents’ income. The ease of HSR transportation contributes to the more frequent and convenient flow of human capital, as well as the spread of knowledge and information technology. This fosters the exchange and interaction of institutional culture, leading to spatial spillover effects (Pol, 2003; Chen et al., 2018) that ultimately improve labor skills and productivity. The exchange of knowledge, information, and technology in the process of labor agglomeration can create human capital externalities, leading to higher income for residents through the improvement of regional industrial production efficiency (Donaldson and Dave, 2018; Chen and Silva, 2014).
Favorable location conditions facilitate the reallocation of economic resources within a spatial range. The convergence of production factors, enterprises, and employment in various industries tends to occur in cities along the HSR line with comparative advantages. This generates external economies of scale and scope, and promotes the improvement of residents’ income levels in agglomeration cities (Donaldson and Hornbcck, 2016). Greater accessibility in a city leads to an easier acquisition of population size support from neighboring or non-neighboring cities and facilitates high-level functional specialization, ultimately fostering urban economic growth. The reduction of transportation costs leading to the expansion of the urban population facilitates the scale effect of production and consumption, as well as the rise in labor productivity, employment, and labor income (Chen, 2012; Liu et al., 2022). Meanwhile, declining cities experience development lags and a widening income gap (Pan et al., 2020).
The first law of geography asserts that everything is interconnected, and objects that are close to each other have a stronger relationship. As the distance between units increases, the spatial spillover effect decreases. Classical econometric models typically assume that variables in each region are independent of one another, but spatial correlation is often present in many cases. Transportation infrastructure is a type of social public good that demonstrates typical externality and network characteristics (Liu et al., 2021). When conducting the study on the relationship between the improvement of regional accessibility and the efficiency of the labor market, it is important to take into account the comprehensive influence in spatial dimension caused by the construction of HSR and the acceleration of universal HSR. Hence, this paper delves deeper into the spatial spillover effect of regional accessibility on labor market income in the local, adjacent, and other regions of the entire region, and whether it will enhance the spatial balance of the labor market or widen the regional development gap.
Model and method
Coefficient of regional accessibility
The development and running of HSR may generate multiple opportunities for economic growth, establishing an efficient and convenient HSR transportation network system. The shift from “point-axis mode” to “network mode” will cause a ripple effect throughout the entire regional economy (Donaldson and Dave, 2018). Transportation development directly impacts cities and regions through the change in regional accessibility. Regional accessibility is the ease of using a particular transportation system to travel from one place to another, and it represents the potential for connections between different points within the transportation network (Hansen, 1959). The convenience of economic activities can be reflected by the ease of reaching the activity place from a given location using a specific traffic system (Jing and Zhou, 2013).
From 2000 to 2018, differences in regional railway development and economic development levels in 286 cities at or above the prefecture level were considered, along with the influence of node size and economic development level on accessibility. A calculation model of regional accessibility was constructed using the weighted average travel time method, which included the minimum inter-regional railway travel time, population, and economic development indicators (Jing and Zhou, 2013), as shown in Eq. (1):
In Eq. (1), Ai represents the average weighted travel time of region i. Here, i and j represent each region, with i and j ranging from 1 to 286. When i is equal to j, it means the same region, and when i is not equal to j, it means different regions. n represents the total number of nodes except point i.
Equation (1) includes two elements: ① The resistance parameters Tij represent the time cost of travel between two regions, measuring the shortest rail travel time as \(T_{ij} = min\mathop {\sum}\limits_k {t_{ij}^k}\). ② Mj represents the comprehensive parameter of region j, which measures regional attraction and reflects the varying degrees of attraction to other regions due to differences in regional economic and railway development levels. It also takes into account the influence of node size on people’s mobility intention, calculated as the weighted average weight of the shortest travel time. In formula \(M_j = \sqrt {peo_j \ast gdp_j}\), peoj represents the population size of city j, and gdpj represents the total GDP of city j.
For cities that have not implemented High-Speed Rail (HSR) within the time frame of this study, the enhancement of regional accessibility due to urban railway development primarily stems from the acceleration of regular train speeds. In other words, the reduction in travel time within urban areas with HSR is largely attributed to the introduction of HSR, whereas in cities without HSR, it is primarily due to the increase in regular rail speeds. Hence, in order to calculate the minimum travel time distance matrix between cities, the speed of HSR in the respective years is used for cities that have opened the HSR from 2000 to 2018, while the speed of universal HSR in the corresponding years is applied for cities that have not yet opened the HSR. This results in a dynamic minimum travel time distance matrix between different cities that varies with time. A shorter average weighted travel time indicates better accessibility. Conversely, a higher average weighted travel time results in a decrease in the accessibility of the node region.
To better represent the pros and cons of regional accessibility, the accessibility coefficient is determined by taking into account the weighted average travel time, as demonstrated in Eq. (2):
In Eq. (2), \({{{\mathrm{A}}}}_{{{\mathrm{i}}}}^ \ast\) denotes the accessibility coefficient of region i. This coefficient is defined as the ratio of the value of urban accessibility to the mean value of urban accessibility. If the value of \({{{\mathrm{A}}}}_{{{\mathrm{i}}}}^ \ast\) is higher, then region i ’s accessibility is better. The quantitative evaluation of the overall impact of HSR operation on reducing transportation costs and promoting economic development is conducted, assuming that the distance between two locations remains constant.
The maximum value of regional accessibility in the category of cities with the highest regional accessibility coefficient increased from 1.635 in 2000 to 2.347 in 2018 among 286 cities at or above the prefecture level (as shown in Fig. 3). In 2000, the regional accessibility coefficient of 286 cities in China demonstrated a concentrated distribution trend from a spatial distribution perspective. The regional accessibility coefficient was highest in the eastern region, followed by the central region, and lowest in the western and northeastern regions. In 2018, there was a more even spatial distribution of accessibility coefficients in 286 urban areas, as the polarization trend was weakened, leading to a general improvement in the accessibility of urban areas.
Spatial correlation between high-speed railway and income
The space weight matrix
The spatial autocorrelation of a spatial sequence can occur in various directions and can mutually influence one another. The spillover effect of urban space is influenced by different factors under various spatial weight matrices, and the correlation degree and interdependence of spatial units are sensitive to the selection of spatial weight. The spatial weight matrix is typically in its basic form as follows:
In Eq.(3), Z represents the space full weight matrix. The main diagonal element Z11 = Z22 = ··· = Zii = 0 indicates the same region, where i and j respectively represent each region, with i and j ranging from 1 to 286.
The hypothesis of complete exogenesis is satisfied by both the spatial adjacency weight matrix and the geographical distance weight matrix. Additionally, different types of spatial weight matrices can demonstrate varying levels of evidence for the robustness of the research results.
To begin with, the binary 0-1 spatial weight matrix is chosen to represent the spatial adjacency between two cities, with a greater weight assigned to the neighboring area in order to create the spatial adjacency matrix \(W_{ij}^1\). The method for setting is as follows:
In Eq.(4), \(W_{ij}^1\) represents the spatial adjacency matrix, with i and j denoting the 286 cities at the prefecture level and above, where i and j range from 1 to 286. If city i and city j share a common boundary, then their diagonal elements will be 0 and their off-diagonal elements will be 1. Due to the fact that 7 out of the 286 prefectural-level cities in China(Zhoushan City, Haikou City, Sanya City, Lhasa City, Xining City, Urumqi City, and Karamay City have no adjacent cities) do not have any neighboring regions, the deletion process is carried out, resulting in \(W_{ij}^1\) being a first-order 279 × 279 adjacency matrix. The space adjacency weight matrix row is normalized, which ensures that the values are properly adjusted for accurate analysis.
Secondly, the geographical distance between cities is determined based on the latitude and longitude of each city. The inverse distance matrix is then created using the calculated inverse distances:
In Eq. (5), \(W_{ij}^2\) represents the spatial inverse distance matrix, while dij is the spherical distance of geographical coordinates between two cities. There are 286 cities at the prefecture level and above, with i and j ranging from 1 to 286. If i is equal to j, then dij equals 0. In Eq. (6), ∅i and ∅j represent the latitude and longitude of two cities, while ∆τ is the difference in longitude between them. The radius of the earth, denoted as R, is equal to 3958.761 miles. The matrix \(W_{ij}^2\) is a 286 × 286 first-order matrix, and the weight matrix for inverse distance is normalized by row.
Moran Index
Spatial autocorrelation is a measure that assesses the presence of interdependent and mutually influencing spatial correlation features among different locations within the same region or in different regions. This measure can provide insight into the spatial distribution of data within a given region and is essential for determining the feasibility of constructing a spatial econometric model and conducting further analysis.
The global Moran’s I index measures the overall similarity of the entire space, and it is calculated using the following formula:
In Eq. (7), the space weight matrix Wij is represented, where xi and xj stand for the research variables of city i and j. These variables include the regional accessibility coefficient and per capita disposable income of urban permanent residents, respectively. Here, i and j range from 1 to 286, indicating the 286 cities at the prefecture level and above. Calculate the sample mean for the corresponding variable, denoted as \(\bar x\), and then proceed to calculate the corresponding target variable for the global moran index. There are 286 cities at the prefecture level and above, denoted as i, j = 1, 2, ···, 286.
Bivariate Moran’s I is capable of determining the spatial correlation characteristics between two variables. The formula for calculating the two-factor Moran index is structured as follows:
In Eq. (8), \(I_{xy}^i\) denotes the two-factor Moran index of city i, indicating the Moran correlation index of the accessibility of city j (i.e., the spatial lag term of the accessibility of other urban areas) and the labor market income of city i. The regional accessibility coefficient of city j is denoted as xj. The per capita disposable income of urban permanent residents in the city i is denoted as yi. \(\bar x\) represents regional accessibility, while \(\bar y\) represents average income in the samples. The space weight matrix is denoted as Wij, and the variances are represented by σx and σy. There are 286 cities at prefecture level and above, denoted as i, j = 1, 2, ···, 286.
The Moran index typically falls within the range of −1 to 1. If I > 0, it suggests a positive spatial relationship among various regions, with all samples exhibiting a positive spatial correlation overall. As the value increases, the spatial relationship becomes closer. If I < 0, it means there is a negative spatial relationship, and all samples exhibit a negative spatial correlation overall. High values and low values tend to form clusters, with a significant difference between samples. The smaller the value, the more intimate the spatial relationship is. If I is close to 0, it suggests that the spatial distribution is random and lacks spatial autocorrelation.
The results of urban regional accessibility, single-factor Moran index, and double-factor Moran index of labor market income, based on spatial adjacency matrix and spatial inverse distance matrix, show that (as shown in Table 1). The single-factor Moran index of regional accessibility and income has been significantly positive over the years, indicating that regional space is closely connected. The spatial correlation characteristics of “same high or same low” were demonstrated by the regional accessibility and income. Over the period from 2000 to 2018, there was a decreasing trend in the regional accessibility coefficient and the single-factor Moreland index estimate of per capita disposable income of urban permanent residents. The Moreland index of regional accessibility and labor market employment agglomeration shows a significantly positive two-factor relationship. After a few years, the Moreland index of regional accessibility and labor market income shows a significant positive correlation. The regional accessibility’s spatial lag term is closely linked to the income space of the local labor market. This means that the regional accessibility of other areas exhibits a spatial correlation of “same high or same low” with the income level of the local region, which can be estimated using the spatial econometric model. From 2000 to 2018, trade barriers between regions under administrative protection existed until the development of a high-speed transportation network, specifically HSR. After 2009, there was a significant increase in the spatial lag term of the regional accessibility coefficient and the estimated value of the Moran index of the per capita disposable income of urban residents. This was due to the development of transportation breaking through previous geographical restrictions, leading to a closer relationship between the accessibility of other urban areas and the local labor market income. This resulted in a decrease in spatial high-low agglomeration.
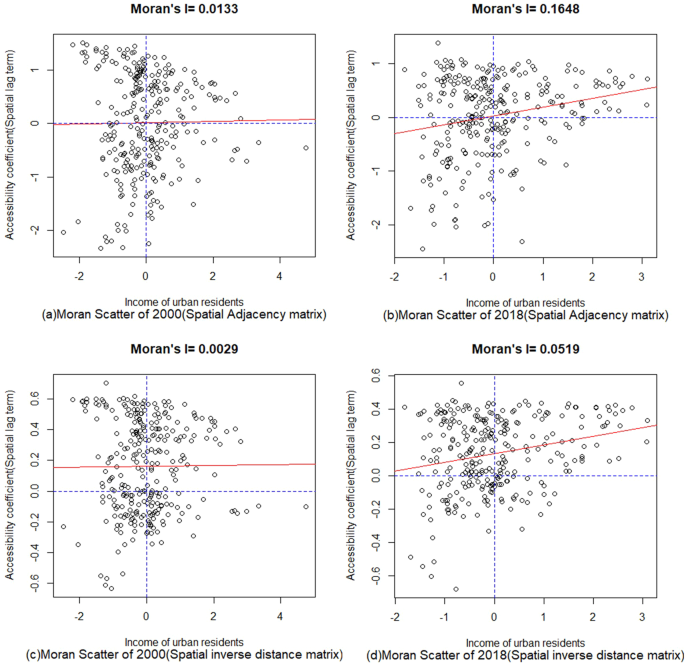
Moran index scatter plot
In 2000 and 2018, the slope of the fitting line for the urban regional accessibility spatial lag term and income double factor Moran index was significantly positive based on the spatial adjacency matrix and spatial inverse distance matrix. Additionally, most scatter points were distributed in the first and third quadrants. The positive global spatial autocorrelation between the regional accessibility coefficient and income distribution is attributed to the opening of HSR and the acceleration of ordinary railways. This results in a high-high or low-low spatial aggregation state of regional accessibility and local labor market income in other regions. It is initially determined that by improving the accessibility of other urban areas, there can be a positive effect on the increase of labor market income in this region (as shown in Fig. 4).
Note: The horizontal coordinate of the Moran index scatter plot represents the observed value, while the vertical coordinate represents the spatial lag term of the observed variable. The four quadrants of the Moran scatter plot correspond to the four local spatial connection forms between space units and other units, respectively. The first and third quadrants represent the spatial connection forms of high and low observation units surrounded by the same high and low observation units, which is the spatial positive correlation of similar values. The second and fourth quadrants represent the spatial connection form of different observation values surrounded by high and low observation units, which indicates spatial negative correlation.
Estimation of spatial spillover effect
Model and variables
The panel model can be extended to include a spatial econometric model, allowing for the control of endogenous influence from spatial spillover effects. At the same time, the spatial Dubin panel data model (SDM) can be constructed by investigating the correlation mode and degree among spatial units, as well as the size and direction of the spatial spillover effect.:
In Eq. (9), laborit denotes the per capita disposable income of permanent urban residents of city i during period t. The regional accessibility coefficient, denoted as reg_accit, is a measure of the city’s accessibility following the introduction of HSR and the increased speed of regular rail services. This variable is considered to be the central factor in explaining changes in accessibility. Wij represents both the spatial adjacency matrix and the spatial inverse distance matrix of prefecture-level and above cities. i and j represent the numbers 1 through 286, which correspond to 286 cities at the prefecture level or above. t is a series of numbers from 1 to 19, corresponding to the years 2000 to 2018.
Xit is a collection of control variables, which includes: ①The economic structure can be assessed by the percentage of the secondary industry’s output value in the GDP. ②The consumption scale is determined by the ratio of retail sales of consumer goods to GDP. ③The scale of government, which can indicate the level of government involvement in the social economy, is determined by the ratio of general government fiscal expenditure to GDP. ④The level of human capital is a significant factor that influences marginal output, as indicated by the number of primary and secondary school students per 10,000. ⑤The measurement of resources and environment is determined by the amount of green space per person. δi, the regional-fixed effect, is a consistent factor that remains unchanged over time and has an impact on the result. The time-fixed effect μt is utilized to manage the impact of time-varying factors. εit represents the perturbed term. In Eq. (10), where \({\it{\epsilon }}\sim iid\left( {0,\quad \sigma _{\it{\epsilon }}^2I} \right)\), In represents elements of N × 1 and 1 column, and \(\mathop {\sum}\nolimits_{j = 1}^n {W_{ij}\varepsilon _{it}}\) represents the interaction effect of the disturbance.
Data
This paper examines the spatial spillover effects of regional accessibility and labor market efficiency in 286 cities at the prefecture level and above from 2000 to 2018. The data is sourced from various publications including the China City Statistical Yearbook, Statistical Bulletin of National Economic and Social Development, China Population and Employment Statistical Yearbook, China City Construction Statistical Yearbook, and China Regional Economic Statistical Yearbook spanning from 2001 to 2019. This paper sorts out the spatial adjacency, longitude, and latitude data of cities at various levels and above, based on the vector data of Chinese urban geographic information obtained from the China Map database in 2016. It is assumed that the longitude and latitude of cities have remained unchanged over the years. The research for this paper covers the years 2000–2018 and includes data from 286 cities at the prefecture level and above. The linear interpolation method is used to process the missing data for some years in individual cities, resulting in the formation of balanced panel data for 286 cities in China from 2000 to 2018. This dataset includes a sample size of 5434. To decrease the likelihood of collinearity and heteroscedasticity, the data was transformed logarithmically in the empirical model. The original values of the samples’ descriptive statistics are presented in Table 2.
Results
Baseline estimate
This paper selected the optimal econometric model by fitting the sum of squares, logarithmic likelihood function value, and other parameter tests (Vega and Elhorst, 2015). Firstly, the Lagrange multiplier LM and its robust statistic R-LM were calculated through OLS estimation without taking into account the spatial effect. The selection of the spatial autoregressive model (SAR) and spatial error model (SEM) was tested in order to further determine the existence of the spatial effect. The results indicate that there is a significant rejection of the null hypothesis of “no spatial autocorrelation.” Secondly, the Spatial Dubin model (SDM) is employed for estimation, which holds greater explanatory significance. The model is then tested by Hausman to determine whether fixed effects or random effects should be chosen. The Hausman test results all yield P-values of 0.000, leading to a significant rejection of the original hypothesis of random effects. Therefore, the fixed effects model is chosen. Finally, the Spatial Dubin model is subjected to a Wald or LR test to decide if it should be transformed into either a SAR or SEM model. The Wald and LR test values are significant at the 1% level, and therefore, the spatial Durbin model with fixed effects is deemed more appropriate for the baseline estimation in this paper (as shown in Table 3).
The results of parameter estimation for the spatial Durbin model using the maximum likelihood method, which is based on the spatial adjacency matrix and spatial inverse distance matrix, indicate a significant spatial correlation between regional accessibility improvement, labor market income, and the impact of HSR and universal fast speed expansion on regional accessibility and labor market income (as shown in Table 4).
The spatial adjacency matrix indicates that the estimators of the spatial spillover effect of labor market efficiency are all significantly positive. This means that cities with high or low labor market income exhibit the same spatial clustering at the spatial level. The local income level experiences a significant negative direct effect due to the change in local regional accessibility. The change in regional accessibility in neighboring areas does not indirectly impact local income. The improvement of regional accessibility in all the neighboring areas of a city has a significant negative impact on the income level of the local labor market from the perspective of the total effect. This means that from 2000 to 2018, the neighboring cities with higher regional accessibility formed a total siphon effect on the income level of the local region.
The estimators of the spatial spillover effect of labor market income are all significantly positive, indicating that cities with high or low labor market income exhibit similar spatial clustering at the spatial level, based on the spatial inverse distance matrix. The local income level experiences a significant negative direct effect as a result of the change in local regional accessibility. The change in regional accessibility in other areas indirectly impacts local income significantly. When considering the overall impact, the enhancement of regional accessibility in every area results in a notable decrease in local income levels. This means that cities with greater regional accessibility have a considerable draining effect on local income levels. The spatial spillover effect of labor market income shows a notable positive impact, indicating that the labor market income of cities is mutually reliant and influenced. This means that a city’s labor market income can be positively affected by the surrounding cities and those with similar labor market income, aligning with the findings of the spatial correlation test.
Robustness test
The construction framework of the spatial weight matrix in this paper integrates the spatial adjacency matrix and spatial inverse distance matrix. Additionally, it conducts double-weight matrix estimation considering geographical adjacency and geographical distance to test the robustness of the results and further promote its practical interpretation significance. A double-weight SDM model was created (Atella et al., 2014) as follows:
In Eqs. (11) and (12), \(W_{ij}^1\) and \(W_{ij}^2\) represent the spatial adjacency matrix and spatial inverse distance matrix, respectively. Additionally, all other parameters align with the baseline model settings.
The results of the Dubin model for double-weight matrix space indicate that, in geographical adjacency space, the coefficient of W1 Regional accessibility (the spatial lag term of regional accessibility) reflects the effect of regional accessibility on local labor market income (as shown in Table 5). The coefficient for W1 labor market income (the spatial lag term of labor market income) signifies the impact of neighboring region’s labor market income on the local region’s labor market income. The W2 coefficient of regional accessibility in terms of geographical distance space represents the influence of regional accessibility on local labor market income, while the W2 coefficient of labor market income represents the impact of labor market income from other regions on local labor market income. When regional accessibility improves, it generally leads to an increase in labor market income across the entire region and contributes to the spatial clustering of high or low labor market income.
Time trend
The impact of transportation infrastructure on residents’ income fluctuates and evolves at different phases (Banerjee and Somanathan, 2007, Luo and Peng, 2016). The Beijing-Shanghai HSR was officially put into operation on June 30, 2011. It has achieved the distinction of being the first HSR in China and even in the world to have the longest track length and the highest technical standard. It goes through seven provinces and cities in China, including Beijing, Tianjin, Hebei, Shandong, Anhui, Jiangsu, and Shanghai. With the most active social and economic development, the geographical region and transportation hub area in China is also the busiest passenger and cargo transportation center. It is recognized as having the greatest economic growth potential in the country. Serving as the busiest passenger trunk line of the eight-vertical and eight-horizontal network, it plays a significant role in reconstructing the economic pattern of the regions along the line and is a vital component of China’s HSR network (Shaw et al., 2014).
In either 2011 or 2012, China’s labor market experienced a significant turning point. The sixth population census has indicated that the working-age population might see a decrease in 2011. In 2012, the National Bureau of Statistics reported a decrease of 3.45 million in China’s working-age population for the first time, while the per capita income level continued to rise. As the working-age population decreases and the population dependency ratio increases, it signals the official disappearance of the demographic dividend. Consequently, the employment contradiction shifts from being a total problem to becoming a structural and frictional problem. The employment landscape in China has grown increasingly intricate, as it grapples with both overall job market pressures and structural issues, as well as a significant disparity in wage and income distribution.
As a result, 2011 is considered a pivotal moment in the transition from HSR construction to labor market transformations, prompting the division of the investigation period into two intervals: from 2000 to 2011 and from 2012 to 2018. The spatial spillover effect of urban labor market income is observed by analyzing the spatial adjacency matrix and spatial inverse distance matrix and examining its change characteristics.
In terms of the spatial spillover effect of regional accessibility on resident income (as shown in Table 6), the direct and indirect effects of regional accessibility changes on income were not statistically significant from 2000 to 2011 and were observed to be negative. Nevertheless, the total effect of regional accessibility on income was found to be significantly negative, based on the spatial adjacency matrix. Between 2012 and 2018, there was a significant positive direct effect, indirect effect, and total effect on income due to changes in regional accessibility. This indicates that the change in local regional accessibility directly impacted the income of local residents. The income of local residents is significantly positively affected by the change in regional accessibility in neighboring areas. The enhancement of accessibility in all regions has a significant impact on promoting the income of local residents. The direct, indirect, and total effects of regional accessibility change on income show significant negative trends from 2000 to 2011, based on the spatial inverse distance matrix. The direct, indirect, and total effects of regional accessibility change on income were significantly positive from 2012 to 2018, aligning with the influence indicated by the spatial adjacency matrix.
Discussion
Space spillover effect
The improvement of HSR enhances the regional accessibility of cities along the route, as well as broadens and deepens inter-city or inter-regional economic ties. This leads to significant changes in regional spatial form, function, and development mode. Improved accessibility has an effect on labor market incomes in two ways: First, Direct action. By improving accessibility, local enterprises can now expand their potential labor supply from just the local area to the surrounding cities. Expanding the scope of the labor market not only helps enterprises fill the labor gap but also enables them to access a larger pool of labor force that aligns with their needs. The enhancement of accessibility facilitates the interaction and partnership between companies in diverse locations. The flow of technology factors across different cities and enterprises contributes to enhancing the productivity of businesses. As factor supply conditions improve and the scope of the product market expands, it continues to attract the agglomeration of enterprises.
Second, the Spatial spillover effect. Transportation infrastructure is interconnected in a highly networked manner. The enhancement of the operation efficiency of the railway network not only decreases inter-city travel time but also supports the inter-regional flow of production factors. Additionally, it reduces the cost constraints of production factors and production capacity, improves urban economic radiation capacity, and promotes the spatial transfer and allocation optimization of resource factors. Prefecture-level cities that are situated near each other have a natural economic relationship due to their geographical advantages and resource endowment. This connection often leads to a pattern of imitation in industrial and employment policies among neighboring local governments, which in turn enhances the impact of employment agglomeration and industrial coordination on a geographic scale.
Spatial spillover effects can be both positive and negative in nature. On the one hand, the network effects of transport infrastructure help to extend the impact of regions with fast economic development and high levels of urbanization to other regions, ultimately driving the economic growth of those regions. At the same time, there is a decrease in regional economic costs, resulting in a positive spatial spillover effect. The operation of HSR in surrounding cities will encourage local residents to seek employment in neighboring prefecture-level cities, thereby enhancing their income level. In the Yangtze River Delta and Pearl River Delta urban agglomerations, as well as other economically developed areas, the benefits of cities are mutually reinforcing, leading to the coordinated growth of industries and the subsequent rise in residents’ income.
On the other hand, Conversely, the improvements in regional accessibility resulting from transportation infrastructure create first-mover advantages for the region and lead to the development of better management systems, technological innovations, employment opportunities, and improved living environments. This, in turn, creates a drain on production factors in other regions and causes resource factors to flow out, resulting in a negative spatial spillover effect. Some cities in the northeast of China, such as those affected by the recession, have seen significant population decline and economic downturn in the past few years, leading to a siphon effect towards more economically prosperous cities. The externalities of agglomeration can operate through sharing, matching, or learning mechanisms (Duranton and Puga, 2004). Horizontal cooperation among cities creates scale economies, while professional division of labor synergies are formed through trans-regional resource allocation (Lu and Mao, 2020). Inter-city connectivity and embeddable urban networks have a greater impact on urban economic development compared to local factors such as urban population density and scale (Mccann and Acs, 2011). Not only adjacent cities but also non-adjacent ones can benefit from economic agglomeration through externalities.
Time trend
The construction of transport infrastructure has a cyclical influence on both economic development and individuals, involving a transition between expansion and reduction (Jean-Paul et al., 2020). Between 2000 and 2011, despite the increase in regional accessibility from the expansion of regular railway services and the introduction of high-speed rail in some cities, the income of urban residents did not have a significant impact on promoting economic growth. In comparison to certain advantageous areas, the siphon effect in other geographically connected cities has resulted in those with higher income among their original residents maintaining a relatively high level of prosperity. The centripetal force exceeds the centrifugal force. During the period of 2012 to 2018, numerous prefecture-level cities began to open and operate HSRs. The opening and operation of HSRs in numerous cities have significantly improved regional accessibility, leading to the formation and optimization of transportation networks. This has facilitated the flow of production factors, the development of secondary and tertiary industries, and the enhancement of urban residents’ income through local effects. Additionally, it stimulates the expansion of residents’ income through increased employment opportunities in the secondary and tertiary industries in other cities (Li et al., 2021). The commencement of HSR can establish a central hub in previously untapped areas, shift the spatial distribution of urban inhabitants, and gradually alleviate urban congestion, resulting in improved labor market efficiency. The centrifugal force outweighs the centripetal force, leading to a diffusion of resources to peripheral cities or disadvantaged areas, ultimately resulting in a significant increase in the overall urban residents’ income. There is a time lag effect in the accessibility of HSR. In the meantime, the impacts of measures like labor employment relocation in the initial phase are also starting to emerge slowly. As labor mobility policies and supporting measures remain favorable, the formation of the gradient effect of economic agglomeration continues to intensify during this time.
Conclusions
This paper comprehensively investigates the changes in urban regional accessibility and the spillover effect of urban residents’ income caused by HSR from the spatial dimension. The research findings are as follows: Firstly, from 2000 to 2018, the introduction and functioning of HSR, along with the increased speed of regular railway services, contributed to the overall enhancement of urban regional accessibility and urban location. Secondly, there is a strong spatial correlation between regional accessibility and labor market income. Cities with either high or low labor market income exhibit spatial aggregation in the same direction at the spatial level. Enhancing regional accessibility typically leads to an increase in labor market income throughout the entire region. Thirdly, Neighboring cities with higher regional accessibility create a siphon effect on the local area. Fourthly, the labor market income among cities is interdependent and promoted. The labor market income of a city is positively influenced by the neighboring cities and surrounding cities that have similar income levels. Fifthly, the years 2012 to 2018 saw a rise in income attributed to the construction of HSR and the labor market’s structural transformation, leading to a significant positive spatial spillover effect.
From the perspective of convergence of regional economic development, the gap between China’s regional economic development continues to widen. China’s first-tier and second-tier cities have managed to overcome the middle-income trap and have now become high-income regions. In 2018, Shenzhen had a per capita GDP of 189,568 yuan (approximately $28,647), while Beijing’s per capita GDP was 140,211 yuan (approximately $21,188) and Shanghai’s was 134,982 yuan (approximately $20,398). Despite this, there is a significant disparity in economic development between China’s underdeveloped cities and its first-tier and second-tier cities. In 2018, Dingxi had a per capita GDP of 12,656 yuan (approximately $1913), while Longnan had a per capita GDP of 14,426 yuan (approximately $2180), and Zhaotong had a per capita GDP of 15,987 yuan (approximately $2416). The per capita GDP in the Philippines is approximately $3,252.0923, while in India it is about $2,005.863. These economically underdeveloped countries are at a similar level in terms of GDP. China is confronted with the middle-income trap, posing a significant challenge for the country. If other cities are able to narrow the gap with first-tier and second-tier cities by about 40–50%, then the entire country can ascend to the ranks of high-income countries and effectively overcome the middle-income trap. While it is typical for developing countries to experience regional variations in their economic development, the prolonged presence and ongoing growth of such disparities will ultimately impact overall economic efficiency.
China’s economic growth should capitalize on the spillover effects of extensive transportation infrastructure development, such as HSR, on the labor market. The modern railway network, with HSR as its main component, can ensure transportation capacity for more balanced and sufficient regional development. This is a crucial factor for China to achieve economic growth, meet its centenary goal, and promote the prosperity of its people. The regional connectivity between Chinese cities has been enhanced with the introduction of HSR, leading to the development of an industrial economic belt along the railway line. This has facilitated the spread of urban influence and promoted the specialization of labor between regions. HSR has made a significant impact in terms of breaking through administrative boundaries between regions, addressing the challenge of coordinating regional planning and consolidating the domestic market. In addition, it has played a vital role in accelerating the urbanization and industrialization process in China. With the expansion of China’s Belt and Road and the success of China-Europe freight trains, the HSR equipment manufacturing industry in China is slowly but surely gaining traction, providing it with a competitive advantage in the next phase of global economic competition.
Data availability
The dataset supporting the conclusions of this article is available from the China City Statistical Yearbook, the Statistics Bulletin of the National Economy and Social Development, the National Railway Bureau website, and the 12360 Railway website. The datasets used and/or analyzed during the current study are available from the corresponding author on request.
Notes
The state divides regions into different levels for the convenience of administrative management, creating administrative divisions. China has a total of 34 provincial-level administrative divisions, 333 prefecture-level administrative divisions, 2844 county-level administrative divisions, and 38,774 township-level administrative divisions, from top to bottom. Provincial-level administrative regions are the highest level of local administrative areas, and they are under the direct jurisdiction of the central people’s Government. A prefecture-level administrative region is a local administrative region that falls between the provincial level and the county level. This paper refers to a “prefecture-level and above city,” which is a second-level administrative division with a relatively concentrated population and important political, economic, and cultural status. China’s division of 34 provincial-level administrative regions into “eastern, central, western, and northeastern” is based on their economic geography and policy, with each region having its own unique characteristics and level of economic development. The eastern China includes Beijing, Tianjin, Hebei, Shanghai, Jiangsu, Zhejiang, Fujian, Shandong, Guangdong, and Hainan. The central China includes Shanxi, Anhui, Jiangxi, Henan, Hubei, and Hunan. The west China includes Inner Mongolia, Guangxi, Chongqing, Sichuan, Guizhou, Yunnan, Tibet, Shaanxi, Gansu, Qinghai, Ningxia, and Xinjiang. The northeast China includes Liaoning, Jilin, and Heilongjiang.”
References
Atella V, Belotti F, Depalo D, Piano Mortari A (2014) Measuring spatial effects in the presence of institutional constraints: the case of Italian Local Health Authority expenditure. Region Sci Urban Econ 49:232–241
Banerjee A, Somanathan R (2007) The political economy of public goods: Some evidence from India. J Dev Econ 82:287–314
Boa CFD, Floriob M (2012) Infrastructure and growth in a spatial framework: evidence from the EU regions. European Planning Studies 20:1–22
Cai F (2017) Reform effects in China: a perspective of labor reallocation. Econ Res J 52:4–17
Chen CL (2012) Reshaping Chinese space-economy through high-speed trains: opportunities and challenges. J Trans Geogr 22:312–316
Chen FL, Xu KN, Wang MC (2018) High speed railway development and urban-rural income inequality: evidence from chinese cities. Econ Rev, 210:59–73
Chen G, Silva J (2014) Estimating the provincial economic impacts of high-speed rail in Spain: an application of structural equation modeling. Procedia Social and Behavioral Sciences 111:157–165
Cohen JP (2010) The broader effects of transportation infrastructure: Spatial econometrics and productivity approaches-ScienceDirect. Transp Res Part E: Logist Transp Rev 46:317–326
Donaldson D (2018) Railroads of the Raj: estimating the impact of transportation infrastructure. Am Econ Rev 108:899–934
Donaldson D, Hornbcck R (2016) Railroads and American economic growth: a “Market Access” approach. Q J Econ 131:799–858
Duranton G, Puga D (2004) Micro-foundations of urban agglomeration economies. Handb Region Urban Econ 4:2063–2117
Fujita M, Krugman P, Venables AJ (2001) The spatial economy: cities, regions, and international trade. MIT Press Books 1:283–285
Hansen WG (1959) How accessibility shapes land use. J Am Instit Plann 25:73–76
Haynes KE, Chen Z (2015) Regional Impact of public transportation infrastructure: a spatial panel assessment of the US northeast megaregion. Econ Dev Q J Am Econ Revitalization 29:275–291
He XF (2019) Analysis and prospect of national labor market and rural development policy. Seeker 311:11–17
Jean-Paul R, Claude C, Brian S (2020) The geography of transport systems. Routledge, London, UK, p 12–24
Jing S, Zhou N (2013) How cities influenced by high speed rail development: a case study in China. J Transp Technol 3:7–16
Krugman P (1996) Urban concentration: the role of increasing returns and transport costs. Int Region Sci Rev 19:5–30
Li C, Li H, Tang LM (2021) High-speed railway, transportation efficiency and vertical disintegration. China Econ Q 21:51–70
Li KX, Qi G (2016) Transport connectivity and regional development in China. J Int Logist Trade 14:142–155
Lin LS, Wang YQ (2006) Transport cost, labor mobility and the spatial distributionof manufacturing industries. Econ Res J 3:115–125
Liu GG, Tang CX, Liu YH, Bu T, Tang DS (2021) Will high-speed railway influence the healthcare seeking behaviour of patients? Quasi-experimental evidence from China. Health Policy Plann 36:1633–1643
Liu YH, Tang DS, Bu T, Wang XY (2022) The spatial employment effect of high-speed railway: quasi-natural experimental evidence from China. Ann of Region Sci 69:333–359
Lu J, Mao WF (2020) The rise of urban network externalities: a new mechanism for the high-quality integrated development of regional economy. Economist 264:62–70
Luo NS, Peng Y (2016) Transport infrastructure construction and urban-rural income equality—an empirical test based on provincial panel data. Ind Econ Res 83:100–110
Mccann P, Acs ZJ (2011) Globalization: countries, cities and multinationals. Region Stud 1:17–32
Ottaviano G, Pinelli D (2006) Market potential and productivity: evidence from Finnish regions. Region Sci Urban Econ 36:636–657
Pan LQ, Chen KX, Li J (2020) Research on wage differentials among migrants and their causal mechanisms from the perspective of city Size Wage Premium. Econ Perspec 715:111–129
Piyapong J, Robert BN, Daniel JG, John WP (2009) Highway infrastructure investment and county employment growth: a dynamic panel regression analysis. J Region Sci 49:263–286
Pol P (2003) The economic impact of the high-speed train on urban regions. ERSA conference papers
Shaw SL, Fang Z, Lu S, Tao R (2014) Impacts of high speed rail on railroad network accessibility in China. J Transp Geogr 40:112–122
Song M, Wang S, Fisher R (2014) Transportation, iceberg costs and the adjustment of industrial structure in China. Transp Res Part D, 32:278–286
Vega SH, Elhorst JP (2015) The SLX Model. J Region Sci 55:339–363
Yao YL, Zhao YQ (2022) Spatial spillover of high-speed railway, labor inflow, and urban economic growth. East China Econ Manag 36:1–9
Zhang P, Zhang P, Yuan FH (2019) The evolution, friction and transformation of China’s employment system: micro empirical and institutional analysis of the labor market. Econ Res J 54:4–20
Acknowledgements
This work was supported by grants from the Social Science Foundation of Jiangsu Province [Grant No. 23EYC024]; Humanities and Social Sciences Youth Foundation, Ministry of Education [Grant No. 23YJC790086]; and General Project of Philosophy and Social Science Research in Colleges and Universities of Jiangsu Province [Grant No. 2023SJYB1138]; “Blue Engineering” e-commerce professional excellent teaching team of Jiangsu province; National first-class undergraduate major “e-commerce” construction organization; “Fourteen five” Jiangsu Province key discipline of business administration. The funder was not involved in the study design, collection, analysis, interpretation of data, the writing of this article, or the decision to submit it for publication.
Author information
Authors and Affiliations
Contributions
Yahong Liu: data curation, software, formal analysis, writing—original draft and writing—reviewing. Daisheng Tang: conceptualization. Fengyu Wang: management.
Corresponding author
Ethics declarations
Competing interests
The authors declare no competing interests.
Ethical approval
Ethical approval was not required as the study did not involve human participants.
Informed consent
Informed consent was not required as the study did not involve human participants.
Additional information
Publisher’s note Springer Nature remains neutral with regard to jurisdictional claims in published maps and institutional affiliations.
Rights and permissions
Open Access This article is licensed under a Creative Commons Attribution 4.0 International License, which permits use, sharing, adaptation, distribution and reproduction in any medium or format, as long as you give appropriate credit to the original author(s) and the source, provide a link to the Creative Commons license, and indicate if changes were made. The images or other third party material in this article are included in the article’s Creative Commons license, unless indicated otherwise in a credit line to the material. If material is not included in the article’s Creative Commons license and your intended use is not permitted by statutory regulation or exceeds the permitted use, you will need to obtain permission directly from the copyright holder. To view a copy of this license, visit http://creativecommons.org/licenses/by/4.0/.
About this article
Cite this article
Liu, Y., Tang, D. & Wang, F. Research on the spatial spillover effect of high-speed railway on the income of urban residents in China. Humanit Soc Sci Commun 11, 236 (2024). https://doi.org/10.1057/s41599-024-02764-5
Received:
Accepted:
Published:
Version of record:
DOI: https://doi.org/10.1057/s41599-024-02764-5






